Расчёт основных проектных параметров спутниковых систем связи

  • Вид работы:
    Курсовая работа (т)
  • Предмет:
    Информатика, ВТ, телекоммуникации
  • Язык:
    Русский
    ,
    Формат файла:
    MS Word
    169,92 Кб
  • Опубликовано:
    2016-02-21
Вы можете узнать стоимость помощи в написании студенческой работы.
Помощь в написании работы, которую точно примут!

Расчёт основных проектных параметров спутниковых систем связи















Курсовая работа

по дисциплине ССРС и СИЗ

«Расчёт основных проектных параметров спутниковых систем связи»

Оглавление

Введение

. Задание

. Исходные данные

. Выбор типа модуляции

. Определение необходимой полосы частот

. Кодирование

. Выбор конкретной полосы частот

. Расчёт затухания в антенно-фидерных устройствах

. Расчёт потерь в атмосфере при минимальном угле места

. Расчёт суммарных потерь в тракте передачи

. Расчёт мощности шумов на входе приёмной системы

. Расчёт коэффициента усиления антенны, дальности связи

. Расчёт отношения сигнал/шум

. Выбор оптимального варианта построения радиосистемы

Заключение

Список литературы

Введение


Любая система связи, в конечном счете, зависит от некоторых основных системных параметров, которые и определяют качество связи.

Так, для систем спутниковой связи это тип орбиты её космического сегмента и характеристики орбиты. B целом любая спутниковая система связи состоит из трёх сегментов: космического (или космической группировки), наземного (наземные станции обслуживания, станции сопряжения), и пользовательского сегмента (непосредственно терминалы, находящиеся у потребителя).

По типу используемых орбит спутниковые системы связи делятся на два класса:

Системы со спутником на геостанционной орбите (GЕО) (высота 36 000 км; количество спутников для GEO-группировки - 3, один спутник покрывает 34% земной поверхности, задержка при передачи речи для глобальной связи - 600 мс) и негеостанционные.

Негеостанционные спутниковые системы в свою очередь подразделяются на: средневысотные MЕО (высота 5000-15000 км; количество космических аппаратов 8-12; зона покрытия одним спутником 25-28%; задержка при передаче речи 250-400 мс) и низкоорбитальные LЕО (высота - 300-2000 км; количество космических аппаратов - 48-66; зона покрытия одним спутником- 3-7%; задержка при передачи речи для глобальной связи 170-300 мс).

Большинство существующих спутниковых систем связи имеют геостанционные группировки спутниковых группировки, что легко объяснимо: небольшое количество спутников, охват всей земной поверхности. Однако большая задержка сигнала делает их применимыми, как правило, только для радио- и телевещания. Для систем радиотелефонной связи большая задержка сигнала крайне не желательна, так как приводит к плохому качеству связи и повышению стоимости пользовательского сегмента. Поэтому первоначально большинство спутниковых систем связи обеспечивали в основном фиксированную спутниковую связь (связь между стационарными объектами), и лишь с внедрением цифровых методов связи и запуском негеостанционных космических аппаратов широкое развитие получила подвижная спутниковая связь. Современные системы подвижной спутниковой связи совместимы с традиционными наземными системами подвижной связи (в первую очередь - с цифровыми сотовыми), и взаимодействие сетей подвижной спутниковой радиосвязи с телефонной сетью общего пользования возможна на любом уровне (местном, внутризоновом, междугородном).

Рисунок 1. Схема спутниковой системы связи

данной пояснительной записке к проектированию приведён пример энергетического расчёта спутниковой линии связи, расчёт основных проектных параметров системы передачи информации с космического аппарата (КA) на наземный пункт, с характеристиками в соответствии с индивидуальным заданием. Основной особенностью спутниковых линий является наличие больших потерь сигнала, обусловленных затуханием его энергии на трассах большой физической протяжённости.

Помимо этого основного затухания в пространстве, сигнал в линиях спутниковой связи подвержен влиянию большого числа других факторов, таких как поглощение в атмосфере, рефракция и т.д. С другой стороны на приёмное устройство КА и наземной станции кроме собственных флуктуакционных шумов воздействуют разного рода помехи в виде излучения из космоса, планет. Поэтому необходим учёт различных факторов, который позволяет осуществить оптимальное проектирование радиосистемы, обеспечить её уверенную работу и, в тоже время исключить излишние энергетические запасы, приводящие к неоправданному увеличению сложности земной и бортовой аппаратуры.

Основной целью проектирования является закрепление и углубление знаний, полученных при изучении сетей и систем радиосвязи, решение конкретной задачи проектирования системы.

1.      Задание


В проекте требуется рассчитать основные параметры системы передачи информации с космического аппарата на сеть наземных станций. Для чего необходимо:

Выбрать и обосновать тип модуляции.

Определить необходимую полосу частот с учётом скорости передачи и типа модуляции.

В соответствии с регламентом связи выбрать конкретную полосу частот, при этом указать в каком диапазоне она находится, дать описание диапазона.

Рассчитать затухание в антенно-фидерных устройствах с учётом длины фидера и частотного диапазона.

Определить потери в атмосфере для частотного диапазона при минимальном угле места.

Определить суммарные потери во всём тракте передачи.

Найти мощность шумов на входе приёмной системы

Рассчитать коэффициенты усиления антенны (передающей и приёмной).

Решить уравнение связи и выбрать оптимальный вариант построения системы.

2.      Исходные данные


скорость передачи информации5 Мбит/с;

средняя вероятность ошибки на битне более 10-6;

орбита - круговая, высота300 км;

диаграмма направленности передающей антенны должна обеспечивать равную плотность потока мощности сигнала в каждой точке подспутниковой зоны (зоны радиовидимости);

диапазон частот7-8 ГГц (выбрать по РС);

длина фидерного тракта (борт)1,5 м;

длина фидерного тракта (земля)4,5 м;

рабочие углы места системыболее 10о;

эквивалентная шумовая температура приемного тракта - определить самостоятельно;

Выбрать и обосновать тип модуляции, необходимость применения, вид и эффективность кодирования.

3.      Выбор типа модуляции


Как известно, значение параметра h2 зависит от расстояния между сигналами или кодовыми комбинациями ансамбля, избыточности и основания кода. При этом повышение избыточности и основания кода приводят к выигрышу по h2, но сопровождаются увеличением полосы частот, занимаемой сигналами.

Для системы с ограниченной мощностью, где имеется достаточная полоса пропускания, но есть дефицит мощности (например, системы космической связи) возможны следующие компромиссы: 1) уменьшение Рв за счёт полосы пропускания при фиксированном Еb/N0; 2) снижение Еb/N0 за счёт полосы пропускания при фиксированной Рв.

Исходя из того что проектная скорость не велика (5 Мб/с), и необходимое значение отношения сигнал/шум может достигаться при относительно малых значениях мощности передатчика. Проведя сравнение двух типов модуляций: квадратурно-амплитудного и квадратурно-фазовой-выбор остановился на последней, ввиду того что при одних и тех же вероятностях ошибки данный тип модуляции требует меньшие показатели отношения сигнал/шум. Частотная модуляция не рассматривалась ввиду того, что при её использовании увеличивается требуемая полоса частот.

Рисунок 2. Сравнение квадратурно-амплитудной и квадратурно-фазовой модуляции

Дальнейшее сравнение видов квадратурно-фазовых модуляций показало, что самым оптимальным видом является дифференциальная квадратурная фазовая модуляция с шагом π/4 (π/4-DQPSK), так как занимаемая им полоса минимальна (Ткс=2Тс) и равна 5 МГц и требуемые показатели сигнал/шум также являются минимальными. Исходя из всего этого, можно сделать вывод, что необходимое значение отношения сигнал/шум для передачи информации с заданным качеством равно 11дБ.

Рисунок 3. Сравнение видов квадратурно-фазовых модуляций

Рисунок 4. Дифференциальная квадратурная фазовая модуляция

4.      Определение необходимой полосы частот


Необходимая ширина полосы частот (НШП) - это ширина полосы частот, которая достаточна при данном классе излучения для обеспечения передачи сообщений с необходимой скоростью и качеством при определённых условиях.

Полоса частот по Найквисту, необходимая для передачи сигнала при отсутствии межсимвольной интерференции равна:


где Т- длительность канального импульса (Ткс).

Так как в нашем случае при π/4-DQPSK модуляции Ткс=2Тс, то необходимая ширина полосы частот равна 5 Мгц.

модуляция радиосистема кодирование наземный

5.      Кодирование


Так как требуемая проектная скорость не велика, и выбранный вид модуляции способен обеспечить заданное качество передачи информации, то от кодирования решено было отказаться в виду усложнения, и, следовательно, удорожания проекта при его применении.

6.      Выбор конкретной полосы частот


В соответствии с Регламентом Связи выберем диапазон частот, в котором будет работать проектируемая система. По заданию этот диапазон должен находиться в пределах 7-8 ГГц. Возьмём диапазон в который укладывается рассчитанная НШП, равный 7,25-7,30 ГГц. Этот диапазон предназначен для фиксированной, фиксированной спутниковой (космос - Земля) и подвижной связи.

В соответствии с Регламентом Связи данное излучение будет иметь обозначение: 5М00G1DDN

Пятый символ - тип модуляции. G - фазовая модуляция.

Шестой символ - характер сигнала модулирующего основную несущую, 1 - Один канал, содержащий квантованную или цифровую информацию без использования модулирующей поднесущей.

Седьмой символ - тип передаваемой информации, D - Передача данных, телеметрия, телеуправление

Восьмой символ - подробная информация о сигнале, D - Четырехпозиционный код, в котором каждая позиция представляет элемент сигнала (из одного или нескольких бит)

Девятый символ - характер уплотнения, N - без уплотнения.

7.      Расчёт затухания в антенно-фидерных устройствах


Затухание в АФУ определим, пользуясь справочником. В качестве фидеров будем использовать прямоугольный волновод. Так как сигналы будут передаваться в диапазоне 7,25-7,30ГГц, то интервал рабочих длин волн будет 4,11-4,14 см. Данный волновод имеет размеры 2,85х1,25 см. Коэффициент полного затухания такого волновода равен: а=0,073 дБ/м.

В соответствии с исходными данными длины фидерных линий lз=4,5м (для земной приёмной антенны) и lб=1,5м (для бортовой передающей антенны). С учетом этого затухание в АФУ:


8.      Расчёт потерь в атмосфере при минимальном угле места


В диапазоне частот, выделенных для спутниковых систем связи влияние атмосферы проявляется в виде ослабления (поглощения) радиоволн в тропосфере и ионосфере, искривления траектории луча в результате рефракции изменения формы и вращения плоскости поляризации радиоволн и появления помех, обусловленных тепловым излучением атмосферы и шумами поглощения.

Установлено, что в диапазонах частот свыше 500 МГц основное поглощение осуществляется тропосферой, а точнее, газами тропосферы: кислородом, водяными парами, а также дождём и прочими гидрометеорами.

Поглощение в спокойной (невозмущённой) атмосфере без гидрометеоров определяется величиной Lа. Данное поглощение представляет собой как бы постоянную составляющую потерь, имеющих место в течение 100% времени. Для разных диапазонов частот, минимальных углов места значение этого параметра будет разным.

Рисунок 5. Частотная зависимость поглощения радиоволн в спокойной атмосфере

Рисунок 6. Зависимость поглощающей способности земной атмосферы от длины волны

Воспользуемся приведёнными графиками зависимости поглощения радио волн в спокойной атмосфере от частоты при различных углах места антенны земной станции, определим величину Lа. Для диапазона 7 ГГц и угла места приёмной антенны 10о получим Lа=3 дБ.

Оценка затухания в гидрометеорах оказывается задачей более сложной, чем в спокойной атмосфере, поскольку величина поглощения Lд зависит от вида гидрометеоров (дождь, снег туман), интенсивности осадков, размеров зоны их выпадения и распределения интенсивности по зоне. Наибольшее ослабление вносят жидкие гидрометеоры (дождь, туман, мокрый снег), ослабление в твёрдых структурах (град, сухой снег) значительно меньше. Наличие взвешенных частиц - аэрозолей, практически не влияет на поглощение сигнала и в обычных условиях не учитываются. На основании изложенной методики можно определить затухание радиоволн в дожде не превышаемое в течение заданного процента времени года или наихудшего месяца.

Рисунок 7. Зависимость поглощения радиоволн в тумане и дожде от частоты

Из приведённого графика зависимости затухания в дожде Lд от частоты при вероятности Тд=0.1% определим значение Lд для диапазона 7ГГц. Lд=0.4дБ.

Потери из-за неточности наведения антенны Lн так же, как и Lд носят случайный характер.

Данные потери определяются угловыми отклонениями оси главного лепестка диаграммы направленности от истинного направления на ИСЗ, а также шириной и формой этого лепестка.

Примем, что погрешность направления диаграммы направленности не превышает ширины её диаграммы направленности по уровню половинной мощности, следовательно, потери не будут превышать 3дБ, т.е. Lн=3дБ.

Дополнительные потери в атмосфере, обусловленные влиянием рассмотренных выше факторов, определим как:

Lдоп= Lа + Lд + Lн, дБ,

Таким образом, получим величину дополнительных потерь, равную:доп = 3+0,4+3 = 6,4дБ.

9.      Расчёт суммарных потерь в тракте передачи


Суммарные потери во всём тракте передачи информации исключают потери, связанные со свободным распространением радиоволн в вакууме, и включают в себя потери в АФТ и дополнительные потери в атмосфере:


Рассчитанные по данной формуле суммарные потери будут равны:

Округлим получившееся значение до 7дБ и переведём дБ в разы, учитывая, что эти потери являются отрицательными:


10.    Расчёт мощности шумов на входе приёмной системы


В диапазонах частот, где работают спутниковые системы шумы, создаваемые различными источниками, имеют аддивный характер, поэтому суммарная мощность достаточно полно выражается формулой:


Где k - постоянная Больцмана, k=1.38∙10-23 Дж/К;

Т - эквивалентная шумовая температура внутренних и внешних шумов;

Δf - эквивалентная шумовая полоса приёмника.

Дадим количественную характеристику величин, входящих в эту формулу. Эквивалентная шумовая полоса приёмника - это и есть наша рабочая полоса частот, т.е. НШП, рассчитанная в пункте 4. Таким образом: Δf =5,0МГц.

Полная эквивалентная шумовая температура приёмной системы, состоящей из антенны, волнового тракта, и собственно приёмника, пересчитанная к входу МШУ (малошумящего усилителя) примем равной 273 К.

Исходя из этого, определим мощность шумов на входе приёмной системы:

Рш =1,38∙10-23∙273∙106 =3,76∙10-15

11.    Расчёт коэффициента усиления антенны, дальности связи


Коэффициентом усиления антенны называется отношение квадрата напряжённости электрического поля, создаваемой в данном направлении к квадрату напряжённости поля, создаваемого воображаемым абсолютно ненаправленным излучателем.

Коэффициент усиления передаточной антенны показывает во сколько раз квадрат направленности поля, создаваемый антенной в данной точке приёма, превышает квадрат напряжённости поля, создаваемый в той же точке эталонной антенной с КПД=1.

В нашей системе необходимо применить такое бортовое передающее антенное устройство, которое бы обеспечило равную плотность потока мощности в любой точке подспутниковой зоны связи в пределах радиовидимости. Для расчёта максимальной дальности связи воспользуемся формулой:

,

где R=6371км (радиус Земли), Н=300 км (высота круговой орбиты), α=10о (минимальный рабочий угол места). RCB=2537 км.

Т.к. плотность потока мощности у поверхности Земли определяется выражением:


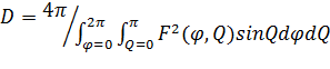
Коэффициент усиления антенны должен быть пропорционален квадрату дальности для любой подспутниковой точки. Такая диаграмма направленности называется воронкообразной.

Запишем известное выражение коэффициента направленного действия антенны:

- Величина отклонения оси от надира; φ - азимут.




При этом диаграмма направленности описывается выражением:


Перемножив D и DDD, получим выражение для коэффициента усиления антенны в зависимости от угла α

=D∙DDD

получаем G = 1,25

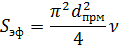
Для дальнейших расчётов нам потребуется значение Эффективной площади приёмной антенны, т.е. площадь, которая максимально используется при приёме антенной потока мощности.

прм- диаметр приёмной антенны, v - коэффициент использования поверхности антенны.

Коэффициент использования поверхности антенны равен 0,4, диаметр приёмной антенны возьмём 0,5м, тогда: Sэф=0,246

12.    Расчёт отношения сигнал/шум


Для решения задачи, связанной с оптимизацией спутниковых систем, будем пользоваться основным уравнением радиосвязи для одного участка передачи:


где Р - мощность передающего устройства, G - коэффициент усиления передающей антенны, R - максимальная дальность связи.

Все величины, входящие в состав данного выражения мы вычислили в предыдущих пунктах курсового проекта. Мощность передающего устройства примем равной 20Вт.

Переведём в дБ:

h2 =15,856 дБ.

Значение данного соотношения сигнал/шум удовлетворяет теоретическому условию (11дБ), при котором осуществляется передача информации с заданным уровнем качества, следовательно, система с такими параметрами будет жизнеспособна.

13.    Выбор оптимального варианта построения радиосистемы


Расчёт энергетического потенциала системы достаточность требуемого уровня отношения сигнал/шум для заданной вероятности ошибочного приёма в канале, что позволяет обойтись без помехоустойчивого кодирования. В целях более экономичного использования системы радиосвязи подберём наиболее оптимальный вариант реализации, который позволит работать при той же вероятности ошибки.

Рассмотренные варианты сведём в таблицу.

Таблица 1.

Параметр

Вариант 1

Вариант 2

Вариант 3

Вариант 4

Вариант 5

Диаметр приёмной антенны, м

0,5

0,5

0,25

0,75

1

Излучаемая мощность передающей антенны, Вт

20

10

30

5

2

Отношение сигнал/шум

38,515

19,257

14,443

21,665

15,406

Отношение сигнал/шум, дБ

15,856

12,846

11,579

13,357

11,877

Запас по мощности

3,059

1,53

1,147

1,721

1,224

Запас по мощности, дБ

4,856

1,846

0,597

2,357

0,877


Выбор варианта зависит от параметра, за счёт которого решено производить оптимизацию. Если необходимо максимально уменьшить диаметр приёмной антенны, то целесообразно использовать систему с параметрами Варианта №3, если необходимо добиться минимальной мощности передатчика - то Вариант №5. Но самым оптимальным вариантом является Вариант №2, так как здесь максимальные показатели запаса мощности достигаются при минимальных значениях параметров самой системы.

Заключение


В процессе выполнения данного проекта был произведён расчёт основных проектных параметров системы передачи, выбран оптимальный метод модуляции. Решено уравнение связи с учётом возможных потерь. Также была проведена оптимизация рассматриваемой системы.

Список литературы


1.      Спутниковая связь и вещание: Справочник - под редакцией Кантора Л.Я. - Москва, 2008г.

.        Справочник по элементам волноводной техники - Фельдштейн А.Л., Явич Л.Р., Смирнов В.П. - Москва, 2012г.

.        Антенно-фидерные устройства: Учебник - под редакцией Кочержевского Г.Н. - Москва, 2012г.

.        Регламент радиосвязи РФ - Москва, 2009г.

.        Цифровая связь. Теоретические основы и практическое применение: Учебник - Бернард Скляр - Москва, 2013г.

Похожие работы на - Расчёт основных проектных параметров спутниковых систем связи

 

Не нашли материал для своей работы?
Поможем написать уникальную работу
Без плагиата!
Без нейросетей!