|
Оформление
документов, сдача и получение груза
|
Заполнение
транспортной железнодорожной накладной и комплекта перевозочных документов;
Оформление переадресовки грузов; Предъявление груза к перевозке на станциях
отправления; Выдача груза на станциях назначения.
|
|
Завоз-вывоз
грузов
|
Доставка
груза от склада грузоотправителя до станции и от станции до склада
грузополучателя автомобильным транспортом железной дороги или других
организаций (на основе договора).
|
|
Погрузочно-разгрузочные
и складские операции
|
Погрузка
и выгрузка вагонов и автомашин на станции отравления и назначения, на складах
грузоотправителей и грузополучателей; Сортировка грузов; Комплектование
отправок и укрупнение грузовых единиц; Формирование и расформирование
пакетов; Погрузка грузов в контейнеры и выгрузка из них; Маркировка грузов;
Упаковка, увязка и обшивка грузов; Ремонт тары и упаковки.
|
|
Информационные
услуги
|
Уведомление
грузополучателей об отправке груза; Уведомление о продвижении груза и подходе
к станциям назначения; Слежение за продвижением груза; Уведомление
грузоотправителя или грузополучателя о подходе груженых или порожних
автомашин; Уведомление грузоотправителя о выдаче груза грузополучателю;
Уведомление о пересечении грузом государственной границы; Уведомление
грузополучателя или грузоотправителя о прибытии груза в порт; Уведомление о
погрузке груза на другой вид транспорта и прибытии к месту назначения.
|
|
Подготовка
и дополнительное оборудование ПС
|
Очистка
вагонов и контейнеров от остатков груза и их промывка; Обеспечение
грузоотправителей необходимыми для погрузки и перевозки устройствами и
материалами; Предоставление ЗПУ устройств.
|
|
Страхование
грузов
|
Составление
и заключение договора страхования; Оплата страховых взносов; Оформление
документов при наступлении страхового случая и получение страхового
возмещения за грузовладельца.
|
|
Платежно-инансовые
услуги
|
Оформление
и оплата провозных платежей, сборов, штрафов за грузовладельца; Проведение
расчетных операций за перевозку и перевалку грузов с отдельными станциями,
портами и пристанями за проведение ПРР, складских и других работ.
|
|
Таможенное
оформление грузов и транспортных средств
|
Декларирование
грузов в таможенных органах; Консультирование грузоотправителя и
грузополучателя но вопросам, связанным с декларированием грузов; Оформление
грузовой таможенной декларации и других документов па отправляемый
(прибывший) груз; Выполнение платежей но таможенным сборам и другим
таможенным формальностям.
|
|
Прочие
экспедиторские услуги
|
Разработка
и согласование технических условий погрузки и крепления грузов; Розыск грузов
после истечения срока доставки; Контроль за соблюдением комплектной отгрузки
оборудования; Обслуживание и ремонт универсальных контейнеров
грузоотправителя; Обслуживание рефрижераторных контейнеров; Сдача вагонов,
контейнеров, складов, земельных участков в аренду для оказания экспедиторских
услуг; Хранение грузов в складских помещениях экспедитора; Прочие услуги,
связанные с особенностями перевозимых грузов
|
.3 Законодательная база работы экспедитора
Для осуществления транспортно-экспедиторской
деятельности экспедитор обязан руководствоваться правилами
транспортно-экспедиционной деятельности. Правила устанавливают перечень
экспедиторских документов, порядок оказания и требования к качеству
транспортно-экспедиционных услуг. Отношения между экспедитором и клиентом
регулируются Гражданским кодексом Российской Федерации, Федеральным законом
"О транспортно-экспедиционной деятельности", настоящими Правилами и
договором транспортной экспедиции.(прил 3)
Отношения между экспедитором и перевозчиками на
различных видах транспорта регулируются Гражданским кодексом Российской
Федерации, транспортными уставами и кодексами
Федеральным законом РФ от 30 июня 2003 г. N
87-ФЗ "О транспортно-экспедиционной деятельности" определяется
порядок осуществления транспортно-экспедиционной деятельности - порядок
оказания услуг по организации перевозок грузов любыми видами транспорта и
оформлению перевозочных документов, документов для таможенных целей и других
документов, необходимых для осуществления перевозок грузов (далее -
экспедиционные услуги).
Экспедиторскими документами являются:
поручение экспедитору (определяет перечень и
условия оказания экспедитором клиенту транспортно-экспедиционных услуг в рамках
договора транспортной экспедиции) (прил.4);
экспедиторская расписка (подтверждает факт
получения экспедитором для перевозки груза от клиента либо от указанного им
грузоотправителя) (прил.5);
складская расписка (подтверждает факт принятия
экспедитором у клиента груза на складское хранение) (прил. 6). Данный закон
регулирует работу экспедитора и клиента, их права и обязанности,
ответственность экспедитора и клиента, основания и размер ответственности
экспедитора перед клиентом за утрату, недостачу или повреждение (порчу) груза,
указывает основания и размер ответственности экспедитора за нарушение срока
исполнения обязательств по договору транспортной экспедиции.
Условия договора транспортной экспедиции, не
предусмотренные настоящим Федеральным законом, другими федеральными законами
или иными нормативными правовыми актами Российской Федерации, принятыми в
соответствии с Гражданским кодексом Российской Федерации, определяются
сторонами договора транспортной экспедиции (экспедитором и клиентом).
Также для осуществления
транспортно-экспедиторской деятельности экспедитор должен руководствоваться
правилами работы экспедитора и клиентов.
Данные правила устанавливают перечень
экспедиторских документов, порядок оказания и требования к качеству
транспортно-экспедиционных услуг.
Отношения между экспедитором и клиентом регулируются
Гражданским кодексом Российской Федерации, Федеральным законом "О
транспортно-экспедиционной деятельности", правилами и договором
транспортной экспедиции.
По договору транспортной экспедиции одна сторона
(экспедитор) обязуется за вознаграждение и за счет другой стороны
(клиента-грузоотправителя или грузополучателя) выполнить или организовать
выполнение определенных договором экспедиции услуг, связанных с перевозкой
груза.
В качестве дополнительных услуг
договором транспортной экспедиции может быть предусмотрено осуществление таких
необходимых для доставки груза операций, как получение требующихся для экспорта
или импорта документов, выполнение таможенных и иных формальностей, проверка
количества и состояния груза, его погрузка и выгрузка, уплата пошлин, сборов и
других расходов, возлагаемых на клиента, хранение груза, его получение в пункте
назначения, а также выполнение иных операций и услуг, предусмотренных
договором.
Форма договора транспортной
экспедиции заключается в письменной форме. Клиент должен выдать экспедитору
доверенность, если она необходима для выполнения его обязанностей.
В зависимости от характера транспортно-экспедиционных
услуг, в том числе при перевозках груза в международном сообщении, сторонами
договора транспортной экспедиции может быть определена возможность
использования экспедиторских документов, не указанных в пункте 5 настоящих
Правил. Экспедиторские документы являются неотъемлемой частью договора
транспортной экспедиции.
По требованию клиента экспедитор представляет
ему следующую информацию:
полное фирменное наименование и место нахождения
(для юридического лица), имя и место жительства (для индивидуального предпринимателя);
сведения о подтверждении соответствия
транспортно-экспедиционных услуг установленным требованиям;
перечень транспортно-экспедиционных услуг,
оказываемых экспедитором, и их стоимость;
сведения о форме и порядке оплаты
транспортно-экспедиционных услуг;
сведения о тарифах на перевозку грузов
различными видами транспорта, о правилах и об условиях выполнения таких
перевозок;
другие сведения, относящиеся к организации и
осуществлению перевозки конкретных видов груза различными видами транспорта.
Опасные, скоропортящиеся и иные грузы, требующие
специальных условий перевозки, принимаются экспедитором только при
предоставлении клиентом в письменной форме информации об условиях их
транспортировки.
.4 Функции и обязанности экспедитора
Термин "экспедитор" происходит от
латинского глагола "eхpedire", означающего в переводе
"сопровождать". Таким образом, экспедитор - в прямом смысле
"сопровождающий".
Экспедитор - сотрудник предприятия, в чьи
обязанности входит сопровождение грузов в широком смысле слова: от отправки до
сдачи, включая оформление транспортной и страховой документации.
Для всех экспедиторов и перевозчиков
удовлетворение интересов клиента - основа их стратегии и тактики. Главная
задача - предложить клиенту весь комплекс услуг в одном месте и при минимальных
затратах времени. В настоящее время сам перевозчик не может обеспечить по
полной мере комплекс транспортно-экспедиторских услуг при доставке груза от
“двери до двери”, особенно при мультимодальной перевозке, поэтому он тоже
заинтересован в участии экспедитора в перевозочном процессе
Роль и место экспедиторских структур в
транспортном процессе показаны на рисунке 2.
Рис.№2 - Структурная схема участия экспедитора в
транспортном процессе.
Экспедитор обязуется за вознаграждение и за счет
другой стороны (клиента) выполнить или организовать выполнение определенных
договором экспедиции услуг, связанных с перевозкой груза.
Договором транспортной экспедиции могут быть
предусмотрены следующие обязанности экспедитора:
организовать перевозку груза транспортом и по
маршруту, избранными экспедитором или клиентом;
заключить от имени клиента или от своего имени
договор перевозки груза;
обеспечить отправку и получение груза;
получить требующиеся для экспорта или импорта
документы;
выполнение таможенных и иных формальностей;
проверка количества и состояния груза;
погрузка и выгрузка груза;
уплата пошлин, сборов и других расходов,
возлагаемых на клиента;
хранение груза;
получение груза в пункте назначения и оформление
соответствующих документов;
другие обязанности, связанные с перевозкой.
Если иное не установлено договором транспортной
экспедиции, при организации перевозки груза экспедитор при необходимости
осуществляет:
согласование с перевозчиками условий перевозки и
хранения груза, времени перевалки груза с одного вида транспорта на другой и
иных вопросов, необходимых для осуществления перевозки;
прохождение таможенных и иных процедур,
необходимых при осуществлении перевозки;
расчеты за перевозку груза с перевозчиками как
от имени клиента, так и от своего имени.
В процессе работы экспедитора выделяются два
этапа. Основной заключается собственно в сопровождении перевозимых грузов. На
данном этапе в задачи экспедитора входит контроль за сохранностью груза. В
частности, это проверка надёжного крепления грузов, обеспечения их
безопасности, в том числе во время вынужденных стоянок, а при необходимости -
контроль за температурой, если речь идёт о перевозке товаров в условиях
обеспечения специального температурного режима. Итак, главная задача данного
этапа для экспедитора - обеспечение доставки груза в целости и сохранности от
пункта погрузки к пункту назначения.
Второй этап в работе экспедитора охватывает
комплекс операций, связанных с юридическими функциями должности экспедитора.
Этот этап выделяется отдельно и противопоставляется этапу перевозки, но если
брать хронологический отрезок времени, на протяжении которого осуществляется
работа экспедитора, то он включает в себя как минимум два, хронологически
"обрамляющих" этап перевозки. Это этап приёма груза под
ответственность экспедитора и этап сдачи груза. Кроме того, иногда требуется
ещё один этап, хронологически рассекающий этап перевозки: прохождение
таможенного контроля.
В своей деятельности Экспедитор железнодорожного
отдела руководствуется следующими документами:
Устав железнодорожного транспорта РФ;
Правила перевозки груза на железнодорожном
транспорте;
Технические Условия размещения и крепления
грузов в вагонах и контейнерах;
организацию погрузо-разгрузочных работ;
порядок приема и сдачи грузов;
формы документов на прием и отправку грузов и
правила их оформления;
правила внутреннего трудового распорядка
Общества;
правила и нормы охраны труда и техники
безопасности; трудовое законодательство РФ.
должностной инструкцией.
Экспедитор обязан:
Получить в офисе железнодорожного отдела номера
вагонов, планируемых к погрузке.
По прибытии вагонов на станцию погрузки
проверить остатки пробегов, сроки очередных деповских ремонтов,
грузоподъемность вагона по паспорту.
Определить годность вагона на предмет сохранной
перевозки конкретного груза путем осмотра:
возможность открытия, закрытия дверей;
состояние утеплителя и обшивки внутри;
наличие напольных решеток;
степень чистоты кузова;
наличие петель для ЗПУ.
Получить в офисе железнодорожного отдела
информацию о наименовании судна, времени и месте погрузки, количестве ходов,
данные (Ф.И.О., контактный телефон, в исключительных случаях паспортные данные,
доверенность на производство действий по экспедированию груза по жд.) по
экспедитору Общества в порту, либо представителю грузовладельца (в случае
осуществления экспедирования в порту грузовладельцем).
Получить в офисе железнодорожного отдела
Разнарядку на экспедирование груза по ж/д и телеграммы (проплатную,
подтверждающую), инструкции по заполнению накладных, номер ГУ 12 и ее копию,
необходимое количество ЗПУ, заполнить и завизировать ЖД накладную, получить на
станции промывочное удостоверение на вагон. Получить санитарный паспорт на
вагон. Проверить техническую возможность своевременной постановки вагонов на
погрузочные (выставочные ) пути, к борту судна.Организовать подачу вагона и
убедиться в правильности его постановки составителем.
В случае организации перевозки на условиях
материальной ответственности за 2(два) часа до фактического начала погрузки
передать информацию (точное время и место) представителям сюрвейерской
компании.
Организовать досмотр вагона ветеринарными
врачами т.е. освидетельствовать транспортное средство.
Передать информацию экспедитору на причале для
выписки ветеринарного свидетельства (согласно разнарядки и решения о цифрах в
ЖД накладных) и о готовности вагона к погрузке.
По окончании погрузки надежно закрыть рабочую
дверь вагона, повесить ЗПУ, проверить сохранность и номер ЗПУ на нерабочей
двери.
Получить у сюрвейера выписку из акта экспертизы,
у экспедитора в порту - ветеринарное свидетельство и до заполнить ЖД накладную.
С ветеринарным свидетельством, ЖД накладной,
санитарным паспортом, промывочным удостоверением, этикетками от груза прибыть к
ветеринарным врачам для получения отметки в ЖД накладной. Выписать на складе
пропуск на погруженный вагон/вагоны. Прибыть к приемосдатчикам для оформления
памятки и вагонного листа. Отдать пропуска на вагоны.
Сдать комплект документов в кассу отправления.
Убедиться, что вагоны прошли по макету и получить квитанции. Убедиться, что
вагоны выведены на станционные пути.
Сдать в офис железнодорожного отдела отчет о
погрузке и сюрвейерские выписки по данному отчету, квитанции. Отчитаться
менеджеру ж/д отдела по использованию полученных ЗПУ.
4. Организация работы экспедитора по оказанию
транспортно-экспедиторских услуг при перевозке СПГ грузов
.1 Оформление заявок на перевозки грузов
Для осуществления перевозки грузов
железнодорожным транспортом грузоотправитель представляет перевозчику
необходимое количество надлежащим образом оформленных экземпляров заявки на
перевозку грузов. В заявке грузоотправитель указывает количество вагонов и
тонн, железнодорожные станции назначения и другие сведения, предусмотренные
Правилами перевозок грузов железнодорожным транспортом. Также он обязан указать
срок действия заявки, который не должен превышать 45 дней. Заявки
предоставляются не менее чем за 10 дней до начала перевозок грузов в прямом
железнодорожном сообщении, не менее чем за 15 дней до начала перевозок в прямом
международном сообщении, в прямом и непрямом смешанном сообщении, а также если
пунктами назначения указаны порты. При перевозках грузов в прямом смешанном
водно-железнодорожном сообщении заявки представляются организациями, осуществляющими
перевалку грузов с водного транспорта на железнодорожный транспорт.
Перевозчик обязан рассмотреть представленную
заявку в течение двух дней и, если перевозка возможна, направить эту заявку для
согласования владельцу инфраструктуры с отметкой о согласовании.
Документы на прием груза (карточки учета груза,
приемные акты), акты общей формы, железнодорожные или товаротранспортные
накладные, спецификации, отгрузочные документы принимаются от порта в течение
48 часов с момента оформления всей коносаментной партии груза. Экспедитор
получает отгрузочные документы от порта и высылает их заказной почтой
заказчику, либо вручает заказчику под расписку.
Согласованная перевозчиком и владельцем
инфраструктуры заявка с отметкой о ее принятии возвращается перевозчиком
грузоотправителю, или организации, осуществляющей перевалку грузов, не позднее
чем за три дня до заявленного срока начала перевозки. В случае отказа в
согласовании заявка возвращается перевозчиком грузоотправителю, или
организации, осуществляющей перевалку грузов, с обоснованием причин отказа.
Отказ в приеме и согласовании заявки может быть обжалован в судебном порядке.
Порядок и способ уведомления перевозчиком грузоотправителя, или организации,
осуществляющей перевалку грузов, о принятии заявки или об отказе в перевозке
устанавливаются по соглашению сторон.
Перевозки грузов, предназначенных для ликвидации
последствий чрезвычайных ситуаций, осуществляются перевозчиками на основании
заявок по мере предъявления таких грузов для перевозок.
Заявка представляет собой важный элемент
организации перевозок, так как в ней содержатся основные показатели,
необходимые для нормального перевозочного процесса.
.2 Порядок реализации заявок и учет их
выполнения
Заявки на перевозку грузов представляют
перевозчику в трех экземплярах, каждый из которых подписан грузоотправителем
или представителем организации, осуществляющей перевозку грузов, и заверен
печатью. Учет выполнения заявки осуществляется в учетной карточке (ф. ГУ-1).
Уполномоченный представитель перевозчика ведет отдельную карточку по каждому
грузоотправителю на основании согласованной с перевозчиком заявки. Учетные
карточки на перевозку грузов в универсальных контейнерах ведутся отдельно по
каждому виду контейнера. Учетная карточка является учетным и финансовым
документом. По ней осуществляется учет выполнения заявки на перевозку грузов,
определяется количество предоставленных перевозочных средств и погруженных
вагонов и контейнеров, а также устанавливается недогруз против заявки. По
данным учетной карточки определяют ответственность сторон - грузоотправителя и
перевозчика - за невыполнение принятой заявки на перевозку и начисляются
штрафные санкции. При предъявлении к перевозчику претензии в отношении штрафа
за невыполнение принятой заявки грузоотправитель обязан приложить учетную
карточку. За непредъявление грузоотправителем грузов для перевозки на указанную
в заявке станцию назначения перевозчик взыскивает с него соответствующий сбор.
Учетная карточка подписывается перевозчиком и
грузоотправителем по окончании каждых отчетных суток. Отказ от подписания
учетной карточки оформляется актом общей формы.
.3 Основные документы, необходимые для работы с
импортными грузами
Перевозки производятся на
основании договора перевозки, заключенного между перевозчиком и грузоотправителем.
Согласно ст. 25 Устава по договору перевозчик обязуется доставить вверенный ему
груз на железнодорожную станцию назначения и выдать его грузополучателю, а
грузоотправитель - уплатить за перевозку установленную плату.
Содержание договора перевозки
излагается в оригинале транспортной железнодорожной накладной. Несмотря на то,
что грузополучатель не участвует в оформлении этого договора на станции
отправления, он в последующем также входит в договорные отношения и обязан
выполнять определенные требования: принять и вывезти груз, очистить подвижной
состав, внести дополнительные платы и сборы. По договору грузополучатель
приобретает право требовать доставку груза в срок и в полной сохранности.
Договор перевозки вступает в силу, когда груз принят станцией отправления
вместе с накладной. Дату приема груза к перевозке удостоверяют оттиском на
накладной календарного штемпеля станции.
Накладная - основной
перевозочный документ, сопровождающий груз до станции назначения. Она
заполняется грузоотправителем на каждую отправку и при выдаче груза вручается
грузополучателю.
От правильного заполнения
накладной во многом зависит сохранность грузов и соблюдение сроков его
доставки. Кроме того, точное составление накладной способствует безопасности
движения поездов, ускорению оборота вагонов и правильности расчетов. Таким
образом, в юридическом и правовом отношениях накладная - основной документ при
исполнений перевозки груза. На перевозки грузов в прямом сообщении составляют
накладные ф. ГУ-27 и ГУ-29-0.
Одним из основных документов
является грузовая таможенная декларация. ГТД оформляется при перемещении
товаров через таможенную границу государства (экспорт, импорт). ГТД оформляется
распорядителем груза и заверяется таможенным инспектором, в дальнейшем служит основанием
для пропуска через границу. В декларации содержатся сведения о грузе и его
таможенной стоимости, транспортном средстве, осуществляющем доставку,
отправителе и получателе.
Без предоставления грузовой
таможенной декларации органы государственного таможенного контроля не принимают
товары и имущество к таможенному оформлению для пропуска через госграницу.
Другая функция грузовой
таможенной декларации - документ-заявление о законности сделки, то есть
соответствия всех действий в процессе экспортной и импортной операции
законодательству РФ. Сведения, указанные в грузовой таможенной декларации,
должны находиться в полном соответствии с предъявляемым для таможенного
контроля товаром (имуществом) другими фактическими данными. Наличие расхождений
между сведениями, указанными в грузовой таможенной декларации, и фактическими
данными, обнаруженными в ходе таможенного контроля, влечет за собой задержку
товара и требует переоформления грузовой таможенной декларации одиного из
основных документов, оформляемых при перемещении товаров через таможенную
границу государства (экспорт, импорт). ГТД оформляется распорядителем груза и
заверяется таможенным инспектором, в дальнейшем служит основанием для пропуска
через границу. В декларации содержатся сведения о грузе и его таможенной
стоимости, транспортном средстве, осуществляющем доставку, отправителе и
получателе), коносамент и манифест. После того как будет оформлен первичный
документ, называемый погрузочным ордером, содержащим все необходимые данные о
грузе и служащим основанием для его приемки на судно.
Погрузочный ордер выписывается
в нескольких экземплярах и содержит след, сведения: - наименование, род и
количество груза (число мест, масса, объем); - вид упаковки; - знаки и марки;
наименование грузоотправителя и грузополучателя; - наименование портов
отправления и назначения; - название судна; - дату составления погрузочного
ордера. При погрузке на палубу погрузочный ордера должен содержать оговорку о
согласии на это грузополучателя. Судну вручается два экземпляра ордера, на
одном из которых после погрузки груза расписывается представитель судовой
администрации. Этот экземпляр погрузочного ордера является так называемой
штурманской распиской и служит основанием для выписки коносамента.
Коносамент - документ,
выдаваемый судовладельцем грузоотправителю в удостоверение принятия груза к
перевозке морским путем на судах регулярных линий. Коносамент выполняет три
основные функции: удостоверяет принятие судовладельцем (перевозчиком) груза к
перевозке, является товарораспорядительным документом, свидетельствует о
заключении договора перевозки морским путем, по которому перевозчик обязуется
доставить груз против предоставления документов.
Коносамент может быть выдан и
тогда, когда груз доставлен в целях перевозки и принят под охрану
судовладельца. На коносаменте обязательно должно содержаться указание
судоходной компании "груз на борту", или "груз погружен",
или "груз принят к погрузке". Коносамент дает право владельцу
оригинала распоряжаться грузом. Содержание коносамента: сведения о названии
судна и его владельца, тоннаже судна, наименование портов погрузки и выгрузки,
сумма фрахта с указанием, где производится оплата фрахта - в порту погрузки или
в порту назначения, число выданных экземпляров коносамента. Обычно коносамент -
это документ, отпечатанный типографским способом, в который вписываются
вышеперечисленные данные.
На основании коносаментных
данных о грузе в порту погрузки морской агент составляет перечень погруженных
на судно грузов по коносаментным партиям, называемый грузовым манифестом. В
грузовом манифесте указывают: наименование судоходного предприятия,
наименование судна, фамилию капитана, порты отправления и назначения, номера
коносаментов, наименование отправителя и получателя, марки и номера, количество
и род упаковки, наименование груза, его вес и объем, номера нарядов, фрахт
(ставку фрахта, его сумму, уплачено при отправлении, взыскать с получателя).
Грузовой манифест, после тщательной проверки соответствия его данных данным
коносаментов, подписывает капитан.
Манифест составляют в
нескольких экземплярах, в зависимости от требований в портах погрузки, выгрузки
и таможенных правил страны назначения, для судна, судовладельца, таможни,
стивидорных организаций, принимающих груз. При погрузке или выгрузке груза в
нескольких портах манифест составляют по каждому порту погрузки и выгрузки
отдельно. В некоторых странах (Испании, Франции, Аргентине и др.) законы
требуют, чтобы манифеста были заверены консульством страны назначения груза в
порту его отправления. При отсутствии консульства страны назначения в порту
отправления в манифест должна быть внесена оговорка, заверенная таможней порта
отправления с приложением гербовой печати. Назначение манифеста разнообразно и
заключается, как правило, в следующем. Морским агентствам манифест необходим
для проверки правильности погрузки или сдачи груза, взыскания фрахтовых сумм, а
также для своевременного направления манифестов в порты назначения (судовым
агентам, таможне). Стивидорные компании принимают груз по манифесту и выдают
его получателям по распоряжению агента при предъявлении коносаментов. По
окончании погрузки агенты судна обязаны представить в таможню манифеста в двух
экземплярах, на которых таможня делает разрешительную надпись. Один экземпляр
такого манифеста вручают капитану судна для передачи таможне в порту
назначения, а другой - таможня отправляет почтой. По прибытии судна в порт
назначения капитан обязан немедленно вручить таможне этот манифест. Как
правило, нарушение действующих таможенных правил приводит к наложению штрафа на
капитана. В некоторых портах отдельных стран капитаны судов предъявляют
манифеста, составленные по специальной форме.
Фрахтовый манифест по своему
назначению не отличается от грузового. Во фрахтовом манифесте приводят данные о
фрахте - суммы, уплаченные при отправлении, и суммы, подлежащие взысканию с
получателя до сдачи ему груза. Значение этого манифеста - контролировать и
обеспечивать своевременное получение фрахта перевозчику. Особое значение этот
манифест имеет при перевозке грузов на линейных условиях. Законодательствами
некоторых стран Латинской Америки и других стран фрахт облагается налогом,
поэтому таможенным властям очень важно иметь фрахтовый манифест, а сторонам
договора в договоре морской перевозки-конкретно указывать, кто оплачивает налог.
.4 Сопроводительные документы, оформляемые на
перевозку скоропортящихся грузов в смешанном сообщении
При предъявлении скоропортящихся грузов к
перевозке вместе с накладной грузоотправитель обязан представить перевозчику на
каждую вагонную или контейнерную отправку документ о качестве груза, а именно,
удостоверение о качестве или сертификат качества, или выписку из акта
экспертизы. Каждый из указанных документов оформляют в день погрузки.
В документе о качестве груза должно быть указано
точное наименование, качественное состояние, срок транспортабельности груза в
сутках и температура груза перед погрузкой, а также:
· для охлажденного и
замороженного груза - температура продукта при погрузке в вагон;
· для охлажденного и
остывшего мяса всех видов, битой птицы - дата убоя животных и птицы;
· для грузов,
перевозимых в рефрижераторных вагонах - пределы допускаемых изменений
температуры в соответствии с нормативными документами.
· при перевозке
пищевых продуктов и сырья животного происхождения - ветеринарное свидетельство
или ветеринарный сертификат в соответствии с Правилами перевозок
железнодорожным транспортом грузов, подконтрольных Госветнадзору;
На оборотной стороне накладной в графе «Особые
заявления и отметки грузоотправителя» грузоотправитель указывает наименование,
номер и дату выдачи прилагаемых документов.
При перевозке грузов в рефрижераторной секции
грузоотправитель должен представить накладную и другие сопроводительные
документы на каждый грузовой вагон. При предъявлении скоропортящихся грузов к
перевозке в вагонах-термосах, грузоотправитель обязан в удостоверении о
качестве или сертификате, кроме сведений, предусмотренных Правилами перевозок,
указывать дополнительно тип транспортного средства, используемого для подвоза
груза, расстояние подвоза, температуру груза и наружного воздуха.
При неправильном указании в накладной
наименования груза, его свойств, необходимых при перевозке мер
предосторожности, особых отметок, а также за отправление запрещенного к
перевозке скоропортящегося груза с грузоотправителя взыскивается штраф в
размере, установленном перевозчиком. После того как груз пришел в порт
экспедитору нужно оформить документы на перевозку груза железнодорожным
транспортом
Перевозочный документ - транспортная
железнодорожная накладная (далее - накладная) состоит из четырех листов:
· лист 1 - оригинал
накладной (выдается перевозчиком грузополучателю);
· лист 2 - дорожная
ведомость (составляется в необходимом количестве экземпляров - для участников
перевозочного процесса);
· лист 3 - корешок дорожной
ведомости (остается у перевозчика)
· лист 4 - квитанция
о приеме груза (остается у грузоотправителя дорожная ведомость - документ
расчетно-финансового значения - вместе с накладной сопровождает груз до станции
назначения. На станции назначения грузополучатель расписывается в дорожной
ведомости в получении груза. Затем дорожную ведомость вместе с сопроводительной
ведомостью высылают в ТехПД, а оттуда в информационно-вычислительный центр
дороги назначения (ИВЦ). По дорожным ведомостям определяют выполненный дорогами
объем перевозок, доходные поступления от них, правильность расчетов,
рациональность перевозок и выполнение сроков доставки.
Дорожную ведомость составляют в необходимом
количестве экземпляров для всех участников перевозочного процесса, в том числе
це менее двух дополнительных экземпляров для каждой участвующей в перевозке
грузов инфраструктуры: один экземпляр для входной железнодорожной станции,
находящейся в данной инфраструктуре, второй - для выходной станции
инфраструктуры.
Корешок дорожной ведомости служит основным
документом для определения провозной платы при централизованных расчетах в
ТехПД, а также для учета и отчетности о выполнении плана перевозок станцией.
Квитанция о приеме груза - важный юридический
документ, свидетельствующий о приеме перевозчиком груза к перевозке от
грузоотправителя.
Перевозки грузов мелкими повагонными отправками,
а также порожних вагонов, не принадлежащих перевозчику, оформляются на готовом
бланке ф. ГУ-27 (лист I) грузоотправителем и передаются перевозчику для
дальнейшего оформления; листы 2, 3, 4 ф. ГУ-29у-ВЦ заполняются перевозчиком на
компьютере на основании листа I. При оформлении комплекта перевозочных
документов грузоотправитель заполняет листы 1, 2, 3, 4 на готовых бланках ф.
ГУ-29-0 и передает их перевозчику для дальнейшего оформления. Форма листов 1,
2, 3, 4 позволяет одновременное заполнение с помощью копировальной бумаги.
При компьютерном оформлении документов
грузоотправитель заполняет готовый бланк листа 1 ф. ГУ-27у-ВЦ и передает его
перевозчику для дальнейшего оформления. Перевозчик на основе листа 1 на
компьютере составляет листы 2, 3, 4 ф. ГУ-29у-ВЦ. В соответствии с Правилами
перевозок лист 1 накладной на бланке ф. ГУ-27 и листы 1, 2, 3, 4 накладной на
бланках ф. ГУ-29-0 изготавливают типографским или компьютерным способом и
печатают шрифтом черного цвета на бумаге формата А4. Лист 1 накладной ф.
ГУ-27у-ВЦ и листы 2, 3, 4 накладной ф. ГУ-29у-ВЦ изготавливают компьютерным
способом и печатают шрифтом черного цвета на бумаге формата А4 или рулонной
бумаге. Листы 1, 2, 3, 4 накладной заполняют на пишущей машинке или на
компьютере. Отдельные сведения могут быть указаны в виде штемпелей. Графы,
обведенные рамками, в листах накладной заполняет перевозчик.
Оформление перевозочных документов в электронном
виде - электронная транспортная железнодорожная накладная - производится:
• грузоотправителем и перевозчиком при наличии
договора об электронном обмене данными или обмене электронными документами
между ними;
· перевозчиком при перевозке грузов в
сопровождении электронной накладной;
• грузополучателем и перевозчиком при наличии
договора об электронном обмене документами между ними.
При наличии договора об электронном обмене
документами между перевозчиком и грузоотправителем последнему выдается электронная
квитанция о приеме груза, подписанная электронной цифровой подписью (ЭЦП)
перевозчика. Подтверждением получения грузоотправителем от перевозчика
электронной квитанции о приеме груза является электронный корешок дорожной
ведомости, подписанный ЭЦП грузоотправителя. Корешок дорожной ведомости
остается у перевозчика на станции отправления. Перевозка груза по электронной
накладной осуществляется без перевозочных документов в бумажном виде. При
наличии договора об электронном обмене документами между перевозчиком и
грузополучателем перевозчик на станции назначения выдает грузополучателю
электронный оригинал накладной, подписанный ЭЦП перевозчика. Подтверждением
получения грузополучателем от перевозчика электронного оригинала накладной
.5 Особенности экспедирования скоропортящихся
грузов
Погрузку скоропортящихся грузов в изотермические
и крытые вагоны производят, как правило, в местах необщего пользования. Завоз
грузоотправителем скоропортящихся грузов для погрузки в местах общего
пользования разрешают только на основании принятой заявки на перевозку в
согласованный день погрузки.
Замороженные, подмороженные и охлажденные грузы
в летний и переходный периоды, а также грузы, боящиеся подморозки в зимний
период, грузоотправитель должен доставлять на место погрузки защищенными от
воздействия наружного воздуха. При отрицательной температуре наружного воздуха
грузоотправитель обязан принять меры, предотвращающие переохлаждение или
подмораживание в процессе их погрузки. Способ погрузки скоропортящихся грузов
устанавливается в зависимости от вида их термической подготовки и организуемого
теплообменного режима в грузовом помещении. Ответственность за правильность
погрузки груза в вагоне средствами грузоотправителя несет грузоотправитель, а
средствами перевозчика - перевозчик.
Перевозку в одном вагоне (контейнере)
скоропортящихся грузов разных наименований допускают, если такие грузы не
выделяют и не воспринимают по отношению друг к другу запахи и имеют одинаковые
условия перевозки и способ обслуживания. Для проверки соответствия состояния
груза, тары и упаковки требованиям нормативных документов грузоотправитель
предъявляет принятые в установленном порядке нормативные документы (ГОСТ, ОСТ,
ТУ). При несоответствии груза, тары или упаковки нормативным документам или отсутствии
этих документов перевозчик вправе отказать в перевозке.
Перевозчик и владелец инфраструктуры
железнодорожного транспорта общего пользования имеют право выборочно проверить
качество предъявляемых к перевозке скоропортящихся грузов, состояние тары и соответствие
их нормативным документам. Проверку производят в процессе предъявления груза к
перевозке. Температуру замороженных, подмороженных и охлажденных грузов
измеряют в момент погрузки в вагон. Вскрытие отдельных мест с грузом и
последующая упаковка груза после проверки, а также пломбирование вагонов и
контейнеров ЗПУ обеспечивает грузоотправитель.
Перевозчик и владелец инфраструктуры
железнодорожного транспорта общего пользования не проверяют соответствие груза
по товарной сортности, а также качество груза в целой герметичной упаковке и
таре (банки, бутылки, бочки) при предъявлении к перевозке и выдаче.
На станциях назначения вагоны-термосы и
ИВ-термосы, и контейнеры-термосы со скоропортящимися грузами подают под
выгрузку в первую очередь. При выдаче скоропортящегося груза на станции
назначения перевозчик проверяет состояние, массу и количество мест груза в
случаях: его прибытия с нарушением срока доставки; несоблюдения температурного
режима при перевозке в рефрижераторных вагонах. При составлении коммерческого
акта на порчу скоропортящихся грузов, перевозимых в рефрижераторных вагонах с
поддержанием температурного режима, к коммерческому акту прикладывают выписку
из рабочего журнала о температурном ре жиме в пути следования, заверенную
подписью руководителя обслуживающей бригады.
После выгрузки скоропортящихся грузов на вагоны,
в том числе подлежащие промывке и ветеринарно-санитарной обработке, должны быть
наложены в установленном порядке:
· грузополучателем или перевозчиком за
счет грузополучателя:
ЗПУ - во всех случаях после выгрузки
специализированных изотермических вагонов и рефрижераторных контейнеров;
ЗПУ - при отправлении крытых вагонов на
ветеринарно- санитарную обработку по второй и третьей категориям в соответствии
с ветеринарным назначением, выданным органами Госветнадзора;
закрутка установленного типа - при отправлении
крытых вагонов на ветеринарно-санитарную обработку по первой категории, а также
на крытые вагоны, не требующие промывки и направляемые по регулировочным
заданиям;
· перевозчиком:
закрутка установленного типа - при отправлении
крытых вагонов после проведения промывки и всех видов ветеринарно-санитарной
обработки;
ЗПУ - после проведения промывки и
ветеринарно-санитарной обработки рефрижераторных вагонов и вагонов-термосов, а
также при направлении рефрижераторных вагонов под погрузку и их возврат на
иностранные железные дороги.
5. Структура компании ООО “Оператор
рефрижераторного терминала”
Компания ООО «ОРТ» зарегистрирована 26 декабря
2008 года. Регистратор - Межрайонная инспекция Федеральной налоговой службы №15
по Санкт-Петербургу.
Организационно-правовая форма: общество с
ограниченной ответственностью Классификация по ОКОГУ: хозяйственные общества и
товарищества с участием иностранных юридических и (или) физических лиц, а также
лиц без гражданства Вид собственности: совместная частная и иностранная
собственность ООО «ОРТ» - одна из крупнейших стивидорных и транспортно-
экспедиционных компаний по обслуживанию рефрижераторных продовольственных
грузов на территории Морского порта Санкт-Петербурга, осуществляет свою
деятельность на 1 и 2 грузовых районах. Компания занимается обслуживанием по
погрузке и разгрузке товара, размещению и укладке груза в транспортное
средство, обеспечением сохранности и безопасности перевозки груза, перевалки
груза с одного вида транспорта на другой, а также взвешиванием груза.
ООО "ОРТ" - компания, учредителями
которой являются ОАО "Морской порт Санкт-Петербург" и транспортный
холдинг UCLH. Компания зарегистрирована с целью оперирования потоком рефрижераторных
грузов и организации строительства рефрижераторного терминала на территории ЗАО
"Первая стивидорная компания", которая входит в группу компании
"Морской порт Санкт-Петербург", в который также входят ЗАО
"Вторая стивидорная компания", ЗАО "Третья стивидорная
компания", ЗАО "Четвертая стивидорная компания", управляющая
компания ОАО "Морской порт СПб", а также сервисные предприятия.
Одним из направлений комплекса услуг,
предоставляемых ООО «ОРТ» является организация перевозок скоропортящихся грузов
железнодорожным транспортом. Накопленный опыт работы компании в этом
направлении позволяет предлагать клиентам оптимальные схемы отправок груза по
железной дороге. Специфика данной услуги ООО «ОРТ» - отправка и перевозка
рефрижераторных грузов. В 2011 году порт обработал 7,4 млн. тонн грузов.
Удельный вес компании ООО «ОРТ» в грузообороте Большого порта Санкт-Петербург
составляет около 12%.
При перевозках рефрижераторных грузов по
железной дороге ООО «ОРТ» осуществляет:
§ согласование с клиентами условий перевозок;
§ планирование перевозок;
§ подачу подвижного состава;
§ осуществление расчетов со
структурами железной дорогой и контрагентами;
§ организацию погрузки подвижного
состава;
§ оформление товаросопроводительной
документации;
§ организацию сюрвейерского
обслуживания;
§ информационное обеспечение
ООО «ОРТ» имеет прямые договора с крупнейшими
поставщиками рефрижераторных грузов в Российскую Федерацию, по которым
осуществляет доставку грузов до получателей, как по территории РФ, так и в
страны СНГ. Основные объемы отправок по железной дороге ООО «ОРТ» осуществляет
с железнодорожной станции «Новый Порт», примыкающей к Морскому Порту
Санкт-Петербурга. Также является одной из немногих компаний-экспедиторов по
железной дороге, предлагающих своим клиентам погрузку скоропортящихся грузов по
схеме «борт судна - вагон». Данный вариант погрузки исключает дополнительные
операции по транспортировке и погрузо-разгрузочным работам, в случае
организации отправок с внутренних станций Санкт-Петербургского железнодорожного
узла, а так же минимизирует риски по сохранности груза в количественном и
качественном отношении.
Для осуществления экспедиторской деятельности
компания ООО "Оператор рефрижераторного терминала" заключила
тройственный договор с морским портом и железной дорогой, в котором указаны
права и обязанности сторон (погрузочно-разгрузочный процесс, подача и уборка
вагонов, хранение груза на территории порта).
Договор с “Рефтранс” на аренду рефрижераторных
вагонов в котором указано что вагоны арендодателем передаются Арендатору по
акту приема - передачи по станциям, указанным в заявке арендатора в технически
исправном состоянии, годными к эксплуатации по железным дорогам в соответствии
с требованиями ОАО «РЖД» и ФПД ОАО «РЖД», укомплектованные необходимым
оборудованием и лицами, сопровождающими груз (проводниками вагонов) в случае
если вагон предназначен для проезда лиц, сопровождающих груз.
ООО “ОРТ” осуществляет свою деятельность по всей
территории России и стран СНГ. Основные направления груза железнодорожными перевозками
по России: Ижевск, Пермь, Екатеринбург, Челябинск, Курган, Омск, Новосибирск,
Красноярск, Барнаул, Сургут, а также и за границу.
В структуру компании входят:
. Производственный блок:
Директор по производству
.1 Терминал:
Начальник терминала;
старший стивидор;
сменные стивидоры;
бригады:
крановщики;
вод. погрузчиков;
грузчики;
.2 Склад (ОМЕГА):
Начальник склада;
зам. нач. склада;
складская группа по учету движения груза;
Транспортно-экспедиторский отдел (ТЭО):
Начальник отдела;
диспетчеры;
экспедиторы;
3 Железнодорожный отдел:
Начальник отдела;
менеджеры;
- экспедиторы;
4 Коммерческий блок:
Коммерческий директор;
менеджеры отделы;
Финансово-экономический блок:
Финансовый директор;
экономисты;
бухгалтерия
Юридическая служба.
На рисунке 3 показана структура взаимодействия
отделов компании ООО “ОРТ”. Транспортно-экспедиторский отдел(авто) осуществляет
услуги по перевозке скоропортящихся грузов автомобильным видом транспорта, в
основном на близкие расстояния. Железнодорожный отдел занимается экспедированием
грузов на дальние расстояния с большими объемами. Также компании принадлежит
склад-холодильник “Омега” площадью 2000 кв. м. Коммерческая служба занимается
работой с клиентами, менеджеры ищут и предлагают услуги экспедитора, в свою
очередь через юридическую службу оформляются договора с клиентами, желающими
сэкономить на транспортировке грузов. Финансовая служба занимается денежными
вопросами, касающимися стоимость услуг, которые предоставляет перевозчик,
заработной платой сотрудникам. Отделы транспортной безопасности и охраны труда
осуществляют контроль за соблюдением правил безопасности на рабочем месте,
создают благоприятные условия труда. Все отделы непосредственно подчиняются
генеральному директору.
Рис. 3 Структура транспотно-экспедиторской
компании ООО “ОРТ”
6. Взаимодействие экспедитора со станцией и
портом
.1 Прием груза в порт
Экспедитор, выступающий в роли перевозчика,
должен организовать работу с портом, станцией, а также ведомств, которые осуществляют
работу с импортными грузами. Порт, в свою очередь должен обеспечить прием
груза, организовать операции по погрузочно-разгрузочным работам и хранение
груза на складе. Железная дорога предоставляет экспедитору железнодорожные пути
для осуществления погрузки вагонов, также организовывает своевременную подачу
вагонов, маневровую работу по перестановке вагонов.
Агент морской перевозки должен уведомить порт
при перевозках СПГ грузов за 72 часа до прихода судна в порт. Когда судно
заходит в порт, ему необходимо документально оформить приход, контактировать не
только с официальными лицами, но и с другими организациями, такими как
шипчандлеры (фирмами, поставляющими судам продовольствие и осуществляющие их
снабжение техническими средствами), стивидорными компаниями, топливными и
другими компаниями. В частности, судовой агент выполняет различные
формальности, связанные с приходом судна в порт, пребыванием судна в порту и
выходом судна из порта, оказывает помощь капитану судна в установлении
контактов с портовыми и местными властями и в организации снабжения судна и его
обслуживания в порту, оформляет документы на груз, инкассирует суммы фрахта и
иные причитающиеся судовладельцу суммы по требованиям, вытекающим из договора
морской перевозки груза, оплачивает по распоряжению судовладельца и капитана
судна суммы, подлежащие уплате в связи с пребыванием судна в порту, привлекает
грузы для линейных перевозок, осуществляет сбор фрахта, экспедирование груза и
прочее.
Прежде чем начать ПРР работы должен организовать
работу с таможенными операциями. После получения грузовых документов от агента
морской линии экспедитор на основании распоряжения владельца груза
предоставляют таможенному брокеру требуемый для таможенного оформления пакет
документов. Предъявляемые к перевозке грузы должны соответствовать требованиям,
установленным нормативными документами (стандартами, техническими условиями и
иными документами), удостоверяющими качественное состояние груза, тары и
упаковки. Все транспортные средства, используемые для перевозок пищевых
продуктов должны иметь санитарные паспорта, оформленные в установленном
порядке.
Таможенный брокер изучает всю предварительную
информацию о получаемом грузе, пользуясь для этого внешнеэкономическим
контрактом, приложениями к нему, инвойсом, упаковочным листом на эту партию
товара, комплектом разрешительных документов (сертификаты, лицензии и прочее).
На основании таких данных и полученных ранее грузовых документов он заполняет и
затем подает в таможню грузовую таможенную декларацию (ГТД). При этом брокер
обязан не только подать надлежащим образом заполненную декларацию, но и
контролировать целиком процесс прохождения ею всех этапов таможенного
оформления.
После прохождения таможенного контроля, груз
должен быть проверен сюрвейером. Сюрвейер - независимый эксперт, работник
порта, осуществляющий по просьбе страхователя или страховщика осмотр
застрахованных или подлежащих страхованию судов и грузов. После того, как
сюрвейер проверит груз нужно получить у него выписку из акта экспертизы. у
экспедитора в порту - ветеринарное свидетельство и до заполнить железнодорожную
накладную. Экспедитор должен организовать досмотр вагона ветеринарными врачами
т.е. освидетельствовать транспортное средство. С ветеринарным свидетельством,
железнодорожной накладной, санитарным паспортом, промывочным удостоверением,
этикетками от груза прибыть к ветеринарным врачам для получения отметки в ЖД
накладной.
После того как все операции с прибытием груза,
будут завершены, можно начинать погрузочно-разгрузочные операции.
.2 Организация погрузочно-разгрузочных операций
Перед началом ПРР работ экспедитор должен
получить в офисе железнодорожного отдела информацию о наименовании судна,
времени и месте погрузки, количестве ходов, данные (Ф.И.О., контактный телефон,
в исключительных случаях паспортные данные, доверенность на производство
действий по экспедированию груза по жд.) номера вагонов, планируемых к
погрузке.По прибытии вагонов на станцию погрузки проверить остатки пробегов,
сроки очередных деповских ремонтов, грузоподъемность вагона по паспорту.
Определить годность вагона на предмет сохранной перевозки конкретного груза
путем осмотра:
возможность открытия, закрытия дверей;
состояние утеплителя и обшивки внутри;
наличие напольных решеток;
степень чистоты кузова;
наличие петель для ЗПУ.
ПРР операции осуществляются на “Невских” путях:
1, 2, 3а., которые расположены в 1 районе порта. Фронт работ на погрузку СПГ
грузов с борта рассчитан на 4 вагона, вместимость пути рассчитана на 20
вагонов, вдоль пути 3а расположен склад-холодильник, принадлежащий ООО “ОРТ”.
Парк перегрузочного оборудования включает в себя портальные краны
грузоподъемностью до 40 т, вилочные авто и автопогрузчики TOYOTA
грузоподъемностью 1,5 тонны.
6.3 Технология переработки СПГ грузов на
грузовом терминале. Технологическая схема
Рассмотрим технологию работы перегрузочного
пункта, укажем возможные направления грузопотоков (этапы переработки груза),
имея в виду, что начало и конец грузопотока соответствуют зонам склада и
перегрузочной установки, где перемещаемый груз может некоторое время находиться
без движения. На рис. 3 Показана технологическая схема переработки груза.
Рисунок 3 - Технологическая схема переработки
груза.
Где 
выгрузка из борта на грузовую
площадку, 
- подъезд погрузчика к складу, 
перегрузка грузка по прямому
варианту, 
погрузка груза из склада вагон.
Рассчитаем перерабатывающую
способность одного фронта терминала. Годовой грузопоток СПГ грузов за 2011 год
составляет 175200 тыс. тонн. Взяв за основу эти данные можно определить
перерабатывающую способность терминала. Зная годовой грузопоток, рассчитаем
суточный грузопоток:

= 

,
Где 
- годовой грузопоток ( принято в
расчете 
= 175200 тонн/год) 
- коэффициент неравномерности
перевозок (
= 1,5 морской транспорт, 
= 1,1 - железная дорога)
Тогда рассчитаем суточный грузопоток
по отправлению и прибытию:

× 1,5 = 720 тонн/сут.

× 1,1 = 528 т/сут.
Согласно схеме выгрузки грузов
суточный грузопоток по прибытию будет составлять 100% от всего грузопотока 
:


,
Грузопоток 
разделяется на два направления:
непосредственно в вагон или на склад:

= 
+ 
,
Грузопотоки 
и 
распределяются между собой поровну,
тогда коэффициент непосредственного перегруза по прямому варианту, минуя склад 
= 0,5, тогда грузопоток 
будет равен:

=

= 720 × 0,5 = 360 
Грузопоток
, идущий на склад:

= 
= 720 - 360 = 360 
,
Грузопоток 
выгружаемого со склада в вагоны
груза будет равен:

- 
= 528 - 360 = 168 
.
На основании анализа технологии
работы перегрузочного пункта, можно определить фактическую производительность
перегрузочного оборудования количество перегрузочного оборудования. В таблице
показаны характеристики погрузчика Toyota 7FD18.
Таблица 5 - Характеристика
автопогрузчика Toyota 7FD18
|
Показатели
|
Средства
измерения
|
Значения
|
|
Грузоподъемность
груза
|
т
|
1.75
|
|
Скорость
подъема вил без нагрузки,
|
м/с
|
0.68
|
|
Скорость
подъема вил с нагрузкой
|
м/с
|
0.65
|
|
Длина
до спинки вил,
|
мм
|
2.32
|
|
Ширина,
|
м
|
1.70
|
|
Высота,
м
|
м
|
1.995
|
|
Высота
подъема вил, м
|
м
|
3.0
|
|
Рабочая
масса, т
|
т
|
2.75
|
|
Скорость
передвижения без груза,
|
км/ч
|
До
18
|
|
Скорость
передвижения с грузом, км/ч
|
км/ч
|
3
|
|
Рабочая
температура min/max
|
°C
|
-25/+40
|
Фактическая часовая производительность
перегрузочной машины циклического действия определяется по формуле:

,
Где 
- время предусмотренных перерывов в
час (принимается равным 300 секундам), 
- продолжительность одного цикла
работы вилочного автопогрузчика,
Продолжительность одного цикла
перегрузочной машины определяется по формуле:
Где: 
- время, затрачиваемое на
выполнение отдельных элементов цикла, ɸ - коэффициент, учитывающий
возможность совмещения отдельных операций цикла ( принимается равным 0,95)
Определим продолжительность цикла
работы вилочного автопогрузчика.

= ɸ(


+ 
,
Где 
- время на захват груза, 
= 10 с.,
Время на подъем груза 
:

= 
+
,
Где: 
- расчетная высота подъема вил погрузчика,

- скорость подъема вил ( из
технической характеристики погрузчика 
= 0,65 м/с) 
- время на разгон и торможение
механизма, принимается равным 1 секунде,

= 

1 = 0,76 + 1= 1,76 ≈ 2 сек.,

- время на наклон вил, принимается
равным 2 секунды, 
- время на перемещение
автопогрузчика от места отвала груза до вагона, рассчитывается по формуле:

= 
+ 
,
Где l - путь
перемещения автопогрузчика от места отвала груза до вагона, 
скорость перемещения, принимается
равным 3 км/ч,

= 
+ 1 = 18 сек.,

- время на опускание вил, 
= 2 сек.,

- время на наклон вил,
= 
, 
- время на разгрузку груза,
принимается равным 30 сек., 
- время, затрачиваемое на
передвижение автопогрузчика от вагона до отвала груза. Зная все время,
затрачиваемое на определенные операции, можно рассчитать цикл погрузчика:

= (10+ 2 + 2 + 18 + 2 + 3 + 30 + 18)
× 0,95 = 80,75 ≈ 81 сек.,
Циклограммма процесса работы
вилочного погрузчика показан на рис.4
|
Наименование
операций
|
Продолжительность
операций, с
|
Меры
по выполнению определённой операции
|
|
10
20 30 40 50 60 70 80 90 100 110
|
|
|
Захват
груза
|
|
20
|
|
|
|
|
|
|
|
|
|
|
|
На
первой скорости плавным захватом
|
|
Подъем
вилл
|
|
2
|
|
|
|
|
|
|
|
|
|
|
|
Подъем
груза по вертикале
|
|
Наклон
вил
|
|
|
2
|
|
|
|
|
|
|
|
|
|
|
Смещение
центра тяжести
|
|
Продвижение
к вагону
|
|
|
|
18
|
|
|
|
|
|
|
|
|
|
Передвижение
на первой скорости
|
|
Опускание
вил
|
|
|
|
|
2
|
|
|
|
|
|
|
|
|
Опускание
груза по вертикале
|
|
Наклон
вил
|
|
|
|
|
2
|
|
|
|
|
|
|
|
|
Смещение
центра тяжести
|
|
Разгрузка
|
|
|
|
|
|
|
30
|
|
|
|
|
|
|
Плотная
погрузка груза в вагон
|
|
Передвижение
от вагона к отвалу груза
|
|
|
|
|
|
|
|
|
18
|
|
|
|
|
Операция
совмещается по времени с предыдущей операцией
|
|
Общее
время
|
|
|
|
|
81
|
|
|
|
|
|
|
|
|
Суммируются
время всех операций
|
|
|
|
|
|
|
|
|
|
|
|
|
|
|
|
|
|
|
Рисунок 4 - Циклограмма работы погрузчика.
Определяем потребную часовую производительность
перегрузочных устройств по выгрузке груза из судна:

= 
,
Где: 
- количество судов в сутки (
принимается равным 1 судно в сутки), 
- среднее время разгрузки судна ( 6
час/судно ),

= 
= 
= 120 т/час,
Потребную часовую производительность
транспортирующих перегрузочных устройств можно определить:

= 
,
Где 
- число подач вагонов в течении
суток при суточной погрузке, принимается равным 3 подачи в сутки, 
- время на погрузку одной подачи в
сутки, 
- время на вспомогательные операции
(принимается равным 0,1 ч), тогда

= 
= 
= 45,13 т/ч
Зная время цикла работы
автопогрузчика, можно определить фактическую часовую производительность
перегрузочной машины:

= 
= 40,74 т/ч,
Определив часовую
производительность, определяем количество машин данного типа:

= 
,
Где 
- коэффициент использования машины
по времени (принимается равным 0,95), тогда:

= 
= 1,16 ≈ 2 машины,
Расчет перерабатывающей способности
терминала
Зная количество
разгрузочно-погрузочных машин, можно определить перерабатывающую способность
грузового фронта:

,
Где: T - время ПРР
в сутки, 
- количество подач вагонов в
сутки, 
- продолжительность маневров в
часах, 
- статическая нагрузка на вагон, 
- сменная норма выработки
механизмов.

= 12,5/сут.
Расчет параметров склада.
Вместимость склада рассчитывается на
основании среднесуточного объема перерабатываемых грузов, количество грузов,
размещаемых в нем, рассчитывается по формуле:
Где 
- среднесуточный грузооборот
склада,
Потребную площадь склада в
квадратных метрах определяется по формуле:

= 
= 
.
Перерабатывающую способность по
емкости склада можно определить:

,
Где: 
, H - средняя
нагрузка на 1 
площади склада, (H = 0,65 т/
) 
- коэффициент, учитывающий
необходимую площадь для проходов и проездов,(

- продолжительность хранения на
складе, (
2 сут,)

= 
= 16,7≈ 17 ваг/сут.,
Перерабатывающая способность
грузового пункта по емкости склада выше чем по средствам механизации,
следовательно для повышения грузооборота фирмы нужно увеличивать
перерабатывающую способность по средствам механизации, для этого нужно
увеличить количество автопогрузчиков.
.4 Зависимость совокупности издержек
доставки партии груза
В отечественной практике разработаны
некоторые математические способы приближённого расчета возможных издержек,
которые возникают в ходе транспортно-экспедиторской деятельности.
Функциональная зависимость
совокупных издержек по доставке партии груза, исходя из принципа оптимизации
общих логистических затрат:
Си =
f ( dij; Gij; I; J; Sij ) → min
где Си - общие (совокупные) издержки
грузовладельца;
dij
- тарифы на выполнение комплекса транспортных и экспедиционных услуг для i-го
способа и j-й схемы доставки;
I,J
- массивы (группы) альтернатив способов и схем доставки груза
соответственно;
Sij
- массив внутренних и внешних условий, определяющих выбор способов и схем
доставки.
Минимальные сроки доставки партии груза:
ТД =
f ( Bij; Gij; νij;
nmij; Snij; lnij ) → min
где ТД - срок доставки партии груза
(отгруженной продукции);
Bij
-
вид доставляемого груза (продукции);
Gij
- объём партий доставляемой продукции ( маршрутная, судовая, автомобильная,
вагонная, сборная, мелкая, контейнерная);
νij
- нормативная скорость доставки грузов для определённого вида отправок (объёмов
партий);
nmij
- число участвующих в перевозке видов транспорта;
lnij
- расстояние перевозок;
Snij
- прочие условия перевозок и транспортно-экспедиционного обслуживания.
Дополнительно можно использовать ещё два
критерия: максимальное качество доставки партии груза и максимальный
интегральный эффект грузовладельца.
В системе транспортного обслуживания большое
значение имеет определение критического звена, которое по своей пропускной
способности может не обеспечить надёжное выполнение всего объёма потока заявок
на услуги. Таких критических звеньев в системе может быть несколько, и они
требуют создания резервов различного объёма. В итоге менеджерам транспортно
экспедиторских компаний необходимо решить четыре основные проблемы:
определить местонахождение критических звеньев в
транспортно- логистической цепи;
определить функциональное назначение этих
звеньев;
определить вид звеньев;
установить оптимальный уровень резервов для
преодоления возможных узких мест.
Стоимость доставки груза ( СДГ ) с
учётом ключевых этапов сквозного транспортного процесса, руб.:
СДГ = СМТ + СПР
+ СПЕР + СТЭУ,
где СМТ - стоимость перевозки партии
груза магистральным транспортом;
СПР - стоимость погрузки-разгрузки
партии груза;
СПЕР - стоимость перевалки груза в
пути следования с одного магистрального транспорта на другой, учитывая при
перевозках в смешанном сообщении.
СТЭУ - стоимость
транспортно-экспедиционных услуг.
Стоимость транспортно-экспедиционных услуг как
при завозе-вывозе грузов, так и при работе экспедитора:
СТЭУ = СОД + СТЕР
где СОД - стоимость услуг,
оказываемых оператором доставки, руб.;
СТЕР - стоимость услуг, оказываемых в
связи с завозом (прибытием) и вывозом (отправлением) груза, руб.
Условно эти затраты можно разделить на две
группы:
затраты работников офиса;
затраты работников склада (кроме офисных),
водителей и т.д.
СТЭУ = СТЭУ1 + СТЭУ2
К п е р в о й г р у п п е относятся затраты на
заключение договоров, организацию страхования груза, платёжно-финансовые
услуги, информационные услуги, ведение претензионных дел и т. п.
Ко в т о р о й - затраты на сдачу и получение,
завоз-вывоз грузов, на организацию и производство складских работ, на прочие
услуги, непосредственно связанные с обработкой груза (маркировку, упаковку и
пр.)
Стоимость транспортно-экспедиторских услуг
первой группы:
s
СТЭУ1 = ∑ СТЭУ1i
i=1
где s
- число транспортно-экспедиционных услуг первой группы;
СТЭУ1i
- стоимость i-ой услуги первой
группы:
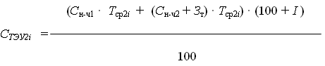
C
н-ч1
∙ Тср1i
∙ (100 + I )
СТЭУ1i
= ,
100
C
н-ч1
-стоимость одного часа работы с клиентом в офисе, руб.;
I - норма прибыли
предприятия, % (принимается равным 10%);
Тср1i
-
средняя продолжительность обработки определённой транспортно-экспедиционной
услуги экспедитором;
З1
C
н-ч1
=
Nо
∙
Tp
∙
Nсм
∙ Тсм
где
З1 - сумма затрат предприятия,
необходимых для оказания транспортно-экспедиторских услуг первой группы, руб.,
зависит от количества обрабатываемых заявок в месяц, принимается равным 35
заявок в месяц ( принимается равным примерно 100 000 рублей на заключение
договоров, организацию страхования груза, платёжно-финансовые услуги,
информационные услуги),
Nо
- численность операторов, работающих в одной смене;
Tp
- число рабочих дней за определённый период (месяц);
Nсм
- число смен операторов в сутки;
Тсм - продолжительность одной смены,
ч;
Тогда стоимость одного часа работы с клиентом в
офисе:
Одну заявку экспедитор обрабатывае в течении
рабочего дня равного 8 часам, зная стоимость одного часа работы с клиентом,
определяем стоимость одной транспортно-экспедиторской услуги:
Среднее количество заявок в год принято брать в
размере 420 заявок, тогда услуги на оказание услуг 1 группы в год составляет:
Таким образом на оказание услуг первой группы
компания затрачивает на заключение договоров, организацию страхования груза,
платёжно-финансовые услуги, информационные услуги и т. п. около 1108800 рублей
в год. Эти затраты можно снизить.
В настоящее время большинство логистических
компаний используют автоматизированную систему ЭТРАН. Внедрение этой системы
позволит сократить эксплуатационные расходы и значительно снизить время на
оформление документов, тем самым экономя время клиентам и самим экспедиторам.
ООО “ОРТ” пока не используют эту практику. Рассмотрим целесообразность
установки ЭТРАН для оформления документов. Таким образом экспедитор значительно
уменьшит время на оформление документов, договоров, информационные услуги и
т.д.
Тогда при использовании данной системы стоимость
одной услуги первой группы будет равна:
Взяв среднее количество выполняемое
экспедиторами за год, можно рассчитать стоимость транспортно-экспедиторских услуг
первой группы в год с внедренной системой ЭТРАН:
Стоимость программного продукта ЭТРАН для
экспедиторских компаний зависит спектра оказываемых услуг и функций, которые
они осуществляют. Примерная стоимость использования услуги составляет 50000
рублей, примем эти данные для рассчета, тогда эксплуатация системы за год будет
равна 600000 рублей, тогда общая стоимость на затраты на заключение договоров,
организацию страхования груза, платёжно-финансовые услуги, информационные
услуги, ведение претензионных дел и т.д.:
Экономия при использовании системы ЭТРАН будет
равна 370200 рублей в год.
Из расчётов видно, что стоимость на оказание
услуг первой группы при взаимодействии с АС ЭТРАН значительно ниже, чем без
использования этой системой.
Стоимость транспортно-экспедиторских услуг
второй группы:
где d
- число транспортно-экспедиторских услуг второй группы;
СТЭУ2i
-
стоимость i-й услуги второй
группы:
где Сн-ч2 - стоимость одного часа
работ по выполнению услуг второй группы, руб./ч;
Зт - затраты на эксплуатационные
расходы для работы техники, занятой на выполнении i-й
услуги; ( ≈ 5000 рублей за операцию)
Тср2i
- средняя продолжительность выполнения транспортно-экспедиционной услуги второй
группы, ч;
Затраты приводятся на 1 тонну груза, Время на
обработку одного пакета составляет 0,5 часа от выгрузки с судна до погрузки в
РВ
где З2 - сумма затрат предприятия,
необходимых для оказания услуг второй группы, руб. в месяц; (≈ 10 000 000
на на сдачу и получение, завоз-вывоз грузов, разгрузку-погрузку, на организацию
и производство складских работ, на прочие услуги, непосредственно связанные с
обработкой груза (маркировку, упаковку и пр.)
NP2
- численность работников, работающих в одной смене, и занятых оказанием услуг
второй группы.
Рассчитаем стоимость транспортно-экспедиторской
услуги второй группы для одной тонны груза, взяв на выполнение
транспортно-экспедиционной услуги данной группы 30 минут, зная стоимость одного
часа работ по выполнению услуг:
Тогда общая стоимость на оказание одной заявки и
равной одной тонне груза как при завозе-вывозе, так и при работе экспедитора:
СТЭУ =1320 + 9435 = 10785
рублей/т
С внедренной системой АС ЭТРАН:
СТЭУ = 330 + 9435 = 9365 рублей/т
Результаты и расчетов приведены в таблице № 6
Таблица №6 - Затраты на оказания транспортно-логистических
услуг
|
Услуги
|
Затраты
на работу экспедитора, руб./услуга
|
|
1
группа
|
Существующий
вариант
|
Вариант
с системой ЭТРАН
|
|
2640
|
330
|
|
2
группа
|
9435
|
9435
|
|
Суммарные
затраты, руб. в год
|
1108800
|
738600
|
Исходя из таблицы видно, что АС ЭТРАН выгодно
использовать, потому что сократиться время на оформление документов и
уменьшатся затраты на оказание услуг первой группы, а следовательно и суммарно
со 2 группой на оказание всех услуг.
7. Сравнение вариантов перевозки
скоропортящегося груза автомобильным и железнодорожным транспортом
Для каждого экспедитора важно получить как можно
большую выгоду от стоимости перевозки. В связи с этим экспедитор в зависимости
от вида груза и дальности перевозки выбирает вид транспорта и тип подвижного
состава. В данном дипломном проекте рассматриваются скоропортящиеся грузы.
Каждый вид транспорта имеет свои плюсы и минусы. Автомобильный транспорт
традиционно используется для перевозок на короткие расстояния. Одно из основных
преимуществ - высокая маневренность. С помощью автомобильного транспорта груз
может доставляться "от дверей до дверей" с необходимой степенью
срочности. Этот вид транспорта обеспечивает регулярность поставки, а также
возможность поставки малыми партиями. Здесь, по сравнению с другими видами, предъявляются
менее жесткие требования к упаковке товара. Основным недостатком автомобильного
транспорта является сравнительно высокая себестоимость перевозок, плата за
которые обычно взимается по максимальной грузоподъемности автомобиля. К другим
недостаткам этого вида транспорта относят также срочность разгрузки,
возможность хищения груза и угона автотранспорта, сравнительно малую
грузоподъемность. Автомобильный транспорт экологически неблагоприятен, что
также сдерживает его применение. Железнодорожный транспорт. Этот вид
транспорта хорошо приспособлен для перевозки различных партий грузов при любых
погодных условиях. Железнодорожный транспорт обеспечивает возможность
сравнительно быстрой доставки груза на большие расстояния. Перевозки регулярны.
Здесь можно эффективно организовать выполнение погрузочно-разгрузочных работ.
ООО “Оператор рефрижераторного терминала”
занимается экспедированием скоропортящихся грузов в автомобильном и
железнодорожном сообщении по всей России. В зависимости от расстояния рассчитывается
стоимость перевозки, отсюда выбирается вид транспорта. На дальние перевозки -
железнодорожный, на ближние - автомобильный. Каждый год меняются тарифные
планы на каждом виде транспорта. Таким образом с позапрошлого года прекратились
железнодорожные перевозки в Самару, так как выгоднее стало перевозить грузы
автомобилями. В данном разделе хочу дать экономическое обоснование низкой
стоимости перевозки автомобильным видом транспорта по сравнению с
железнодорожным. По итогам 2008 года падение железнодорожных объемов перевозок
различных видов скоропортящихся грузов, вызванное как тарифами и условиями
перевозки, так и экономическим кризисом, составило от 13 до 30%.
Одной из основных причин ухудшения показателей
стал переход обеих категорий грузов на автотранспорт как наиболее мобильный вид
передвижения. Динамика перевозки всех видов скоропортящихся грузов по итогам
2009г. и первых месяцев 2010-го заметно изменилась по отношению к аналогичным
периодам 2008- 2009 гг. Причиной тому, как известно, стала общая экономическая
ситуация в стране. Ведь согласитесь, что такие напитки, как пиво или соки, а
также и более крепкие: вино и водка, - все они являются лишь дополнением в
традиционную потребительскую корзину. Второй тенденцией является продолжение
перетекания грузопотока с железнодорожного транспорта на автомобильный.
Напомним, что еще до 2006 года в России основная доля перевозок этой в сфере
приходилась на РЖД, а автотранспорт покрывал лишь доставку на небольшие
расстояния в регионах. Но именно 2006-й стоит считать отправной точкой перемен.
Автопарк компаний стал расти опережающими темпами. Плюс ко всему ориентация
властей страны на ремонт и строительство новых автодорог в период
экономического подъема привела к постепенному увеличению доли автомобильного сервиса
в вопросах доставки грузов.
Виды подвижного состава для перевозок
скоропортящихся грузов: - автономный рефрижераторный вагон (АРВ), - групповой
рефрижераторный подвижной состав (рефрижераторные секции БМЗ или завода
«Дессау»), как правило, 4-вагонные; - автономный рефрижераторный вагон с
обслуживающее бригадой (АРВ-Э); - вагон групп. реф. подвижного состава; -
вагон-термос.
.1 Расчет стоимости доставки скоропортящихся
грузов железнодорожным транспортом
Железнодорожный транспорт Станция отправления:
Новый порт, код 035809.
Станция назначения: Самара, код 657907.
Тарифное расстояние 1991 км.
Для перевозки используем автономный
рефрижераторный вагон.
) Расчет времени доставки
Тдост =
+ Тнк + Тнс +
Тспбм
где Тдост - срок доставки груза, сут,
Тнс - при перевозке грузов на
расстоянии от 1000 км, перевозимых в рефрижераторных вагонах для их накопления
и сортировки на грузосортировочных платформа, сут. = 3 сут,
Тспбм - при отправлении грузов с
железнодорожных станций Московского и Санкт-Петербургского узлов или прибытии
грузов на станции этих узлов, а также при следовании грузов транзитом через эти
узлы, сут. = 1 сут
Тнк - на начально-конечные операции, сут. = 2
сут;
L - тарифное расстояние,
км = 1991км;
V жд - норма
суточного пробега рефрижераторного вагона ж/д транспортом, км/сут = 310 км/сут.
Сроки доставки грузов, исчисленные исходя из
норм суточного пробега увеличиваются:
Срок доставки грузов увеличивается на все время
задержки грузов таможенным другими организациями в пути следования более чем на
одни сутки задержки грузов в пути следования для исправления погрузки,
устранения перегруза грузов, исправления технического или коммерческого
состояния, возникшей по независящим от железной дороги причинам и пр.
Таким образом, получаем сроки доставки грузов:
Тдост=1991/400+2 + 3 + 1 = 11 сут.
) Определение платы за перевозку грузов
а.тип перевозки: внутригосударственная
б.вид отправки: повагонная
в.масса брутто: 40 т
г.принадлежность: собственная
д.скорость перевозки: грузовая (90 км/ч)
е.наименование груза: рыба свежемороженая
ж.код по ЕТСНГ: 572080
з.тарифный класс: 2
и.тарифное расстояние: 1991 км
к. № тарифной схемы за использование
инфраструктуры: 31. провозная плата по схеме №31: 15643 руб. м. коэффициент
индексации: 2,124. с учетом коэф. для АРВ и коэфф. на скоропортящиеся грузы:
15643*0,9*0,840= 11826,1 руб.
н. плата с учетом коэффициента индексации:
11826,1*2,124=25118,65руб.
о. плата за охрану: -
п. налог на добавленную стоимость 18%:
25119*0,18=4521,42руб.
р. итого провозная плата за перевозку:
29640,42руб.
8.2 Расчет стоимости доставки скоропортящихся
грузов автомобильным видом транспорта
Место отправки: Новый порт Место выгрузки:
Самара. Тарифное расстояние 1991 км
) Срок доставки будет состоять только из
TX=L/Va (19)
Va
- средняя скорость автомобильного транспорта, км/ч = 60 км/ч
Г =1795 /60 = 30ч
Определение платы за перевозку грузов
а.тип перевозки: внутригосударственная
б.вид отправки: автомобильная
в.масса брутто: 40 т
г.средняя скорость перевозки: 60 км/ч
д.наименование груза: рыба свежемороженая
е.тарифное расстояние: 1991 км
ж.заработная плата водителя: 200 руб./ч
з.время в движении: 30 ч
и.время отдыха: 8 ч
к. итого время в пути: 38 ч
л. итоговая заработная плата водителя: 7600 руб.
м. расходы на бензин: 28 руб/литр
н. расход бензина: 300 л/1000 км
о. расходы на бензин: 15000 руб.
п. плата за охрану: -
р. амортизационные и прочие отчисления: 1000
руб/рейс
с. итого расходы на перевозку: 47200 руб.
Анализ результатов
Для наглядности сведем все в таблицу
Таблица 7 - Сравнение вариантов перевозки СПГ
|
Показатель
|
Единица
измерения
|
Автомобильный
транспорт
|
Повагонная
отправка
|
Маршрутная
отправка
|
|
Расстояние
|
км
|
1795
|
1991
|
1991
|
|
Стоимость
|
руб.
|
47200
|
29640
|
27268
|
|
Разность
в стоимости
|
руб.
|
-
|
17560
|
13932
|
|
Стоимость на 1 т
|
руб.
|
1180
|
741
|
682
|
|
Срок
доставки
|
сут.
|
1,7
|
11
|
7
|
Вывод: Доставка автомобильным транспортом
дешевле и намного быстрее доставки железнодорожным транспортом, но на более
длинных плечах ситуация меняется.
смешанный перевозка экспедиторский
груз
8. Оценка устойчивости
элементов инженерно-технического комплекса объекта и возможных объемов
разрушений при аварийном взрыве на станции Новый Порт
Одной из главных задач является определение
безопасных расстояний от взрывоопасных объекта, к которым относятся склады ГВС,
бензоколонки и другие объекты.
Рассмотрим наиболее опасный объект ЖТ на станции
Новый Порт, определим безопасное расстояние в случае ЧС и разработаем
предложения по повышению устойчивости элементов объекта и предотвращению ЧС.
. Исходные данные:
На территории станции Новый порт имеются
цисцерны с жидким топливом. Вид взрывоопасного материала - ЖТ, масса которого
составляет 50 тонн.
. Требуется исполнить:
) привести характеристику параметров воздушной
ударной волны аварийного взрыва;
) определить изменение значений избыточного
давления во фронте воздушной ударной волны ∆Рф в зависимости
от расстояния R для заданной массы
взрывоопасного материала;
) определить границу зоны сохранения
устойчивости элементов ИТК объекта (место(а) возможного размещения
взрывоопасного источника ЧС).
.1 Характеристика очага взрыва
При разрушении емкостей с жидким топливом
взрывается не само топливо, а горюче воздушная смесь (ГВС, то есть пары
топлива, скапливающиеся в свободном объеме между верхней поверхностью и крышкой
резервуара).
При взрыве ГВС образуются 3-и зоны:
Зона I
детонационной волны находится в пределах облака взрыва. Радиус этой зоны R1,
м,
зависит от массы Q, т,
продукта взрыва и приблизительно может быть определен по формуле:
R=k
Q,
где k
- коэффициент пропорциональности, для ГВС коэффициент может быть принятым 17,5
В пределах зоны I
действует постоянное избыточное давление PФ1
(для ГВС PФ1=1700
кПа).
Зона II
действия продуктов взрыва охватывает всю площадь разлета продуктов взрыва, где
избыточное давление постоянно падает и на внешней границе R2=1,7R1.
В I
и II зонах все наземные
здания и сооружения разрушаются практически полностью.
Зона III
действия воздушной ударной волны формируется фронт ударной волны, распространяющийся
по поверхности земли. Значение параметров воздушной ударной волны в этой зоне
при одной и той же массе взрывоопасных веществ на одинаковом удалении от центра
взрыва зависят от вида взрывоопасных веществ. В зонах 1 и 2 все наземные здания
и сооружения разрушаются полностью.
Построение графиков изменения параметров ударной
волны.
Техническое состояние ИТК зависит от их
устойчивости и расчетных параметров ударной волны, воздействующей на эти
элементы ( избыточное давление во фронте ударной волны ∆Рф,
вызывающее разрушающее действие, величина скоростного напора Рск, обладающего
метательным действием и вызывающее смещение, опрокидывание и отбрасывание
элементов ИТК).
Величина избыточного давления и скоростного
напора связаны между собой зависимость:
(1)
Таким образом, определение степени разрушения
элементов ИТК нужно определить ∆Рф(∆Рск) в
районе каждого из элементов с предельными значениями.
Определение характера изменения ∆Рф
в зоне действия воздушной ударной волны (график ∆Рф= f
(R)) ведем, используя
табличные значения спада Рф для массы взрывоопасных веществ Qтабл,
равной 1000 т. и закон подобия взрывов. Задавая значения Рф - 300,
200, 100, 50, 30, 20, 10 кПа, по закону подобия взрывов определяем расстояние Rx
для заданной массы взрывающегося вещества:
(2)
Где
- табличное
значение расстояния от центра взрыва для приведенной в таблице массы
- фактическое
значение расстояния для фактической массы
.
Результаты расчетов
сведем в таблицу:
Таблица 8 - Зависимость значения ∆
от
расстояния источника взрыва.
|
Расстояние
от источника взрыва ЖТ, м.
|
Значение
∆ , кПа
|
|
300
|
200
|
100
|
50
|
30
|
20
|
10
|
|
Rгвс
|
153,3
|
182,1
|
249,2
|
364,2
|
498,3
|
642,1
|
920
|
Пример расчета: с использованием подобия взрывов
определяем, на каком удалении от центра взрыва будут иметь место заданные
избыточные давления:
при
Определяем величину скоростного напора ∆Рск,кПа
для каждой величины избыточного давления ∆Рф по формуле
(1).Результаты расчетов сведем в таблицу.
Таблица 8.1. - Зависимость величины скоростного
напора ∆Рск от избыточного давления.
|
Избыточное
давление ∆Рф, кПа
|
300
|
200
|
100
|
50
|
30
|
20
|
10
|
|
Скоростной
напор ∆Рск, кПа
|
220,6
|
108,7
|
30,5
|
8,12
|
3
|
0,81
|
0,34
|
Пример расчета: при избыточном давлении равном
300, ∆Рск =2,5*3002/ (300+720)=220,6 кПа; при
избыточном давлении равном 200, ∆Рск = 2,5*2002/
(200+720)=108,7 кПа; при избыточном давлении равном 100, ∆Рск =
2,5*1002/(100+720) = 30,5 кПа.
.2 Определение устойчивости основных элементов
станции Новый порт и границ зоны безопасности
По характеру воздействия ударной волны на
элементы объекта они делятся на 3-и группы:
1. Массивные
здания и сооружения, больших размеров, имеющие фундамент (здания различных
типов, защитные сооружения).
2. Элементы,
быстро обтекаемые ударной волной (ж.д. путь, подвижной состав, машины, станки).
3. Элементы,
поверженные инерционному разрушению (аппараты связи, измерительные приборы).
Сооружения 1-ой группы разрушаются в основном
при воздействии на них избыточного давления во фронте ударной волны ∆Рф.
На станции Новый Порт имеются сооружения и 2-ой
группы, это подвижной состав, отправляемый на ремонт. Для сооружения этой
группы опасность представляет не ∆Рф, а скоростной напор
воздуха, способный сдвигать, опрокидывать и отбрасывать.
Для локомотивов и вагонов необходимо производить
расчеты на опрокидывание (отброс). Опрокидывание быстро обтекаемых элементов
ИТК будет происходить при условии:
Моп > Муд,
где
Моп - опрокидывающий момент;
Муд - удерживающий момент.
При этом определяют ∆Рскпред,
кПа по следующей формуле:
∆ Рскпред = m*q*b/(2*Cx*Z*Sм),
где
Сх- коэффициент аэродинамического
сопротивления элемента, принимается по [28, таб.8.2].
Sм
- площадь Мидлева сечения обтекаемого элемента, м2.
Z - плечо
опрокидывания, м.
m - масса, элемента,
кг.
b/2 - удерживающее
плечо,м.
q - ускорение
свободного падения, м/с2.
Для локомотива марки 2ТЭ116.
m=210000 кг.
Sм=1*h=28,34*2,57=72,83
м2, Сх=1,3, Z=h/2=2,57/2=1,29
м.
Тогда
∆Рскпред=210000*9,8*3,282/(2*1,3*1,29*72,83)=27,7
кПа
Тогда предельное значение ∆Рск,
при превышении которого произойдет опрокидывание, равно 27,7 кПа. Используя
полученные значения ∆Рск и зависимость между ∆Рф
и ∆Рск, находим ∆Рф=23 кПа.
Если значение ∆Рф больше
расчетного в районе элемента ИТК, то элемент опрокинется. Если ∆Рф
в районе окажется больше 23 кПа, то считается, что элемент будет отброшен и
получит сильное разрушение.
Для элементов 1-ой группы предел устойчивости
зависит от свойств элемента и характеризуется предельными значениями ∆Рф,
при превышении которого происходит среднее разрушение, не допускающее
дальнейшее использование элемента без его восстановления. Каждому пределу
устойчивости соответствует свой радиус функционирования Rф.
За пределами Rф
сохраняется устойчивость элементов ИТК станции Новый порт.
Результаты анализа устойчивости элементов ИТК
сведем в таблицу.
Таблица 9 - Анализ устойчивости элементов ИТК
станции Новый порт.
|
Наименование
элементов ИТК
|
Предельные
значения анализа Рф, при превышении которого наступает разрушение
|
Предел
устойчивости элементов, кПа
|
|
слабые
|
средние
|
сильные
|
|
|
Ж/Д
путь
|
100
|
150
|
300
|
150
|
|
Здания
с металлическим каркасом
|
20
|
30
|
40
|
30
|
|
Здания
кирпичные малоэтажные
|
10
|
15
|
25
|
15
|
|
Шоссейные
дороги с твердым покрытием
|
120
|
300
|
600
|
300
|
|
Трансформаторные
подстанции
|
10
|
30
|
60
|
30
|
Значит предел устойчивости станции = 15 кПа.
Элементов 3-ей группы нет.
Все расчетные данные сведены в итоговую таблицу
Таблица 9.1 - Таблица устойчивости элементов
объекта.
|
Наименование
элемента объекта
|
Предел
устойчивости элемента, Рф, кПа
|
Радиус
функционирования, Rф,м.
|
|
Элементы
1-ой группы
|
|
Ж/Д
путь
|
150
|
|
Здание
с металлическим каркасом
|
30
|
540
|
|
Здания
кирпичные малоэтажные
|
15
|
781,05
|
|
Шоссейные
дороги с твердым покрытием
|
300
|
166,1
|
|
Трансформаторные
подстанции
|
30
|
540
|
|
Элементы
2-ой группы
|
|
Локомотив
марки 2ТЭ116
|
27,7
|
549,5
|
|
Крытый
вагон
|
23
|
559
|
|
|
|
|
|
|
|
Пример расчета радиуса функционирования методом
интерполяции:
Для 15 кПа Rф
= 642,1+(920-642,1/20-10)*(15-10)=781,05 м.
Для 23 кПа Rф
=
642,1- (920 -642,1/30-20)*(23-20)=558,73 м.
Выводы по разделу
При аварийном взрыве опасного объекта (вид
взрывоопасного материала - ГВС, массой 50 т.) на станции Новый порт радиус зоны
разрушений будет равен 707 м, т.е все объекты находящиеся в этой зоне получат
те или иные повреждения, разделенные на 3 области: область с слабыми
повреждениями; область с средними повреждениями; область с сильными
повреждениями. На прилагаемой схеме приведены эти повреждения. Так же что бы
избежать серьезных последствий на станции Новый порт, стоит особо тщательно
следить за вагонами с ГВС находящихся на расстоянии менее 225м к железнодорожному
пути, всех зданий с металлическим каркасом 540м, всех зданий кирпичных
малоэтажных так же имеющихся на станции Новый порт на 780,6м, шоссейной дороги
прилегающей к станции на расстояние 166,1м и трансформаторной подстанции
находящейся в пределах станции на 540м, т.к в пределах этих зон сохраняется
устойчивость элементов ИТК станции Новый порт.
9. Расчет искусственного освещения и
молниезащиты. Основные положения.
Освещенность рабочих поверхностей является одной
из важнейших характеристик производственной среды. Недостаточная или избыточная
освещенность приводит к значительному снижению производительности и качества
труда, увеличивает вероятность несчастных случаев, приводит к возникновению
профессионального заболевания зрительного анализатора. В зависимости от
назначения искусственное освещение классифицируется на рабочее, аварийное,
эвакуационное, охранное и дежурное.
Рабочее освещение на основании
технико-экономического обоснования может проектироваться в виде системы общего
или комбинированного освещения. Система общего освещения может быть равномерной
или локализованной. При равномерной системе общего освещения осветительные
приборы (ОП) равномерно распределяются в верхней зоне, при локализованной - с
учетом расположения рабочих мест.
Комбинированная система - это совокупность
общего и местного освещения. Местное освещение, как дополнение к общему,
предназначено только для конкретного рабочего места. Устройство только одного
местного освещения запрещается нормами, так как ухудшаются условия работы
зрительного анализатора из-за существенных перепадов освещенности в
периферийном поле зрения человека.
Важное значение в обеспечении благоприятных
условий для зрительной работы имеет качество освещения. В производственных
помещениях, кроме освещенности, нормируются качественные характеристики
осветительной установки (ОУ): коэффициент пульсации освещенности (для
газоразрядных источников света)¸
показатель ослепленности, коэффициент, учитывающий неравномерность освещенности
в зоне рабочих мест. Качественные характеристики наружных ОУ являются
показатель ослепленности и коэффициент неравномерности освещенности в рабочих
зонах. В помещениях общественных и вспомогательных зданий качество освещения
характеризуются показателями дискомфорта, значением цилиндрической освещенности
и коэффициентом пульсации освещенности.
Исходные данные:
Площадь склада S = 2000
; Длина А = 50 м; Ширина В = 40м.
Высота h = 10м;
Высота подвеса оп над рабочей поверхностью 
= 9м; тип ОП - лампы ДРЛ.
9.1 Расчет освещения
Расчет систем освещения рационально проводить в
последовательности, показанной на рисунке.
Цель расчета - определить число и мощность
светильников, необходимых для создания заданной нормативной освещенности, а
также выбор их расположения на освещаемом объекте.
Как правило, расчет ведется одним из двух путей:
либо число и расположение светильников намечают до расчета, а расчет сводится к
определению мощности одной лампы, либо задаются заранее мощность лампы и типом
светильника, а расчет сводится к наложению их количества и расположению в
пространстве.
Рисунок 5 - Алгоритм расчета освещения производственного
объекта
Для того чтобы рассчитать потребное число ОП на
складе, необходимо воспользоваться формулой:
Где N
- количество ОП, необходимое для полноценного освещения;
Ф - световой поток ИС, лм; 
- нормированная освещенность, лк
(для стеллажного хранения разряд зрительной работы VI-1 - 100 лк - с лампами
накаливания.) S - освещаемая площадь, 
; z -
коэффициент отношения средней освещенности к минимальной (для ЛН и ДРЛ z = 1.15, для
ЛЛ z = 1.10); k -
коэффициент запаса, учитывающий старение ИС и загрязнение ОП и ИС (для ДРЛ k=1,5); 
- коэффициент использования
светового потока, определяется в зависимости от индекса помещения; n - число ИС
в ОП.
Индекс помещения определяется по формуле:
Где 
- высота подвеса оп над рабочей
поверхностью, м; А и В - длина и ширина помещения, м.
Исходя из того, что помещение,
содержащее содержание пыли, дыма и копоти менее 1 мг/
и используемое лампы ДРЛ, имеет
индекс 
= 2,5, коэффициент использования
светового потока 
= 0,6. По расчетному световому
потоку подбирается типовой ИС, при этом допускается отклонение номинального
светового потока от требуемого расчетом в пределах от -10 до +20 %. При
невозможности выбрать ИС, световой поток которого находится в указанных
пределах, изменяется количество ОП или мощность ИС. Для данного помещения
выбираем дуговые ртутные люминесцентные лампы ДРЛ(ДРИ)-400, тип ОП - РПП, с количеством
ламп в одном ОП - 1. Световой поток Ф = 23000 лм.
Рассчитываем необходимое количество
ОП для склада с S = 2000 
:

= 
= 23,913 ≈24 лампы
Вывод по разделу: для склада
хранения скоропортящихся грузов площадью 2000 
и высотой 10 м необходимо 24 лампы
ДРЛ(ДРИ)-400, тип ОП - РПП, с количеством ламп в одном ОП - 1.
9.2 Расчёт молниезащиты. Основные положения
Молниезащита - комплекс защитных мер от разрядов
атмосферного статического электричества. Молниезащита защищает от прямого удара
молнии и заноса в здание атмосферных перенапряжений по проводам воздушных
линий низкого напряжения. Область применения: все здания и сооружения,
относящиеся по ПУЭ к классам В-I, В- II, В- I а, В- I б, В- I г, В- II а, П-I,
П-II, П- II а, П- III, здания и сооружения III, и IV,
V степеней
огнестойкости, общественные и жилые здания. Техническое решение: защита
осуществляется молниеотводом, заземление крюков или штырей всех фазных проводов
на вводах в здания, на концевых опорах, а также через каждые 100-200м вдоль
электрической линии.
Молниеотвод состоит из молниеприемника,
непосредственно воспринимающий разряд, токоотвода, обеспечивающего прохождение
по нему разрядного тока к заземляющему устройству, и самого заземляющего
устройства, обеспечивающего на большой площади непосредственный контакт с
землей. Молниеотводы могут быть стержневые, тросовые и сетчатые. Каждый
молниеотвод образует вокруг себя зону защиты - строго определенное
пространство, вероятность попадания молнии в которое, минуя молниеприемник, практически
равно нулю.
Расчет молниезащиты.
Исходные данные объекта:
Ширина S
= 40м,
Длина L
= 50м,
Максимальная высота 
= 10м.
Порядок расчета.
Зная размеры объекта, определяем ожидаемое
количество поражений его молнией (в год):
Для зданий прямоугольной формы
N= [(S + 6h)×(L + 6h) - 7.7
] × n × 
,
Где n -
среднегодовое число ударов молнии в 1
земной поверхности в месте
расположения объекта, n зависит от интенсивности грозовой
деятельности (часов в год), для Санкт-Петербурга n ≈ 4,5
Определяем ожидаемое количество поражений молнии:
N= [(40 + 6*10)
× (50 + 6*10) - 7,7 × 
] × 4.5 × 
= 0,046
В результате расчетов выбираем тип
зоны защиты Б с категорией молниезащиты - III. Для защиты сооружения от ударов
молний выбираем одиночный стержневой молниеотвод. Высота молниеотвода:

= 
= 27.53 м
Рассчитываем параметры молниезащиты
для одиночного стержневого молниеотвода высотой h = 28 м.
Высота зоны защиты 
над землей, м:

0,92 × 27,53 = 25,33 м,
Радиус зоны защиты 
м:

= 1,5h = 1.5
×27.53 = 41.23 м,
Радиус зоны защиты 
на высоте 
над землей, м:

Вывод по разделу: Для того, чтобы
защитить здание от поражения молний необходимо установить одиночный стержневой
молниеотвод высотой 25 метров.