Экспедирование грузов
МИНИСТЕРСТВО
ТРАНСПОРТА РОССИЙСКОЙ ФЕДЕРАЦИИ
ФЕДЕРАЛЬНОЕ
АГЕНТСТВО МОРСКОГО И РЕЧНОГО ТРАНСПОРТА
Федеральное
государственное бюджетное образовательное учреждение
высшего
профессионального образования
"ГОСУДАРСТВЕННЫЙ
МОРСКОЙ УНИВЕРСИТЕТ ИМЕНИ
АДМИРАЛА
Ф.Ф. УШАКОВА"
КУРСОВАЯ
РАБОТА
ПО
ДИСЦИПЛИНЕ:
"Транспортная
логистика"
НА
ТЕМУ:
"
Экспедирование грузов "
Выполнил: курсант
1951 группы
Григорьев Д.Д.
Проверил:
преподаватель
Герасименко Т.В.
Новороссийск
год
Содержание
Введение
. Экспедирование грузов
. Выбор
транспортно-технологической схемы доставки
Заключение
Список использованной литературы
Введение
Транспорт - одна из важнейших составных частей
материальной базы экономики, которая играет исключительно важную роль в
развитии экономики любого государства, так как, осуществление грузоперевозок в
соответствии с потребностями производства обеспечивает нормальное
функционирование и развитие отраслей, регионов и предприятий.
Продажа транспортных услуг или их покупка на
мировом рынке означает участие транспорта в операциях невидимого экспорта или
импорта. В рыночных условиях важным требованием потребителя транспортных услуг
является своевременная и качественная доставка груза. Выполнить заданные
условия представляется возможным с применением логистики, то есть управляющего
алгоритма, который с помощью различных экономико-математических методов
позволяет оптимизировать работу отдельных элементов транспортного процесса и
объединить эти элементы в единую систему. Недостаточное развитие в России
логистических транспортно-технологических систем перевозок приводит к
увеличению транспортных расходов, а следовательно, к потере рынка.
Таким образом, выбранная тема курсовой работы
является весьма актуальной на сегодняшний день.
Целью данной курсовой работы является изучение
организации работы экспедирование грузов.
1. Экспедирование грузов
Транспортная логистика - это вид логистики,
управляющей комплексом операций, обеспечивающих физическое перемещение
товарно-материальных ценностей между участниками цепи поставок с минимальными
затратами, т. е. перемещение требуемого количества товара в нужную точку,
оптимальным маршрутом за требуемое время и с наименьшими издержками. Затраты на
создание любого товара складываются из себестоимости изготовления и издержек на
выполнение всех работ в цепи "производитель - конечный покупатель".
Движение материального потока от первичного источника сырья до конечного
потребления требует затрат, которые могут доходить до 50 % от общей суммы
затрат на логистику.
Предметом транспортной логистики являются
рациональная организация процессов перемещения грузов. К задачам, решаемым
транспортной логистикой, специалисты относят:
) создание транспортных систем, в том числе
создание транспортных коридоров и транспортных цепей;
) обеспечение технологического единства
транспортно-складского процесса;
) совместное планирование транспортного процесса
со складским и производственным;
) определение рационального маршрута доставки
груза;
) выбор типа и вида транспортного средства;
) совместное планирование транспортных процессов
на различных видах транспорта.
Как система, транспорт состоит из двух
подсистем: транспорт, предназначенный для общего пользования, и транспорт
необщего пользования.
Логистика обладает собственным понятийным
аппаратом, который включает присущие ей категории, понятия, термины. Понятие
"материальный поток" является ключевым в логистике. Материальные
потоки образуются в результате транспортировки, складирования и выполнения
других материальных операций с сырьем, полуфабрикатами и готовыми изделиями -
начиная от первичного источника сырья и заканчивая конечным потребителем. Таким
образом, движение материального потока является неотъемлемой составляющей
транспортировки.
Материальный поток -
это отнесенная к временному интервалу совокупность товарно-материальных
ценностей, рассматриваемых в процессе приложения к ним различных логистических
операций. Совокупность ресурсов одного наименования, находящихся на всем
протяжении от конкретного источника производства до момента потребления, образует
элементарный материальный поток. Множество элементарных потоков, формирующихся
на предприятии, составляет интегральный (общий) материальный поток,
обеспечивающий нормальное функционирование предприятия.
Транспорт
- это совокупность транспортных средств, путей сообщения, а также сооружений и
устройств на этих путях, вместе обеспечивающих перемещение грузов и людей из
одного пункта в другой.
Виды транспорта по назначению:
-Транспорт общего пользования (общественный
пассажирский транспорт и транспорт обслуживающий сферу торговли, т.е.
перевозящий товары);
Транспорт специального пользования (например,
военный транспорт);
Транспорт индивидуального пользования (личные
автомобили).
ВИДЫ ТРАНСПОРТНЫХ ПЕРЕВОЗОК
Перевозки могут производиться как самой компанией,
так и сторонней организацией: перевозчиком или экспедитором. Создать
собственный автопарк или воспользоваться услугами перевозчика компания решает
исходя из затрат в обоих вариантах, надежности перевозчиков и пр. Перевозчики
- осуществляют только физическое перемещение груза в пространстве,
транспортировку.
Экспедиторы
- кроме самой перевозки, оказывают ряд дополнительных услуг, таких как:
оформление документов на груз, выполнение таможенных формальностей,
погрузка/разгрузка, хранение, комплектация и контроль за состоянием груза,
страхование и пр..
Кроме того в процессе перевозок, важную роль
играют и вспомогательные логистические партнеры - таможенные брокеры,
страховые, охранные и информационные компании, предприятия по грузопереработке
и упаковке, грузовые терминалы.
Виды перевозок:
-yнимодальная (одновидовая) - осуществляется
одним видом транспорта, например, автомобильным. Применяется - когда заданы
начальный и конечный пункты транспортировки без промежуточных операций
складирования и грузопереработки;
cмешанная (комбинированная, интермодальная,
мультимодальная) - осуществляется обычно двумя видами транспорта и более
(например: железнодорожным - автомобильным, речным - автомобильным, морским -
железнодорожным и т.п.).
ЭКСПЕДИРОВАНИЕ ГРУЗОВ
Наряду с перевозчиком основным логистическим
посредником в перевозке является транспортно-экспедиционная фирма (или
экспедитор). По договору транспортной экспедиции одна сторона (экспедитор)
обязуется за вознаграждение и за счет другой стороны (клиента - грузоотправителя
и грузополучателя) выполнить или организовать выполнение определенных договором
экспедиции услуг, связанных с перевозкой груза. Договором транспортной
экспедиции могут быть предусмотрены обязанности экспедитора организовать
перевозку груза транспортом и по маршруту, избранными экспедитором или
клиентом; обязанность экспедитора - заключить от своего имени или от имени
клиента договор 55 (договоры) перевозки груза, обеспечить отправку и получение
груза, а также другие обязанности, связанные с перевозкой.
Дополнительными услугами, оказываемыми
экспедитором клиенту, как правило, являются:
) получение документов для экспорта-импорта
грузов;
) выполнение таможенных формальностей;
) проверка количества и состояния груза;
) погрузка-разгрузка транспортных средств;
) уплата пошлин, сборов и других расходов,
связанных с транспортировкой; 6) хранение, складирование, сортировка,
комплектация грузов;
)информационные услуги, страхование .
Современное понятие транспортно-экспедиционной
деятельности (ТЭД) можно определить как деятельность по обеспечению
транспортного сервиса в логистическом процессе доставки товара, выполняемого в
интересах грузоотправителей и грузополучателей. В предлагаемом определении под
транспортным сервисом традиционно понимается набор услуг, предоставляемых
грузоотправителям и грузополучателям при организации перевозок грузов
магистральным транспортом.
Экспедиторские услуги на транспорте можно
представить в виде комплексов операций:
) подготовка груза к транспортированию,
хранение, другие складские и погрузочно-разгрузочные работы;
) поставка груза на магистральный транспорт;
) коммерческие операции по подготовке и
оформлению необходимых провозных и сопровождающих груз таможенных, санитарных,
экологических и других документов;
) расчетно-финансовые операции;
) информационные, правовые и консалтинговые
услуги;
) таможенные услуги;
) страхование и др.
Экспедиторские организации как предприниматели,
работающие в условиях конкуренции, должны быть способны, гибко реагируя на
запросы клиентов, предложить и обеспечить требуемые услуги на соответствующем
уровне стоимости и качества. Такие условия обеспечивает экспедитор, который, с
одной стороны, может предложить широкий комплекс услуг, выполняемых
самостоятельно, своими силами и средствами, а с другой - умеет привлекать посредников
для обеспечения комплексности и минимизации затрат на выполнение заказа
клиента. Решение этой проблемы, т. е. умение реализовать один из основных
принципов логистики, именуемый как "make or buy problem", является
одним из важнейших и сложнейших. В качестве клиентов, которым экспедиторы
предоставляют свои услуги, выступают грузовладельцы (грузоотправители,
грузополучатели), в том числе и зарубежные, а также другие экспедиторские и
агентские организации. В свою очередь, экспедиторы сами могут являться
клиентами банков, предприятий магистрального транспорта, таможенных и страховых
компаний. Таким образом, транспортно-экспедиционная деятельность обусловлена
широким кругом технологических, финансовых, правовых отношений, которые
регулируются правовыми нормативными актами РФ, нормами международного права и
международных договоров Российской Федерации, отраслевыми
нормативно-распорядительными и другими документами. Логистический процесс
доставки груза предполагает такую организацию, которая, обеспечивая оптимальные
условия поставки, на развитом, конкурентном рынке транспортно-экспедиционных
услуг с установившимся приоритетом покупателя, а не продавца, ориентирована на
интересы и запросы грузополучателя. Главным критерием такой доставки груза
является высокое качество работы всех элементов логистической цепи, которое
определяется во многом реализацией принципа "just in time" при
координирующем участии экспедитора. Поэтому экспедитора часто определяют как
оператора логистики.
Современный транспортный экспедитор, обеспечивая
высокое качество предоставляемых услуг, должен отвечать всем требованиям,
которые предъявляются к нему как оператору логистики. Традиционные задачи,
которые выполняет транспортный экспедитор, включают в себя: координацию
деятельности участников транспортной цепочки при преодолении мест стыка;
создание синергетических эффектов за счет консолидации грузов; коммерческое
сопровождение расчетов с клиентами за транспортные и экспедиторские услуги.
Следует отметить, что в основном транспортно-экспедиционные организации в своей
работе ориентируются на организацию перевозок грузов в международном со-
общении вследствие особенностей взаиморасчетов за перевозку, приносящих
наибольшие доходы. Услуги при организации перевозок во внутренних сообщениях оказываются
в основном перевозчиком. Вместе с этим можно привести ряд компаний, эффективно
работающих по оказанию услуг и во внутреннем сообщении. Ассортимент услуг,
предоставляемых в рамках логистического сервиса, довольно разнообразен и
оказывает влияние на конкурентоспособность фирмы и величину издержек.
Характерной особенностью является то, что услуги носят системный характер. В
связи с этим фирме необходимо точно определить стратегию в области
логистического обслуживания потребителей.
Действия по формированию системы логистических
услуг выполняются в следующей последовательности:
) сегментация потребительского рынка, т. е.
разделение его на конкретные группы потребителей, для каждой из которых могут
потребоваться определенные услуги в соответствии с особенностями потребления;
) определение перечня наиболее значимых для
покупателей услуг;
) ранжирование услуг, входящих в составленный
перечень, сосредоточение внимания на наиболее значимых для покупателей услугах;
) определение стандартов услуг для различных сегментов
рынка;
) оценка оказываемых услуг, установление
взаимосвязи между уровнем сервиса и стоимостью оказываемых услуг, определение
уровня сервиса, необходимого для обеспечения конкурентоспособности компании;
) установление обратной связи с покупателями для
обеспечения соответствия услуг потребностям покупателей.
Экспедиторские организации осуществляют
интегрированное транспортное и экспедиционное обслуживание, способствуют
обеспечению активного участия российских предприятий в международной торговле,
более полной реализации географических преимуществ России в функционировании
транспортного коридора восток-запад. Сегментация потребительского рынка может
осуществляться по географическому фактору, по характеру оказываемых услуг или
по другому признаку. Выбор значимых для покупателей услуг, их ранжирование,
определение стандартов осуществляются в результате проведения различных опросов
потребителей. Кроме того, необходимо выработать также и количественные оценки
уровня каждой разновидности сервиса, достигаемого в той или иной компании.
2. Выбор транспортно-технологической схемы
доставки
транспортный логистика перемещение
груз
Исходные данные для выполнения
задания:
|
Условные
обозначения
|
Единицы
измерения
|
Порт
|
|
|
№20
|
|
SA
|
руб./сут
|
4950
|
|
tx1
|
сут
|
2,8
|
|
tx2
|
сут
|
2,5
|
|
Qa
|
т
|
10
|
|
Δtпогр+ Δtвыгр
|
час
|
4
|
|
Na
|
ед
|
14
|
|
TЭ
|
сут
|
314
|
|
Q
|
т
|
11000
|
|
Sc
|
руб./т-же-сут
|
1545
|
|
L
|
км
|
1017
|
|
Pb
|
т
км/т-же-сут
|
160,3
|
|
K
|
|
0,24
|
|
Sкпл
|
руб./сут
|
5670
|
|
Sбуксир.
|
руб./сут
|
4300
|
|
Sпорт. кран
|
руб./сут
|
2900
|
|
tраб.
|
сут
|
15
|
|
tx
|
сут
|
14,5
|
|
d
|
руб./м2
сут
|
10
|
сут
|
15
|
|
Кисп.
|
|
0,6
|
|
p
|
т/м2
|
2,42
|
Смешанная перевозка грузов - это перевозка
грузов, осуществляемая несколькими видами транспорта, выполняемая под
ответственностью "оператора смешанной перевозки грузов" по единому
транспортному документу и оплачиваемая единой сквозной ставкой.
Выбор оптимальной транспортно-технологической
схемы доставки производится на основании минимальной себестоимости доставки
груза (минимальным расходам по доставке).
При выборе схемы доставки рассматривается два
варианта:
1. Базовый вариант доставки груза:
2. Предлагаемый вариант доставки груза:
Порт Порт
отправления назначения
Автотранспорт:
(+ экономия; - дополнительные расходы)
1. Дополнительные расходы автотранспорта
из-за увеличения пробега:
где:
- себестоимость содержания автомобиля за сутки эксплуатации;
- время входа в
прямом груженом состоянии;
- время хода в
обратном порожнем состоянии;
- загрузка
автомобиля.
. Экономия расходов по содержанию автотранспорта
в пунктах отправления и назначения под грузовыми операциями:
3.Экономия расходов по содержанию автотранспорта
в пункте назначения:

где:
-
период эксплуатации автотранспорта;
- количество
автотранспорта, которое высвобождается при завозе груза по второму варианту
(или парк автотранспорта для развоза груза).
Морской транспорт:
(+ экономия; - дополнительные расходы)
. Дополнительные расходы морского
транспорта из-за снижения использования грузоподъемности судна:
где:
-
себестоимость содержания судна, руб/тоннаже-сут.;
- пробег с грузом,
км;
- валовая
производительность судна в базовом варианте, т км/ тоннаже-сут;
К -
коэффициент снижения валовой производительности судна из-за снижения загрузки.
. Экономия расходов на буксировку и
работу портального крана в пункте отправления:
где:
- себестоимость содержание плавкрана;
- время работы
плавкрана;
- время буксировки
плавкрана в прямом и обратом направлениях;
- себестоимость
содержания буксира;
- время хода
буксира в прямом и обратном направлениях;
- себестоимость
содержания буксира;
- время работы
портального крана;
- объем завоза
груза.
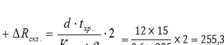
. Экономия расходов за счет высвобождения
складской площади:
где:
-
доходная ставка, руб. / кв.м - сутки;
-средний срок
хранения груза на складе в порту, сут.;
- коэффициент
использования полезной площади склада (К-0,6);
- нагрузка на 1
кв. м площади склада, т/кв.м.
|
№
п\п
|
Условные
обозначения
|
Порт
|
|
|
№19
|
|
1
|
-DRпр.
|
-1350
|
|
2
|
+DRст.
|
2000
|
|
3
|
+DRсод.
|
|
4
|
-DRг/п.
|
-14963,9
|
|
5
|
+DRкпл.
|
12,8
|
|
6
|
+DRскл.
|
255,3
|
|
S
|
1602954,2
|
Выбор оптимальной транспортно-технологической
схемы доставки производится на основании минимальной себестоимости доставки
груза. При выборе схемы доставки груза рассматривались 2 варианта: Базовый
вариант и предполагаемый. Из расчетов можно сделать вывод: что полученная общая
сумма 1602954,2 это себестоимость на перевозку груза предполагаемого варианта.
В данном случае при сравнении предлагаемых схем доставки мы сэкономили на
расходы связанные с эксплуатационными затратами по складам и складскому
оборудованию.
Заключение
В данной курсовой работе, при рассмотрении ее
теоретической части, было изучено экспедирование грузов.
Было установлено, что экспедирование грузов
- особый вид транспортных услуг, связанный с сопровождением и организацией
перевозки грузов.
Профессиональное экспедирование грузов в
основном направленно на снижение рисков, связанных с причинением ущерба
перевозимому имуществу заказчика, причем при различных ситуациях, будь то ДТП,
стихийные бедствия или другие проблемы. Экспедиторские услуги могут
способствовать значительному повышению качества, а также надежности грузовой
перевозки, обеспечению более высокой сохранности грузов во время
транспортировки.
Итак, экспедиторские услуги призваны освободить
клиентов от любых забот, связанных с организацией грузовой перевозки, что,
конечно, экономит время и денежные средства заказчика.
Транспортная компания может предложить своим
клиентам: - контроль за погрузочно-разгрузочными работами; - контроль работы по
подготовке грузов к его транспортировке, в том числе упаковочные работы; -
оформление нужных для отправки груза документов; - обеспечение режима хранения,
который требует конкретный груз; - организация маршрута, выбранного самим
клиентом с помощью логистов компании; - обеспечение безопасности
грузоперевозки; - мониторинг состояния грузов, а также условий их хранения на
протяжении всего маршрута; - информирование заказчиков о местонахождении
грузов; - доставка "от двери к двери"; - оперативное решение проблем,
которые порой могут возникнуть при грузоперевозке.
Во второй, расчетной части проделанной работы, в
предлагаемой схеме доставки груза через порт №19 мы рассчитали стоимость выполнения
каждой работы, которая оценивается на основе продолжительности выполнения и ее
себестоимости. Таким образом, можно сделать вывод о том, что при следовании
груза через Порт №19 наименьшие общие эксплуатационные расходы составляют ―
1602954,2.
Список использованной литературы
Основная литература
) Транспортная логистика: Учебник
для транспортных вузов. / Под общей редакцией Л.Б. Миротина. - М.:
"Экзамен", 2003.
) Родников А.Н. Логистика:
Терминологический словарь. 2-е изд. испр. и доп. - М.: ИНФРА-М, 2000.
Электронные ресурсы
) Федеральный портал: http://protown.ru
) Официальный печатный орган
Министерства транспорта Российской Федерации: http://www.transportrussia.ru/
) Официальный сайт Министерства
транспорта Российской Федерации: http://www.mintrans.ru/