Методика изучения числовых систем
Министерство образования Республики Беларусь
Могилевский государственный университет им.
А.А. Кулешова
Кафедра методики преподавания математики
Реферат
на тему:
МЕТОДИКА ИЗУЧЕНИЯ ЧИСЛОВЫХ СИСТЕМ
Выполнил:
Плетнев М.Э.,
студент
группы “Е”
физико-математического
факультета,
Научный
руководитель:
доцент
Л.А. Латотин
Могилев 2002
Содержание
Основные идея темы „Обыкновенные дроби". 3
Введение понятия дроби. Преобразования дробей. 4
Действия над дробями. 9
Умножение дроби на целое число. 11
Деление дроби на целое число. 13
Умножение на дробь. 15
Деление на дробь. 23
Литература. 26
1)
введение дробных чисел - новый этап расширения числовой области;
2)
новое понятие числа требует введения нового определения понятия равенства
чисел, суммы и произведения;
3)
введение дробных чисел снимает ограничения с действия деления целых чисел
(кроме деления на нуль);
4)
дробные числа подчиняются всем законам арифметических действий, установленным
выше для чисел натуральных.
Изучение
дробных чисел в школьном курсе разбивается на два этапа: на первом
рассматриваются понятие дроби, сложение и вычитание, а также умножение и
деление на натуральное число; на втором - умножение и деление
на дробь. На первом этапе определения действий над дробями мало отличаются от
определений соответствующих действий над целыми числами; первое расширение
понятия об арифметическом действии дается на примере умножения на дробь.
Многие
вопросы, входящие в первый этап, хотя и не в полном объеме, изучаются в
начальной школе. В V классе средней школы прорабатывается систематический курс
дробей, включающий вопросы обоих этапов изучения.
Основные
вопросы систематического курса дробей в средней школе:
1)
образование дробей;
2)
преобразования дробей;
3)
действия над дробями.
Хотя в курсе начальной школы учащиеся получили представление о
простейших дробях, необходимо эту тему начинать с углубления и закрепления
понятия о дроби. При этом следует исходить из рассмотрения конкретных примеров
величин. Необходимо учитывать, что исторически дроби возникли в связи с
потребностью измерять. В практике измерения простейшими задачами являются
определение отрезка, площади прямоугольника и объема прямоугольного
параллелепипеда. Для этих задач сначала нужны натуральные числа, дробные числа
(а потом и иррациональные числа). Поэтому для иллюстрации различных вопросов
школьного курса дробей лучше всего пользоваться долями линейной единицы,
квадратичной единицы и кубической единицы.
Делая
соответствующий рисунок в тетрадях, учащиеся могут сами находить доли линейного
дециметра, квадратного дециметра, чертить развертки кубического дециметра и
его долей и дома склеивать соответствующие модели. Наглядные пособия при изучении
дробей.

Рис.
2.
Рис.1.
Рис. 3. Рис.
4
В результате такой работы у учащихся создается отчетливое представление
о дроби как совокупности равных долей единицы, и сами учащиеся составляют соответствующее
определение. Многие учебники сразу же рассматривают второй способ получения
дроби при делении целого числа на равные части. На ряде конкретных примеров
показывают, что при делении меньшего числа на большее получается в частном одна
или несколько долей единицы, т.е., согласно ранее веденному определению,
рассуждения ведутся Рис. 5. так.
Чтобы
разделить веревку длиной в 3 м на 4 равные части, можно мысленно
Рис.
6.
представить каждый метр веревки
разделенным на 4 равные части, тогда веревка будет содержать 12 четвертей метра,
разделив 12 четвертей метра на 4 равные части, получим в каждой
метра. Это рассуждение иллюстрируется
рисунком 6.
Рассматривается
второй способ рассуждений: чтобы делить 3 яблока (или 3 листа бумаги) 4 детям,
можно каждое яблоко разделить на 4 равные части и каждому дать по одной
четверти. Каждый ребенок получит
яблока.
Основная
мысль приведенных рассуждений та, что доли единицы можно взять за новые счетные
единицы и с полученными числами производить действия так же, как, с целыми
именованными числами. Но почему же начинать с деления? Деление определяется как
действие, обратное умножению. Удовлетворяет ли рассмотренное деление этому
определению? 3 : 4 =
;
·4 будет
ли равно 3? Все это требует обоснования. Без этого учащиеся не будут связывать
этот случай деления с определением деления.
После
того как введено понятие дроби, необходимо ввести понятия равенства и
неравенства дробей. В теоретических курсах эти понятия вводятся путем
определений. В школьном курсе необходимо показать предварительно
целесообразность вводимых определений путем рассмотрения конкретных примеров.
Составляя
дроби из долей одной и той же единицы, учащиеся убеждаются, что дроби могут
быть меньше единицы, равны единице, больше единицы. Эти наблюдения и следует
положить в основу определений и классификации дробей на неправильные и правильные.
Формальный же признак, указывающий на соотношение между числителем и
знаменателем у правильных и неправильных дробей, следует установить, как
следствие определения. Обращение смешанного числа в равную ему неправильную
дробь и исключение целого числа из неправильной дроби следует начать с
рассмотрения конкретных примеров. При составлении отрезков из долей линейной
единицы, возникает вопрос: сколько целых линейных единиц содержится в данном
отрезке? При составлении прямоугольников из долей квадратной единицы возникает
вопрос: сколько квадратных единиц можно составить из данного прямоугольника?
Решение этих вопросов приводит к исключению целого числа из неправильной
дроби.
Не
следует спешить с выводом формального правила для этих, преобразований, следует
заставлять учащихся проводить соответствующие рассуждения, основанные на
составе единицы из долей этой единицы. Например, при обращении смешанного числа
2
в неправильную дробь ведутся следующие
рассуждения: в единице 3 третьих доли, в двух единицах 3·2
третьих долей, всего (3·2+2).
Отсюда
В
методической литературе поднимался вопрос о включении в школьный курс обращения
смешанного числа в неправильную дробь и обратного преобразования после изучения
деления дроби на целое число и деления дробей с одинаковыми знаменателями, так
как при первом преобразовании производится умножение дроби на целое число и
сложение дробей, при втором — деление дробей с одинаковыми знаменателями. Но
принятое обычно расположение материала имеет преимущество: возможно
рассматривать действия над всеми видами дробей и смешанными числами
одновременно, причем эти преобразования не нарушают системы изучения действий,
связаны с конкретными представлениями дробей и сводятся к действиям над целыми
числами.
При
рассмотрении различных долей единицы и дробей естественно поставить вопрос о
сравнении их по величине, также кладется сравнение величин, измеряемых данными
дробями. Для иллюстрации сравнительной величины долей единицы полезно на выбранной
линейной единице от одного из ее концов отложить отрезки, соответствующие долям
единицы (рис.7).
Рис.7
Для вывода формальных
признаков сравнения дробей можно рекомендовать проводить работу по следующему
плану: 1) сравнение долей единицы, 2) сравнение дробей с одинаковыми
знаменателями, с одинаковыми числителями (не устанавливая, во сколько раз одна
дробь больше другой), основное свойство дроби. Вывод основного свойства следует
построить на том положении, что дроби, измеряющие одну и ту же величину при
одной и той же единице измерения, равны. Таким образом, основное свойство
получится как следствие определения равенства дробей, что соответствует
научному построению изучения дробей. Следует при этом воспользоваться следующим
наглядным пособием в виде таблицы:
Рис.8
Для
вывода основного свойства дроби в ряде учебников и методик предлагается
предварительно изучить изменение величины дроби с увеличением (или уменьшением)
числителя или знаменателя в несколько раз, причем устанавливается, во сколько
раз увеличивается или уменьшается при этом дробь. Выводится правило увеличения
и уменьшения дроби в несколько раз, т. е. умножения и деления дроби на целое
число. После этого рассматривается одновременно увеличение (или уменьшение)
членов дробей в одно и то же число
раз и устанавливается основное свойство дроби.
Рассмотрение
увеличения или уменьшения дроби в несколько раз следует увязывать с
прохождением умножения и деления дроби на целое число, так как эти задачи
тождественны. Если же этот вопрос рассматривать до действий, то необходимо
показать, что, увеличивая дробь в несколько раз, мы ее умножаем на целое число,
уменьшая - делим на целое число, но тогда нарушится
систематичность изложения. Очень часто эта связь не подчеркивается, и учащиеся
не осознают тождественность задач — увеличить дробь в несколько раз и умножить
дробь на целое число, и не решаются применять правила увеличения и уменьшения
дроби при умножении и делении дроби на целое число. Такое изучение увеличения и
уменьшения дроби в несколько раз приносит вред учащимся, создавая путаницу в их
умах.
После
этого следует перейти к преобразованиям дробей: к сокращению дробей, затем к
приведению дробей к общему знаменателю, связав это преобразование с задачей
сравнения дробей с разными числителями и знаменателями.
Для
сознательного усвоения преобразования дробей следует привести чертеж.
Например, сокращение дроби
можно показать
следующим образом:
Рис.9
При
этом ведутся следующие рассуждения: возьмем отрезок, составляющий
линейной единицы; 8 восьмых долей
единицы можно сгруппировать по 2 восьмых, тогда число долей, на которые
разделена единица, уменьшится в 2 раза (8:2=4), 6 восьмых долей то же единицы
тоже можно сгруппировать по 2 восьмых, тогда тело долей в данном отрезке тоже
уменьшится в 2 раза (6:2=3);
отрезок,
составленный из 6 восьмых линейной единицы, можно рассматривать составленным из
3 четвертей той же единицы.
Сложение и
вычитание дробей
При
сложении дробей с одинаковыми знаменателями следует составить систему
упражнений, охватывающую все возможные случаи сложения: 1) целого с дробью; 2)
целого со смешанным числом; 3) двух правильных дробей: а) дающих, в сумме
правильную дробь, б) дающих в сумме целое число, в) дающих в сумме неправильную
дробь; 4) смешанного числа с дробью, причем сумма дробей - правильная дробь; 5)
то же, только сумма дробей - целое число;
6)
то же, только сумма дробей — неправильная дробь; 7), 8), 9) те же случаи для
суммы смешанных чисел. При сложении дробей с разными знаменателями в основу
системы упражнений берутся различные случаи отыскания общего знаменателя.
Следует вначале брать простые случаи отыскания общего знаменателя, которые не
отвлекали бы от основной задачи — сложения дробей. На основании рассмотрения
различных примеров следует добиться, чтобы учащиеся установили справедливость
законов сложения для дробных чисел. Например:
Рассуждения,
приведенные на частных примерах, имеют общий характер, а именно: сложение
дробей с одинаковыми знаменателями сводится к сложению числителей, т. е. целых
чисел; так как для целых чисел справедливы законы сложения, следовательно, они
справедливы и для дробных чисел.
Вычитание
дробей определяется, так же как и для целых чисел, как действие, обратное
сложению.
Некоторые
авторы предлагают проходить вычитание параллельно с сложением. Такой порядок
имеет свои преимущества; этим самым все время подчеркивается связь вычитания с
сложением как действия, обратного сложению. Большинство же учебников и
задачников сначала рассматривают сложение дробей, потом вычитание, после этого
— совместно сложение и вычитание, считая, что последний порядок изучения
сосредоточивает внимание учащихся на одной трудности.
При вычитании дробей
система упражнений имеет еще большее значение, чем при сложении, так как при
вычитания иногда приходится уменьшаемое преобразовывать, что затрудняет
учащихся. Постепенно усложняя упражнения, можно подготовить учащихся к усвоению
трудных случаев вычитания. Рассмотрим различные случаи, которые могут быть
положены в основу системы упражнений на вычитание дробей с одинаковыми знаменателями,
а именно: 1) из дроби вычесть дробь; 2) из смешанного числа - дробь, которая меньше дроби смешанного
числа; 3) из единицы - дробь; 4) из целого
числа, большего единицы, - дробь; 5) из
числа, равного единице с дробью, вычесть дробь, которая больше дроби в
уменьшаемом; 6) из смешанного числа -
смешанное, причем дробь вычитаемого меньше дроби уменьшаемого; 7) из целого - смешанное число; 8) из смешанного - смешанное число дробь которого больше дроби
уменьшаемом. Примерная запись при сложении и вычитании дробей.
Не
следует спешить переходить к записи общего знаменателя |вод одной чертой;
учащиеся часто не осознают, что производится рамена данных дробей им равными
дробями с общим знаменателем.
Следующим действием изучается умножение дроби на целое число. Умножение дроби
на целое число определяется так же, как умножение целых чисел.
При
изучении умножения дроби на целое число необходимо установить с учащимися
определение действия умножения дроби на целое число как сложения равных
слагаемых, из которых каждое равно множимому; показать тождественность
умножения дроби на целое увеличению дроби в несколько раз, дать определение
умножения дроби на 1; показать рациональный прием сокращения дроби, числитель
которой представляет произведение, с которым учащиеся встречаются впервые при
умножении дроби на целое; научить применять это действие к задачам; рассмотреть
частные случаи умножения, например, умножение дроби на число, равное
знаменателю; умножение смешанного числа на целое число. Приведенный перечень
задач, стоящих при изучении умножения дроби на целое число, показывает, что
каждый вопрос, кажущийся простым, требует тщательного изучения и как много
возникает дополнительных задач в связи с данным вопросом.
Приведем
пример плана урока на эту тему,
1)
Проверка домашнего задания.
2)
Устные упражнения на сложение и вычитание дробей.
3)
Устные примеры на деление произведения на число:
4)
Сокращение дробей:
5)
Повторение определения умножения на целое число:
6)
Определение умножения дроби на целое число:
7)
Решение задач в одно действие на умножение дроби на целое »»
число.
Например: 1 м3 сосновых дров весит
т.
Найти вес 2 м3 этих
дров
(в тоннах), 7 м3.
8)
Сформулировать правило умножения дроби на целое число:
чтобы
умножить дробь на целое число, достаточно числитель дроби умножить на это
число, оставив прежний знаменатель.
9)
Решение примеров на умножение дроби на целое число:
10)
Составить задачи, при решении которых требовалось бы умножить.
11)
Домашнее задание.
Приведенные
в этом плане устные упражнения на деление произведения на число и сокращение
дробей имеют цель подготовить учащихся к обоснованию сокращения дробей, в
числителе которых стоит произведение. Учащиеся вспоминают, как разделить
произведение на число и при сокращении дробей ведут следующие рассуждения:
чтобы сократить дробь, надо числитель и знаменатель разделить на одно и то же
число; в числителе стоит произведение; чтобы произведение разделить на число,
достаточно один из множителей разделить на это число. Поэтому при сокращении
дроби
делим 10 и 25 на 5.
На
следующем уроке следует предложить учащимся на нескольких примерах умножения
дроби на целое число сравнить множимое и произведение по величине. Установить,
что для дробей, как и для целых чисел,
увеличить дробь в несколько раз - значит умножить ее
на целое число. На основании рассмотрения примеров вида
делается вывод об изменении
величины дроби с увеличением числителя или уменьшением знаменателя в данное
число раз и дается частный прием умножения дроби на целое число, годный для случая,
когда знаменатель дроби делится на данное целое число:
При
изучении умножения смешанного числа на целое вначале рассматриваются два
способа. Например:
Последние
рассуждения показывают справедливость распределительного закона умножения
относительно суммы, когда одно из слагаемых дробь. Рассматривается пример вида
и делается вывод, что при
умножении смешанного числа на целое в большинстве случаев проще отдельно
умножить целое и дробь на целое число.
После
умножения дроби на целое число следует перейти к делению целого числа и дроби
на целое число, так как нахождение дроби числа, предшествующее умножению на
дробь, требует деления на знаменатель. На это указывается в большей части
методической литературы. Определение действия деления дается как действия,
обратного умножению.
Рассмотрим
пример: 4 : 5.
Сначала
проводятся рассуждения: чтобы разделить 4 на 5, представим мысленно каждую единицу
разделенной на пять равных частей, тогда 4 единицы будут содержать 20 пятых
частей, разделив 20 пятых частей на 5 получим
, что
проверяется:
Мы
нашли дробь, которая, будучи умноженной на 5, даст 4. Следовательно, деление произведено
верно. Запишем:
Вывод. От деления целого числа на целое получается дробь,
числитель которой равен делимому, а знаменатель — делителю. Обратно: всякую
дробь можно считать за частное от деления ее числителя на знаменатель.
Например,
равно частному от деления 3 на 7, так
как
·7=3.
Изучение
деления дроби на целое число начинается с рассмотрения примера умножения дроби
на целое число, для которого составляется обратная задача. Например:
обратная задача:
требуется найти такую дробь,
которая, будучи умножена на 4, даст в произведении
.
Такая дробь будет
, запишем:
В
результате рассмотрения ряда подобных примеров учащиеся приходят к выводу, что
при делении дроби на целое число достаточно числитель разделить на целое
число, оставив прежний знаменатель. После этого ставится вопрос, как поступать
в том случае, когда числитель данной дроби не делится на целое число.
Рассматривается второй прием умножения:
,
отсюда
.
Получается
второй способ деления. Применив этот способ к предыдущему примеру, убеждаются,
что второй способ - общий, годится для любых случаев деления дроби на
целое число (не равное 0). Действительно,
Правило
формулируется так: чтобы разделить дробь на целое число, достаточно знаменатель
дроби умножить на это число, оставив числитель прежним.
При
делении дроби на целое учащиеся встречаются с новым случаем сокращения дробей,
поэтому предварительно рассматривается сокращение дроби вида:
.
В
связи с изучением деления дроби на целое, ряд авторов учебников
предлагает рассмотреть деление дробей с одинаковыми знаменателями. К этому
случаю деления можно прийти из рассмотрения следующего примера на умножение:
Чтобы
найти множитель, достаточно,
. Получается деление
по содержанию; 4 показывает, что
, содержатся в
четыре раза. Приходим к выводу, что при
делении дробей с одинаковыми знаменателями достаточно числитель первой дроби
разделить на числитель второй.
При
изучении деления смешанного числа на целое тоже следует разобрать с учащимися
два способа выполнения действия, при первом способе смешанное число обращается
в неправильную дробь и производится деление дроби на целое число, при втором - применяется распределительный закон деления относительно суммы и
делится отдельно целая и дробная часть смешанного числа (предварительна
устанавливается справедливость применяемого закона деления). Например.
в дальнейшем промежуточные записи пропускаются).
В
результате рассмотрения примеров учащиеся отмечают те случаи, в которых
рациональнее применять второй способ деления. Подчеркивается удобство 2-го
способа при устных вычислениях.
На
этом кончается первая часть изучения действий над дробями, которая тесно
примыкает к теме о целых числах, так как определения действий, рассмотренных в
этой части, мало отличаются от определений соответствующих действий над целыми
числами.
В
учебной и методической литературе XVIII века и первой половины XIX века
существовал следующий подход к выводу правила умножения на дробь.
Рассуждения
велись так: чтобы умножить 5 на
, умножим 5
сначала на 3, получим произведение 15, которое больше истинного, так как
множитель увеличен в 4 раза; чтобы получить истинное произведение, надо
полученное произведение 15 уменьшить в 4 раза, будем иметь
Такой
подход неправилен с точки зрения логического построения математики, так как
свойства произведения целых чисел распространялись на произведение в случае
дробного множителя, хотя еще не установлено, что значит „умножить число на
дробь" и можно ли распространить эти свойства на новое произведение. Кроме
того, этот подход страдает формализмом' из этих рассуждений не следует, к
каким задачам возможно применение действия умножения на дробь.
Существует
еще и такой подход:
(по переместительному закону умножения) =
Отсюда
выводится правило. Ошибка этого рассуждения в том, что распространяется
переместительный закон на действие, которое еще не определено и не доказано,
что оно обладает переместительным законом. Рассуждение было бы правильно, если
бы оно построено было так: произведение целого числа на дробь должно быть
составлено так, чтобы порядок сомножителей не имел значения, т. е. для
действия умножения на дробь оставался бы справедливым переместительный закон.
Была попытка дать общее определение действия умножения, пригодное и для целого
и для дробного множителя. Это определение было дано в следующей формулировке:
умножить
одно число на другое - значит из множимого составить новое число так, как
множитель составлен из единицы. Смысл рассуждений при этом был следующий.
При
умножении на целое число имеем:
При
умножении 5 на
, так как множитель
т.
е. единица разделена на 4 и полученное частное взято слагаемым 3 раза, должны
получить:
Это
определение было в ходу в ряде учебников дореволюционной школы. Основной
недостаток этого определения - формальный характер его
образования. Из определения неясно, к каким конкретным задачам можно применить
умножение на дробь. Нельзя подвести учащихся к составлению этого определения из
рассмотрения конкретных задач. Вторым недостатком является математическая
неточность. Из определения неясен способ составления множителя из единицы;
число может быть составлено из единицы различными способами, как целое, так и
дробное. Число
может быть составлено так:
Если
при умножении 5 на
произведение из множимого
составить так же, как
составлено из единицы, то получим
т.е. совсем другой ответ, чем
раньше. Кроме того, общее определение умножения затушевывает необходимость
нового определения при умножении на дробь.
Перед
введением определения действия умножения на дробь рассматривается решение
задачи на нахождение части числа. В программе и в стабильном учебнике эта
задача носит название: „нахождения дроби числа". Замена слова „части”
словом „дроби" вызвана, очевидно, расширением рассматриваемой задачи; в
стабильном учебнике рассматриваются и такие задачи, например: „найти
числа
”,
(т.е. требуется найти число долей от числа большее, чем во всем числе). Система
упражнений должна быть составлена так, чтобы первые задачи и примеры помогли
учащимся повторить сведения, полученные из начальной школы, т. е. числа должны
быть подобраны так, чтобы само число и искомая доля числа были целым числом.
Первая
группа упражнений.
Пример.
Найти
от 60.
Решение.
от 60 составляет 60 : 5 = 12.
от 60 составляют 12 · 4 = 48.
Вторая
группа упражнений: нахождение части от целого числа,
когда
искомая доля - дробь.
Пример.
Найти
от 11.
Решение.
В
дальнейшем записи следует сокращать.
Пример.
Найти
от 10.
Третья
группа упражнений: нахождение части от дроби.
Пример.
Найти
от
.
Решение.
.
или
Следует
подчеркнуть на соответствующих конкретных задачах, что найти часть от дроби - значит определить, какую часть от целого составляет часть от части
этого целого.
Пример.
всей земли, принадлежащей колхозу,
отведено под хлебные культуры;
земли, занятой
хлебными культурами, засеяно рожью. Какая часть земли, принадлежащей колхозу,
засеяна рожью?
Рожью
засеяно
всей земли.
Рассмотрим
рисунок 10, где заштрихован участок земли, отведенный под хлебные культуры. Из
участка, отведенного под хлебные культуры, выделена часть под рожь (рис.11).
Рис.10 Рис.11
Формулировку
задачи „найти дробь числа” следует вводить не cразу, сначала
пользоваться старой формулировкой „найти часть числа”, конкретный смысл которой
учащимся вполне ясен. К новой формулировке можно приучить постепенно,
напоминая, что дробью называется одна или несколько равных частей единицы.
Введение термина „дробь числа” облегчит формулировку задач, например, „найти
от
“, а
также определение умножения на неправильную дробь.
Проработке
задачи нахождения дроби числа следует посвятить достаточное количество времени;
это создаст прочную базу для изучения умножения на дробь. Часть трудных
вопросов этой темы будет, таким образом выделена и подготовлена. А именно: что
значит найти дробь числа? Как найти? Какие могут быть случаи? Как записать
формулу решения в виде дроби? При этом можно рассмотреть и сокращение дроби,
когда числитель и знаменатель представляют произведение.
Перейдем
теперь к изложению той методики преподавания умножения на дробь, которая
получила в настоящее время признание в педагогической практике и в
учебно-методической литературе. Можно подвести учащихся к новому определению
умножения путем решения геометрической задачи на вычисление площади
прямоугольника.
Предварительно
рассматривается вычисление площади прямоугольника, у которого длины сторон - дробные числа, путем подсчета долей квадратной единицы, из которых
может быть составлен прямоугольник, без знания умножения дробей.
Далее
предлагаются задачи примерно такого содержания:
Вычислить
площадь прямоугольника, у которого
1)
основание 10 см, высота 6 см,
2)
основание 7
см, высота 4 см.
Площадь
первого прямоугольника учащиеся находят, пользуясь правилом для вычисления
площади прямоугольника. Для второго прямоугольника преподаватель предлагает
проверить справедливость правила. Учащиеся ив чертежа находят, что в одном ряду
укладывается 7
кв. ед. и таких рядов
получается 4. Следовательно, для вычисления площади, достаточно 7
умножить на 4.
Затем
предлагается нарисовать прямоугольник, основание которого 4 см, а высота 1 см;
затушевать на этом чертеже прямоугольник, у которого основание 4 см, а высота
см, и вычислить его площадь.
Учащиеся находят площадь затушеванного прямоугольника путем подсчета долей
квадратной единицы. После этого преподаватель указывает, что для того чтобы
площадь прямоугольника вычислялась по одному правилу, условились и в этом
случае решение записывать при помощи умножения длины основания на длину
высоты, т.е.
.
Чтобы
выяснить смысл умножения 4 на
, предлагается с
помощью чертежа ответить на вопросы: какая площадь всего прямоугольника? какая
часть прямоугольника затушевана? какая площадь затушеванной части? Учащиеся
устанавливают, что искомая площадь составляет
всей
площади прямоугольника, т. е.
от 4 кв.см и
равна 4 : 4 = 1 (кв. см). Следовательно, 4·
- значит найти
от 4.
После
этого записывают 4·
= 4 : 4 = 1 (кв. см).
Затем
предлагается построить второй прямоугольник, основание
которого 4, а высота 1 см, затушевать на этом
чертеже прямоугольник с основанием 4 см и
высотой

см
. Применить правило
для вычисления площади этого прямоугольника.
Рис.12 Рис.13
Учащиеся
получают 4·
. Чтобы выяснить, что это значит, устанавливают по
чертежу, что искомая площадь составляет
от
площади всего прямоугольника и равна (4
: 4) · 3 = 3 (кв. см). Следовательно, 4·
- значит найти
от 4.
Следует
повторить эти рассуждения с прямоугольником, основание которого 2 дм и высота
1 дм, и установить, что значит 2·
; 2·
.
Вообще
условились считать, что умножить число на дробь - значит найти
эту дробь множимого. Умножить число на правильную дробь - значит найти часть числа, которая выражена этой дробью.
Можно
показать целесообразность определения умножения на дробь на решении следующих
арифметических задач.
Автомобиль
едет со скоростью 45 км в час. 1) Какое расстояние он пройдет в 3 часа? в 7
часов? в
часа? в
часа?.
Записывается
решение задач.
Ведутся
такие рассуждения.
Условие
всех задач одинаково. Дана скорость автомобиля в час и требуется узнать, какое
расстояние автомобиль пройдет за некоторое число часов. Для нахождения
расстояния в 1-й и 2-й задаче скорость умножали на время. Чтобы одинаковые по
смыслу задачи решались одинаковыми действиями, условились и в 3-й и в 4-й
задаче называть нахождение
от 45 и
от 45 умножением 45 на
и 45 на
,
тогда решение 3-й задачи запишется:
Решение
4-й задачи:
Умножить
45 на
- значит найти
от 45, умножить 45 на
, значит найти
от
45. После этого устанавливается то же определение умножения на дробь. Правило
умножения целого числа на дробь выводится после Решения ряда примеров на
основании определения. Для вывода правила следует взять такие упражнения, в
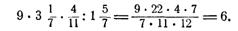
которых знаменатель дроби и целое не имеют общего множителя. Например.
При
умножении целого числа на смешанное число следует рассмотреть два способа
умножения, первый — множитель обращается в неправильную дробь, и умножение
производится на основании установленного определения; второй — применяется
распределительный закон умножения Предварительно устанавливаем справедливость
распределительного закона и в том случае, когда одно из слагаемых суммы во
множителе — дробь. Следует обратить внимание учащихся на то, что второй способ
короче для тех случаев, когда ответ требуется получить в виде смешанного числа
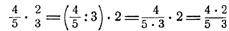
Умножение дроби на дробь прорабатывается на основании определения умножения на
дробь
Пример.
.
Ведутся
такие рассуждения. Умножить
на
дробь
- значит найти
от
.
Для этого сначала находим
от
и делим
на
3, получим
. Потом, чтобы найти
от
, умножаем
на
2.
Это
записывается так:
Короче
можно написать:
Числитель
полученной дроби получился от перемножения числителей данных дробей, а
знаменатель — от перемножения их знаменателей После рассмотрения ряда примеров
выводится правило: чтобы умножить дробь на дробь, достаточно числитель первой
дроби умножить на числитель второй и знаменатель на знаменатель и первое
произведение сделать числителем, а второе знаменателем произведения.
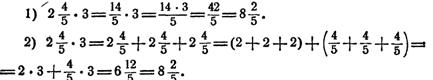
Необходимо
показать учащимся на частных примерах справедливость основных законов
умножения для дробных чисел. Приведем несколько упражнений, убеждающих в справедливости
сочетательного закона для дробных чисел.
Вычислить
устно:
Разбираются
два способа вычисления:
Результат
получился одинаковый, следовательно,
При
рассмотрении умножения смешанных чисел обычный прием путем обращения смешанных
чисел в неправильные дроби не вызывает затруднения. Следует обратить внимание
на другой способ умножения смешанных чисел — умножение по частям, отдельно на
целое число и на дробь. Этот способ удобен в некоторых случаях при устном
счете.
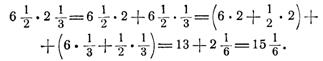
Например,
при умножении 6
·2
выгоднее
считать так:
Необходимо
обратить на этот способ внимание еще и потому, что учащиеся часто при устном
счете неправильно им пользуются, умножая целое на целое число и дробь на дробь,
и сумму полученных произведений считая за искомое произведение. Неправильность
таких вычислений следует показать на решении конкретной задачи, лучше всего с
геометрическим содержанием. Рассмотреть следующую задачу.
Построить
прямоугольник, основание и высота которого 2
ед.
и 3
ед., и найти его площадь двумя способами:
1)
вычисляя сразу всю площадь, 2) вычисляя по частям.

Рис.14
Учащиеся
получают наглядное представление о втором способе умножения.
Полезно
показать, что при вычислении вторым способом применяется распределительный
закон умножения.
Следует
подчеркнуть учащимся, что совпадение произведений, полученных 1-м и 2-м
способами, показывает на справедливость распределительного закона и в том
случае, когда оба сомножителя — смешанные числа.
Изучая
умножение дробей, следует обратить внимание учащихся еще на одну особенность
умножения на дробь, отличающую его от умножения на целое число.
При
умножении на правильную дробь полученное произведение меньше множимого (или от
умножения на правильную дробь данное число уменьшается). Следует требовать
обоснование этого вывода рассуждением и иллюстрировать примерами.
Рассмотрим
систему примеров на умножение на неправильную дробь.
Вывод.
При умножении на неправильную дробь, не равную единице, произведение
получается больше множимого.
После
этого следует предложить учащимся сделать общий вывод относительно того, в
каком случае произведение получается больше множимого, в каком случае меньше
множимого, в каком случае оно равно множимому. Следует задавать учащимся следующие
контрольные вопросы. Например: на какое число нужно умножить число 5, чтобы
произведение получилось больше 5? равно 5? меньше 5? Приведите примеры.
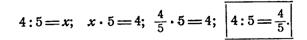
Делению
на дробь предпосылается и в программе и в стабильном учебнике нахождение числа
по данной величине его дроби. Рассуждения ведутся по такой схеме.
Пример.
Найти число
которого равны 20.
Обозначим
неизвестное число буквой х, тогда условие задачи запишется:
от х равны 20.
Так
как часть числа находится умножением, то вместо
от х
можно написать х·
или, пользуясь
переместительным законом,
· х.
Следовательно, можно написать:
от х равны 20,
или х·
= 20, или
·х = 20, так как в случае буквенного
сомножителя принято знак умножения пропускать. Решение. 1)
= 20 : 5 = 4; 2) х = 4 · 6 = 24.
Как
и при нахождении дроби числа, при нахождении числа по данной величине его дроби
необходимо рассмотреть различные случаи.
Определение
деления числа на дробь остается то же, что и при делении целых чисел. Эту мысль
необходимо подчеркнуть учащимся. Для того чтобы соблюдалась одна и та же
система изучения обратных действий, следует начать с повторения образования
действия деления для целых чисел, затем перейти к рассмотрению примера на
умножение на дробь и образовать две обратные задачи.
Например:
27 ·
= 12.
Составим
обратную задачу, взяв за искомое число множитель. Эта задача решается делением
целого числа на целое, которое рассмотрено раньше.
Составим
вторую обратную задачу, взяв за искомое множимое.
Запишем:
х·
=12.
Эта
задача и для дробных чисел решается действием деления 12 :
= х.
Так
как х·
= 12 или
·х = 12, то, чтобы найти х,
мы находим число
которого равны 12, отсюда х
= (12 : 4) · 9 = 27.
При
помощи такого рода рассуждений, основой которых служит определение, учащиеся
приходят к выводу, что при делении на дробь отыскивается число по данной
величине его дроби. Рассмотрев примеры на умножение целого числа на дробь в
случае дробного произведения и дроби на дробь и составив обратные задачи, учащиеся
получают все случаи деления дробей. Проделав несколько упражнений, учащиеся
выводят .правило деления целого на дробь, также дроби на дробь.
Неправильно
строить изучение деления на дробь, взяв за определение, что разделить
какое-нибудь число на дробь - значит найти число по данной
величине его дроби. Это противоречит научному построению изучения действий над
числами, при котором вычитание я деление любых чисел определяются как действия,
обратные сложению и умножению.
Полезно
напомнить учащимся, что так как умножение обладает переместительным законом, то
для отвлеченных чисел деление на дробь имеет одинаковый смысл независимо от
того, какой из двух Сомножителей - множимое или
множитель - является данным и какой искомым.
Но
при решении конкретных задач деление на дробь в том случае, когда искомым
является множитель (деление по содержанию), имеет другой смысл по сравнению с
тем случаем, когда искомым является множимое. Например, рассмотрим задачу.
Из
6м проволоки нужно сделать прутики для счетов, длиною каждый по
м.
Сколько выйдет таких прутиков?
Для
решения этой задачи 6м :
м,
в этом случае частное показывает, сколько
раз
м содержится в 6 м. или во сколько раз 6м больше
м.
Для
отыскания частного можно провести следующие рассуждения: 6м =
м,
м содержится в
м 8
раз.
Но
можно рассуждать и так: 6м:
м = х;
м · х = 6 м. Но, по переместительному закону умножения,
· х = х·
.
Следовательно,
и в этом случае мы можем деление выполнять по тому же правилу, что и при
нахождении всего числа по данной его части.
Рассмотрим
вторую задачу.
Площадь
одного участка
га, другого
га.
Какую часть площадь второго участка составляет от площади первого?
В
этой задаче требуется найти дробь, при умножении на которую
га получим
га,
для этого
га :
га.
Обозначим частное через х, получим
га·х=
га. Но, по переместительному закону умножения,
получаем: х·
=
.
Следовательно, и в этом случае мы можем применить выведенное правило деления на
дробь.
Приходим
к выводу: при делении на дробь решаются двоякого рода задачи: 1) когда по дроби
какого-нибудь числа ищется это число и 2) когда узнаем, сколько раз одно число
содержится в другом или какую дробь одно число составляет от другого. Выведенное
правило деления на дробь годится и для случая деления по содержанию. Следует
таким же образом показать, что и при делении на целое число по содержанию
можно пользоваться ранее выведенным правилом. Необходимо обратить внимание
учащихся, что при делении на правильную дробь в частном получается число,
большее делимого. Так же как при умножении, следует рассмотреть на частных
примерах возможные случаи соотношения между частным и делимым и установить,
при каком делителе частное больше делимого, при каком — частное равно делимому,
при каком — частное меньше делимого.
Не
следует забывать важного значения упражнений в придумывании учащимися
различных простых задач, которые решались бы умножением на дробь, делением на
дробь. Это является критерием того, образовалось ли в сознании учащихся новое
понятие о действии.
После
того как учащиеся основательно поняли и усвоили смысл деления на дробь, можно
дать понятие о числе, обратном данному, и познакомить учащихся с общим правилом
деления, пригодным для всех случаев. Это правило заменяет деление на дробь
умножением на число, обратное делителю, и дает возможность распространять
некоторые свойства произведения на частное; оно является новым обобщением,
полученным благодаря введению дробных чисел.
Необходимо
обратить внимание учащихся на рациональные приемы вычислений с дробями в тех
случаях, когда приходится выполнять последовательно несколько умножений и
делений; следует прежде обозначить действия, затем производить возможные сокращения
и только после этого делать вычисление. Например;
1.
Макарычев Ю.Н., Миндюк
Н.Г. Алгебра в 6-8 классах М.:Просвещение/
1988.
2.
Калягин Ю.М., Аганясян
В.А., Саннинский В.Я., Луканкин Г.Л. Методика преподавания математики в средней школе. Учебное пособие для студентов
физико - математических факультетов педагогических институтов.
- М.: Просвещение, 1975.
3.
Ляпина С.Е. Методика преподавания
математики в средней школе, 1975г.
4.
Рогановский Н. М. Методика преподавания
математики в средней школе. - Мн.: Народная Асвета, 1990.