Методы решения уравнений в странах древнего мира

  • Вид работы:
    Реферат
  • Предмет:
    Математика
  • Язык:
    Русский
    ,
    Формат файла:
    MS Word
    90,38 kb
  • Опубликовано:
    2009-01-12
Вы можете узнать стоимость помощи в написании студенческой работы.
Помощь в написании работы, которую точно примут!

Методы решения уравнений в странах древнего мира

Методы решения уравнений в странах древнего мира.

     История алгебры уходит своими корнями в древние времена. Задачи, связанные  с уравнениями, решались ещё в Древнем Египте и Вавилоне. Теория уравнений интересовала и интересует математиков всех времён и народов.

     В Древнем Египте и Вавилоне использовался метод ложного положения («фальфивое правило»)

     Уравнение первой степени с одним неизвестным мо­жно привести всегда к виду ах + Ь == с, в котором а, Ь, с — целые числа. По правилам арифметических дейст­вий ах = сb,

Если Ь > с, то с — b число отрицательное. Отрицатель­ные числа были египтянам и многим другим более позд­ним народам неизвестны (равноправно с положитель­ными числами их стали употреблять в математике толь­ко в семнадцатом веке).

Для решения задач, которые мы теперь решаем урав­нениями первой степени, был изобретен метод лож­ного положения.

В папирусе Ахмеса 15 задач решается этим методом. Решение первой из них позволяет понять, как рассуждал автор.

Египтяне имели особый знак для обозначения неиз­вестного числа, который до недавнего прошлого читали «хау» и переводили словом «куча» («куча» или «неизве­стное количество» единиц). Теперь читают немного ме­нее неточно: «ага».

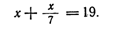
bqt задача № 24 сборника Ахмеса:

«Куча. Ее седьмая часть ('подразумевается: «дают в сумме») 19. Найти кучу».

Запись задачи нашими знаками:

Решение Ахмеса может быть представлено в наших символах в следующих четырех столбцах:

Во многих задачах в начале или в конце встречаются слова: «Делай как делается», другими словами: «Делай, как люди делают».

Смысл решения Ахмеса легко понять.

Делается предположение, что. куча есть 7; тогда  ее часть есть 1. Это записано в первом столбце.

     Во втором столбце записано, что при предположении х=7 куча и ее   часть дали бы 8 вместо 19. Удвоение предположения дает 16. Автор, в уме очевидно, прики­дывает, что дальше удваивать предположение нельзя, так как тогда получится больше 19. Он записывает 16, ставит перед числом две точки для обозначения удвое­ния первоначального предположения и отмечает значком (у нас — звездочкой) результат; для получения в сумме 19 первоначальное предположение надо умножить -на 2 с некоторым добавлением, так как для получения точ­ного результата, 19, не хватает еще 19—16=3. Ахмес находит  от 8, получает 4. Так как это больше нехватки 3, то на  предположение умножить нельзя. Но  от 8 есть 2,  от восьми 1. Ахмес видит, что  и  первона­чального результата дают точно те 3 единицы, которых не хватало. Отметив  и  значками, Ахмес убедился, что первоначальное предположение для кучи (7) надо помножить на

Умножение числа 7 на смешанное число  Ахмес заменяет умножением смешанного числа  на 7. В третьем столбце выписаны:   часть искомой кучи есть , удвоенное это число:  и учетверенное: . Сумма этих трех чисел, равная числу , есть произведение первоначального предположения 7 на .

Итак, куча равна .

В последнем столбце Ахмес делает проверку, склады­вая полученное значение для кучи  и его  части . В сумме получается 19, и решение за­канчивается обычным для автора заключением: «Будет хорошо».

Способ решения, примененный Ахмесом, называется методом одного ложного положения. При помощи этого метода решаются уравнения вида ах == b. Его применяли как египтяне, так и вавилоняне.

У разных народов применялся метод двух лож­ных положений. Арабами этот метод был механи­зирован и получил ту форму, в которой он перешел в учебники европейских народов, в том числе в «Арифме­тику» Магницкого. Магницкий называет способ решения «фальшивым правилом» и пишет о части своей книги, излагающей этот метод:

 Зело бо хитра есть сия часть,

                                                  Яко можеши ею все класть (вычислить. — И. Д.)

         Не токмо что есть во гражданстве,

        Но и высших наук в пространстве,

                                                   Яже числятся в сфере неба,

Якоже мудрым есть потреба.

     Содержание стихов Магницкого можно вкратце пе­редать так: эта часть арифметики весьма хитрая. При помощи ее можно вычислить не только то, что понадо­бится в житейской практике, но она решает и вопросы «высшие», которые встают перед «мудрыми».

Магницкий пользуется «фальшивым правилом» в форме, какую ему придали арабы, называя его «арифме­тикой двух ошибок» или «методой весов».

                      

                                 Квадратные уравнения в Древнем Вавилоне

Необходимость решать уравнения не только первой, но и вто­рой степени еще в древности была вызвана потребностью решать задачи, связанные с нахождением площадей земельных участков и с земляными работами военного характера, а также с развитием астрономии и самой математики. Квадратные уравнения умели решать около 2000 лет до н. э. вавилоняне. Применяя современную алгебраическую запись, можно сказать, что в их клинописных текстах встречаются, кроме неполных, и такие, например, полные квадратные уравнения:

Правило решения этих уравнений, изложенное в вавилонских текстах, совпадает по существу с современным, однако неизвестно, каким образом дошли вавилоняне до этого правила. Почти все найденные до сих пор клинописные тексты приводят только за­дачи с решениями, изложенными в виде рецептов, без указаний относительно того, каким образом они были найдены.

Несмотря на высокий уровень развития алгебры в Вавилоне, • в клинописных текстах отсутствуют понятие отрицательного числа и общие методы решения квадратных уравнений.

. Как составлял и решал Диофант квадратные уравнения ,

В «Арифметике» Диофанта нет систематического изложения алгебры, однако в ней содержится систематизированный ряд за­дач, сопровождаемых объяснениями и решаемых при помощи со­ставления уравнений разных степеней.

При составлении уравнений Диофант для упрощения решения умело выбирает неизвестные.

Вот, к примеру, одна из его задач.

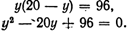
 «Найти два числа, зная, что их сумма равна 20, а произведение — 96».

Диофант рассуждает следующим образом: из условия задачи вытекает, что искомые числа не равны, так как если бы они были равны, то их произведение равнялось бы не 96, а 100. Таким об­разом, одно из них будет больше половины их суммы, т. е. 10 + х, другое же меньше, т. е. 10 — х. Разность между ними 2х. Отсюда уравнение

(1)

 

или же




Отсюда х = 2. Одно из искомых чисел равно 12, другое 8. Решение х = —2 для Диофанта не существует, так как греческая матема­тика знала только положительные числа.

(2)_

 
Если мы решим эту задачу, выбирая в качестве неизвестного одно из искомых чисел, то мы придем к решению уравнения

Ясно, что, выбирая в качестве неизвестного полу разность ис­комых чисел, Диофант упрощает решение; ему удается свести за­дачу к решению неполного квадратного уравнения (1).

Квадратные уравнения в Индии.

Задачи на уравнения встречаются уже в астрономическом трактате «Ариабхаттаим», составленном в 449 г. индийским математиком и астрономом Арибхаттой. Но это уже раннее средневековье.

В Алгебраическом трактате ал-Хорезми даётся классификация линейных и квадратных уравнений.

Индий учёные знали решения неопределённых уравнений в целых числах (в том числе и в отрицательных, чего сам Диофант избегал).

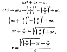
                                              Формула решений квадратного уравнения.

     Греческий математик Герон (I или II век нашего летоисчисления) вывел формулу для решения квадратного равнения ax2 + bx = c умножением всех членов на а и

прибавлением к обеим половинам уравнения  :

В индии пришли к более простому способу вывода, который встречается в школьных учебниках: они умножали на 4a и к обеим половинам по b2. Это даёт:

     Индийские математики часто давали задачи в стихах.

Задача о лотосе.

Над озером тихим, с полмеры над водой,

Был виден лотоса цвет.

Он рос одиноко, и ветер волной

Нагнул его в сторону – и уж нет

Цветка над водой.

В двух мерах от места, где рос.

Сколько озера здесь вода глубока?

Тебе предложу я вопрос.

                                                    Ответ:

Из истории решения системы уравнений, содержащей одно уравнение второй степени и одно линейное

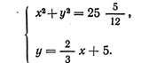
В древневавилонских текстах, написанных в III—II тысячеле­тиях до н. э., содержится немало задач, решаемых с помощью составления систем уравнений, в которые входят и уравнения вто­рой степени. Вот одна из них.

. «Площади двух своих квадратов я сложил: .Сторона второго квадрата равна  стороны первого и еще 5».

Соответствующая система уравнений в современной записи имеет вид:

Для решения системы (1) вавилонский автор возводит во втором уравнении у в квадрат и согласно формуле квадрата суммы, ко­торая ему, видимо, была известна, получает:

Подставляя это значение у в первое из системы уравнений (1), автор приходит к квадратному уравнению:

Решая это уравнение по правилу, применяемому нами в настоя­щее время, автор находит х, после чего определяет у. Итак, хотя вавилоняне и не имели алгебраической символики, они решали задачи алгебраическим методом.

Диофант, который не имел обозначений для многих неизвест­ных, прилагал немало усилий для выбора неизвестного таким об­разом, чтобы свести решение системы к решению одного уравнения. Вот один пример из его «Арифметики».

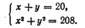
Задача 21. «Найти два числа, зная, что их сумма равна 20, а сумма их квадратов — 208».

Эту задачу мы решили бы путем составления системы уравнений:

Диофант же, выбирая в качестве неизвестного половину раз­ности искомых чисел, получает (в современных обозначениях):

Складывая эти уравнения, а затем вычитая одно из другого (все это Диофант производит устно), получаем

x = 2 + 10; у = 10 —2.

Далее,

х2 + у2 = (г + lO)2 + (10 — г)2 == 2z2 + 200.

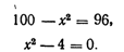
Таким образом,

2z2 + 200 = 208,

откуда

z = 2; х = 2 + 10 = 12; у = 10 — 2 = 8.

Диофантовы уравнения.

Задача Диофанта №80 (Из II книги его «Арифметики»)

Найти 2 таких числа, чтобы сумма квадрата каждого из них с другим искомым числом дала полный квадрат,

Решение Диофанта

Пусть первое число (I) будет s. Чтобы квадрат его •при прибавлении второго числа дал квадрат, второе число должно быть 2s + 1, так как в таком случае вы­полняется требование задачи: квадрат первого числа. сложенный со вторым, дает

s2 + 2s + 1, то есть полный квадрат (s + 1)2.

Квадрат второго числа, сложенный с первым, должен также дать квадрат, то есть число (2s + I)2 + s, равное

4s2 + 5s + 1 == t2

Положим, что t = 2s — 2; тогда t2 = 4s2 — 8s + 4. Это выражение должно равняться 4s2 + 5s + 1. Итак, должно быть:

4s2 — 8s + 4 == 4s2 + 5s + l откуда s=

Значит, задаче удовлетворяют числа:

.

Проверка;

          

Почему Диофант делает предположение, что t==2s—2, он не объясняет. Во всех своих задачах (в дошедших до нас шести книгах его их 189) он делает то или другое предположение, не давая никакого обоснования.

Вообще содержание 6 книг таково:

В «Арифметике» 189 задач, каждая снабжена одним или несколькими решениями. Задачи ставятся в общем виде, затем берутся конкретные значения входящих в нее ве­личин и даются решения.

Задачи книги I в большинстве определенные. В ней имеются и такие, которые решаются с помощью систем двух уравнений с двумя неизвестными, эквивалентных квадратному уравнению. Для его разрешимости Диофант выдвигает условие, чтобы дискриминант был полным квадратом. Так, задача 30— найти таких два числа, чтобы их разность и произведение были заданными числами,— приводится к системе

ху = а, х = b.

Диофант выдвигает «условие формирования»: требуется, чтобы учетверенное произведение чисел, сложенное с квад­ратом разности их, было квадратом, т. е. 4b + а2 = с2.

В книге II решаются задачи, связанные с неопределен­ными уравнениями и системами таких уравнений с 2, 3, 4, 5, 6 неизвестными степени не выше второй.

Диофант применяет различные приемы. Пусть необхо­димо решить неопределенное уравнение второй степени с двумя неизвестными f2 (х, у) ==0. Если у него есть ра­циональное решение (x0, y0), то Диофант вводит подста­новку

x = x0 + t,

y = y0 + kt,

в которой k рационально. После этого основное уравнение преобразуется в квадратное относительно t, у которого свободный член f2 ( x0, у0) = 0. Из уравнения получается t1 == 0 (это значение Диофант отбрасывает), t2 — рацио­нальное число. Тогда подстановка дает рациональные х и у.

В случае, когда задача приводилась к уравнению у2 = ax2 + bx + с, очевидно рациональное решение x0 = О,y0=±C. Подстановка Диофанта выглядит так:

x = t,

y = kt ± c

Другим методом при решении задач книги II Диофант пользовался, когда они приводили к уравнению у2 == = a2x2 + bx + с. Он делал подстановку

x= t,

y = at + k,

после чего х и у выражались рационально через параметр k:

Диофант, по существу, применял теорему, состоящую в том,; что если неопределенное уравнение имеет хотя бы одно рациональное решение, то таких решений будет бес­численное множество, причем значения х и у могут быть представлены в виде рациональных функций некоторого параметра»

В книге II есть задачи, решаемые с помощью «двойного неравенства», т. е. системы

ах + b = и2,

сх + d == v2.

Диофант рассматривает случай а = с, но впоследствии пишет, что метод можно применить и при а : с = т2, Когда а == с, Диофант почленным вычитанием одного ра­венства из другого получает и2и2 = b — d. Затем раз­ность b — d раскладывается на множители b — d = п1 и приравнивает и + v = I, и — v = п, после чего нахо­дит

и = (I + п)/2, v = (I - n)/2, х - (l2 + п2}/4a - {b +  d)/2a.

Если задача сводится к системе из двух или трех урав­нений второй степени, то Диофант находит такие рацио­нальные выражения неизвестных через одно неизвестное и параметры, при которых все уравнения, кроме одного, обращаются в тождества. Из оставшегося уравнения он выражает основное неизвестное через параметры, а затем находит и другие неизвестные.

Методы, разработанные в книге II, Диофант применяет к более трудным задачам книги III, связанным с системами трех, четырех и большего числа уравнений степени не выше второй. Он, кроме того, до формального решения задач проводит исследования и находит условия, которым должны удовлетворять параметры, чтобы решения сущест­вовали.

В книге IV встречаются определенные и неопределен­ные уравнения третьей и более высоких степеней. Здесь дело обстоит значительно сложнее, потому что, вообще говоря, неизвестные невозможно выразить как рациональ­ные функции одного параметра. Но, как и раньше, если известны одна или две рациональные точки кубической кривой fз (х, у) == 0, то можно найти и другие точки. Диофант при решении задач книги IV применяет новые методы»

При решении задач Диофант дважды рассматривает урав­нение Пелля ax2 + 1 = у2.

Задачи книги VI касаются прямоугольных треуголь­ников с рациональными сторонами. К условию х2 + у2 == z2 в них добавляются еще условия относительно площа­дей, периметров, сторон треугольников.

В книге VI доказывается, что если уравнение ax2 + b == у2 имеет хотя бы одно рациональное решение, то их будет бесчисленное множество. Для решения задач книги VI Диофант применяет все употребляемые им спо­собы.

Кстати, в одном из древних рукописных сборников задач в стихах жизнь Диофанта описывается в виде следующей алгебраиче-юй загадки, представляющей надгробную надпись на его могиле

 Прах Диофанта гробница покоит; дивись ей—и камень

 Мудрым искусством его скажет усопшего век.

 Волей богов шестую часть жизни он прожил ребенком.

 И половину шестой встретил с пушком на щеках.

 Только минула седьмая, с подругою он обручился.

 С нею пять лет проведя, сына дождался мудрец;

 Только полжизни отцовской возлюбленный сын его прожил.

 Отнят он был у отца ранней могилой своей.

 Дважды два года родитель оплакивал тяжкое горе,

 Тут и увидел предел жизни печальной своей.

Задача-загадка сводится к составлению и решению уравнения:

 откуда х = 84 = вот сколько лет жил Диофант.

Неопределённое уравнение x2 + y2 = z2

Такое неопределённое уравнение исследовали пиффагорийцы, целые решения которого  поэтому называют «пифагоровыми тройками», они нашли бесконечно много таких троек, имеющих вид:


Кубические уравнения

Более систематическое исследование задач, эквивалентных кубическим уравнениям, относится только к эпохе эллинизма. Архимед в сочи­нении «О шаре и цилиндре» (книга II, предложение 4) свел задачу о рас­сечении шара плоскостью на два сегмента, объемы которых имели бы за­данное отношение т : п (т > п), к нахождению высоты х большего сегмен­та из пропорции

                                                                                      (1)                                                              

где а — радиус шара.

Архимед обобщает задачу: рассечь заданный отрезок а на две части х и ах так, чтобы

(а — х) : с = S : х2,                                (2)

где с и S — заданные отрезок и площадь.

Заметив, что при такой общей постановке задача не всегда разрешима (имеются в виду только положительные действительные решения), Архи­мед приступает к ее исследованию с тем, чтобы наложить ограничения на с и S. Он говорит, что изложит полное решение задачи «в конце», однако соответствующее место не сохранилось. Жившие на столетие позже Архи­меда греческие геометры Диокл и Дионисодор уже не знали его. Они предложили собственные, гораздо более сложные решения, но никто из них не сумел провести анализ общего случая.

     Только в VI в. н. э. комментатор Архимеда Евтокий нашел утраченное место. Архимед решает задачу с помощью двух конических сечений:

Параболы

                                                                                                                              (3)

и гиперболы

                                                                                                                         (4)                                  

 (здесь положено S = pb). Оба уравнения легко получить из пропорции (2). Для выяснения необходимых условий Архимед переходит от пропорции (2) к кубическому уравнению

                                                                x2(a-x) = Sc                                                        (5)

которое он выражает словесно как соотношение между объемами. Ясно, что уравнение (5) может иметь положительные корни, если

                

Итак, проблема сводится к нахождению экстремума х2х).

Оставим пока в стороне вопрос о методе экстремумов Архимеда, мы вер­немся к этому, когда будем говорить об инфинитезимальных методах древ­них. Скажем только, что Архимед полностью исследовал условия сущест­вования положительных вещественных корней уравнения (5), а именно:

1) если Sc < 43/27, то на участке (0, а) имеются два таких корня;

2) если Sc = 4aз/27, то имеется один корень (как сказали бы мы,— двукратный);

3) если Sc > 4aз/27, то корня нет.

Здесь 4а3/27 есть максимум х2 (а — х), достигаемый при х = 2а/3. В конце письма, предпосланного книге «О коноидах и сфероидах» (греки называли сфероидами эллипсоиды вращения, прямоугольными ко­ноидами — параболоиды вращения, а тупоугольными коноидами — по­лости двуполостных гиперболоидов вращения), Архимед пишет, что с по­мощью доказанных в книге теорем можно решить ряд задач, как, напри­мер: от данного сфероида или коноида отсечь сегмент плоскостью, прове­денной параллельно заданной, так, чтобы отсеченный сегмент был равен данному конусу, цилиндру или шару. Перечисленные задачи, так же как и задачи о делении шара, сводятся к кубическим уравнениям, причем в случае тупоугольного коноида уравнение будет иметь вид

                                     x2(a + x)=Sc

Из текста Архимеда можно заключить, что он проанализировал и решил это уравнение. Таким образом, Архимед рассмотрел кубические уравне­ния вида х3 + ax + b = 0 при различных значениях a и b и дал метод их решения. Однако исследование кубических уравнений оставалось для греков трудной задачей, с которой, в ее общем виде никто, кроме Архи­меда, не мог справиться. Решение отдельных задач, эквивалентных ку­бическим уравнениям, греческие математики получали с помощью нового геометрического аппарата конических сечений. Этот метод впоследствии восприняли математики стран ислама, которые сделали попытку прове­сти полный анализ всех уравнений третьей степени.

Но еще до этого, и притом греческими математиками, был сделан но­вый решительный шаг в развитии алгебры: геометрическая оболочка была сброшена, и началось построение буквенной алгебры на основе арифмети­ки. Это произошло в первые века нашей эры.




                 Литература:

1.   «История математики в древности» Э. Кольман.

2.   «Решение уравнений в целых числах» Гельфонд.

3.   «В мире уравнений» В.А.Никифоровский.

4.   «История математики в школе» Г.И.Глейзер.

5.   «Рассказы о старой и новой алгебре» И.Депман.

6.   «Пифагор: рассказы о математике» Чистаков.

7.   «Краткий очерк истории математики» Стройк Д.Я.

8.   «Очерки по истории математики» Болгарский Б.В.

9.   «История математики» (энциклопедия) под редакцией Юшкевича.

10.  «Энциклопедический словарь юного математика» под редакцией Гнеденко.



Не нашли материал для своей работы?
Поможем написать уникальную работу
Без плагиата!
Без нейросетей!