Технический проект сыродельного завода

  • Вид работы:
    Курсовая работа (т)
  • Предмет:
    Другое
  • Язык:
    Русский
    ,
    Формат файла:
    MS Word
    82,49 Кб
  • Опубликовано:
    2016-04-01
Вы можете узнать стоимость помощи в написании студенческой работы.
Помощь в написании работы, которую точно примут!

Технический проект сыродельного завода

Введение

технологический баланс завод сыродельный

Сливки - молочный продукт с 10-35% жира, получают сепарированием молока. Сливки обладают высоким содержанием жира. Они весьма питательны, содержат минеральные соли и витамины, такие, как А, Е, В1, В2, РР. В сливках содержится 3,5% белков, 4,3% углеводов, калий, фосфор, магний, хлор, железо, цинк.

Кроме того, в сливках содержится витамин D, необходимый для усвоения кальция и фосфора. Доказано, что кальций из сливок усваивается лучше, чем из круп, хлеба и овощей. Сливки вкусны и их часто используют для приготовления кондитерских изделий.

Научные исследования показали, что известен сыр на протяжении семи тысяч лет.

В настоящее время сыр является одним из функциональных пищевых продуктов. Он хорошо усваивается организмом человека и имеет высокую пищевую ценность благодаря повышенной концентрации белков, липидов, минеральных солей, витаминов.

Отраслевая целевая программа «развитие маслоделия и сыроделия России на 2012-2013 годы» предусматривает увеличение объемов производства сыра натурального собственного производства, повышение его потребления населением России, максимальное сокращение импорта.

Одной из задач для достижения целей является увеличение объемов производства сыра за счет использования современных технологий, позволяющих уменьшить ресурсоемкость производства.

Современное производство сметаны и сыра будет обеспечивать высококачественную и безопасную продукцию для потребителей.

Цели и задачи курсового проекта.

Цель:

1. Систематизировать знания и практические умения.

. Проанализировать освоение профессиональных компетенций.

. Укрепить навыки работы с первоисточниками при разработке запланированного ассортимента.

Задачи:

1. Провести продуктовый расчет запланированного ассортимента, составить материальный баланс предприятия.

. Разработать процессуальную схему для обеспечения выработки продуктов.

. Построить совмещенный график технологических процессов и работы оборудования.

. Подобрать необходимое оборудование.

. Запроектировать объекты микробиологического и технохимического контроля технологических процессов, сырью и готовых продукции.


1. Продуктовый расчет

технологический баланс завод сыродельный

Расчет производства молочных продуктов основан на материальном балансе и выполняется с учетом производственных потерь.

Исходными данными для расчетов принимаются показатели сырья из условия задания, а для готовой продукции из нормативных приказов об утверждении норм расходов сырья при выработке молочных продуктов.

Технический проект сырцеха, производительностью 40 т в смену, мдж сырья 3,7%. Вырабатывается сыр литовский и сливки питьевые 20% мдб в молоке-сырье 3,05%.

.        Расчет годовой мощности предприятия

т в смену

 (т) в сутки

, где (1)

 - количество молока в год, т

 - количество молока в сутки

 (т)

.        Определение жира нормализованной смеси на сыр

, где (2)

 - жир норманизованной смеси

 - постоянный коофициент = 0,5

 - белок молока = 3, о5%

.        Расчет при нормализации молока в потоке проводим используя квадрат смешения

1,53  

Из 80000 кг - 18,47 ч.ц.молока

Из х кг - 2,17 ч.сливок

Из 80000 кг - 18,47 ч.ц.молока

Из х кг - 16,3 ч.н.см. на сыр

. Количество сливок при нормализации

 (4)

 кг

. Расчет количества нормализованной смеси

 (5)

. Проверка жиробалансом

, где (6)

 - жир цельного молока, %

 - жир нормализованной смеси, %

 - жир сливок, %

 

= 2960

. Определение потери сливок при нормализации

, где (7)

П - потери сливок, кг

. Расчет количества сливок с учетом потерь при сепарировании

. Расчет сыра литовского

, где (8)

 - количество сыра

 - норма расхода сыра литовского (приказ №200) =12230

. Определение количества головок сыра

, где (9)

 - количество головок сыра, шт.

 - масса головки сыра литовского = 5 кг

 (штук)

. Определение количества сыворотки

, где (10)

 - количество сыворотки

 - норма сбора сыворотки - 80%

 (кг)

. Расчет сливок

, где (11)

 - количество готовых сливок


Таблица суточного материального баланса

Операции

Продукты

Цельное молоко 3,7%

Норм.смесь 1,53%

Сливки 20%

Сыворотка 0,3%



кг

кг

кг

кг

Поступило на зовод


80000

2960







От нормализации




706000,98

1080,19

9399,02

1879,80



От выроботки








56480,78

169,44

ИТОГО в приходе


80000

2960

70600,98

1080,19

9399,02

1879,80

56480,78

169,44

Направленно на нормализацию


80000

2960







На сыр

5772,77



70600,98

1080,19





На сливки

9314,26





9399,02

1879,80



В реализацию








56480,78

169,44

ИТОГО в расходе


80000

2960

70600,98

1080,19

9399,02

1879,80

56480,78

169,44



Таблица годового материального баланса

Операции

Продукты

Цельное молоко 3,7%

Норм.смесь 1,53%

Сливки 20%

Сыворотка 0,3%



т

т

т

т

Поступило на зовод


24000

888







От нормализации




21180,29

324,06

2819,71

563,94



От выроботки








16944,23

50,83

ИТОГО в приходе


24000

888

21180,29

324,06

2819,71

563,94

16944,23

50,83

Направленно на нормализацию


24000

888







На сыр

1731,83



21180,28

324,06





На сливки

2794,28





2819,71

563,94



В реализацию








16944,23

50,83

ИТОГО в расходе


24000

888

21180,28

324,06

2819,71

563,94

16944,23

50,83

2. Технология вырабатываемых продуктов

Сырье, поступающее на предприятие принимают ГОСТа 52084-3003 по сортам, фильтруют с помощью тканевых фильтров, учитывают счетчиками объемного действия.

В случае необходимости охлаждают до температуры 4ºС на пластинчатом охладителе А1-ООЛ-25. Далее сырье резервируется в емкостях В2-ОМГ-25 внутри помещения с елью бесперебойной работы предприятия.

Затем все поступающее сырье подогревается до температуры 40-45ºС с целью снижения вязкости в секции рекуперации пластинчатой установки. И направляется на саморазгружающийся сепаратор-нормализатор.

Нормализуют в потоке до мдж 3,5%.

Во время нормализации идет центробежная очистка. Затем молого гомогенизируют при температуре 45-55ºС и давлении 10-15 МПа.

После гомогенизации молоко пастеризуют при температуре 76±2ºС и выдержкой 20 сек. Цель пастеризации: уничтожить патогенную микрофлору молока. Режим пастеризации должен обеспечить безопасность потребляемого молока.

Пастеризованное молоко охлаждают до 4-6ºС. Резервируют в емкостях для хранения, затем разливают и упаковывают в бумажную тару на автомате ФП-3300

Срок хранения герметично упакованных пастеризованного молока при температуре 4±2ºС составляет 3 суток.

Технологический процесс производства пастеризованных сливок состоит из следующих операций: нормализации, получения сливок (сепарирование), гомогенизации, пастеризации, охлаждение, фасование, упаковывание и хранение. Сливки подогревают в секции рекуперации установки А1-ОП1-У1 до температуры 45-50ºС и направляют на гомогенизацию.

Гомогенизированные сливки пастеризуют при температуре 87±2ºС с выдержкой 15-20 сек.

После гомогенизации сливки направляют в секцию пастеризации, пастеризуют при температуре 85-90ºС, τ=18-20 сек. С целью уничтожения микроорганизмов и разрушения ферментов в том числе липазы.

Технологический процесс производства сыра. Состоит из следующих стадий и технологических операций: резервирование молока; созревание молока; нормализация; тепловая обработка; вакуумная обработка; ультрафильтрация молока.

Подготовка молока к свертыванию: Наполнение сыродельных ванн, Внесение компонентов (бактериальная закваска молочнокислых и ароматобразующих сирептококков, СаСl2). После внесения закваски через 10-15 мин вносят хлористый Са, который диссоциирует на катионы Са и анионы Сl.

Сычужный фермент ищет связь в молекуле белка между метианином и финилалаином, разрушает ее отщипляя сильно отрицательные гликомакропептит и оставляя менее отрицательный параказеин. В дальнейшем параказеин за счет присоединения катионов Са образует ККФК.

Получение и обработка сгустка: свертывание молока; обработка сгустка и сырного зерна; формование сыра; самопрессование и прессование сыра; посолка сыра; созревание сыра.

Длительность и режимы технологических операций различны для разных видов сыра.

При обработки зрелого и части незрелого молока смесь молока перекачивают насосом через уравнительный бак в секцию рекуперации пастерицационно-охладительной установки. Подогретое молоко подают на сепаратор-нормализатор для очистки и нормализации. Затем после тепловой обработки в секцию пастеризации и охлаждения в секцию рекуперации до температуры свертывания молоко через насос направляется в аппарат выработки сырного зерна.

Формование τ=30 мин. Способ формования из пласта. Цель: собрать сырные зерна в пласт и предать им форму сыра. В процессе формования нарастает титруемая кислотность и активная.

Самопрессование τ=30 мин. Сыворотка из центра сырного зерна уходит в перефирии и вытекает. Прессование τ=1,5 часа. Цель: создать замкнутый контур, выделить сыворотку. Во время прессования продукта нарастает титруемая и активная кислотность.

Посолка сыра t= 8-12 ˚С τ=2,5 - 3,5 суток. Цель: соль регулирует микробиологический и биохимический процесс, формирует вкус, способствует образованию корки, влияет на консистенцию, рисунок и выход сыра.

Созревание t=14-16 ˚С τ= 1 месяц. При созревании сыра идут глубокие изменения составных частей молока. Сыр приобретает вкус, запах, цвет, консистенцию, рисунок.

Получение сыворотки: охлаждение; резервирование; отгрузка.

3. Технохимический контроль производства

Технический контроль на производстве способствует повышению качества выпускаемых молочных продуктов. Технохимконтроль производства на предприятии молочной промышленности осуществляют сотрудниками лаборатории или отдела технического контроля (ОТК).

Главными задачами технохимического контроля является следующие:

·        предотвращение выработки и выпуска предприятием продукции не соответствующей требованиям НТД (нормативно - технической документации);

·        укрепление технологической дисциплины и повышение ответственности всех звеньев производства за качество выпускаемой продукции;

·        осуществление мер по рациональному использованию материальных ресурсов, постоянному увеличению на этой основе выпуска продуктов из 1 т сырья при меньших затрат материальных, трудовых, финансовых и энергетических ресурсов.

Одним из основных условий для выполнения этих задач является дальнейшее усиление технического контроля на предприятиях. Предусматривается совершенствование организации труда и технического перевооружения по пути максимального метрологического обеспечения комплексными техническими средствами управления, измерения и контроля.

Главная цель метрологической службы - повышение качества продукции, эффективности управления и использования материальных ценностей, достоверности учета и т.д.

Точность измерения показателей сырья, полуфабрикатов, технологических параметров, массы компонентов при их дозировании - основа получения продукции гарантированного по физико - химическим показателям качества, а точность измерения и поддержания температуры и микробиологических показателей во многом определяет санитарную ее безопасность.

Положение об отделе технического контроля предусмотрены следующие функции технохимического контроля:

·        контроль качества поступающего сырья, тары, основных и вспомогательных материалов;

·        контроль технологических процессов обработки молочного сырья и производство молочных продуктов;

·        контроль качества готовой продукции, тары, упаковывания, маркировки и порядка выпуска продукции с предприятия;

·        контроль условий режимов и сроков хранения сырья, материалов и готовой продукции на складах;

·        контроль качества продукции и материалов во время хранения на складах;

·        контроль расхода сырья, материалов и выхода готовой продукции;

·        контроль режима и качества мойки, дезинфекции тары и оборудования;

·        контроль реактивов, применяемых для анализа моющих и дезинфицирующих средств и приготовления химических растворов;

·        контроль состояния приборов;

·        подготовка и проведение дней качества продукции.


№ п/п

Наименование молочной продукции

ГОСТ, ТУ, ОСТ

Органолептические показатели

Физико-химические показатели

Вкус, запах

консистенция

цвет

МДЖ (%)

Кис-ть (˚Т)

плотность

1

Сливки питьевые

ТУ 10,02,02 789-08-89

Характерный для сливок, без посторонних привкусов и запахов, с легким привкусом кипячения.

Однородная в меру вязкая. Без хлопьев белка и сбившихся колочков жира.

Белый с кремовым оттенком, равномерный по всей массе.

20

15,5-17,5

2

Сыр «Литовский» брусковый

Слабовыраженный сырный, кисловатый, допускается горечь и слабокормовой привкус.

Плотная или слегка ломкая на изгибе.

30


4. Схема контроля технологического производства пастеризованных сливок и сыра литовского

Сливки питьевые

Контролируемый показатель

Молоко сырье

Ор, К, Т, Ж, Мх, А, Re, М, Б

Хранение

Т, К, τ

Подогрев

Т

Сепарирование: сливки обезжиренные

Ж

Молоко

Ж

Нормализация

Ж, К

Пастеризация сливок

Т, Эn, τ

Гомогенизация сливок

Т, Эr, Р

Охлаждение

Т

Сливки перед розливом

Т, Ор, К, Ж

Фасование

Т, К, V, Тn

Готовая продукия

Т, Ор, Ж, К

Хранение

Т, τ

Сыр литовский брусковый

Контролирующий показатель

Молоко сырье

Ор, Т, М, А, Ж, Б, К, Мх, Re

Хранение

T, τ

Подогрев

Т

Нормализация в потоке

Т, Ж, Б

Пастеризация

Т, К, Эn, τ

Охлаждение

Т

Молоко перед свертыванием

Ж, К

Внесение компонентов

М

Свертывание

Т, τ, К, Кcч

Обработка сырного сгустка

Т, τ, Ксч

Сыворотка

К, Ж

Формование

Т, τ, К

Самопрессование и прессование

τ, Р, К, Вн

Сыр после прессования

Вл, Ж, К

Рассол

Т, Кон, К, Сn

Посолка сыра

Τ, τ, К

Созревание

τ, Т

Готовый продукт

Вл, Ж, Сn, Вн, Кон, Щр, Св

хранение

τ, Т




Условные обозначения:

Ор - органолептическая оценка

М - масса, кг

Т - температура, С

А - плотность, кг/м

К - кислотность, Т

Ж - массовая доля жира, %

Сч - чистота

τ - продолжительность, с, ч.

Эп - эффект пастеризации

Эг - эффект гомогенизации

Вл - массовая доля влаги, %

Ту - термоустойчивость

Р - давление, МПа

Вяз - вязкость

Ри - проба на редуктазу

С - концентрация

φ - относительная влажность, %

5. Микробиологический контроль производства

При разработке высококачественных и стойких в хранении молочных продуктов необходимо соблюдать санитарный режим на производстве организуется микробиологический и санитарно - гигиенический контроль.

С этой целью систематически на производстве организуется микробиологический и санитарно - гигиенический контроль.

Объектами этого контроля являются:

молоко и другое немолочное сырье

полуфабрикаты в процессе изготовления продукта

готовая молочная продукция

бактериальные закваски

воздух и вода. Используемые на производстве

инструменты и оборудование

тара и упаковочные материалы

руки и одежда рабочих.

Микробиологический контроль производится работниками бак. Отдела производственной лаборатории и санитарно-эпидемиологической станции/СЭС/, закрепленной за предприятием.

Контроль производится согласно действующей инструкции по микробиологическому контролю на предприятиях молочной промышленности.

Количественный и качественный учет микроорганизмов в молоке и молочных продуктах осуществляется различными методами. Это микроскопирование: посев исследуемых материалов на питательные среды, редукционные методы контроля.

Оценка результатов контроля дается согласно действующей нормативно-технической документации / НТД / на данный продукт или объект.

В данном методическом указании показана организация микробиологического контроля различных производств, где указаны объекты контроля, определяемые показатели. Периодичность контроля и ориентировочные микробиологические характеристики готовых продуктов по НТД.

Условные обозначения, принятые в методическом указании:

МАФАМ - мезофильные аэробные и факультативно-анаэробные микроорганизмы.

БГКП - бактерии группы кишечной палочки.

Контроль качества пастеризованных сливок

Объект контроля

Определяемый показатель

Периодичность контроля

Ориентировочное содержание микроорганизмов в 1 гр/ продукта

Сырое молоко Пастеризованное молоко из пастеризовано - охладительной установки

МАФАМ БГКП МАФАМ БГКП

1 раз в 10 дней 1 раз в 10 дней 1 раз в 10 дней 1 раз в 10 дней

4 х  В 0,001  1 х  В 10

Пастеризованное молоко из резервуара для хранения Фасованное пастеризованное молоко

МАФАМ  БГКП МАФАМ БГКП

1 раз в месяц  1 раз в месяц Ежедневно Ежедневно

3 х   В 1 - 0,1  1 х  В 0,01


Контроль производства сыра

Объект контроля

Определяемый показатель

Периодичность контроля

Ориентировочное содержание Микроорганизмов в 1 гр//продукта




Количество микроорганизмов в КОЕ

БГКП, должны отсутствовать в

Молоко из транспортной тары           Молоко из пастеризатора Смесь из ванны или сыроизготовителя Сыр после прессования Сыр зрелый

Сычужно-бродильная проба. Проба на брожение. Споры мезофильных анаэробов дактат - сбраживающих Бактерий БГКП МАФАМ БГКП БГКП    БГКП  БГКП

   1 раз в 10 дней         1 раз в 10 дней  1 раз в 10 дней  1 раз в 10 дней  1 раз в 10 дней

1.2 класс   1.2 класс 1*        - 5 *  - -  -  -

-   - -    В 0,001    - В 10   В 1-0,1   В 0,001-0,00001 г. В 0,1-0,001 г

Примечание: в случае появления пороков сыре определяют споры мезофильных анаэробных дактат - сбраживающих бактерий.

6. Подбор и расчет оборудования

При подборе и расчете оборудования необходимо руководствоваться следующими положениями:

. Обеспечение поточности технологических процессов.

. Наиболее экономичный расход пара, вода, электроэнергии, холода.

. Максимальная степень механизации и автоматизации производственных процессов.

. Максимальное использование оборудования.

. Необходимоподбирать новейшее технически совершенное оборудование.

. Необходимо подбирать однотипное оборудование с одинаковой производительностью и емкостью

Рекомендуемая продолжительность приёмки.

. для сырзаводов до 50 т. В смену, приемка двухсменная по 3 часа каждый день.

. Определения количества сырья принимаемое в час:

;

Где: Ксырья - масса принимаемого молока в сутки, кг;

t-время приёмки молока, час.

;

Для обеспечения приёмки молока по сортам проектируется 3 центробежных насоса марки 36-3Ц-5-10, производительностью 13000 л/ч.

Счетчики для учета поступающего молока подбираются в соответствии с производительностью насосов. Проектируется 3 счетчика в комплекте с фильтрами и воздухоочистителями марки УИМ-25, производительностью от 2,5 до 25000 л/час.

Охладители для охлаждения и доохлаждения молока подбираются в соответствии с производительностью приемных насосов. Проектируется 3 пластинчатых охладителя марки А1-ООЛ-25, производительностью 13000 л/час.

Для контрольного взвешивания сырья, подбираются весы СМИ-25.

Таким образом, одна линия приемки включает в себя:

Наименование

Марка

Производительность

Центробежный насос

36-3Ц3-5-10

13000 л/час

Счетчик

УИМ-25

13000 л/час

Пластинчатый охладитель

А1-ООЛ-25

25000 л/час


. Определения количества насосов:

;

m - производительность насоса;

Кчас - количество часов;

Действительное время приёмки.

;

Рекомендуется:

Для сыродельных заводов - 100%

, где

 - рекомендуемый процент резервирования;

Для резервирования данного количества сырья предусматриваются ёмкости внутри помещения 25000 л

Подбираем ёмкости внутри помещения марки В2-ОМГ-25, вместимостью 25000 л.

Число ёмкостей.


Vёмк - вместимость ёмкости;

Для транспортирования сырья в ходе технологического процесса на каждые 2-3 ёмкости предусматривается один насос:


Примечание: производительность и марка насосов будет зависеть от производительности оборудования, установленного на следующую технологическую операцию; она может быть чуть-чуть выше.

. Подбор оборудования для тепловой обработки сырья

Для тепловой обработки сырья устанавливаемое оборудования подбирается по паспортной производительности с учётом эффективного времени работы аппарата.

На выработку сыра направлено 80 тонн сырья в сутки

. Определяем количества сырья, которое не обходимо пропастеризовать в час.


По данному количеству подбираем пластинчатую теплообменную установку

А1-ОКЛ-10 производительностью 10000 литров.

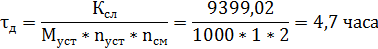
. Определяем число установок


. Уточняем время работы установки


Примечание: Все остальные теплообменные аппараты (подогреватели, трубчатые пастеризаторы) если не изменяется тепловой режим - подбираются аналогично.

Подбор сепараторов-нормализаторов

Сепараторы подбираются по часовой производительности.

Число сепараторов:


Продолжительность сепарирования

Ксеп - количество сепарируемого молока в смену, кг;

Кпр - коэффициент использования сепаратора (0,9; 0; 95)

τсеп - продолжительность сепарирования в смену по графику технологического процесса;

Мсеп - производительность сепаратора;

Nсм - число смен.

Как правило, число сепараторов округляют до целого числа в сторону увеличения.

В качестве сепаратора-нормализатора используется обычный сливкоотделитель обеспеченный специальной приставкой.

Для свертывания нормализованной смеси подбирают сыродельные ванны в соответствии с продолжительностью цикла их занятости, (цикл определяем из графика технологических операций. Сыродельная ванна марки В2-ОСВ-10 1 штука)

Продолжительность технологического цикла в сырных ваннах при получении сырной массы:

; где:

 - время наполнения ванны, мин;

 - продолжительность подготовки молока к свертыванию, мин;

 - продолжительность свертывания молока, мин;

 - продолжительность разрезки зерна, мин;

 - продолжительность вымешивания, мин и тд.

Количество циклов в смену:

;

Где:  - продолжительность смен, мин;

 - подготовительно-заключительное время, мин.

Количество молока передаваемого за 1 сутки:

;

Где:  - количество нормализованной смеси в смену, кг.

Количество сыродельных ванн 10000 л.


Где: V - емкость сыродельных ванн, л.

Проектируется установить 4 сыродельных ванны марки В2-ОСВ-10 вместимостью 10000.

Насосы для слива сыворотки из сыродельных ванн подбираются по производительности:


Где: Т - время откачивания сыворотки, час

 - масса откачиваемой сыворотки, кг.

Проектируется установить 3 центробежных насоса марки 36-3Ц3-5-10, производительностью 13000 л/ч.

Емкость для пастеризованной воды подбирается по количеству воды, вносимой в ванны за смену, т.е. 10000, проектируется 2 резервуара марки В2-ОМГ-25 вместимостью 25000 л.

Формовачные аппараты подбираются в соответствии с графиком технологического процесса и их оборачиваемости, как правило на две сыродельные ванны предусматривается один формовочный аппарат.


Проектируется 2 формовочных аппаратов, марки Я5-ОФИ, вместимостью 74 головки.

Количество прессов определяется по их пропускной способности с учетом продолжительности прессования, исходя из графика технологических процессов, подобрано 4 пресса, марки Я7-ОПЭ производительностью 76 головок.

Для охлаждения и резервирования сливок полученные при сепарировании подбирается емкость с рубашкой Я1-ОСВ-5 вместимостью 6300 литров, в количестве 1 штуки. Для тепловой обработки сливок, подбирается пастеризауионно-охладительная установка с учетом

Определяем количество пастеризованных сливок в час


Подбирается установка ОП1-У1, производительностью 1000 кг/час. Определяем количество установок:

Уточняем время работы установки


Данная установка доукомплектовывается гомогенизатором клапанного типа, марки SHZ-20, производительностью 1,0-4,2 кг/час.

Для резервирования сливок перед розливом устанавливаем емкость марки Я1-ОСВ-5, вместимостью 63000, в количестве 1 шт.

Для розлива сливок подбирается автомат по часовой производительности с учетом

Определяем количество разливаемых сливок в час.


Подбирается автомат ФП-3300, производительностью 3300 уп/час, V=0,25 л.

Определяем производительность автомата.

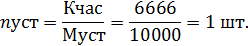
Определяем число автоматов


Определяем время работы автомата


Спецификация оборудования

оборудование

Марка тип

Производительность вместимость емкость

Количество. шт

Габариты размера

Общая площадь

Площадь занимаемая единицей об-я

Центробежный насос

36-3Ц3-5-10

13000

3

520

225

503

0,1

0,3

Счетчик

УИМ-25

2,5-25000

3

475

495

1025

0,2

0,6

Охладитель пластинчатый

А1-ООЛ-25

13000

3

2000

705

460

0,1

0,3

Емкость

В2-ОМГ-25

25000

2

62000

2820

3600

0,2

0,4

Насос

36-1Ц2-8-20

10000

1

430

225

295

0,1

0,1

Пластинчатая пастеризационно-охладительная установка

А1-ОКЛ-10

10000

1

5430

4200

2500

0,2

0,2

Ванна сыродельная

В2-ОСВ-10

10000

4

6200

2430

2315

0,2

0,8

сепаратор

А1-ОСН-С-10

10000

2

2300

1300

2500

0,1

0,2

Фармовочный аппарат

Я5-ОФИ

5000

2

4450

1820

2690

0,1

0,2

Пресс тунельный

Я7-ОПЭ

76

4

3350

1520

1560

0,1

0,4

Охладитель

А1-ООУ-10

10000

1

1600

700

1400

0,1

0,1

Емкость

В2-ОМГ-25

25000

4

6200

2820

3600

0,2

0,8

Насос

36-3Ц3-5-10

10000

1

520

225

503

0,1

0,1

Емкость для сливок

Я1-ОСВ-5

6300

1

2500

2135

3912

8,4

8,4

Насос

50-3Ц7-1-20

25000

1

825

365

690

0,3

0,3

Емкость

Я1-ОСВ-5

6300

1

2500

2135

3912

0,5

0,5

Гомогенизатор

SHZ-20

1,0-4,2

1

1115

1150

1250

1,3

1,3

Пастеризатор

ОП1-У1

1,25

1

1900

700

1500

0,1

0,1

Расфасовочный автомат

ФП-3300

3300

1260

1140

2470

1,4

2,8


8. Мойка оборудования

Санитарная обработка является одной из стадий технологического процесса производства молока и молочных продуктов, улучшение которой будет способствовать повышению производительности труда, качества продукции, снижению ее себестоимости.

Для мойки оборудования на молочных предприятиях применяют следующие химикаты: карбонат натрия кристаллический (кальцинированная сода), гидрооксид натрия (каустическая сода), азотная кислота, щелочной раствор «Ника» концентрации 1,2 - 1,5%, кислотный раствор «Неокляр».

Если оборудование дезинфицируют раствором хлорной извести, то его тщательно промывают водопроводной водой, соответствующей требованиям ГОСТа 2874 - 82. Для дезинфекции, кроме хлорной извести, применяют средства «Неосептол», а так же пар и горячую воду с t=98˚С в течении 15 мин.

На молочных предприятиях применяют СМС (синтетические моющие средства): концентрированное моющее средство «Марс», «Септодор» концентрацией 0,03% порошок «МS».

Моющие и дезинфицирующие растворы готовят на предприятиях в емкостях. Контроль за санитарию - гигиеническим состоянием оборудования должен осуществляться в строгом соответствии с инструкцией по мойке и дезинфекции оборудования.

. Управление производством и организации условий охраны труда рабочих и служащих

В основе этого раздела-требования норматировных документов Министерство труда России. В составе проекта предусматриваются следующие решения:

- Организационная система управления предприятием и отдельными производствами:

- автоматизированная система управления и ее информационное функциональное организационное и техническое обеспечение:

автоматизация и механизация труда работников управления.

В материалах проекта уделяется должное внимание санитарно-гигиеническим условиям труда работающих. Разрабатываются мероприятия по охране труда и технике безопасности, в том числе решения по снижению производственных шумов и вибрации, загозованности помещений избытка тепла, повышения комфортности условий труда и т.д.

При разработке технической документации на создание производственных мощностей рекомендуется использовать передовой зарубежный и отечественный опыт организации производства с высоким уровнем механизации и автоматизации контроля, медицинского обслуживания.

Необходимо, особенно при реконструкции предприятия, и уделять внимание физическим факторам предупреждения производственного травматизма. Среди них можно особо выделить по значению производственный микроклимат, так как этот фактор на предприятиях молочной отрасли не удовлетворяет допустимым показателям.

В проектах должны предусматриваться средства индивидуальной защиты рабочих: спецодежда, спецобувь, воздушно-тепловые души, а также должны быть предусмотрены рациональные режимы и отдых.

На предприятиях отрасли работающие обеспечиваются санитарно-бытовыми устройствами по типу санпроспускника.

Для организации медицинского обслуживания работающих предусматриваются физиотерапевтические и другие кабинеты.

Эффективными мерами предупреждения травматизма могут быть: применение средств индивидуальной защиты, специальных цветов и опознавательных знаков предупреждения об опасности.

На любом предприятии проводится следующие виды инструктажа: вводный, текущий, внеплановый и на рабочем месте.

В задачи профилактики воздействия биологически опасных и вредных производственных факторов входит в комплекс мер, направляемых на уничтожение, ликвидацию насекомых, устранение неприятных запахов методами дезинфекции, дезинсекции и дезодорации.

При проектировании систем управления предприятием необходимо предусматривать организацию работы по обеспечению его средствами производства, организацию согласований и слаженной работы людей, направленной на создание материальных ценностей и повышение эффективности производства.

При проектировании систем управления предприятиями молочной промышленности рекомендуется учитывать целый ряд функции, в том числе:

общее руководство, делопроизводство, кадры:

обеспечение переработки молока и совершенствование технологии:

использование техники и ее совершенствование:

учет и отчетность:

организацию производства, труда и заработной платы:

контроль за качеством продукции:

материально-техническое снабжение, менеджмент и маркетинг.

При выборе систем управления для каждого конкретного случая необходимо закладывать точность и своевременность информации, которая должна быть удобной в использовании, лишена дублирования, излишеств.

Количество информации зависит от числа производственных единиц, технологических процессов.

Основным средством информации продолжает оставаться бумажный документооборот, который на предприятиях молочной промышленности достаточно велик, что, в свою очередь, требует стандартизации и унификации документов, форм, бланков и использования счетнорешающих машин.

Особое внимание в проектах необходимо уделять внедрению систем управления         , обеспечивающих совокупность методов, принципов, техники компьютеризации управленческих работ.

Заключение

Данная курсовая работа направлена на удовлетворение потребителей в молочных продуктах питания.

Запланированные цели и задачи курсового проекта выдержаны

Для выработки запроектированного ассортимента предусмотрена современная технология.

Подобрано технически совершенное оборудование, которое обеспечивает поточность производства, например, саморазгружающийся сепаратор, пластинчатая пастеризационно-охладительная установка.

Для обеспечения выпуска продукта высокого качества, все технологические процессы, сырье и готовая продукция подвергаются технохимическому и микробиологическому контролю.

Процессуальная схема, а также совмещенный график технологического процесса и работы оборудования позволяет сделать вывод о поточности производства и уменьшении затрат электроэнергии.

Мероприятия по охране труда и окружающей среды улучшают условия производства, увеличивают производительность труда работающих.

В ходе работы над проектом проведен достаточный анализ и обзор необходимой специальной литературы

Список используемой литературы

1.   Архипов А.Н. Структурообразование молочных продуктов. «Молочная промышленность». - 2012

2.      Головкина М.В. Ультрафильтрация молока - скрытые резервы. «Переработка молока». - 2012

.        Зобкова З.С. Страничка технолога. «Молочная промышленность». - 2012

.        Миклух И.В. Нормализация молока и молочных продуктов по белку. «Молочная промышленность». - 2012

.        Володин Д.Н. Прогрессивный подход к классическим технологиям. «Молочная промышленность». - 2012

.        Гудков А.В. Сыроделие: технологические, биологические и физико-химические аспекты. - 2013

.        Жукова Л.Л. Новый метод ускорения созревания сычужных сыров. «Молочная река». - 2013

.        Рощупкина Н.В. Изучение сырьевого состава нетрадиционных продуктов на рынке сыров. «Переработка молока». - 2014

Похожие работы на - Технический проект сыродельного завода

 

Не нашли материал для своей работы?
Поможем написать уникальную работу
Без плагиата!
Без нейросетей!