Расчёт характеристик сигналов и каналов связи
Федеральное агентство
железнодорожного транспорта
Омский государственный университет
путей сообщения
Кафедра «Инфокоммуникационные системы
и информационная безопасность»
расчёт
характеристик сигналов и каналов связи
Расчётно-пояснительная записка к
курсовой работе
Студентка
группы 22-А
_____________
А.В. Требина
Руководитель
-
________________
О.В. Литвинова
УДК 621.391
Реферат
Пояснительная записка содержит 24 страниц, 13 рисунков, 6 таблиц, 5
источников.
МОДУЛЯЦИЯ, ПОЛЕЗНЫЙ СИГНАЛ, ДИСКРЕТИЗАЦИЯ, ХАРАКТЕРИСТИКИ СИГНАЛОВ,
СПЕКТР СИГНАЛА, КОДИРОВАНИЕ, АНАЛОГОВО-ЦИФРОВОЙ ПРЕОБРАЗОВАТЕЛЬ, ФУНКЦИЯ
АВТОКОРРЕЛЯЦИИ, ГРАНИЧНАЯ ЧАСТОТА, ПОЛОСА ЧАСТОТ.
В курсовой работе «Расчёт характеристик сигналов и каналов связи»
рассматриваются методы и примеры расчёта характеристик сигналов и каналов
связи. Курсовая работа содержит основные сведения о характеристиках и
параметрах сигналов и каналов связи, примеры и методы их расчёта, графики
различных характеристик сигналов. Рассмотрены принципы преобразования сигналов
в цифровую форму и требования к аналогово-цифровому преобразователю (АЦП).
Приведены рекомендации для облегчения вычислений при помощи вычислительной
среды MathCAD 14.
Содержание
Введение
. Характеристики сигналов
.1 Детерминированный сигнал
.2 Временная характеристика
сигнала
.3 Спектр сигнала
.4 Энергия сигнала
. Случайный сигнал
.1 Характеристика случайного
сигнала
.2 Построение закона
распределения
.3 Определение интервала
корреляции
.4 Построение случайного
сигнала
. Формирование цифрового сигнала
.1 Дискретизация сигнала и
построение выборки
.1.1 Дискретизация
детерминированного сигнала
.1.2 Дискретизация случайного
сигнала
.2 Квантование сигнала
.2.1 Квантование
детерминированного сигнала
.2.2 Квантование случайного
сигнала
.3 Выбор сигнала для передачи
. Цифровой сигнал и выбор
АЦП
.1 Оцифровка сигнала
.2 Выбор АЦП расчёт
статистических данных
. Характеристики
модулированных сигналов
.1 Общие сведения
.2 Модуляция сигнала
. Согласование источника
информации с непрерывным каналом связи
. Оптимальный демодулятор
Заключение
Библиографический список
Введение
Связь - это постоянно развивающаяся отрасль техники. Все более
увеличивающееся информационное пространство человечества требует эффективных
средств коммуникации, именно поэтому развитие связи и передачи информации в
целом представляет собой крайне важную задачу для современного информационного
общества.
Ситуация в отрасли железнодорожного транспорта во многом аналогична
общемировым тенденциям. На текущем этапе развития перед железнодорожным транспортом
стоят задачи по увеличению пропускной и перевозной способности, грузовых и
пассажирских перевозок, уменьшению времени оборотов вагонов и повышению
производительности труда. Эти задачи решаются по двум основным направлениям:
техническим переоснащением систем отрасли и совершенствованием системы
управления перевозочным процессом.
Система управления же во многом зависит от грамотной и, что не менее
важно, скоординированной работы обслуживающего персонала. Модернизация
приемников и передатчиков, каналов связи и систем связи вообще, увеличение
помехоустойчивости аппаратуры и уменьшение помех в условиях повышенного фона
электромагнитных полей - это один из важнейших действующих процессов в
реконструкции современного железнодорожного транспорта. Именно поэтому изучение
курса теории передачи сигналов - это так важно для квалифицированного инженера.
В данной работе поставлена цель изучить характеристики сигналов и каналов
связи, научиться эффективно рассчитывать эти характеристики, рассмотреть теорию
сигналов в целом. Произвести расчеты различных величин, вывести общие
закономерности в различных параметрах, описывающих сигналы и каналы связи.
Изучить методы цифровой обработки сигналов, затронув при этом теорию
помехоустойчивости. Рассмотреть принципы и виды модуляции и демодуляции
сигналов, их обработка и закономерности в различных видах модуляций, а также
рассчитать и построить графики модулированных сигналов при заданном виде
модуляции.
Для современного общества немаловажно также и повышение эффективности расчётов,
в связи с чем в данной работе была применена компьютерная вычислительная среда
MathCAD 14, и освещены некоторые приёмы работы с ней.
1.
Характеристики сигналов
1.1 Детерминированный сигнал
Для проведения расчётов характеристик будут использоваться уравнения
содержащие следующие переменные:
Так как для произведения расчётов и оформления пояснительной записки
используется дополнительное ПО, в нашем случае это MathCad, при построении большинства графиков отсутствует
таблица значений, ибо для плавности функции строятся по большому числу
значений.
1.2 Временная характеристика
сигнала
Детерминированный сигнал - сигнал строящийся по математическому закону,
значения которого в конкретный момент времени известны. В моём случае уравнение
сигнала имеет вид, приведённый в формуле 1:

(1.1)
где h - амплитуда,
τ - задаёт полупериод sin.
По заданным преподавателем значениям h=0.6 В. и τ=2*10-4 c. в ПО построен график,
представленный на рисунке 1.
Рисунок 1.1 Временная функция сигнала
Используя функции MathCad,
привожу основные точки построения, полученные из графика на рисунке 1.1, в
таблице 1.1
Таблица 1.1 Точки построения временной функции
1.3 Спектр сигнала
Следующей основной характеристикой является спектральная плотность,
находимая путём интегрирования временной функции, Спектральная плотность
представлена формулой 2.

(1.2)
Интегрируя функцию 2, получаем формулу, нахождения спектральной плотности
представленную ниже

(1.3)
На рисунке 2 представлен график спектральной плотности.
Рисунок 1.2 Спектральная плотность сигнала
1.4 Энергия сигнала
Показатели энергии и мощности сигнала, эго важнейшие характеристики,
определяющие КПД передатчика и качество работы системы.
Энергию одиночного сигнала можно вычислить по временной функции сигнала
по формуле 4

(1.4)
Проинтегрировав выражение 4, получаем формулу 5 для определения полной
энергии

(1.5)
Подставив заданные значения, находим:

Вт
Для
нахождения неполной энергии, использую заданный процент ( 
).
Отсюда:

Вт
Чтобы
наглядно показать зависимость энергии от частоты, а так же найти частоту среза
использую уравнение Парсеваля, формула 6

(1.6)
По данной формуле полная энергия находится не через временную
зависимость, а спектральную, используя формулу 6 строю графики, изображённые на
рисунке 3
Рисунок 1.3 Энергия сигнала
По рисунку 1.3 находим частоту среза, точку пересечения графиком не
полной энергии. частота среза ωс=28700 рад/с
2. Случайный сигнал
2.1 Характеристика случайного
сигнала
В математическом представлении случайный сигнал характеризуется
следующими параметрами:
а характеристика множества, закон распределения плотности W(s),
б числовые константы среднее (постоянная составляющая) Мs и
дисперсия (средняя мощность) Ds или ее производная среднеквадратичное
отклонение σ=√Ds,
в функция автокорреляции (скорость изменения) K(τ).

(2.1)
где μ=0 - мат. ожидание,
Du=0.05
- дисперсия,
Используя Mathcad и его
встроенные функции, по заданным параметрам был построен график представленный
на рисунке 2.1
Рисунок 2.1 - Экспоненциальный закон распределения
2.3 Определение интервала корреляции
Корреляция характеризует статистические связи между его значениями и
поведение сигнала во времени. Последнее связано со спектром, что имеет важное
прикладное значение. Характеристика корреляции - функция автокорреляции
сигнала. Интервал корреляции - это временная константа, показывающая предел
наличия статистической связи (внутри) и отсутствие за интервалом.
По заданной функции автокорреляции, формула 2.2, вычислим интервал
корреляции формула 2.3

(2.2)

(2.3)
где

-
дисперсия, заданная условием
f=400 Гц -
частота, заданная условием

Следуя
формуле 2.4, рассчитываем спектр сигнала представленный на рисунке 2.2

(2.4)
Рисунок 2.2 - Энергетический спектр сигнала
Для дискретизации сигналов необходимо ограничить спектры сигналов.
подойдём к этой задаче следующим образом. Поскольку G(w) есть распределение
мощности по спектру, то проинтегрировав её в бесконечных пределах, получим
мощность сообщения (сигнала), которая равна дисперсии. Ограничив её согласно
заданному проценту, и построив зависимость по формуле 2.6, получаем график
изображённый на рисунке 2.3.

(2.6)
Рисунок 2.3 - Мощность случайного сигнала
Аналогично пункту 1.4, по графику функции находим граничную частоту.

2.4 Построение случайного сигнала
Используя встроенные функции ПО был построен график случайного сигнала,
временная функция, с шагом Δt рассчитанным в пункте 3.1.2 . Данный, смоделированный
сигнал, представлен на рисунке 2.4
Рисунок 2.4 - Модель случайного сигнала
3.
Формирование цифрового сигнала
Исходными данными для формирования цифрового сигнала будут:
- граничная частота спектра сигнала,
- отношение минимальной мгновенной мощности сигнала к шуму
квантования,
- отношение максимальной мгновенной мощности к минимальной.
3.1 Дискретизация сигнала и построение выборки
В современной системе связи информация передаётся в цифровой форме. Такое
представление универсально для любого вида информации. Его основой является
теорема отсчётов, или теорема Котельникова, по которой любой сигнал с
ограниченным спектром может быть представлен совокупностью отсчётов (выборкой)
- мгновенными значениями через определённый интервал времени Δt.
Расчёт интервала производится по формуле 3.1

(3.1)
где Fv - верхнее значение частоты спектра,
рассчитываемое по формуле 3.2

(3.2)
где ωс
- частота среза или граничная частота.
3.1.1 Дискретизация детерминированного сигнала
По формуле 3.2 получаем, верхнее значение частоты спектра

Отсюда,
интервал дискретизации

Для
дальнейших расчётов принимается, что

Имея
интервал дискретизации, мы можем построить график детерминированного сигнала
представленный рисунком 3.1
Рисунок
3.1 График дискретизированого детерминированного сигнала
3.1.2 Дискретизация случайного сигнала
Расчёт для случайного сигнала начинается с создания последовательности
чисел распределённых по нормальному закону, данная последовательность
представлена таблицей 3.1
Таблица 3.1 - Экспоненциальный закон распределения
|
№, Δt
|
1
|
2
|
3
|
4
|
5
|
6
|
7
|
8
|
9
|
10
|
|
U,В
|
0.707
|
0.726
|
0.386
|
0.27
|
0.702
|
0.657
|
0.728
|
0.487
|
0.05
|
0.692
|
Расчётное значение, полученное с учётом пункта 2.3 согласно формулам
3.1,3.2
На
рисунке 3.2 представлен график дискретизированого случайного сигнала при
заданном интервале дискретизации.
Рисунок
3.2 - Дисктретизированный случайный сигнал
3.2 Квантование сигнала
Квантование импульсных отсчётов по уровню и кодирование следующий этап
преобразования сигнала. Для выполнения этого преобразования мы проведём
необходимые расчёты согласно формулам 3.3-3.8.

(3.3)
где K - динамический коэффициент, в моем
случае К=32

(3.4)
где Рш.кв - мощность шумов квантования
γ - отношение мощности сигнала к шуму
квантования, задано. γ=40

(3.5)
где Δ - шаг шкалы квантования,
n -
число уровней квантования.

(3.6)

(3.7)
где m - разрядность кодовой комбинации.
Последним по порядку, но не по значению, определяем длительность
элементарного кода

(3.8)
3.2.1 Квантование детерминированного сигнала
Используя формулы пункта 3.2, производя при необходимости их элементарные
преобразования, а также графики сигналов, полученные ранее, были рассчитаны
следующие значения:
По графику детерминированного сигнала определено максимальное напряжение

Согласно
формуле 3.3 находим минимальное напряжение, амплитуду сигнала

Выразив
из формулы 3.4 мощность шумов квантования и подставив известное значение
отношения мощности, получим

Рассчитав
число уровней квантования по формуле 3.6, и округлив его до целого

Производим
расчёт шага шкалы квантования, по формуле 3.5

А
так же разрядность года, выразив его из формулы 3.7,

Разрядность
кода обязательно округляется до целого числа, в большую сторону.
Зная
разрядность кодовой комбинации, рассчитываем длительность элементарного
сигнала, согласно формуле 3.8

3.2.2 Квантование случайного сигнала
Весь расчёт для случайного сигнала аналогичен расчёту для
детерминированного, за исключением определения максимального и минимального
напряжения. Которые находятся по амплитуде сигнала.
По графику детерминированного сигнала определено максимальное и
минимальное напряжение


Выразив
из формулы 3.4 мощность шумов квантования и подставив известное значение
отношения мощности, получим

Рассчитав
число уровней квантования по формуле 3.6, и округлив его до целого

Производим
расчёт шага шкалы квантования, по формуле 3.5

А
так же разрядность года, выразив его из формулы 3.7,

Разрядность
кода обязательно округляется до целого числа в большую сторону.
Зная
разрядность кодовой комбинации, рассчитываем длительность элементарного
сигнала, согласно формуле 3.8

3.3 Выбор сигнала для передачи
Выбор системы связи во многом определяется показателями качества, которое
в свою очередь зависит от сигнала. Здесь мы воспользуемся обобщённым
показателем равным отношению мощности шумов квантования к длительности сигнала,
формула 3.9

(3.8)
Чем меньше показатель B, тем лучше используется полоса канала связи и
меньше шумы квантования. Иными словами для передачи одного бита требуется
меньшая полоса частот, что в конечном итоге повышает ресурс системы связи.
Располагая всеми необходимыми данными произведу расчёт.
Для детерминированного сигнала

Для
случайного сигнала

В
виду полученных результатов для передачи выбран детерминированный сигнал.
4.
Цифровой сигнал и выбор АЦП
4.1 Оцифровка сигнала
Для передачи по каналу связи, аналоговый сигнал необходимо оцифровать,
для этого воспользуемся формулой 4.1

(4.1)
Таким образом мы получим порядковый номер уровня квантования:




Для
передачи в по каналу связи, я представлю данные десятичные числа, в двоичном
формате, получается для восстановления исходного аналогово сигнала будут
отправлены четыре пакета данных. Разрядность кода, учитывая предыдущие расчёты
равна шести. Пример перевода кода:
/2=9
ост 1
/2=4
ост 1
/2=2
ост 0
/2=1
ост 0
Кодовая
комбинация записывается снизу вверх, начиная с последнего результата деления по
остаткам от деления. 5-ти разрядный код дополняется нулём вначале.
Остальной
код представлен в таблице 4.1
|
Х1
|
Х2
|
Х3
|
Х4
|
Х5
|
Х6
|
|
S1
|
0
|
1
|
0
|
0
|
1
|
1
|
|
S2
|
1
|
0
|
0
|
0
|
1
|
1
|
|
S3
|
1
|
1
|
0
|
0
|
0
|
1
|
|
S4
|
1
|
1
|
1
|
0
|
1
|
1
|
Таким образом, после оцифровки сигнал имеет вид:
100011 110001 111011
4.2 Выбор АЦП расчёт статистических данных
сигнал канал связь цифровой
Перед проведением дальнейших расчётов, нам необходимо определится с
используемым аналого-цифровым преобразователем (АЦП). Так как все приведённые в
методическом указании, АЦП, соответствуют расчётным параметрам, я выбираю
следующий:
АЦП серии AD5301, с 8-ми
разрядным выходом, последовательным интерфейсом, с напряжениями соответствующими
логическим нулю и единице, это менее 0.4 В и более 2.4 В соответственно,
частота преобразования данного АЦП 167 кГц, что больше расчётной частоты
сигнала, а значит удовлетворяет условию.
Произведём расчёт статистических параметров, математического ожидания и
дисперсия по формулам 4.2,4.3

(4.2)

(4.3)
где

-
вероятность возникновения нуля или единицы
Для
расчёта вероятности используем формулу 4.4
(4.4)
где m - количество удачных исходов;
n -
общее количество вариантов.
Мой сигнал имеет 10 нулей и 14 единиц, общая длина последовательности 24
символа.
Используя формулу 4.4 получим.
Для уменьшения погрешности будем использовать граничные значения
напряжений.
5.
Характеристики модулированных сигналов
5.1 Общие сведения
Для передачи полезной информации в технике связи обычно используются
модулированные сигналы. Они позволяют решить задачи уплотнения линий связи,
электромагнитной совместимости, помехоустойчивости систем. Процесс модуляции
является нелинейной операцией и приводит к преобразованию спектра сигнала. При
гармоническом сигнале-переносчике это преобразование заключается в том, что
спектр полезного сигнала переносится в область несущей частоты в виде двух
боковых полос. Базовыми видами гармонических модуляций являются амплитудная
(АМ), частотная (ЧМ) и фазовая (ФМ).
В моём задании указана ЧМ, в общем виде запись такого, модулированного
сигнала представлена формулой 5.1
(5.1)
где А0 - амплитуда сигнала,
φ0 - начальная фаза,
ω0 - начальная частота.
5.2 Модуляция сигнала
Классический модулятор имеет два входа. На один подаётся гармонический
сигнал-переносчик, на другой - полезный сигнал с кодера. В разд. 4 подробно
рассматривались характеристики последнего сигнала, представляя его двоичной последовательностью
(оцифрованный сигнал).
Для упрощения, дальнейший расчёт будет производится для первого пакета
данных, то есть в дальнейших расчётах принимаем предаваемый сигнал как
последовательность 010011 равную в десятичном варианте числу 19. Выделенный
фрагмент временной функции представлен на рисунке 5.1
Рисунок 5.1 - Временная функция передаваемого сигнала
Данная последовательность является не регулярной, по этому её нельзя
представить рядом Фурье. Для построения данной функции использовались формулы
5.2-5.3
(5.2)
(5.3)
где Imp(t,k) - функция
задающая значение А0 при нахождении t в интервале длительности импульса,
В - кодовая последовательность, заданная вектором,
к - изменяется от 1 до 6, номер в матрице.

),(5.4)

),(5.5)
где ω1,2 - угловая частота сигнала найденная как 2πf, а f заданная частота модулируемых сигналов.
На рисунке 5.2 представлен график двух передающих сигналов,
соответствующих логической единице Am1 и логическому нулю Am2.
Рисунок 5.2 - Несущие сигналы
В виду особенностей функции синуса, или программного обеспечения
использованного для построения данных графиков, мы видим искажение заданных
параметров. Частота второго сигнала соответствующего логическому нулю, и как
следствие меньшей частоте, на графике выглядит, как сигнал имеющий большую
частоту.
На рисунке 5.3 представлен график модулированного сигнала
Рисунок 5.3 - Модулированный сигнал
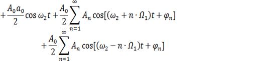
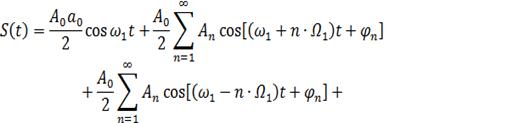
Следующим шагом становится нахождение спектра модулированного сигнала, он
будет состоять из двух несущих, каждая из которых будет иметь верхнюю и нижнюю
полосы. Формула 5.6
(5.6)
Расчёт амплитуд гармоник производится по следующим формулам. Нахождение
амплитуд несущих:
Нахождение амплитуд гармоник, входящих в нижнюю и верхнюю боковые полосы.
При расчёте ограничимся пятью гармониками.
(5.6)
где a0 = B =
2.4 В - постоянная составляющая полезного сигнала
Функция синуса в формуле 5.6 меняет знак функции. Результаты расчёта
сведены в таблицу 5.1, спектр сигнала представлен на рисунке 5.3.
Таблица 5.1 - Спектр модулированного сигнала
|
Нижняя полоса
|
Несущая
|
Верхняя полоса
|
|
Аn, мВ
|
0.018
|
0.031
|
0.092
|
0.144
|
0.092
|
0.031
|
0.018
|
|
ωn1*107рад/с
|
8.48
|
8.86
|
9.24
|
9.425
|
9.61
|
9.99
|
10.4
|
|
ωn2*107рад/с
|
7.54
|
7.72
|
8.29
|
8.48
|
8.67
|
9.05
|
9.43
|
Рисунок 5.4 - Спектр сигнала
Полоса частот занимаемая сигналом находится из разности двух граничных
частот 7.54 и 10.4 Δω=2.827*107 рад/с
6.
Согласование источника информации с
непрерывным каналом связи
Заданный сигнал был представлен кодовой комбинацией. Такая выборка
содержит полную информацию о передаваемом сигнале и сама представляет источник
информации.
Таким образом, выборки это алфавит источника информации и вероятности
букв этого алфавита равны друг другу. Такой источник имеет ряд информационных
характеристик: количество информации в знаке, энтропию, производительность,
избыточность. В дальнейшем для курсового проекта будет интересна
производительность, которая характеризует скорость работы источника и определяется
по следующей формуле 6.1:
(6.1)
где
H(a) = log2N - энтропия алфавита источника; N -
количество выборок сигнала, 
-
среднее время генерации одного знака алфавита, (интервал дискретизации) с.
Рассматривая
принципы и предельные возможности непосредственного согласования дискретного
источника сообщений с непрерывным каналом связи, следует напомнить, что в
непрерывном канале надо знать плотности распределения случайных процессов сигналов,
помех и их же условные плотности распределения.
Полоса
пропускания канала должна быть достаточной для прохождения спектра
модулированного сигнала.
Предельные
возможности согласования дискретного источника с непрерывным каналом
определяются теоремой Шеннона, которая аналогично звучит в случае дискретного
источника и дискретного канала.
Теорема
Шеннона: если дискретные сообщения, выдаваемые дискретным источником с
производительностью 
можно
закодировать так, что при передаче по Гауссову каналу с белым шумом, пропускная
способность которого C превышает 
, то
вероятность ошибки РОШ может
быть достигнута сколь угодно малой.
При
определении пропускной способности канала статистические законы распределения
помехи, сигнала, и суммы сигнала и помехи - нормальные законы с
соответствующими дисперсиями Рn, РС и РС
+Рn.
Пропускная
способность гауссова канала находится из формулы 6.2:
(6.2)
где F = 100 кГц - частота дискретизации; Рn - мощность помехи, Вт.
Мощность помехи определяется по заданной спектральной плотности мощности N0 = 5*10-15 Вт/Гц и полосе частот
модулированного сигнала Δω = 48.07∙106 рад/с:
Мощность помехи рассчитывается по формуле 5.7
(6.3)
Таким образом получаем:

,
где
N = 9- количество выборок сигнала

(6.4)

7.
Оптимальный демодулятор
Вероятность ошибки Р0 зависит от мощности (энергии) сигнала и
мощности помех, в данном случае белого шума. Известную роль играет здесь и вид
сигнала, который определяет статистическую связь между сигналами в системе. В
общем случае, формула 7.1:
(7.1)
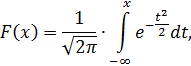
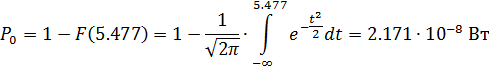
где F(x) - функция Лапласа, формула 7.2;
(7.2)
где x - аргумент функции Лапласа, формула
7.3:
(7.3)
где E - энергия разностного сигнала, Вт/Гц, формула 7.4
N0 - спектральная плотность мощности
шума.
(7.4)
Согласно выше приведённым формулам, находим:
Схема оптимального демодулятора представлена на рисунке 7.1.
Рисунок 7.1 - Схема оптимального демодулятора
Пара блоков «перемножитель - интегратор» образует коррелятор. Решающее
устройство выносит решение о том, какой сигнал принят, на основании значения
функции АКФ.
Заключение
При выполнении данной курсовой работы, изучила и повторила основы теории
сигналов, вспомнила принцип передачи сообщения по каналу связи, способы
модуляции. В процессе выполнения выполнила расчёты для детерминировынных и
случайных сигналов, разобрала принцип формирования модулированных сигналов, а
также принцип выбора сигнала для передачи.
Так же изучила новые особенности работы с дополнительным программным
обеспечением.
Библиографический список
1. Передача
дискретной информации на железнодорожном транспорте. / В.А. Кудря-шов, Н.Ф.
Семенюта. Москва. Издательская группа ЗАО «Вариант». 1999. 327 с.
.
Телекоммуникационные технологи на железнодорожном транспорте. / Под ред. Г.В.
Горелова. Москва. УМК МПС. 1999. 576 с.
.
Теоретические основы транспортной связи. / М.Я. Каллер., А.Я. Фомин. Москва.
Транспорт, 1989.
. Теория
передаи сигналов на железнодорожном транспорте. / Г.В. Горелов, А.Ф. Фомин,
А.А. Волков, В.К. Котов. Москва. «Транспорт». 1999. 416 с.
.
Характеристики сигналов в каналах связи: Методические указания к курсовому
проекту по дисциплине «Теория передачи сигналов» / Н.Н. Баженов. Омск. Омский
государственный университет путей сообщения. 2002. 48 с.