Товароведная оценка вареной колбасы с использованием биотрансформированного сырья

  • Вид работы:
    Дипломная (ВКР)
  • Предмет:
    Другое
  • Язык:
    Русский
    ,
    Формат файла:
    MS Word
    296,41 Кб
  • Опубликовано:
    2015-07-25
Вы можете узнать стоимость помощи в написании студенческой работы.
Помощь в написании работы, которую точно примут!

Товароведная оценка вареной колбасы с использованием биотрансформированного сырья













Выпускная квалификационная работа

по теме:

"Товароведная оценка вареной колбасы с использованием биотрансформированного сырья"

Содержание

Введение

Глава 1. Литературный обзор

.1 Вторичное сырье как дополнительный источник белка

.2 Различные направления в мясной промышленности по обработке коллагенсодержащего сырья

.3 Традиционное использование микроорганизмов в производстве ферментированных мясных продуктов

.4 Использование бактериальных препаратов в мясной промышленности

Заключение по литературному обзору

Цель и задачи исследований

Глава 2. Схема проведения исследований

.1 Методика постановки эксперимента. Схема проведения исследований. Характеристика объектов исследования

.2 Методы исследований

Глава 3. Биотрансформация вторичного мясного сырья

.1 Обоснование выбора выделенных штаммов молочнокислых микроорганизмов

.2 Изучение симбиоза выделенных штаммов молочнокислых микроорганизмов

.3 Создание белкового композита на основе вторичного мясного сырья

.4 Органолептические исследоваиия биотрансформированного сырья

.5 Изучение микробиологических показателей биотрансформироваиного сырья

.6 Изучение аминокислотного состава биотрансформированного сырья

.7 Органолептические характеристики вареных колбас

.8 Исследование химического состава и энергетической ценности вареных колбас

.9 Исследования переваримости вареных колбас

.10 Исследование технологических свойств вареных колбас

.11 Исследование структурно-механических свойств вареных колбас

.12 Изучение состава летучих компонентов вареных колбас

.13 Изучение микробиологических показателей опытных образцов вареных колбас

Выводы

Список использованной литературы

белок мясной ферментированный коллагенсодержащий

Введение

В настоящее время рынок вносит серьезные коррективы в процесс производства продуктов питания, ставя все новые и новые задачи перед производителями, в том числе специалистами мясной промышленности. Возросшие потребительские требования к качеству и цене готовой продукции обязывают специалистов отрасли искать новые нетрадиционные пути решения возникающих технологических проблем, способные обеспечить рентабельную и бесперебойную работу предприятия в рыночных условиях. Немаловажная роль при этом отводится созданию безотходных технологий качественных мясных продуктов с широким вовлечением в сферу производства всех видов сырья, получаемого при переработке сельскохозяйственных животных, и его рационального использования. Рациональное использование вторичного сырья мясной промышленности может привести не только к значительной экономии материальных ресурсов и созданию безотходных технологий, но и способствовать оздоровлению окружающей среды. Одним из таких видов сырья являются субпродукты II категории, которые в силу своих низких функционально-технологических свойств, недостаточно эффективно применяются в производстве качественных мясных продуктов. Среди многочисленных приемов обработки вторичного мясного сырья одним из перспективных направлении в последнее время является использование биотехнологических методов, основанных на применении различных видов микроорганизмов. Использование биотехнологических методов для модификации вторичного мясного сырья с целью улучшения его функционально-технологических свойств и дальнейшего вовлечения в процессы производства мясных изделий является актуальным и перспективным.

Вышесказанное свидетельствует о необходимости проведения научно-исследовательской работы по данной проблеме.

Глава 1. Литературный обзор

.1 Вторичное сырье как дополнительный источник белка

Предприятия мясной отрасли располагают большим количеством вторичного сырья, накапливаемого при переработке убойных животных. Следует заметить, что переработка субпродуктов II категории в мясной отрасли не превышает 65 % от его количества. В настоящее время большую часть этого сырья в основном направляют на производство ливерных колбас, студней, зельцев и др. Это объясняется особенностями строения данного вида сырья, а именно, большим содержанием соединительной ткани, что является причиной его низкой пищевой ценности и жесткой консистенции.

Интерес к такому виду сырья, как к пищевым ресурсам, связан с потенциальной возможностью покрытия белкового дефицита в рационе питания человека, т. к. субпродукты I и II категорий являются существенным источником белка, как и мясо.

Различные субпродукты далеко неравноценны по своему составу и пищевой ценности. Неодинаковы они и по усвояемости и эффективности использования организмом. Коэффициент переваримости субпродуктов убывает в следующем порядке: сердце → почки → язык → печень.

Каждый вид сырья требует индивидуальных подходов при выборе обработки. Требуемый технологический эффект достигается различными способами воздействия на исходный материал.

Однако существующие в настоящее время на предприятиях мясной промышленности технологии переработки низкосортного мясного сырья не дают возможности полного его использования в связи со сложной, упрочненной структурой белков.

Такое сырье, прежде чем использовать в производстве зельцев, студней и др. подвергают предварительной обработке, в частности, перед внесением в фарш рекомендуется подвергать его непродолжительному куттерованию в замороженном состоянии, варке, ферментированной обработке. Механическая гомогенизация такого сырья не обеспечивает нужного улучшения его функционально-технологических характеристик

Ряд исследований предлагает использовать некоторые из субпродуктов в виде белковых гидролизатов, получаемых на их основе и предназначенных для введения в традиционные мясные изделия (Бойко О.А., Соколов А.Ю., 2010). Также возможно получение из малоценного сырья многокомпонентных эмульсий, суспензий, паст и структурированных систем, способных обеспечить направленное регулирование состава и свойств вырабатываемых мясных изделий.

.2 Различные направления в мясной промышленности по обработке коллагенсодержащего сырья

На сегодняшний день мясная промышленность располагает разнообразными способами, позволяющими позитивно изменить качественные характеристики неполноценного белка. Известны следующие методы изменения свойств белков: термическая денатурация белков, изменение заряда или ионного состава белка (получение протеинов щелочных и щелочноземельных металлов), компрессионное воздействие, ферментативная модификация.

Обработка коллагенсодержащего сырья сжатыми газами

НИИ хранения и переработки сельскохозяйственной продукции были получены результаты, свидетельствующие об изменении технологических характеристик мяса, подвергнутого компрессионной обработке давлением в 4 МПа в среде диоксида углерода. Изменение белков и размягчение мяса под давлением происходит за счет вторичного эффекта катепсиновой активации, т.е. активность катепсинов значительно возрастает при компрессионной обработке. В результате мясо становилось более нежным, снижалась микробная контаминация, увеличивалась влагоудерживающая способность на 5-6 %. Подобные исследования ведутся в университетах ЮЖИ (Япония) и лаборатории исследования мяса (Австралия).

Химические способы обработки коллагенсодержащего сырья

Существуют щелочно-солевые способы обработки коллагенсодержащего сырья, широко применяемые в Японии, США и Франции. Использование этих способов позволяет перевести в растворенное состояние сухожилия и дерму крупного рогатого скота. В результате этого воздействия происходит разрыхление волокнистой структуры коллагена, удаление сопутствующих веществ и разрыв межцепных связей, что приводит к дезорганизации и дезинтеграции структурных элементов коллагена.

Щелочно-солевые способы обработки свиной шкурки

На мясоперерабатывающих комбинатах всегда была и остается проблема переработки свиной шкурки, которая составляет 5 % от массы туши. Свиные шкуры богаты белком, жиром, минеральными веществами и могут быть использованы в качестве сырьевого источника для производства продуктов питания. Основной белок свиной шкурки - коллаген. Коллаген в нативном виде не подвергается расщеплению пищеварительными ферментами, нерастворим в воде, в слабых растворах щелочей и кислот, имеет высокую механическую прочность из-за наличия в молекуле поперечных водородных связей.

Для модификации функционально-технологических свойств свиной шкурки использовались гидроксид натрия, хлорид натрия и соляная кислота. Оптимальная концентрация гидроксида натрия составила 7 %, а длительность обработки - 13 ч с последующей солевой промывкой в течение 2 ч и нейтрализацией раствором соляной кислоты концентрацией 3 % в течение 15 мин. Установлен максимально возможный уровень введения белкового продукта из свиных шкур, составляющий 10 % взамен адекватного количества мясного сырья.

Для размягчения и набухания свиной шкурки был специально подобран препарат "Пелль фреш лактик" ("Индазия Гевюрцверк ГмБх", Германия). Воздействие "Пелль фреш лактик" на белок свиной шкурки заключается в том, что молочная кислота, входящая в состав препарата, создает кислую среду, оптимальную для максимального набухания коллагена. Изменения, происходящие при этом в молекуле коллагена, сопровождаются разрыхлением внутренней структуры и повышением гидратационной способности. Процесс изготовления белкового стабилизатора осуществляют следующим образом: свиную шкурку обезжиривают, размораживают и выдерживают в растворе препарата "Пелль фреш лактик" в течение 12-24 ч, промывают холодной водой, затем измельчают на куттере. В результате получается тонкодиспергированная, гомогенная масса с выходом 200-300 %, которую можно эффективно использовать для выработки широкого ассортимента мясных изделий (вареных и полукопченых колбас, сосисок, сарделек, мясных хлебов). Полученный белковый стабилизатор из сырой свиной шкурки обладает водосвязывающей и студнеобразующей способностями, оказывает положительной влияние на структурно-механические и реологические свойства мясных эмульсий, способствует улучшению консистенции и снижению термопотерь готовой продукции.

Методы ферментной модификации коллагенсодержащего сырья

Применение ферментов для обработки мясного сырья - важный технологический прием, позволяющий при научно обоснованном его использовании улучшить качество и расширить ассортимент, а также интенсифицировать технологические процессы производства мясных продуктов. Под воздействием ферментов происходит трансформация белков, что влечет за собой изменение консистенции, уровня водосвязывающей и адгезионной способности продукта.

Ферменты, используемые на сегодняшний день в мясной промышленности, подразделяются на три группы в зависимости от их происхождения: животного, растительного и микробного. По направленности действия ферменты классифицируют на протеолитические и липолитические.

Однако практика применения ферментных препаратов показывает, что далеко не все ферменты при обработке мяса дают желательный эффект. Некоторые из применяемых ферментов, воздействующие на белки мышечных волокон, практически не способствуют протеканию гидролиза белков соединительной ткани, предопределяющих жесткость мяса. Интенсивность и изменение белковой структуры мяса зависит от вида, дозировки препарата, физико-химических условий, определяющих активность действия фермента, продолжительность обработки. При выборе ферментов необходимо учитывать опасность микробиальной порчи, которая может возрастать вследствие использования некоторых препаратов протеолитического действия, специфику сырья, остаточную активность таких ферментов в готовых изделия и ряд других факторов.

Преимущества и недостатки применения ферментов животного происхождения

Ферменты животного происхождения представляют собой препараты, полученные на предприятиях мясной промышленности из эндокринно-ферментного сырья.

Например, коллагеназа и эластаза, синтезируемые поджелудочной железой животных, преобразуют коллаген на 75,0-87,5 %. Это происходит в результате того, что они разрывают пептидную связь в цепях коллагена, образованную аминогруппой глицина и карбоксильной группой какой-либо другой аминокислоты. Коллагеназно-эластазный комплекс получают из экстрактов поджелудочной железы, но из-за ограниченности источников препарат выпускается лишь для медицинских целей. На практике для обработки различных белковых субстратов применяются ферменты трипсин, пепсин, ренин, химотрипсин или комплекс ферментов - панкреатин.

Трипсин - фермент класса гидролаз, расщепляющий пептиды и белки, способствует также гидролизу сложных эфиров (проявление эстеразной активности).

Пепсин гидролизует пептидные связи и расщепляет все природные белки. Фермент обладает коллагеназной, эластазной, актиномиозиновой активностями при рН 6,0.

Реннин расщепляет пептиды. Его активность зависит от количественного соотношения в нем химозина и пепсина.

Панкреатин содержит трипсин и амилазу, в незначительном количестве коллагеназу и эластазу, а также химотрипсин и карбоксилазу. Панкреатин вызывает агрегацию внутримышечной соединительной ткани в достаточной для размягчения мяса степени 35 %. Температурный оптимум панкреатина составляет 50 °С при рН 6,0-7,0.

Источники этих ферментов - слизистая оболочка желудка и панкреатическая железа животных. Обработка этими ферментами способствуют разрыхлению коллагена, его растворению.

Другим немаловажным ферментом, который присутствует в мясной системе, является катепсин. Оптимум его действия обозначен при рН 4-5. Аскорбиновая кислота имеет стимулирующее действие на катепсин. Работа катепсинов проявляется после смерти животного, в период, когда концентрация водородных ионов повышается в результате накопления молочной кислоты. Фермент катализирует гидролиз белков с образованием полипептидов, пептидов и свободных аминокислот.

Однако при гидролизе белков коллагеном и эластином их применение целесообразно лишь после предварительной термической обработки. Кроме того, ферменты животного происхождения протеолитического действия термолабильны, их источники ограничены, препараты дороги. Несмотря на это, они находят применение в ряде стран для обработки мясного сырья и его вторичных ресурсов с целью получения более качественных пищевых продуктов. В целом же использование ферментных препаратов животного происхождения следует признать проблематичным.

В городе Воронеже в одной из технологических академий изучали влияние ферментного препарата коллагеназы из гепатопанкреаса камчатского краба на мясное сырье с разной долей соединительной ткани. Препарат проявляет активность в нейтральной и слабощелочной среде по отношению к различным белковым субстратам: казеинату натрия, гемоглобину, бычьему сывороточному альбумину и коллагену. Объектом исследования служили образцы говядины 2 сорта, а также жилы крупного рогатого скота. Микроструктурный анализ образцов показал, что препарат коллагеназы из гепатопанкреаса камчатского краба обладает коллагенолитической активностью, способен гидролизовать не денатурированный коллаген.

Преимущества и недостатки использования ферментов растительного происхождения

Для обработки коллагенсодержащего сырья существует ряд ферментов растительного происхождения: папаин, фицин, бромелин.

Папаин проявляет активность при рН 5-7. Фермент устойчив к нагреву до 70 °С и инактивируется при 80-85 °С. Папаин при 60 °С гидролизует коллаген и эластин, активен по отношению к актомиозину. На нативный коллаген папаин практически не действует.

Фицин хорошо расщепляет денатурированный коллаген и эластин. Оптимум действия проявляет при pH 7,0 и температуре до 65 °С. Фицин способен гидролизовать нативный коллаген, хотя его активность в отношении нативного коллагена заметно слабее и хорошо проявляется при pH 3, а также резко возрастает при повышении температуры до 60 °С.

Бромелин обладает более сильной протеолитической активностью, чем папаин. Оптимум действия фермента лежит в пределах pH 6-7. Фермент проявляет высокую коллагеназную активность при температуре 60 °С. Однако он менее активен в отношении эластина. На нативный коллаген не действует. Обладает низкой протеолитической активностью в отношении миозина.

Эти ферменты выделяют из млечного сока дынного и фигового деревьев, плодов ананаса. Ферменты оказывают разное действие на животные белки.

При этом гидролитический эффект зависит от температуры обработки. Деструкция коллагеновых и эластиновых волокон различных тканей под действием этих ферментов целесообразно, а лишь после их денатурации. Говоря об эффективности использования ферментов растительного происхождения в мясной промышленности, важно отметить их значение для обработки мяса с целью тендеризации.

Что касается гидролиза коллаген- и эластинсодержащего сырья под воздействием этих ферментов, то, по экономическим и биохимическим соображениям их применение нецелесообразно из-за ограниченности источников, высокой стоимости и слабого воздействия на нативные коллаген и эластин.

Использование ферментных препаратов микробного происхождения

Ферменты микробного происхождения имеют явные преимущества перед выше перечисленными при использовании их в мясной промышленности. Это, прежде всего, связано с неограниченностью их источников, возможностью методов генетической инженерии и селекции значительно повысить их продуктивность по интересующему показателю, а также получить целевой препарат при варьировании условий выращивания и компонентного состава питательных сред.

Ферментные системы микроорганизмов, которые включают в себя бактерии, дрожжи, микроскопические грибы и т.д. обладают широким спектром и глубиной действия на субстрат.

Воронежской технологической академией и казанским технологическим институтом совместно проведены исследования по изучению действия препаратов мегатерин Г10Х и протосубтилин Г10Х. Первый препарат получен на основе продуцента Bacillus megaterium. Мегатерин ГC10Х обладает высокой протеолитической активностью и высокой коллагенолитической активностью. Протеолитический комплекс препарата включает два фермента, отличающихся рН оптимумом действия. Протеазы препарата проявляют максимальную активность в области рН 6,8-7,2 и 7,6-8,0 при температуре 37-42 °С. Протосубтилин Г10Х - препарат микробной протеиназы Bacillus subtilis, используемый для производства белковых гидрализатов. Максимальную активность препарат проявляет в области pH 7,0-7,2.

В качестве опытных образцов использовали модельный фарш, составленный на основе говядины 2-го сорта. Результаты исследований показали положительный эффект применения мегатерина Г10Х для обработки мяса. Использование мегатерина Г10Х улучшает функционально-технологические свойства мясного сырья, обеспечиваются хороший выход и переваримость продукта.

Также проводилось изучение влияния мегатерина Г10Х на водо- и солерастворимые фракции белков говядины 2-й категории. Как показали исследования ферментный препарат мегатерин Г10Х одинаково эффективно гидролизовал водо- и солерастворимую фракции белков.

В государственной технологической академии были проведены исследования по переработке шквары жирового производства в гидролизат с помощью ферментного препарата Penicillium wortmanii полученный гидролизат использовали при выработке мясного хлеба.

Модификация вторичного сырья под действием различных видов микроорганизмов

Любые биотехнологические процессы предполагают использование живых систем. Применение микроорганизмов в мясной промышленности предопределяется рядом их особенностей. Один из них - это высокая скорость роста. Нередко тот или иной микроорганизм является продуцентом различных веществ (органические кислоты, спирты, антибактериальные вещества, ферменты). Например, молочнокислые микроорганизмы способны образовывать молочную кислоту, таким образом, снижая показатель рН фаршевых систем, что способствует отрицательному воздействию на рост условно-патогенной и патогенной микрофлоры, что немаловажно при создании высококачественной продукции.

Однако для получения продуктов с заданными показателями качества и безопасности привело к необходимости применять микроорганизмы с высокими производственно-ценными свойствами.

Использование мясного сырья с высоким содержанием соединительной ткани и высоким уровнем контаминации в производстве высококачественных мясных продуктов ограничено в связи с его низкими технологическими и функциональными свойствами. Однако обработка подобного сырья консорциумом микроорганизмов лактобактерий плантарум 31, 32 и Macrococcus caseolyticus 38 позволяет получить биомассу, качественно отличающуюся по составу от субстрата. В результате обработки вторичного мясного сырья выбранными штаммами происходит: быстрое снижение показателя рН, что приводит к резкому снижению развития условно-патогенной микрофлоры; накопление биомассы, обогащенной незаменимыми аминокислотами и продуктами метаболизма; увеличение доли полноценного белка; накопление ароматобразующих веществ; улучшение сенсорных характеристик.

Биотрансформированное мясное сырье использовали в технологии паштетов. Полученные результаты свидетельствуют о том, что паштеты, содержащие белковый композит практически не отличаются по содержанию вкусоароматических соединений от контрольного образца, выработанного по традиционной технологии.

1.3 Традиционное использование микроорганизмов в производстве ферментированных мясных продуктов

Во многих странах мира применяют различные виды микроорганизмов при производстве полукопченых, варено-копченых, сырокопченых колбас, так как продукты их жизнедеятельности играют определяющую роль в формировании уникальных свойств готовых изделий.

В США в 1940 г. ученые Енсон и Педдок получили патент на применение лактобацилл Lactobacillus plantarum, Lactobacillus brevis, Lactobacillus fermenti в качестве стартовых культур для производства сырокопченых колбас. Их применяли в те времена в США преимущественно при выработке так называемой "летней колбасы" с использованием нитрита натрия. В 1955 г. финским ученым Niinivaara была разработана научная теория инокуляции микрококков и практического использования стартовых культур.

Значение молочнокислых бактерий в процессе созревания ферментированных колбас стало известно после публикации работ немецкого микробиолога Касбома в 1954 г. и американских ученых Нивена, Дейбеля, Уилсона в 1958 г. Большой вклад в систематизацию отдельных исследований, разработку отдельных основ и совершенствование технологий производства внесли крупнейшие ученые в области мясной промышленности: Лейстнер, Вирт, Хехельман, Кухаркова, Лаврова, Крылова и др.

В настоящее время в различных странах мира ведутся работы по получению новых штаммов микроорганизмов, изучению их свойств с целью дальнейшего использования в пищевой промышленности.

Так, в Кульмбахе немецкими специалистами из ферментированных колбас был выделен новый штамм Lactobacillus versmoldensis sp. nov (KU-3T). Этот штамм присутствовал в больших количествах и часто доминировал над другими молочнокислыми бактериями в сырых колбасах.

В Турции из традиционной колбасы суджук были выделены молочнокислые бактерии, отнесенные к видам Lactobacillus plantarum и Pediococcus pentosaceus.

Итальянскими специалистами из сырокопченой колбасы "Soppressata Molisana" был выделен штамм DSM 20266.

В Индонезии из национальной балийской ферментированной салями "Uratan" были выделены и изучены штаммы Lactobacillus plantarum, Lactobacillus farciminis, Lactobacillus fermentum и Lactobacillus hilgardi, Pediococcus acidilactici и Pediococcus pentosaceus.

Испанскими специалистами из ферментированных колбас "Fuets" и "Chorizos" были выделены штаммы Lactobacillus sakei, Lactobacillus curvatus, Lactobacillus plantarum, Staphylococcus xylosus.

Греческими специалистами было выделено более сотни штаммов Staphylococcus carnosus, Staphylococcus xylosus. Штаммы Staphylococcus xylosus проявляли высокую Р-галактозидазную и эстеразо-липазную активности, тогда как штаммы Staphylococcus camosus показали аминопептидазную и фосфотазную активности.

На кафедре технологии мяса и мясопродуктов МГУПБ из сырокопченой колбасы "Скиландис" были выделены штаммы Lactobacillus plantarum 31, Lactobacillus plantarum 32 и Macrococcus caseolyticus 38, которые являются ароматобразующими и проявляют антагонизм к санитарно-показательной микрофлоре. Штамм Macrococcus caseolyticus 38 обладает также денитрифицирующей способностью.

В этом же университете с поверхности колбасы "Луканка" были выделены дрожжи Debaryomyces hansenii 4D, характеризующиеся значительной солеустойчивостью и антагонизмом к культурам плесеней родов Penicillium, Aspergillus, Cladosporium и др. В настоящее время в МГУПБ получены штаммы Lactobacillus plantarum ЛП-21, Enterococcus faecalis ЕФ-31, ЕФ-55, ЕФ-59, и проведено национальное депонирование этих штаммов во Всероссийской коллекции промышленных микроорганизмов ГосНИИГенетика.

1.4 Использование бактериальных препаратов в мясной промышленности

Широкое использование в мясной промышленности при производстве сырокопченых и сыровяленых колбас, деликатесных изделиях получили бактериальные препараты.

Например, компания "Хр. Хансен" производит бактериальные препараты Бактоферм™ С-Р-77, Бактоферм™ C-P-77S и др.

Бактоферм™ С-Р-77 - препарат, содержащий штамм Staphylococcus carnosus, отличающийся высокой толерантностью к соли. Эту культуру используют при производстве сырокопченых и сыровяленых цельномышечных мясных продуктов из сырья с нормальным уровнем рН. Стафилококки обладают способностью образовывать ферменты нитратредуктазу и каталазу, которые участвуют в процессе образования и стабилизации цвета готового продукта. Кроме того, за счет липолитической и протеолитической активности стафилококков деликатесы приобретают изысканный вкус и аромат.

Для мясного сырья с повышенным уровнем рН > 6,0 - DFD рекомендуется использовать препарат Бактоферм™ C-P-77S, состоящий из комбинации штаммов Staphylococcus carnosus и Lactobacillus pentosus, которая также обладает высокой толерантностью к соли. Молочнокислые бактерии незначительно снижают рН в продукте и, благодаря этому, улучшаются технологические свойства мясного сырья.

ВНИИМПом разработана технология производства сырокопченых колбас, основанная на применении бактериальных препаратов из молочнокислых бактерий; "БП-СК", "АЦИД-СК". Эта технология позволяет интенсифицировать процесс изготовления сырокопченых колбас за счет сокращения продолжительности созревания с 30-40 до 20 суток и увеличить выход полусухих колбас на 6-8 %.

Бактериальный препарат "БП-СК" состоит из молочнокислых палочек и денитрифицирующего микрококка, которые были выделены из мясных продуктов и рассолов для посола окороков.

Бактериальный препарат "АЦИД-СК" содержит чистую культуру ацидофильных палочек. При производстве сырокопченых и сыровяленых колбас бактериальные препараты вносят в колбасный фарш в сухом или в восстановленном виде.

Во ВПИИМПе совместно с ИБФМ РАН разработан новый бактериальный препарат - ПБ-МП. Действующая основа ПБ-МП - два штамма лактобактерий: Lactobacillus plantarum и Lactobacillus casei, а также денитрифицирующий микрококк Micrococcus varians. На основе этого препарата была разработана технология производства полусухих сырокопченых колбас

Заключение по литературному обзору

В середине XX века был сделан большой прогресс в области пищевой биотехнологии, и в наше время он, несомненно, будет увеличиваться и не потеряет свою актуальность.

Литературные источники данной работы свидетельствуют о том, что каждый из способов обработки коллагенсодержащего сырья имеет те или иные недостатки. Так, влияние механического воздействия, физических сил или химических факторов вызывает далеко не адекватные изменения структуры соединительной ткани.

Поэтому использование микробиологического фактора, основанного на уникальности и специфичности свойств микроорганизмов, представляется весьма оправданным и перспективным. Спектр микроорганизмов, используемых в качестве стартовых и защитных культур в мясной промышленности, многообразен. Традиционное ферментирование пищевых продуктов было оптимизировано с помощью специально подобранных штаммов стартовых культур (молочнокислых бактерий, дрожжей, мицелиальных грибов).

Однако, исходя из особенностей строения и качественных характеристик вторичного сырья для его обработки необходимо подбирать такие виды микроорганизмов, которые обладают антагонистическим воздействием по отношению к условно-патогенной микрофлоре и обеспечивают комплексное воздействие на сырье за счет проявления своих индивидуальных свойств. Учитывая перспективность разработки новых биотехнологических решений, обеспечивающих комплексное улучшение функционально-технологических свойств сырья с высоким содержанием соединительнотканных белков, представляется весьма актуальным изучение влияния на него штаммами молочнокислых микроорганизмов, обладающими высокими производственно-ценными свойствами.

Цель и задачи исследований

 

Целью настоящей работы является товароведная оценка вареной колбасы с использованием биотрансформированного сырья.

Руководствуясь поставленной целью при выполнении работы, решались следующие задачи:

1.      обоснование использования выделенных штаммов молочнокислых микроорганизмов для биотрансформации вторичного сырья;

·        определение качественного и количественного состава бактериальной закваски для проведения биотрансформации вторичного мясного сырья;

.        получение белкового композита на основе легких и бактериальной закваски;

.        определение рационального количества вводимого белкового композита при производстве вареных колбас;

.        проведение комплексного исследования физико-химических, технологических, микробиологических и органолептических показателей вареных колбас, изготовленных с использованием белкового композита.

Глава 2. Схема проведения исследований

2.1 Методика постановки эксперимента. Схема проведения исследований. Характеристика объектов исследования

В соответствии с поставленными целью и задачами была разработана следующая схема проведения эксперимента (рис. 1):

.        выделение новых штаммов микроорганизмов из высококачественных мясных продуктов - сыровяленые и сырокопченые колбасы, микрофлора которых сформирована естественным путем;

.        изучение морфологических, культуральных, физиолого-биохимических, технологических свойств выделенных микроорганизмов;

.        идентификация выделенных штаммов молочнокислых микроорганизмов в соответствии с Международным стандартом на основе анализа нуклеотидных последовательностей 16S рРНК;

.        паспортизация идентифицированных штаммов и их депонирование в ВКПМ ГосНИИГенетика;

.        обоснование использования выделенных штаммов молочнокислых микроорганизмов для биотрансформации вторичного сырья;

.        получение белкового композита на основе говяжьего легкого, биотрансформированного выделенными штаммами молочнокислых микроорганизмов;

.        определение рационального уровня введения белкового композита взамен адекватного количества основного мясного сырья в технологии вареных колбас;

.        изучение целесообразности производства вареных колбас с использованием белкового композита.

Объектами исследований в данной работе являлись:

·        выделенные штаммы молочнокислых микроорганизмов Lactobacillus casei 10, Lactobacillus curvatus 1, Pediococcus pentosaceus 28, Pediococcus acidilactici 8;

·        белковый композит, полученный на основе вторичного мясного сырья (легкие крупного рогатого скота) и стартовых бактериальных культур;

·        вареная колбаса, выработанная с применением белкового композита.


Исследуемые показатели:

1.      определение массовой доли влаги;

.        белка;

.        жира;

.        золы;

.        хлорида натрия;

.        остаточного нитрита;

.        влагосвязывающей способности;

.        величины pH;

.        пероксидного числа;

.        углеводов;

.        экстрактивных веществ;

.        структурно-механических свойств;

.        аминокислотного состава;

.        летучих компонентов;

.        количества молочнокислых организмов;

.        энергетической ценности;

.        переваримости;

.        массы продукта;

.        выхода готовой продукции;

.        органолептических показателей.

2.2 Методы исследований

1.      Изучение технологических свойств

.        Определение массовой доли влаги

.        Определение массовой доли белка

.        Определение массовой доли жира

.        Определение массовой доли золы

.        Определение массовой доли хлорида натрия

.        Определение массовой доли остаточного нитрита

.        Определение влагосвязывающей способности

.        Определение величины рН

.        Определение пероксидного числа

.        Определение углеводов

.        Определение экстрактивных веществ

.        Определение структурно-механических свойств

.        Определение аминокислотного состава

.        Определение летучих компонентов

.        Определение микробиологических показателей

.        Определение количества молочнокислых микроорганизмов

.        Определение энергетической ценности

.        Определение переваримости

.        Определение массы продукта

.        Определение выхода готовой продукции

.        Определение органолептических показателей

Определение технологических свойств молочнокислых микроорганизмов

Определение предела кислотообразования

Для определения предела кислотообразования молочнокислых бактерий в пробирку с 10 мл стерильного обезжиренного молока вносили одну петлю исследуемого штамма и выдерживали в термостате при оптимальной температуре (37 °С) в течение 7 сут., после чего определяли титруемую кислотность, которая характеризует предел кислотообразования штамма.

Определение энергии кислотообразования

Энергию (интенсивность) кислотообразования молочнокислых бактерий определяли по времени образования сгустка молока (кислотность около 58-60 °Т) при внесении 0,5 см³ молодой (12-20-часовой) культуры в 10 см³ стерильного обезжиренного молока и выращивании посевов при оптимальной температуре 37 °С.

Кислотность молока, выраженную в °Т, определяли при титровании 0,1 N NaOH с индикатором фенолфталеином. Для титрования брали 10 см³ молока, разбавленного 20 см³ дистиллированной воды. Объем щелочи (в см³), пошедший на нейтрализацию кислоты, умножали на 10 (то есть производили перерасчет на 100 см³ молока) и получали, таким образом, кислотность молока в °Т (1 °Т соответствует 9 мг молочной кислоты в 100 см³ молока).

Редукция нитритов

Для выяснения редуцирующей способности нитритов исследуемой культуры проводили следующие реакции.

К свежеприготовленному МПБ добавляли 0,2 % калийной селитры (KNO3), свободной от нитритов и разливали по 5 мл в пробирки. Среду стерилизовали при 120 °С в течение 15 мин.

Приготовление реактива. I. Брали 1 г растворимого крахмала на 100 мл кипящей дистиллированной воды и после охлаждения раствора добавляли 0,5 г йодистого калия. П. Готовили 10 %-й водный раствор химически чистой серной кислоты.

Растворы I и II смешивали в равных объемах перед постановкой реакции. Срок годности готового реактива - 15 мин.

Постановка реакции. Через 48-72 часа выдерживания исследуемой культуры в термостате к каждой засеянной пробирке с нитратным бульоном добавляли по 1 мл реактива. При редукции нитратов в нитриты получается темно-синее окрашивание бульонной культуры.

Определение устойчивости к соли

Для определения устойчивости микроорганизмов к различным концентрациям NaCl (2, 4, 6, 8, 10, 12 %), проводили посев суточных культур молочнокислых микроорганизмов на среду МРС с соответствующими концентрациями соли. Рост микроорганизмов оценивали визуально.

Определение антагонистической активности по отношению к санитарно-показательной микрофлоре

Для определения антагонистической активности микроорганизмов использовали метод перпендикулярных штрихов. В качестве тест-культур использовали следующие штаммы: Staphylococcus aureus 6538-р (209-р), Stahpylococcus epidermidis 14990, Staphylococcus saprophiticus 15305, Escherichia coli 157, Salmonella typhimurium 5715, Shigella sonnae 5063, Proteus vulgaris 14, Proteus mirabilis 47.

Определение содержания влаги (ГОСТ 9793-74)

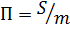
Содержание влаги определяли методом высушивания при температуре 150 °С в сушильном шкафу. Навеску измельченного продукта (3 г), взвешенную в бюксе с точностью до 0,0002, высушивали в сушильном шкафу при температуре 150 °С в течение 1 часа. После охлаждения бюксы в эксикаторе и взвешивания рассчитывают содержание влаги но формуле:

, где (2.2.1) X - содержание влаги, %;

M1 - масса бюкса с песком, стеклянной палочкой и навеской до высушивания, г;

М2 - масса бюкса с песком, стеклянной палочкой и навеской после высушивания, г;

М - масса бюкса с песком и стеклянной палочкой после высушивания, г.

Определение содержания белка

Содержание белковых веществ в продукте определяли по количеству белкового азота, который находится по разности между количеством общего и небелкового азота с учетом пересчета азота на белок. Метод определения азота основан на минерализации органических соединений с последующим определением азота по количеству образовавшегося аммиака с дальнейшей его отгонкой в чашках Конвея.

Содержание общего азота рассчитывали но формуле:

,

где (2.2.2) X - содержание общего азота, %;

,00021 - количество азота, эквивалентное 1 мл 0,015М раствора гидроксида натрия, израсходованный на титрование контрольного раствора, мл;1 - объем 0,015М раствора гидроксида натрия, израсходованный на титрование испытуемого раствора, мл;

К - коэффициент пересчета на точно 0,015М раствор гидроксида натрия;

m0 - масса навески, г;2 - объем минерализата, взятый для отгонки аммиака, мл.

Определение содержания жира методом Сокслета

Метод основан на многократной экстракции жира растворителем из подсушенной навески продукта с последующим удалением растворителя и на высушивании жира до постоянной массы. Количества жира вычисляли по формуле:

, где (2.2.3) X - содержание жира, %;

1 - масса гильзы с материалом до экстрагирования, г;

m2 - масса гильзы с материалом после экстрагирования, г;

m0 - масса навески до высушивания, г.

Определение содержания золы

Общее содержание минеральных веществ может быть определено озолением. Содержание золы определяли ускоренным методом. Для этого использовали раствор ацетата магния, который способствует образованию пористой структуры озоляемого вещества, что обеспечивает лучший доступ кислорода воздуха.

Содержание золы рассчитывали по формуле:

, где (2.2.4) X - содержание золы, %;

2 - масса золы, г;

m1 - масса оксида магнии, полученная после минерализации, г;

m0 - масса навески, г.

Определение содержания хлорида натрия

Содержание хлорида натрия определяли в водной вытяжке из продукта методом Мора в нейтральной среде. Метод Мора основан на осаждении иона хлора ионом серебра в нейтральной среде в присутствии хромата калия в качестве индикатора, дающего осадок оранжево-красного цвета. Содержание хлорида натрия определяли по формуле:

,

где (2.2.5) X - содержание хлорида натрия, %;

,0029 - количество хлорида натрия, эквивалентное 1 мл 0,05М раствора нитрата серебра, г;

К - коэффициент пересчета на 0,05М раствор нитрата серебра;1 - объем фильтрата, взятый на титрование, мл;2 - объем 0,05М раствора нитрата серебра, пошедший на титровани, мл;

m0 - масса пробы, г.

Определение содержания остаточного нитрита

Метод основан на измерении интенсивности окраски, образующейся при взаимодействии нитрита с сульфаниламидом М-(1-нафтил)-этилендиаминдигидрохлоридом в безбелковом фильтрате. Концентрацию нитрита натрия находят на калибровочном графике по полученной оптической плотности. Интенсивность красной окраски измеряли на спектрофотометре при длине волны 538 нм. Содержание нитрита вычисляли по формуле:

,

где (2.2.6) X - содержание нитрита в 100 г продукта, мг;

С - количество нитрита в 1 мл окрашенного раствора, найденное по калибровочному графику, мкг;

m0 - масса навески продукта, г;

V - объем фильтрата, взятый для фотометрического измерения, мл;

- перевод в мг.

Определение влагосвязывающей способности

Определение влагосвязывающей способности определяли методом прессования. Метод прессования основан на выделении воды испытуемым образцом при легком его прессовании, сорбции выделяющейся воды фильтровальной бумагой и определении количества отделившейся влаги по площади пятна, оставляемого ею на фильтровальной бумаге. Размер влажного пятна вычисляют по разности между общей площадью пятна и площадью пятна, образованного испытуемым образцом. Массовую долю связанной влаги в образце вычисляли по формуле:

 

,

где (2.2.7) X1 - массовая доля связанной влаги в мясном фарше, % к массе мяса;

Х2 - массовая доля связанной влаги, % к общей влаге;

М - общая масса влаги в навеске, мг;- площадь влажного пятна, см ;

m0 - масса навески мяса, мг.

Определение величины рН

рН среды определяли потенциометрическим методом в водной вытяжке, приготовленной в соотношении 1:10, помещали для коагуляции белков. После охлаждения вытяжку фильтровали и измеряли рН.

Определение пероксидного числа

Для определения пероксидного числа берут 0,5 г навески с точностью до 0,001 г. Навеску помещают в колбу и ставят на водяную баню. Затем приливают 5 мл хлороформа, 5 мл концентрированной уксусной кислоты и 0,25 мл насыщенного раствора иодида калия. Полученное содержимое тщательно перемешивают и ставят на 5 минут в темное место. После этого приливают 50 мл дистиллированной воды и 0,5 мл 1 %-го раствора крахмала. Содержимое колбы должно окраситься в синий цвет. Далее проводят титрование тиосульфатом натрия до исчезновения синей окраски.

,

где (2.2.8) a - объем тиосульфата натрия, пошедший на титрование образца, мл;- объем тиосульфата натрия, пошедший на титрование реактива, мл;- масса навески, г.

Определение углеводов

Определение углеводов определяли расчетным методом, если известно количество белка, жира, влаги, экстрактивных веществ (в %) в исследуемом образце: углеводы (%) = 100-белок-жир-влага-экстрактивные вещества.

Определение экстрактивных веществ

Общий азот можно рассматривать как сумму белкового и небелкового азота. Небелковый азот характеризуется наличием пептидов, свободных аминокислот, аммиака, азотистых соединений. Если из водной вытяжки осадить белки и отфильтровать осадок, в фильтрате можно определить небелковый азот, а в осадке - азот растворимых белков. Зная содержание общего азота в исследуемом материале и азот в фильтрате, по разнице можно судить о количестве суммарных белков.

Определение экстрактивных веществ определяли следующим образом: 1 г хорошо измельченного образца встряхивают в закрытом сосуде с 20 мл дистиллированной воды. Экстракцию повторяют 3 раза, каждый раз сливая жидкость через фильтр в мерную колбу на 50 мл. Объем водного экстракта доводят до метки и смешивают с равным объемом 20 %-ной ТХУ кислотой, выпавший осадок отфильтровывают, промывают 10 %-ным раствором той же кислоты. Промыв ведут так, чтобы общий объем фильтрата был равен 100 мл. Минерализуя фильтрат, определяют остаточный азот, минерализуя осадок на фильтре, определяют азот растворимых белков. Для минерализации фильтрата берут 2 мл фильтрата, прибавляют 1 мл 40 %-ной H2SO4 и минерализуют до полного обесцвечивания с катализатором (Н2О2 или CuSO4), после этого жидкость охлаждают и количественно переносят в колбу на 25 мл, доводят до метки и перемешивают. Из этого объема берут 5 мл и вносят в мерную колбу на 25 мл, добавляют 1 мл реактива Несслера, доводят до метки и перемешивают. Параллельно готовят контрольную пробу со стандартным раствором, где известна концентрация азота. Для этого в мерную колбу на 25 мл вносят 3 мл стандартного раствора сульфата аммония (NH4)2SO4, прибавляют 1 мл реактива Несслера, доводят водой до метки и перемешивают. Обе колбы оставляют на 10 мин. Для развития окраски, после чего колометрируют на ФЭКе с синим светофильтром.

Количество небелкового азота в мг % вычисляют по формуле:

,

где (2.2.9) d - оптическая плотность стандартного раствора;- оптическая плотность пробы;

,02 - концентрация азота в 1 мл стандартного раствора (NH4)2SO4, мг;

- объем стандартного раствора, взятого для цветной реакции;

- объем фильтрата, взятого для минерализации;

- перевод в проценты;- разведение при экстракции (V =100)

Н - навеска пробы, г.

Определение структурно-механических свойств

Структурно-механические свойства характеризуют поведение продукта в условиях напряженного состояния и позволяют связать между собой напряжении, деформации и скорости деформаций в процессе приложения усилия. По характеру приложения к продукту внешних усилий и вызываемым ими деформациям их можно классифицировать на три группы: сдвиговые, компрессионные, поверхностные.

Определение предельного напряжения сдвига

Определение ПНС производится коническим индентором с углом при вершине α = 60°, движущимся с постоянной скоростью. Исследуемый помещается в цилиндрическую кювету, устанавливается под траверсой и центрируется под индентором. В процессе эксперимента определяются усилие пенетрации и глубина погружения конуса.

ПНС определяется по формуле П.А. Ребиндера:

 Па, где (2.2.10) Р - усилие пенетрации, Н;

Н - глубина погружения конуса, м;

Кα - константа конуса при α = 60°, Kα = 0,214.

Определение работы резания

На специальном устройстве вырезают ровный цилиндрический образец диаметром 10 мм. Полученный образец подвергали срезу с помощью прижимной пластины, имеющей ножевую поверхность с десятью ножевыми лезвиями. Усилие, необходимое для среза образца, передается через тензодатчик и фиксируется в виде пика в компьютерной программе Microsoft Excel, где и автоматически производится расчет работы резания.

Определение пластичности

Определение пластичности проводится по следующей формуле:

 см²/г, где (2.2.11) S - площадь влажного пятна, см²;

m - масса навески, г.

Определение аминокислотного состава белков

Аминокислотный анализ проводили с использованием хроматоргафии на сульфо-полистирольном ионообменнике с элюцией ступенчатым градиентом натрийцитратных буферных растворов на аминокислотном анализаторе ААА 339. Подготовка проб осуществлялась следующим образом: навески исследуемых образцов лиофилизировали до постоянной массы. Полученные сухие образцы растирали в ступке. Приготовленные таким образом препараты использовали для кислотного гидролиза. Для проведения кислотного гидролиза навески сухих растертых образцов помещали в стеклянные ампулы, затем добавляли по 400 мкл смеси состоящей из 2 мл концентрированной НСl, 1 мл трифторуксусной кислоты и 3 мкл β-меркаптоэтанола. Ампулы запаивали и выдерживали 1 ч при 155 °С. После этого ампулы вскрывали и высушивали образцы в роторном испарителе. Для удаления остатков кислот дважды добавляли по 400 мкл воды и высушивали. Затем образцы растворяли в 1 мл воды. К 50 мкл полученного раствора добавляли 450 мкл воды. К 100 мкл этой смеси добавляли 150 мкл 0,1 НСl и полученный раствор использовали для нанесения на аминокислотный анализатор.

Определение состава летучих комионентов в продукте

Для определения качественного и количественного состава летучих компонентов образцы исследуемых продуктов (400 г) измельчали с помощью блендера, по 200 г фарша переносили в 2 колбы, добавляли по 600 мл дистиллированной воды и по 1 мг (5000 мкг на 1 кг продукта) н-додекана в качестве внутреннего стандарта. Летучие компоненты извлекали в течение 24 ч с 2 мл пентана методом экстракции. Для проведения исследований использовали масс-спектрофотометр фирмы Varians Star 200. Анализировали по 2 мкл эфирных экстрактов. В аликвоту концентратов добавляли 1 мкл смеси н-алканов и анализировали в тех же условиях. Хроматограммы регистрировали с помощью системы сбора и обработки хроматографических данных Chromatogram Plot.

Определение микробных контаминантов

Бактериологический анализ включает определение: общего количества микроорганизмов; бактерий группы кишечной палочки; бактерий рода Proteus; бактерий рода Salmonella; сульфитредуцирующих бактерий рода Clostridium perfrigens.

Определение общего количества микроорганизмов.

Сущность метода заключается в способности мезофильных аэробов и факультативных анаэробов расти на питательном агаре при температуре 37 °С с образованием колоний.

Для определения общей микробной обсемененности в 1 г продукта в стерильную чашку Петри вносят 0,1 мл исходной взвеси (0,01 г исследуемого колбасного изделия), заливают расплавленном и остуженным до температуры 45 °С МПА. Культивирование производили при 37 °С трое суток. Подсчет выросших колоний получают, умножая степень разведения анализируемого продукта на выросшее количество колоний. За окончательный результат определения количества бактерий в 1 г анализируемого продукта принимают среднее арифметическое результатов подсчета двух чашек разной массы продукта.

Определение бактерий группы кишечной палочки в 1 г продукта.

Для установления характера микрофлоры по 0,1 см³ взвеси наносят на поверхность мясо-пептонного агара и среды Эндо, равномерно распределив по всей площади. После суточного термостатирования изучают морфологию выросших колоний.

Па среде Эндо бактерии рода группы кишечной палочки образуют темно-красные колонии с металлическим блеском или розово-красные без блеска.

Обнаружение грамотрицательных не образующих спор палочек и образующих характерные колонии на элективных средах, указывает на наличие бактерий группы кишечной палочки.

Определение бактерий рода Salmonella

Сущность метода заключается в определении характерного роста сальмонелл на элективных средах.

Чашки с посевами на среде Эндо помещали в термостат с температурой 37 °С на 16-48 часов. На среде Эндо бактерии рода сальмонелл образуют бесцветные или с розовым оттенком колонии. Наличие этого признака указывает на присутствие сальмонелл в продукте.

Определение протея

Для определения присутствия протея вносят ОД см³ взвеси в конденсационную воду скошенного мясо-пептонного агара (метод Шукевича), термостатируют 18-24 часа и изучают полученную культуру.

Образование ползучего вуалеобразного налета с голубым оттенком, поднимающегося из конденсационной жидкости вверх по поверхности среды указывает на наличие микробов рода Proteus.

Определение сульфитредуцирующих клостридий

Метод заключается в специфическом росте клостридий перфрингенс на среде Вильсона-Блера, на которой в результате восстановления сульфита натрия в сульфат натрия происходит взаимодействие с хлоридом железа и фиксируется почернение среды за счет сульфида железа. Для подтверждения роста сульфитвосстанавливающих клостридий применяли пересев в пробирки со средой Кита-Тароцци. Помутнение среды, выделение газа, появление постороннего запаха, разложение кусочков печени говорит о присутствии клостридий в продукте.

Определение количества молочнокислых микроорганизмов

Отобранную навеску в 5 г растирали в ступке со стерильной водой (50 мл) и готовили разведение 1:10. Приготовленную суспензию сливали, в стерильную пробирку, отстаивали, после чего из ее надосадочного слоя приготовляли 5 десятикратных разведений (от 1:100 до 1:000000) в пробирках со стерильной водой. С целью проведения количественного и качественного состава микрофлоры из суспензий или разведений делали посев для определения молочнокислых бактерий из разведений 1:10000 и 1:1000000 по 1 мл в чашки Петри методом заливки капустно-меловым агаром. Культивировали 5-7 суток при 30 °С. вокруг молочнокислых бактерий образуются зоны простветления, т.к. молочная кислота нейтрализует известь,

Определение энергетической ценности

Расчет энергетической ценности продукта был определен исходя из следующих соотношений: 1 г жира - 37 кДж / 9 кКал; 1 г белка - 17 кДж / 4 кКал; 1 г углеводов - 17 кДж / 4 ккал.

Конечный результат был суммирован. Все данные относятся к 100 г продукта.

Определение переваримостн

Метод заключается в последовательном воздействии на белковые вещества исследуемого объекта пепсином и трипсином при непрерывном удалении из сферы реакции продуктов гидролиза диализом. О степени переваримости белков продукта судят по разности между количеством белка, взятого на переваривание, и оставшимся количеством протеина после последовательной обработки навески продукта пепсином и трипсином. Накопление продуктов гидролиза определяют по цветной реакции Лоури и выражают в условных единицах (мкг тирозина на 1 г сухого вещества).

Определение массы

Определение массы сырья и готового продукта осуществляли на весах для статического взвешивания по ГОСТ 23676-79 и весах лабораторных общего назначения по ГОСТ 24104-88.

Определение выхода продукта

Выход колбасных изделий в % определяем по формуле:

 %,

где (2.2.12) Ml - масса готового изделия после охлаждения, кг;

М2 - масса изделия до термообработки, кг;

а - количество мясного сырья, %;

б - количество добавляемой влаги, %;

в - количество добавляемой соли, %;

г - количество добавляемого белкового композита, %.

Органолептические исследования продукта

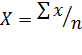
При обработке дегустационных листов вычисляли среднеарифметическое оценок дегустаторов по всем показателям, предусмотренных в шкале и среднеквадратичное отклонение по формулам:


,

где (2.2.13) X - среднеарифметическое оценок дегустаторов;- среднее квадратичное отклонение;

Σх - сумма оценок в баллах;

Σх² - сумма квадратов оценок в баллах;- количество дегустаторов.

Глава 3. Биотрансформация вторичного мясного сырья

3.1 Обоснование выбора выделенных штаммов молочнокислых микроорганизмов

В настоящее время одним из важных направлений, предопределяющих эффективное развитие мясной промышленности в условиях рыночной экономики, является создание малоотходных технологий, основанных на комплексном использовании поступающего на переработку сырья.

В связи с этим особое значение приобретает вопрос широкого вовлечения в производство вторичных сырьевых ресурсов, таких как субпродукты II категории.

Низкая эффективность использования субпродуктов II категории в основном предопределяется специфичностью химико-морфологического состава и необходимостью применения разнообразных технологических приемов, направленных как на облагораживание органолептических характеристик, так и на модификацию функционально-технологических свойств. Немаловажное значение имеет наличие у субпродуктов II категории высокой степени микробиологической обсемененности.

Одним из современных подходов решения этой проблемы является использование биотехнологических методов, основанных на использовании перспективных штаммов стартовых культур микроорганизмов.

В данном разделе изучали воздействие выделенных штаммов на легкие крупного рогатого скота (далее легкие). Легкие обладают низкой пищевой ценностью и отличается довольно жесткой консистенцией, что связано с преобладанием коллагена в его составе. Тем не менее легкие характеризуется содержанием минеральных веществ, таких как кальций, магний, фосфор, железо, а также витаминов В₁, В₂, РР, С и имеет хорошую переваримость. Направленная модификация свойств данного вида сырья позволит использовать его в производстве высококачественных мясных продуктов.

В свою очередь выделенные штаммы молочнокислых микроорганизмов Lactobacillus curvatus 1, лактобактерий казеи 10, Pediococcus pentosaceus 28, Pediococcus acidilactici 8 адаптированы к мясному сырью, так как были выделены из высококачественных мясопродуктов. Они обладают высокой ферментативной активностью, солеустойчивы (все штаммы устойчивы к 8 % соли) и проявляют антагонистическую активность по отношению к патогенной и условно-патогенной микрофлоре стафилококка золотистого, эпидермального стафилококка, сапрофитного стафилококка, кишечной палочки, сальмонеллы тифимуриум, шигеллы Зонне, протея вульгарис, протея мирабилис. Штаммы Lactobacillus curvatus 1, Pediococcus pentosaceus 28, Pediococcus acidilactici 8 обладают высокой энергией кислотообразования.

Применение микроорганизмов в переработке сельскохозяйственного сырья объясняется наличием у них протеолитической и липолитической систем, в результате действия которых происходит образование специфического вкуса и аромата. Так, согласно исследованиям С. Фадды, Дж. Оливера, М. Раккаха, Р. Барроса, Р. Факлама молочнокислые микроорганизмы, Lactobacillus curvatus, Lactobacillus casei, Pediococcus pentosaceus, Pediococcus acidilactici обладают протеолитической системой, вследствие деятельности которой происходит расщепление белков мясного сырья. Первоначальное расщепление белков происходит под действием протеиназ с образованием олигопептидов, которые в дальнейшем могут гидролизоваться под действием внутриклеточных пептидаз, работа которых способствует накоплению пептидов и свободных аминокислот. В свою очередь свободные аминокислоты участвуют в образовании специфического аромата продукта. Кроме того, по данным С. Кайры, П. Ферранти, М. Гатти, М. Форнасари Ф. Бароне и др. низкомолекулярные летучие жирные кислоты, образующие в результате гидролитического расщепления липидов мышечного волокна под действием микробиальных липаз, также участвуют в образовании вкусоароматических характеристик мясного сырья.

В связи с этим дальнейшие исследования были направлены на изучение изменений аминокислотного состава и микробиологических показателей мясного субстрата (измельченные легкие), происходящих под воздействием выделенных штаммов молочнокислых микроорганизмов.

3.2 Изучение симбиоза выделенных штаммов молочнокислых микроорганизмов

В мясной промышленности широко используют различные бактериальные препараты, состоящие из отдельных штаммов молочнокислых микроорганизмов, а также дрожжей и грибов. Бактериальные препараты могут содержать микроорганизмы в виде чистых монокультур или комбинаций, включающие штаммы одного или нескольких видов. В основном применяют мультиштаммовые бактериальные закваски. Однако при составлении бактериальных заквасок необходимо учитывать не только физиолого-биохимические, технологические, в т. ч. антагонистические свойства выбранных штаммов и др., но и их способность сосуществовать между собой. В бактериальной закваске отдельные штаммы не должны доминировать один над другим. Поэтому было изучено явление симбиоза у выделенных штаммов молочнокислых микроорганизмов: Lactobacillus curvatus 1, Pediococcus acidilactici 8, Pediococcus pentosaceus 28 и лактобактерий казеи 10. Симбиоз выделенных штаммов молочнокислых микроорганизмов был изучен методом перпендикулярных штрихов на плотной (агаризованной) питательной среде MRS. Симбиоз выделенных молочнокислых микроорганизмов изучали по характеру роста, развития и внешнему виду штаммов. Анализируя визуально полученные результаты, можно отметить следующее: внешний вид культур соответствуют исходным музейным штаммам, также наблюдается активный равномерный рост по всему участку посева. В области соприкосновения с другими штаммами не наблюдается зон задержки роста изучаемых культур. Из этого можно сделать вывод, что культуры не обладают взаимным антагонизмом и не различаются по интенсивности роста при совместном культивировании.

Полученные результаты позволяют сделать вывод, что исследуемые микроорганизмы не оказывают отрицательного воздействия друг на друга и находятся в состоянии симбиоза, что позволяет рекомендовать их для совместного использования в бактериальной закваске.

3.3 Создание белкового композита на основе вторичного мясного сырья

На основе изученных свойств выделенных штаммов лактобактерий казеи 10, Lactobacillus curvatus 1, Pediococcus acidilactici 8, Pediococcus pentosaceus 28, a также на основе установленного симбиоза между ними были приготовлены жидкие бактериальные закваски. В целях изучения воздействия выделенных штаммов на качественные изменения вторичного мясного сырья (легкие) были сделаны бактериальные закваски с их различными сочетаниями (табл. 1). Так, бактериальная закваска № 1 характеризуется равным соотношением всех выделенных штаммов, в бактериальной закваске № 2 превалируют штаммы лактобактерий казеи 10 и Lactobacillus curvatus 1, в закваске № 3 доминируют Pediococcus pentosaceus 28 и Pediococcus pentosaceus 8, в закваске № 4 преобладают штаммы Lactobacillus curvatus 1 и Pediococcus acidilactici 8.

Таблица 1. Качественный состав бактериальных заквасок

Бактериальная закваска №

Соотношение штаммов в закваске


Lactobacillus curvatus 1

Лактобактерии казеи 10

Pediococcus pentosaceus 8

1

1

1

1

1

2

4

4

1

1

3

1

1

4

4

4

4

1

1

4


Биотрансформацию вторичного мясного сырья осуществляли следующим образом (рис. 2):

.        Сырье подвергали предварительной обработке (очистка, промывка, ошпарка) и измельчали на волчке с диаметром отверстий решетки 3 мм.

.        В измельченное сырье вносили бактериальные закваски, состоящие из молочнокислых микроорганизмов, представленных штаммами Lactobacillus curvatus 1 и лактобактерий казеи 10, Pediococcus pentosaceus 28 и Pediococcus acidilactici 8.

3.      Вносили соли марганца, a также поваренную соль в количестве 3 % к массе сырья.

.        Процесс биотрансформации вторичного мясного сырья проводили в течение 24 ч при температуре t = 21 ± l C.



Развиваясь в мясе, микроорганизмы, в качестве питательных веществ используют содержащиеся в нем углеводы, белки, жиры, посредством экзоферментов, преобразовывая их в вещества, пригодные для проникновения в клетки. Поэтому для увеличения роста выбранных штаммов молочнокислых микроорганизмов в качестве дополнительных источников питания вносили 10 % молочной сыворотки к массе несоленого сырья.

Согласно исследованиям Беата Ф. Хагена, Х. Неса, Аскильда Л. Хойка для сокращения времени адаптации, активного роста, метаболической деятельности микроорганизмов, а также сокращения времени ферментации вносили 0,003 % солей марганца (например, Mn₂SO₄).

Бактериальные закваски вносили в исходное сырье в количестве 10⁹ КОЕ/г и проводили биотрансформацию сырья в течение 48 ч при температуре 22 °С. В результате было получено 4 образца биотрансформированного сырья:

·        образец № 1 - измельченные легкие с добавлением бактериальной закваски № 1;

·        образец № 2 - измельченные легкие с добавлением бактериальной закваски с № 2;

·        образец № 3 - измельченные легкие с добавлением бактериальной закваски № 3;

·        образец № 4 - измельченные легкие с добавлением бактериальной закваски № 4;

·        контроль - измельченные легкие без внесения бактериальной закваски.

У каждого образца исследовали органолептические характеристики, микробиологические показатели, в том числе изменения количества молочнокислых микроорганизмов, и аминокислотный состав.

3.4 Органолептические исследоваиия биотрансформированного сырья

Органолептические характеристики оценивали через каждые 12 ч, оценивая цвет и запах каждого белкового композита.

При исследовании органолептических характеристик через первые 12 ч образцы имели бледно-розовый цвет и свежий запах, характерный данному виду сырья. Поскольку изменений органолептических показателей у этих образцов не наблюдалось, можно сделать вывод, что для полного протекания процесса биотрансформации 12 ч недостаточно.

Образцы, биотрансформация которых длилась 36 ч и 48 ч, были покрыты на поверхности зеленоватой пленкой, имели неприятный запах, соответствующий несвежему мясу и красный при снятии пленки. Поэтому эти образцы были исключены из дальнейших исследований.

У всех образцов легких, биотрансформированных в течение 24 ч, было отмечено незначительное количество выделившегося мясного сока. Кроме того, всем образцам, помимо, легкого кисловатого запаха, был присущ специфический аромат, свойственный данному виду сырья.

Контроль обладал неприятным запахом, свойственным испорченному мясу.

Образец № 1 имел розовый цвет и приятный кисловатый аромат.

Образец № 2 обладал бледно-розовым цветом с выраженным кисловатым запахом.

Образец № 5 характеризовался также розовым цветом и кисловатым ароматом, который был слабее, чем у образца № 1.

Образец № 4 также имел розовый цвет, но отличался неприятным кислым запахом. По окончании процесса биотрансформации образец имел низкую активную кислотность, что привело к закисанию субстрата. Поэтому из последующих исследований этот образец был исключен.

По органолептическим исследованиям, можно сделать вывод, что все образцы биотрансформированного сырья практически не отличались друг от друга по цвету, но имели отличие по запаху.

Таким образом, для дальнейших исследований были отобраны образцы, у которых оптимальная продолжительность биотрансформации составила 24 ч.

3.5 Изучение микробиологических показателей биотрансформироваиного сырья

Внесение бактериальных заквасок в исходное сырье (измельченные легкие) должно сопровождаться качественным и количественным изменением микрофлоры исходного сырья.

Поэтому на данном этапе работы были исследованы санитарно-гигиенические показатели белковых композитов и изменение количества внесенных молочнокислых микроорганизмов.



На рисунке 3 показано изменение количества молочнокислой микрофлоры у биотрансформированного сырья. Из рисунка видно, что происходит увеличение молочнокислых микроорганизмов, хотя их изначальное количество при внесении в субстрат было для всех образцов одинаково. Анализ полученных результатов показал, что за 24 ч процесса биотрансформации у образца № 1 количество молочнокислых микроорганизмов увеличилось в 25 раз по сравнению с начальным , у образца № 2 - в 22 раза, у образца № 3 - в 31 раз, у образца № 4 - в 27 раз. У контрольного образца количество молочнокислых микроорганизмов достигло 1,8×10² КОЕ/г.

Так как молочнокислые микроорганизмы являются продуцентами молочной кислоты, что влечет за собой изменение реакции среды в субстрате, то их присутствие способствует снижению кислотной активности исходного сырья (рис. 4).


Интенсивное увеличение числа клеток молочнокислых бактерий привело к значительному снижению величины рН.

Из рисунка 4 видно, что у контрольного образца (легкие без биотрансформации) рН составил 6,74, тогда как у образца № 1 этот показатель достиг значения 5,24, у образца № 2 - 5,22, у образца № 3 - 5,32, у образца № 4 - 4,67. В среднем показатель рН образцов был меньше в 1,5 раза контрольного образца.

При исследовании санитарно-показательной микрофлоры (СанПиН 2.3.2.1078-01) изучали следующие показатели: бактерии группы кишечных палочек в 0,1 г продукта, наличие золотистого стафилококка и патогенных микроорганизмов, в том числе сальмонеллы в 25 г продукта, наличие сульфитредуцирующих клостридий в 0,1 г, мезофильные аэробные и факультативно-анаэробные микроорганизмы (КМАФАнМ).

По данным таблицы 2 видно, что с внесением бактериальных заквасок в исходное сырье (легкие) происходит снижение натогенной и условно-патогенной микрофлоры в течение 24 ч процесса биотрансформации. Антагонистический эффект достигался за счет молочнокислой микрофлоры, в результате жизнедеятельности которой происходит накопление молочной кислоты, В свою очередь молочная кислота способствует быстрому снижению рН субстрата, что и нриводит к снижению условно-патогенной микрофлоры. Кроме этого, штаммы лактобактерий казеи 10, Lactobacillus curvatus 1, Pediococcus acidilactici 8, Pediococcus pentosaceus 28 являются антагонистами по отношению к сальмонелле, кишечной палочке, протею.

Таблица 2. Санитарно-гигиенические показатели биотрансформированного сырья

Микробиологические показатели

Образец


контроль

№ 1

№ 2

№ 3


0 ч

24 ч

24 ч

24 ч

24 ч

КМАФАнМ, КОЕ/г

1,2×10³

7×10³

15×10⁷

16×10⁷

18×10⁷

БГКП, в 0,1 г

Присутствуют

Сульфитредуцирующие клостридии, в 1 г

2×10

3×10³

Не обнаружено

Патогенные, в т. ч. сальмонеллы, в 25 г

Не обнаружено

Стафилококк золотистый, в 1 г

Не обнаружено


По полученным результатам можно сделать вывод, что внесение молочнокислых микроорганизмов приводит к замедлению размножения, а с течением времени к гибели условно-патогенной и патогенной микрофлоры.

3.6 Изучение аминокислотного состава биотрансформированного сырья

Для обоснования использования биотрансформированного сырья в технологии пищевых продуктов в виде белкового композита, был изучен аминокислотный состав полученных образцов (табл. 3).

Как видно из таблицы внесение бактериальных заквасок в измельченное вторичное сырье (легкие) выражается в изменении содержания аминокислот. Анализ результатов показал, что среди незаменимых аминокислот увеличилось количество изолейцина, треонина, фенилаланина, метионина. Также происходит увеличение аргинина, гистидина, тирозина. Тем не менее, у всех образцов наблюдается значительное уменьшение валина и лизина, лейцина, глицина, глутаминовой кислоты, пролина, цистина. Из таблицы также видно изменение содержания серосодержащих аминокислот (метионин и цистин). Так количество метионина увеличивается в среднем в 1,7 раза в опытных образцах по сравнению с контрольным.

Однако обратная ситуация наблюдается в отношении цистина, количество которого уменьшается в 2,5 раза но отношению к контрольному образцу.

Следует отметить, что изменение аминокислотного состава, наблюдающееся во всех образцах биотрансформированного сырья, происходит неравномерно. Например, количество аргинина у образца № 2 больше, чем у других образцов, а у образца № 1 содержание той же аминокислоты практически соответствует контролю. То же самое наблюдается у лейцина и треонина.

Образец № 2 по сравнению с контрольным и опытными образцами характеризовался наибольшим содержанием незаменимых аминокислот таких как, изолейцин, метионин, треонин, фенилаланин, а также аргинином тирозином, гистидином.

Таблица 3. Аминокислотный состав биотрансформированного сырья

Наименование аминокислоты

Содержание аминокислот в образцах, мг/100 г


Контроль

Образец № 1

Образец № 2

Образец № 3

Валин

1075

736

780

712

Изолейцин

384

436

485

444

Лейцин

1092

966

1055

989

Лизин

885

646

665

670

Метионин

114

195

194

180

Треонин

534

539

541

513

Фенилаланин

534

560

615

599

Аланин

1073

901

922

859

Аргинин

815

817

914

840

Аспарагиновая кислота

1195

1131

1152

1080

Гистидин

346

498

538

503

Глицин

1610

1106

1070

1080

Глутаминовая кислота

1960

1585

1560

1530

Пролин

954

660

766

600

Серин

695

550

543

516

Цистин

403

157

167

170

Тирозин

400

410

496

426


Изменения аминокислотного состава, происходящие в процессе биотрансформации легких, объясняются развитием молочнокислых микроорганизмов в субстрате, количество которых значительно увеличивается к 24 ч.

Известно, что молочнокислые микроорганизмы являются требовательными к питательным субстратам и для поддержания активного роста им требуются дополнительные источники. В связи с этим объясняется уменьшение количества пролина в биотрансформированном легком, т. к. он является одной из необходимых аминокислот в поддержании роста молочнокислых бактерий. В результате катаболизма валина и изолейнина образуются жирные кислоты с разветвленной цепью, которые служат строительным материалом для клеточной мембраны в период интенсивного роста бактерий.

Кроме этого, катаболизм аминокислот, происходящий под воздействием молочнокислых микроорганизмов, играет важную роль в образовании соединений, участвующих в образовании специфического аромата. Так, аминокислоты с разветвленной цепью (лейцин, валин) являются предшественниками изовалерианового и изомасляного эфиров, метилбутанола, α-кетоизкапроата. Катаболизм глутаминовой кислоты происходит одновременно с образованием глутамина. Это объясняет органолептические характеристики опытных образцов биотрансформированных легких, у которых отсутствует специфический запах, присущий контрольному образцу (небиотрансформированные легкие).

Также под действием молочнокислых микроорганизмов в мясном сырье происходит расщепление белков, что приводит к образованию пептидов и свободных аминокислот. Первоначальный протеолиз белков происходит под действием внеклеточных протеаз, в результате чего образуются олигопептиды и пептиды, которые в дальнейшем гидролизуются внутриклеточными пептидазами до свободных аминокислот. Это объясняет увеличение содержания фенилаланина, метионина, изолейцина, аргинина, гистидина в субстрате. Уменьшение содержания пролина, валина, изолейцина объясняется тем, что они необходимы для оптимального роста бактерий. Кроме этого, свободные аминокислоты участвуют в образовании специфического аромата, являясь предшественниками некоторых летучих соединений. Таким образом, под воздействием протеолитической системы молочнокислых микроорганизмов, входящих в бактериальные закваски, происходят желаемые изменения исходного сырья, а именно, деструкция белков, в том числе коллагеновых, накопление продуктов метаболизма бактерий, обуславливающих аромат биотрансформированного сырья, о чем свидетельствуют полученные органолептические характеристики.

Таким образом, на основе проведенных микробиологических, органолептических исследований и изучения аминокислотного состава белкового композита наиболее оптимальным вариантом был признан образец № 2 (измельченные легкие биотрансформированные штаммами лактобактерий казеи 10, Lactobacillus curvatus 1, Pediococcus acidilactici 8, Pediococcus pentosaceus 28 в соотношении 4:4:1:1) с концентрацией 10⁹ КОЕ/г.

Дальнейшие исследования были направлены на изучение целесообразности использования полученного белкового композита в производстве вареной колбасы.

3.7 Органолептические характеристики вареных колбас

Исследуемые органолептические показатели: внешний вид, цвет, аромат, консистенция, сочность оценивались дегустационной комиссией по 5-тибалльной шкале (табл. 4).

Дегустация показала, что органолептические характеристики представленных колбасных изделий соответствовали всем предъявляемым требованиям. Внешний вид батонов экспериментальных вареных колбас имеет чистую, сухую поверхность, без повреждений оболочки, наплывов фарша и бульонно-жировых отеков. Оболочка плотно прилегает к фаршу.

Было отмечено, что все опытные образцы, приготовленные с белковым композитом, обладали более нежной консистенцией и большей сочностью по сравнению с контрольным образцом. Цвет этих образцов на разрезе был более насыщенным по сравнению с контролем. Все образцы обладали достаточно плотной консистенцией, характерной для данного вида изделий.

Таблица 4. Органолептические показатели вареных колбас

Образец №

Внешний вид

Цвет

Аромат

Консистенция

Вид на срезе

Средняя оценка

№ 1 (уровень замены 10 %)

4,78

4,89

4,77

4,63

4,73

4,71

№ 2 (уровень замены 20 %)

4,95

4,93

4,81

4,71

4,82

4,84

№ 3 (уровень замены 30 %)

4,67

4,74

4,57

4,55

4,88

4,68

Контроль

4,61

4,67

4,73

4,60

4,58

4,64


Контрольный образец имел слабо выраженную окраску и аромат, отличался наименьшей сочностью от остальных образцов.

Образец № 1 практически не отличался от контрольного образца. Однако для него была характерна более выраженная окраска на разрезе и сочность. Образец № 2 получил наибольшее количество положительных оценок. Образец отличался хорошим внешним видом, имел хорошо выраженный аромат пряностей, розовый цвет на разрезе, упругую и нежную консистенцию, обладал достаточной сочностью.

Опытный образец № 3 имел специфический запах и привкус субпродуктов, а также неестественный ярко выраженный цвет.

Результаты органолептической оценки образцов, показали, что образец № 2 (замена основного сырья 20 %) получил наиболее высокую оценку.

3.8 Исследование химического состава и энергетической ценности вареных колбас

В данном разделе приводятся результаты по содержанию влаги, белка, жира, золы, углеводов в зависимости от уровня замены основного сырья на белковый композит.

Полученные данные (табл. 5) свидетельствуют о том, что по химическому составу опытные образцы вареных колбас незначительно отличались друг от друга по содержанию основных показателей с введением в их рецептуру биотрансформированных легких.

Таблица 5. Химический состав и энергетическая ценность вареных колбас

Наименование показателей

Готовый продукт


Контроль

Образец № 1

Образец № 2

Образец № 3

Массовая доля влаги, %, не более

65,8 ± 0,54

66,1 ± 0,52

266,7 ± 0,49

67,7 ± 0,51

Белок, г, не менее %

18,8 ± 0,41

18,6 ± 0,36

17,9 ± 0,29

17,4 ± 0,38

Жир, г, не более %

9,4 ± 0,15

8,9 ± 0,23

8,5 ± 0,21

8,4 ± 0,17

Зола, %

3,02 ± 0,07

2,94 ± 0,08

2,98 ± 0,06

2,98 ± 0,07

Массовая доля соли, %, не более

2,22 ± 0,13

2,18 ± 0,10

2,20 ± 0,09

2,17 ± 0,12

Массовая доля нитрита натрия, %

0,0024 ± 0,0002

0,0024 ± 0,0002

0,0023 ± 0,0002

0,0025 ± 0,0002

Экстрактивные вещества, %

0,32 ± 0,02

0,29 ± 0,01

0,35 ± 0,15

0,38 ± 0,13

Углеводы, %

2,28 ± 0,02

3,17 ± 0,01

3,57 ± 0,03

3,14 ± 0,01

Энергетическая ценность, кДж/ккал

713/169

703/167

685/162

683/158


Из таблицы видно, что содержание общей влаги в опытных образцах выше по сравнению с контрольным образцом на 0,45-2,8 %, и повышается с увеличением уровня замены мяса белковым композитом. Одновременно увеличивается содержание углеводов в среднем в 1,5 раза.

Необходимо отметить, что наряду с увеличением содержания углеводов и влаги происходит незначительное уменьшение массовой доли белка, жира и золы у опытных образцов. Так, содержание белка и жира меньше в среднем в 1,1 раз но сравнению с контрольным образцом.

Незначительные отличия в содержании воды, белка, золы и жира в контрольном и опытных образцах вареных колбас объясняется разницей в химическом составе легких и основного сырья (говядина и свинина).

Например, увеличение доли влаги в опытных образцах колбас можно объяснить тем, что в легких ее содержится больше, чем в основном сырье. Так, на долю общей влаги в говядине приходится 58,5-74 %, в свинине 49-72,3 %, в то время как в легких ее содержание составляет 77,5 %.

Незначительное снижение содержания жира и золы в опытных образцах вареных колбас также объясняется различием в химическом составе основных компонентов рецептуры готового продукта. Например, содержание жира в говядине в зависимости от сортности колеблется в пределе 3,8-22,9 %, золы 0,8 %, а количество тех же составляющих в легких составляет 4,7 % и 1,0 % соответственно.

Таким же образом можно объяснить изменения содержания белка в опытных образцах вареных колбас.

Анализ полученных результатов позволяет сделать вывод о том, что в химическом составе и энергетической ценности опытных образцов не наблюдается значительных изменений, что доказывает возможность использования биотрансформированных легких в качестве белкового композита в технологии вареных колбас.

3.9 Исследования переваримости вареных колбас

Скорость переваривания белков в желудочно-кишечном тракте протеолитическими ферментами (пепсин, трипсин) является одним из основных показателей, определяющих биологическую ценность пищевых продуктов.

При оценке биологической ценности контрольного и опытных образцов, определяли степень гидролиза белков пищеварительными ферментами in vitro.

В таблице 6 представлены результаты исследований переваримости in vitro, показывающие влияние биотрансформированных легких на степень усвоения белков опытных образцов.

Таблица 6. Оценка переваримости вареных колбас

Переваримость белков in vitro, мг тирозина/г белка

Готовый продукт


Контроль

Образец № 1

Образец № 2

Образец № 3

Пепсином

5,2 ± 0,42

6,8 ± 0,33

8,0 ± 0,44

6,8 ± 0,29

Трипсином

5,3 ±0,03

6,9 ± 0,07

7,5 ± 0,04

6,4 ± 0,08

Суммарная переваримость

10,5 ± 0,45

13,7 ± 0,40

15,5 ± 0,48

13,2 ± 0,37



Анализ полученных результатов показал, что суммарная переваримость опытных образцов вареных колбас больше контрольного образца в среднем на 35%.

Полученные данные показывают, что введение биотрансформированных легких в рецептуру вареных колбас оказывает положительное влияние на переваримость и способствует ее увеличению.

Это объясняется тем, что под действием молочной кислоты, образуемой в процессе биотрансформации легких молочнокислыми микроорганизмами, происходит разбухание коллагена и распад полипептидных цепочек на более мелкие звенья (желатозы), способствуя разрыхлению соединительной ткани. При термической обработке образованные полипептидные цепочки позволяют удерживать значительное количество воды, тем самым, повышая доступ пищеварительных ферментов к белковым молекулам.

Кроме того, входящие в состав соединительнотканных беков протеогликаны (гиалуронат, хондроитинсульфат, каратансульфат, гепарансульфат и гепарин), представленные на 95 % полисахаридами, активно действуют на пищеварение, стимулируя сокоотделение и перестальтическую функцию желудка и кишечника, а также оказывают благоприятное влияние на состояние и функцию полезной микрофлоры кишечника.

3.10 Исследование технологических свойств вареных колбас

С целью изучения влияния белкового композита на свойства готового продукта были изучены показатели водосвязывающей способности, активная кислотность, а также выход готового продукта (табл. 7).

Таблица 7. Технологические характеристики вареных колбас

Исследуемые показатели

Готовый продукт


Контроль

Образец № 1

Образец № 2

Образец № 3

Активная кислотность

6,92 ± 0,10

6,90 ± 0,15

6,88 ± 0,13

6,85 ± 0,11

ВСС, %

59,37 ± 0,25

60,32 ± 0,19

60,5 ± 0,22

60,76 ± 0,20

Выход готового продукта, %

109 ± 0,51

112 ± 0,38

114 ± 0,44


Как видно из таблицы 7 активная кислотность опытных фаршевых систем несколько ниже значения рН контрольного образца. Значение показателя рН становится меньше с увеличением доли введения белкового композита. Тем не менее, у готового продукта водосвязывающая способность увеличивается на 1,6 % - у образца № 1, на 1,9 % - образца № 2 и на 2,3 % - у образца № 3 по сравнению с контролем.

В результате увеличения водосвязывающей способности происходит незначительное увеличение выхода образцов готового продукта. Так, у образца № 1 выход был выше на 1,3 % , у образца № 2 - на 2,75 %, у образца № 3 - на 4,2 %, чем у контрольного образца.

Это можно объяснить тем, что вводимый белковый композит, состоящий из легких, содержит коллагеновые волокна. Поэтому в результате термообработки происходит желатинизация коллагена с одновременным образованием глютина, который имеет большое количество гидрофильных групп, что влечет за собой увеличение водосвязывающей способности.

3.11 Исследование структурно-механических свойств вареных колбас

В данном разделе были изучены структурно-механические свойства, такие как напряжение среза, работа резания, пластичность, предельное напряжение сдвига готового продукта (табл. 8).

В ходе исследований выявлена зависимость структурно-механических характеристик готового продукта от количества введенного белкового композита. С увеличением доли введения белкового композита отмечается снижение величин предельного напряжения сдвига, предельного напряжения среза и работы резания, и увеличение пластичности опытных образцов вареных колбас по сравнению с контролем. Эти свойства находятся в прямой зависимости от содержания влаги в продукте, которая возрастает с введением биотрансформированного сырья.

Таблица 8. Структурно-механические характеристики вареных колбас

Исследуемые показатели

Готовый продукт


Контроль

Образец № 1

Образец № 2

Образец № 3

Напряжение среза, кПА

38,5 ± 0,15

37,6 ± 0,11

33,8 ± 0,08

31,4 ± 0,13

Работа резания, Дж/м²

253 ± 16,11

252 ± 15,93

232 ± 20,10

224 ± 17,23

Пластичность, см/г

7,5 ± 0,29

10,8 ± 0,34

11,4 ± 0,25

14,6 ± 0,18

Предельное напряжение сдвига, Па

887 ± 0,25

760 ± 0,21

560 ± 0,17

463 ± 0,15


Полученные результаты можно объяснить следующим образом: термическая обработка коллагеновых волокон приводит к ослаблению и разрыву водородных связей, удерживающих полипептидные цепи в трехмерной структуре коллагена. Полипептидные цепи в результате разрыва связей видоизменяются и деформируются. Между ними возникают новые связи. Помимо этого происходит отщепление полисахаридов, входящих в структуру коллагена. Реакционная способность коллагена возрастает, он становится способным связывать дополнительные молекулы воды. Поэтому происходит снижение прочностных характеристик готового продукта, содержащего соединительнотканные белки.

3.12 Изучение состава летучих компонентов вареных колбас

Исследования качественного и количественного состава летучих компонентов, обуславливающих вкус и аромат вареных колбас, представлены в таблице 9, в которой приведены основные соединения, обнаруженные на образцах. Как видно из таблицы найдено 70 соединений различных классов, такие как спирты, альдегиды, кетоны, тернены, гетероциклические соединения.

Анализируя данные газохроматографического исследования следует отметить, что все образцы имеют идентичный качественный состав и отличаются только количественным содержанием отдельных соединений.

Таблица 9. Состав летучих компонентов в опытных образцах вареных колбас

Название вещества

Содержание в фазе летучих компонентов, %


Контроль

Образец № 1

Образец № 2

Образец № 3

Гексаналь

0,25

0,38

0,31

0,35

2-Гептанон

0,13

0,11

0,11

0,10

Гептаналь

0,21

0,18

0,20

0,16

α-Пинен

0,18

0,17

0,19

0,32

β-Пинен

0,09

0,06

0,05

0,17

Камфора

0,05

0,07

0,05

0,07

2-Карен

0,033

0,064

0,024

0,074

3-Карен

0,24

0,24

0,23

0,56

a-Терпинен

0,12

0,10

0,08

0,12

g-Терпинен

0,013

0,063

0,045

0,089

Октаналь

0,09

0,13

0,10

0,14

Лимонен

0,07

0,12

0,17

0,05

Эвкалиптол

0,56

0,50

0,60

0,05

Нонаналь

0,47

0,78

0,60

0,05

5-Каранол

0,52

0,05

0,41

0,60

Борнилацетат

0,28

0,28

0,27

0,17

2,3-дегидро-1,8-цинеол

0,08

0,05

0,08

0,14

Пирролидинкарбоксальдегид

0,11

0,05

0,06

0,07

2-Нонанол + диметилэтиленилбензол

0,03

0,05

0,07

0,05

3,7-Диметил-1,6-октадион-3-ол

0,00

0,41

0,52

0,05

1-Метил-4-(1-метилэтил)-циклогексенол-1,цис

2,57

2,46

2,32

2,21

1-Метил-4-(1-метилэтилиден)-циклогексанг

0,07

0,10

0,11

0,12

4-Метил-1-(1-метилэтил)-3-циклогексен-1-ол

9,40

10,81

9,37

10,33

4-Триметил-3-циклогексен-1-метанол

0,85

1,01

0,88

0,75

2-Метил-5-(1-метилэтил)-2-циклогексен-1-он

0,05

0,05

0,05

0,05

3-Метил-6-(1-метилэтил)-2-циклогексен-1-он

0,09

0,07

0,06

0,07

1,2-Диметокси-4-(2-пропенил)-бензол

16,03

16,21

15,51

15,84

6-Изопропилиден-1-метил-бицикло[3.1.0]гексан

1,35

1,45

2,18

1,35

1,2-Диметокси-4-(1-пропенил)-бензол

4,29

3,95

3,82

4,15

4-Метокси-6-(2-пропенил)-1,3-бензодиоксол

33,49

32,97

35,94

33,05

1,2,3-Триметокси-5-(2-пропенил)-бензол

9,37

8,82

7,56

9,15

1,2,3-Триметокси-5-(1-пропенил)-бензол

0,21

0,21

0,16

0,21

1,1'-(Оксиэтилиден)бис-бензол

0,04

0,26

0,15

0,05

1-Метил-4-(1-метилэтил)-бензол

0,10

0,10

0,12

0,16

3-Метил-6-(1-метилэтил)-2-циклогексен-1-ол

0,26

0,31

0,19

0,24

1-Метил-4-(1-метилэтил)-2-циклогексенол-1,транс

2,89

2,19

1,33

2,61

Бутилгидрокситолуол

0,08

0,14

0,44

0,08

Гуаойл + 1,3-диметилбутилбензол

0,61

0,32

0,20

0,19

Этилдодеканол + пентадеканон

0,13

0,08

0,16

0,13

Кариофиллен

0,05

0,05

0,05

0,05

Изокариофиллен

0,07

0,06

0,33

0,05

Анетол

0,05

0,05

0,14

0,05

Изосафрол

10,57

10,62

12,27

12,31

2,4-Декадиеналь

0,14

0,09

0,08

0,23

Ментол

0,16

0,20

0,15

0,20

Эвгенол

0,64

0,57

0,36

0,64

Диэтилфталат

0,06

0,05

0,05

0,08

Неролидол

0,13

0,16

0,19

0,19

Ацифиллен

0,13

0,10

0,10

0,13

Пентадеканаль

0,05

0,07

0,08

0,08

Гексадеканол

0,32

0,25

0,11

0,10

Гексилдеканол

0,15

0,11

0,09

0,09

Пальмовый альдегид

1,03

1,96

2,50

1,62

Нонадеканол

0,54

0,33

0,17

0,26

Дибутилфталат

0,56

0,26

0,31

0,10

β-Фелландрен

0,061

0,117

0,106

0,151

Этанон-1

0,028

0,048

0,024

0,043

2-Циклогексанол

0,172

0,199

0,125

0,12

Ноненол

0,085

0,12

0,072

0,10

Линалилпропаноат

0,285

0,584

0,48

0,41

2-Октилфуран

3,64

2,1

2,9

Карнофиллен

4,68

5,25

5,35

6,38

Идебенон

0,026

0,053

0,039

0,042

Спатуленол

0,015

0,014

0,013

0,011

Азарон

0,072

0,153

0,12

0,103

Азулен

0,043

0,044

0,033

0,031

Пиррол

0,014

0,027

0,021

0,025

Эйкозанол

0,028

0,028

0,029

0,31

Олеилол

0,342

0,96

0,86

0,797


Из полученных данных следует, что введение в рецептуру биотрансформированного сырья не только не изменяет качественный состав летучих компонентов, но способствует, в большинстве случаев, незначительному увеличению содержания некоторых соединений: гексаналя, g-терпинена, олеилола, изосафрола, пентадеканаля, пальмитинового альдегида, карнофиллена, β-фелландрена и др.

В целом полученные результаты показывают, что содержание летучих компонентов опытных образцов идентично контрольному образцу, что подтверждает целесообразность использования белкового композита в технологии вареных колбас.

3.13 Изучение микробиологических показателей опытных образцов вареных колбас

Микробиологические исследования проводились в соответствии с гигиеническими требованиями безопасности и пищевой ценности пищевых продуктов: Санитарно-эпидемиологические правила и нормативы. СанПиН 2.3.2.1078-01.

При микробиологическом исследовании каждого опытного образца вареных колбас изучались следующие показатели: бактерии группы кишечной палочки в 0,1 г продукта, наличие золотистого стафилококка и патогенных микроорганизмов, в том числе сальмонеллы в 25 г продукта, наличие сульфитредуцирующих клостридий в 0,01 г, мезофильные аэробные и факультативно-анаэробные микроорганизмы (КМАФАнМ).

Микробиологические показатели изучали в течение 5 суток хранения опытных образцов вареных колбас. Результаты микробиологического анализа приведены в таблице 10.

По данным таблицы видно, что результаты бактериологического анализа опытных образцов вареных колбас соответствуют требованиям СанПиНа. Это говорит о том, что введение белкового композита не оказывает отрицательного влияния на сроки хранения готового продукта.

Таблица 10.Микробиологические показатели образцов вареных колбас

Срок хранения, сутки

Микробиологические показатели


КМАФАнМ

БГКП

Сульфитредуцирующие клостридии

Патогенные в т. Ч. сальмонеллы

Золотистый стафилококк

Контроль

0

3,1×10²

в 1 г не обнаружено

в 0,01 г не обнаружено

в 25 г не обнаружено

в 1 г не обнаружено

3

4,8×10²





5

9,3×10²





Образец № 1

0

3,3×10²

в 1 г не обнаружено

в 0,01 г не обнаружено

в 25 г не обнаружено

в 1 г не обнаружено

3

4,3×10²





5

9,5×10²





Образец № 2

0

3,2×10²

в 1 г не обнаружено

в 0,01 г не обнаружено

в 25 г не обнаружено

в 1 г не обнаружено

3

4,5×10²





5

9,6×10²





Образец № 3

0

2,9×10²

в 1 г не обнаружено

в 0,01 г не обнаружено

в 25 г не обнаружено

в 1 г не обнаружено

3

5,3×10²





5

9,8×10²







Выводы

1.      Для биотрансформации вторичного мясного сырья на основании исследований промышленно-ценных свойств были получены новые штаммы микроорганизмов. По совокупности фенотипических и молекулярно-генетических характеристик (анализ нуклеотидных последовательностей региона 16S рРНК) определен их таксономический статус. Штаммы приняты на депонирование во Всероссийскую коллекцию промышленных микроорганизмов (ВКПМ) ФГУП ГосНИИГенетики за номерами ВКПМ В-8889 (Lactobacillus curvatus 1), ВКПМ В-8890 (лактобактерии казеи 10), ВКПМ В-8888 (Pediococcus pentosaceus 28), ВКПМ В-8897 (Pediococcus pentosaceus 8).

.        Выявлено, что внесение бактериальной закваски в количестве 10⁹ КОЕ/г в измельченные легкие крупного рогатого скота позволяет улучшать их органолептические показатели, а также изменять их аминокислотный состав, что позволяет рекомендовать биотрансформированное вторичное сырье в качестве белкового композита.

.        Определен оптимальный состав бактериальной закваски для получения белкового композита из легких крупного рогатого скота, состоящий из Lactobacillus curvatus 1, лактобактерий казеи 10, Pediococcus acidilactici 8, Pediococcus pentosaceus 28 в соотношении 4:4:1:1.

.        В результате исследования химических, технологических, структурно-механических, органолептических показателей, биологической (переваримость in vitro), энергетической ценности и анализа состава летучих компонентов опытных образцов вареных колбас был обоснован и установлен рациональный уровень введения белкового композита, который составил 20 % взамен адекватного количества основного мясного сырья.

Список использованной литературы

1.      Анисимова И. Г. Использование методов биотехнологии при производстве сырокопченых полусухих колбас / Анисимова И. Г., Терешина О. В., Солодовникова Г. И., Лагода И. В. // Обзорная информация. Москва: АгроНИИТЭИММП, 1989. - 34 с.

.        Антипова Л. В., Применение ферментного препарата мегатерин Г10Х для обработки низкосортного мяса / Антипова Л. В., Решетник О. А., Пономарев В. Я. Применение ферментного препарата мегатерин Г10Х для обработки низкосортного мяса // Мясная индустрия. - 2003. - № 8. - С. 9-11.

.        Антипова Л. В. Биокаталитические свойства препарата мегатерин Г20Х при обработке белков мяса / Антипова Л. В., Решетник О. А., Пономарев В. Я. // Известия вузов. Пищевая технология. - 2002. - № 2. - С. 17-19.

.        Антипова Л. В. Положительное воздействие коллагеназы на структуру мясного сырья / Антипова Л. В., Абдулов А. И., Донец А. А. // Мясная индустрия. - 2002. - № 2. - С. 45-47.

.        Антипова Л. В. Основы рационального использования вторичного коллагенсодержащего сырья мясной промышленности / Антипова Л. В., Глотова И. А. - Воронеж: ВТГА, 1997. - 49 с.

.        Апраксина С. К. Разработка технологии белкового продукта из коллагенсодержащего сырья и его использование в производстве вареных колбасных изделий: автореф. дис. канд. техн. наук. Москва, 1996. - 20 с.

.        Асонов П. Р. Микробиология. - Москва: Колос, Колос-Пресс, 2002.

.        Банникова Л. А. Селекция молочнокислых бактерий и их применение в молочной промышленности. - Москва: Пищевая промышленность, 1975. - 257 с.

.        Батаева Д. С. Создание и использование коллагенолитического ферментного препарата микробного происхождения для улучшения качества мясных продуктов: автореф. дис. канд. техн. наук. Москва, 2001. - 21 с.

.        Беккер М. Е. Введение в биотехнологию. - Москва: Пищевая промышленность, 1978. - 232 с.

.        Белитов В. В. Совершенствование технологии вареных колбас с белково-жировыми композициями: автореф. дис. канд. техн. наук. Москва, 2002. - 27 с.

.        Бердутина А. В. Разработка технологии белковых гидролизатов из вторичного сырья мясной промышленности: автореф. дис. канд. техн. наук. Москва, 2000. - 25 с.

.        Боресков В. Г. Использование комплексов ферментных препаратов при производстве деликатесной продукции / Боресков В. Г., Докучаев С. А. // Мясная индустрия. - 2001. - № 7. - С. 38-40.

.        Боресков В. Г. Современные отечественные биотехнологии соленых мясных продуктов // Мясная индустрия. - 1998. - № 8. - С. 33-34.

.        Бойко О. А. Разработка технологии мясных продуктов с использованием сырья, обработанного коллагенолитическим ферментным препаратом микробного происхождения: автореф. канд. техн. наук. Москва, 2003. - 25 с.

.        Бойко О. А. Воздействие коллагенолитического препарата на структуру мясного сырья / Бойко О. А., Кузнецова Т. Г. // Мясная индустрия. -2004. - .№ 4. - С. 47-49.

.        Вальшин С. А. Использование различных способов ферментной тендеризации мяса / Вальшин С. А., Боресков В. Г. // Тез. докл. Международной научно-технической конференции "Пищевой белок и экология". - Москва, 2000. - С. 47-49.

.        Галынкин В. А., Заикина П. А., Кочеровец В. И., Потехина Т. С. Фармацевтическая микробиология. - Москва: Арбения, 2003. - 352 с.

.        Глик Б., Пастернак Дж. Молекулярная биотехнология. Принципы и применение. Пер. с англ. / Под ред. Н. К. Янковского. - Москва: Мир, 2002. - 142 с.

.        Горбатов В. М. Новые направления в исследованиях и технологии ферментированных продуктов / Горбатов В. М., Аджян М. П. // Обзорная информация. Москва: АгроНИИТЭИММП, 1990. - 32 с.

.        Гудков А. В. Биологическая активность бифидобактерий в молоке / Гудков А. В., Эрвольдер Т. М., Свириденко Г. М., Гудкова М. Я. // Молочная промышленность. - 1994. - № 1. - С. 18-20.

.        Голубев В. Н., Жиганов И. Н. Пищевая биотехнология. - Москва: ДеЛи принт, 2001. - 123 с.

.        Градова Н. Б. и др. Лабораторный практикум по общей микробиологии. - Москва: ДеЛи принт, 2001. - 131 с.

.        Грачева И. М., Кривова А. Ю. Технология ферментных препаратов. 3-е изд., перераб. и доп. - Москва: Элевар, 2000. - 512 с.

.        Гуринович Г. В. Протеолитические свойства бифидобактерий / Гуринович Г. В., Мышалова О. М., Кудряшов Л. С. // Все о мясе. - 2002. - № 4. - С. 14-16.

.        Дуда А. Н. Комплексный метод выработки белкового стабилизатора из сырой свиной шкурки / Дуда А. Н., Петрова М. А. // Мясная индустрия. - 2004. - № 1. - С. 25-28.

.        Думин М. В. Стартовые культуры для мясных деликатесов / Думин М. В., Потапова К. В., Ярмонов А. П. // Мясная индустрия. - 2002. - № 5. - С. 23-24.

.        Жаринов А. И. Вторичное белоксодержащее сырье: способы переработки и использования / Жаринов А. И., Хлебников И. В., Мадалиев И. К. // Мясная промышленность. - 1993. - № 2. -С. 22-25.

.        Жаринов А. И. Ферментная модификация свойств мяса кур-несушек / Жаринов А. И., Евтихов П. П., Марушина С. А., Кузнецова Т. Г. // Мясная индустрия. - 2002. - № 12. - С. 20-21.

.        Жаринов А. И. Основы современных технологий переработки мяса. - Москва, 1994. - Ч. 1.

.        Журавская Н. К. Исследование и контроль качества мяса и мясопродуктов / Журавская Н. К., Алехина Л. Т., Отряшенкова Л. М. Исследование и контроль качества мяса и мясопродуктов. - Москва: Агропромиздат, 1985. - 296 с.

.        Иванкин А. Н. Применение ферментного препарата из гепатопанкреаса краба для улучшения свойств животного белка / Иванкин А. Н., Бердутина А. В., Неклюдов А. Д., Батаева Д. С. // Биотехнологические процессы переработки сельскохозяйственного сырья: Сборник докладов. - Москва: ВНИИМП, 2002. - С. 56-59.

.        Касьянов Г. И. Обработка мясного сырья сжатыми газами / Касьянов Г. И., Овчинников Е. И. // Пищевая промышленность. - 2003. - № 1. - С. 36.

.        Козеева О. В. Обработка плазмы крови убойных животных биотехнологическим способом / Козеева О. В., Нефедова Н. В., Митасева Л. Ф., Новикова В. Н. // Хранение и переработка сельхозсырья. - 2002. - № 1. - С. 14-16.

.        Козеева О. В. Перспективы использования в производстве вареных колбас плазмы крови КРС, структурированной промышленными продуцентами молочнокислых бактерий / Козеева О. В., Новикова В. Н. // Хранение и переработки сельхозсырья. - 2002. - № 12. - С. 50-53.

.        Козеева О. В. Особенности структурирования в плазме крови убойных животных / Козеева О. В., Нефедова Н. В., Митасева Л. Ф., Мухина С. М. // Мясная индустрия. - 2002. - .№ 10. - С. 49-52.

.        Коваленко И. А. Использование молочнокислых бакпрепаратов нового поколения в разработке новых технологий производства мясопродуктов / Коваленко И. А., Рогойша Е. Д. и др. // Биотехнологические процессы переработки сельскохозяйственного сырья: Сборник докладов. - Москва: ВНИИМП, 2002. -С. 55-56.

.        Костенко Ю. Г. Новый бактериальный препарат - основа ускоренной технологии производства сырокопченых колбас / Костенко Ю. Г., Солодовникова Г. И., Кузнецова Г. А. // Мясная индустрия. - 1997. - № 7. - С. 9-10.

.        Костенко Ю. Г. Новые виды сырокопчепых изделий / Костенко Ю. Г., Текутьева Д. А., Жаринов А. И., Соколова Н. А. // Мясная индустрия. - 2000. - № 2. - С. 25-26.

.        Крылова В. Б. Эффективность применения чистых культур и промышленных препаратов молочнокислых бактерий для модификации вторичного коллагенсодержащего мясного сырья / Крылова В. Б., Витренко О. Н. // Сборник докладов Международной научной конференции "Функциональные продукты". - Москва: ВНИИМП, 2001.

.        Лабинская А. С. Микробиология с техникой микробиологических исследований. - Москва: Медицина, 1972. - 482 с.

.        Лисицын А. Б. Новые виды консервов с использованием субпродуктов 2 категории и крови убойных животных / Лисицын А. Б., Сметанина Л. Б., Федорова Н. Ю., Шевченко С. С. // Все о мясе. - 2000. - № 4. - С. 3-8.

.        Машенцева Н. Г. Живая клетка - основа биотехнологии / Машенцева Н. Г., Ершов Д. В., Бучинская А. Г. // Материалы международной научной конференции "Живые системы и биологическая безопасность населения". - Москва: МГУПБ, 2002. - С. 45-46.

.        Мешкова Н. П., Северин С. Е. Практикум по биохимии. - Москва: Медицина, 1979.

.        Минаев М. Ю. Тенденции применения БАВ микробного происхождения при производстве мясных продуктов / Минаев М. Ю., Батаева Д. С. // Все о мясе. - 2000. - № 2. - С. 16-17.

.        Митасева Л. Ф. Изучение влияния пищевых компонентов на окисление липидов / Митасева Л. Ф., Нефедова Н. В., Константинова О. Л. // Сборник докладов Международной научной конференции "Роль биотехнологии в экологизации природной среды, питания и здоровья человека". - Ставрополь, 2001.

.        Новиков В. Ю., Мухин В. А., Рыжикова Л. С. // Материалы отчетной сессии ПИНРО по итогам научно-исследовательских работ в 1998-1999 гг. - Мурманск: НИНРО, 2000. - С. 60-70.

.        Нефедова Н. В. Антиоксидантные свойства некоторых видов молочнокислых бактерий / Нефедова Н. В., Ганина В. И., Бучинская А. Г. // Технологические аспекты комплексной переработки сельскохозяйственного сырья при производстве экологически безопасных пищевых продуктов общего и специального назначения. Научно-практическая конференция. - Углич, 2002. -С. 370-373.

.        Нефедова Н. В. Влияние стартовых культур на процессы окисления в ферментированных колбасах / Нефедова Н. В., Полшков А. Н.. Влияние стартовых культур на процессы окисления в ферментированных колбасах // Пищевая промышленность, 2003. - № 11. - С. 36-39.

.        Нецепляев С. В., Панкратов А. Я. Лабораторный практикум по микробиологии пищевых продуктов животного происхождения. - Москва: Агропромиздат, 1990. - 223 с.

.        Общая и санитарная микробиология с техникой микробиологических исследований: Учебное пособие / Под ред. А. С. Лабинской, Л. Н. Блинковой, А. С. Ещиной. - Москва: Медицина, 2004. - 576 с.

.        Определитель бактерий Берджи. В 2-х. т. Т. 2: Пep. с англ. / Под ред. Дж. Хоулта, Н. Крига, Н, Снита, Дж. Стейли. - Москва: Мир, 1997. - 368 с.

.        Петровский К. С. Пищевая ценность субпродуктов и их роль в питании. -Москва: ЦНИИТЭИмясосолпром, 1978. - 48 с.

.        Подлегаев М. А., Гуслянников В. В. Технология мяса птицы и яйцепродуктов. - Москва: Пищевая промышленность, 1979. - 373 с.

.        Политика здорового питания. Федеральный и региональный уровни. - Новосибирск: Сиб. унив. изд-во, 2002. - 344 с.

.        Ратушный А. С. Применение ферментов для обработки мяса. - Москва: Пищевая промышленность, 1979. - 208 с.

.        Рис Э., Стернберг М. Введение в молекулярную биологию: От клеток к атомам. Пep. с англ. / Под ред. Лазуркина Ю. С., Ткачука В. А. - Москва: Мир, 2002. - 142 с.

.        Рогов И. А. Современные тенденции использования белоксодержащего сырья животного и растительного происхождения при производстве мясных продуктов / Рогов И. А., Журавская Н. К., Жаринов А. Н., Ясырьева В. А. // Обзорная информация. Москва: ЦННИТЭМ мясомолпром, 1981. - 44 с.

.        Рогов И. А. Получение белкового композита на основе биотрансформированного коллагенсодержащего сырья и его использование в производстве вареных колбас / Рогов И. А., Хорольский В. В., Машенцева Н. Г., Бучинская А. Г. // Материалы Пятой Международной научно-технической конференции "Пища. Экология. Человек". - Москва: МГУПБ, 2003. - С. 42-43.

.        Рогов И. А., Антипова Л. В., Глотова И. А. Методы исследования мяса и мясопродуктов. - Москва: Колос, 2001. - 376 с.

.        Розанов Н. И. Справочник по микробиологической технике. - Москва: СельхозГИЗ, 1957. - 320 с.

.        Руш К., Ф. Руш. Микробиологическая терапия. Теоретические основы и практическое применение. Пер. с нем. - Москва: Арбения. 2003. - 160 с.

.        Саломатин А., Берлова А., Волокитина 3. Новые биотехнологические процессы в мясной и молочной нромышленности. - Москва: АгроНИИТЭИПП, 1997. - 24 с.

.        Сидоров М. А., Корнелаева Р. П. Микробиология мяса и мясопродуктов / 3-е изд., исправл. - Москва: Колос. - 240 с.

.        Сизенко Е. И. Вторичные сырьевые ресурсы пищевой и перерабатывающей промышленности АПК России и охрана окружающей среды. - Москва, 1999. - 475 с.

.        Смодлев П. А. функционально-технологические свойства белков животного происхождения // Мясная индустрия. - 2000. - № 1. - С. 12-15.

.        Современная микробиология: Прокариоты: В 2-х томах. Пер. с англ. / Под ред. Й. Ленгелера, Г. Древса, Г. Шлегеля. - Москва: Мир, 2005. - 496 с.

.        Соколов А. А. Физико-химические и биохимические основы технологии мясопродуктов. - Москва: Пищевая промышленность, 1965. - С. 32.

.        Соколов А. А., Павлов Д. В., Большаков А. С., Журавская Н. К. и др. Технология мяса и мясопродуктов. - М, 1970. - 574 с.

.        Соколов А. Ю. Изучение свойств коллагенсодержащего сырья (свиных шкур) и научное обоснование возможности его использования в пищевых целях: автореф. дис. канд. техн. наук. Москва, 2002. - 25 с.

.        Степаненко П. П. Микробиология молока и молочных продуктов: Учебник для ВУЗов. - Сергиев Посад: ООО "Все для Вас - Подмосковье", 1999. - 415 с.

.        Тейлор Д., Грин Н., Стаут У. Биология в 3-х т. Т. 1: Пер. с англ. / Под ред. Р. Сопера - 3-е изд. - Москва: Мир, 2005. - 454 с.

.        Теннер Е. З., Шильникова В. К., Переверзева Г. И. Практикум но микробиологии. - Изд. 2-е, перераб. и доп. - Москва: Колос, 1979. - 216 с.

.        Титов Е. И. Биоактивные добавки пробиотического действия для мясных продуктов / Титов Е. И., Митасева Л. Ф., Черкасова Л. Г., Маслюк С. А., Рыжов С. А. // Мясная индустрия. - 2000. - № 5. - С. 35-36.

.        Хамагаева И. С. Разработка технологии бифидосодержащего молочного продукта с длительным сроком хранения / Хамагаева И. С, Манидарова Л. П. // Материалы международной научно-технической конференции "Пища. Экология. Человек". - Москва: МГУПБ, 1997. - 335 с.

.        Хорольский В. В. Перспективы использования микробиального фактора в разработке безотходных технологий мясной промышленности / Хорольский В. В., Машенцева П. Г., Бучинская А. Г. // Сб. трудов научно-практической конференции. - Углич, 2002. - С. 531-533.

.        Хорольский В. В. Современные аспекты переработки вторичного сырья мясной промышленности / Хорольский В. В., Габараев А. П., Машенцева П. Г., Бучинская А. Г. // Тез. докл. научно-технической конференции "Технологии и техника пищевых производств". - Санкт-Петербург, 2003. - С. 56-60.

.        Хорольский В. В. Использование биотрансформированного сырья в производстве вареных колбас / Хорольский В. В., Митасева Л. Ф., Машенцева П. Г., Бучинская А. Г. // Материалы Второго Московского международного конгресса "Биотехнология: состояние и перспективы развития". - Москва: 2003. - С. 118.

.        Хорольский В. В. Направленное использование микроорганизмов в мясной промышленности.: Докт. дисс. - Москва, 1988. - 352 с.\

.        Хорольский В. В. Современные подходы к идентификации и изучению свойств микроорганизмов мясной промышленности / Хорольский В. В., Габараев А. Н., Машенцева Н. Г., Калиновский А. А., Бучинская А. Г. // Тез. докл. Шестой Международной научной конференции памяти В. М. Горбатова. - Москва: ВНИИМН, 2002. - С. 45-48.

.        Хорольский В. В. Влияние молочнокислых микроорганизмов на вкусоароматические характеристики паштетов / Хорольский В. В., Митасева Л. Ф., Машенцева Н. Г. и др. // Мясная индустрия. - 2004. - № 3. - С. 29-31.

.        Хорольский В. В. Селекция микроорганизмов для использования в продуктах питания с функциональными свойствами / Хорольский В. В., Синеокий С. Н., Машенцева Н. Г., Вахитова О. С. // Тез. докл. Международной конференции "Пробиотики, пребиотики, синбиотики и функциональные продукты питания. Современное состояние и перспективы". - Москва, 2004. - С. 24.

.        Шестакова И. С. Растворение и реконструкция коллагена // Тез. докл. Международной конференции "Современные биохимические и морфологические проблемы соединительной ткани". - Новосибирск: Наука, 1971. - С. 55.

.        Шлегель Г. Общая микробиология / Под ред. Е. Л. Рубан. - Москва: "Мир", 1972. - 476 с.

85.    Ahmet Y. Some characteristics of lactic acid bacteria present in commercial sucuk samples / Ahmet Y., Husnu Y. // Meat science. - 1998. - Vol. 49. - P. 387.

.        Aksu M. I. Effect of commercial starter cultures on the fatty acid composition of pastirma / Aksu M. I., Kaya M. // Food Science. - 2002. - Vol. 6. - P. 211-223.

.        Ansorena D. Influence of the simultaneous addition of the protease flavourzyme and the lipase novozym 677BG on dry fermented sausage compounds extracted by SDE and analyzed by GC-MS / Ansorena D., Astiasaran I, Bello J. // Journal of Agricultural Food Chemistry. - 2000. - Vol. 48. - P. 239-400.

.        Antara N. S. Identification and succession of lactic acid bacteria during fermentation of "Urutan", a Balinese indigenous fermented sausage / Antara N. S., Sujaya I. N., Yokota A., Asano K., Aryanta W. R. // World Journal of Microbiology and Biotechnology. - 2002. - Vol. 18. - P. 255-262.

.        Aristoy M. Isolation of flavour peptides from raw pork meat and dry-cured ham / Aristoy M., Toldra F. Isolation of flavour peptides from raw pork meat and dry-cured ham // Food flavours: generation, analysis and process influence. - Amsterdam, 1995. - P. 1323-1344.

.        Aymerich T. Microbial quality and direct PCR identification of lactic acid bacteria and nonpathogenic Staphylococci from artisanal low-acid sausages / Aymerich Т., Martin В., Garriga M., Hugas M. // International Journal of Food Microbiology. - 2003. - Vol. 1-2. - P. 141-151.

.        Barriere C. Characterization of catalase and superoxide dismutase in Staphylococcus camosus 833 strain / Barriere C, Leroy-Setrin S., Talon R. // Journal of Applied Microbiology. - 2001. - Vol. 91. - P. 478-487.

.        Benito M. J. Purification and characterization of an extracellular protease from Penicillium chrysogenum Pg222 active against meat proteins / Benito M. J., Rodriguez M., Nunez F., Asensio M. A., Bermudez M. E., Cordoba J. // Journal Applied of Environment Microbiology. - 2002. - Vol. 68. - P. 3532-3543.

.        Bolumar T. Purification and properties of an arginyl aminopeptidase from Debaryomyces hansenii / Bolumar Т., Sanz Y., Aristoy M., Toldra F. // International Journal of Food Microbiology. - 2003. - Vol. 85. - P. 301-306.

.        Bredholt S. Norwegian Industrial application of an antilisterial strain of Lactobacillus sakei as a protective culture and its effect on the sensory acceptability of cooked, sliced, vacuum-packaged meats / Bredholt S., Nesbakken Т., Hoick A. // Journal of Applied Microbiology. - 2001. - Vol. 90. - P. 365.

.        Bruna J. M. Changes in selected biochemical and sensory parameters as affected by the superficial inoculation of Penicillium camemberti on dry fermented sausages / Brana J. M., Hierro E. M., Hoz L., Mottram D. S., Fernandez M. // International Arch. Occup. Environ Health. - 2001. - Vol. 5. - P. 371-374.

.        Bruna M. Changes in selected biochemical and sensory parameters as affected by the superficial Inoculation of Penicillium camemberti on dry fermented sausages / Bruna M., Hierro M., Hoz L., Mottram S., Fernandez M., Ordonez A. // International Journal of Food Microbiology. - 2003. - Vol. 15. - P. 111-125.

.        Bruna J. M. Changes in the component of dry-fermented sausages during ripening / Bruna J. M., Hoz., Ordonez J. A., Hierro E. M. // Food Science. - 1999. - Vol. 39. - P. 329-334.

.        Budde B. Leuconostoc camosum 4010 has the potential for use as a protective culture for vacuum-packed meats: culture isolation, bacteriocin identification, and meat application experiments / Budde В., Hombaek Т., Jacobsen Т., Barkholt V., Koch A.G. // International Journal of Food Microbiology. - 2001. - Vol. 1. - P. 161-167.

.        Caira S. Synthetic peptides as substrate for assaying the proteolytic activity of Lactobacillus helveticus / Caira S., Ferranti P., Gatti M. // Journal of Dairy Res. - 2003. - Vol. 70. - P. 315-325.

.        Di Maria S. Monitoring of Staphylococcus xylosus DSM 20266 added as starter during fermentation and ripening of soppressata molisana, a typical Italian sausage / Di Maria S., Basso A., Santoro E., Grazia L., Coppola R. // Food Chemistry. Toxicology. - 2002. - Vol. 40. - P. 33-41.

.        Ehrmann M. A gene cluster encoding plantaricin 1.25beta and other bacteriocin-like peptides in Lactobacillus plantarum TMW1.25 / Ehrmann M., Remiger A., Eijsink V., Vogel R. // Journal of Applied Environment Microbiology. - 1999. - Vol. 65. - P. 5350-5356.

.        Enan G. Antibacterial activity of Lactobacillus plantarum UGl isolated from dry sausage: characterization, production and bactericid alactionof plantaricin UGl / Enan G., Essawy A., Uttendaele M., Debevere J. // Journal of Applied Bacteriology. - 1995. - Vol. 78. - P. 349-358.

.        Enan U. Listeria monocytogenes LMG10470 plantaricin UGl in vitro / Enan U., Alalyan S., Abdel-salam A., Debevere J. // Journal of Applied Microbiology. - 2002. -Vol. 46. - P. 411-414.

.        Enan G. Inhibition of Bacillus cereus ATCC 14579 by plantaricin UGlinvitroandinfood / Enan G., Zagazig D. // Journal of Applied Microbiology. - 2000. - Vol. 23. - P. 285-291.

.        Endo A. Hovel collagenase discolysin and production method there of // Biotechnol. Adv. - 1987. - Vol. 5. - P. 119-123.

.        Erkkila S. Dry sausage fermented by Lactobacillus rhamnosus strains / Erkkila S., Suihko L., Eerola S., Petaja E. // International Journal of Food Microbiology. - 2001. - Vol. 28. - P. 205-210.

.        Fadda S. Hydrolysis of Pork Muscle Sarcoplasmic Proteins by Eactobacillus curvatus and Lactobacillus sake / Fadda S., Sanz Y., Vignolo G., Oliver G., Toldra F. // Journal of Applied Microbiology. - 1998. - V. 9. - P. 311-321.

.        Fadda S. Effect of curing conditions and Lactobacillus casei CRL705 on the hydrolysis of meat proteins / Fadda S., Vignolo G., Aristoy M. C, Oliver G, Toldra F. // Journal of Applied Environment Microbiology. - 1999. - Vol. 65. - P. 578.

.        Fadda S. Characterization of muscle sarcoplasmic and myofibrillar protein hydrolysis caused by Lactobacillus plantarum / Fadda S., Sanz Y., Vignolo G., Aristoy M., Oliver G., Toldra F. // Journal of Applied Microbiology. - 1999. - Vol. 65. - P. 3540-3546.

.        Fadda S. Proteolytic activity of Lactobacillus strains isolated from dry fermented sausage on muscule sarcoplasmic proteins / Fadda S., Vignolo G., Oliver G., Holgado P. // Meat science. - 1998. - V. 49. - P. 11-18.

.        Fransen N. A modified agar medium for the screening of proteolytic activity of starter cultures for meatfermentationpurposes / Fransen N., O'Connell M., Arend E. // International Journal of Food Microbiology. - 1997. - Vol. 20. - P. 235-239.

.        Galgano F. Influence of indigenous starter cultures on the free fatty acids content during ripening in artisan sausage produced in the basilicata region / Galgano F., Favati F., Schirone M., MartuscelU M., Crudele M. // Journal of Food technology. - 2003. - Vol. 41. - P. 253-258.

.        Gardini F. A survey of yeasts in traditional sausages of southern Italy / Gardini F., Suzzi G., Lombardi A., Galgano F. // FEMS Yeast Res. - 2001. - Vol. 1. - P. 161-167.

.        Garcia-Varona M. Characterisation of Micrococcaceae isolated from different varieties of chorizo / Garcia-Varona M., Santos E., Jaime I., Rovira J. // International Journal of Food Microbiology. - 2000. - Vol. 25. - P. 189-195.

.        Gomolka-Pawlicka M. Antagonistic effect of chosen lactic acid bacteria strains on Yersinia enterocolitica species in model set-ups, meat and fermented sausages / Gomolka-Pawlicka M., Uradzinski J. // International Journal of Food Microbiology. - 2003. - Vol. 15. - P. 111-125.

.        Hammes W. Lactic acid bacteria in meat fermentation / Hammes W., Bantleon A., Seunghwa M. // Microbiology Reviews. - 1990. - V. 87. - P. 165.

.        Hammes W. New developments in meat starter cultures / Hammes W., Hertel С. // Meat science. - 1998. - V. 49. - P. 199-208.

.        Hierro E. Contribution of the microbial and meat endogenous enzymes to the free amino acid and amine contents of dry fermented sausages / Hierro E., Hoz L., Ordonez J. // Journal of Agricultural Food Chemistry. - 1999. - Vol. 47. - P. 1156-1161.

.        Hugas M. Functionality of enterococci in meat product / Hugas M., Garriga M., Aymerich M. // Journal of Applied Environment Microbiology. - 2003. - Vol. 69. - P. 4583-4594.

.        Journal of Food Science. - 1999. - Vol. 64. - P. 903-909.

.        Kato T. Proteolysis half-smoked fermented sausages with use of lactic bacteria / Kato Т., Toyoyuki H., Masayuki S. // J. Jap. Soc. Food. Sci and Technoogy. - 1990. - V. 37. - P. 715-721 .

.        Kiatpapan P. Molecular characterization of Lactobacillus plantarum genes for beta-ketoacyl-acyl carrier protein synthase III (fabH) and acetyl coenzyme A carboxyiase (accBCDA), which are essential for fatty acid biosynthesis / Kiatpapan p., Kobayashi H., Sakaguchi M., Ono H., Yamashita M., Kaneko Y., MurookaY. // Journal of Applied Environment Microbiology. - 2001. - Vol. 67.

.        Krockel L. Lactobacillus versmoldensis sp. nov., isolated from raw fermented sausage / Krockel L., Schillinger U., Franz C, Bantleon A., Ludwig W. // International Jounal of Food Microbiology. - 2003. - Vol. 15. - P. 171-184.

.        Krockel L. Lactobacillus versmoldensis sp. nov., isolated from raw fermented sausage / Krockel L., Schillinger U., Franz C, Bantleon A., Ludwig W. // International Journal of Food Microbiology. - 2003. - Vol. 83. - P. 171-184.

.        Kunji E. The proteolytic systems of lactic acid bacteria / Kunji E., Mierau I., Hagting A., Poolman В., Konings W. // Antonie Van Leeuwenhoek. Review. - 1996. - Vol. 70. - P. 187-221.

.        Larrouture-Thiveyrat С Camobacterium piscicola. Effects of environmental factors on leucine catabolism by Station de Recherches sur la Viande / Larrouture-Thiveyrat C, Montel M. // International Journal of Food Microbiology. - 2003. - Vol. 15.

.        Leroy F. Enterococcus faecium RZS C5, an interesting bacteriocin producer to be used as a co-culture in food fermentation / Leroy F., Foulquie M., De Vuyst L. // International Journal of Food Microbiology. - 2003. - Vol. 88. - P. 223-231.

.        Leroy F. The presence of salt and a curing agent reduces bacteriocin production by Lactobacillus sakei CTC 494, a potential starter culture for sausage fermentation / Leroy F., de Vuyst L. // Journal of Applied Microbiological Biotechnology. - 1999. - Vol. 51. - P. 249-254.

.        Leroy F. A combined model to predict the functionality of the bacteriocinproducing Lactobacillus sakei strain CTC494 / Leroy F., De Vuyst L, // International Journal of Food Microbiology. - 2003. - Vol. 15. - P. 89-97.

.        Lopes M. Characterization of a highly thermostable extracellular lipase from Lactobacillus plantarum / Lopes M., Leitao A., Regalia M., Marques J., Carrondo M., Crespo M. // International Journal of Food Microbiology. - 2002. - Vol. 75. - P. 99-109.

.        Lopes M. Influence of environmental factors on lipase production by Lactobacillus plantamm / Lopes M., Cunha A., Clemente J., Carrondo M., Crespo M. // International Journal of Food Microbiology. - 1998. - Vol. 20. - P. 69-82.

.        Mauriello A. Proteolytic activity of Staphylococcus xylosus strains on pork myofibrillar and sarcoplasmic proteins and use of selected strains in the production of "Naples type" salami / Mauriello A., Casaburi F., Villani L. // Journal of Applied Microbiology. - 2002. - Vol. 92. - P. 482-491.

.        Messens W. Modelling growth and bacteriocin production by Lactobacillus curvatus LTH 1174 in response to temperature and pH values used for European sausage fermentation processes / Messens W., Verluyten J., Leroy F., De Vuyst L. // Journal of Food Prot. - 2002. - Vol. 65. - P. 1541-1544.

.        Molly K. The importance of meat enzymes in ripening and flavor generation in dry fermented sausage / Molly K., Demeyer G., Johansson M. // Food Chemistry. - 1997. - Vol. 59. - P. 539-545.

.        Monnet С Selection and properties of Lactobacillus mutants producing α-acetolactate / Monnet C, Corrieu G. // Journal Dairy Science. - 1998. - V. 81. - P. 2096-2102.

.        Montel M. Bacterial role in flavour development / Montel M., Masson F., Talon R. // Meat Science. - 1998. - V. 49. - P. 239-247.

.        Montel M. Activites methabolique des bacteries lactique des produits cames / Montel M., Talon R. // G. Novel and J.-F. Le Querler. - 1992. - V. 59. - P. 67.

.        Montel M. Purification and characterization of a dipeptidase from Lactobacillus sakei / Montel M., Seronine M., Talon R., Hebraud M. // Journal of Applied Environment Microbiology. - 1995. - Vol. 61. - P. 837-839.

.        Montel M. Specific nutritional requirements of lactobacillus spp. from meat / Montel M., Labadie J. Specific nutritional requirements of lactobacillus spp. From meat // Zntbl. Bakteriol. Hyg. - 1986. - Vol. 183. - P. 23-27.

.        Moretro T. Production of sakacin P by Lactobacillus sakei in a completely defined medium / Moretro Т., Aasen I., Storro I., Axelsson L. // Journal of Applied Microbiology. - 2000. - Vol. 30. - P. 126-129.

.        Noonpakdee W. Isolation of nisin-producing Lactococcus lactis WNC 20 strain from ham, a traditional Thai fermented sausage / Noonpakdee W., Santivarangkna C, Jumriangrit P., Sonomoto K. // Journal of Applied Microbiology. - 2002. - Vol. 68. - P. 6051-6058.

.        Petaja K. Probiotishe Milchsaurebakterien als starterkulturen / Petaja K., Manninen O., Teija Z., Smidtshuld Т., Pia Z., Kari S. // Fleishwirtshaft. - 2003. - V. 89. - P. 191-197.

.        Papamanoli E. Characterization of Micrococcaceae isolated from dry fermented sausage / Papamanoli E., Kotzekidou P., Tzanetakis N., Litopoulou E. // Food microbiology. - 2002. - Vol. 19. - P. 441-449.

.        Pidcock K. Application of nontraditional meat starter cultures in production of Hungarian salami / Pidcock K., Heard G., Henriksson A. // Applied and Environmental Microbiology. - 2002. - Vol. 68. - P. 1980-1987.

.        Rebecchi A. Physiological and molecular technique for the study of bacterial community development in sausage fermentation / Rebecchi A., Crivori S., Sarra P. // Journal of Applied Microbiology. - 1998. - V. 84. - P. 1043-1049.

.        Rekhif N. Activity of plantaricin SA6, a bacteriocin produced by Lactobacillus plantarum SA6 isolated from fermentedsausage / Rekhif N., Atrih A., Lefebvre G. // Applied and Environmental Microbiology. - 2004. - Vol. 70. - P. 603-606.

.        Rodriguez M. Effect of protease EPg222 obtained from Penicillium chrysogenum isolated from dry-cured ham in pieces of pork loins / Rodriguez M., Sosa M., Martin A., Cordoba J., Benito M. // Journal of Agricultural Food Chemistry. - 2003. - Vol. 1. - P. 106-111.

.        Rodriguez M. Evaluation of proteolytic activity of micro-organisms isolated from dry cured ham / Rodriguez M., Nunez F., Cordoba J., Bermudez M., Asensio M. // Journal of Applied Microbiology. - 1998. - Vol. 85. - P. 905-909.

.        Rollan G. The peptide hydrolase system of Lactobacillus reuteri / Rollan G., Font de Valdez G. The peptide hydrolase system of Lactobacillus reuteri // International Journal of Food Microbiology. - 2001. - Vol. 8. - P. 303-307.

Похожие работы на - Товароведная оценка вареной колбасы с использованием биотрансформированного сырья

 

Не нашли материал для своей работы?
Поможем написать уникальную работу
Без плагиата!
Без нейросетей!