Мова програмування С++

  • Вид работы:
    Курсовая работа (т)
  • Предмет:
    Информационное обеспечение, программирование
  • Язык:
    Украинский
    ,
    Формат файла:
    MS Word
    187,94 Кб
  • Опубликовано:
    2016-06-02
Вы можете узнать стоимость помощи в написании студенческой работы.
Помощь в написании работы, которую точно примут!

Мова програмування С++

Міністерство освіти і науки України

Черкаський художньо-технічний коледж

Циклова комісія «Комп’ютерні науки та ВПС»










КУРСОВА РОБОТА

з дисципліни алгоритмізація та програмування

на тему: мова програмування с++

Студента II курсу МС - 22 групи

Спеціальності 5.05010101 Обслуговування

програмних систем та комплексів

Ємелянов С.А. Керівник

Викладач Захарчун Д. М.




м. Черкаси - 2014 рік

Анотація

Записка 33 с., 1ч., 18 рис., 14 джерел,

ФУНКЦІЯ, РОЗГАЛУЖЕННЯ, ЦИКЛ,. СТРУКТУРИ, МАСИВ, ДВОЗВ’ЯЗНИЙ СПИСОК, ЗМІННА

Об'єктом розробки є програми з використання різних алгоритмічних структур

Мета роботи - розробка консольних програм мовою с++, що включає різні алгоритмічні структури:

Лінійні алгоритми;

Розгалуження

Циклічні алгоритми

Функції та процедури

Структури

Динамічні структури даних

В результаті розробки було спроектовано і реалізовано 10 додатків з використанням різних алгоритмічних структур.

Зміст

ЗАВДАННЯ 1. Розробка та виконання простих програм

ЗАВДАННЯ 2. Розробка та виконання програм з розгалуженням

ЗАВДАННЯ 3. Розробка та виконання програм з використанням функцій

ЗАВДАННЯ 4. Розробка та виконання програм з використанням масивів

ЗАВДАННЯ 5. Розробка та виконання програм з використанням рядків

ЗАВДАННЯ 6. Розробка та виконання програм з використанням функцій

ЗАВДАННЯ 7. Розробка та виконання програм з використанням структур

ЗАВДАННЯ 7. Динамічні структури даних

Висновок

Список використаної літератури

ЗАВДАННЯ 1. Розробка та виконання простих програм


Постановка задачі. Написати програму обчислення вартості поїздки на автомобілі на дачу (туди і назад). Початковими даними є: відстань до дачі (км); кількість бензину, яка споживає автомобіль на 100 км пробігу; ціна одного літра бензину. Нижче приведений вид екрану під час виконання програми, що рекомендується (дані, які вводяться користувачем, виділені напівжирним шрифтом).

Обчислення вартості поїздки на дачу і назад.

Введіть початкові дані: Відстань до дачі (км) > 67

Витрата бензину (літрів на 100 км пробігу) > 8.5

Ціна літра бензину (грн.) > 6.5

Поїздка на дачу і назад обійдеться в 74.04 грн.

Блок-схема:


Програма на мові С++

// t1z1.cpp: определяет точку входа для консольного приложения.

//

#include "stdafx.h"

#include<stdio.h>

#include<iostream>

#include <clocale>namespace std;_tmain(int argc, _TCHAR* argv[])

{(LC_ALL,"Russian");S,L,C,Sum;<<"Введiть початковi данi\n";<<"Вiдстань до дачi (км)\n";>>S;<<"\nВитрата бензину (лiтрiв на 100 км пробiгу)\n";>>L;<<"\nЦiна лiтра бензину (грн.)\n ";>>C;=(S*L/100)*C*2;<<"\nПоїздка на дачу i назад обiйдеться в "<<Sum<<" грн";("pause");0;

}

Результат роботи програми


Постановка задачі. Написати програму обчислення струму, по відомих значеннях напруги і опору електричного ланцюга.

програма масив рядок функція

Блок-схема:


Програма на С++

// t1z2.cpp: определяет точку входа для консольного приложения.

//

#include "stdafx.h"

#include<stdio.h>

#include<iostream>

#include <clocale>namespace std;_tmain(int argc, _TCHAR* argv[])

{(LC_ALL,"Russian");U,R,I;<<"Введiть початковi данi\n";<<"Напруга (В)\n";>>U;<<"\nОпiр (Ом)\n";>>R;=(U/R);<<"\nСила струму "<<I<<" А\n";("pause");0;

}

Результат роботи програми


ЗАВДАННЯ 2. Розробка та виконання програм з розгалуженням


Постановка задачі. Написати програму, яка виводить приклад множення двох однозначних чисел, запрошує відповідь користувача, перевіряє його і виводить повідомлення "Правильно" або "Ви помилилися" і правильний результат


Програма на мові С++

// t2z1.cpp: определяет точку входа для консольного приложения.

//

#include "stdafx.h"

#include<stdio.h>

#include<iostream>

#include <clocale>namespace std;_tmain(int argc, _TCHAR* argv[])

{(LC_ALL,"Russian");a,b,C,Sum;<<"Введiть число а\n";>>a;<<"Введiть число b\n";>>b;<<"\nВаша вiдповiдь?\n";>>C;=a*b;(Sum==C)

{<<"\nПравильно! a*b="<<Sum<<"\n";

}

{<<"\nВи помилились! a*b="<<Sum<<"\n";

}("pause");0;

}

Результат роботи програми

програма масив рядок функція

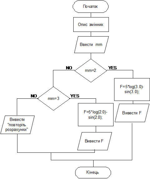
Постановка задачі. Розробіть програму, яка виконає наступні обчислення. Якщо ознака mm=2, вона обчислить значення функції f = 5ln( x) -sin( x) при х=3. Якщо ознака mm=3, вона обчислить значення функції при х=2. У решті випадків (при інших значеннях mm) видасть на екран монітора фразу: «Повторіть розрахунки».

Блок-схема:


Програма на мові С++

// t2z2.cpp: определяет точку входа для консольного приложения.

//

#include "stdafx.h"

#include<math.h>

#include<stdio.h>

#include<iostream>

#include <clocale>namespace std;_tmain(int argc, _TCHAR* argv[])

{(LC_ALL,"Russian");mm,F;<<"Введiть mm\n";>>mm;(mm==2)

{=5*log(3.0)-sin(3.0);<<"значення функцiї: F="<<F<<"\n";

}if(mm==3)

{=5*log(2.0)-sin(2.0);<<"значення функцiї: F="<<F<<"\n";

}

{<<"\nПовторiть розрахунки\n";

}("pause");0;

}

Результат роботи програми


ЗАВДАННЯ 3. Розробка та виконання програм з використанням функцій


Постановка задачі. Написати функцію, що розраховує відсотки за вкладом в залежності від виду та розміру вкладу

Блок-схема:


Програма на мові С++

// t3.cpp: определяет точку входа для консольного приложения.

//

#include "stdafx.h"

#include<stdio.h>

#include<iostream>

#include <clocale>namespace std;_tmain(int argc, _TCHAR* argv[])

{(LC_ALL,"Russian");mm;ser=0;(int i=1;i<6;i++)

{<<"Введiть число №"<<i<<"\n";>>mm;+=mm;=0;

}=ser/5;<<"\nCереднє арифметичне - "<<ser<<"\n";("pause");0;

}

Результат роботи програми


ЗАВДАННЯ 4. Розробка та виконання програм з використанням масивів


Постановка задачі. Написати програму, яка об'єднує два впорядкованих за збільшенням масиву в один, також упорядкує масив

Блок-схема:


Програма на мові С++

// t4.cpp: определяет точку входа для консольного приложения.

//

#include "stdafx.h"

#include <clocale>

#include <iostream>

#include <string>namespace std;main()

{n,m,x,s;(LC_ALL,"Russian");<< "Розмiр першого масиву\n";>> n;*a = new int[n];<< "Введiть перший масив\n";(int i=0; i<n; i++)

{>> a[i];

}<< "Розмiр другого масиву\n";>> m;*b = new int[m];<< "Введiть другий масив\n";(int i=0; i<m; i++)

{>> b[i];

}= n + m;*c = new int[x];(int i=0; i<n; i++)

{[i] = a[i];

{[i] = b[i - n];

}(int i=0; i<x; i++)

{(int j=0;j<x-1;j++)

{(c[j]>c[j+1])

{=c[j];[j]=c[j+1];[j+1]=s;

}

}

}(int i=0; i<x; i++)

{<< c[i] << " ";

}("pause");0;

}

Результат роботи програми


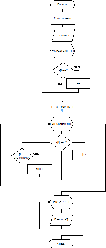
ЗАВДАННЯ 5. Розробка та виконання програм з використанням рядків


Постановка задачі. Сформувати масив, елементи якого містять кількість голосних літер у словах речення

Блок-схема:


Програма на мові С++

// t5.cpp: определяет точку входа для консольного приложения.

//

#include "stdafx.h"

#include <clocale>

#include <string>

#include <iostream>

#include <string>namespace std;main()

{(LC_ALL,"Russian");n=0,j=0;s;<< "Введiть речення\n";(cin, s);(int i=0; i<s.length()-1; i++)

{(s[i]==' ')

{++;

}

}*a = new int[n+1];(int i=0;i<n+1;i++)

{[i]=0;

};(int i=0; i<s.length(); i++)

{(s[i] == ' ')

{++;

}{((s[i]=='а') || (s[i]=='е') || (s[i]=='и') || (s[i]=='і') || (s[i]=='о') || (s[i]=='у') )

{[j]++;

}

}

};(int i=0;i<n+1;i++)

{<< a[i]<<"\t";

}("pause");0;

}

Результат роботи програми


ЗАВДАННЯ 6. Розробка та виконання програм з використанням функцій


Постановка задачі. Написати функцію, що розраховує відсотки за вкладом в залежності від виду та розміру вкладу

Блок-схема:


Програма на мові С++

// t6.cpp: определяет точку входа для консольного приложения.

//

#include "stdafx.h"

#include<stdio.h>

#include<iostream>

#include <clocale>namespace std;vklad(int n, double sum)

{Vkl;(n)

{1: Vkl=sum*0.137; break;2: Vkl=sum*0.1375; break;3: Vkl=sum*0.14; break;

}<<"Вiдсоток становитиме: "<<Vkl<<" грн\n";

}_tmain(int argc, _TCHAR* argv[])

{n;sum;(LC_ALL,"Russian");<<"Види вкладiв\n";<<"1. Унiверсальний (1 рiк) 13,7%\n";<<"2. Ощадний (1 рiк) 13,75%\n";<<"2. Бонус (1 рiк) 14%\n ";<<"\n Ваш вибiр?\n ";>>n;<<"\n Введiть суму\n ";>>sum;(n,sum);("pause");0;

}

Результат роботи програми


ЗАВДАННЯ 7. Розробка та виконання програм з використанням структур


Постановка задачі. У звіті зберігається інформація: назва підприємства, прибуток підприємства за місяць, нарахування на зарплатню. Відсортувати цей звіт у порядку зменшення прибутку і вивести на екран інформацію з трьох найбільш прибуткових підприємств

Блок-схема


Програма на мові С++

// t7.cpp: определяет точку входа для консольного приложения.

//

#include "stdafx.h"

#include<stdio.h>

#include<iostream>

#include <string>namespace std;_tmain(int argc, _TCHAR* argv[])

{(LC_ALL,"Russian");Pidpr {name;zarobitok;zp;

};pidpr[5];zrp,zp1;names;

//введення початкової інформації(int i=0;i<5;i++)

{cout<<"\nВведiть назву пiдприємства: ";>>pidpr[i].name;<<"\n Введiть прибуток пiдприємства: ";>>pidpr[i].zarobitok;<<"\n Введiть нарахування на зарплатню: ";>>pidpr[i].zp;

}(int i=0;i<4;i++) //сортування

{(pidpr[i].zarobitok<pidpr[i+1].zarobitok)

{=pidpr[i].zarobitok;[i].zarobitok=pidpr[i+1].zarobitok;[i+1].zarobitok=zrp;=pidpr[i].name;[i].name=pidpr[i+1].name;[i+1].name=names;=pidpr[i].zp;[i].zp=pidpr[i+1].zp;[i+1].zp=zp1;

}

}(int i=0;i<3;i++) // виведення 3-ьох найприбутковіших підприємств

{<<pidpr[i].name<<"\t"<<pidpr[i].zarobitok<<"\t"<<pidpr[i].zp<<"\n";

}("pause");

}

Результат роботи програми


ЗАВДАННЯ 7. Динамічні структури даних


Постановка задачі. Реалізувати двозв'язний список з розгалуженнями для зберігання і операцій з даними виду: Ім'я Послідовність чисел Забезпечити виконання операцій: · додавання елементів в список; · пошук і роздрукування елементу в списку; · видалення елементу із списку; · підрахунок елементів в списку.

Блок-схема:


Програма на мові С++

// t8.cpp: определяет точку входа для консольного приложения.

//

#include "stdafx.h"

#include <iostream>

#include <stdio.h>

#include <conio.h>

#include <string>

#include <clocale>namespace std;city

{name;city *next;city *previous;

};*head=NULL;*last=NULL;*current=NULL;*temp=NULL;*newList=NULL;

/* Процедура дадання елемента */add_name(string s)

{(head!=NULL)

{=new city;>name=s;>next=NULL;>previous=current;>next=newList;=newList;=newList;

}

{=new city;>name=s;=newList;>next=NULL;>previous=NULL;=newList;=head;

}

}

/* Пошуку елемента */search_unit(string name)

{=head;(newList!=last->next)

{(newList->name==name)

{<<"елемент знайдено\n";

}=newList->next;

}

}

/* Процедура видалення */delete_unit(string name)

{=head;(newList){(newList->name==name)

{(newList==head){=head->next;(head)>previous=NULL;=NULL;(current==newList)=head;newList;;

}(newList==last){=last->previous;(last)>next=NULL;(current==newList)=last;newList;;

}>previous->next=newList->next;>next->previous=newList->previous;=newList->previous;newList;;

}=newList->next;

}

}

/* Процедура виводу списка зліва направо */show_list(void)

{city *info;= head;(info)

{<<info->name<<" ";= info->next;

}<<"\n";

}

/* Процедура виводу списка справа наліво */show_list_1(void)

{city *info;= last;(info)

{<<info->name<<" ";= info->previous;

}<<"\n";

}

/* Основна програма */main(void)

{(LC_ALL,"Russian");enter_name;key=-1;(key)

{<<"1. Ввести iмя\n";<<"2. Видалити iмя\n";<<"3. Показати список\n";<<"4. Показати список з кiнця\n";<<"5. Пошук\n";<<"0. Вихiд\n";>>key;(key)

{1:

{<<"Введiть iмя або натиснiть ENTER для виходу \n";>>enter_name;_name(enter_name);;

}2:

{<<"Введiть iмя для видалення\n";>>enter_name;_unit(enter_name);();;

}3:

{<<"Cписок злiва направо:\n";_list();;

{<<"Список зправа налiво\n";_list_1();;

}5:

{<<"Введiть iмя для пошуку ";search_name;>>search_name;_unit(search_name);();;

}0:

{<<"Вихiд\n";();;

}:

{<<"Помилка\n";();;

}(key==0) break;

}

}0;

}

Результат роботи програми


Висновок


В ході виконання курсової роботи з дисципліни «Алгоритмізація та програмування» було розроблено 10 програми мовою С++ в середовищі visual studio 2010. Під час проектування і розробки було розглянуто і вивчено основні алгоритмічні структури даної мови, а також застосовано на практиці отримані знання з курсу «Алгоритмізація та програмування»

Список використаної літератури


1. Ахо Альфред В., Хопкрофт Джон Ульман, Джеффри, Д. Структуры данных и алгоритмы : Пер. с англ. : Уч. пос. - М. : Издательский дом "Вильяме", 2000. - 384 с.

. Ван Тассел Д. Стиль, разработка, отладка и испытание программ. - М.: Мир,1985.

. Глушаков С В. и др. Язык программирования С++. - Харьков: Фолио. 2002. - 500 с.

. Дейтел Х.М., Дейтел П-Дж. Как программировать на С++. - М.:ЗАО «Издательство ВИНОМ», 2000 г. - 1024 с.

. Жешке Р. Толковый словарь стандарта языка Си - С.-Петербург: Пи-гер,1994. - 221с.

. Керниган Б., Ритчи Д. Язык программирования Си: Пер. .с англ. - М.: Финансы и статистика, 1992. - 272 с.

. Ковалюк Т.В. Основи програмування. - К.: Видавнича група BHV, 2005.

. Матьяш В.А., Путилов В.А., Фильчаков В.В. , Щёкин С.В. Структуры и алгоритмы обработки данных - Апатиты, КФ ПетрГУ, 2000. - 80 с.

. Подбельский В.В. Язык Си++: Учеб. пособие. - М.: БИНОМ, 1995. - 400с.

.Проценко В.С. Техніка програмування мовою С: Навчальний посібник. - К.:Либідь, 1993. - 224 с.

.Страуструп Б. Язык программирования С++. Часть 1. - Киев: "Диа-Софт", 1993. - 264с.

.Страуструп Б. Язык программирования С++. Часть 2. - Киев: "Диа-Софт", 1993. - 296с.

.Шилд Г., Программярование на языке C++ - М.: Высшая школа, 2002. - 584 с.

.Шпак З.Я. Програмування мовою С. - Львів: Оріяна-Нова, 2006.


Не нашли материал для своей работы?
Поможем написать уникальную работу
Без плагиата!
Без нейросетей!