Использование резистивного эффекта для измерения физических величин

  • Вид работы:
    Курсовая работа (т)
  • Предмет:
    Физика
  • Язык:
    Русский
    ,
    Формат файла:
    MS Word
    240,58 Кб
  • Опубликовано:
    2015-05-20
Вы можете узнать стоимость помощи в написании студенческой работы.
Помощь в написании работы, которую точно примут!

Использование резистивного эффекта для измерения физических величин

Белорусский Национальный Технический Университет

Приборостроительный факультет

Кафедра "Информационно-измерительная техника и технологии"







Курсовая работа

по дисциплине "Физические основы измерений"

Использование резистивного эффекта для измерения физических величин










Минск 2015

Реферат

В данной курсовой работе рассматривается резистивный эффект, его теоретическое описание и примеры приборов, построенных на этом эффекте. Данная курсовая работа содержит 38 страниц, 6 рисунков и 3 таблицы.

Содержание

Введение

1. Описание резистивного эффекта

1.1 Магниторезистивный эффект

.2 Тензорезистивный эффект

.3 Терморезистивный эффект

.4 Фоторезистивный эффект

. Методы измерения физических величин на основе резистивного эффекта

.1 Измерения на основе магниторезистивного эффекта

.1.1   Конструкции магниторезисторов

.1.2   Параметры магниторезисторов

2.2 Измерения на основе тензорезистивного эффекта

2.3 Измерения на основе терморезистивного эффекта

2.4 Измерения на основе фоторезистивного эффекта

. Источники погрешностей ограничивающих точность измерений

3.1 Источники погрешностей связанные с магниторезистивным эффектом

.2 Источники погрешностей связанные с тензорезистивным эффектом

3.3 Источники погрешностей связанные с терморезистивным эффектом

3.4 Источники погрешностей связанные с фоторезистивным эффектом

Заключение

Список использованных источников

Введение

Изменение под действием магнитного поля сопротивления полупроводника, по которому протекает электрический ток, называется магниторезистивным эффектом.

Тензорезистивным эффектом, или тензосопротивлением, называется изменение электрического сопротивления полупроводника в результате дей-ствия нагрузки, создающей деформацию.

Терморезистивный эффект - изменение сопротивления с изменением температуры.

Фоторезистивный эффект (фотопроводимость) состоит в изменении электропроводности среды (ярко выражена в полупроводниках и диэлектриках) под действием электромагнитного излучения.

В данной курсовой работе рассматривается применение резистивного эффекта на примере четырёх различных преобразователях, а также факторы влияющие на точность измерений при использовании резистивного эффекта.

1. Описание резистивного эффекта

1.1 Магниторезистивный эффект

Изменение под действием магнитного поля сопротивления полупроводника, по которому протекает электрический ток, называется магниторезистивным эффектом. Увеличение электрического сопротивления под действием магнитного поля происходит как в случае перпендикулярности вектора магнитной индукции поверхности полупроводниковой пластины (поперечный эффект магнитосопротивления), так и в случае их параллельности (продольный эффект магнитосопротивления). Однако изменение сопротивления во втором случае незначительно.

Изменение сопротивления полупроводника в магнитном поле пропорционально квадрату подвижности носителей тока:

, (1.1.1)

где с - коэффициент пропорциональности, связанный с рассеянием носителей заряда.

В полупроводниковой пластине, помещенной в магнитное поле, на движущиеся носители зарядов действует сила Лоренца, уравновешивающаяся холловским электрическим полем. Однако холловское поле уравновешивает только те носители, которые движутся со средними скоростями. На более медленные носители сильнее действует поле Холла, на более быстрые - сила Лоренца, траектории тех и других искривляются и эффективная длина свободного пробега уменьшается, что приводит к увеличению сопротивления. Очевидно, что чем меньше эффект Холла в полупроводнике, тем больше его магнитосопротивление. В полупроводнике с двумя типами носителей поле Холла меньше, поэтому линии тока в нем не параллельны граням, и эффект магнитосопротивления соответственно больше. Исключить влияние эффекта Холла можно и в полупроводнике с преобладанием одного типа носителей, используя специальную геометрию образца. Наиболее наглядным примером влияния конструкции на эффект магнито- сопротивления является диск Корбино, представляющий собой полупроводниковую пластину с концентрическим расположением контактов: один в центре, а второй по окружности на равных расстояниях от первого. Если к электродам такого диска приложить напряжение, то траектории электронов будут иметь вид радиальных лучей, расходящихся от центра. При помещении в магнитное поле, перпендикулярное плоскости пластины, носители отклоняются вдоль поверхности, линии тока удлиняются, но накопления зарядов не происходит, и поле Холла не возникает. В такой структуре наблюдается максимальный эффект магнитосопротивления, однако ввиду технических трудностей практическое применение диска Корбино сильно затруднено.

.2 Тензорезистивный эффект

Работа полупроводниковых датчиков давления основана, в основном, на использовании тензоэффекта, который у полупроводников значительно выше, чем у металлов. Полупроводниковые кристаллы обладают в основном кубической симметрией, расстояния между атомами в кристаллах обусловлены минимумом энергии взаимодействия между соседними атомами. Любое приложенное извне механическое воздействие, достаточное для изменения расстояния между ближайшими соседними атомами в кристаллической решетке, приводит к изменению энергии взаимодействия между ними, а следовательно, к изменению вида потенциальной энергии в уравнении Шредингера и к изменению энергетической зонной структуры полупроводника (плотности состояний в разрешенных зонах или ширины запрещенной зоны).

Изменение энергетической структуры неизбежно приводит к изменению концентрации свободных носителей заряда или их подвижности, в связи с чем тензочувствительность полупроводников в десятки раз превосходит тензочувствительность металлов.

Тензорезистивным эффектом, или тензосопротивлением, называется изменение электрического сопротивления полупроводника в результате действия нагрузки, создающей деформацию. Деформация тела может быть описана симметричным тензором деформации Uik:

Uik =  + ) = Uki (1.2.1)

Тензор деформации Uik определяет изменение расстояний между точками тела при деформации. Если в недеформированном теле расстояние между двумя точками dl, а в деформированном теле расстояние между теми же точками равно dl’, то связь между dl’ и dl можно выразить через тензор деформации Uik:

dl’ =  = dl  , (1.2.2)

где .

Относительное удлинение вдоль направления n=(n1, n2, n3), где n - индексы Миллера, можно выразить через тензор деформации следующим образом:

 =  - 1   (1.2.3)

Найдем изменение объема dv' при деформации:

dv' = dx'dy'dz' = dx(1 + Ul)dy( 1+ U 2)dz(1 + U 3) =

= dv(1 + U1 + U 2 + U 3) (1.2.4)

 =  = divU (1.2.5)

Таким образом, главные значения тензора деформации определяют относительные удлинения вдоль главных осей тензора, а их сумма − относительное изменение объема.

При деформации тела в нем возникают внутренние напряжения, стремящиеся вернуть тело в равновесное, недеформированное состояние. Они могут быть описаны некоторым симметричным тензором второго ранга - тензором напряжений Pik. Сила F , действующая на единичный объем тела, может быть выражена через тензор напряжений Р следующим образом:

F = div P, (1.2.6)

 (1.2.7)

Между тензором деформации и тензором напряжений должна быть определенная связь, так как с ростом деформации напряжения должны возрастать. В пределах упругих деформаций между деформацией и напряжением на основании закона Гука должна существовать линейная зависимость. Величина, связывающая деформацию с напряжением, называется обычно модулем упругости. Поскольку в общем случае деформация и напряжение являются тензорами второго ранга, то и модуль упругости должен быть тензором, причем более высокого ранга, именно, четвертого. Обозначим его элементы через , тензор  называется тензором упругости. В соответствии с законом Гука запишем

 (1.2.8)

Тензор модулей упругости X симметричен по парам своих индексов:

 (1.2.9)

так как он связывает между собой два симметричных тензора Pik и Ulm. Изотропные тела характеризуются всего двумя модулями упругости - модулями сдвига G и модулем Юнга Е. Для анизотропных материалов, к которым принадлежат все полупроводники, упругие свойства определяются набором гораздо большего числа упругих коэффициентов. С учетом (1.3.9) в общем случае из 81 элемента тензора λ отличными друг от друга элементами могут быть не более 21. С учетом свойств симметрии решетки число независимых модулей упругости может быть уменьшенное. Например, в триклинной системе число независимых модулей равно 18, в ромбоэдрической - 12, в гексагональной - 5 и в кубической, характерной для кремния, только три, которые можно обозначить как:

=  (1.2.10)

Поскольку тензор модулей упругости имеет значительно меньше 81 компонента, то для него используют обозначения, указывая не на четыре индекса, а только на два. Например, в случае кристаллов с кубической решеткой вводят следующие обозначения:

 =  = ;  . (1.2.11)

Компоненты  являются симметричными относительно своих индексов.

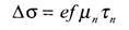
Если полупроводник деформирован, то его удельное сопротивление изменилось, оно равно  или . Величина  - или  - ik представляет собой изменение удельного сопротивления в результате действия нагрузки, вызывающей деформацию и напряжение в полупроводнике. Изменение удельного сопротивления можно выразить двояким образом: либо через напряжение, либо через деформацию. Поскольку между напряжением и деформацией существует вполне определенная связь, то оба способа описания являются эквивалентными. Выразим изменение сопротивления  - через тензор напряжения Pik в виде:

 - ik =  ik  (1.2.12)

 =  (1.2.13)

Тензор четвертого ранга называется обычно тензором коэффициентов пьезосопротивления или тензором пьезосопротивления.

Для кубического кристалла тензор пьезосопротивления имеет всего три различные величины, которые для простоты изображаются величинами с двумя индексами аналогично (49):

  =  (1.2.14)

.3 Терморезистивный эффект

Терморезистивный эффект - изменение сопротивления с изменением температуры. В проводниках свободные электроны рассеиваются на дефектах решетки. Сопротивление проводника длиной и площадью поперечного сечения равно: , где l - длина проводника; s- площадь поперечного сечения, - удельное сопротивление. Интенсивность колебаний узлов кристаллической решетки увеличивается с ростом температуры. При увеличении температуры геометрические размеры проводника изменяются незначительно, поэтому основной вклад в зависимость сопротивления от температуры вносит удельное сопротивление металла.

В металлах концентрация свободных электронов постоянна. Чем выше температура, тем сильнее колеблются составляющие металл атомные "остовы" и тем большую помеху они представляют для электрического тока, тем больше удельное сопротивление. Если, наоборот, приближать температуру к абсолютному нулю, сопротивление образца будет "стремиться" к ρ0 - остаточному сопротивлению. Остаточное сопротивление зависит от совершенства и состава образца. В любом веществе встречаются посторонние атомы-примеси, а также всевозможные другие дефекты. Чем меньше в образце дефектов, тем меньше остаточное сопротивление.

В реальной области используемых температур эту зависимость можно считать линейной. ; где α - температурный коэффициент сопротивления (ТКС). Таким образом изменение сопротивления является мерой изменения температуры. Для химически чистых металлов α > 0 и равно 1/273 К-1. Для сплавов температурные коэффициенты имеют меньшее значение.

Качественное отличие полупроводников от металлов проявляется прежде всего в зависимости удельного сопротивления от температуры. С понижением температуры сопротивление металлов падает, у собственных (чистых) полупроводников, напротив, с понижением температуры сопротивление возрастает и вблизи абсолютного нуля они практически становятся изоляторами.

Такой ход зависимости ρ(T) показывает, что у полупроводников концентрация носителей свободного заряда не остается постоянной, а увеличивается с ростом температуры. Механизм увеличения концентрации носителей преобладает над механизмом рассеивания носителей на колебаниях решетки, поэтому зависимость носит нелинейный характер, а температурный коэффициент является отрицательным. Полупроводники обладают высоким ТКС [(3-4)•10-2 °С-1] и соответственно большим начальным электрическим сопротивлением. У легированных полупроводников и сложных полупроводников ТКС в определенном температурном интервале может быть положительным.

1.4 Фоторезистивный эффект

Фоторезистивный эффект (фотопроводимость) состоит в изменении электропроводности среды (ярко выражена в полупроводниках и диэлектриках) под действием электромагнитного излучения. Впервые наблюдалась У. Смитом (W. Smith), 1873 в аморфном кремнии. Обычно фотопроводимость обусловлена увеличением концентрации подвижных носителей заряда под действием света. Она возникает в результате нескольких процессов:

переход электрона из валентной зоны в зону проводимости, что приводит к возрастанию концентрации электронов проводимости и дырок (концентрационная фотопроводимость);

электроны из валентной зоны переходят на свободные примесные уровни, что приводит к возрастанию числа дырок (дырочная примесная фотопроводимость);

электроны переходят с примесных уровней в зону проводимости (электронная примесная фотопроводимость).

В зависимости от механизма поглощения излучения различают фотопроводимость собственную (см. ФЭ 404010), примесную (см. ФЭ 404011) и внутризонную.

Темп оптической генерации связан с коэффициентом поглощения света. Пусть I(x) монохроматический световой поток, проникающий на глубину x полупроводника, рассчитанный на единицу его поверхности. Тогда число фотонов частоты w, поглощаемых в единицу времени в единице объема, равно I(x), где  - коэффициент поглощения света.

Тогда темп оптической генерации носителя зарядов представляется в виде:

g = v(w)(w)I(x) (1.4.1)

где v(w) - квантовый выход внутреннего фотоэффекта, равный числу носителей, рождаемых в среднем одним поглощенным фотоном.

Изменение проводимости полупроводника обусловлено тем, что при освещении изменяются как концентрация электронов и дырок, так и их подвижности, но относительное влияние этих причин в целом может быть различным. Влияние изменения подвижности проявляется лишь при низких температурах (как правило, при температурах жидких водорода и гелия). В случае, когда подвижность не меняется, фотопроводимость вычисляется по формуле:

 = e(+) (1.4.2)

где e - заряд электрона;

 и - подвижности электронов и дырок;

 и  - изменение концентрации электронов и дырок соответственно.

В стационарном состоянии, т. е. когда  и  неизменны, фотопроводимость вычисляется по формуле:

 = e(+) (1.4.3)

где - время релаксации фотопроводимости, которое определяет темп установления и затухания .

Из этой формулы следует, что чем больше время релаксации, тем больше проводимость, т. е. тем выше чувствительность фотопроводника. Однако при этом будет больше и время установления или затухания фотопроводимости, т. е. будет больше инерционность проводника. С этим противоречием между чувствительностью и быстродействием приходится считаться при разработке фотосопротивлений для технических применений.

2. Методы измерения физических величин на основе резистивного эффекта

.1 Измерения на основе магниторезистивного эффекта

.1.1   Конструкции магниторезисторов

Увеличение эффекта магнитосопротивления за счет геометрии резистора может быть достигнуто также и в полупроводниковой пластине, длина которой L значительно меньше ее ширины W. При воздействии на такую пластину магнитного поля, направление которого перпендикулярно плоскости пластины, поле Холла оказывается ослабленным за счет шунтирующего действия токовых электродов. Геометрически эффект магнитосопротивления в этом случае проявляется тем сильнее, чем меньше отношение L/W. Еще более увеличить эффект можно путем последовательного соединения резисторов с малым отношением L/W. Один из возможных способов реализации указанного принципа описан в [11].

Основой материала магниторезистора служит антимонид индия, обладающий высокой подвижностью носителей, к которому добавляется 1.8% NiSb. После сплавления и последующего остывания антимонид никеля кристаллизуется в антимониде индия в виде игл толщиной в 1 мкм и длиной примерно 50 мкм, расположенных параллельно друг другу и перпендикулярно направлению тока. Удельная проводимость игл из NiSb около 104-1 - см-1, a InSb на два порядка меньше.

Таким образом, иглы играют роль хорошо проводящих электродов, разделяющих основную массу полупроводника на отдельные зоны с малым отношением L/W. Это приводит к резкому подавлению поля Холла, а, следовательно, к искривлению траектории электронов под действием магнитного поля, т.е. к возрастанию эффекта магнитосопротивления.

Другой способ реализации указанного принципа на основе микроэлектронной технологии . Его суть заключается в формировании магниторезисторов на основе кремниевых эпитаксиальных пленок, содержащих низкоомные шунтирующие участки поликристаллического кремния (ПК), расположенные перпендикулярно направлению тока.

Технология изготовления таких магниторезисторов основана на одновременном выращивании моно- и поликристаллических пленок кремния . С помощью процессов окисления и фотолитографии формируются локальные области SiO2, на которых в процессе выращивания эпитаксиальной пленки растут пленки ПК.

Для закорачивания ЭДС Холла проводится легирование полученных областей ПК атомами фосфора до концентрации 1021 см-3, причем, учитывая более высокую скорость диффузии атомов легирующей примеси в ПК по сравнению с монокристаллическим кремнием, легирование проводится одновременно с процессом создания в монокристаллической пленке -областей под омические контакты .

2.1.2 Параметры магниторезисторов

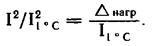
Основными параметрами магниторезисторов являются: начальное сопротивление при В=0, магниторезистивное отношение /, представляющее собой отношение сопротивления магниторезистора при определенном значении магнитной индукции (обычно 0,3 и 1,0 Тл) к начальному сопротивлению, магнитная чувствительность ymp, определяемая как относительное приращение сопротивления, деленное на соответствующее приращение магнитной индукции R/RB, и нагрузочная способность, определяемая предельным значением температуры перегрева, который допускается для магниторезистора. Нагрузочная способность указывается в паспорте либо в виде значений рассеиваемой мощности Р, либо в виде предельно допустимого тока Imax, либо как тепловое сопротивление:

 (2.1.2.1)

где Р - мощность, выделяемая в магниторезисторе; tmax - максимально допустимая температура резистора; - температура окружающей среды.

При определении нагрузочной способности магниторезистора при постоянном токе исходят из максимального значения сопротивления Rb (т.е. при Bmax), а при постоянном питающем напряжении - из минимального значения сопротивления RO при B=0. При работе на переменном токе магниторезистивный эффект не зависит от частоты вплоть до значений 10 ГГц.

В случае наклейки магниторезисторов на металлическую подложку возможны возникновения токов Фуко, поэтому при высоких частотах применяется подложка из феррита. В табл.2.1.2.1 приведены параметры магниторезисторов из эвтектического сплава InSb-NiSb при T=250C, причем все подложки выполнены из ферритов.

Последние два типа указанных в табл.2.1.2.1 магниторезисторов являются дифференциальными.

Таблица 2.1.2.1 - Параметры магниторезисторов из сплава InSb-NiSb.


2.2 Измерения на основе тензорезистивного эффекта

Полупроводниковые приборы, работа которых основана на тензоэффекте, можно назвать первичными тензопреобразователями . Самым простым первичным тензопреобразователем является полупроводниковый тензорезистор. Он может быть выполнен в виде стержня из полупроводника с омическими контактами на концах. Номинал сопротивления тензорезистора задается технологически, путем соответствующего уровня легирования полупроводника. Как правило, размеры тензорезистора не превышают по длине и ширине нескольких миллиметров, а по толщине - десятых долей миллиметра. Тензорезистор закрепляют на пластине так, как это представлено на рис.2.2.1 . Закрепление зачастую осуществляется приклеиванием специально подобранными компаундами и клеями. Сама операция приклеивания достаточно трудоемкая, а качество ее выполнения зависит от квалификации специалиста, который ее производит . Деформация создается силой F, действующей на свободный конец пластины.

Для оценки изменения сопротивления тензорезистора при деформации пользуются коэффициентом тензочувствительности по сопротивлению m:

m = (∆R/R)⁄(∆l/l)= (∆ρ/ρ)⁄(∆l/l) (2.2.1)

Он представляет собой отношение относительного изменения сопротивления к относительной деформации в данном направлении (1 - размер полупроводника в направлении деформации).

Для уменьшения влияния температуры на величину сопротивления тензорезисторы обычно изготавливаются из примесных полупроводников, в которых концентрация основных носителей равна концентрации примесей и не зависит от деформации. Поэтому изменение сопротивления при деформации определяется только изменением подвижности.

Коэффициент тензочувствительности для германия и кремния имеет наибольшее значение порядка 140... 175. Большой тензочувствительностью обладают также полупроводниковые соединения GaSb, InSb, PbTe и др.

Для компенсации зависимости сопротивления от температуры часто в плече измерительного моста используются два тензорезистора с одинаковым температурным коэффициентом. Тензопреобразователем является только один резистор, а второй служит для компенсации температурного изменения величины сопротивления первого.

Как правило, тензорезистор используется в качестве одного из резисторов в мосте Уитстона. При этом на выходе моста получают зависимость из выходного напряжения от величины прилагаемой силы или давления.

Тензорезистор является пассивным полупроводниковым прибором или пассивным тензоэлементом. Гораздо привлекательнее использование в качестве первичных тензопреобразователей активных полупроводниковых приборов - диодов на основе различных переходов и барьеров Шотки, полевых и биполярных транзисторов.

Тензодиоды. Так как от деформации зависит только подвижность носителей заряда и ширина запрещенной зоны, то для получения максимальной тензочувствительности необходимо, чтобы при увеличении ширины запрещенной зоны величина подвижности уменьшалась, и наоборот. Такое согласование нельзя получить в р-п-переходах. Например, в кремнии величина ширины запрещенной зоны при сжатии уменьшается, подвижность электронов увеличивается, а дырок уменьшается. Следовательно, в качестве базы диода необходимо выбирать полупроводник, в котором неосновные носители - электроны, т.е. полупроводник p-типа, а значит, переход n-p-типа (рис. 2.2.2).

Вследствие большей зависимости тока от подвижности тензочувствительность диода с короткой базой выше, чем с длинной.

Для структуры тензодиодов существенное значение имеет ориентация плоскости р-п-перехода. Например, в структуре при использовании германия максимальная тензочувствительность может быть получена, если плоскость р-п-перехода совпадает с плоскостью , так как изменения ширины запрещенной зоны и при небольших деформациях максимальны в направлении . Однако недостатком такого датчика является то, что при сжатии ток через р-п-переход при малых давлениях уменьшается, а при больших - увеличивается. При ориентации же р-п-перехода в плоскости чувствительность меньше, но ток непрерывно уменьшается с ростом давления. Тензодиод можно включать и при прямом, и при обратном смещении, так как в обоих случаях ток пропорционален току насыщения .

Преимуществом тензодиодов перед тензорезисторами является их более высокая чувствительность, а также возможность измерения деформаций при всестороннем сжатии.

Биполярные транзисторы. Влияние деформации на характеристики биполярного транзистора можно получить при воздействии деформации на эмиттерный или коллекторный р-п-передходы, что влияет на коэффициент передачи по току. Чувствительный к давлению транзистор получил название "питран" . В "питране" слой эмиттер-база механически связан с воспринимающей давление мембраной.

Деформация тензотранзисторов осуществляется такими же методами, что и р-п-переходов. Так как максимальная тензочувствительность достигается при точечной деформации, то деформируемый р-п-переход можно сделать состоящим из множества выступов. Аналогичного результата можно добиться, если деформируемую поверхность р-п-перехода сделать неровной за счет её глубокой шлифовки.

В специально сконструированном тензотранзисторе оптимальным выбором параметров всегда можно получить большее значение тензочувствительности, чем у р-п-переходов.

Полевые транзисторы с р-п-переходом. При деформации канала полевого транзистора с р-п-переходом происходит изменение подвижности носителей заряда и соответствующее изменение величины сопротивления канала.

В режиме постоянного напряжения на затворе Uз и стоке Ucт изменение сопротивления канала ничем не отличается от аналогичного изменения сопротивления обычного тензорезистора, поэтому значение будет таким же.

В режиме постоянных Iст и Uз, например Uз=0 (затвор замкнут с истоком), обратное напряжение на p-n-переходе равно Upn = Uст = Iст = Rk. Если при деформации Rk увеличивается, это приводит к росту Upn. Из-за увеличения Upn происходит сужение канала и дополнительное увеличение Rк. В данном случае величина Uст увеличивается на большую величину, чем при изменении Rк только за счет изменения, т.е. тензочувствительность увеличивается.

Тензочувствительность полевого транзистора с p-n-переходом не выше, чем у биполярного.

Выходной характеристикой полевого МДП-транзистора может быть зависимость тока стока от приложенной нагрузки.

Несмотря на очевидные преимущества активных тензоэлементов наибольшее применение нашли тензопреобразователи на основе тензорезисторов прежде всего за счет простой технологии изготовления и, соответственно, дешевизны приборов.

Рисунок 2.2.1 - Схема насыщения транзистора

Рисунок 2.2.2 - Структурная схема тензодиода

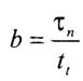
2.3 Терморезисторные датчики

Принцип действия терморезисторных датчиков (устаревшее название - "датчики термосопротивления") основан на свойстве проводников и полупроводников изменять свое электрическое сопротивление при изменении их температуры. В качестве терморезисторов может использоваться металлический или полупроводниковый резистор.

Датчики температуры с терморезисторами иногда называют термометрами сопротивления.

Наибольшее распространение получили металлические терморезисторы, что объясняется стабильностью их статических характеристик преобразования и возможностью строить на их основе измерители температур со сравнительно малыми погрешностями.

Для изготовления полупроводниковых терморезисторов (термисторов) применяются смеси окислов металлов (Мп20з, Cu2O3, Fe2O3, NiO и др.), которые прессуются и спекаются при высокой температуре. Термисторы обладают высокой чувствительностью, но широкого распространения не получили из-за нестабильности их статических характеристик преобразования.

Зависимость сопротивления проводника от его температуры выражается формулой:

= Rо ·      (2.3.1)

где R - сопротивление проводника при температуре ;o - сопротивление проводника при температуре ;

 - температурный коэффициент сопротивления.

График зависимости R = f () приведен на рис. 2.3.1

Рисунок 2.3.1 - Статические характеристики преобразования терморезисторных датчиков: 1 - металлические терморезисторы; 2 - полупроводниковые терморезисторы

Металлические терморезисторы нормируются государственным стандартом ГОСТ 6651-84 [51]. Отметим, что ГОСТ 6651-84 вводит термин "термпреобразователи сопротивления" (далее - ТС).

В соответствии со стандартом для изготовления металлических ТС могут использоваться медные (ТСМ), платиновые (ТСП) и никелевые (ТСН) терморезисторы. Использование других металлов не рекомендуется. Основные характеристики ТС, нормируемые стандартом , приведены в табл. 2.3.1

Таблица 2.3.1 - Основные характеристики преобразователей сопротивления

Тип

Диапазон измеряемых температур, °С

Условные обозначения номинальных статических характеристик преобразования (НСХП)

Класс допуска

ТСМ ТСП ТСН

-200-+200 -260-+1100 -70-+180

10М; 50М; 100М 1П; 10П; 50П; 100П; 500П

B; C A; B; C C

Примечания 1. Цифры в условных обозначениях НСХП обозначают значение сопротивления ТС при 0 0С (R0). 2. Буквы в условных обозначениях НСХП обозначают: "М" - медные ТС; "П" - платиновые ТС; "Н" - никелевые ТС.


Значения классов допуска (A; B; C) приведены в табл.2.3.2

Таблица 2.3.2 - Допускаемое отклонение от номинального значения сопротивления Ro при 0°С для нормируемых классов допуска (± %)

Тип

Класс допуска


A

B

C

ТСП

0,05

0,1

0,2

ТСМ

-

0,1

0,2

ТСН

-

-

0,24


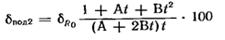
Рассмотрим более детально зависимость R = f () для металлических ТС (см. выражение (2.3.1)).

Разлагая правую часть (2.3.1) в степенной ряд и ограничиваясь первыми двумя членами ряда, получаем:

R = Rо  [ 1+( θ - θо)],          (2.3.2)

где 4 · 10-3 (°С)-1 - для ТСП и ТСМ.

Выражение (2.3.2) правомерно для медных ТС при температуре от 0 до +200 °С и в первом приближении для платиновых ТС при тех же температурах.

Для отрицательных температур и для температур больших +200 °С разложение выражения (2.3.1) в степенной ряд должно содержать уже три члена.

R = Rо · [1+( θ - θо) + ( -  ,         (2.3.3)

где  -5,8 · 10-7(°С)-2 - для ТСП;

 -5,0 · 10-7(°С)-2 - для ТСМ.

Таким образом, в небольшом температурном диапазоне зависимость R = f(θ) близка к линейной. Для больших температурных диапазонов (особенно при отрицательных температурах) эта зависимость становится нелинейной. Большей линейностью отличаются характеристики медных ТС и меньшей - платиновых ТС.

Температура терморезистора, а следовательно, и величина его сопротивления при установившемся тепловом равновесии определяются многими факторами: температурой окружающей среды; электрическим током через датчик;

геометрическими размерами датчика, его конфигурацией, наличием (или отсутствием) защитной арматуры; физическими свойствами окружающей среды; скоростью перемещения газовой или жидкой среды, в которую погружен датчик и т. д.

Зависимость сопротивления датчика от перечисленных выше факторов позволяет использовать терморезисторы для измерения различных неэлектрических величин (температуры, скорости перемещения жидкости или газа и т.д.).

К недостаткам рассматриваемых датчиков следует отнести сравнительно большую инерционность, нелинейность зависимости R = f (θ), большой разброс параметров у термисторов и т. д.

2.4 Фоторезисторы

Фоторезистор является фотопроводящим устройством. Для изготовления фоторезисторов, как правило, применяется сульфид кадмия (CdS) и селен ид кадмия (CdSe) (информация о CdS фоторезисторах приводится с разрешения Hamamatsu Photowks К.К). Эта материалы являются полупроводниками, сопротивление которых меняется при попадании на их поверхность света, т.е. фотоэффект здесь заключается в изменении удельного сопротивления материала. Очевидно, что фоторезисторы необходимо подключать к источникам питания. На рис.2.4.1 показана схема фоторезистивного элемента. Из рисунка видно, что в нем на поверхности двух противоположных концов фотопроводника нанесены электроды. В темноте такой элемент имеет очень высокое сопротивление, и, следовательно, при подключении к нему источника напряжения V, темновой ток в цепи, наличие которого объясняется тепловыми явлениями, будет очень низким. При попадании света на поверхность фоторезиста, в цепи потечет ток ip:

Рисунок 2.4.1 - Структура фоторезистора

Рисунок 2.4.2 - Фоторезистор серпантинной формы

Причина увеличения тока заключается в следующем. Непосредственно под зоной проводимости кристалла находится донорный уровень, а над валентной зоной располагается акцепторный уровень. В условиях темноты эти уровни являются практически заполненными электронами и дырками, что объясняет высокое сопротивление полупроводникового кристалла.



 (2.4.1)

где  - коэффициенты подвижности свободных электронов и дырок (см/ В · с), а  - продолжительности жизни электронов и дырок (с), е - заряд электрона, а f - количество образующихся носителей заряда в единице объема в течение одной секунды. Для CdS элементов , поэтому проводимостью за счет дырок можно пренебречь, а датчики считать полупроводниками n типа. Тогда становится справедливым уравнение:

 (2.4.2)

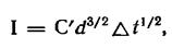
Чувствительность b фоторезистора может быть выражена через количество электронов, образованных при поглощении одного фотона (за время жизни электрона):

 (2.4.3)

где tt =  - время пролета электроном расстояния между электродами l,

а V - приложенное напряжение.

Отсюда можно вывести еще одно выражение:

 (2.4.4)

Например, при  = 300 см2/В · с,  = 10З с, l = 0,2 мм, а V=1,2 В, чувствительность будет равна 900. Это означает, что при поглощении одного фотона происходит высвобождение 900 электронов, обеспечивающих проводимость материала. Отсюда видно, что фоторезистор является очень чувствительным детектором, работающим как фото умножитель.

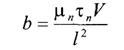
Можно показать, что для улучшения чувствительности и снижения сопротивления резистивного элемента расстояние между электродами необходимо уменьшать, а ширину детектора d - увеличивать. Для выполнения этих условий детектор должен быть очень коротким и очень широким. Для этого фотодетектору часто придают форму серпантина (рис.2.4.2)

В зависимости от методов изготовления фоторезистивные элементы можно разделить на три группы: монокристаллические, спеченные и напыленные. Спеченные фоторезистивные элементы обладают наибольшей чувствительностью и простотой формирования больших чувствительных зон, а также сравнительно низкой стоимостью. Технология изготовления CdS элементов состоит из следующих этапов:

а) Порошок CdS высокой чистоты смешивается с соответствующими компонентами и флюсом;

б) Полученная смесь растворяется в воде;

в) Раствор в виде пасты наносится на поверхность керамической подложки и выдерживается некоторое время до высыхания;

г) После этого подложка с нанесенной пастой помещается в печь с высокой температурой, где происходит процесс спекания для получения структуры, состоящей из нескольких кристаллов. На этом этапе происходит формирование фотопроводящего слоя;

д) На полученную структуру наносятся электроды и крепятся выводы;

е) Датчик размещается в пластиковом или металлическом корпусе с или без окошка.

Для изменения спектральной характеристики фоторезистора в смесь порошка, формируемую на первом этапе, вводят некоторые добавки. Например, введение селенида или даже замена CdS на CdSe приводит к сдвигу спектральной характеристики в область более длинных волн (в оранжевый и красный диапазон).

Две схемы, показанные на рис.2.4.3, приведены для иллюстрации способов применения фоторезисторов. Схема А является схемой автоматического включения света при снижении освещенности (часть схемы, выключающей свет на рисунке не показана). Схема Б соответствует схеме маяка, реализованного на основе мультивибратора, включающегося в темноте при повышении сопротивления фоторезистора.

Рисунок 2.4.3 - Примеры применения фоторезисторов:

А - схема управлением включения света;

Б - схема маяка.

3. Источники погрешностей ограничивающих точность измерений

3.1 Источники погрешностей связанные с магниторезистивным эффектом

Погрешность нуля, обусловленная дрейфом остаточного напряжения, является одной из наиболее трудно устраняемых составляющих погрешности преобразователей Холла. Дрейф главным образом связан с колебаниями температуры преобразователя и наличием градиента температур между его

электродами. Одной из причин возникновения градиента температур является эффект Пельтье, который имеет место при питании преобразователя постоянным током.

Погрешность нуля является основной характеристикой, определяющей применимость преобразователей Холла для измерения слабых магнитных полей.

Погрешность линейности у различных типов преобразователей при изменении магнитной индукции от 0 до 10 Тл составляет 1-10%.

Хорошей линейностью характеристик отличаются преобразователи Холла из антимонида индия, у которых погрешность линейности составляет 0,1-1% в диапазоне В=0÷2 Тл и 1% при В=0,1÷10 Тл. Малую погрешность линейности (0,2%) при магнитной индукции до 1 Тл имеют преобразователи из арсенида-фосфида индия (InAsP).

Погрешность от собственного магнитного поля преобразователя. При прохождении через преобразователь тока возникает магнитное поле. Если это поле асимметрично, то интегральное по площади пластины значение индукции не будет равна нулю, а составит некоторую величину Bас. Асимметрия поля может иметь место, если обратный провод токового вывода расположен вблизи преобразователя и асимметрично по отношению к нему. Возникающая в результате взаимодействия индукции Вас и тока I дополнительная ЭДС Холла пропорциональна квадрату тока I. Если преобразователь находится на значительном расстоянии от ферромагнитных деталей, то магнитная индукция собственного поля преобразователя обычно не превышает 10-6-10-4 Тл. При нахождении преобразователя вблизи полюсных наконечников индукция этого поля может достигать 5•10-4-10-3 Тл, что приводит к существенной погрешности. Основной путь уменьшения влияния собственного магнитного поля - правильный монтаж преобразователя.

Погрешность направленности обусловлена зависимостью выходного сигнала преобразователя Холла от его пространственного расположения по отношению к вектору магнитной индукции. Напряжение Холла имеет максимальное значение, когда вектор магнитной индукции направлен параллельно магнитной оси преобразователя, указывающей направление наибольшей чувствительности. В идеальном случае магнитная ось совпадает с нормалью к плоскости преобразователя.

Вопросы стабильности преобразователей Холла еще недостаточно изучены. По имеющимся данным, нестабильность чувствительности у некоторых типов преобразователей составляет 0,1 - 1% в год. Существенное влияние на стабильность могут оказать механические напряжения, возникающие в процессе изготовления преобразователя и при его монтаже в датчике, а также температурные деформации. Преобразователи без подложки более стабильны, чем наклеенные на подложку.

Температурная погрешность преобразователей Холла обусловлена зависимостью от температуры постоянной Холла, сопротивления преобразователя и остаточ­ного напряжения. Температурный коэффициент чувствительности у лучших типов преобразователей составляет (5÷10)•10-5 К-1. Малые значения температурной по­грешности характерны для преобразователей на основе гетероэпитаксильных структур InSb тройного соединения InAs0,8P0,2 (γΘ≤0,0003 К-1), из арсенида галлия (γΘ≤0,0006 К-1 в диапазонах температур 20-300 °С), а также для некоторых типов преобразователей из германия (γΘ≤0,0003 К-1), предназначенных для работы в относительно узком диапазоне температур.

Если температурные коэффициенты постоянной Холла и сопротивления имеют одинаковые знаки и близки по значению, коррекцию температурной погрешности можно осуществить при питании преобразователя от источника стабильного напряжения. Такой режим питания целесообразно применять для преобразователей Холла из антимонида индия. Уменьшение температурной погрешности достигается также при применении схем коррекции с использованием терморезисторов. Однако, поскольку напряжение Холла сложным образом зависит от ряда температурно-зависимых параметров, осуществить точную коррекцию температурной погрешности практически невозможно, особенно для широкого диапазона рабочих температур.

.2 Источники погрешностей связанные с тензорезистивным эффектом

Погрешности измерения тензорезисторамивозникают за счёт следующих основных факторов:

влияния температуры преобразователя на его сопротивление и линейное расширение;

ползучести характеристики, т.е. её изменения, вызываемого остаточными деформациями в преобразователи при длительном действии значительных по величине нагрузок, близких к допустимым;

невоспроизводимости характеристики преобразования при нагрузке и разгрузке;

изменения крутизны характеристики преобразования от времени из-за старения материалов, особенно из-за изменения свойств клеящих компонентов;

снижения чувствительности при увеличении частоты деформаций, когда длина распространяющейся в детали звуковой волны деформации становятся соизмеримой с базой преобразователя.

Наиболее существенное влияние на величину погрешности имеет первый фактор. Изменение сопротивления преобразователя от изменения температуры соизмеримо с изменением сопротивления от действия деформации. Температура тензорезистора зависит от температуры окружающей среды и величины тока, протекающего через резистор. Изменения температуры должно учитываться при обработки результатов путём введения коррекций или, что более желательно, автоматической компенсацией температурной погрешности. Для снижения температурной погрешности используют несколько путей:

выбирают материал для тензорезистора с малым температурным коэффициентом линейного расширения, близким к коэффициенту расширения детали;

применяют компенсационные преобразователи, располагаемые в непосредственной близости от однотипного рабочего, но не подвергаемы действию деформации;

используют самокомпенсирующие тензорезисторы, состоящие из двух частей. Одна часть обладает положительным температурным коэффициентом сопротивления, вторая - отрицательным. Правильным подбором величин и температурных коэффициентов сопротивлений частей датчика добиваются высокой степени компенсации температурной погрешности. Особенно широкое применение такой способ нашёл при изготовлении полупроводниковых тензорезисторов.

Основная погрешность выпускаемых в настоящее промышленностью проволочных и фольговых тензорезисторов при компенсации температурной погрешности не превышает 1%.

3.3 Источники погрешностей связанные с терморезистивным эффектом

Основными источниками погрешностей терморезистивных датчиков являются неточность подгонки R0 и отклонение W100 от номинального, а также нестабильность этих параметров за время эксплуатации, причем временные изменения R0 и R100 зависят от измеряемой температуры. Относительные погрешности терморезистивных преобразователей (в %), обусловленные неточностью подгонки R0 и отклонением W100 от номинального значения, определяются выражениями:

; (3.3.1)

 (3.3.2)

где  - относительное отклонение Ro от номинального значения; А - отклонение коэффициента А от номинального значения. Поскольку:

 (3.3.3)

где W100 = W100 - W100ном; W100 и W100ном - действительное и номинальное значения отношения R100 и Ro соответственно.

Нестабильность терморезистивных преобразователей (ТРП) объясняется изменением значения Ro и W100 вследствие загрязнения чувствительного элемента конструкционными материалами. Погрешности, возникающие вследствие изменений Ro и W100 имеют разные знаки, поэтому они частично компенсируются.

В технических условиях на преобразователи указываются допускаемое значение тока через чувствительный элемент и вызываемый им нагрев с соответствующим изменением сопротивления при внешней температуре 0 ° С. Поскольку в ТПР объем материала чувствительного элемента по сравнению с объемом пространства, занимаемого самим элементом незначителен, поверхность охлаждения целесообразно определять как поверхность проволоки ЧЭ или принять, что нагрев ЧЭ измерительным током I равен:

 (3.3.4)

откуда ток нагрева:

 (3.3.5)

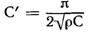
где

С - коэффициент пропорциональности, равный (S - поверхность охлаждения проволоки);

Р - мощность, выделяемая в термопреобразователе;- диаметр проволоки ЧЭ;

р - удельное сопротивление проволоки.

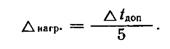
Если погрешность от нагрева должна быть пренебрежимо малой, то ее принимают равной предела абсолютной допускаемой погрешности изменения температуры , то есть:

 (3.3.6)

Тогда максимально допустимое значение измерительного тока определится из выражения:

 (3.3.7)

Откуда нетрудно получить:

 (3.3.8)

tN - нормирующее значение диапазона измерений, равное tmax − tmin;

 - допускаемая приведенная погрешность измерения температуры.

.4 Источники погрешностей связанные с фоторезистивным эффектом

Погрешности фоторезистивных ИП обусловлены следующими причинами: 1) нестабильностью свойств материала фоторезистора во времени; 2) изменением параметров и характеристик фоторезистора под действием температуры; 3) влиянием фоновой засветки.

При длительной эксплуатации фоторезисторов изменяются характеристики фоточувствительного слоя и необходима периодическая проверка и градуировка фоторезистивного ИП.

При изменении температуры фоторезистора изменяется его сопротивление, порог чувствительности (увеличивается с ростом температуры) и изменяются постоянные времени (с ростом температуры , как правило, уменьшаются). Для уменьшения этой погрешности фоторезисторы подвергают тренировке.

Погрешность, обусловленная фоновой засветкой, уменьшается применением специальных оптических фильтров.

Заключение

резистивный эффект погрешность измерение

В первой части данной курсовой работы предложено описание резистивного эффекта, включая формулы поясняющие этот эффект.

Во второй части был рассмотрен примеры технических устройств, основанный на выбранном мною эффекте. Рассмотрены принципы работы магниторезисторов, фоторезисторов, тензорезисторов и терморезисторов и их характеристики, а также были описаны факторы, влияющие на точность измерений.

Также по материалом, представленным в данной курсовой работе можно сделать некоторые выводы, а именно: к преимуществам приборов, которые основаны на резистивном эффекте можно отнести простую технологию изготовления, дешевизну приборов, использование для измерения розличных неэлектрических велечин и т. д.

К недостаткам рассматриваемых датчиков следует отнести сравнительно большую инерционность, нелинейность , большой разброс параметров и т. д.

Список использованных источников

1.        Агеев, О. А. Микроэлектронные преобразователи неэлектрических величин / О. А. Агеев; Таганрогский государственный радиотехнический университет. - Таганрог, 2000. - 153с.

2.      Готра, З. Ю. Датчики / Ю. З. Готра и др.; Каменяр. - Львов, 1995. - 312с.

.        Миронов, Э. Г. Методы и средства измерений / Э. Г. Миронов; Уральский государственный технический университет имени первого Президента России Б. Н. Ельцина. - Екатеринбург, 2009. - 462 с.

4.      Фрайден, Дж. Современные датчики / Дж. Фрайден; Техносфера. - Москва, 2005. - 592 с.

.        Студопедия - лекционный материал для студентов [Электронный ресурс] / Применение электромагнитных явлений в физических измерениях URL: http://studopedia.net/10_122032_primenenie-elektromagnitnih-yavleniy-v-fizicheskih-izmereniyah.html (дата обращения: 05.04.2015).

6.      Виртуальный фонд естественнонаучных и научно-технических эффектов "Эффективная физика" [Электронный ресурс] / Фоторезистивный эффект URL: http://www.effects.ru/science/48/index.htm (дата обращения: (20.04.2015).

.        StudFiles.ru [Электронный ресурс] / ТЕНЗОРЕЗИСТОРЫ URL: http://www.studfiles.ru/preview/1074821/ (дата обращения: 06.04.2015).

Похожие работы на - Использование резистивного эффекта для измерения физических величин

 

Не нашли материал для своей работы?
Поможем написать уникальную работу
Без плагиата!
Без нейросетей!