Изучение шумовых свойств полупроводников
Содержание
Введение
. Литературный обзор
.1 Электрические методы исследования электрофизических
и фотоэлектрических свойств полупроводников
.1.1 Вольтамперная характеристика
.1.2 Вольтфарадная характеристика, вольтсименсная
характеристика
.1.3 Метод нестационарной спектроскопии глубоких
уровней, фотопроводимость
.1.4 Фото-электродвижущая сила
.1.5 Фотоемкостной эффект
.2 Наблюдение фотостимулированных эффектов в
полупроводниках
.2.1 Фотостимулированные преобразования в элементарных
полупроводниках
.2.2 Фотостимулированные преобразования в
полупроводниках AIIIBV
.3 Модели фотостимулированных изменений в
полупроводниках
Выводы по главе 1
. Теоретическое рассмотрение шумовых свойств
фоторезисторов при совместном действии напряжения и фоновой засветки
.1 Экспериментальные результаты по шумам
фоторезисторов из CdSe
.2 Расчет фотопроводимости и напряжения шума при
действии фоновой засветки
.3 Расчет дисперсии флуктуаций числа носителей заряда
в примесно-дефектных полупроводниках при действии фона
.4 Сравнительный анализ экспериментальных и
теоретических результатов
Выводы по главе 2
. Модельные представления о формировании электрических
свойств в поликристаллических материалах при фоновой засветке
3.1 Математическая модель изменения шума фоторезистора
при действии фона
.2 Физическая модель формирования шума в
поликристаллических полупроводниках при действии фона
Выводы по главе 3
Заключение
Список использованных источников
Приложение А. Решение интеграла
Введение
Изучение шумовых свойств полупроводников в сочетании с внешними
воздействиями способно дать информацию, недоступную другим методам. Так,
наличие фоновой засветки способно качественно и количественно изменить шумовые
свойства полупроводникового прибора, изготовленного из кремния и соединений AIIBVI (GaAs, InSb).
Эти изменения могут использоваться как на практике, так в научных
исследованиях, поскольку помогают глубже понять механизмы перестройки дефектной
структуры полупроводника при допороговых воздействиях. Ввиду многих причин
флуктуации заряда в полупроводнике механизмы изменения шума в полупроводниковых
соединениях типа CdSe при засветке
до настоящего времени не установлены.
Ранее при исследовании шумовых свойств фоторезистора на основе CdSe получены экспериментальные
зависимости плотности шума от напряжения смещения и уровня фоновой засветки.
Расчет дисперсии числа носителей заряда в полупроводниках является довольно
сложным процессом, учитывающим влияние множества факторов. Одним из таких
факторов является воздействие фоновой засветки на образец, сложным образом
влияющей на зависимости шумового напряжения от параметров эксперимента.
Объяснение этому влиянию не может быть дано в рамках классических представлений
о структуре полупроводника и механизмах формирования шума.
Целью работы является установление физических механизмов формирования
шума в полупроводниковых соединениях AIIBVI и построение физико-математической
модели их формирования в фоторезисторах из поликристаллического n-CdSe, объясняющей возникновение одного или нескольких
минимумов шумового напряжения при определенных значениях напряжения смещения и
мощности фоновой засветки.
Указанная цель достигается решением следующих задач:
а) изучение монографий и периодических изданий по структуре
полупроводниковых соединений AIIBVI и их электрическим свойствам;
б) изучение периодической литературы по фотоэлектрическим и шумовым
свойствам полупроводниковых соединений AIIBVI в частности CdSe;
в) рассмотрение влияния фоновой засветки на фотопроводимость и шумовое
напряжение полупроводниковых фоторезисторов;
г) расчет дисперсии флуктуации числа носителей заряда по теореме Лэкса;
д) учет флуктуации неравновесных носителей сгенерированных засветкой, в
формировании шумового напряжения фоторезистора;
е) рассмотрение математической модели влияния засветки на шумы фоторезисторов
из n-CdSe;
ж) построение физической модели формирования электрических свойств в
поликристаллическом соединении AIIBVI.
1. Литературный обзор
1.1
Электрические методы исследования электрофизических и фотоэлектрических свойств
полупроводников
1.1.1
Вольтамперная характеристика
Вольтамперные характеристики полупроводникового прибора могут сниматься в
темноте и при действии освещения. В первом случае измеряемая вольтамперная
характеристика (ВАХ) отражает фундаментальные свойства прибора, связанные с его
легированием, наличием структурных дефектов и т.д. В случае измерения ВАХ при
освещении исследуются изменения токопроводящих свойств прибора, вызванные
появлением неравновесных носителей заряда.
При различных величинах светового потока на фотоэлемент подают постоянное
напряжение и измеряют протекающий через него ток. При приложении положительного
напряжения (прямого напряжения) на анод фотоэлемента измеряется прямая ветвь
ВАХ, а при подаче отрицательного напряжения (обратного напряжения) измеряется
обратная ветвь. Ток, протекающий через фотоэлемент, зависит от величины
светового потока, падающего на него от лампы. Если прямая ветвь ВАХ зависит от
напряжения по сверхлинейному закону (например по экспоненциальному закону), то
появление в приборе фотоЭДС приводит к изменению падения напряжения на
исследуемом приборе, что в силу сверхлинейной зависимости тока от напряжения
приводит к резкому снижению прямого тока. В этом случае ВАХ с освещением
показывает как меняется фоточувствительность полупроводникового прибора с
изменением напряжения смещения на нем.
Существует несколько разновидностей методик измерения ВАХ, связанных с
изменением формы прикладываемого напряжения смещения. При подаче напряжения
смещения в виде импульсов с медленно изменяемой амплитудой, удается
зарегистрировать процессы быстрой перезарядки эквивалентных параметров
полупроводникового прибора, что существенно увеличивает информативность метода.
Данный метод основан на наличии сквозного тока через диэлектрик,
приводящего к различным фотоэлектрическим эффектам, связанным с неравновесным
состоянием приповерхностного слоя полупроводника.
1.1.2
Вольтфарадная характеристика, вольтсименсная характеристика
Вольтфарадные методы измерения параметров полупроводников основаны на
определении зависимости емкости структуры, обусловленной наличием объемного
заряда в приповерхностной области полупроводника, от приложенного к ней
напряжения, задающего состояние объемного заряда. Одновременно к структуре
прикладывается тестовое напряжение заданной частоты. Методы, основанные на
измерении вольтфарадных характеристик в настоящее время являются одними из
самых распространенных для исследования электрофизических свойств
полупроводникового прибора: высоты потенциального барьера в p-n переходе, уровня легирования активной области прибора,
распределения электронных состояний по запрещенной зоне полупроводника, а также
для определения параметров глубоких центров в нем (сечения захвата носителей,
концентрация примеси).
По аналогии с методологией расширения измерения ВАХ при измерении
вольтфарадных характеристик также применяют дополнительные воздействия в виде
освещения, наложения магнитного поля, упругого напряжения. Указанные
воздействия позволяют проследить кинетику перестройки примесно- дефектных
комплексов полупроводника, оказывающих легирующее или рекомбинационное
действие.
Также могут оказывать влияние другие факторы, которые могут варьироваться
при измерениях. Одним из таких факторов является воздействие на структуру
внешнего излучения, приводящего к возникновению фотоемкости.
По своей информативности вольтсименсные характеристики полупроводниковых
приборов отличаются от ВАХ, поскольку регистрируют
генерационно-рекомбинационные свойства исследуемого прибора. Последние
оказываются более динамичными и более чувствительными к внешним воздействиям.
Поэтому расширение методик измерения вольт-сименсных характеристик путем
применения дополнительных воздействий оказывается в 4-7 раз информативнее
вольт-фарадных характеристик методик. Как пример высокой чувствительности ВСХ
методик к ГР свойствам полупроводника можно привести работу [1], в которой
обнаружено изменение скорости рекомбинации неравновесных носителей заряда в
соединениях АIIIBV
после воздействия слабых электрических и магнитных импульсов.
1.1.3
Метод нестационарной спектроскопии глубоких уровней, фотопроводимость
Особенностью метода нестационарной спектроскопии глубоких уровней
является использование электронных устройств, чувствительных лишь к глубоким
уровням, для которых скорость испускания заряда находится в узкой заданной
области значений.
Поскольку скорость испускания носителей заряда сильно изменяется с
изменением температуры, тепловое сканирование позволяет зарегистрировать
наличие глубоких уровней различного типа при характерных для них температурах, когда
скорость испускания попадает в заданную область ее значений. Подавая на
структуру повторяющиеся импульсы обратного напряжения, можно воспроизводить
степени заполнения глубоких уровней и измерять скорость изменения емкости после
каждого импульса. Таким образом, при любой заданной температуре глубокие уровни
опустошаются со своими скоростями испускания. Повторяющийся характер процесса
ведет к увеличению чувствительности и повышению стабильности измерений за счет
усреднения сигналов. Процессы, протекающие в структуре, зависят от характера,
подаваемого на структуру напряжения [2].
Данный метод позволяет быстро обнаружить глубокие уровни в широком
диапазоне энергий, и с достаточной точностью определить параметры уровней.
1.1.4
Фото-электродвижущая сила
ФотоЭДС - электродвижущая сила, возникающая в полупроводнике при
поглощении в нём электромагнитного излучения. Объемная фотоЭДС возникает в
неоднородных полупроводниках, в которых градиент удельного сопротивления
отличен от нуля.
Физический механизм возникновения фотоЭДС такой же, как и во всех других
источниках тока: внешнее воздействие в виде света с достаточно большой энергией
кванта переводит электроны на более высокий энергетический уровень, с которого
они стремятся вновь перейти на прежний. За счет этого образуется разность
потенциалов [3].
Метод фотоЭДС является чувствительным к центрам генерации и рекомбинации
зарядов в полупроводниковом приборе.
1.1.5
Фотоемкостной эффект
Фотоемкостной эффект основывается на изменении емкости обедненного слоя
структуры металл-полупроводник, или p-n перехода возникаемой при освещении
образца светом с различной длинной волны.
Исследуемую структуру предварительно охлаждают, чтобы первоначально все
глубокие уровни были заполнены электронами. Далее прикладывают обратное напряжение
и освещают монохроматическим светом из области примесного поглощения. Так как
скорости теплового испускания слишком малы, то изменение емкости структуры
обусловлено лишь изменением плотности объемного заряда за счет фотоионизации
глубоких ловушек.
Изменение степени заполнения глубокого уровня электронами влечет за собой
изменение плотности объемного заряда структуры, толщины обедненного слоя при
постоянном напряжении и, как следствие, емкости структуры.
Измерение параметров глубоких центров с помощью фотоемкости основано на
перезарядке глубоких уровней в слой объемного заряда светом с энергией фотона
меньшей, чем ширина запрещенной зоны полупроводника.
Данный метод позволяет определять концентрацию, энергию ионизации,
сечение фотоионизации и другие параметры уровней.
1.2
Наблюдение фотостимулированных эффектов в полупроводниках
1.2.1
Фотостимулированные преобразования в элементарных полупроводниках
В работе [4] исследован шум 1/f в n-Si в условиях освещения видимым излучением. Показано, что при
комнатной температуре поверхностный шум преобладает над объемным шумом.
Традиционно поверхностный шум в кремниевых приборах связывают с
захватом-выбросом носителей заряда на континентально распределенные по энергии
поверхностные состояния.
На рисунке 2.1 представлены зависимости относительной спектральной
плотности шума от относительной интенсивности подсветки для фиксированных
частот анализа.
Частота, Гц: 1-40, 2 - 80, 3 - 320, 4 - 1280. Сплошные горизонтальные
прямые - уровень шума. Интенсивность J0 соответсвует
освещению образца точечной лампой накаливания мощностью 100 Вт
Рисунок 2.1 - Зависимость относительной спектральной плотности шума от
интенсивности подсветки для различных частот анализа.
Из данного рисунка видно, что заметное влияние на шум оказывает даже
световой поток лампы, ослабленый в 108-109 раз. По мере
увеличения интенсивности подсветки шум на данной частоте возрастает, достигает
максимума и затем монотонно уменьшается.
На рисунке 2.2 показаны зависимости спектральной плотности шума от
интенсивности освещения, рассчитанные в соответствии с предложенной моделью, по
следующему выражению:
(2.1)
Рисунок 2.2 - Расчетные зависимости относительной спектральной плотности
шума на данной частоте от уровня освещенности
В качестве модели предполагается возникновение шума 1/f за счет флуктуаций заполнения
уровней хвоста плотности состояний.
Экспериментально показано, что на каждой частоте анализа должна
наблюдаться немонотонная зависимость шума от интенсивности подсветки. При
низких уровнях освещенности (малая концентрация дырок) шум должен сначала
расти, а затем по мере увеличения интенсивности подсветки достигать максимума и
в дальнейшем монотонно уменьшаться, становясь меньше темнового. При этом чем
ниже частота анализа, тем при меньших интенсивностях света достигаются максимум
шума и его последующее уменьшение.
Каждый уровень, принадлежащий хвосту плотностей состояний, в отсутствие
освещения характеризуется своей постоянной времени. Таким образом, за шум 1/f на выделенной частоте f отвечают уровни, находящиеся на
определенной глубине Е от дня зоны проводимости. Все эти уровни лежат ниже
уровня Ферми Еf.
Флуктуации заполнения уровней, лежащих выше Еf, ответственны за уровень шума на более высоких
частотах.
Появляющиеся в результате освещения дырки захватываются на уровни хвостов
состояний с вероятностью, не зависящей от энергии Е. Однако в условиях
стационарного освещения степень заполнения уровней сильно зависит от Е,
поскольку время захвата электронов на освободившиеся места экспоненциально
зависит от энергии. При слабой освещенности, характеризующейся низкой скоростью
генерации дырок, уровни, лежащие в глубине запрещенной зоны могут быть
полностью опустошены, в то время как степень заселенности высоколежащих уровней
практически не изменится.
На рисунке 2.3 для четырех различных частот анализа представлены
рассчитанные зависимости шума на фиксированной частоте от интенсивности
подсветки. Видно, что чем выше частота, тем большая интенсивность подсветки
необходима для достижения максимального уровня шума и его последующего
уменьшения. На рисунке 2.3 также представлены экспериментальные зависимости для
частот анализа 80, 960,1280 и 5120 Гц:
а) Теоретический расчет. Для J ωτ00=
ωτ01= 4*10-13, для 2 - 4 ωτ00/
ωτ01: 2-10, 3-25, 4-50;
б) Экспериментальные кривые (300К). Частота анализа для I f1 =80 Гц, для 2 - 4 f/f1: 2-12, 3-16, 4-64. Штриховые прямые
- уровень шума в темноте.
Рисунок 2.3 - Зависимость относительной спектральной плотности шума от
интенсивности подсветки для четырех частот анализа.
Как видно из рисунка 2.3, расчеты, проведенные по данной модели, в
достаточной мере соответствуют экспериментально полученным данным.
.2.3 Фотостимулированные преобразования в полупроводниках AIIBVI
Влияние движения дислокаций на темновую проводимость и фотопроводимость.
Рассматривая явления, связанные с движением заряженных дислокаций в
соединениях AIIBVI, можно отметить влияние
движения дислокаций на темновую проводимость и фотопроводимость представленную
в работах [5-7]. Согласно данным полученным в ходе работ [6, 7], оказалось, что
при движении дислокаций темновая проводимость возрастает, а фотопроводимость
падает (рисунок 2.4) . Также было установлено, что эти эффекты находятся
примерно в прямой пропорциональной зависимости от скорости дислокаций и
уменьшаются по мере накопления пластической деформации.
Рисунок 2.4 - Диаграмма деформации и ток проводимости Iпр(t) (а); фототок Iф(t) образца ZnSе
(б): t1,t2 - выключение и включение
деформирующей машины; скорость деформирования 10 мкм*мин-1
В соответствии с предполагаемой в [6,7] моделью, увеличение темновой
проводимости вызвано ионизацией глубоких примесных уровней в электрических
полях, набегающих на них дислокаций. При этом выброшенные с таких уровней
электроны попадают в зону проводимости и увеличивают электропроводимость.
Энергетическая диаграмма с изображением движения заряженных частиц представлена
на рисунке 2.5. При этом утверждается, что концентрация ионизованных в таком
процессе примесей (107-109 см-3) составляет
лишь небольшую часть от их полной концентрации (1014-1016 см-3),
данные значения являются крайне малыми для обнаружения их экспериментально.
Рисунок 2.5 - Изгиб энергетических зон вблизи дислокаций
Влияние движения дислокаций на фотопроводимость, проявляющееся в
уменьшении времени жизни неравновесных носителей, пока что не имеет однозначной
интерпретации. Предполагается, что оно может быть связано с выбиванием дырок с
центров медленной рекомбинации и с последующим их захватом на центры быстрой
рекомбинации. Однако увеличение темпа рекомбинации при движении дислокаций
может происходить и при транспортировке дислокациями захваченных неравновесных
носителей к центрам рекомбинации.
Увеличение фоточувствительности и интенсивности люминесценции.
В кристаллах, в результате освещения в интервале от комнатных до более
низких температур, происходит значительное увеличение фоточувствительности,
сопровождающееся возрастанием интенсивности полосы люминесценции (λmax = 1.03 - 1.06 мкм в CdS). Эта люминесценция, как было было
предложено в работе [8], связана с излучательным захватом электронов на
основные акцепторные центры фоточувствительности в CdS (так называемые r-центры). Детальное исследование этих процессов показало, что
оба они обусловлены возникновением в кристалле, в результате протекания
физико-химических реакций, большого числа акцепторных r-центров фоточувствительности того же типа, которые
обуславливают фоточувствительность обычных кристаллов CdS.
Для рассматриваемых процессов ФХР характерны следующие два
обстоятельства:
а) одновременно с возникновением новых r-центров в кристаллах всегда образуются в той же концентрации
мелкие доноры (Ec -
0.05 эВ), связанные, по-видимому, с междуузельным Сdi+ . Они отчетливо проявляются в спектрах
термостимулированной проводимости при низких температурах (рисунок 2.6).
Рисунок 2.6 - Кривые термостимулированного тока до (кривая 1) и после
(кривая 2) протекания ФХР
Возрастание пика при 40К обусловлено ростом концентрации соответствующих
центров прилипания, возрастание пика при 100К вызвано очувствлением кристалла
при постоянстве концентрации центров прилипания;
б) для образования обоих типов центров необходимо присутствие свободных
дырок. Они могут быть созданы не только собственным светом или биполярной
инжекцией носителей из электродов, но и применением специальной инфракрасной
подсветки, возбуждающей в валентной зоне дырки, ранее созданные светом и
закрепившиеся на глубоких центрах в кристалле.
Первый факт указывает на происходящий при ФХР распад донорно-акцепторных
пар [(r-центр)- - Сdi+] созданных термообработкой на независимые (r-центр)- и Сdi+.
Второй факт объясняет этот процесс. Рассматриваемый комплекс, оба
компонента которого удерживаются кулоновскими силами, может захватить при
температурах протекания ФХР только дырку, поскольку акцепторный центр
достаточно глубокий (Ev +
1,0 эВ), а донорный - слишком мелкий (Ec - 0,05 эВ).
Отрицательный фотоемкостной эффект.
В пленках Cd1-xZnxS
и CdS1-xSex впервые обнаружены отрицательный
фотоемкостный эффект и отрицательные медленно релаксирующие фотоэффекты,
обусловленные переводом электронов, находящихся в наноразмерном
приповерхностном слое, с мелких энергетических уровней центров прилипания на
более глубокие с меньшей поляризуемостью и с наличием в этих материалах
наноразмерных кластеров, играющих роль резервуара для неосновных носителей
заряда, приводящих к замедлению релаксации фотоэффектов.
В работе [9] предполагается, что появление положительного фотоемкостного
эффекта, наблюдаемого в пленках с высокой фоточувствительностью, связано с
изменением зарядовых состояний электрически активных примесей, ответственных за
фоточувствительность в данной области спектра.
Наличие технологически неконтролируемых примесей, собственных дефектов
решетки и различного типа комплексов приводит к образованию в полупроводниковых
соединениях AIIBVI центров с глубокими уровнями. Вакансия
катиона является основным комплексообразующим дефектом и может находиться в
различных зарядовых состояниях.
Переход типа мелкий-глубокий уровень, по-видимому, связан с наличием
собственных дефектов решетки и различного типа их комплексов с примесью хлора и
кислорода, концентрация и спектр которых контролируются технологическими условиями
осаждения и термической обработки.
Поскольку при этом отрицательная фотоемкость наблюдается в
коротковолновой области спектра, она может быть обусловлена перебросом
электронов в приповерхностной области с мелких уровней на глубокие с меньшей
поляризуемостью.
.3 Модели
фотостимулированных изменений в полупроводниках
В работе [10] представлена модель фотоиндуцированного шума в
полупроводниках. В данной работе причиной роста шума при оптической подсветке
поверхностно-барьерной полупроводниковой структуры названа флуктуация
поверхностного потенциала полупроводника, вызванная случайными изменениями
концентрации неосновных носителей заряда (дырок), которая испытывает
дополнительные флуктуации в соответствии с вероятностным характером
рекомбинации неравновесных носителей, сгенерированных подсветкой. Этот процесс
также характеризуется средним значением времени пребывания носителей в зонах,
равным времени их жизни в структуре. Моменты данного случайного процесса
определяются параметрами механизма рекомбинации носителей заряда и поэтому
могут быть использованы для его исследования. Указанные фотоиндуцированные
изменения концентрации носителей заряда: её среднее значение и флуктуирующая
составляющая - изменяют электрическое поле ОПЗ и тем самым создают дополнительные
постоянную и флуктуирующую компоненты поверхностного потенциала. Последняя
увеличивается с ростом мощности подсветки и регистрируется в эксперименте как
дополнительный шум полупроводниковой структуры. Увеличение же подсветкой
среднего числа носителей заряда приводит к росту тока неосновных носителей, а
значит, к снижению дифференциального сопротивления ОПЗ, что отражается в
уменьшении уровня теплового шума структуры. Следовательно, в зависимости от
соотношения первого и второго моментов случайного процесса при оптической
подсветке изменения концентрации фотоиндуцированных неосновных носителей во
времени полный шум может увеличиваться или уменьшаться.
В работе [4] высказывается предположение, о том, что экспериментально
наблюдающийся шум типа 1/f вызван
суперпозицией генерационно-рекомбинационных процессов, обусловленных наличием
серии близко расположенных уровней или участка сплошного спектра уровней в
запрещенной зоне полупроводника. Тогда при низкой температуре, когда
большинство уровней, вносящих вклад в шум 1/f, лежит ниже уровня Ферми, появление дырок может приводить к
сильному увеличению шума. При высокой температуре, когда большинство уровней
практически пусто, дырки не будут влиять на уровень шума.
Выводы по
главе 1
В ходе литературного обзора фундаментальных изданий и периодической
литературы, изучены работы по различным фотоэлектрических эффектам в
полупроводниках, связанных с влиянием внешнего излучения.
Выяснено, что немонотонная зависимость шума от интенсивности падающего
излучения имеет место в различных полупроводниковых устройствах. При этом
поведение в элементарных полупроводниках и в соединениях AIIIBV довольно предсказуемо. Однако в
соединениях АIIВVI имеют место дополнительные эффекты,
вносящие изменение в фотоэлектрические свойства полупроводника.
Несмотря на большое количество работ экспериментального и теоретического
плана, до настоящего времени отсутствует общая модель, в полной мере
описывающая фотостимулированные преобразования в полупроводниках за счет
дополнительного светового воздействия. Ввиду этого необходимо создание полной
модели, применимой к различным полупроводниковым структурам и в достаточной
мере описывающей процессы, происходящие в полупроводниковых материалах при
воздействии фоновой засветки и после её окончания.
2. Теоретическое рассмотрение шумовых свойств фоторезисторов
при совместном действии напряжения и фоновой засветки
.1
Экспериментальные результаты по шумам фоторезисторов из CdSe
В работах [11-12] приведены результаты экспериментальных исследований шумов
фоторезисторов из CdSe, в которых
показано, что зависимость спектральной плотности шума фоторезистора от
напряжения смещения немонотонным образом зависит от мощности фоновой засветки:
существует диапазон напряжений и мощностей засветки, при которых напряжение
шума фоторезистора уменьшается в несколько раз. Также экспериментально
наблюдались квазипериодические колебания напряжения шума.
Образцы и методика измерения.
В качестве образцов для исследования использовались промышленно
выпускаемые фоторезисторы марок СФ 3-4Б и ФР-764, изготовленные из селенида
кадмия со структурой вюрцита. Фоторезисторы из полупроводника n-типа
проводимости представляли собой тонкую пленку с размерами фоточувствительной
площадки L2 =(5,8×5,8)мм 2 и темновым
сопротивлением R0 от 3 до 15 МОм. Освещаемая поверхность пленки
покрывалась просветляющим покрытием из TiO2 толщиной около 70 нм. Ширина
запрещенной зоны селенида кадмия ΔEg =1,74 эВ, подвижности электронов и дырок составляли
соответственно μn =800 см 2/(В* с), μp = 50 см 2/(В* с).
Экспериментальные исследования проводились на аппаратно-программном
комплексе, собранном на базе микрочипа ADuC812.
Схема входной цепи регистрации изменения параметров фоторезистора
(рисунок 3.1).
Рисунок 3.1- Входная цепь схемы регистрации сигнала и шума
Исследовались зависимости шумового напряжения Uш
фоторезистора марки СФ 3-4Б, измеренной на заданной частоте регистрации в
единичной полосе частот, от величины прикладываемого к фоторезистору
постоянного напряжения V при действии фоновой засветки регулируемой
мощности Pф.
На рисунке 3.2 показана зависимость спектральной плотности шумового
напряжения для фоторезистора марки ФР-764, от напряжения смещения и мощности
фоновой засветки на частоте 1кГц и при Pф = 3 отн.ед. В
области напряжений V > 5 В обнаружена группа следующих друг за другом
минимумов шума. С ростом мощности засветки глубины минимумов уменьшались, а
сами минимумы смещались в область больших напряжений смещения.
Рисунок 3.2 - Квазипериодические колебания шума в условиях фоновой
засветки
На рисунке 3.3 показана зависимость спектральной плотности шумового
напряжения Uш фоторезистора марки СФ 3-4Б, от напряжения
смещения и мощности фоновой засветки на частоте 1кГц и при Pф
= 3 отн.ед. Из рисунка следует, что увеличение Pф приводит к
появлению глубокого минимума шума в области средних значений V с
последующим ростом, а затем уменьшением его глубины и перемещением в область
малых V .
Рисунок 3.3 - Зависимость спектральной плотности шумового напряжения
Результаты исследования поведения минимума шума с ростом мощности
засветки Pф представлены на рисунке 3.4.
Рисунок 3.4 - Зависимости параметров минимума от мощности фоновой
засветки.
На вставке рисунка 3.4 показано определение параметров минимума шума: Vmin
-положение минимума на оси напряжений (кривая 1); ΔVmin - полуширина минимума (кривая 2), ΔUш -глубина минимума (кривая 3). По графику видно, что указанные
параметры резко уменьшаются с ростом мощностей засветки. Однако глубина
минимума в области малых Pф имеет подъем, сменяющийся спадом
при Pф >3,5 отн. ед.
.2 Расчет
фотопроводимости и напряжения шума при действии фоновой засветки
Фотопроводимость.
В работе [13] представлено выражение для расчета сигнала фотопроводимости
на входе схемы регистрации при наличии фоновой засветки, имеющее следующий вид:
, (3.1)
где
, (3.2)
. (3.3)
Данное выражение (3.1) показывает, что влияние фоновой засветки на сигнал
фотопроводимости определяется соотношением сопротивления нагрузки и темнового
сопротивления фоторезистора: в случае r > R0 фоновая засветка
уменьшает сигнал фотопроводимости, а при r < R0 - увеличивает.
Шумовое напряжение.
Согласно работе [13], спектральная плотность полного шума фоторезистора,
слагается из четырех различных составляющих спектральных плотностей: теплового
шума - UшT, дробового шума - UшДР,
генерационно-рекомбинационного шума - UшГР и токового фликкер-шума -
UшF, каждая из составляющих зависит от V и Pф.
Дисперсия теплового шума имеет следующий вид:
(3.4)
Из данного выражения (3.4) следует, что фоновая засветка фоторезистора
приводит к снижению уровня его теплового шума по закону Pф, и
что уровень теплового шума не зависит от напряжения смещения, что противоречит
экспериментальным данным о поведении шума фоторезистора как по влиянию засветки,
так и напряжения смещения.
(3.5)
Выражение (3.5) показывает рост напряжения дробового шума с увеличением
мощности фоновой засветки по закону Pф, а также зависимость
от напряжения смещения по закону V . Такое поведение напряжения
дробового шума не совпадает с экспериментальными зависимостями шумового
напряжения, где имеют место линейные зависимости.
Дисперсия напряжения токового фликкер-шума рассчитывается следующим
образом:
(3.5)
где К - константа фоторезистора; γ - постоянная Хогарта.
Из сравнения выражения с экспериментальными зависимостями шума можно
видеть, что спектральная плотность напряжения токового фликкер-шума имеет
линейную зависимость от V, совпадающую с экспериментальной. В то же
время действие фоновой засветки приводит к росту напряжения фликкер-шума. В
этой связи для объяснения наличия минимума шума на зависимости Uшf
(V) этой связи представляется необходимым включить в число
рассматриваемых фликкер-шумов шум, создаваемый за счет захвата носителей заряда
на состояния, находящиеся в хвостах плотностей состояний разрешенных зон, а
также поверхностные состояниях полупроводника.
Выражение для дисперсии фликкер-шума, описывающее шум за счет процессов
случайного захвата-выброса носителей заряда на состояния в хвостах зон
разрешенных значений энергий в объеме, а также на поверхностные состояния
освещаемой и тыловой поверхностей полупроводникового образца можно записать
следующим образом:
(3.6)
где τn, p (E) - время захвата (генерации-рекомбинации) подвижных
носителей заряда на хвосты состояний и поверхностные состояния.
.3 Расчет
дисперсии флуктуаций числа носителей заряда в примесно-дефектных полупроводниках
при действии фона
Из
сравнения теоретических и экспериментальных данных сделан вывод, что полный шум
фоторезистора при совместном действии напряжения и фоновой засветки слагается
из генерационно-рекомбинационного (ГР) и избыточного шума и может быть
вычислен, если известны дисперсии флуктуаций числа электронов
и дырок
в
образце. Основными участниками флуктуаций являются уровни прилипания из хвостов
плотностей состояний, поверхностные состояния и ГР состояния, находящиеся
вблизи середины запрещенной зоны, расположенных аналогично состояниям в модели
Мотта-Девиса.
Согласно
теореме Лэкса в случае шокли-риддовских переходов и прилипания носителей заряда
дисперсия полного числа носителей равна:

)
где

функция
Ферми-Дирака примесного уровня участвующего в формировании шума за счет перезарядки
электронами и дырками. Тогда полная дисперсия в образце с указанной зонной
диаграммой будет:
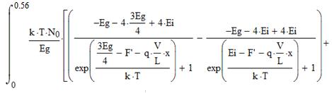
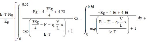
Данный интеграл вычислен по энергии примесно-дефектных состояний в
пределах запрещенной зоны и проинтегрирован по координате.
Исходя из функции распределения концентрации Nt(E) в запрещенной зонe (Рисунок 3.5), данный интеграл был разбит на несколько интегралов, для
уровней находящихся вблизи центра запрещенной зоны и для хвостов плотностей
состояний.
Рисунок 3.5 - Функция распределения концентрации Nt(E) в запрещенной зонe
Решение выражения (3.7) представлено в Приложении А.
Интеграл для уровней находящихся вблизи центра запрещенной зоны:
(3.8)
Интеграл для хвостов плотностей состояний:
(3.9)
Суммарный уровень напряжения шума:

(3.10)
Данные интегралы описывают зависимость напряжения шума от смещения и
мощности фоновой засветки представлены в аналитическом виде. Они были
протабулированы численными методами. Результаты табуляции показаны на рисунке
3.6.
Рисунок 3.6 - Расчетные зависимости напряжения шума от смещения в
диапазоне от 0 до 10 В
Как видно из рисунка 3.6, расчетные зависимости имеют монотонный характер
и не объясняют экспериментальное поведение спектральной плотности шума от
напряжения смещения.
.4
Сравнительный анализ экспериментальных и теоретических результатов
Математическое выражение для теоретического расчета напряжения шума в
зависимости от напряжения смещения и мощности фоновой засветки, составлено с
учетом известных классических моделей образования шума. Результаты, полученные
с помощью данного выражения, представляют собой монотонные зависимости, не
имеющие спада уровня шума.
Объяснением наличия минимума шума в экспериментальных результат может
служить наличие дополнительных эффектов вносящих вклад в поведение шума.
Выводы по
главе 2
Проведение расчетов в рамках классических представлений о действии
допорогового излучения на полупроводники не дает объяснения наличию минимума
шума при воздействии фоновой засветки.
Проведенное аналитическое рассмотрение показало, что наличие глубокого
минимума шума на полевой зависимости дисперсии шума от смещения и его
отсутствие на полевой зависимости того же образца может быть объяснено только
наличием несовпадающих переменных, фигурирующих в аналитических зависимостях
фотопроводимости и дисперсии шума. Сравнение этих зависимостей показало, что
таким параметром может быть только дисперсия флуктуаций полного числа
электронов и дырок в полупроводнике.
Вычисление дисперсии по теореме Лэкса показало, что этот параметр даже
при сложной энергетической диаграмме центров прилипании и рекомбинации не даёт
уменьшения величины шума с ростом напряжения.
В этой связи для объяснения экспериментальных данных может быть выдвинута
единственно возможная рабочая гипотеза о колоколаобразной зависимости концентрации
центров прилипания и (или) центров шокли-ридовской генерации-рекомбинации
носителей заряда. Причина изменения концентрации шумовых центров в
полупроводниках видится только как результат твердотельной электрохимической
реакции примесно-дефектных включений в полупроводнике с неосновными носителями
заряда, созданными фоновой засветкой. Местом локализации таких реакций с
большой долей вероятности, являются межфазные границы кристаллитов в
поликристаллическом материале.
3. Модельные представления о формировании электрических
свойств в поликристаллических
материалах при фоновой засветке
.1
Математическая модель изменения шума фоторезистора при действии фона
Предложена рабочая модель формирования шума с учетом имеющихся
экспериментальных результатов и известных механизмов преобразований в
полупроводниках.
Для конкретизации этого предположения выполнена математическая
аппроксимация зависимостей параметров минимума шума от мощности засветки и
напряжения смещения. Зависимость концентрации шумовых центров от напряжения
смещения и мощности фоновой засветки может быть описана следующим выражением:
(4.1)
где
- глубина минимума;
-
положение минимума на оси напряжений;
-
константы из эксперимента.
Выражение
показывает, что ввиду гауссового закона зависимости концентрации от напряжений
предполагаемое изменение концентрации происходит в большом числе шумовых
центров. Наличие в показателе экспоненты
указывает
на резонансный характер протекания фотоиндуцированных преобразований, что
возможно только при резонансном туннелировании частиц, вероятно, сквозь
энергетический барьер
.
3.2
Физическая модель формирования шума в поликристаллических полупроводниках при
действии фона
Возможным предположением относительно амплитуды изменения концентрации
центров является то, что она носит пороговый характер, квадратичная зависимость
свидетельствует об участии в фотопреобразованиях пары дырок.
Рисунок 4.1 - Энергетическая диаграмма процесса, при воздействии поля
Если в шумовом центре отдельные его атомы халькогена связаны с другими
атомами ковалентной связью, то за счет процесса туннелирования возможен переход
пары дырок к межфазной границе и их захват молекулой (рисунки 4.1, 4.2).
Рисунок 4.2 - Туннелирование дырок к межфазной границе
В результате происходит разрушение данной связи, а, следовательно,
изменение физико-химической структуры шумового центра.
Выводы по
главе 3
Используя экспериментальные данные по поведению минимума шума в CdSe, в зависимости от мощности фоновой
засветки, предложена математическая модель, описывающая формирование шума в
виде изменения концентрации шумовых центров. Выражение включает в себя
нормальное распределение, что говорит о хорошем согласовании с классическими
физическими представлениями. В качестве физического обоснования выдвинуто
предположение о наличии физико-химических реакций, протекающих за счет переноса
пары дырок к межфазной границе. Данная модель подлежит дальнейшему рассмотрению
и уточнению. Для дальнейшего полного описания фотостимулированных
преобразований в полупроводниках за счет дополнительного светового воздействия,
необходимо проведение экспериментов по изучению структуры кристаллита, высоты
энергетического барьера и поверхностных состояний на межкристаллической
границе.
Заключение
полупроводник фоторезистор электрофизический
В ходе выполнения данной выпускной квалификационной работы были проведены
теоретические и экспериментальные исследования свойств полупроводниковых
соединений АIIВVI при воздействии на них фонового
излучения. Был проведен анализ имеющихся данных по фотостимулированным
преобразования в полупроводниках.
Проведен анализ по имеющимся экспериментальным данным, показывающий
наличие минимума шума, при совместном воздействии напряжения смещения и фоновой
засветки, на фоторезистор из CdSe.
Используя классические модельные представления произведен расчет
дисперсии флуктуации числа носителей заряда и проведено сравнение с
экспериментом.
На основе экспериментальных данных по поведению минимума шума от
параметров эксперимента, предложена математическая модель, описывающая
зависимость концентрации шумовых центров от напряжения смещения и мощности
фоновой засветки.
Предложена рабочая гипотеза, описывающая электронно-дырочные переходы на
границе раздела кристаллитов и поясняющая структурные преобразования шумовых
центров поликристаллического CdSe.
Список использованных источников
. Абдинов, А.Ш. Влияние света на подвижность свободных
носителей
заряда в кристаллах моноселенида индия / А.Ш. Абдинов Р.Ф.
Бабаева, С.И. Амирова, Н.А. Рагимова, Р.М. Рзаев // Физика и техника
полупроводников. - 2014. - Т. 48, вып. 8 - С. 1009-1013.
. Спектроскопия глубоких центров в полупроводниках // А.Т.
Мамадалимов, А.А. Лебедев, Е.В. Астрова - Ташкент: Университет, 1999 - 164 c.
. Войцеховский, А.В., Фотоэлектрические МДП-структуры из
узкозонных полупроводников./ А.В. Войцеховский, Давыдов В.Н., - Томск: Сов.
радио. - 1990. - 327 с.
. Дьяконова, Н.В. Природа объемного шума 1/f в GaAs и Si /
Н.В. Дьяконова, М.Е. Левинштейн, С.Л. Румянцев // Физика и техника
полупроводников - 1991. - Т. 25, вып. 12 - С. 2060-2104.
. Георгобиани, А.Н. Физика соединений AIIBVI / А.Н. Георгобиани, М.К. Шейкман. -
М.: Наука, - 1986. - 320 с.
. Петренко В.Ф. Автореф.докт.дисс. - Черноголовка. Ин-т
физики твердого тела АН СССР, - 1982.
. Влияние движения дислокаций на электропроводность Zn.Se /
А.В. Зарецкий, В.Ф. Петренко // ФТТ - 1978. - Т. 20. - С. 1167-1174.
. Шейнкман, М.К. Увеличение фоточувствительности и интенсивности
люминесценции при фототермической диссоциации донорно-акцепторных пар в CdS. //
Письма в ЖЭТФ. - 1972. - Т.15,вып. 2. - С. 673-676.
. Джафаров, М.А. Отрицательная фотопроводимость в пленках
твердых растворов соединений AIIBVI. / М.А. Джафаров, Э.Ф. Насиров, С.А.
Мамедова // Физика и техника полупроводников. - 2014. - Т. 48, вып. 5. - С.
590-596.
. Давыдов В.Н., Мусина, И.М., Гребенников, А.С. Влияние
фоновой засветки на электрические свойства фоторезисторов из селенида кадмия.
// Доклады ТУСУР - 2011. - Вып. 2 (24). - Ч.1. - С. 167-170.
. Давыдов, В.Н., Мусина, И.М., Гребенников, А.С. Шумовые
свойства фоторезисторов на основе селенида кадмия при фоновой засветке. // Изв.
вузов. Физика. - 2012. - Вып. 3. - Ч. 1. - С. 90-95.
. Давыдов, В.Н., Мусина, И.М., Гребенников, А.С., Анализ
электрических свойств фоторезисторов на основе CdSe в условиях фоновой засветки. // Доклады ТУСУР - 2011.
- Вып. 2 (24). - Ч. 1. - C.
171-178.
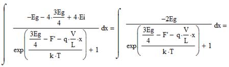
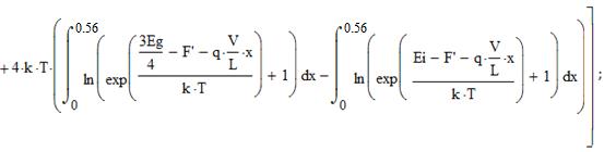
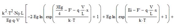
Приложение А. Решение интеграла
В данном приложении представлен ход решения интеграла, представленного в
формуле 3.7.
Начальный вид интеграла:
Примем:
Тогда исходный интеграл можно представить как:
Функция распределения концентрации Nt(E) в запрещенной зонe представлена на рисунке А.1.
Рисунок А.2 - Энергетическая диаграмма
Так как функция симметрична с обоих сторон относительно середины
запрещенной зоны Ei, то зададим Nt(E) от Ei до Ec (Рисунок А.2).
Рисунок А.2. Энергетическая диаграмма на участке от Ei до Ec
1)
При Ei
E
:
;
2)
При 
E
:
;
)
При 
E
:
Внутренний
интеграл разобьем на 3 участка:
Вычислим
первый внутренний интеграл, лежащий в пределах интегрирования от Ei до 
:
Для
этого применим формулу интегрирования по частям:

= UV- 
;
Где в качестве U(x) возьмем:
В качестве dV(x) :
Зная dV(x) определим V(x):
Найдем произведение U(x)*V(x) :
Вычислим интеграл V(x)*dU(x):
Получившийся внутренний интеграл можно представить как:
Данный
интеграл необходимо проинтегрировать по энергии от Ei до 
:
Перейдем
к вычислению внешнего интеграла:
Разобьем
на несколько интегралов:
Рассмотрим
каждый интеграл отдельно:
И тогда получившееся выражение для внешнего интеграла: