Применение компьютерных технологий в решении задач с параметрами
«Применение компьютерных технологий в
решении задач с параметрами»
г.
Оглавление
ВВЕДЕНИЕ
ОБЗОР ЛИТЕРАТУРЫ
ИСПОЛЬЗОВАНИЕ ВИДЕО РЕСУРСА ДЛЯ РЕШЕНИЯ УРАВНЕНИЙ С
ПАРАМЕТРАМИ
ЗАКЛЮЧЕНИЕ
ИСПОЛЬЗУЕМАЯ ЛИТЕРАТУРА И ИНТЕРНЕТ-РЕСУРСЫ
ВВЕДЕНИЕ
Изучение многих физических процессов и геометрических закономерностей
часто приводит к решению задач с параметрами. Уравнение, в котором помимо
переменной содержится буквенное выражение, называется уравнением с параметрами.
Задачи с параметром включены в ЕГЭ. Они по праву считаются одними из
самых сложных задач в курсе школьной математики.
Увеличение умственной нагрузки на уроках математики в старших классах
заставляет задуматься над тем, «Как осуществить самоконтроль своих знаний по
математике?», «Как сделать математические решения наглядными и понятными?»,
«Как научиться решать сложные математические задачи самостоятельно?».
Применение компьютерных технологий в изучении математики должно дать
ответы на эти вопросы. Для этих целей надо использовать современные системы
компьютерной математики, которые облегчая решение сложных математических задач,
снимут психологический барьер при изучении математики, делая его интересным и
достаточно простым.
Объект исследования: анимация графиков функций в современной системе
компьютерной математики.
Предмет исследования: графический способ решения уравнений с параметрами.
Цель: создание видео ресурсов для отработки приемов решения задач с
параметрами.
Задачи:
· изучить Интернет-ресурсы и литературу по данной проблеме;
· изучить возможности системы MathCAD для создания анимации
графиков функций;
· сделать выборку задач;
· создать видео ресурс для решения задач параметрами;
· оценить полученные результаты и сделать выводы.
Методы исследования:
• метод сравнительного анализа
литературы и программных средств;
• метод моделирования;
• метод наблюдения.
ОБЗОР
ЛИТЕРАТУРЫ
уравнение график функция mathcad
Для решения задач с параметрами используют аналитический и графический
методы. Есть определенный тип задач с параметром, для решения которых удобно
применять графический метод.
Задачи этого типа отличаются тем, что в них присутствует одно неизвестное
и один параметр. Алгоритм решения задач с параметром графическим методом
заключается в следующем [1]:
1. Преобразовываем исходное условие задачи к системе
неравенств, в которых неизвестное выражается через параметр, или, наоборот,
параметр выражается через неизвестное.
. Вводим систему координат (а;х), если мы неизвестное
выражали через параметр, или (х;а), если, наоборот, параметр выражали через
неизвестное.
. Изображаем в выбранной координатной плоскости
фигуру, которая задается множеством решений системы неравенств.
. "Сканируем" эту фигуру, двигаясь вдоль оси
параметра и определяем, при каких значениях параметра выполняются заданные в
задаче условия.
. Записываем ответ.
Данный алгоритм можно представить в виде анимации графиков функций с
помощью систем компьютерной математики [2]. Для выполнения практической части
работы использованы возможности системы Mathcad.- программное средство фирмы
MathSoft, среда для выполнения на компьютере разнообразных математических и
технических расчетов, снабженная простым в освоении и в работе графическим интерфейсом,
которая предоставляет пользователю инструменты для работы с формулами, числами,
графиками и текстами [2].
С
официального сайта программы <#"866020.files/image001.jpg">
Рис.4. Задача 1
Построим в системе MathCAD
на одной координатной плоскости графики 2-х функций, используя встроенную
переменную FRAME (рис.4.).
График первой функции будет получен из графика параболы y = x2 - 2x - 3
путем симметричного отображения относительно оси абсцисс той части графика,
которая находится ниже оси Ox. Часть графика, находящаяся выше оси абсцисс,
останется без изменений.
График функции y = a - это прямая, параллельная оси абсцисс. Запустим
ролик. Из него видно, что прямая пересекает параболу в 4-х точках (а уравнение
- четыре корня), если a принадлежит интервалу (0; 4).
Ответ: 6
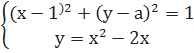
Задача 2. При каком значении параметра а, система имеет единственное
решение
Построим графики уравнений, используя переменную FRAME (рис.5.).
Рис.5. Задача 2

- это
квадратичная функция, график - парабола с вершиной (1;-1) , ветви которой
направлены вверх.
Уравнение
(х-1)2+(у-а)2=1 описывает окружность с радиусом R=1, центром (1;а). С
изменением параметра а окружность перемещается по прямой х=1.
Запустим
клип. Система имеет столько решений, сколько общих точек имеют графики. Из
ролика видно, что система имеет единственное решение, если первое уравнение
будет иметь вид: , т.е. а=-2.
Ответ:
-2
Задача
3. Найти целое значение параметра а, при котором система имеет ровно два
решения 
Рис.6.
Задача 3
Строим
графики функций и создаем клип (рис.6.). С изменением параметра а ломаная перемещается
по прямой х=0. Система имеет столько решений, сколько общих точек имеют
графики. При -1<a<1 два решения. На этом промежутке только одно
целое значение: а=0.
Ответ:
0
Задача
4. Найдите все значения параметра а, при которых уравнение
||5x|-10|=a+3x
имеет ровно три различные решения.
Построим
графики функций у= ||5x|-10|-3x и у=a (рис.7.).
Графиком
функции у=||5x|-10|-3x является ломаная, а у=a - прямая,
параллельная оси абсцисс, проходящая через точку (0;а).
Запустим
клип. С изменением параметра а, прямая перемещается вдоль оси Оу, параллельно
оси Ох. Выберем те значения параметра а, при котором графики имеют три общие
точки, а значит, уравнение имеет три решения.
Рис.7.
Задача 4
Уравнение
имеет три решения при а=6 и при а=10. Для каждого а не трудно найти решение.
Для
а=6 à х=-2; 0,5; 8.
а=10
à х=-2,5; 0; 10.
Задание
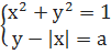
5. При каких значения а уравнение имеет ровно три корня?
Построим
графики функций, создадим и запустим клип (рис.8.). Из него видно, что
подходящих значений а ровно два - при одном из них график правой части проходит
через точку (-1;0), при другом - касается отраженного участка параболы.
Рис.8.
Задача 5
Рис.9.
Задача 5
При
х=-1, а=0 (рис.9.).
Рис10.
Задача 5
Рассмотрим
второй случай, когда график правой касается отраженного участка параболы.
Уравнение приведем к виду:
-(x2-2x-3)=-(x-a)+2a-1,
отсюда получим x2-3x-(4-3a)=0 (рис.10.).
Приравнивая
дискриминант уравнения к нулю, находим
D=9+4(4-3a)=25-12a=0
Ответ:
а=0 и а=25/12
Использование же анимационной технологии систем математики предоставляет
практически неограниченные возможности для изучения геометрических образов в
динамике, но ни в коем случае не умаляет роли творческого мышления в поисках
решения той или иной задачи, грамотного владения математическими и физическими
понятиями и методами.
Используемая литература и Интернет-ресурсы
1. Гусев В.
А. Справочник школьника по математике.
. Окунев А.
А. “Графическое решение уравнений с параметрами”
. Письменский
Д. Т. “Математика для старшеклассников”.
4. <http://reshuege.ru/?C=M;O=A>
. <http://gendocs.ru/v6664/%D0%BB%D0%B5%D0%BA%D1%86%D0%B8%D0%B8_-%D1%81%D0%BE%D0%B7%D0%B4%D0%B0%D0%BD%D0%B8%D0%B5_%D0%B0%D0%BD%D0%B8%D0%BC%D0%B0%D1%86%D0%B8%D0%B8_%D0%B2_mathcad>
. <http://bourabai.kz/einf/mathcad/ch16/index17.html>
. <http://www.tutoronline.ru/blog/graficheskij-metod-reshenija-uravnenij-s-parametrami>