Расчет и проектирование одноступенчатого редуктора общего назначения
КУРСОВАЯ
РАБОТА
по
технической механике
на тему:
"Расчет
и проектирование одноступенчатого редуктора
общего
назначения"
Студент
Климанов
А.В.
Преподаватель
Гордеева
И.В.
Содержание
Введение
Исходные
данные
Задание
Подбор
электродвигателя
Расчет
общего передаточного числа
Кинематический
расчет валов
Расчет
клиноременной передачи
Расчет
конической передачи
Проектировочный
расчет быстроходного вала
Подбор
подшипников для конического редуктора
Заключение
Список
используемой литературы
Введение
Деталь
- такая часть машины, которую изготовляют без сборочных операций. Детали могут
быть простыми или сложными. Детали частично или полностью объединяют в узлы.
Узел представляет собой законченную сборочную единицу, состоящую из ряда
деталей, имеющих общее функциональное назначение. Детали общего назначения
применяют в машиностроении в очень больших количествах. Поэтому любое
усовершенствование методов расчета и конструкции этих деталей, позволяющее
уменьшить затраты материала, понизить стоимость производства, повысить
долговечность, приносит большой экономический эффект. Основные требования к
конструкции деталей машин: совершенство конструкции детали оценивают по ее
надежности и экономичности. Основные критерии работоспособности и расчета
деталей машин - прочность, жесткость, износостойкость, коррозионная стойкость,
теплостойкость, виброустойчивость. Значение того или иного критерия для данной
детали зависит от ее функционального назначения и условий работы. Особенности
расчета деталей машин. В инженерной практике встречаются два вида расчета:
проектный и проверочный. Проектный расчет - предварительный, упрощенный расчет,
выполняемый в процессе разработки конструкции детали (машины) в целях
определения ее размеров и материала. Проверочный расчет - уточненный расчет
известной конструкции, выполняемый в целях проверки ее прочности или
определения норм нагрузки. Выбор материалов для деталей машин является
ответственным этапом проектирования. Правильно выбранный материал в
значительной мере определяет качество детали и машины в целом.
Рационально спроектированная машина должна быть
прочной, долговечной экономичной при изготовлении и эксплуатации, безопасной
для обслуживающего персонала, удобной в работе.
Редуктор
- самостоятельная сборочная единица, соединяемая с электродвигателем и рабочей
машиной муфтами или открытыми передачами.
Редуктор служит
для уменьшения частоты вращения и увеличения крутящего момента.
Тип редуктора
определяется составом передач и положением осей вращения валов в пространстве.
Ц - цилиндрическая, П - планетарная, К - коническая, Ч - червячная, Г -
глобоидная, В - волновая. Количество одинаковых передач обозначается цифрой.
Оси валов, расположенные в горизонтальной плоскости, не имеют обозначения. Если
все валы расположены в одной вертикальной плоскости, то к обозначению типа
добавляется индекс - В. Если ось быстроходного вала вертикальна, то добавляется
индекс - Б, а к тихоходному соответственно - Т.
Исходные данные
Тип редуктора - конический
Мощность на выходе - Р3 = 3.0 кВт
Частота вращения ведомого вала - n3
= 110
Редуктор предназначен для длительной
эксплуатации, мелкосерийного производства с нереверсивной нагрузкой.
Задание
Выполнить расчеты по этапам:
) Подбор электродвигателя.
) Расчет общего передаточного числа.
) Кинематический расчет валов.
) Расчет клиноременной передачи.
) Расчет конической передачи.
) Проектировочный расчет быстроходного
вала.
) Подбор подшипников для конического
редуктора.
Подбор электродвигателя
где ηобщ.
-
КПД общий
ηобщ. =
ηред. · ηрем.
Выбираем 8-ю степень точности
Получаем ηред.
= 0,95 (из т.2.3, стр.59)
ηрем.
= 0,96 (из § 4.5, стр.116)
Находим ηобщ.
=
0,95 · 0,96 = 0,912
Электродвигатель выбираем по таблице 2.8, стр.71
Марка 4АМ132S8УЗ
Мощность 4,0 кВт
Расчет общего передаточного числа
общ.
=
ред.
·
рем.
Под полученным расчетом
общ.
подбираем
ред.
= 2.24 (из табл.2.7)
рем.
= 3 (из табл. 2.7)
Проверяем
общ.
=
ред.
·
рем.
= 2.24 · 3 = 6,17 (близка с расчетом)
Мощность 4,0 кВт
Кинематический расчет валов
I
вал
Р1 = Рэл.дв. = 4,0кВт -
мощность
n1 =
nэл.дв.
=720
-
частота вращения

III
вал
Расчет клиноременной передачи
А. Проектировочный расчет
- на этом этапе рассчитывается геометрические параметры передачи, а именно:
. Выбор сечения ремня
Сечение ремня - Б.
. Диаметр меньшего шкива
Диаметр меньшего шкива
3. Диаметр большего шкива
. Фактическое передаточное число
Отклонение
от
заданного
. Ориентировочное межосевое расстояние: а, мм
а
а
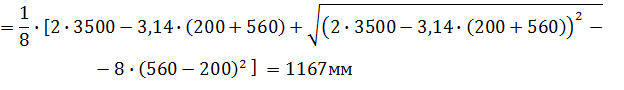
. Расчетная длина ремня Lр,
мм
По стандарту Lр
= 3500 мм
. Фактическое межосевое расстояние а.
8. Угол обхвата ремнем меньшего шкива
.
9. скорость ремня
10. Частота пробегов ремня
Допускаемая частота пробега
. Мощность, передаваемая ремнем в условиях
эксплуатации Рр, кВт
Расчетные коэффициенты отражают реальные условия
работы и расчета передачи.
. Площадь поперечного сечения ремня
А =
=
5
63
=315мм2
Сила предварительного напряжения(резиновый
ремень
. Сила предварительного натяжения данного ремня
- FO, H
FO
=
. Сила натяжения ведущей F1
и ведомой F2
ветвей ремня, Н.
- окружная сила.

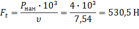
. Сила действующая на вал:
Б. Проверочный расчет.
Прочность одного клинового ремня или
поликлинового ремня по максимальным напряжениям в сечении ведущей ветви
рабочие нормальные напряжения.
Проверка сошлась.
Расчет конической передачи
. Материалы зубчатых колес (табл.92) для
шестерни и колеса принимаем одну и ту же марку стали 35ХМ с одинаковой
термообработкой - улучшение с закалкой ТВЧ до твердости поверхностей зубьев
49...65HRCэ,
при предполагаемом
диаметре заготовки шестерни
и ширине заготовки
колеса
.
Принимаем примерно среднее значение твердости зубьев 51HRCЭ.
. Допускаем контактное напряжение по формуле
Для материала зубьев шестерни и колеса принимаем
закалку при нагреве ТВЧ по всему контуру зубьев.
3. Допускаемое напряжение изгиба по формуле (9.42)
Для материала зубьев шестерни и колеса
. Коэффициент ширины зубчатого венца по формуле
(9.77).
. По табл.9.5 принимаем коэффициент
неравномерности распределения нагрузки по ширине зубчатого венца
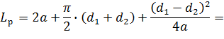
. Внешний делительный диаметр колеса по формуле.
Принимаем стандартное значение
. Расчетные коэффициенты:
. Внешний окружной модуль по формуле.
. Число зубьев колеса и шестерни.
Принимаем:
. Фактическое передаточное число
Отклонение от заданного
11. Углы делительных конусов по формуле:
. Основные геометрические размеры
Пригодность размера ширины зубчатого венца
92,78
13. Средняя окружная скорость колес и степень
точности:
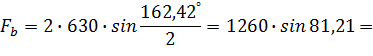
. Силы в зацеплении по формулам (9.57)...(9.59):
окружная на колесе и шестерне
Радиальная на шестерне и осевая на колесе

601н
. Коэффициент динамической нагрузки
. Расчетное контактное напряжение по формуле
(9.74)
всего на 1%, что
возможно.
Контактная прочность зубьев обеспечивается.
. Эквивалентное число зубьев шестерни и колеса
по формуле (9.46)
Коэффициенты формы зуба:
. Принимаем
коэффициенты:
19. Расчетное напряжение изгиба в основании
зубьев шестерни по формуле
Расчетное напряжение изгиба в основании зубьев
колеса.
Прочность зубьев на изгиб
обеспечивается.
Проектировочный расчет быстроходного
вала
. Ориентировочный расчет и
конструирование быстроходного вала конического редуктора.
Вращающий момент на валу
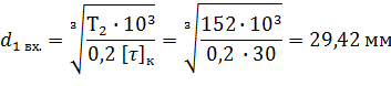
Т2 = 152,87 (Н · м)
Материал вала - сталь 45
- допускаемое
напряжение вала на кручение (величина напряжения принимается заниженной, т.к.
вал работает еще на изгиб).
.1. Определяем d
вала на входе:
.2. Определяем d
вала под крышку с уплотнением ГОСТ 8752-79
d1 упл. =
32мм (ГОСТ 8752-79)
.3. Определяем d
резьбы под регулировочную гайку М39 х 1,5(ГОСТ 11-871-80)
=33мм
.4. Определяем d
вала под подшипник:
-ориентировочно
(ГОСТ 7207)
.5. Продольные размеры вала:
Длина участка на входе
Длина участка под крышку с уплотнением
Для определения длины участка вала под
подшипники необходимо ориентировочно принять подшипник.
Для конического редуктора - это конический
роликовый подшипник 7207.
Габаритные размеры Т = 28,5 мм; D
= 72 мм
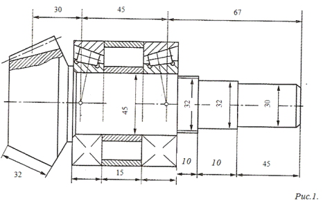
По найденным размерам вала выполняется эскиз.
Размеры шестерни известны из расчета конической передачи (рис.1).
2. Проверочный расчет ведущего вала
конического редуктора на статическую прочность
Исходные данные взяты из расчета конической
передачи на контактную прочность.
Окружная сила
Осевая сила
Радиальная сила
Вращающий момент
152,87
Допускаемое напряжение для стали 45
Средний делительный диаметр шестерни
Усилие, передаваемое соединительной муфтой
Составить схему нагружения валов (рис.2).
Рис.2.
.2. Определить опорные реакции в вертикальной
плоскости и построить эпюру изгибающих моментов (рис.3).

Проверка:
.3. Определить опорные реакции в горизонтальной
плоскости и построить эпюру изгибающих моментов (рис.3).
Проверка:
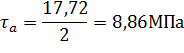
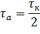
Изгиб:
Рис.3.
.4. Построить эпюру крутящего момента (рис.3).
.5. Проверить прочность вала.
Опасным сечением вала является В, т.к. здесь
возникают наибольшие изгибающие моменты. Расчет ведется по максимальным
касательным напряжениям.
Условие статической прочности
выполняется.
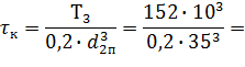
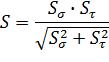
. Проверочный расчет вала
Рассчитать быстроходный вал конического
редуктора на сопротивления усталости. Выбор необходимых коэффициентов их
обозначения и численные значения (п. 5.2, гл. III,
стр. 171).
Рассмотрим сечение вала В, которое более
нагружено. Концентратором напряжений является напрессовка подшипника на вал
(сечение В).
Материал вала - сталь 45 без упрочнения
Коэффициент запаса прочности
Коэффициент запаса прочности на усталостную
выносливость
Подбор подшипников для конического
редуктора
1. Для быстроходного вала редуктора.
Чаще всего в конических редукторах применяют
конические роликовые подшипники (рис.4) за исключением быстроходных передач с n>3000
об/мин. В последнем случае устанавливают шариковые радиально-упорные подшипники
для снижения потерь на трение (рис.5).
Рис.4.
Рис.5.
Конические роликовые подшипники устанавливают по
схеме «врастяжку», которая более компактна (рис.6).
1 - набор металлических прокладок
- крышка подшипника
- стакан
Rr1,
Rr2
- радиальные составляющие
Рис.6.
Регулирование подшипников по схеме «враспор»
производится осевым перемещением наружных колец подшипников, используя тонкие
металлические прокладки, установленные под фланцами крышек. За счет этих же
прокладок регулируют и зацепление конической передачи.
Исходные данные:

-базовая
долговечность подшипника(т63,с85, пункт 3)
P=3,33 -для
роликовых подшипников
=75,36
Условия работы обычные.
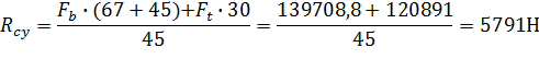
. Суммарные радиальные опорные реакции:
. Проверим возможность установки подшипника
легкой серии 7209А,
для которого из каталога выписываем:
. Осевые составляющие радиальных реакций по
формуле:
. Результирующая осевая нагрузка подшипников
В нашем случае:
. Рассмотрим подшипник
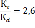
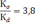
Отношение
поэтому следует учитывать результирующую осевую
нагрузку,
при этом коэффициент
(табл.
16.1).
Расчетные коэффициенты:
. Эквивалентная динамическая нагрузка
подшипников
по формуле (16.8).
. Рассмотрим подшипник
Отношение
поэтому при расчете эквивалентной динамической
нагрузки результирующую осевую нагрузку
не
учитывают, т.е. принимают
. Эквивалентная динамическая нагрузка подшипника
по
формуле
. Требуемая динамическая грузоподъемность.
,07кН
-Следует
принять подшипник средней серии 7207 для которого
.
В связи с изменением серии подшипника немного
изменились габариты подшипника, что следует учесть при вычерчивании редукторов.
Вывод:
технический уровень редуктора, соответствует современным мировым образцам.
Заключение
В результате работы я закрепил и расширил
теоретические знания, ознакомился с конструкциями типовых деталей и узлов,
научился самостоятельно принимать и защищать решения инженерно-технических
задач, рассчитывать механизмы и детали общего назначения на основе полученных
знаний.
Этот проект поможет мне в будущем в выполнении
дипломной работы и в дальнейшем непосредственно на производстве.
Список используемой литературы
конический редуктор подшипник
электродвигатель
1.
Фролов М.И. Техническая механика: Детали машин: учеб. для машиностр. спец.
техникумов. 2-е изд., доп. М.: Высшая школа, 2012.
.
Хруничева Т.В. Детали машин: типовые расчеты на прочность: учебное пособие
(профессиональное образование). М.: ИД «Форум»: ИНФРА-М, 2010.