Сфера и шар
Сфера и шар
Работа ученика 11
класса
средней школы №1906
юго-западного округа
г.Москвы
Кашина Виталия.
Сфера и шар.
Сфера-это фигура,
состоящая из всех точек пространства, удалённых от данной точки на данном
расстоянии. {1,2}
Точка О называется
центром сферы, R-радиус сферы.
Любой отрезок,
соединяющий центр и какую-нибудь точку сферы, называется радиусом сферы.
Отрезок, соединяющий две точки сферы и проходящий через её центр, называется
диаметром сферы.
(или фигура, ограниченная
сферой).
Уравнение сферы. {3}
M(x;y;z)-произвольная
точка, принадлежащая сфере.
след. MC=
т.к. MC=R, то
если т.М не лежит на
сфере, то MC
R, т.е. координаты точки М
не удовлетворяют уравнению.Следовательно,
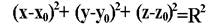
в прямоугольной системе координат уравнение сферы радиуса R с центром C(x0;y0;z0;) имеет
вид : {4}
Взаимное расположение сферы и плоскости.
{5,6,7}

d - расстояние от центра
сферы до плоскости.
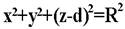
след. C(0;0;d), поэтому
сфера имеет уравнение {8}
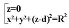
плоскость совпадает с Оxy,
и поэтому её уравнение имеет вид z=0
Если т.М(x;y;z) удовлетворяет
обоим уравнениям, то она лежит и в плоскости и на сфере, т.е. является общей
точкой плоскости и сферы.
след. возможны 3 решения
системы :
{9}
1) d<R
, d^2<R^2 , x^2 + y^2 = R^2 - d^2 > 0
2) d=R , x^2 + y^2
=0 , x=y=0 след. сфера пересекается плоскостью в точке О(0;0;0)
3) d>R , d^2>R^2 R^2 - d^2 <
0
x^2 + y^2 >=0 , x^2+y^2=R^2 - d^2 не имеет
решений
Касательная плоскость к сфере.
Плоскость, имеющая со
сферой только одну общую точку, называется касательной плоскостью к сфере, а их
общая точка называется точкой касания плоскости и сферы.
Теорема:
Радиус сферы,
проведённый в точку касания сферы и плоскости, перпендикулярен к касательной
плоскости. {10}
Доказательство:
Предположим, что ОА не
перпендикулярен плоскости, след. ОА-наклонная к плоскости, след. ОА > R , но
т.А принадлежит сфере, то получаем противоречие, след. ОА перпендикулярен
плоскости.
ч.т.д.
Теорема:
Если радиус сферы
перпендикулярен к плоскости, проходящей через его конец, лежащий на сфере, то
эта плоскость является касательной к сфере.
Доказательство:
Из условия теоремы
следует, что данный радиус является перпендикуляром, проведённым из центра
сферы к данной плоскости. Поэтому расстояние от центра сферы до плоскости
равно радиусу сферы, и, следовательно, сфера и плоскость имеют только одну
общую точку. Это означает, что данная плоскость является касательной к сфере.
ч.т.д.
Площадь сферы:
Для определения площади
сферы воспользуемся понятием описанного многогранника. Многогранник называется
описанным около сферы (шара) , если сфера касается всех его граней. При этом
сфера называется вписанной в многогранник.
Пусть описанный около
сферы многогранник имеет n-граней. Будем неограниченно увеличивать n таким
образом, чтобы наибольший размер кождой грани стремился к нулю. За площадь
сферы примем предел последовательности площадей поверхностей описанных около
сферы многогранников при стремлении к нулю наибольшего размера кождой грани.
Можно доказать, что этот предел существует, и получить формулу для вычесления
площади сферы радиуса R :
S=4ПR^2