Расчет распределения примесей в кремнии при кристаллизационной очистке и диффузионном легировании
ФЕДЕРАЛЬНОЕ АГЕНТСТВО ПО ОБРАЗОВАНИЮ
Государственное образовательное
учреждение высшего
профессионального образования
«Новгородский государственный
университет имени Ярослава Мудрого»
Институт электронных и информационных
систем
Кафедра физики твердого тела и
микроэлектроники
Курсовая работа
по дисциплине
“Физическая химия материалов и
процессов электронной техники”
РАСЧЕТ РАСПРЕДЕЛЕНИЯ ПРИМЕСЕЙ В
КРЕМНИИ ПРИ КРИСТАЛЛИЗАЦИОННОЙ ОЧИСТКЕ И ДИФФУЗИОННОМ ЛЕГИРОВАНИИ
Проверил М.А. Захаров
Преподаватель кафедры ФТТМ
Выполнил А.М. Аллаяров
Студент группы 1031
2014
Техническое задание на курсовую работу
. Рассчитать распределение примесей вдоль слитка кремния при очистке
зонной плавкой(один проход расплавленной зонной)
Примеси - P, Al
Исходное содержание примесей (каждой) 0,057%(массовых)
Для трёх скоростей перемещения зоны Vкр=1,5;4 и 10 мм/мин.
. Проанализировать бинарную диаграмму составом Si-Al и представить
графически область существования твердых растворов примеси, найти предельную
твердую растворимость примеси и температуру предельной растворимости.
Рассчитать и построить распределение указанной выше примеси (Al) в полупроводнике после
диффузионного отжига при различных условиях диффузии:
при условии бесконечного источника примеси на поверхности пластины и при
температуре, соответствующей максимальной растворимости примеси в
полупроводнике, время диффузии - 25 мин;
после перераспределения примеси, накопленной в приповерхностном слое
полупроводника при температуре 830 С и времени диффузии- 25 мин;
Условия перераспределения - полностью отражающая граница, температура -
1030 С, время - 110 мин;
найти положение электронно-дырочного перехода , если исходная
концентрация примеси в полупроводнике 1*1014 см3 (примесь противоположного типа
электрической активности, нежели вводимая при диффузионном отжиге).
. Рассчитать и построить распределение в кремнии P после ионной имплантации и высокотемпературного отжига;
Введение примеси происходит с энергиями 60, 260 эВ, доза легирующей
примеси 9*1013 см-3
Температура отжига - 970 С время 60 мин.
Найти положение электронно - дырочного перехода, если исходная
концентрация примеси в полупроводнике 9*1013 см-3 (примесь противоложного знака
типа электрической активности, нежели вводимая при ионной имплантации отжиге)
Содержание
Введение
. Теоретические сведения о некоторых процессах легирования
.1 Фазовые состояния веществ
.2 Процессы диффузии
.3 Ионная имплантация
.4 Отжиг легированных структур
. Теоретическая часть
.1 Физико-химические основы технологии микроэлектроники
. Расчётная часть
.1 Расчёт распределения примесей после зонной плавки
.2 Анализ бинарной диаграммы состояния Si-Al
.3 Расчет распределения примеси в полупроводнике после
диффузионного отжига
3.4
Расчет распределения фосфора в кремнии после ионной имплантации и
высокотемпературного отжига
Заключение
Список литературы
Приложение А
Приложение Б
Приложение В
Введение
Для изготовления многих полупроводниковых приборов необходим легированный
материал.
Легирование полупроводников представляет собой процесс введения примесей
или структурных дефектов с целью направленного изменения электрических свойств.
Современные
полупроводниковые приборы и интегральные микросхемы представляют собой
чрезвычайно сложные устройства, отдельные компоненты которых имеют размеры не
более доли микрометра. Изготовление таких устройств осуществляется на
монокристаллических полупроводниковых пластинах с использованием
фотолитографии. Полупроводниковые пластины, предназначенные для формирования
изделий микроэлектроники, характеризуются сoвepшенной атомной структурой и
высокой геометрической точностью обеспечения этих качеств разработана
оригинальная технология механической, химической и химико-механической
обработки моно-кристаллических материалов, создано прецизионное оборудование, зачастую
не имеющее аналогов в других отраслях народного хозяйства. Обработка
полупроводниковых пластин требует высокой квалификации операторов и
обслуживающего персонала <#"865267.files/image001.gif">
, (1.1)
где
µ - количество вещества в граммах; µ - количества вещества в молях; М-
молекулярный вес соответствующего вещества.
Для
теории твердых растворов, которые широко используются при создании изделий
интегральной электроники, особенно изделий опто- и квантовой электроники
огромное значение имеет развитый Гиббсом метод термодинамических или химических
потенциалов. Химическое равновесие можно определить с помощью метода
термодинамических или химических потенциалов.
Термодинамический
(химический) потенциал µ характеризуется энергией, приходящейся на1 атом:

, (1.2)
где
G- энергия Гиббса; No- число Авогадро, No= 6,0222 10 моль-1..
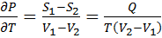
При
переходах первого рода в точке перехода сосуществует две фазы: например, α и β .
Переход осуществляется при определенной температуре T пер.. При переходе
изменяются скачком первые производные термодинамического потенциала µ по
температуре и давлению: энтальпия, энтропия, объем, а следовательно и
плотность.

(1.3)
где
S- энтропия, V- объем.
Так
как термодинамический потенциал µ при фазовых переходах первого рода меняется
скачкообразно и определяется выражением:
µ
= E- TS+ PV , (1.4)
то
и энергия Е также должна изменяться скачком. При этом разность значений
термодинамических потенциалов для первой и второй фаз определяется выражением:
(1.5)
а
теплота перехода выражением
(1.6)
Она
равна произведению температуры на разность энтропии фаз, т.е. имеет место
скачкообразное изменение или поглощение теплоты.
Функция
µ1(Р,Т) и µ2 (Р,Т) характеризует особенности изменения термодинамического
потенциала вблизи точки фазового перехода, при этом с обеих сторон точки
фазового перехода имеются минимумы термодинамического потенциала. Этой
особенностью объясняется возможность перегрева или переохлаждения фаз в случае
фазовых переходов первого рода в системе.
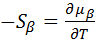
Определим
взаимосвязи между скачками термодинамических функций ∆S и ∆V при
фазовых переходах. После дифференцирования по температуре соотношения µ1(Р,Т)=
µ2(Р,Т) с учетом выражения для S, V и Q получим:

, (1.7)
Эта
известная формула Клайперона-Клаузиса. Она позволяет определить изменение
давлений, находящихся в равновесии фаз при изменении температуры либо изменения
температуры перехода между двумя фазами при изменении давления. Скачкообразное
изменение объема приводит к отсутствию определенной связи между структурой и
системой фаз, преобразующихся при фазовом переходе первого рода, которые при
переходе изменяются скачком.
Типичными
для фазовых переходов первого рода являются переходы между агрегатными
состояниями вещества, полиморфными (аллотропическими) превращениями, а также
многие фазовые превращения в многокомпонентных материалах.
Принципиальное
отличие фазовых переходов второго рода от фазовых переходов первого рода
заключается в следующем: переходы второго рода характеризуются как
непрерывностью изменения термодинамического потенциала µ , так и непрерывностью
изменения его производных. При переходах второго рода первые производные
свободной энергии: энтальпия, энтропия, объем, плотность изменяются монотонно,

и
(1.8)
при
этом значения β µ при изменении температуры убывают быстрее, чем значения
β µ , а в точке перехода Тпер: µα (Р,Т) =µβ (Р,Т)
.2
Процессы диффузии
Основы
диффузионной технологии. Для разработки технологических процессов формирования
легированных областей диффузией необходимо прежде всего знать механизмы
взаимодействия примесей, образующих тот или иной тип проводимости с
полупроводником, распределение примесей в подложке, типы и состояние легирующих
примесей, конструкции и принципы работы базовых узлов диффузионного
оборудования, способ транспортировки примесей в высокотемпературную зону
диффузии и др.
Диффузия
- процесс хаотического переноса молекул или атомов вещества, вызванный наличием
градиента концентрации. Этот процесс наблюдается в веществах (средах),
находящихся в любом агрегатном состоянии при наличии градиента концентрации, но
скорости диффузии зависят от состояния вещества (υтв≈10-9 , υгаз≈10-6). Если атомы примеси распределены
неравномерно и существует градиент концентрации, то возникает направленный
диффузионный поток, который стремится выровнять концентрацию. Аналогичное
действие оказывает градиент температуры. Заметная диффузия в твердом теле
происходит при температуре выше 1073 К.
Легирующие
примеси и источники диффузии. Основными легирующими примесями в кремнии
являются элементы III (акцепторы) и V (доноры) групп
Периодической системы. Чаще всего для получения легированных областей р-типа
используют бор, имеющий высокую предельную растворимость в кремнии, а для n-областей-
фосфор.
В
качестве донорных примесей можно использовать сурьму, мышьяк, а в качестве
акцепторных - алюминий, галлий. Выбор примесей диктуется растворимостью
элементов в полупроводнике, коэффициентом диффузии, способом маскировки и др. В
последнее время возрос интерес к мышьяку как к легирующей примеси для создания
скрытого слоя в коллекторных областях ИМС. Есть сведения об использовании для
создания скрытых сильнолегированных слоев сурьмы и фосфора.
Диффузия
акцепторных и донорных примесей, т. е. формирование областей с различным типом
проводимости в полупроводниковых структурах, может производиться
последовательно или одновременно. При формировании n-р-n-транзисторов
одновременной диффузией необходимо, чтобы коэффициенты диффузии находились в
соотношении Dn « Dp, а пределы растворимости - в соотношении Nn» Np.
Для р-n-р - транзисторов эти соотношения должны быть
противоположными. Если сравнить радиусы, например, Si (0,117 нм) и
примесей, то нетрудно заметить, что примеси Р(0,110 нм), В (0,089 нм), С (0,077
нм) при внедрении вызывают сжатие решетки кремния, а примеси с большим радиусом
Sb (0,141 нм), Ge (0,122 нм), As
(0,121 нм), чем у Si, вызывают расширение его решетки. Это приводит к
возникновению напряжений, деформации решетки и дефектов в решетке, что особенно
критично при высоких плотностях примесей ~ 1020-1021см-3.Устранить
возникновение таких явлений можно путем компенсации напряжений(деформаций),
вызванных примесями одного сорта (Р, В, С), примесями другого сорта(Sb, Ge, As),
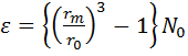
электрически нейтральными примесями или одноименной примесью. Относительные
концентрации примесей подбирают в соответствии с правилом Вегерда:

,
, (1.9)
где
ε - упругая деформация решетки; Nm -
концентрация примеси; β - коэффициент примесного сжатия решетки; rm и r0 -
атомные радиусы примеси и полупроводника; N0 - атомная
плотность полупроводника (5,5 ⋅1022см-3
дляSi).
В
качестве источников примеси могут быть газы, жидкости, твердые тела, чистые
вещества и химические соединения. Наибольшее распространение получили газы:
РН3, ВСl3, AsH3, В2Н6 (Тист = 283- 303 К); жидкости: РОСl3,
РВг3, РС13, ВВг3(Tист= 275-473 К), твердые тела: В, В2О3, Sb2O3, As2O6,
Р2О5, легированные пленки и др.
Диффузия,
как правило, происходит в окислительной среде, вызывающей образование
диэлектрических пленок, диффузию примесей в полупроводник и кислорода через
выросшую пленку. Газообразная примесь взаимодействует с кислородом и SiO2
с образованием примесно-силикатных стекол:
В2О3+
SiO2= В2О3·SiO2
На
границе окисел - кремний протекает окислительно-восстановительная реакция с
образованием элементарной примеси, диффундирующей в кремний:
В
последнее время широкое распространение приобретает метод диффузии из
легированных пленок, наносимых на поверхность полупроводника при относительно
низких температурах. В этом методе источниками диффузии могут служить
легированные фосфором или бромом пленки, боросиликатные (В), фосфорносиликатные
(Р) стекла, мышьяко-фосфоро-боросиликатные (As), SiO2(P +
В) стекла.
Назначение
и задачи диффузии. Диффузия в полупроводниках это процесс последовательного
перемещения атомов примеси в кристаллической решетке, обусловленного тепловым
движением. Для изготовления р-n перехода используется термическая диффузия примесных
атомов, которые вводятся в кристаллическую решетку вещества для изменения его
электрофизических свойств. Перемещение примеси в решетке происходит посредством
последовательных скачков, осуществляемых в трех направлениях. При наличии градиента
концентрации собственных или примесных атомов на их диффузию оказывают влияние
точечные дефекты.
Задачи
технологического этапа диффузии:
управление
концентрацией легирующей примеси в подложке;
обеспечение
однородности легирования;
обеспечение
воспроизводимости процесса;
увеличение
числа подложек, подвергаемых одновременному легированию, для снижения
себестоимости продукции.
Назначение
диффузии:
формирование
базовых и эмиттерных областей и диффузионных резисторов в биполярной
технологии;
создание
областей истока и стока в МОП технологии;
легирование
поликристаллического кремния.
Способы
диффузии:
диффузия
из неограниченного источника в газовой фазе при высоких температурах;
диффузия
из легированных оксидов;
диффузия
из ионно-имплантированных слоев при последующем отжиге (проводится для
активирования имплантировании атомов и уменьшения числа дефектов).
Изучение
диффузии ведется в направлении создания на основе экспериментальных данных
точных моделей, способных предсказывать протекание процесса диффузии путем
теоретического анализа. Конечная цель этого анализа - обеспечение формирования
электрических характеристик полупроводниковых приборов на основе выбора
параметров технологического процесса расчетным путем.
Модели
и механизмы диффузии. Изучение диффузии ведется в направлении создания на
основе экспериментальных данных точных моделей, которые давали бы возможность
предсказать протекание процесса диффузии путем теоретического анализа. Конечная
цель - возможность расчетным путем определять электрические характеристики
изделий электроники на основе задаваемых технологических параметров процесса
диффузии.
Диффузионные
модели развивались с позиций двух основных приближений:
.
Теории сплошных сред с использованием уравнений диффузии Фика. Адекватность
модели, исходя из диффузионного уравнения Фика и соответственно коэффициента
диффузии, контролируется экспериментально путем измерения поверхностной
концентрации.
.
Атомистическая теория, которая принимает во внимание взаимодействие между
собственными точечными дефектами (вакансиями и междоузельными атомами) с одной
стороны и примесными атомами с другой.
Перераспределение
легирующих примесей на границе раздела фаз:
Легирующая
примесь, первоначально располагавшаяся в одной части кремния, будет
перераспределяться в другую часть до тех пор, пока ее химический потенциал не
выровняется по обеим сторонам границы раздела областей, что может привести к
сглаживанию профиля концентрации примесей в объеме кремния.
Равновесный
коэффициент - отношение концентрации легирующей примеси в Si к
концентрации примеси в SiO2. Он определяется экспериментальным путем и может
отличаться от равновесного значения и зависит от:
химических
потенциалов на границе раздела сред;
кинетики
перераспределения примеси в контактирующих слоях;
коэффициентов
диффузии;
вида
примесей в контактирующих слоях.
К
основным механизмам диффузии относят:
вакансионный;
прямое
перемещение по междоузлиям;
эстафетный(непрямое
перемещение по междоузлиям);
краудионный;
диссоциативный.
Бор,
фосфор в кремнии диффундируют по вакансионному механизму, элементы первой и
седьмой групп периодической системы - по междоузельному.
Диффузия
по вакансиям - это такой механизм, при котором мигрирующий атом (примесный или
собственный) перемещается на место вакансии, а на его месте в узле кристаллической
решетки образуется новая вакансия.
Данный
механизм сопровождается переходом мигрирующего атома (как правило примесного)
из одного междоузлия в другое без его локализации в узлах кристаллической
решетки.
В
отличие от междоузельного механизма диффузии, примесные атомы внедряются в узлы
кристаллической решетки, вытесняя при этом собственные атомы в междоузельное
пространство.
Данный
механизм тесно связан с эстафетным. При этом междоузельный атом, расположенный
посередине между двумя узлами решетки, перемещается в направлении одного из
них, смещая его из положения в узле решетки. Вытесненный атом становится
междоузельным и занимает промежуточное положение в решетке.
Диссоциативный
механизм диффузии связан с распадом комплексов молекул и диффузией составляющих
их компонент (атомов или ионов) в кристаллической решетке.
Одномерное
уравнение Фика
В
1855 году Фик предложил теорию диффузии:
В
отсутствии конвекции перенос атомов через единичную площадку при одномерном
направлении потока может быть описан уравнением:

, (1.10)
первый
закон Фика
Здесь
J - диффузный поток, скорость переноса вещества через
единичную площадку. Минус означает, что процесс идет в направлении уменьшения
концентрации растворенного вещества, то есть градиент отрицательный.
Из
закона сохранения вещества следует, что изменение концентрации со временем
должно быть равно уменьшению диффузионного потока в том же объеме:

, (1.11)
Из
(11) в (12) выводится второй закон Фика::

(1.12)
При
низких концентрациях примеси D = const получаем простое диффузионное уравнение Фика:

(1.13)
Решения
данного уравнения проводятся для различных простых начальных граничных условий.
Постоянные
коэффициенты диффузии. При низких значениях концентрации диффузия хорошо
описывается уравнениями с постоянными значениями коэффициента диффузии.
При
высоких концентрациях примеси форма диффузионных профилей отличается от
расчетной. Здесь необходимо учитывать зависимость коэффициента диффузии от
концентрации примеси.
Для
объяснения зависимости коэффициента диффузии от концентрации примесей и других
явлений при диффузии разрабатываются различные атомистические теории- модели,
основанные на взаимодействии дефектов с примесными атомами.
1.3
Ионная имплантация
Ионной
имплантацией (ионным легированием) называется процесс внедрения в мишень
ионизованных атомов с энергией, достаточной для проникновения в ее
приповерхностные области. Успешное применение ионной имплантации определяется
главным образом возможностью предсказания и управления электрическими и
механическими свойствами формируемых элементов при заданных условиях
имплантации.
Назначение
и применение ионной имплантации. Наиболее распространенным применением ионной
имплантации в технологии формирования ИМС является процесс ионного легирования
кремния. Часто приходится проводить имплантацию атомов в подложку, которая
покрыта одним или несколькими слоями различных материалов. Ими могут быть как
тонкие слои тяжелых металлов (например, Та или силицида тантала (TaSi2),
так и диэлектриков. Существование многослойной структуры может вызвать резкие
перепады в профиле легирования на границе отдельных слоев. За счет столкновения
ионов с атомами приповерхностных слоев последние могут быть выбиты в более
глубокие области легируемого материала. Такие "осколочные эффекты"
способны вызвать ухудшение электрических характеристик готовых приборов.
Во
многих случаях для получения необходимого профиля распределения легирующей
примеси в подложке применяют метод, основанный на предварительной загонке ионов
с их последующей термической разгонкой в мишени. При этом имплантация
проводится с малой энергией ионов.
Общая
траектория движения иона называется длиной пробега R, а расстояние,
проходимое внедряемым ионом до остановки в направлении, перпендикулярном к
поверхности мишени, проецированной длиной пробега Rp
Механизм
проникновения ионов в подложку. Распределение внедренных атомов по глубине
подложки оценивается с помощью симметричной функции распределения Гаусса:

(1.14)
Максимизируем
её на расстоянии x= Rp.

(1.15)

(1.16)
где
R- общая длина пробега; Rp- проецированная длина пробега; ∆Rp- флуктуации
величины; Rp ∆Rt - боковое рассеяние.
Оказалось,
что экспериментальные профили не симметричны. Для учета несимметрии необходимо
более тщательное исследование профилей распределения ионов.
.4
Отжиг легированных структур
Изохорный
отжиг структур, имплантированных бором. Весь диапазон температур отжига разбит на
три области. В первой области используется относительно низкая температура
отжига, так отжиг при температуре 500°C приводит к ликвидации таких
точечных дефектов в кремнии, как дивакансии. Во второй области отжиг
производится в диапазоне 500°C<Т<600°С, при этом в решетке кремния бор
содержится в меньшей концентрации в узлах кристаллической решетки и в большей
концентрации в междоузлиях. В третьей области при температурах T>600°C за
счет увеличения числа кремниевых вакансий и их замещения атомами бора концентрация
атомов примеси увеличивается. При дозах имплантированных ионов 1012 см-2 полный
отжиг, приводящий к расположению внедряемой примеси в узлах решетки кремния,
происходит при Т=800°С в течение нескольких минут.
Изохорный
отжиг структур, имплантированных фосфором. Режимы отжига кремния
имплантированного при комнатной температуре фосфором, определяются в
зависимости от количества внедренной примеси. Доза имплантируемого фосфора от
3·1012 до 3·1014см-2 требует проведения отжига при температурах T
> 800 °C для устранения более сложных радиационных дефектов по
сравнению с отжигом слоев, имплантированных бором. Когда имплантированный слой
фосфора становится аморфным (при дозе выше 3·1014 см-2), начинает действовать
другой механизм отжига. Температура отжига при этом несколько меньше, чем для
кристаллических слоев и составляет 600 °С. Более сложные процессы происходят
при отжиге скрытых слоев с аморфной структурой, расположенных на определенной
глубине под поверхностью подложки. Эпитаксиальная перекристаллизация начинается
на обеих поверхностях раздела аморфных и монокристаллических областей.
Изотермический
отжиг. Дополнительная информация о характере распределения имплантированных
примесей может быть получена при проведении отжига при постоянной температуре,
но в течение различного времени. По мере увеличения времени отжига
электрическая активность легирующей примеси возрастает относительно медленно;
при этом доля электрически активных атомов бора повышается от нескольких
процентов атомов в узлах кристаллической решетки до величины, когда в узлах
решетки размещается более 90% внедренной примеси. Энергия активации
соответствует генерации и миграции термически введенных вакансий. Термически
генерированные вакансии мигрируют к междоузлиям. При этом происходит расположение
атомов бора в узлах кристаллической решетки.
Диффузия
имплантированных примесей. Коэффициент диффузии бора может быть повышен за счет
уменьшения количества вакансий и междоузельных кластеров, при этом уменьшение
вакансий увеличивает диффузию по узлам кристаллической решетки, а уменьшение
междоузельных атомов способствует вытеснению атомов бора из узлов
кристаллической решетки, что приводит к быстрой диффузии комплексов
междоузельный атом кремния- атом бора.
Быстрый
отжиг. Имплантированные слои могут быть подвергнуты лазерному отжигу с
плотностью энергии в диапазоне 1-100 Дж/см2
Вследствие
короткого времени нагрева имплантированные слои могут быть термообработаны при
отсутствии диффузии примеси. Имплантированные аморфные слои толщиной100 нм
перекристаллизуются в течение нескольких секунд при Т= 800 °С по механизму
твердофазной эпитаксии. Процесс быстрого отжига относиться к категориям чистых
процессов, и загрязнения материалами элементов конструкций оборудования не
происходит. Лазерная энергия может быть локализована на отдельной части
кристалла ИМС, при этом некоторые р-n переходы микросхемы в этой
части кристалла могут размываться во время отжига за счет диффузии примеси в
большей степени, чем другие не подвергнутые лазерной обработке. Значительное преимущество
метода обусловлено тем, что после расплавления аморфных слоев и кристаллизации
по методу жидкофазной эпитаксии в эпитаксиальных слоях отсутствуют линейные
дефекты. С использованием технологии лазерного отжига создают биполярные и
МОП-транзисторы, ИМС, кремниевые солнечные батареи.
Отжиг
в атмосфере кислорода. Процессы отжига, в результате которых все
имплантированные ионы занимают электрически активные положения в узлах
кристаллической решетки, обычно приводят к возникновению микродефектов. Эти дефекты
называют вторичными дефектами. Любые образовавшиеся микродефекты приводят к
образованию дислокаций и дефектов упаковки. Эти дефекты, называемые третичными
дефектами, имеют достаточно большие линейные размеры, достигающие десятков мкм.
Процесс
зонной плавки и его математическая модель. Зонная плавка является одним из
наиболее эффективных и производительных методов глубокой очистки. При его
реализации перед началом кристаллизации расплавляется не весь твердый образец,
а только узкая зона, которую медленно перемещают вдоль слитка. Происходит
постепенное расплавление отдельных участков образца, находящихся в зоне
нагревания. Примеси, содержащиеся в образце, накапливаются в жидкой фазе,
вместе с ней передвигаются и по окончании плавки оказываются в конце образца.
Для достижения высокой степени очистки зонную плавку повторяют многократно.
Эффективность
зонной плавки можно выразить математически через параметры процесса (длина зоны
и слитка, число проходов) и характеристику материала - коэффициент распределения
k , представляющий собой отношение концентрации примеси в затвердевающей фазе
Ств к её концентрации в массе жидкости Сж.
Большинство
примесей обладает хорошей растворимостью в жидкой фазе по сравнению с твердой.
В этом случае равновесный коэффициент распределения k0=Ств/Сж<1 (Ств и Сж
определяется по диаграмме состояния). Поэтому по мере продвижения зона
плавления все больше насыщается примесями, которые скапливаются на конце
слитка. Обычно процесс зонной плавки повторяют несколько раз. По окончании очистки
загрязненный конец слитка отрезают. Для ускорения процесса очистки вдоль
контейнера ставят несколько индукторов для образования ряда зон плавления. Для
материалов с k0>1 очистка материалов зонной плавкой практически невозможна.
Распределение
примесей при зонной плавке после одного прохода расплавленной зоной вдоль
слитка представляется уравнением:
, (1.17)
где
Ств - концентрация примеси в закристаллизовавшейся фазе на расстоянии x от
начала слитка;
Со
- исходная концентрация примеси в очищаемом материале;- текущая координата
(расстояние от начала слитка);- длина расплавленной зоны;- равновесный
коэффициент распределения.
Если
измерять длину слитка в длинах расплавленной зоны a = x/l, выражение (1,17)
следует записать в виде:
(1.18)
Приведенные
уравнения (1.17) и (1.18) , являющиеся математическим описанием процесса зонной
плавки, выведены при определенных допущениях, сформулированных автором метода
зонной очистки В. Пфанном. Эти допущения в литературе принято называть
пфанновскими.
Их
суть в следующем:
.
Процессами диффузионного перераспределения компонентов системы в объеме слитка
можно пренебречь, т.е. коэффициенты диффузии компонентов в твердой фазе
принимаются равными нулю ( Dтв = 0 ).
.
Диффузия компонентов системы в жидкой фазе совершенна - концентрация
компонентов постоянна по объему расплава в любой момент процесса.
.
Коэффициент распределения примеси - величина постоянная и не зависит от
концентрации примеси в кристаллизующемся веществе (кривые солидус и ликвидус
диаграммы состояния прямолинейны).
.
Начальная концентрация компонентов в исходном материале (слитке) одинакова по
всем сечениям.
.
Геометрия подвергаемого зонной плавке слитка (длина и поперечное сечение) в
ходе процесса остаются постоянными, плотности твердой и жидкой фаз равны
(rтв=rж=r).
Расплав
и твердая фаза при зонной плавке не взаимодействуют с окружающей средой -
атмосферой и контейнером. Другими словами, в системе нет летучих и
диссоциирующих компонентов, отсутствует поглощение примесей расплавом из
атмосферы, материал контейнера не растворяется в жидкой фазе.
Уравнения
(1) и (2) справедливы только на участках слитка, на которых зона имеет две
границы раздела фаз (постоянный объем). Когда в системе остается только
кристаллизующаяся граница, распределение примеси представляется другим
уравнением, соответствующим процессу нормальной направленной кристаллизации.
Другими словами, если длина очищаемого слитка в длинах зон равна A = L/l, то
уравнения (1) и (2) справедливы на длине a = (L - l)/l = A-1.
При
a > A-1
(1.19)
где
g - доля закристаллизовавшегося расплава последнего участка.
Только
при условиях проведения процесса, когда удовлетворяются все требования,
приведенные выше, реальное распределение примеси в слитке после зонной плавки
будет соответствовать закону, представленному выражениями (19) и (20).
Анализ
показывает, что в реальных процессах зонной очистки полупроводниковых
материалов пфанновские допущения практически не реализуются. Вместе с тем,
вывод уравнений (19) и (20) без них был бы невозможен, а менее жесткие
допущения приводят к существенному усложнению получаемых выражений.
Наиболее
жесткими являются условия 2 и 3. Допущение 2 в данной формулировке может выполняться
только при бесконечно малых скоростях кристаллизации (скорости движения зоны).
В этом случае сравнительно быстрая (по сравнению с диффузией в твердой фазе)
диффузия в жидкой фазе может постоянно выравнивать концентрации компонентов
системы в объеме расплавленной зоны.
Использование
выражений (19) и (20) для представления распределения примеси при реальных
скоростях кристаллизации приводит к необходимости изменить формулировку
допущения 2. Выполнение условия постоянства концентрации компонентов по объему
расплава возможно в данной ситуации только при реализации полного (идеального)
перемешивания жидкой фазы. Предполагается, что в этом случае перераспределение
компонентов и выравнивание состава в жидкой фазе происходит мгновенно - т. е.
эффективный коэффициент диффузии в жидкой фазе Dж = Ґ .
Условие
полного перемешивания на практике реализовать невозможно. Процессы
массопереноса в расплавленной зоне при реальных скоростях кристаллизации и
разумной интенсивности перемешивания всегда приводят к образованию диффузионного
слоя на границе раздела фаз в области кристаллизации. Наличие слоя жидкости с
концентрационным пиком, из которого и происходит кристаллизация, влияние его на
условия разделения компонентов учитывается введением в выражения (19) и (20)
эффективного коэффициента распределения kэфф вместо равновесного ko.
Равновесный
коэффициент распределения связан с эффективным соотношением
Бартона-Прима-Слихтера:
(1.19)
где Vкр - скорость
перемещения расплавленной зоны (скорость кристаллизации);- толщина
диффузионного слоя;ж - коэффициент диффузии примеси в жидкой фазе.
Эта замена является лишь
более или менее удачным приближением к реальной ситуации и не соответствует
требованию условия постоянства концентрации. Распределение примеси после зонной
плавки для реальных процессов описывается выражением:
(1.20)
Данное выражение позволяет
анализировать влияние на сегрегационные процессы скорости перемещения зоны и
условий перемешивания жидкой фазы.
Условие 3 справедливо только
для сильно разбавленных растворов, т.е. при малых концентрациях примеси в
системе. Кроме того, условие малости концентрации должно соблюдаться на
протяжении всего процесса зонной плавки. Для того, чтобы допущение 3 оказалось
состоятельным, требуется использовать при кристаллизационной очистке исходные
материалы прошедшие предварительную очистку.
2. Теоретическая часть
.1 Физико-химические основы технологии микроэлектроники
2.1.1Распределение примесей после зонной плавки
Распределение примесей после одного прохода расплавленной зоной при
зонной плавке вдоль слитка представляется уравнением (2.1):
, (2.1)
где Nтв - концентрация примеси в
закристаллизовавшейся фазе на расстоянии x от начала слитка;
N0 -
исходная концентрация примеси в очищаемом материале;
x -
текущая координата (расстояние от начала слитка);
l -
длина расплавленной зоны;
k0 -
равновесный коэффициент распределения.
Если измерять длину слитка в длинах расплавленной зоны a=x/l, выражение (2.1)
следует записать иначе:
. (2.2)
Приведенные
уравнения (2.1) и (2.2), являющиеся математическим описанием процесса зонной
плавки, выведены при определенных допущениях, сформулированных автором метода
зонной очистки В.Пфанном при выводе этих уравнений. Эти допущения в литературе
принято называть пфанновскими, их суть в следующем:
а)
процессами диффузионного перераспределения компонентов системы в объеме слитка
можно пренебречь, т.е. коэффициенты диффузии компонентов в твердой фазе
принимаются равными нулю (Dтв = 0);
б)
диффузия компонентов системы в жидкой фазе совершенна - концентрация
компонентов постоянна по объему расплава в любой момент процесса;
в) коэффициент распределения примеси - величина постоянная и не зависит
от концентрации примеси в кристаллизующемся веществе;
г) начальная концентрация компонентов в исходном материале (слитке)
одинакова по всем сечениям;
д)
геометрия подвергаемого зонной плавке слитка (длина и поперечное сечение) в
ходе процесса остаются постоянными, плотности твердой и жидкой фаз равны (
);
е)
расплав и твердая фаза при зонной плавке не взаимодействуют с окружающей средой
- атмосферой и контейнером. Другими словами, в системе нет летучих и
диссоциирующих компонентов, отсутствует поглощение примесей расплавом из
атмосферы, материал контейнера не растворяется в жидкой фазе.
Уравнения
(2.1) и (2.2) справедливы только на участках слитка, на которых зона имеет две
границы раздела фаз (постоянный объем). Когда в системе остается только кристаллизующаяся
граница, распределение примеси представляется другим уравнением,
соответствующим процессу нормальной направленной кристаллизации. Другими
словами, если длина очищаемого слитка в длинах зон равна A=L/l, то
уравнения (1) и (2) справедливы на длине a=(L-l)/l=A-1.
При
a>A-1
, (2.3)
где
g - доля закристаллизовавшегося расплава последнего
участка;
N0 -
концентрация примеси на границе зонной плавки и зоны кристаллизации, см-3.
Только при проведении процесса при условиях, когда удовлетворяются все
требования, приведенные выше, реальное распределение примеси в слитке после
зонной плавки будет соответствовать закону, представленному выражениями (2.1) и
(2.2).
Допущение б) в данной формулировке может выполняться только при
бесконечно малых скоростях кристаллизации (скорости движения зоны). В этом
случае сравнительно быстрая (по сравнению с диффузией в твердой фазе) диффузия
в жидкой фазе в состоянии постоянно выравнивать концентрации компонентов
системы в объеме расплавленной зоны.
Выполнение
условия постоянства концентрации компонентов по объему расплава возможно в
данной ситуации только при реализации полного (идеального) перемешивания жидкой
фазы. Предполагается, что в этом случае перераспределение компонентов и выравнивание
состава в жидкой фазе происходит мгновенно - то есть эффективный коэффициент
диффузии в жидкой фазе
.
Условие
полного перемешивания на практике реализовать невозможно. Процессы
массопереноса в расплавленной зоне при реальных скоростях кристаллизации и
разумной интенсивности перемешивании всегда приводят к образованию
диффузионного слоя на границе раздела фаз в области кристаллизации. Наличие
слоя жидкости с концентрационным пиком, из которого и происходит кристаллизация,
влияние его на условия разделения компонентов учитывается введением в выражения
(1) и (2) эффективного коэффициента распределения kэфф вместо
равновесного k0.
Равновесный коэффициент сегрегации связан с эффективным соотношением
Бартона - Прима - Слихтера:
, (2.4)
где Vкр - скорость перемещения
расплавленной зоны, см/с;
δ- толщина диффузионного слоя, см;
Dж -
коэффициент диффузии примеси в жидкой фазе, см2/с.
Эта замена является лишь более или менее удачным приближением к реальной
ситуации, и не соответствует требованию условия постоянства концентрации.
Наибольшая неопределенность возникает, как правило, при вычислении δ. Поэтому, в рамках обсуждавшихся
допущений без существенного ущерба для точности, можно принимать значение.
δ/ Dж=200 с/см.
Распределение примеси после зонной плавки для реальных процессов
описывается выражением
. (2.5)
Данное выражение позволяет анализировать влияние на сегрегационные
процессы скорости перемещения зоны и условий перемешивания жидкой фазы.
Условие в) справедливо только для сильно разбавленных растворов, то есть
при малых концентрациях примеси в системе. Кроме того, условие малости
концентрации должно соблюдаться на протяжении всего процесса зонной плавки. Для
того чтобы допущение в) оказалось состоятельным, требуется использовать при
кристаллизационной очистке исходные материалы, прошедшие предварительную
очистку.
Уравнения диффузии. Основой математического описания процессов диффузии
являются два дифференциальных уравнения Фика.
Первое уравнение (первый закон Фика) записывается следующим образом:
, (2.6)
где J - плотность потока диффундирующего
вещества, то есть количество
вещества, проходящего за единицу времени через единичную площадь
поверхности, перпендикулярной направлению переноса вещества;
D -
коэффициент диффузии;
N -
концентрация атомов примеси.
Физический смысл этого уравнения - первопричиной диффузионного
массопереноса вещества является градиент его концентрации. Скорость переноса
пропорциональна градиенту концентрации, а в качестве коэффициента
пропорциональности вводится коэффициент диффузии. Знак минус в правой части (6)
указывает на то, что диффузия происходит в направлении убывания концентрации. Другими
словами, диффузия идет благодаря стремлению системы достичь физико-химического
равновесия. Процесс будет продолжаться до тех пор, пока химические потенциалы
компонентов всей системы не станут равными. Уравнение (6) описывает
стационарный (установившийся) процесс - процесс, параметры которого не зависят
от времени.
В макроскопическом представлении коэффициент диффузии определяет
плотность потока вещества при единичном градиенте концентрации и является,
таким образом, мерой скорости выравнивания градиента концентрации. В общем
случае диффузия анизотропна и коэффициент диффузии - симметричный тензор
второго ранга.
Согласно
микроскопическому определению, компонента Dx коэффициента
диффузии D по координате x связана со
среднеквадратичным смещением
диффундирующих
атомов по координате x и интервалом времени
, в
течение которого это смещение произошло.
Когда
концентрация вещества изменяется только в одном направлении (одномерная
диффузия) и при диффузии в изотропной среде (коэффициент диффузии - скаляр)
первое уравнения Фика имеет следующий вид:
. (2.7)
При
простейшем анализе структур и в простейших моделях процессов легирования в
технологии изготовления ИМС предполагаются именно такие условия диффузии.
Второе
уравнение диффузии (второй закон Фика) получается путем сочетания первого
закона и принципа сохранения вещества, согласно которому изменение концентрации
вещества в данном объеме должно быть равно разности потоков этого вещества на
входе в объем и выходе из него.
В
общем случае второе уравнение диффузии имеет следующий вид:
. (2.8)
Для
одномерной диффузии в изотропной среде уравнение (8) можно записать
. (2.9)
Второй
закон Фика характеризует процесс изменения концентрации диффундирующей примеси
во времени в различных точках среды и является математической моделью
нестационарного (развивающегося) состояния системы (описывает период времени от
начала процесса до установления стационарного состояния).
При
постоянстве коэффициента диффузии D (независимости его от
концентрации примеси) уравнение (9) упрощается:
. (2.10)
Допущение о постоянстве коэффициента диффузии справедливо в большом
количестве случаев, анализируемых в технологии ИМС.
Уравнения диффузии являются чисто феноменологическими, т.е. они не
содержат никаких сведений о механизмах диффузии - о диффузионном процессе на
атомном, уровне. Кроме того, уравнения (2.6) - (2.10) не содержат информации о
зарядовом состоянии диффундирующих частиц.
Процессы диффузии, используемые для изготовления интегральных структур,
обычно анализируются с помощью частных решений уравнения (2.10) так как, в
отличие от (2.7), именно оно содержит важный параметр - время установления
некоторого анализируемого состояния системы. Основная цель решения уравнения -
найти распределение примеси N(x,t) в полупроводнике после диффузии в течение определенного
времени t при различных условиях осуществления
процесса.
Общее решение уравнения (2.10) для бесконечного твердого тела при заданном
в общем виде начальном распределении примеси N(x,0)=f(x) может быть найдено методом разделения переменных. Оно имеет
вид:
, (2.11)
где
ξ - текущая координата интегрирования.
Бесконечным
в одномерном представлении называют тело, простирающееся от x=0
до x=-∞ и до x=+∞.
Часто
при поиске распределения концентрации примеси в полупроводнике необходимо
решение уравнения (2.10) для полубесконечного твердого тела. Полубесконечным в
одномерном представлении называют тело, простирающееся от x=0
до x=+∞..
Для
этого случая выражение (2.11) может быть приведено к виду:
. (2.12)
В
выражении (12) знак плюс относится к ситуации, когда граница твердого тела (x=0)
является непроницаемой для диффундирующего вещества, находящегося в области x>0
(отражающая граница), а знак минус - к случаю, когда на границе твердого тела в
любой момент времени концентрация диффундирующего вещества, также находящегося
в области x>0, равна нулю - связывающая граница.
Распределение примеси при диффузии из постоянного источника в
полубесконечное тело
Диффузант поступает в полубесконечное тело через плоскость x=0 из источника, обеспечивающего
постоянную концентрацию примеси N0 на
поверхности раздела, твердое тело - источник в течение любого времени. Такой
источник называют бесконечным или источником бесконечной мощности. Полагается,
что в принимающем диффузант теле нет рассматриваемой примеси.
Начальное распределение концентраций и граничные условия для этого случая
задаются в виде
для
для
.
Решением
уравнения (11) для данных условий является выражение:
. (2.13)
Коэффициент диффузии при температуре диффузии можно найти, используя
выражение в форме уравнения Аррениуса:
, (2.14)
где
D0 - постоянная диффузии, см2/с;
- энергия
активации диффузии, эВ;
k-
постоянная Больцмана, эВ/K;
T-
температура процесса, K.
Если в объеме полупроводникового материала до диффузии имелась примесь
противоположного типа по отношению к диффундирующей, эта примесь распределена
по объему равномерно и ее концентрация равна Nb, то в этом случае в полупроводнике образуется
электронно-дырочный переход. Его положение (глубина залегания) xj определяется условием N(x,t)= Nb, откуда:
, (2.15)
, (2..16)
где
- аргумент
функции
.
При
решении практических задач, связанных с анализом диффузионных процессов необходимо
знать количество примеси Q, накопленной в твердом теле при диффузии в течение
времени t. Эта величина определяется по формуле:
, (217)
где
J(0,t) - поток диффузанта в объем через плоскость x=0.
, (2.18)
.(2.19)
Твердое
тело можно считать полубесконечным ( или бесконечным) в том случае, если его
размеры в направлении движения диффузанта много больше длины диффузии.
Распределение примеси при диффузии из слоя конечной толщины в
полубесконечное тело с отражающей границей.
Диффундирующая примесь поступает в полубесконечное тело из источника,
который представляет собой примыкающий к границе тела слой толщиной h, примесь в котором распределена равномерно.
Такой источник называют ограниченным. Концентрация примеси в источнике - N0. Полагается, что в принимающем
диффузант твердом теле нет рассматриваемой примеси.
При абсолютно непроницаемой для диффузанта (отражающей) границе поток
примеси через поверхность x=0
должен обращаться в нуль при всех t≥0
. (2.20)
Начальное распределение концентраций для рассматриваемого случая задаётся
в виде
для
для
.
Граничным
условием является, определяемое условием (2.20), постоянство количества примеси
в источнике и полупроводнике
Для
реализации начального распределения такого типа диффундирующая примесь должна
быть введена в твердое тело до начала диффузии.
Решением
уравнения (10) в данной ситуации является выражение
. (2.21)
Здесь
следует отметить, что
.
В
отличие от диффузии из постоянного источника, при диффузии из слоя конечной
толщины количество диффузанта ограничено значением
. В процессе диффузии происходит только его
перераспределение и, следовательно, уменьшение со временем концентрации примеси
на поверхности твердого тела.
Распределение примеси при диффузии из бесконечно тонкого слоя в
полубесконечное тело с отражающей границей
Решение
диффузионного уравнения при этих условиях находится из (2.21) при
и условии, что количество диффузанта в источнике
.
. (2.22)
Приведенное
выражение представляет собой Гауссово распределение.
Тонкий
слой на поверхности полупроводниковой пластины является источником, который
очень быстро истощается. Непрерывная диффузия в этом случае приводит к
постоянному понижению поверхностной концентрации примеси в полупроводнике. Эту
особенность данного процесса используют в полупроводниковой технологии для
получения контролируемых значений низкой поверхностной концентрации примеси,
например, для создания базовых областей кремниевых транзисторных структур
дискретных приборов или ИМС.
На
первом этапе процесса проводится кратковременная диффузия (при пониженных
температурах) из постоянного источника, распределение примеси после которой
описывается выражением (2.20). Значение
при этом
велико и определяется либо пределом растворимости данной примеси в
полупроводниковом материале, либо концентрацией примеси в стеклообразном слое
на поверхности полупроводника. Этот этап часто называют загонкой. После
окончания первого этапа пластины помещают в другую печь для последующей
диффузии, обычно, при более высоких температурах. В этой печи нет источника
примеси, а если он создается на первой стадии в виде стеклообразного слоя на поверхности
пластин, его предварительно удаляют. Таким образом, тонкий слой, полученный на
первом этапе, является источником перераспределяемой примеси при проведении
второй стадии процесса. Для создания отражающей границы второй этап (часто
называемый разгонкой) проводят в окислительной атмосфере. При этом на
поверхности растет слой
.
Существует заметное несоответствие между распределением примеси в
источнике, сформированном при загонке, с декларируемым при выводе выражений
(2.21) и (2.22) - ступенчатым. Это несоответствие должно отразиться на точности
описания реального распределения примеси после второй стадии диффузии
выражением (22). Не существует и объективного количественного критерия
“тонкости” источника - нет каких-либо признаков, согласно которым для
представления результатов данного процесса следует использовать выражение
(2.22), а не (2.21) и наоборот.
При
моделировании двухстадийной диффузии и анализе результатов процесса полагают,
что выражение (2.22) достаточно точно соответствует реальному при условии, если
величина произведения
для первого этапа процесса легирования значительно
меньше чем
для второго -
. Это
условие быстрой истощаемости источника. В этом случае, учитывая, что количество
накопленной при первом этапе примеси определяется соотношением
, (2.23)
. (2.24)
Величины
и
относятся
ко второй стадии диффузии.
Распределение
примеси после ионного легирования
При
движении внутри мишени налетающие ионы обычно сильно отклоняются от
первоначального направления, при этом каждый ион будет иметь свою
индивидуальную серию столкновений и, соответственно, индивидуальные координаты
остановки. Таким образом, внедренная примесь распределится по глубине, ее
концентрация окажется функцией координаты N(x). Отрезок, соединяющий точку
влета иона в мишень с точкой остановки, называют пробегом (обычно его
обозначают R, но не следует путать его с полным средним пробегом), проекцию
пробега на направление первоначального движения - проецированным пробегом
(обозначают Rp). Поскольку количество падающих на мишень ионов очень большое
(обычно дозы внедрения бывают Ф>>1012см-2), то задачу об их
пространственном распределении авторы теории ЛШШ рассмотрели методами
математической статистики. Точный результат этого рассмотрения не выражается в
элементарных функциях, а приближенно его можно описать следующим выражением,
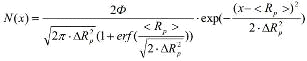
названным распределением Пирсона:
(2.25)
где
Ф - доза внедренных ионов,
<Rp>
- средний проецированный пробег,
ΔRp-дисперсия проецированных пробегов,(…) - функция ошибок,
х
- координата в направлении первоначального движения ионного пучка (начало
отсчета - на поверхности мишени).
Для
практических целей, особенно в тех случаях, когда <Rp> составляет
несколько десятых долей микрометра или меньше, чаще пользуются более простым
распределением Гаусса:
(2.26)
Параметры
распределений можно оценить и по приближенным формулам:
(2.27)
3.
Расчётная часть
.1
Расчёт распределения примесей после зонной плавки
Расчет
распределения фосфора в кремнии после зонной плавки. Для расчёта распределения
примеси рассчитаем его исходную концентрацию в кремнии по формуле
(Nсоб∙Asi)∙N(масс.))/Ax ,
(3.1)
где
Nсоб=5.0∙1022 см-3 - концентрация кремния;
Asi- атомная
масса кремния;
N(масс.)-
массовая доля примеси (фосфора) в кремнии;
Ax - атомная
масса примеси(фосфора).
Концентрация
фосфора N0=2,59∙1021 см-3
Распределение
примеси вдоль слитка определяется уравнением (2.5) на длине слитка
, т.е. при
. При
распределение примеси представляется уравнением
(2.3). Доля закристаллизовавшегося расплава
на этом
участке изменяется от нуля до величины, близкой к единице. Для
уравнение (2.3) не имеет смысла.
Для
расчета эффективного коэффициента сегрегации воспользуемся выражением (2.4).
Для фосфора в кремнии
(приложение Б).
Заполняем
расчетные таблицы 1 - 2, меняя с выбранным шагом расстояние от начала слитка в
длинах зоны
(на участке зонной плавки). Последний участок слитка,
на котором примесь распределяется в соответствии с уравнением (2.3), разбиваем,
меняя расстояние от начала этого участка, пропорционально доле
закристаллизовавшегося расплава
.
Таблица 1
Распределение фосфора вдоль слитка кремния после зонной плавки (один
проход расплавленной зоной)
|
Участок зонной плавки
|
Участок направленной
кристаллизации
|
|
a
|
Nтв см-3
|
g
|
Nтв, см-3
|
|
|
|
0
|
8.772∙1020
|
0
|
8.772∙1020
|
1.369∙1021
|
0,2
|
1.0,16∙1021
|
|
2
|
1.720∙1021
|
0,4
|
1.229∙1021
|
|
3
|
1.970∙1021
|
0,6
|
1.607∙1021
|
|
4
|
2.148∙1021
|
0,8
|
2.543∙1021
|
|
5
|
2.275∙1021
|
0,9
|
4.021∙1021
|
|
6
|
2.236 ∙1021
|
0,96
|
7,371∙1022
|
|
7
|
2.430∙1021
|
0,99
|
1,843∙1022
|
|
8
|
2.476∙1021
|
0,999
|
8,452∙1022
|
|
9
|
2.508∙1021
|
-
|
-
|
|
|
|
0
|
9.065∙1020
|
0
|
8,295 ∙1020
|
|
1
|
1.312∙1021
|
0,2
|
9,654 ∙1020
|
|
2
|
1.662∙1021
|
0,4
|
1,173 ∙1021
|
|
3
|
1.196∙1021
|
0,6
|
1,546 ∙1021
|
|
4
|
2.101∙1021
|
0,8
|
2,477 ∙1021
|
|
5
|
2.235∙1021
|
0,9
|
3,967 ∙1021
|
|
6
|
2.332∙1021
|
0,96
|
7,396 ∙1021
|
|
7
|
2.402∙1021
|
0,99
|
1,897 ∙1022
|
|
8
|
2.454∙1021
|
0,999
|
9,077 ∙1022
|
|
9
|
2.491∙1021
|
-
|
-
|
|
|
|
0
|
9.065∙1020
|
0
|
7,210 ∙1020
|
|
1
|
1.175∙1021
|
0,2
|
8,470 ∙1020
|
|
2
|
1.519∙1021
|
0,4
|
1,042 ∙1021
|
|
3
|
1.779∙1021
|
0,6
|
1,396 ∙1021
|
|
4
|
1.976∙1021
|
0,8
|
2,303 ∙1021
|
|
5
|
2.125∙1021
|
0,9
|
3,798 ∙1021
|
|
6
|
2.238∙1021
|
0,96
|
7,357 ∙1021
|
|
7
|
2.323∙1021
|
0,99
|
2,000 ∙1022
|
|
8
|
2.388∙1021
|
0,999
|
1,053 ∙1023
|
|
9
|
2.437∙1021
|
-
|
-
|
|
|
|
|
|
На основании полученных данных из таблицы 1 построим зависимость
распределения концентрации фосфора вдоль слитка после зонной плавки.
Рисунок 1 - Распределение фосфора в кремнии при зонной плавке после
однократного прохода расправленной зоной, где 1 - при скорости V=1.5 мм/мин ,2 - при V=4 мм/мин, 3 - при V=10 мм/мин
Расчет распределения алюминия в кремнии после зонной плавки. Расчёт будем
производить аналогично расчету фосфора в слитке кремния (пункт 3.1.1), при тех
же условиях зонной плавки
Концентрация алюминия N0=2,59∙1021
см-3
Для
расчета эффективного коэффициента сегрегации воспользуемся выражением (27). Для
алюминия в кремнии
0.35 (приложение Б).
Рисунок 2 - Распределение фосфора в кремнии при зонной плавке после
однократного прохода расправленной зоной, где 1 - при скорости V=1.5 мм/мин ,2 - при V=4 мм/мин, 3 - при V=10 мм/мин
Таблица 2
Распределение мышьяка вдоль слитка кремния после зонной плавки (один
проход расплавленной зоной)
|
Участок зонной плавки
|
Участок направленной
кристаллизации
|
|
a
|
Nтв,
см-3
|
g
|
Nтв,, см-3
|
|
|
|
0
|
1.00∙1021
|
0
|
1.005∙1021
|
|
1
|
1.570∙1021
|
0.2
|
1.165∙1021
|
|
2
|
1.972∙1021
|
0.4
|
1.410∙1021
|
|
3
|
2.259∙1021
|
0.6
|
1.843∙1021
|
|
4
|
2.463∙1021
|
0.8
|
2.916∙1021
|
|
5
|
2.608∙1021
|
0.9
|
4.611∙1021
|
|
6
|
2.712∙1021
|
0.96
|
8.453∙1021
|
|
7
|
2.786∙1021
|
0.99
|
2.114∙1022
|
|
8
|
2.839∙1021
|
0.999
|
9.692∙1022
|
|
9
|
2.876∙1021
|
-
|
-
|
|
|
|
0
|
9.513∙1020
|
0
|
9.513∙1020
|
|
1
|
1.504∙1021
|
0.2
|
1.107∙1021
|
|
2
|
1.906∙1021
|
0.4
|
1.346∙1021
|
|
3
|
2.197∙1021
|
0.6
|
1.773∙1021
|
|
4
|
2.409∙1021
|
0.8
|
2.840∙1021
|
|
5
|
2.563∙1021
|
0.9
|
4.550∙1021
|
|
6
|
2.674∙1021
|
0.96
|
8.481∙1021
|
|
7
|
2.67∙1021
|
0.99
|
2.176∙1022
|
|
8
|
2.755∙1021
|
0.999
|
1.040∙1023
|
|
9
|
2.814∙1021
|
-
|
-
|
|
|
|
|
0
|
8.268∙1020
|
0
|
8.268∙1020
|
|
1
|
1.347∙1021
|
0.2
|
9.713∙1020
|
|
2
|
1.741∙1021
|
0.4
|
1.195∙1021
|
|
3
|
2.040∙1021
|
0.6
|
1.601∙1021
|
|
4
|
2.266∙1021
|
0.8
|
2.641∙1021
|
|
5
|
2.437∙1021
|
0.9
|
4.355∙1021
|
|
6
|
5.566∙1021
|
0.96
|
8.436∙1021
|
|
7
|
2.664∙1021
|
0.99
|
2.294∙1022
|
|
8
|
2.738∙1021
|
0.999
|
1.208∙1023
|
|
9
|
2.795∙1021
|
-
|
-
|
|
|
|
|
|
|
На основании полученных данных из таблицы 2 построим зависимость
распределения концентрации мышьяка вдоль слитка после зонной плавки.
Рисунок 3 - Распределение алюминия в кремнии при зонной плавке после
однократного прохода расправленной зоной, где 1 - при скорости V=1.5 мм/мин ,2 - при V=4 мм/мин, 3 - при V=10 мм/мин
Рисунок 4 - Распределение алюминия в кремнии при зонной плавке после
однократного прохода расправленной зоной, где 1 - при скорости V=1.5 мм/мин ,2 - при V=4 мм/мин, 3 - при V=10 мм/мин
3.2 Анализ бинарной диаграммы состояния Si-Al
Рисунок 5- Диаграмма состояния кремний - аллюминий.
На диаграмме состояния кремний - мышьяк видно, что область твёрдых
растворов достаточно узкая, и она показывает, что предельная твёрдая
растворимость алюминия составляет 0,038% при температуре 1140 °С .Эвтектика
образуется при температуре 577,2 °С с содержанием алюминия 88,3% .
Линия солидус имеет ретроградный характер. Линия ликвидус значительно
короче, чем - солидус. Максимум растворимости кремния в алюминии составляет
1,69 % при температуре эвтектики в отличие от точки предельной растворимости
алюминия в кремнии.
Область твёрдых растворов кремния в алюминии также узкая как область
твёрдых растворов алюминия в кремнии, но всё же шире, хотя незначительно,
3.3 Расчет распределения примеси в полупроводнике после диффузионного
отжига при различных условиях диффузии.
Расчет распределения примеси при условии бесконечного источника примеси
при температуре, соответствующей максимальной растворимости примеси
При условии бесконечного источника примеси на поверхности пластины при
температуре, соответствующей максимальной растворимости примеси в
полупроводнике условия проведения диффузии соответствует решению,
представляемому уравнением (2.13).
-
Температура, соответствующая максимальной растворимости
;
Исходная
концентрация примеси при данной температуре N0=1.9∙1020см-3
Из
приложения Б для алюминия D0=1.385, ΔE=3.39 При
,
согласно (2.14), D=1.45∙1012 см-3
Таблица
3
Результаты
расчета распределения алюминия в кремнии
|
Х,мкм
|
Z=x/2√Dt
|
Erfc(z)
|
N(x),см-3
|
|
0
|
0,000
|
1,000
|
1,9∙1020
|
|
0,25
|
0,191
|
0,786
|
1,49∙1020
|
|
0,50
|
0,386
|
0,588
|
1,12∙1020
|
|
0,75
|
0,573
|
0,418
|
7,98∙1020
|
|
1,00
|
0,760
|
0,284
|
5,37∙1019
|
|
1,25
|
0,944
|
0,182
|
3,38∙1019
|
|
1,50
|
1,135
|
0,108
|
2,00∙1019
|
|
1,75
|
1,322
|
0,063
|
1,11∙1019
|
|
2,00
|
1,513
|
0,033
|
6,06∙1018
|
|
2,25
|
1,704
|
0,018
|
3,03∙1018
|
|
2,50
|
1,892
|
0,008
|
1,33∙1018
|
|
2,75
|
2,083
|
0,004
|
6,06∙1017
|
|
3,00
|
2,263
|
0,002
|
2,57*1017
|
По данным таблицы 3 строим график зависимости концентрации алюминия от
расстояния от поверхности пластины
Рисунок 7 - Зависимость концентрации алюминия от расстояния от
поверхности пластины при температуре Т=1143 °С и времени диффузии t=50 минут.
Расчет распределения примеси при условии бесконечного источника примеси
при температуре 830 °С
Условия проведения диффузии из бесконечного источника примеси на
поверхности пластины при температуре 830 °С соответствует решению,
представляемому уравнением (2.13)
При
данной температуре концентрация примеси соответствует N0=1,2∙10 20
.
Из
приложения Б для алюминия D0=1.385,ΔE=3.39
. Согласно (31), D=4,35·10-16
см-3.
Заполняем
расчетную таблицу, аналогично таблице в пункте 3.2.1.
Таблица
4
Результаты
расчета распределения алюминия в кремнии
|
Х,мкм
|
Z=x/2√Dt
|
Erfc(z)
|
N(x),см-3
|
|
0,000
|
0,000
|
1,000
|
1,9∙1020
|
|
0,005
|
0,735
|
1,49∙1020
|
|
0,010
|
0,477
|
0,499
|
1,12∙1020
|
|
0,015
|
0,716
|
0,310
|
7,98∙1020
|
|
0,020
|
0,955
|
0,176
|
5,37∙1019
|
|
0,025
|
0,194
|
0,091
|
3,38∙1019
|
|
0,030
|
1,430
|
0,042
|
2,00∙1019
|
|
0,035
|
1,660
|
1,799∙10-3
|
1,11∙1019
|
|
0,040
|
1,899
|
7,232∙10-3
|
6,06∙1018
|
|
0,045
|
2,139
|
2,484∙10-3
|
3,03∙1018
|
|
0,050
|
2,514
|
7,721∙10-4
|
1,33∙1018
|
На основе данных таблицы 4 строим график зависимости концентрации
алюминия от расстояния от поверхности пластины
Рисунок 8 - Зависимость концентрации алюминия от расстояния от
поверхности пластины при температуре T=1103°K и времени диффузии t=25 минут
Расчет распределения примеси после второй стадии диффузии
Условия проведения процесса после перераспределения примеси, накопленной
в приповерхностном слое полупроводника при температуре 830 °С и времени
диффузии 45 мин и условии перераспределения - полностью отражающая граница,
температура 1303 °С, время диффузии 110 минут соответствует случаю диффузии из
ограниченного источника с решениями, представляемыми уравнениями (2.21), (2.22)
и (2.24).
Величины
и
относятся
ко второй стадии диффузии.
Произведение
для процесса загонки равно:
=1,1∙10-12
Коэффициент
диффузии для процесса перераспределения примеси (
см2/с, 
,
°K) равен D1=2,15·10-18.
Произведение
для процесса разгонки D2t2
=1,429∙10-10.
, то есть условия проведения процесса соответствует
решению (2.24).
Заполняем расчетную таблицу, меняя расстояние x от поверхности. Значение концентрации диффузанта на
поверхности кремния, то есть при x=0
рассчитываем по формуле (2.24).
Полученные результаты используются для построения графика примесного
профиля.
Таблица 5
Результаты расчета распределения алюминия в кремнии при диффузии из приповерхностного
слоя
|
Х,мкм
|
N(x),см-3
|
|
0,0
|
2,45∙1018
|
|
0,2
|
2,22∙1018
|
|
0,4
|
1,68∙1018
|
|
0,6
|
1,05∙1018
|
|
0,8
|
5,54∙1017
|
|
1,0
|
2,36∙1017
|
|
1,2
|
8,7∙1016
|
|
1,4
|
2,53∙1016
|
|
1,5
|
1,3∙1016
|
Рисунок 9 - Зависимость концентрации алюминия от расстояния от
поверхности пластины после двухстадийной диффузии (логарифмический масштаб по
оси концентраций)
Нахождение положение электронно-дырочного перехода после диффузии
Положение электронно-дырочного перехода можно определить из графиков
распределения примесей после диффузии
Точка
пересечения соответствующей кривой распределения примеси с прямой,
характеризующей примесь противоположного типа проводимости и даст глубину
залегания
перехода.
Рисунок 10 - Распределение примеси после 1-й стадии диффузии
Рисунок 11 - Распределение примеси после 2-й стадии диффузии
Из рисунков 10,11 видно, что:
-
после первой диффузии глубина залегания
перехода
равна 0,05 мкм;
после
второй диффузии глубина залегания
перехода
равна1,6 мкм.
3.4 Расчет
распределения фосфора в кремнии после ионной имплантации и высокотемпературного
отжига
Расчет
распределения в кремнии фосфора после ионной имплантации при энергии внедрения
60 кэВ
Расчет распределения в кремнии фосфора после ионной имплантации при
энергии внедрения 60 кэВ и высокотемпературного отжига при температуре 970 °С и
времени отжига 60 минут
Распределение концентрации примеси в кремниевой мишени, легированной
методом ионной имплантации описывается уравнением (42).
Значения средней проекции длины пробега и нормального отклонения длины
пробега возьмем из приложения В.
Rp =
0,0726 мкм, ΔRp =
0,0327 мкм.
Таблица 6
Распределение фосфора после ионной имплантации и высокотемпературного
отжига
|
Ионная имплантация
|
Высокотемпературный отжиг
|
|
x, мкм
|
N(x), см-3
|
x, мкм
|
N(x), см-3
|
|
0,00
|
9.34∙1013
|
0,00
|
1,457×1014
|
|
0,02
|
3,17∙1014
|
0,02
|
1.519×1014
|
|
0,04
|
6,72∙1014
|
0,04
|
6,425×1014
|
|
0,06
|
1,03∙1015
|
0,06
|
1,022×1014
|
|
0,08
|
1,05∙1015
|
0,08
|
1,454××1014
|
|
0,10
|
7,82∙1014
|
0,10
|
1,101×1014
|
|
0,12
|
3,74∙1014
|
0,12
|
9,212××1014
|
|
0,14
|
1,34∙1014
|
0,14
|
6,044×1014
|
|
0,16
|
3,14∙1013
|
0,16
|
8,790×1013
|
|
0,18
|
5,02∙1012
|
0,18
|
6,293×1013
|
|
0,20
|
9,21∙1011
|
0,20
|
9,959×1012
|
На основании данных таблицы 6 строим профили распределения концентрации
ионов фосфора при имплантации в кремниевую мишень и последующего отжига
(рисунок 11).
Рисунок 12 - Зависимость концентрации мышьяка от расстояния
от поверхности пластины после ионной имплантации и отжига при энергии внедрения
60 кэВ , где 1 - распределение примеси после ионной имплантации; 2 -
распределение примеси после высокотемпературного отжига
Расчет
распределения в кремнии фосфора после ионной имплантации при энергии внедрения
260 кэВ
Расчет
распределения в кремнии мышьяка после ионной имплантации при энергии внедрения
260 кэВ и высокотемпературного отжига при температуре 970 °С и времени отжига
60 минут.
Расчет распределения фосфора будем производить аналогично расчету
распределения мышьяка при энергии внедрения 60 кэВ.
Таблицы 7
Результаты расчёта распределения фосфора после ионной имплантации и
высокотемпературном отжиге
|
Ионная имплантация
|
Высокотемпературный отжиг
|
|
x, мкм
|
N(x), см-3
|
x, мкм
|
N(x), см-3
|
|
0,00
|
4.14∙1012
|
0,00
|
6,357×1013
|
|
0,10
|
7,66∙1013
|
0,10
|
9.219×1013
|
|
0,20
|
3,43∙1014
|
0,20
|
2,900×1014
|
|
0,25
|
4,28∙1014
|
0,25
|
3,113×1014
|
|
0,30
|
3,74∙1014
|
0,30
|
3,654×1014
|
|
0,40
|
9,36∙1013
|
0,40
|
2,819×1014
|
|
0,50
|
5,81∙1012
|
0,50
|
6,212×1013
|
|
0,6
|
8,77∙1010
|
0,6
|
9,044×1012
|
На основании данных таблицы 7 строим профили распределения концентрации
ионов фосфора при имплантации в кремниевую мишень и последующего
высокотемпературного отжига (рисунок 12).
Рисунок 13 - Зависимость концентрации фосфора от расстояния от
поверхности пластины после ионной имплантации и отжига при энергии внедрения
260 кэВ (логарифмический масштаб по оси концентрации)
Нахождение положения электронно-дырочного перехода. Глубину залегания
электронно-дырочного перехода после отжига определим, воспользовавшись
графиками распределения примеси (рисунки 18 и 19) - точка пересечения
соответствующей кривой распределения примеси с прямой, характеризующей примесь
противоположного типа проводимости и даст глубину залегания p-n перехода.
При энергии внедрения 60 кэВ она составляет - 0,181 мкм., после
высокотемпературного отжига - 0,201 мкм
При энергии внедрения 260 кэВ она составляет - 0,342 мкм После
высокотемпературного отжига - 0,521 мкм
Рисунок 14 - Определение положения p-n перехода после высокотемпературного
отжига при энергии внедрения 60 кэВ, где 1- p-n-переход после
ионной имплантации; 2- p-n-переход после высокотемпературного
отжига;
Рисунок 15 - Определение положения p-n перехода после
высокотемпературного отжига при энергии внедрения 260 кэВ, 1- p-n-переход после ионной имплантации; 2- p-n-переход после высокотемпературного отжига;
Заключение
В данной курсовой работе были рассмотрены процессы очистки
полупроводникового материала методом зонной плавки и введения примеси в
полупроводник методом диффузии примеси.
Для процесса зонной плавки произведен расчет для двух очищаемых примесей:
фосфор и алюминий. Результаты расчета представлены в виде таблиц. По таблицам
построены графики распределения каждой примеси вдоль слитка кремния после
очистки зонной плавкой (один проход расплавленной зоной).
Из построенных графиков видно, что качество очистки, главным образом
определяется скоростью перемещения расплавленной зоны. Чем ниже скорость
перемещения зоны, тем качественнее происходит очистка слитка.
Во второй части расчета рассматривается метод введения и
перераспределения примеси - диффузия. Ее анализ показывает, что при условии
бесконечного источника примеси на поверхности пластины и одинаковом времени
диффузии профиль распределения примеси в полупроводнике будет различен при
различных температурах. Таким образом, изменяя температурный режим можно
изменить профиль распределения примеси в глубину полупроводника. Конечность
источника примеси позволяет управлять поверхностной концентрацией примеси.
Анализ ионной имплантации и высокотемпературного отжига показывает, что
при различных энергиях внедрения ионов глубина залегания примеси и ее
концентрация на одинаковых глубинах будут различны. Соответственно глубина
залегания электронно-дырочного перехода также зависит от энергии внедрения
ионов. Чем больше энергия внедрения, тем больше глубина проникновения ионов в материал
и тем больше глубина залегания электронно-дырочного перехода. Распределение
пробега ионов зависит главным образом от их энергии и атомной массы, а также
вещества мишени. Для монокристаллических мишеней на распределение пробега
влияет ориентация их граней относительно пучка ионов и наличие эффекта
каналирования - движение ионов по каналам, образованным атомными плоскостями.
При ионной имплантации возникает обилие радиационных дефектов в облученном
материале вплоть до образования аморфного слоя. Такие дефекты устраняют почти
полностью путем кратковременного отжига. После высокотемпературного отжига
максимум концентрации уменьшается по величине и глубина залегания
электронно-дырочного перехода увеличивается. Но при этом примесный профиль
размывается, то есть градиент концентрации становится меньше
Список литературы
.Харин А. Н., Катаева Н. А., Харина А. Т. Курс химии - М.:
«Высшая школа», 1975. - 416 с.
.Мюллер Г. Выращивание кристаллов из расплава. Конвекция и
неоднородности - М.: «МИР», 1991. - 149 с
.Филькевич Э.С.Пкльнер Э.О.,Черновый И.Ф. и др. Технология
полупроводникового кремния. - М.:Металлургия, 1992.-408 с.
.Пасынков В.В., Сорокин В.С. Материалы Электронной
техники:Учеб. Для студ. По спец. Электронной техники. 3-е
изд.-СПб.:Издательство “Лань”,2001.-368 с.
.Петров Д.А. - В кн.: Вопросы теории и исследования
полупроводников и процессов полупроводниковой металлургии. М:. изд. АН СССР,
1955
.Парр Н. Зонная очистка и её техника / Пер. с англ. - М:.
Металлургиздат, 1963
. Мейер Дж., Эриксон Л., Ионное легирование полупроводников
(кремний и германий) /7.Дэвис Дж. - М., Мир, 1973. - 296с.
. Ф. Ф. Комаров, А. П. Новиков, А. Ф. Буренков Ионная
имплантация - Минск, Унiверсiтэцкае, 1994. - 303 с.
.Романенко В.Н., Саидов М.С., Абдукваримов Э.Т., Никитина Г.В.
Коэффициенты распределения в сложных полупроводводниковых системах - Ташкент,
ФАН, 1987
10.Курносов А.И., Юдин В.В. Технология производства
полупроводниковых приборов: 11.Учебное пособие для специальностей
«Полупроводники и диэлектрики» и «Производство полупроводниковых приборов». -
М.: Высш. шк., 1974. - 400 с., ил.
12.Колобов Н.А., Самохвалов М.М. Диффузия и окисление
полупроводников. - М.: Металлургия, 1975. - 456 с.
13.Курносов А.И., Юдин В.В. Технология производства
полупроводниковых приборов и интегральных микросхем. - М.: Высшая школа, 1979.
- 368 с.
14.Рюге И. Технология полупроводников / Пер. с нем. - Берлин:
Шпрингер,1988.- 247 с.
15.Глазов В.М., Земсков В.С. Физико-химические основы
легирования полупроводников. М.: Наука, 1967.- 372 с.
16.Шур М. Физика полупроводниковых приборов: В 2 т. - М.:
Мир, 1992.
17.Крапухин В.В., Соколов И.А., Кузнецов Г.Д. Технология
материалов электронной техники. Теория процессов полупроводниковой технологии:
Учебник для вузов. - 2-е изд. перераб. и доп.- М.: МИСИС, 1995. - 493 с.
. Антонетти, Д. Антониадиса, Р. Даттона, У. Оулдхема
МОП-СБИС. Моделирование элементов и технологических процессов; Пер. с англ. -
М.: Радио и связь, 1988.
.Дьяконов В.П. Справочник по MathCAD PLUS 7.0 PRO.
-М.: СК Пресс, 1998.
Броудай И., Меррей Дж. Физические основы микротехнологии:
Пер. с англ. - М.: Мир, 1985.
.М. И. Елинсона, Г. Г. Смолко Технология тонких пленок.
Справочник: Пер. с англ. /Под ред.. -М., Сов. Радио, 1977. Т. 1.
.Бубенников А.Н. Моделирование интегральных микротехнологий, приборов
и схем: Учеб. пособие. -М.: Высш. шк., 1989.
22.Болтакс Б.И. Диффузия и точечные дефекты в
полупроводниках. Л.: Наука, 1972. - 384 с.
23.Риссел Х., Руге И. Ионная имплантация. - М.: Наука, 1983.
- 360 с.
.Таиров Ю.М., Цветков В.Ф. Технология полупроводниковых и
диэлектрических материалов. - М.: Высшая школа, 1983. - 273 с.
Приложение А
Параметры коэффициентов диффузии примесей в собственном кремнии (для
расчетов диффузионных процессов, происходящих только при низких концентрациях
вводимой примеси - nпр < ni)
Таблица 8
|
Примесь
|
Коэффициент диффузии D0,
см2/с
|
Энергия активации диффузии ΔE,
Эв
|
|
Бор
|
5,1
|
3,70 [3]
|
|
Алюминий
|
1,385
|
3,39 [4]
|
|
Галлий
|
0,374
|
3,41 [4]
|
|
Индий
|
0,785
|
3,63 [4]
|
|
Таллий
|
-
|
-
|
|
Фосфор
|
3,85
|
3,66 [5]
|
|
Мышьяк
|
24,0
|
4,08 [6]
|
|
Сурьма
|
12,9
|
3,98 [7]
|
|
Висмут
|
1,08
|
3,85 [8]
|
Приложение Б
Таблица 9
Равновесные коэффициенты распределения примесей в кремнии
|
Примесь
|
ko
|
|
Бор
|
0,8
|
|
Алюминий
|
4.10-3
|
|
Галлий
|
8.10-3
|
|
Индий
|
4.10-4
|
|
Таллий
|
-
|
|
Фосфор
|
0,35
|
|
Сурьма
|
2,3 .10-2
|
|
Мышьяк
|
0,3
|
|
Висмут
|
7.10-4
|
Приложение В
Таблица 10
Параметры длины пробега ионов в кремнии при ионном легировании
|
Бор (Z1=5;
M1=11,009)
|
Фосфор (Z1=15;
M1=30,974)
|
Мышьяк (Z1=33;
M1=74,922)
|
Сурьма (Z1=51;
M1=120,904)
|
|
E, кэВ
|
Rp, мкм
|
DRp, мкм
|
Rp, мкм
|
DRp, мкм
|
Rp, мкм
|
DRp, мкм
|
Rp, мкм
|
DRp, мкм
|
|
10
|
0,0310
|
0,0193
|
0,0128
|
0,0074
|
0,0099
|
0,0037
|
0,0092
|
0,0030
|
|
20
|
0,0634
|
0,0318
|
0,0243
|
0,0129
|
0,0164
|
0,0060
|
0,0147
|
0,0045
|
|
30
|
0,0956
|
0,0414
|
0,0359
|
0,0181
|
0,0225
|
0,0081
|
0,0195
|
0,0059
|
|
40
|
0,1270
|
0,0492
|
0,0479
|
0,0232
|
0,0284
|
0,0101
|
0,0241
|
0,0072
|
|
50
|
0,1574
|
0,0556
|
0,0601
|
0,0280
|
0,0343
|
0,0121
|
0,0284
|
0,0084
|
|
60
|
0,1868
|
0,0610
|
0,0726
|
0,0327
|
0,0400
|
0,0140
|
0,0327
|
0,0097
|
0,2153
|
0,0657
|
0,0852
|
0,0372
|
0,0458
|
0,0159
|
0,0369
|
0,0108
|
|
80
|
0,2459
|
0,0699
|
0,0979
|
0,0415
|
0,0516
|
0,0177
|
0,0410
|
0,0120
|
|
90
|
0,2696
|
0,0735
|
0,1108
|
0,0458
|
0,0573
|
0,0196
|
0,0451
|
0,0131
|
|
100
|
0,2956
|
0,0768
|
0,1238
|
0,0498
|
0,0631
|
0,0214
|
0,0491
|
0,0143
|
|
110
|
0,3209
|
0,0798
|
0,1368
|
0,0538
|
0,0689
|
0,0232
|
0,0532
|
0,0154
|
|
120
|
0,3456
|
0,0825
|
0,1499
|
0,0575
|
0,0747
|
0,0250
|
0,0572
|
0,0165
|
|
130
|
0,3697
|
0,0849
|
0,1631
|
0,0612
|
0,0805
|
0,0268
|
0,0611
|
0,0176
|
|
140
|
0,3933
|
0,0872
|
0,1762
|
0,0648
|
0,0863
|
0,0286
|
0,0651
|
0,0187
|
|
150
|
0,4163
|
0,0893
|
0,1894
|
0,0682
|
0,0921
|
0,0304
|
0,0691
|
0,0198
|
|
160
|
0,4389
|
0,0913
|
0,2026
|
0,0715
|
0,0980
|
0,0321
|
0,0730
|
0,0209
|
|
170
|
0,4610
|
0,0931
|
0,2157
|
0,0747
|
0,1039
|
0,0339
|
0,0769
|
0,0219
|
|
180
|
0,4828
|
0,0948
|
0,2289
|
0,0778
|
0,1097
|
0,0356
|
0,0809
|
0,0230
|
|
190
|
0,5041
|
0,0964
|
0,2420
|
0,0808
|
0,1157
|
0,0373
|
0,0848
|
0,0241
|
|
200
|
0,5251
|
0,0979
|
0,2550
|
0,0837
|
0,1216
|
0,0391
|
0,0877
|
0,0251
|
|
220
|
0,5661
|
0,1007
|
0,2811
|
0,0893
|
0,1335
|
0,0425
|
0,0966
|
0,0272
|
|
240
|
0,6059
|
0,1032
|
0,3070
|
0,0945
|
0,1451
|
0,0458
|
0,1044
|
0,0293
|
|
260
|
0,6446
|
0,1055
|
0,3326
|
0,0994
|
0,1575
|
0,0491
|
0,1123
|
0,0314
|
|
280
|
0,6824
|
0,1076
|
0,3581
|
0,1041
|
0,1696
|
0,0524
|
0,1202
|
0,0335
|
|
300
|
0,7193
|
0,1095
|
0,3833
|
0,1084
|
0,1817
|
0,0557
|
0,1280
|
0,0355
|
|
320
|
0,7553
|
0,1113
|
0,4083
|
0,1126
|
0,1939
|
0,0589
|
0,1359
|
0,0375
|
|
340
|
0,7906
|
0,1130
|
0,4330
|
0,1165
|
0,2061
|
0,0620
|
0,1438
|
0,0396
|
|
360
|
0,8253
|
0,1145
|
0,4575
|
0,1202
|
0,2184
|
0,0652
|
0,1517
|
0,0416
|
|
380
|
0,8593
|
0,1160
|
0,4817
|
0,1238
|
0,2307
|
0,0683
|
0,1596
|
0,0436
|
|
400
|
0,8928
|
0,1173
|
0,5057
|
0,1272
|
0,2431
|
0,0713
|
0,1675
|
0,0456
|
|
420
|
0,9257
|
0,1186
|
0,5294
|
0,1304
|
0,2555
|
0,0743
|
0,1755
|
0,0476
|
|
440
|
0,9581
|
0,1198
|
0,5529
|
0,1334
|
0,2679
|
0,0773
|
0,1835
|
0,0496
|
|
460
|
0,9901
|
0,1210
|
0,5762
|
0,1364
|
0,2804
|
0,0802
|
0,1914
|
0,0515
|
|
480
|
1,0216
|
0,1221
|
0,5992
|
0,1392
|
0,2928
|
0,0831
|
0,1994
|
0,0535
|
|
500
|
1,0527
|
0,1231
|
0,6220
|
0,1419
|
0,3053
|
0,0860
|
0,2074
|
0,0554
|