Развитие мелкой моторики рук у детей младшего школьного возраста с задержкой психического развития методами и средствами психофизической тренировки

  • Вид работы:
    Курсовая работа (т)
  • Предмет:
    Психология
  • Язык:
    Русский
    ,
    Формат файла:
    MS Word
    511,25 Кб
  • Опубликовано:
    2016-02-21
Вы можете узнать стоимость помощи в написании студенческой работы.
Помощь в написании работы, которую точно примут!

Развитие мелкой моторики рук у детей младшего школьного возраста с задержкой психического развития методами и средствами психофизической тренировки

ФГБОУ ВПО «ВЕЛИКОЛУКСКАЯ ГОСУДАРСТВЕННАЯ АКАДЕМИЯ

ФИЗИЧЕСКОЙ КУЛЬТУРЫ И СПОРТА»

Кафедра физиологии и спортивной медицины








КУРСОВАЯ РАБОТА ПО ТЕМЕ:

РАЗВИТИЕ МЕЛКОЙ МОТОРИКИ РУК У ДЕТЕЙ МЛАДШЕГО ШКОЛЬНОГО ВОЗРАСТА С ЗАДЕРЖКОЙ ПСИХИЧЕСКОГО РАЗВИТИЯ МЕТОДАМИ И СРЕДСТВАМИ ПСИХОФИЗИЧЕСКОЙ ТРЕНИРОВКИ








Великие Луки, 2012

ВВЕДЕНИЕ

Актуальность. В последнее время проблеме развития мелкой моторики рук у детей уделяется большое внимание.

Как убедительно доказано научными исследованиями М. М. Кольцовой (1973) и канадским нейрохирургом У. Пенфилдом (1975), прямая зависимость между уровнем сформированности речи и развитием тонкой моторики рук отчетливо прослеживается в ходе индивидуального развития каждого ребенка. Поэтому развитые, усовершенствованные движения пальцев рук способствуют более быстрому и полноценному формированию у ребенка речи и психических процессов, тогда как неразвитая ручная моторика, наоборот, тормозит такое развитие.

По умелости детской руки специалисты на основе данных самых современных исследований делают вывод об особенностях развития центральной нервной системы. И если когда-то подобные выводы были эмпирическими, основывались на опыте и наблюдениях, то для современных нейрофизиологов, физиологов, психологов взаимосвязь мозга и руки - аксиома, подтвержденная тончайшими датчиками специальных приборов.Чаще всего задержка развития речи тяжело сказывается на общем развитии ребенка, не позволяет ему полноценно общаться и играть с ровесниками, затрудняет познание окружающего мира, отягощает эмоционально-психическое состояние ребёнка. Однако если вовремя помочь ребёнку, постоянно использовать все способы развития психики, эти серьёзные проблемы можно решить (А. Р. Лурия <#"865122.files/image001.gif">

Рис. 1 - Проекция частей тела в коре головного мозга

Исследования также доказали, что каждый палец руки и мелкие мышцы каждой фаланги всех пальцев руки имеют здесь отдельное представительство, в то время как крупные мышцы рук, ног и туловища представлены суммарно. Тонкая моторика рук - это разновидность вторичных движений, в которых участвуют мелкие мышцы рук. Эти движения не являются безусловными рефлексами и требуют специального развития.

Развитие мелкой моторики рук происходит поэтапно. Исследования учёных показали, что движения выпрямленных рук грудного ребёнка над грудью развиваются и закрепляются в системе эмоционально-положительного комплекса оживления. Этот комплекс оживления возникает в первые месяцы жизни малыша, когда он останавливает взгляд на лице склонившегося над ним человека, улыбается ему, активно двигает ручками и ножками, издаёт тихие звуки. В возрасте от двух до трёх месяцев у ребёнка возникают ощупывающие движения. С этого времени и происходит включение центров тактильного анализатора коры больших полушарий.

Овладение относительно тонкими действиями рук происходит в процессе развития кинестетического чувства - положения и перемещения тела в пространстве, то есть в процессе формирования зрительно - тактильно - кинестетических связей. После формирования этих связей движения руки начинают в большей степени выполняться под контролем зрения, теперь уже вид предмета - это стимул движения руки по направлению к нему (Г. А. Кураев, 1999).

Рука, сжатая в кулачок, распрямляется, особые движения захватывания предметов пытаются выполнять пальцы. Так рука начинает действовать как специфический орган.

Среди других двигательных функций движения пальцев рук имеют особое значение, так как оказывают огромное влияние на развитие высшей нервной деятельности ребёнка. Учёные установили, что своевременное развитие ручных умений ребёнка положительно влияет на развитие его психических процессов (Е.Ф. Архипова, 2007).

У новорождённого кисти всегда сжаты в кулачки, и если взрослый вкладывает свои указательные пальцы в ладонь ребёнка, тот их плотно сжимает. Малыша можно даже немного приподнять. Однако эти манипуляции ребёнок совершает на рефлекторном уровне, его ещё не достигли высокого мозгового контроля, который позволяет впоследствии сознательно выполнять движения.

До 3,5-4 месяцев движения рук у ребёнка носят безусловно-рефлекторный характер. Это значит, что движения выполняются как относительно постоянные стереотипные реакции организма на воздействие внешней среды, не требующие специальных условий для своего возникновения.

В 4-4,5 месяца у ребёнка появляются простые движения рук, направленные на непосредственный контакт с объектом: притягивание к себе случайно задетого предмета, его ощупывание. Однако действия рук носят ещё случайный характер, без целенаправленного волевого усилия.

В возрасте от 4 до 7 месяцев у ребёнка в развитии действий с предметами наступает следующий этап - этап простого "результативного" действия. Для этого периода характерно активное обнаружение скрытых свойств объекта. С 5 месяцев у ребёнка при схватывании предмета более активное участие принимают пальцы: заметно доминирующее положение большого пальца - ребёнок отводит его при схватывании. В 6 месяцев он не только умеет крепко удерживать вложенный в руку предмет, но и брать его из любого положения.

-10 месяцев - это уже следующий этап в развитии действий с предметами, этап "соотносящего" действия. В этот период малыш уже умеет соотносить предмет с определённым местом в пространстве. С 8-9 месяцев ребёнок уже прекрасно сжимает игрушку, если её хотят у него взять, берёт мелкие предметы двумя пальцами, а большие всей ладонью.

С 10 месяцев до 1года 3 месяцев отмечается появление так называемых функциональных действий, которые отличаются от манипуляторных тем, что выражают социальную сущность предмета, определяют его назначение. На протяжении этого периода совершенствуются действия рук: кулачок разжался, пальцы действуют более самостоятельно и автономно.

В 1,2-1,3 года активизируется кончик большого пальца, а затем указательный палец. В последующем наблюдается интенсивное развитие относительно тонких движений всех пальцев, которое продолжается на протяжении всего периода раннего детства. Только к трём годам движения пальцев малыша становятся близки к движениям рук взрослого человека (Л. Т.Журба и др., 1981).

Значение хватательного рефлекса состоит в способности ребёнка не выпускать из рук предмет. По мере созревания мозга этот рефлекс переходит в умение хватать и отпускать. Чем чаще у ребёнка действует хватательный рефлекс, тем эффективней происходит эмоциональное и интеллектуальное развитие малыша (Л. П. Савина, 1999).

Формирование словесной речи ребёнка начинается, когда движения пальцев рук достигают достаточной точности. Развитие пальцевой моторики подготавливают почву последующего формирования речи(А. Л. Сиротюк, 2001).

В лаборатории высшей нервной деятельности ребёнка было обнаружено, что когда ребёнок производит ритмические движения пальцами, у него резко усиливается согласованная деятельность лобных и височных отделов мозга, и поэтому развитие ручных умений ребенка положительно влияет на развитие его психических процессов (В. П. Гогольчева, 2003).

Из этого можно сделать вывод, что началу развития мышления даёт рука. Как писал физиолог И.П. Павлов (1913): "Руки учат голову, затем поумневшая голова учит руки, а умелые руки снова способствуют развитию мозга".

С возрастом у детей происходит совершенствование движений пальцев рук. Особое значение имеет период, когда начинается противопоставление большого пальца остальным. С этого момента ребёнку доступны тонкие движения пальцев. Когда движения пальцев достаточно точны, начинает развиваться словесная речь. Развитие движений пальцев рук как бы подготавливают почву для последующего формирования психической деятельности (М. М. Кольцова, 1973).

Говоря о тренировке движений пальцев рук, нельзя не упомянуть о леворукости. Левшей называют амбидекстрами, то есть имеющими две правые руки. Действительно, левши обычно хорошо владеют обеими руками, поскольку сами они стремятся все делать левой рукой, а окружающие взрослые учат их владеть правой. Плохо это или хорошо быть левшой? Скорее, хорошо: ведь при тренировке обеих рук речевые области будут формироваться в обоих полушариях мозга. Невропатологи считают это страховкой от потери речи при поражении левого полушария. Учитывая все это, необходимо у всех детей стараться развивать обе руки - это только полезно. Если ребенок леворукий, то, не следует ставить задачу переделать его в правшу (надо помнить, что это грозит развитием заикания и других нарушений речи), надо просто принять меры к тому, чтобы его правая рука стала более активной. Лучше всего это достигается в играх (М. М. Кольцова, 1973). Уровень развития мелкой моторики - один из показателей интеллектуальной готовности к школьному обучению. Обычно ребёнок, имеющий высокий уровень развития мелкой моторики, умеет логически рассуждать, у него достаточно развиты память и внимание, связная речь. В. А. Сухомлинский (1974) писал: «Истоки творческих способностей детей и их дарований - на кончиках пальцев… Чем больше уверенности и изобретательности в движении детской руки, тем тоньше взаимодействие с орудием труда, чем сложнее движения, необходимые для этого взаимодействия, тем глубже входит взаимодействие руки с природой, с общественным трудом в духовную жизнь ребёнка. Другими словами: чем больше мастерства в детской руке, тем умнее ребёнок». Если развитие движений пальцев соответствует возрасту, то и развитие речи тоже в пределах нормы, если же развитие пальцев отстаёт - отстаёт и развитие речи, хотя общая моторика при этом может быть в пределах нормы и даже выше.

Необходимо обратить внимание на то, что этот факт должен использоваться в работе с детьми и там, где развитие речи происходит своевременно, и особенно там, где имеется отставание, задержка развития моторной стороны речи; нужно стимулировать речевое развитие детей путем тренировки движений пальцев рук.

1.2 Клиническая и психолого-педагогическая характеристика детей с задержкой психического развития

Понятие "задержка психического развития" употребляется по отношению к детям со слабо выраженной недостаточностью центральной нервной системы - органической или функциональной. У этих детей нет специфических нарушений слуха, зрения, опорно-двигательного аппарата, тяжелых нарушений речи, они не являются умственно отсталыми. В то же время у большинства из них наблюдается полиморфная клиническая симптоматика: незрелость сложных форм поведения, недостатки целенаправленной деятельности на фоне повышенной истощаемости нервной системы, нарушенной работоспособности, энцефалопатических расстройств. Задержки развития могут быть вызваны разными причинами: негрубым внутриутробным поражением ЦНС, нетяжелыми родовыми травмами, недоношенностью, близнецовостью, инфекционными и хроническими соматическими заболеваниями. На это указывают в своих исследованиях Г. Е. Сухарева,1959;Т.А. Власова, М. С. Певзнер, 1973;В.И. Лубовский, И.Ф. Марковская, 1977; В. В. Лебединский,1985; и др. Этиология ЗПР связана не только с биологическими, но и с неблагоприятными социальными факторами. Прежде всего это ранняя социальная депривация и влияние длительных психотравмирующих ситуаций. В настоящее время достигнуты определенные успехи в клиническом, нейропсихологическом и психолого-педагогическом изучении детей с ЗПР. Клинические исследования рассматриваемой категории детей направлены на изучение причин и клинико-нейрофизиологических механизмов отклонений в развитии и обусловленной ими психопатологической симптоматики, а также на выделение клинических вариантов ЗПР.

Можно выделить четыре клинико-психологических синдрома, которые определяют недостатки познавательной деятельности и обусловливают трудности в обучении.

Синдром психического инфантилизма связан с замедленным созреванием лобно-диэнцефальных систем мозга, что обуславливает эмоционально-личностную незрелость ребенка, который оказывается как бы на более ранней ступени развития эмоционально-волевой сферы. Эмоционально-волевая незрелость может сочетаться с негрубыми нарушениями познавательной деятельности, речи, повышенной истощаемостью и пресыщаемостью активного внимания. Вследствие этого у ребенка ослаблен контроль и регуляция деятельности.

Эмоционально-волевая незрелость выражается в несамостоятельности, повышенной внушаемости, беспечности, преобладании игровых интересов. Мотивация деятельности определяется в основном стремлением к получению удовольствия. Ребенок с недоразвитием межличностных компонентов непродуктивен в учебных ситуациях, когда он должен подчиняться инструкции педагога, и более активен в игре. Для таких детей характерна "детскость моторики" - суетливость, порывистость, недостаточная координированность движений (К. С. Лебединский, 1985;Л. С. Маркова, 2002).

Церебрастенический синдром характеризуется низкой устойчивостью нервной системы к умственной и физической нагрузке. Астенические расстройства могут возникать при различных нарушениях мозговой деятельности, чаще всего при гипертензионно-гидроцефальном синдроме (повышении внутричерепного давления). У таких детей увеличены размеры головы, выпуклый высокий лоб, на лбу и висках выражен сосудистый рисунок (венозная сеть). Для таких детей характерны моторная неловкость, нарушения мелкой моторики. Неустойчив эмоциональный тонус, характерна резкая смена настроения, плаксивость, склонность к апатии. В некоторых случаях родители такого ребенка считают его не по годам развитым, ошибочно ориентируясь на хорошую механическую память, многоречивость, склонность к рассуждательству. Однако при более пристальном внимании выясняется, что развита формальная сторона речи при недостатках ее смысловой стороны, ослаблена логическая память. Наиболее характерны для этих детей повышенная утомляемость и истощаемость нервной системы, что проявляется в расстройствах внимания, слабости произвольной деятельности (А.О. Дробинская и др., 1995).

Гипердинамическийсиндром (гиперактивность)характеризуется общей двигательной расторможенностью, повышенной возбудимостью, обилием лишних движений, импульсивностью поступков. Эти признаки сочетаются с выраженной недостаточностью целенаправленного внимания, снижением его объема и концентрации. Нарушается произвольность регуляции поведения. Такие дети плохо подчиняются требованиям дисциплины, у них возникают проблемы в общении со сверстниками (Е.В. Мурашова, 2005).

Психоорганический синдром нередко лежит в основе отклонений в формировании познавательной деятельности ребенка, при котором наряду с явлениями церебрастении и двигательной расторможенности наблюдаются признаки раннего органического поражения головного мозга. Проявляться это может в виде вялости, замедленности любой деятельности, слабости побуждений, инертности. У некоторых детей инертность и медлительность умственной деятельности сосуществует с двигательной расторможенностью (В.А. Жмуров,2002).

Нарушения темпа нервно-психического развития могут быть выявлены уже в раннем возрасте (до 3-х лет). Последствия раннего органического поражения мозга или функциональная незрелость ЦНС обуславливают ряд отклонений, затрудняющих взаимодействие ребенка с окружающей средой, вследствие чего не складывается полноценная база для последующего развития высших психических функций (М. М. Семаго, 1999).

Практика доказывает, что раннее выявление отклонений и квалифицированная помощь ребенку в раннем возрасте обеспечивают наибольший эффект в преодолении имеющихся нарушений и предупреждении отклонений в развитии (Л. С. Маркова, 2002).Рассматривая психологические особенности школьников с ЗПР, прежде всего следует отметить, что это дети с нереализованными возрастными возможностями (У.В. Ульенкова,2008). Все основные психические новообразования возраста у них формируются с запаздыванием и имеют качественное своеобразие.

В этом возрасте у детей с ЗПР выявляется отставание в развитии общей и, особенно, тонкой моторики (У. В. Ульенкова, 1994). Главным образом страдает техника движений и двигательные качества (быстрота, ловкость, сила, точность, координация), выявляются недостатки психомоторики (И. П. Подласый, 2003). Слабо сформированы навыки самообслуживания, технические навыки в изо-деятельности, лепке, аппликации, конструировании. Многие дети не умеют правильно держать карандаш, кисточку, не регулируют силу нажима, затрудняются при пользовании ножницами.

Для таких детей характерна рассеянность внимания, они не способны удерживать внимание достаточно длительное время, быстро переключать его при смене деятельности. Для них характерна повышенная отвлекаемость, особенно на словесный раздражитель (Л. В. Кузнецоваи др., 2002).

Особого внимания заслуживает рассмотрение особенностей речевого развития детей с ЗПР. Многим из них присущи дефекты звукопроизношения, недостатки фонематического восприятия. Среди воспитанников специализированных групп много детей с таким речевым нарушением, как дизартрия (Т. А. Ратанова, 2003).

1.3 Роль дидактических игр и игровых упражнений для развития мелкой моторики рук у детей с задержкой психического развития

Игра - это одна из тех видов детской деятельности, которая используется взрослыми в целях воспитания детей, обучая их различным действиям с предметами, способам и средствам общения. В игре ребёнок развивается как личность, у него формируются те стороны психики, от которых впоследствии будут зависеть успешность его учебной и трудовой деятельности, его отношения с людьми (С.Л. Рубинштейн, 2000).Дидактическая игра - явление сложное, но в ней отчётливо обнаруживается структура, то есть основные элементы, характеризующие игру как форму обучения и игровую деятельность одновременно. Одна из основных элементов игры - дидактическая задача, которая определяется целью обучающего и воспитательного воздействия (А.К.Бондаренко, 1991).Игровые действия составляют основу дидактической игры - без них невозможна сама игра. Чем разнообразнее и содержательнее игровые действия, тем интереснее для детей сама игра и тем успешнее решаются познавательные и игровые задачи.

Без специального обучения игра у детей с ЗПР не может занять ведущие место и, следовательно, оказать воздействие на психическое развитие (Л. В. Шапкова, 2001). В таком виде игра не способна служить средством коррекции и компенсации дефектов развития аномального ребёнка. Разделу "Игра" не случайно отведено центральное место в программе воспитания и обучения детей с ЗПР. Тем самым подчёркивается первостепенное значение этой деятельности для обогащения детского развития, коррекции и компенсации разнообразных дефектов в психике аномального ребёнка, подготовки его к обучению в школе (С. Е. Гаврина и др., 2008).

Многие игры и упражнения, направленные на развитие у детей ручной умелости, дошли к нам из глубины веков. И это не простая случайность. В те далекие времена, когда еще не существовало письменности, люди хорошо понимали большое значение "ловкости рук" как одного из важнейших условий приспособленности человека к жизни. Это нашло свое отражение и в народных сказках, преданиях, пословицах и поговорках. Всем нам хорошо известны такие выражения, как "мастер золотые руки", или, наоборот, "руки-крюки", "руки как грабли" и т.п. (Л. Г. Парамонова, 2005; С. Е. Большакова,2006).

К сожалению, в наш "машинный век" мы стали как-то больше надеяться на машины, чем на собственные руки, в связи с чем многие родители не стараются развивать у своих детей тонкую ручную моторику и вообще приучать их к "ручной работе".Талантом нашей народной педагогики созданы игры "Ладушки", "Сорока - белобока", "Коза - рогатая" и другие. Их значение до сих пор недостаточно осмыслено взрослыми. Многие родители видят в них развлекательное, а не развивающее и оздоравливающее воздействие.

Нужно подчеркнуть, что такие игры не должны быть очень продолжительны. Как показывают наблюдения, 5 минут в день вполне достаточно для того, чтобы стимулировать речевую функцию ребенка (А.И.Максаков и др., 1981).

Можно использовать следующие виды работ, способствующие развитию мелких мышц пальцев и кистей рук:

игры с пальчиками, сопровождающиеся стишками и потешками;

специальные упражнения без речевого сопровождения, объединённые в комплекс гимнастики для развития мелкой моторики рук, так называемая пальчиковая гимнастика;

игры и действия с игрушками и предметами:

раскладывание пуговиц, палочек, желудей и другого природного материала:

нанизывание бус, колечек, пуговиц на нитку;

застёгивание и расстёгивание пуговиц, кнопок, молний;

игры с мозаикой (различных размеров);

игры со строительным материалом;

изобразительную деятельность:

лепку из пластилина и глины;

раскрашивание картинок;

обведение контуров;

штриховку;

рисование карандашами и красками различными способами (кистью, пальцем, свечой);

разнообразную работу с ножницами;

поделки из природного материала и т.д. (Л. С. Маркова, 2002)

Таким образом, анализируя роль дидактических игр и игровых упражнений для развития мелкой моторики рук у детей с ЗПР, был сделан вывод о том, что большое влияние на развитие психических процессов оказывает тренировка мелкой моторики рук. Так как игра является основным видом деятельности детей, то осуществлять развитие мелкой моторики следует именно через игры и игровые упражнения (Г. И. Щукина, 1979).

ГЛАВА 2. ЗАДАЧИ, МЕТОДЫ И ОРГАНИЗАЦИЯ ИССЛЕДОВАНИЯ

.1 Задачи исследования

. Исследовать научно-методическую литературу.

. Провести в рамках коррекционной работы с детьми младшего школьного возраста занятия по развитию мелкой моторики рук с использованием методической разработки и комплексом динамических упражнений составленных на основе рекомендаций ведущих специалистов в области психолого-педагогической работы с детьми данной категории.

. Определить и оценить динамику уровня развития мелкой моторики у детей младших классов по окончании эксперимента.

2.2 Методы исследования

Для решения поставленных задач использовались следующие методы исследования:

Анализ научно-методической литературы.

Педагогическое тестирование.

Педагогическое наблюдение.

Методы математической статистики.

Анализ научно-методической литературы.

В ходе исследования было проанализировано 53литературных источника. Полученная информация использовалась на различных этапах исследования.

Педагогическое тестирование.

Педагогическое тестирование проводилось в течение всей экспериментальной работы.

Графические тесты проводились в классной комнате. В процессе тестирования выполнялись предложенный объем работы с определённой интенсивностью. Время работы не более 8 минут. Все результаты педагогического наблюдения заносились в протоколы.

При выполнении графических заданий обращалось внимание на то, как сидит ребенок, правильно ли держит карандаш или ручку, рисует ли он слева направо, не переворачивает ли тетрадь, не выходит ли за контуры фигур при штриховании, какой рукой ребенок выполняет задания, отрывает ли руку от листа при проведении прямой линии, задает ли вопросы при выполнении задания, быстро ли понимает ход выполнения работы, быстро или медленно выполняет задания и как быстрота выполнения сочетается с качеством.

Графические тесты.

Тест №1.Тропинки (М. С. Заикин и др., 2001) (Приложение Б).

Методика проведения: испытуемого просят провести линию посередине дорожки, не выходя за ее пределы и не отрывая карандаша от бумаги.

Оценивается точность линий, отклонения от направляющих, время выполнения задания, не отрывался ли карандаш во время выполнения задания. Время выполнения 1 минута на оценку 5 баллов.

Критерии оценки:

. Задание выполнено правильно и быстро - 5 баллов.

. Задание выполнено правильно, но медленно - 4 балла.

. Задание выполнено с нарушениями, быстро - 3 балла.

. Задание выполнено с нарушениями, медленно - 2 балла.

. Задание выполнено с грубыми нарушениями - 1 балл.

Тест №2. Штрихи на рисунке (С. Е. Гаврина и др., 2008) (Приложение Б).

Методика проведения: испытуемый заштриховывает рисунок, как это показано на образце.

Оценивается точность линий, отклонения от направляющих, время выполнения задания. Время выполнения 1 минута на оценку 5 баллов.

Критерии оценки:

. Задание выполнено правильно и быстро - 5 баллов.

. Задание выполнено правильно, но медленно - 4 балла.

. Задание выполнено с нарушениями, быстро - 3 балла.

. Задание выполнено с нарушениями, медленно - 2 балла.

. Задание выполнено с грубыми нарушениями - 1 балл.

Тест №3. Бабушкин клубок (О. В. Бачина и др., 2006) (Приложение В).

Методика проведения: испытуемый заштриховывает рисунок, как это показано на образце.

Оценивается точность линий, отклонения от направляющих, время выполнения задания. Время выполнения 1 минута на оценку 5 баллов.

Критерии оценки:

. Задание выполнено правильно и быстро - 5 баллов.

. Задание выполнено правильно, но медленно - 4 балла.

. Задание выполнено с нарушениями, быстро - 3 балла.

. Задание выполнено с нарушениями, медленно - 2 балла.

. Задание выполнено с грубыми нарушениями - 1 балл.

Тест №4. Продолжи узор, не отрывая руки (М.С. Заикин и др., 2001) (Приложение В).

Методика проведения: испытуемый должен продолжить образец до конца строки, не отрывая руки.

Оценивается точность линий, отклонения от направляющих, время выполнения задания. Время выполнения 1 минута на оценку 5 баллов.

Критерии оценки:

. Задание выполнено правильно и быстро - 5 баллов.

. Задание выполнено правильно, но медленно - 4 балла.

. Задание выполнено с нарушениями, быстро - 3 балла.

. Задание выполнено с нарушениями, медленно - 2 балла.

. Задание выполнено с грубыми нарушениями - 1 балл.

Тест №5.«Змейка» (Н. И. Озерецкий, 1978) (Приложение Г).

Методика проведения: испытуемый расставляет точки посередине кружков за 30 секунд.

Обработка результатов:

Учитывается общее количество точек, поставленных за 30 секунд и число ошибок: точки, поставленные вне кружков, попавшие на окружность, поставленные недостаточно ярко.

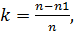
Вычисляется коэффициент успешности выполнения задания по формуле:

 где (1)

- коэффициент успешности;- число всех точек за 30 секунд;- число ошибок;

Уровень успешности оценивается в баллах:

. 1 - 5 баллов.

. 0,99-0,76 - 4 балла.

. 0,75-0,51 - 3 балла.

. 0,5-0,26 - 2 балла.

. 0,25-0 - 1 балл.

По ходу выполнения работы со всеми графическими тестами необходимо зафиксировать следующее:

. Какой рукой выполняется задание.

. Быстро или медленно выполняет работу.

. Быстро ли понял инструкцию.

. Отвлекаемость во время работы.

. Часто ли останавливается до команды «Стоп!».

Динамические тесты.

Тест №6. Батарея пальчиковых тестов (Е. Д. Холмская, 2003).

Методика проведения: испытуемому предлагается, не глядя, на свою руку, вслед за экспериментатором воспроизвести различные позы пальцев:

И. п. - все пальцы выпрямлены и сомкнуты, ладонь повёрнута вперед.

. Большой палец поднят вверх, остальные собраны в кулак.

. Указательный палец выпрямлен, остальные собраны в кулак.

. Указательный и средний пальцы выпрямлены в виде буквы «V», остальные собраны в кулак.

. Указательный палец и мизинец выпрямлены, остальные собраны в кулак.

. Указательный и средний пальцы выпрямлены в виде буквы «V», остальные собраны в кулак.

. Большой и указательный пальцы соединены кольцом, остальные выпрямлены.

Оценивается положение каждой позы в штрафных баллах:

. Поза не выполнена - 0 баллов.

. Поза выполнена неточно - 1 балл.

. Поиск нужных движений продолжается от 15 до 20 секунд - 2 балла.

. Поиск нужных движений продолжается от 10 до 15 секунд - 3 балла.

. Поиск нужных движений продолжается от 5 до 10 секунд - 4 балла.

. Поза выполнена правильно, поиск нужных движений продолжается не более 5 секунд - 5 баллов.

По ходу работы необходимо зафиксировать следующее:

. Какой рукой ребенок выполняет задание.

. Как он работает с образцом, часто ли смотрит на него, сверяет ли сделанное с образцом или, мельком взглянув на него, выполняет позу по памяти.

. Быстро или медленно находит нужную позу.

. Отвлекаемость во время работы.

. Высказывания и вопросы во время воспроизведения позы.

. Долго ли удерживает позу.

Комплекс двигательных тестов с использованием спортивных снарядов проводился в спорт зале. Испытуемому предлагается выполнить комплекс упражнений.

Тест №7.Набрасывание колец (Е. М. Минский, 1982)

Набрасывание колец на столбик с расстояния 1,5 метров, 10 попыток.

Методика проведения: На расстоянии 1,5 метров от испытуемого стоит столбик. Ребенку дается 10 колец. Его цель - накинуть кольца на столбик.

Критерии оценки:

За каждое попадание кольца - испытуемому засчитывается 0,5 баллов.

Тест №8. Метание теннисного мяча в вертикальную мишень с расстояния 3 метров, 10 попыток (Б.Б. Егоров и др., 2010).

Методика проведения: испытуемому необходимо попасть мячом в вертикальную мишень с 3 метров и в горизонтальную мишень с 4,5 метров.

Оценивается точность попаданий, аккуратность.

Мишень поделена на 3 поля:

. Центральный сектор - 5 баллов.

. Второй сектор - 4 балла.

. Крайний сектор - 3 балла.

. Не попал в сектор - 0 баллов.

Критерии оценки:

Складывается сумма всех баллов при попадании мяча по цели.

Тест №9. Метание теннисного мяча в горизонтальную мишень с расстояния 4,5 метров, 10 попыток (Б.Б. Егоров и др., 2010).

Методика проведения: испытуемому необходимо попасть мячом в горизонтальную мишень с 3 метров.

Оценивается точность попаданий, аккуратность.

Мишень поделена на 3 поля:

. Центральный сектор - 5 баллов.

. Второй сектор - 4 балла.

. Крайний сектор - 3 балла.

. Не попал в сектор - 0 баллов.

Критерии оценки:

Складывается сумма всех баллов при попадании мяча по цели.

Тест №10. Прокатывание мяча по скамейке длиной 5,5 метров (Е.Н. Вавилова, 1983).

Оценивается: количество падений мяча со скамейки.

Критерии оценки:

. Задание выполнено без ошибок. - 5 баллов.

. Задание выполнено с одной ошибкой - 4 балла.

. Задание выполнено с двумя ошибками - 3 балла.

. Задание выполнено с тремя ошибками - 2 балла.

. Задание выполнено с четырьмя и более ошибками - 1 балл.

Тест №11. Прокат обруча по коридору длиной 6 метров, шириной 0,25 метров (Э.С. Вильчковский, 1979).

Оценивается: количество падений обруча, выход его за пределы коридора.

Критерии оценки:

. Задание выполнено без ошибок. - 5 баллов.

. Задание выполнено с одной ошибкой - 4 балла.

. Задание выполнено с двумя ошибками - 3 балла.

. Задание выполнено с тремя ошибками - 2 балла.

. Задание выполнено с четырьмя и более ошибками - 1 балл.

Мы использовали тесты №7-11, предложенные ведущими специалистами в области психолого-педагогической работы с детьми с ЗПР, т.к. при выполнении этих упражнений в разной степени обеспечивается точность движений посредством согласованных действий в суставах рук с завершающим движением кисти. Они придают окончательное направление движению и определяют начальную скорость спортивного снаряда (Д. Д. Донской, 1975).

Педагогический эксперимент.

Педагогический эксперимент заключался в следующем. Перед его началом в классах было проведено исходное тестирование для определения начального уровня развития мелкой моторики рук с использованием графических и динамических тестов. В течении учебного года на уроках физкультуры выполнялись упражнения, входящие в комплекс динамических тестов. На общеобразовательных уроках проводились кратковременные физкультпаузы с использованием простых упражнений для кистей. Поскольку дети обучались в школе продленного дня, то в свободное от учебы и выполнения домашнего задания времени, учащиеся 1-3 классов выполняли пальчиковую гимнастику с элементами игры и речевым сопровождением. Для учащихся 4 класса предлагалось выполнение более сложных комплексов с элементами сказок, включающих большое количество персонажей и ситуаций.

Для проведения этих занятий нами была предложена методическая разработка, составленная на основании изучения трудов различных авторов (М. Аксёнова, 1990; М. С. Рузина, 1997; Т. А. Ткаченко, 2001; А. Е. Белая, 2002; О. В. Узорова, 2002; Е. Н. Краузе, 2003; Е. А. Логинова, 2004; О. С. Жукова, 2007; И. А. Ермакова, 2008; О. И. Крупетчук, 2009; Т. Решетник, 2011) (Приложение А).

Математическая обработка результатов исследования

Для проверки достоверности полученных результатов применялся метод статистической обработки по методике, предложенной Б. А. Ашмариным (1978) по следующим критериям:

а) среднее арифметическое;

б) ошибки среднего арифметического;

в) среднее квадратическое отклонение;

Для статистической обработки полученных результатов использовались стандартные компьютерные программы MicrosoftWord и MicrosoftExcel.

2.3 Организация исследования

моторика рука ребенок упражнение

Исследование проводилось в 3 этапа с 2010 по 2012 год с детьми, обучающимися в ГБОУ Псковской области «Специальной (коррекционной) общеобразовательной школе №9 VIII вида» в 1-4 классах.

На 1 этапе (2010-2011 гг.) производился анализ литературных источников по проблеме исследования. Определялись задачи и методы исследования. Также была составлена методическая разработка и подобран комплекс упражнений.

На 2 этапе (2011-2012гг.) проводили непосредственно педагогический эксперимент, в котором приняли участие 28 человек: 1 класс - 5 человек; 2 класс - 5 человек; 3 класс - 11 человек; 4 класс - 7 человек. До и после педагогического эксперимента проводилось тестирование уровня развития мелкой моторики рук у данной категории детей.

На 3 этапе (март 2012 г.) производилась статистическая обработка полученных результатов, их интерпретация, на основе которых были сделаны выводы, практические рекомендации, оформлена работа и подготовлена презентация.

ГЛАВА 3. РЕЗУЛЬТАТЫ ИССЛЕДОВАНИЯ И ИХ ОБСУЖДЕНИЕ

В ходе проведенного педагогического тестирования получены результаты развития мелкой моторики рук детей 1-4 классов, первичные и сводные протоколы которых представлены в приложениях Д-Ш.

После статистической обработки материалов мы получили следующие результаты (Рис.2).

Рис. 2 - Динамики развития мелкой моторики рук в ходе эксперимента в 1-4 классах в сравнении с фоновыми показателями (%)

Исследования, проведенные в ходе эксперимента показали, что средние баллы по классам, как видно из рисунка 2 при оценке батарей графических и динамических тестов возросли: в 1 классе на 46,8% и 71,8% соответственно; во 2 классе на 42% и 7,4%; в 3 классе на 39% и 17%; в 4 классе на 49% и 21% по сравнению с фоновыми показателями, которые мы приняли за «0». На наш взгляд, более значительное улучшение в динамике обоих тестов в первом классе может быть связано с тем, что дети с ЗПР перед поступлением в школу, как правило, воспитывались дома, где не было организованных и регулярных занятий по развитию мелкой и общей моторики.

При оценке графических тестов видно, что динамика развития мелкой моторики рук у детей 2,3,4 классов находилась примерно на одном уровне. Заметим, что изменение уровня развития мелкой моторики рук, оцененному по динамическому тесту, значительно отставала от динамики развития мелкой моторики рук, оцененных по графическим тестам. Это можно объяснить тем, что начальная оценка динамического теста в этих классах была достаточно высокой, потому что у детей к началу эксперимента сформировался определённый стереотип мелкомоторных движений при обучении в предыдущих классах. Поэтому динамика улучшения менее выражена, чем в 1 классе, где дети только начинали овладевать письмом.

Мы считаем, что более высокий уровень развития мелкой моторики -

это результат регулярного использования специальных упражнений и игр из предложенной нами методической разработки, которые проводились во время общеобразовательных уроков и в группах продленного дня.

При анализе результатов обеих батарей тестов у первоклассников (Рис.3, 4) выявлено, что в связи с общим слабым физическим развитием вначале обучения средняя оценка при выполнении и графических, и динамических тестов в конце эксперимента возросла значительно больше, чем в других классах, т. к. дети стали заниматься организованно и регулярно. Средний балл по динамическим тестам у них был значительно ниже (2 балла), чем по графическим (3,16 баллов). В конце эксперимента оценка динамических тестов возросла до 3,4 баллов, что показало улучшение на 70%, улучшилась оценка и графических тестов до 4,6 баллов на 45% от первоначального результата. Следует обратить внимание, что у ученицы 1 класса Л. Р. к концу эксперимента наблюдалось максимальное улучшение мелкой моторики рук по данным графического теста (71%), по данным динамического теста - на 40%. Такую разницу между результатами графических и динамических тестов мы объясняем нарушением у неё двигательной функции ног, которые участвуют при выполнении локомоторных движений динамического теста (Приложение Ф).

Рис. 3 - Динамика развития мелкой моторики рук по графическому тесту в ходе эксперимента (баллы). 1 класс. n=5

Рис. 4 - Динамика развития мелкой моторики рук по динамическому тесту в ходе эксперимента (баллы). 1 класс. n=5

При анализе результатов тестов во 2 классе (Рис.5, 6; Приложение Х), мы видим, что наблюдается улучшение в развитии мелкой моторики рук. Исходный уровень мелкой моторики у них был в среднем 3 балла и увеличился к концу эксперимента на 40%. Результат динамических тестов увеличился всего на 7% по сравнению с исходным, это объясняется тем, что во втором классе у детей естественно лучшее физическое развитие, и было накоплено больше умений по сравнению с 1 классом, и средний балл при выполнении динамических тестов был 3,1 балла (выше чем у первого класса на 1,1 балла), поэтому прирост в % оказался ниже по сравнению с исходным уровнем.

Рис. 5 - Динамика развития мелкой моторики рук по графическому тесту в ходе эксперимента (баллы). 2 класс. n=5

Рис. 6 - Динамика развития мелкой моторики рук по динамическому тесту в ходе эксперимента (баллы). 2 класс. n=5

В 3 классе мы не наблюдаем большого прироста при выполнении графических тестов (Рис.7, 8; Приложение Ц), за исключением детей Н. Д., П. Д. и П. Ю., где увеличения были на 57%, 71% и 100%. Эти дети имели отставание в начале эксперимента. Но к концу исследования их уровень выполнения тестов приблизился к уровню других учеников, которые уже имели необходимые умения для выполнения письменных работ. Исключение составил ученик Б. Д. Из-за своего заболевания он не смог показать значительного повышения результатов. В целом средний прирост по классу составил 39%, почти как во 2 классе. На примере 3 класса хорошо видно, что развитие детей идет разными темпами в связи со степенью их ЗПР. Ученики Ш. А. и Ш. М. являются родными братьями с разной степенью генетически обусловленной ЗПР, этим можно объяснить почти одинаковое незначительное увеличение результатов в графических тестах. Ш. М. имеет лучшую физическую подготовленность и по динамическому тесту у него улучшение на 32%, а у Ш. А. всего на 8%.

Рис. 7 - Динамика развития мелкой моторики рук по графическому тесту в ходе эксперимента (баллы). 3 класс. n=11

Рис. 8 - Динамика развития мелкой моторики рук по динамическому тесту в ходе эксперимента (баллы). 3 класс. n=11

В 4 классе (Рис. 9, 10; Приложение Ш) самый высокий уровень улучшения результатов графических тестов (на 49%) и группа становится более однородной по уровню развития мелкой моторики. У 40% детей наблюдается улучшение результатов в баллах более чем на 50%, у остальных улучшение составило 35-40%. Дети стали более координированными при выполнении двигательных тестов: бросков мяча, прокатывания мяча и обруча, повторении поз из пальцев (тест №6), овладели скорописью.

Рис. 9 - Динамика развития мелкой моторики рук по графическому тесту в ходе эксперимента (баллы). 4 класс. n=7

Рис. 10 - Динамика развития мелкой моторики рук по динамическому тесту в ходе эксперимента (баллы). 4 класс. n=7

Несмотря на то, что динамика неодинакова, она все-таки есть и, на наш взгляд, связана не только с естественным улучшением общего физического развития детей, но и с включением в занятия детей специальных упражнений для развития мелкой моторики.

ВЫВОДЫ

. На основании изученной литературы нами была составлена методическая разработка дидактических игр и упражнений для развития мелкой моторики рук у детей начальных классов с дифференциацией степени сложности упражнений по классам.

. Исходный уровень развития мелкой моторики у детей 1-4 классов вначале исследования был низкий и средний. По графическим тестам он составлял от 3 до 3,2 балла, по динамическим тестам от 2 до 3,1 балла.

. В рамках коррекционной работы с детьми младшего школьного возраста с ЗПР в течение года регулярно проводились занятия с использованием составленной нами методической разработки. Кроме того, дополнительно на уроках физического воспитания использовали упражнения со спортивным инвентарём для развития кисти. Эти дополнительные занятия хорошо сочетались с общеобразовательной программой.

.Результаты проведённого эксперимента показали эффективность комплексного подхода к развитию мелкой моторики рук, о чём свидетельствует динамика улучшения показателей выполнения графических и динамических тестов детьми 1-4 классов.

Практические рекомендации

. Для развития мелкой моторики, кроме предусмотренных программой занятий с глиной, пластилином, бумагой, мелкими предметами рекомендовать не только массаж пальчиков, но и упражнения, в большей мере способствующие развитию мышечных групп кисти и предплечья.

. Выполнять специальные тестовые упражнения:

а) №6 (батарея пальчиковых тестов) во время физкультпауз на общеобразовательных уроках (2 мин.);

б) №7-11 на уроках физкультуры;

в) в группах продлённого дня и дома с родителями, используя специальные упражнения и игры из предложенной нами методической разработки (Приложение А).

. Предложить администрации школы тиражировать методическую разработку для родителей особенно тех детей, которые отстают в развитии. Научить родителей правильно выполнять упражнения из составленной нами методической разработки для работы с детьми дома, во время каникул, объяснив всю важность этой работы для развития не только кисти, но и интеллекта, и речи.

СПИСОК ЛИТЕРАТУРЫ

1. Аксенова, М. Развитие тонких движений пальцев рук у детей с нарушениями речи / М. Аксенова // Дошкольное воспитание.- 1990.- №8. - С. 62-65.

. Архипова, Е.Ф. Логопедическая работа с детьми раннего возраста: учеб.пособие для студ. пед. вузов / Е.Ф. Архипова. - М.: АСТ: Астрель, 2007. - 224 с.

. Ашмарин, Б.А. Теория и методика педагогических исследований в физическом воспитании: пособие для студентов, аспирантов и преподавателей ин-тов физ. культ. / Б.А. Ашмарин. - М.: Фис, 1978. - 223 с.

. Бачина, О.В. Пальчиковая гимнастика с предметами / О.В Бачина, Н.Ф. Коробова.- АРКТИ, 2009.- 88 с.

. Белая, А.Е. Пальчиковые игры для развития речи дошкольников: пособие для родителей и педагогов / А.Е. Белая, В.И. Мирясова - М.: Астрель; АСТ, 2002 - 46 с.

. Большакова, С.Е. Формирование мелкой моторики рук: игры и упражнения / С.Е. Большакова. - М.: ТЦ Сфера, 2006. - 34 с.

. Бондаренко, А.К. Дидактические игры в детском саду: кн. для воспитателя дет.сада / А.К. Бондаренко.- 2-е изд., дораб.- М.: Просвещение, 1991 - 160 с.

. Вавилова, Е.Н. Учите бегать, прыгать, лазать, метать: пособие для воспитателя дет.сада / Е.Н. Вавилова. - М.: Просвещение, 1983. - 144 с.

. Вильчковский, Э.С. Физическая культура детей дошкольного возраста / Э.С. Вильчковский. - 2-е изд., перераб. и доп. - Киев.: Здоровья, 1979. - 232 с.

. Власова, Т.А. О детях с отклонениями в развитии / Т.А. Власова, М.С. Певзнер. - М.: Просвещение, 1973.- 189 с.

. Гогольчева, В.П. Программа совершенствования речевой моторики / В.П. Гогольчева. - Омск, 2003.- 48 с.

. Готов ли ваш ребенок к школе? / С.Е. Гаврина, Н.Л. Кутявина, И.Г. Топоркова, С.В. Щербинина.- М: ЗАО"Росмэн - пресс", 2008. - 191 с.

. Донской Д. Д. Биомеханика. Учеб. Пособие для студентов фак. Физ. Воспитания пед. Ин-тов.-М.: «Просвещение», 1975. - 239 с.

. Дробинская, А.О. Дети с трудностями в обучении: к вопросу об этиопатогенезе / А.О. Дробинская, М.Н. Фишман // Дефектология.- 1996.- № 5.- С. 22-28.

. Егоров, Б.Б. Физическая культура: учебники.- Кн. 1 для 1-2-го кл. / Б.Б. Егоров, Ю.Е. Пересадина.- 2010. - 124 с.

. Жмуров В.А. Психоорганический синдром <http://www.psychiatry.ru/book_show.php?booknumber=92&article_id=12> / В.А. Жмуров// Психопатология.- Т. 2.- М., 2002.- 280 с.

. Жукова, О.С. Уникальная методика развития ребенка. От рождения до трех лет / О.С. Жукова. - М., 2007. - 336 с.

. Журба, Л.Т. Нарушение психомоторного развития детей первого года жизни / Л.Т. Журба, Е.М. Мастюкова.- М.: Медицина, 1981.- 272 с.

. Заикин, М. С. 250 развивающих упражнений для подготовки к школе / М.С. Заикин, Е. И. Синицина. - М., 2001.- 256 с.

. Кольцова, М.М. Двигательная активность и развитие мозга ребёнка / М.М. Кольцова.- М.,1973.- 132 с.

. Кольцова, М.М. Двигательная активность и развитие функций мозга ребенка / М. М. Кольцова.- М., 1993.- 132 с.

. Краузе, Е.Н. Логопедия / Е.Н. Краузе.- СПб.: КОРОНА принт, 2003.- 144 с.

. Крупенчук, О.И. Развиваем мелкую моторику / О.И. Крупенчук.- СПб.: ООО “Издательский дом “Литера”, 2009.- 34 с.

. Кураев, Г.А. Взаимосвязь развития тонкой моторики и высших психических функций ребенка / Г.А. Кураев, Л.Н. Иваницкая // Валеология.- 1999. - № 3.- С. 46-49.

. Лебединский, В.В. Нарушения психического развития у детей: учеб.пособие / В.В. Лебединский. - М.: Издательство Московского университета, 1985.- 144 с.

. Логинова, Е.А. Нарушение письма / Е.А. Логинова.- СПб.: Детство-Пресс, 2004.- 208 с.

. Лурия, А.Р. <http://childpsy.ru/lib/authors/id/10762.php> Основы нейропсихологии/ А.Р. Лурия.- 3-е изд., ил.- М.: Академический проект <http://childpsy.ru/catalogs/publishers/index.php?ID=20754>, 2000.- 512 с.

. Максаков, А.И. Учите, играя / А.И. Максаков, Г.А. Тумакова. - М.: Просвещение, 1983. - 144 с.

. Маркова, Л.С. Организация коррекционно-развивающего обучения дошкольников с задержкой психического развития: практич. пособие / Л.С. Маркова.- М.: АРКТИ, 2002. - 187 с.

. Минский, Е.М. От игры к знаниям / Е.М. Минский. - М., 1982.- 287 с.

. Мурашова, Е.В. Дети-«тюфяки» и дети-«катастрофы»: гиподинамический и гипердинамический синдром / Е.В. Мурашова. - Екатеринбург: У-Фактория, 2005.- 148 с.

. Озерецкий, Н.И. Психопатология детского возраста / Н.И. Озерецкий. - 2-е изд. - Л.: Учпедгиз, 1978. - 328 с.

. Основы специальной психологии: учеб.пособие / Л.В. Кузнецова, Л.И. Переслени, Л.И. Солнцева [и др.]; под ред. Л.В Кузнецовой. - М.: Академия, 2002. - 480 с.

. Парамонова, Л.Г. Ваш ребенок на пороге школы: как подготовить ребенка к школе / Л.Г. Парамонова. - СПб.: КАРО, Дельта, 2005. - 384 с.

. Пенфилд, У. Загадка интеллекта / У. Пенфилд.- http://<http://www.psylive.ru/articles/8506_illuzii-i-fenomeni-lozhnie-oshusheniya.aspx.-Заголовок> с экрана Режим доступа: (TheMysteryofMind, 1975)

. Подвижные игры для детей с нарушениями в развитии: метод.пособие / ред. Л.В. Шапкова. - СПб.: Детство-Пресс, 2005. - 160 с.

. Подласый, И.П. Педагогика: новый курс: учебник для студ. высш. уч. заведений: в 2 кн. / И.П. Подласый. - М.: ВЛАДОС, 2003. - Кн.1: Общие основы. Процесс обучения. - 576 с.

. Психолого-медико-педагогическое обследование ребёнка: комплект рабочих материалов / под общ.ред. М.М. Семаго. - М.: Аркти, 1999. - 136 с.

. Ратанова, Т.А. Психодиагностические методы изучения личности: учеб.пособие / Т.А. Ратанова, Н.Ф. Шляхта. - М.: Московский психолого-социальный институт: Флинта, 2003. - 320 с.

. Рубинштейн, С.Л. Основы общей психологии / С.Л. Рубинштейн. - СПб.: Питер, 2000 - 712 с.

. Рузина, М.С. Страна пальчиковых игр / М.С. Рузина, С.Ю. Афонькин. - СПб.: Кристалл, 1997. - 336 с.

. Савина, Л.П. Пальчиковая гимнастика для развития речи дошкольников: пособие для родителей и педагогов / Л.П. Савина. - М.: АСТ, 1999. - 48 с.

. Сиротюк, А.Л. Коррекция развития интеллекта дошкольников. Психогимнастика. Пальчиковые упражнения. Программа развития интеллекта / А.Л. Сиротюк. - М.: ТЦ Сфера, 2001. - 48 с.

. Сухомлинский, В.А. Сердце отдаю детям / В.А. Сухомлинский. - Киев: Радянська школа, 1974. - 288 с.

. Ткаченко, Т.А. Физкультминутки для развития пальцевой моторики у дошкольников с нарушениями речи: сборник упражнений: пособие для воспитателей, логопедов и родителей / Т.А. Ткаченко. - М.: ГНОМ и Д, 2001. - 32 с.

. Узорова, О.В. Пальчиковая гимнастика / О.В. Узорова, Е.А. Нефёдова.- М.: АСТ: Астрель, 2002.- 39 с.

. Ульенкова, У.В. Дети с задержкой психического развития / У.В. Ульенкова. - Н-Новгород,: НГПУ, 1994. - 230 с.

. Ульенкова, У.В Организация и содержание специальной психологической помощи детям с проблемами в развитии : учеб.пособие для студ. вузов / У.В. Ульенкова, О.В. Лебедева. - 4-е изд., стер. - М.: Академия, 2008. - 176 с.

. Хвостовцев, А.Ю. <http://www.biblioclub.ru/author.php?action=book&auth_id=8844> Развиваем мелкую моторику: комплекс упражнений «Умные ручки» / А.Ю. Хвостовцев.- <http://www.biblioclub.ru/author.php?action=book&auth_id=8844> Новосибирск: Сибирское университетское издательство, 2010. - 176 с.

. Хомская, Е.Д. Нейропсихология: учебник для вузов / Е.Д. Хомская.- 3-е изд.- СПб.: Питер, 2003.- 288 с.

. Щукина, Г.И. Активизация познавательной деятельности учащихся в учебном процессе: учеб.пособие для пед. ин-тов / Г.И. Щукина.- М.: Просвещение, 1979. -160 с.

. Энциклопедия развивалок./ ред. Т. Решетник- М.: Эксмо, 2011. - 240 с.

Похожие работы на - Развитие мелкой моторики рук у детей младшего школьного возраста с задержкой психического развития методами и средствами психофизической тренировки

 

Не нашли материал для своей работы?
Поможем написать уникальную работу
Без плагиата!
Без нейросетей!