Проектирование LC фильтра низких частот

  • Вид работы:
    Курсовая работа (т)
  • Предмет:
    Информатика, ВТ, телекоммуникации
  • Язык:
    Русский
    ,
    Формат файла:
    MS Word
    574,08 Кб
  • Опубликовано:
    2016-06-09
Вы можете узнать стоимость помощи в написании студенческой работы.
Помощь в написании работы, которую точно примут!

Проектирование LC фильтра низких частот

Министерство образования и науки Российской Федерации

Федеральное государственное автономное образовательное учреждение высшего образования

Дальневосточный федеральный университет

Инженерная школа

Кафедра автоматизации и управления




Пояснительная записка к курсовому проекту

по дисциплине «Интегральные устройства радиоэлектроники»

на тему:

Проектирование LC фильтра низких частот












г. Владивосток - 2015 г.

Содержание

Введение

. Анализ задания на курсовое проектирование

. Электрические расчеты

. Эскизная компоновка

. Конструкторские расчеты

.1 Катушка индуктивности

.2 Конденсатор

.3 Печатная плата

.4 Выводы

.5 Корпус

.6 АЧХ фильтра низких частот

Заключение

Список использованных источников


Введение

В наше время, в различных устройствах широко используются методы формирования и обработки сигнала. Одним из устройств обработки спектра электрического сигнала - является частотный фильтр. В данном курсовом проекте стоит задача проектирования пассивного LC фильтра низких частот. Фильтр нижних частот является устройством, которое без изменений передает сигналы нижних частот, а на высоких частотах обеспечивает затухание сигналов и запаздывание их по фазе относительно входных сигналов.

Фильтры имеют очень высокую область применения. LC фильтры используются в силовых электрических цепях для гашения помех и для сглаживания пульсаций напряжения после выпрямителя. В каскадах радиоэлектронной аппаратуры часто применяются перестраиваемые LC фильтры, например, простейший LC-контур, включенный на входе средневолнового радиоприёмника обеспечивает настройку на определённую радиостанцию.

Фильтры используются в звуковой аппаратуре в многополосных эквалайзерах для корректировки АЧХ, для разделения сигналов низких, средних и высоких звуковых частот в многополосных акустических системах, в схемах частотной коррекции магнитофонов и др.

Конкретный фильтр разрабатывается с учетом морского исполнения.


1. Анализ задания на курсовое проектирование

Задание на курсовой проект включает в себя следующие данные:

    частота среза - fср = 100 МГц

-        тип фильтра - НЧ

         характеристика фильтра по используемым элементам - LC (пассивный)

         затухание АЧХ - 12 дб/октава

         тип исполнения - морское

Сопротивление нагрузки выбирается произвольно:

    Rн = 50 Ом

Этих данных достаточно для проектирования данного фильтра, поэтому никакие уточнения и дополнения не требуются.

НЧ и ВЧ фильтр отличаются компоновкой принципиальных элементов. В НЧ фильтре последовательно подключены катушки и параллельно конденсаторы. В ВЧ фильтре в точности наоборот.

Принцип работы ФНЧ заключается в том, что на низких частотах сопротивление индуктивного элемента фильтра мало, а емкостного - велико и электрические колебания проходят со входа на выход почти без ослабления. С увеличением частоты сопротивление индуктивного элемента возрастает, а емкостного - снижается и коэффициент передачи фильтра уменьшается.

Различные методы проектирования фильтров, отличаются гладкостью АЧХ на полосе пропускания. Существует 3 вида самых часто используемых пассивных фильтров:

    Фильтр Баттерворта - проектируется так, чтобы его амплитудно-частотная характеристика была максимально гладкой на частотах полосы пропускания.

-        Фильтр Чебышёва - отличительной особенностью которого является более крутой спад амплитудно-частотной характеристики (АЧХ) и существенные пульсации амплитудно-частотной характеристики на частотах полос пропускания (фильтр Чебышёва I рода) и подавления (фильтр Чебышёва II рода), чем у фильтров других типов.

         Эллиптический фильтр (Кауэра) - характерной особенностью которого являются пульсации амплитудно-частотной характеристики как в полосе пропускания, так и полосе подавления. Величина пульсаций в каждой из полос независима друг от друга. Другой отличительной особенностью такого фильтра является очень крутой спад амплитудной характеристики, поэтому с помощью этого фильтра можно достигать более эффективного разделения частот, чем с помощью других линейных фильтров.

Ниже, для наглядности, приведены АЧХ каждого из фильтров

Рис 1.1 АЧХ различных видов фильтров

Проектируемый фильтр имеет низкие показания спада АЧХ, поэтому практичней всего использовать фильтр Баттерворта, так как он обеспечивает гладкую АЧХ, дает нам нужный спад и прост в проектировании.

Порядок фильтра определяется количеством реактивных элементов в цепи. В простейшем виде НЧ фильтр 1-го порядка представляет собой катушку индуктивности последовательно включенную с нагрузкой.

Рис 1.2 НЧ фильтр 1-го порядка

При увеличении частоты, прямо пропорционально увеличивается сопротивление катушки, соответственно уменьшается коэффициент передачи фильтра.

Каждый реактивный элемент в фильтре дает спад АЧХ 6 дб/октава.

Проектируемый фильтр имеет частоту спада 12 дб/октава, поэтому его порядок 2. Он будет состоять из двух элементов: катушки и конденсатора:

Рис 1.3 НЧ фильтр 2-го порядка

Ниже приведены АЧХ фильтров с различными порядками:

Рис 1.3 АЧХ фильтров различных порядков, где n - это порядок фильтра

Так же, при проектировке фильтров, необходимо учесть тот факт, что срез по частоте начинается с ослабления в 3 дБ, то есть при уменьшении амплитудного значения до 0.707 от максимального значения.

Согласно ГОСТ 15150-69: фильтр разрабатывается с условием использования его в морском умеренном климате, для эксплуатации под навесом или в помещениях, где колебания температуры и влажности воздуха не существенно отличаются от колебаний на открытом воздухе. Высота эксплуатации до 1000 м. Верхнее рабочее значение атмосферного давления составляет 106,7 кПа (800 мм рт. ст.) Рабочая температура эксплуатации: от +40°С до -30°С; предельная рабочая температура эксплуатации: от +45°С до -40°С. Среднегодовое значение относительной влажности: 80% при 22°С; верхнее значение относительной влажности: 100% при 25°С. Содержание коррозионно-активных агентов: Сернистый газ не более 20 мг/(м2·сут) (не более 0,025 мг/м3); хлориды от 30 до 300 мг/(м2·сут).

При влажности 100% наблюдается конденсация влаги, поэтому необходимо изготовить полностью герметичный корпус.

2. Электрические расчеты

На практике обычно величины элементов фильтра нормируются для частоты среза 1 рад/с при сопротивлении нагрузки 1 Ом. Для преобразования нормированных величин в реальные их необходимо умножить на коэффициент преобразования. Например нормированная индуктивность и ёмкость умножаются на постоянные KL и Kс, которые можно вычислить с помощью следующих формул:


где R- сопротивление нагрузки; fc - частота среза.


Нормированные значения элементов для фильтра Баттерворта приводятся в табл. П.1.1. Требуемые значения элементов получаются в результате умножения нормированных значений на постоянную преобразования:


На данном этапе электрические расчеты окончены.

3. Эскизная компоновка

Проектируемый фильтр работает на высоких частотах, поэтому размер компонентов будет достаточно мал.

Исходя из ГОСТ 28884-90 “Ряды предпочтительных значений для резисторов и конденсаторов” Табл. П3.1: стандартный наиболее близкий номинал будет равен 4,7. Поэтому сочтем номинал нашего конденсатора 47 пФ с допуском 10%. Тип конденсатора: керамический, так как он дешёвый, миниатюрный, обладает превосходными высокочастотными характеристиками и хорошей надёжностью. Его размер (длина) не будет превышать 5 мм. Так же он обеспечивает нужный нам допуск и рабочую температуру.

Катушку необходимо будет изготовить самостоятельно. Учитывая столь малую индукцию, удобно использовать соленоид. Из-за высокой частоты он будет не больших размеров, не более 5-7 мм. В качестве обмотки будет использоваться: провод медный эмалированный обмоточный.

Печатная плата будет представлять из себя одностороннюю жесткую плату. Материалом служит стеклотекстолит.

В качестве выводов будут использованы провода, по 2 с каждой стороны. На их концах будут разъёмы плоские полностью изолированные. На входе фильтра использован разъём типа “мама”, на выходе типа “папа”.

Корпус изготовлен технологией горячей штамповки из фторопласта. Данный материал обладает высокой химической стойкостью (в том числе к кислотам и щелочам), не смачивается водой, и имеет необходимые показатели термостойкости. На корпусе будут предусмотрены разъёмы под саморезы, для монтажа фильтра на различные поверхности.

Ниже представлены эскизы печатной платы и корпуса:

Рис. 3.1 Эскизная компоновка элементов на плате и корпус детали

амплитудный частотный морской фильтр

4. Конструкторские расчеты

В конструкторских расчетах необходимо провести расчеты формы и геометрических размеров деталей, сборочных единиц и всего изделия в целом, которые обеспечивают его функционирование с заданными параметрами.

4.1 Катушка индуктивности

При проектировке фильтра нижних частот, появилась необходимость в расчете катушки индуктивность, так как у них нет определенных стандартов, и их не выпускают партиями со стандартными номиналами, как конденсаторы и резисторы.

Фильтр имеет высокую частоту среза, поэтому катушка имеет малое значение индуктивности. Исходя из этого, нету необходимости использовать сердечник при проектировки катушки индуктивность, можно обойтись соленоидом с однослойной намоткой.

Соленоид - это катушка индуктивности в виде намотанного на цилиндрическую поверхность изолированного проводника, по которому течёт электрический ток.

Индуктивность соленоида определяется следующим образом:


где μ0 - магнитная проницаемость вакуума,

N - число витков,

l - длина соленоида,

d - диаметр витка.

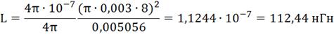
Нужная индукция известна и равна 112,52 нГн, поэтому для удобства расчетов можно задать некоторую длина соленоида, диаметр витка и рассчитать необходимое количество витков.

Выразим количество витков:


Зададим диаметр витка d равный 3 мм и длину соленоида l равную 5 мм:


Округлим до целых и получим 8 витков.

Далее необходимо выбрать диаметр проводника из короткорого будет изготовлен соленоид.

Так как диаметр провода влияет на резистивное сопротивление соленоида, а не на индуктивность, то можно выбрать провод любого диаметра. С учетом намотки соленоида виток к витку, необходимый диаметр провода можно рассчитать по формуле:


Существует линейка специальных обмоточных эмалированных проводов ПЭТВ-2 (провод эмалированный, теплостойкий (нагревостойкий), покрытый слоем высокопрочной эмали нормальной толщины (тип 2)), с рабочей температурой от -60°С до +200°С включительно. Материал изоляции - эмаль на основе полиэфиров, сечение жилы круглое, материал жилы медь.

Исходя из ТУ 16-705.110-79 табл. П4.1.1 наиболее подходящий диаметр провода с учетом изоляции равен 0,632 мм, диаметр жилы 0,56 мм. Получившаяся длина соленоида равна:


Учитывая все полученные данные, пересчитаем индуктивность изготовленного нами соленоида:


Таким образом, получившийся соленоид полностью удовлетворяет необходимым показателям индуктивности. С учетом того, что он будет изготавливаться вручную, прикинем допуск по номиналу в 10%.

4.2 Конденсатор

Конденсатор является одной из важных частей фильтра нижних частот, от его выбора зависит АЧХ и работа фильтра в целом. В основном, конденсаторы имеют большой допуск по номиналу: до 80%, и не стабильный температурный коэффициент ёмкости. Чтобы этого избежать необходимо выбирать конденсатор из керамических материалов, его основные свойства уже были описаны в эскизной компоновке.

Конденсаторы модели К10-17Б (изолированные окукленные керамические конденсаторы) имеют всеклиматическое исполнение. Данный конденсатор имеет допуск номинала 10%, его рабочая температура изменяется от -55°С до 125°С, а рабочее напряжение равно 50, В, является неполярным. В качестве диэлектрика выступает X7R (по российской классификации H10). Данный диэлектрик состоит в основном из титаната бария (BaTiO3 до 95%) и различных примесей. Имеет предсказуемую температурную, частотную и временную зависимость. Ниже приведены показатели ТКЕ для различных диэлектриков:


В диапазоне от -40°С до +45°С, диэлектрик имеет ёмкостной разброс не более 10%. Выбор данной модели также обусловлен низкой стоимостью детали и доступностью на рынке, как конкретной модели, так и ее аналогов.

4.3 Печатная плата

На данной печатной плате будет находиться малое количество элементов, поэтому однослойной платы будет достаточно. Толщина платы 1,5 мм. Материал подложки стеклотекстолит. Согласно ГОСТ Р 53429-2009 “Платы печатные. Основные параметры конструкции”. Приложение П.4.3.1: Размеры каждой из сторон печатной платы должны быть кратными 2,5 мм - при длине до 100 мм включительно. Исходя из ГОСТ и размеров компонентов в целом, размер платы 2х1,5 см будет достаточным. Учитывая минимальный диаметр отверстия с металлизацией 1 мм, согласно ГОСТ 23752-86 “Платы печатные. Основные параметры конструкции” Таблица П.4.3.2, оптимальным классом точности печатной платы, будет являться 2. Он дает разброс, на отверстие с металлизацией, от +0,05 до -0,15 мм. Учитывая герметичный корпус, плата будет находиться в нормальных условиях. Исходя из таблицы П.4.3.3 того же ГОСТ, при значении напряжения 50 В и использовании фольгированного стеклотекстолита, минимальное расстояние между элементами проводящего рисунка должно составлять 0,20 мм. Толщина печатного проводника, с учетом защитного покрытия, начинается от 40 мкм, при ширине проводника 0,8 мм, значение сопротивления составляет 1,07 Ом/м.

.4 Выводы

В качестве выводов будут использоваться провода с коррозионностойкой оболочкой. На их концах будут насажены разъёмы, для удобства сборки и разборки фильтра.

Необходимым параметрам отвечает провод марки МГТФ (ТУ 16-505. 185-71). МГТФ это состоящий из медной, гибкой токопроводящей жилы. Изоляция изготавливается из фторопласта, он обладает противокоррозионными свойствами, которые важны в условиях морского климата. Рабочее переменное напряжение до 250В, температура эксплуатации от -60°С до +220°С. Кабель не теряет своих характеристик при любых погодных условиях, в том числе, и агрессивных. Такие условия эксплуатации возможны благодаря фторопластовой оболочке кабеля. Фторопласт, он же тефлон, отличается хорошей морозостойкостью, тугоплавкостью, устойчивостью к органическим растворителям, жирам, химическим веществам (кислоты, щелочи и так далее). Фторопласт не меняет коэффициента диэлектрической проницаемости под воздействием температур и других внешних факторов. Так же, провода устойчивы к вибрационным, ударным нагрузкам, акустическим шумам. Используем провод с толщиной жилы 0,75 мм. Максимальный наружный диаметр провода, согласно таблице П4.4.1, будет равен 1,8 мм.

Разъёмы плоские с гибридной изоляцией РПИ-М-НТ “мама” и РПИ-П-НТ “папа” (по ТУ 3424-001-59861269-2004). Данный разъём предназначен для формирования быстроразъёмных полностью изолированных соединений многопроволочных медных проводов. При парном соединении разъёмов вокруг контактного соединения образуется двойной контур изоляции пенального типа. Материал изоляции корпуса: самозатухающий нейлон. Не содержит галогенов. Материал термоусаживаемой манжеты: сшитый полиэтилен. Термоусаживаемая трубка с клеевым слоем обеспечивает полную герметичность и антикоррозионную защиту контактного соединения после усадки. Материал разъёма: латунь марки Л63 с покрытием электролитического лужения. Максимальное напряжение 400В. На входе фильтра будет установлен разъем типа “мама”, на выходе типа “папа”

.5 Корпус

Фильтр имеет морское исполнение, исходя из этого, корпус должен обеспечивать герметичность. Изготовление корпуса методом холодной штамповки, с дальнейшим свариванием швов и покрытием детали антикоррозийным покрытием, является довольно трудоёмким процессом. Поэтому удобней использовать пластмассовую деталь, изготовленную способом горячей штамповки, сверху покрытую специальной влагостойкой краской.

Из всего многообразия пластмасс наиболее подходящим является политетрафторэтилен или фторопласт-4. Он обладает исключительными антикоррозийными свойствами, влагостойкий, не смачиваемый, имеет хорошие электроизоляционные свойства. Эксплуатационная температура от -90°С до 350°С. По своей химической стойкости превосходит все известные синтетические материалы и благородные металлы. Не разрушается под влиянием щелочей, кислот и даже смеси азотной и соляной кислот. Разрушается расплавами щелочных металлов, фтором и трифторидом хлора, которые не грозят нашему изделию.

В качестве покрытия подойдет влагостойкая краска для пластмасс. Фторопласт не требует предварительной грунтовки поверхности до окрашивания. Дополнительное покрытие специальной краской необходимо, для дополнительной влагоизоляции стыковочных швов детали и разъёмов, скрепленных шурупами. При конструировании корпуса сделаем зазор ,между печатной платой и деталью. При толщине корпуса 1,5 мм, его габариты будут следующими: длина 30 мм; ширина 30 мм; высота с учетом радиодеталей и крепежей 20 мм. Так же фильтр имеет 4 отверстия для монтажа на различные поверхности.

Для обеспечения полной гидроизоляции на стыковочных швах и вокруг соединительных отверстий, будут установлены прокладки из резины марки ИРП-1377. Эта марка обеспечивает диапазон эксплуатации от -55°С до +125°С, устойчива к насыщенному пару, озону, технической воде, неконцентрированных растворов кислот, щелочей и этанола.

.6 АЧХ фильтра низких частот

Проверка АЧХ фильтра будет производится с использованием ЭВМ, с помощью бесплатной программы RFSim99. Соберем принципиальную схему фильтра с полученными номиналами и допусками:

Рис. 4.6.1 Принципиальная схема

Далее проведем симуляцию процесса и получим ЛАЧХ фильтра:

Рис 4.6.2 ЛАЧХ фильтра

Из графика видно, что на частоте 100 МГц спад составляет -3.2 дБ, что соответствует необходимым параметрам фильтра.

Учтем разброс номиналов радиоэлементов, и посмотрим ЛАЧХ при нижних и высших значениях номиналов с учетом допуска:

Рис. 4.6.3 Нижние значения номиналов

Рис. 4.6.4 Верхние значения номиналов

Далее произведем исследование спада частот фильтра:

Рис 4.6.5 Спад на частоте 200 МГц

Рис 4.6.6 Спад на частоте 400 МГц

Продвигаясь по графику с шагом в октаву, устанавливаем значение частоты сначала на 200 МГц, потом на 400 МГц. Из графиков видно, что при частоте 200 МГц ослабление равно примерно -12 дБ, а на частоте 400 примерно -24 дБ. Из этого можно сделать вывод, что наш фильтр обладает спадом -12 дб/октава, который был в задании на курсовое проектирование.

Заключение

Итак, спроектированный в итоге фильтр имеет следующие характеристики:

·  Частота среза: 100±10% МГц

·        Затухание АЧХ: -12 дб/октава

·        Максимальное рабочее напряжение: 50 В

·        Рабочая температура: -55°С - +125°С

·        Порядок фильтра: 2

·        Тип фильтра: Баттерворта

·        Исполнение: морское

Он удовлетворяет изложенным в задании на курсовое проектирование данным. Так же при проектировке фильтра, упор был сделан на дешевизну и доступность деталей фильтра, что позволит, при необходимости, запустить его в массовое производство. Согласно морскому исполнению, фильтр имеет защиту от коррозии и высокой влажности. Была сделана полная гидроизоляция, поэтому данный фильтр отвечает степени защиты оболочки IP67W, согласно П5.1, (Пыленепроницаемый; кратковременное погружение на глубину до 1 м; защита от погодных условий). Пыль не может попасть в устройство. При кратковременном погружении вода не попадает в количествах, нарушающих работу устройства. Постоянная работа в погружённом режиме не предполагается.

Список использованных источников

1. Ханзел Г.Е. Справочник по расчету фильтров. Москва, 1974. -287 с.

. Роздзял П. Технология герметизации элементов РЭА, Москва 1981. -304 с.

. Опадчий Ю.Ф., Глудкий О.П., Гуров А.И. Аналоговая и цифровая электроника. М.: «Горячая Линия-Телеком», 2002 г. - 768 с.

. Угрюмов Е. Цифровая схемотехника. СПб.: БХВ - Петербург, 2001 г. 528 с.

. Хоровиц и Хилл. Искусство схемотехники. Перевод с английского - Издание шестое. М.: Мир, 2001г. - 704 с.


Приложение

Таблица П1.1


Таблица П3.1


Таблица П4.1.1

Диаметр проводника,мм

Макс. диаметр провода,мм

Массапровода,кг/км

0,063

0,085

0,033

0,071

0,095

0,0398

0,08

0,105

0,0509

0,09

0,117

0,0634

0,1

0,129

0,0774

0,112

0,148

0,0953

0,12

0,153

0,1042

0,125

0,159

0,1129

0,13

0,165

0,122

0,14

0,176

0,147

0,15

0,19

0,1688

0,16

0,199

0,1945

0,17

0,21

0,2196

0,222

0,2437

0,19

0,234

0,2713

0,2

0,245

0,2985

0,21

0,258

0,3279

0,224

0,272

0,3752

0,236

0,285

0,4165

0,25

0,301

0,4664

0,265

0,319

0,524

0,28

0,334

0,5807

0,3

0,355

0,6666

0,315

0,371

0,7075

0,335

0,393

0,7999

0,355

0,414

0,8961

0,38

0,441

1,0268

0,4

0,462

1,1733

0,425

0,489

1,3245

0,45

0,516

1,4879

0,475

0,543

1,6574

0,5

0,569

1,8271

0,53

0,601

2,0529

0,56

0,632

2,2802

0,6

0,676

2,6176

0,63

0,706

2,8723

0,67

0,749

0,69

0,77

3,4454

0,71

0,79

3,65

0,75

0,832

4,0646

0,77

0,854

4,2843

0,8

0,885

4,6337

0,83

0,916

4,9877

0,85

0,937

5,2194

0,9

0,99

5,84

0,93

1,02

6,2358

0,95

1,041

6,4954

1

1,093

7,1857

1,06

1,155

8,0856

1,08

1,176

8,3936

1,12

1,217

9,0116

1,18

1,279

9,9879

1,25

1,351

11,1904

1,32

1,423

12,4613

1,4

1,506

14,0306

0,45

1,557

15,3572

1,5

1,608

16,0787

1,56

1,67

17,3907

1,6

1,711

18,2664

1,7

1,813

20,5936

1,8

23,1026

1,9

2,018

25,7112

2

2,12

28,4593

2,12

2,243

31,9414

2,24

2,366

35,6765

2,36

2,488

39,5631

2,44

2,57

43,1812

2,5

2,631

44,3517


Приложение П4.3.1


Таблица П4.3.2

Таблица П4.3.3


Таблица П4.4.1


Таблица П.5.1



Похожие работы на - Проектирование LC фильтра низких частот

 

Не нашли материал для своей работы?
Поможем написать уникальную работу
Без плагиата!
Без нейросетей!