Расчёт одноковшового экскаватора с прямой лопатой и с максимальным радиусом копания
МИНИСТЕРСТВО
ОБРАЗОВАНИЯ И НАУКИ РОССИЙСКОЙ ФЕДЕРАЦИИ
ФГБОУ
ВПО «МАГНИТОГОРСКИЙ ГОСУДАРСТВЕННЫЙ ТЕХНИЧЕСКИЙ УНИВЕРСИТЕТ ИМ. Г.И.НОСОВА»
ИНСТИТУТ
ГОРНОГО ДЕЛА И ТРАНСПОРТА
Кафедра
ГМ и ТТК
КУРСОВОЙ
ПРОЕКТ
по
дисциплине «Строительные дорожные машины»
на тему: Расчёт одноковшового экскаватора с
прямой лопатой и с максимальным радиусом копания
Исполнитель: Дорогин А.О.
Руководитель: Козырь А.В.
Магнитогорск,
2012
Содержание
Введение
.
Описание экскаватора
.
Определение основных размеров базы одноковшового экскаватора
.
Определение линейных размеров рабочего оборудования одноковшовых экскаваторов
.
Расчет элементов рабочего оборудования экскаваторов
.
Расчет гидроцилиндров рабочего оборудования
.
Расчет устойчивости одноковшовых экскаваторов к опрокидыванию
7. Расчёт осей
Список используемой литературы
Введение
В курсовом проекте рассматриваются
задачи по проектированию экскаватора одноковшового с прямой лопатой.
Рассмотрены вопросы по выбору базы, определения параметров рабочего оборудования,
и расчета гидроцилиндров для работы при соответствующих нагрузках. Проведена
проверка по устойчивости экскаватора к опрокидыванию. Параметры проектируемого
экскаватора следующие:
-объем
ковша,
-максимальный
радиус копания,
- высота
забоя,
- масса
экскаватора.
1. Описание экскаватора
Одноковшовый экскаватор -
землеройная машина циклического действия для разработки (копания), перемещения
и погрузки грунта. Рабочим органом является подвижный ковш разного кубического
объёма, закреплённый на стреле, рукояти или канатах. Ковш загружается за счет
перемещения относительно разрабатываемого грунта. При этом корпус экскаватора
относительно грунта остается неподвижным - тяговое усилие создаётся механизмами
экскаватора. Это отличает экскаватор от скрепера и погрузчика, где тяговое
усилие при загрузке ковша создаётся перемещением корпуса машины.
Одноковшовый экскаватор - наиболее
распространённый тип землеройных машин, применяемых в строительстве и добыче
полезных ископаемых. По виду работ отмечают два основных типа экскаватора по
направлению зуба ковша - обратная или прямая лопата. Экскаваторы с прямой
лопатой применяются только в карьерах при загрузке горной массы в вагоны
думпкара или для погрузки рудой или иной горной породой карьерных самосвалов.
Отличительной особенностью такого экскаватора является открывающееся днище
ковша.
Рис 1 - общий вид
одноковшового экскаватора
2. Определение основных размеров базы
одноковшового экскаватора
Гусеничный движитель.
Определяем колею.
Где
- диаметр опорно-поворотного устройства.
- гарантированный зазор с каждой
стороны ОПУ.
-ширина гусеницы.
Принимаем
Определяем
-
расстояние, между осями ведущей звездочки и натяжным устройством.
Находится из соотношения.
Определяем давление на грунт.
Просвет под платформой.
Где
- габаритная высота цепи.
- шаг цепи.
- высота цепи.
Высота пяты гидроцилиндра
подъема-опускания стрелы.
Радиус поворота пяты.
Высота пяты стрелы.
(после уточнения, согласно
компоновки
)
Радиус пяты стрелы.
( после уточнения, принимаем
)
. Определение линейных размеров
рабочего оборудования одноковшовых экскаваторов
Длина ковша.
Длину стелы и рукояти задаем из
ограничения
- длина стрелы.
-длина рукояти
Проведем проверку заданных
параметров по радиусу копания.
Проверяем по высоте копания.

Угол поворота рукояти
Конструкция ковшей унифицирована.
Назначаем основной ковш.
- ширина ковша.
. Расчет элементов рабочего
оборудования экскаваторов
Рис 2 - Схема усилий, действующих на
оборудование прямой лопаты гидравлического экскаватора
одноковшовый экскаватор гидроцилиндр усилие
Расчёт рабочего оборудования экскаватора обычно
выполняют в 2 этапа. Определяют необходимую мощность насоса и рабочие размеры
по техническим требованиям. На втором этапе определяют работоспособность
рабочего оборудования в различных грунтовых условиях
Определяем силу сопротивления копанию.
Где:
- удельное сопротивление копанию.
- толщина стружки.
Определяем силы тяжести элементов
экскаватора.
Сила тяжести ковша:
Где
- коэффициент пропорциональности для
нормального ковша.
Сила тяжести грунта в ковше:
Где:
- плотность грунта. [1,таб.2,стр.11]
Сила тяжести рукояти.
Где
- удельная масса рукояти.
Сила тяжести гидроцилиндра.
Где
- масса гидроцилиндра. [2.стр.214]
Сила тяжести стрелы.
Рассмотрим случай копания поворотом
рукояти:
|
точка плечо
|
I
|
II
|
III
|
IV
|
V
|
VI
|
|
|
0.54
|
0.54
|
0.54
|
0.54
|
0.54
|
0.54
|
|
|
2.8
|
2.9
|
3.0
|
3.2
|
3.3
|
3.1
|
|
|
3
|
3.1
|
3.2
|
3.3
|
3.4
|
3.2
|
|
|
1.5
|
1.5
|
1.5
|
1.5
|
1.5
|
1.5
|
|
|
2.9
|
3.0
|
3.1
|
3.3
|
3.2
|
|
|
1.6
|
1.6
|
1.6
|
1.6
|
1.6
|
1.6
|
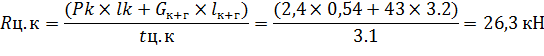
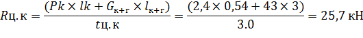
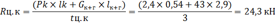
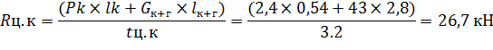
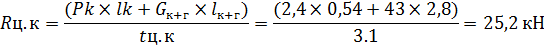
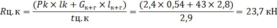
Рассмотрим положение для 6-ти точек
) Точка I
Реактивное усилие в гидроцилиндре поворота
ковша:
Где: pк
- касательное усилие на режущей кромке ковша равно 2,4 кН
lк - радиус
окружности описываемый режущей кромкой ковша
tц.к - плечо
действия реактивной силы
гидроцилиндра
поворота ковша
Реактивное давление в ГЦ поворота ковша
Реактивное усилие в гидроцилиндре поворота
стрелы при копании или поворотом рукояти:
Реактивное давление в ГЦ поворота стрелы:
2) Точка II
Реактивное усилие в гидроцилиндре поворота
ковша:
Реактивное давление в ГЦ поворота ковша
Реактивное усилие в гидроцилиндре поворота
стрелы при копании или поворотом рукояти:
Реактивное давление в ГЦ поворота стрелы:
3) Точка III
Реактивное усилие в гидроцилиндре поворота
ковша:
Реактивное давление в ГЦ поворота ковша
Реактивное усилие в гидроцилиндре поворота
стрелы при копании или поворотом рукояти:
Реактивное давление в ГЦ поворота стрелы:
4) Точка IV
Реактивное усилие в гидроцилиндре поворота
ковша:
Реактивное давление в ГЦ поворота ковша
Реактивное усилие в гидроцилиндре поворота
стрелы при копании или поворотом рукояти:
Реактивное давление в ГЦ поворота стрелы:
5) Точка
V
Реактивное усилие в гидроцилиндре поворота ковша:
Реактивное давление в ГЦ поворота ковша
Реактивное усилие в гидроцилиндре поворота
стрелы при копании или поворотом рукояти:
Реактивное давление в ГЦ поворота стрелы:
6) Точка VI
Реактивное усилие в гидроцилиндре поворота
ковша:
Реактивное давление в ГЦ поворота ковша
Реактивное усилие в гидроцилиндре поворота
стрелы при копании или поворотом рукояти:
Реактивное давление в ГЦ поворота стрелы:
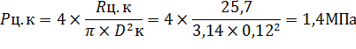
Максимальное значение
и
,
в точке V
5. Расчет гидроцилиндров рабочего оборудования
Работа, затрачиваемая на подъем ковша с грунтом,
рукоять и другие перемещаемые элементы рабочего оборудования.

- удельное сопротивление копанию.
[1,таб.10,стр.64]
1) Определяем объем гидроцилиндра для
подъема ковша.
Где
площадь поршня в бесштоковой
полости.
площадь поршня в штоковой полости.
наибольший ход поршня.
- давление на рабочей полости
гидроцилиндра.
- давление на сливной полости
гидроцилиндра.
- КПД гидроцилиндра, учитывающий
потери энергии при выдвижении поршня и штока.
- КПД привода гидроцилиндром
механизма.
Находим ход поршня.
Принимаем из стандартного ряда
гидроцилиндр.
,
,
2) Определяем объем гидроцилиндров для
подъема рукояти.
Применяем два гидроцилиндра.
Полная работа
Принимаем из стандартного ряда
гидроцилиндр.
,
,
3) Определяем объем гидроцилиндров для
подъема стрелы.
Работа
Применяем два гидроцилиндра.
Полная работа
Принимаем из стандартного ряда
гидроцилиндр.
,
,
6. Расчет устойчивости одноковшовых экскаваторов
к опрокидыванию
Рис 3 - схема к расчёту экскаватора на
устойчивость
Устойчивость экскаватора определяется
соотношением сил, действующих на рабочее оборудование и конструкцию при
наиболее неблагоприятных условиях.
Рассмотрим случай подъёма груза на максимальную
высоту
- необходимое условие
Сила тяжести ковша.
Сила тяжести грунта в ковше.
Сила тяжести рукояти.
Сила тяжести противовеса.
Сила тяжести стрелы.
- центр тяжести ковша.
- центр тяжести рукояти.
- центр тяжести груза.
- центр тяжести противовеса.
- коэффициент к скоростям ветра.
- коэффициент учета скорости ветра.
- аэродинамический коэффициент.
Устойчивость
условие выполняется
. Расчёт осей
Расчет пальца проушины для крепления стрелы к
базе экскаватора:
Рис 4 - палец проушины для крепления стрелы к
базе экскаватора
Найдем реакции в опорах:
Найдем изгибающие моменты:

Ось изготавливаем из стали 40, у которой
Расчетный диаметр оси равен:
Принимаем диаметр оси
Расчёт пальца проушины для крепления ковша к
рукояти.
Рис 5 - палец проушины для крепления ковша к
рукояти
Найдем реакции в опорах:
Найдем изгибающие моменты:
Ось изготавливаем из стали 40, у которой
Расчетный диаметр оси равен:
Принимаем диаметр оси
Список используемой литературы
1. Алешин
О.Н. Машины для земляных работ;- Брянск; БГТУ, 2005.-172с.
. Машины
для земляных работ;/ Под общ.ред. Д.П.Волкова. - М.; Машиностроение,1992. -448
с.
. Васильченко
В.А. Гидравлическое оборудование мобильных машин,; Справочник - М.;
Машиностроение,1983. - 301 с.
. Александров.М.П.
Грузоподъемные машины;- М. ; Машиностроение,1986. -400с.
. Домбровский
Н.Г. Землеройные машины. - М.; Стройиздат,1961. - 462с.