Коммуникации в процессе управления

  • Вид работы:
    Курсовая работа (т)
  • Предмет:
    Менеджмент
  • Язык:
    Русский
    ,
    Формат файла:
    MS Word
    84,75 Кб
  • Опубликовано:
    2015-02-15
Вы можете узнать стоимость помощи в написании студенческой работы.
Помощь в написании работы, которую точно примут!

Коммуникации в процессе управления

Содержание

Введение

Глава 1. Коммуникации в процессе управления

§ 1.Коммуникации и их значение в деятельности организации

§ 2. Классификация коммуникаций в процессе управления

.1 Внутренние коммуникации

.2 Внешние коммуникации

§ 3. Преграды при коммуникациях в процессе управления и пути их устранения

§ 4. Коммуникационные сети и их разновидности

Глава 2. Коммуникационные процессы в компании «СОК»

§ 1. Общая характеристика компании «СОК»

§ 2. Внешние и внутренние коммуникации компании «СОК»

§ 3. Коммуникационные каналы и коммуникационные структуры в  компании «СОК»

Глава 3. Совершенствование коммуникационных процессов в  компании «СОК»

§ 1. Деловое общение как форма коммуникаций в управлении

§ 2. Преграды при управленческих коммуникациях и пути и устранения в компании «СОК»

Заключение

Список литературы

Приложение

Введение

Коммуникации в организационном контексте включают взаимодействие между людьми. Внутренние коммуникации играют особую роль в групповой динамике. Без коммуникаций нет общения, обмена информацией, а без этого не может быть и группы. Таким образом, коммуникации выступают как определяющее условие для формирования группы и ее жизнедеятельности.

Актуальность данной темы обусловлена тем, что коммуникация предоставляет средства для выработки и исполнения решений, осуществления обратной связи и корректировки целей и процедур деятельности организации в соответствии с требованиями ситуации. Поэтому и менеджеры, и исполнители должны понимать основные концепции и способы применения коммуникационных технологий и быть способными принимать важные решения относительно их использования.

Все виды управленческой деятельности основаны на обмене информацией, поэтому коммуникации и называют связующими процессами. Руководителю приходится осмысливать большие объемы информации, среди которой есть информация, не влияющая на процесс управления. Поэтому в работе делается акцент на эффективность коммуникаций, т.е. обмен информацией, которая оказывает непосредственное влияние на управление организацией. Эффективный менеджер - это тот, кто из общего потока коммуникаций умеет быстро отобрать эффективные, т.е. полезные для процесса управления.

Объект работы, компания «Самарские Оконные Конструкции» («СОК»).

Предметом работы является совершенствование коммуникаций в компании «Самарские Оконные Конструкции».

Целью курсовой работы является изучение учебно-методической литературы и периодических изданий, проведение комплексного анализа дельности компании «СОК» по выбранной теме курсовой работы, и на основе этого выработка предложений и рекомендаций по повышению эффективности коммуникации в процессе управления на данном предприятии.

Для достижения поставленной цели в работе решались следующие задачи:

. Изучение теоретических основ и современных тенденций понятий и сущности коммуникаций в организации;

. Проанализировать деятельность предприятия компании «СОК» исследовав систему коммуникаций предприятия и разработка мероприятий по совершенствованию коммуникаций в компании «СОК».

Гипотеза курсовой работы - доказать, что внутренние и внешние коммуникации необходимы для нормального развития и функционирования организации.

Структура курсовой работы. Курсовая работа состоит из введения, трех глав, заключения.

В первой части работы рассматривается теоретический материал, касающийся этапов и элементов коммуникационного процесса, виды коммуникационных сетей.

Во второй - краткая характеристика исследуемой организации, анализ этапов коммуникационного процесса в компании «СОК» и анализ коммуникационных сетей в данной организации.

В третьей части будут рассмотрены мероприятия по улучшению коммуникационного процесса в компании.

Теоретическая и практическая значимость курсовой работы заключается в том, что научные положения и выводы, относящиеся к управлению внутренних и внешних коммуникаций можно применить для другой организации или предприятия.

Глава 1. Коммуникации в процессе управления

§ 1. Коммуникации и их значение в процессе деятельности организации

Термин "коммуникация” появился в научной литературе сравнительно недавно - в начале XX века. Он происходит от лат. communico, что означает - делаю общим, связываю, общаюсь. В этом и заключен весь смысл коммуникаций в организации: делать общее дело - достижение целей организации - можно только имея крепкие связи, которые существуют за счет общения всех членов предприятия.

Коммуникация - как форма общения двух и более субъектов контактирования - является естественной и неотъемлемой частью процесса управления.

Коммуникация - это процесс обмена информацией, опытом и сведениями. Коммуникация является неотъемлемой частью функционирования предприятия, и менеджер тратит на нее от 50 до 90% своего рабочего времени. Коммуникации позволяют координировать деятельность как внутри предприятия, так и налаживать внешние контакты.

Коммуникации по своей природе - это контакт, связь с целью обмена идеями, мнениями и информацией в устном или письменном виде посредством символов или действий. Передаваемая информация должна быть значима для участников коммуникации. Цель коммуникации - добиться от принимающей стороны точного понимания отправленного сообщения. В коммуникациях всегда участвуют элементы, без которых коммуникационный процесс не может происходить.

Существует две основные функции коммуникации: информационная и личностная.

Первая осуществляет процесс движения информации, вторая -взаимодействие личностей. Эти две функции теснейшим образом связаны друг с другом. Взаимодействие личностей в значительной степени осуществляется благодаря движению информации, но полностью к информационным процессам не сводится, потому что коммуникация строится не только по факту передачи и получения информации, но и по личностным ее оценкам и индивидуальным интерпретациям.

Таким образом, целью коммуникаций на предприятии является осуществление изменений, влияние на деятельность таким образом, чтобы достичь процветания организации.

Коммуникативная деятельность очень сложное явление, которое имеет следующие составляющие: коммуникативную, интерактивную,

персептивную, информативную, экспрессивную стороны.

Коммуникативная сторона проявляется через действия личности, сознательно ориентированные на их смысловое восприятие другими людьми.

Интерактивная сторона представляет собой взаимодействие людей друг с другом в процессе межличностных отношений. (Интеракция - это взаимодействие.)

Персептивная сторона проявляется через восприятие и оценку людьми социальных объектов. Такими социальными объектами могут быть другие люди, сами общающиеся, группы, другие социальные общности.

Информативная сторона заключается в передаче и понимании информации обеими сторонами коммуникации.

И экспрессивная сторона проявляется через возбуждения, переживания участников коммуникационного процесса.

В коммуникативном процессе выделяют четыре базовых элемента:

а) отправитель - это любой индивид (сотрудник), имеющий определенные идеи, намерения, информацию и цель коммуникации. Отправитель формулирует смысл того, что и почему он хочет передать другому участнику процесса коммуникации;

б) сообщение - информация, которую отправитель передает желаемому получателю, формируется в результате кодирования. Отправитель ставит своей целью выражение сообщения в вербальной или невербальной форме;

Кодирование - перевод информации отправителя в комплекс коммуникационных символов (слов, действий, выражения лица и т.п.). Основной формой кодирования выступает язык коммуникаций.

в) канал, т.е. средство передачи информации. Информация может передаваться путем личного общения, телефонных переговоров, групповых встреч, передачи сообщений по факсу, докладных и служебных записок, документов, графиками производства и отгрузки продукции и т.д.

г) получатель - лицо (лица), которому(ым) предназначена информация.

Декодирование - процесс превращения сообщения в имеющую смысл форму. Коммуникация успешна, когда получатель получил и понял отправленное сообщение. Чем ближе декодированное сообщение к намерению, выраженному отправителем, тем более эффективна коммуникация. Когда адресат, получивший сообщение, отвечает отправителю, роли сторон изменяются. Между ними формируется взаимный информационный поток, реакция каждой стороны выражается в обратной связи на сообщение. В этом случае устанавливается двусторонний, коммуникативный процесс, который представлен на рисунке 1.

Рис. 1 Этапы коммуникации и основные ее элементы

В целом этапы коммуникации можно разделить на четыре уровня:

. Зарождение идеи и отбор сведений. Отбор бывает случайным или целенаправленным, выборочным или сплошным, предписанным или инициативным, произвольным или основывающимся на определенных критериях.

. Кодирование информации и выбор канала. Здесь информация облекается в ту форму, в которой будет доступна и понятна получателю, например, письменную, табличную, графическую, звуковую, символическую и т.п. Подбирается и подходящий способ (канал) ее трансляции: устный, письменный, с помощью различного рода искусственных сигналов или условных знаков.

. Передача информации. Она возможна сразу несколькими способами. Если информация важна, считается, что не стоит ограничиваться одним каналом, а нужно по возможности дублировать этот процесс по нескольким, не злоупотребляя, однако, составлением по каждому поводу документов, иначе поток бумаг может захлестнуть.

. Декодирование (перевод символов отправителя в мысли получателя). Здесь получатель воспринимает, расшифровывает и осмысливает информацию.

Отправитель же ждет, что получатель каким-то образом подтвердит факт получения сообщения, степень понимания или непонимания его смысла, иными словами, установит обратную связь.

В идеале это должно происходить без промедления (по возможности обусловливаться заранее), облекаться в форму, соответствующую ситуации, учитывать возможности восприятия. Сигналами обратной связи при устной коммуникации могут быть уточнение, обобщение, выражение чувств. Поскольку они могут быть достаточно слабыми, за реакцией иногда требуется специально наблюдать.

Устойчивая обратная связь в процессе коммуникации позволяет существенно повысить надежность обмена информацией и хотя бы частично избежать ее потерь, различных помех, искажающих смысл сообщения.

Коммуникация считается успешной, если получатель информации понимает ее содержание адекватно тому смыслу, который в нее вкладывает отправитель (менеджер).

§ 2. Классификация коммуникаций в процессе управления


1. по субъекту и средствам коммуникации

- межличностные - коммуникации с помощью технических средств, информационных технологий

2. по форме общения

- вербальные -невербальные

3. по каналам общения

- формальные - неформальные

4. по организационному признаку (по пространственному расположению каналов)

- вертикальные - горизонтальные - диагональные

5. по направленности общения

- нисходящие - восходящие


Межличностные коммуникации - коммуникации, осуществляемые между людьми в ситуациях «лицом к лицу» и в группах с помощью слов и несловесных средств общения.

Коммуникации, осуществляемые с помощью технических средств, информационных технологий в современных условиях приобретают важнейшее значение. Осуществляются с помощью электронной почты, телекоммуникационных систем, управленческих информационных технологий (УИС) и др. Менеджеры с помощью УИС могут, например, обратиться к другим сотрудникам за информацией, нужной для решения проблем, а могут также изучить литературу о современных достижениях в какой-либо интересующей их области.

Вербальные коммуникации - коммуникации, осуществляемые с помощью устной речи как системы кодирования.

Большую часть рабочего времени многие менеджеры тратят на личное общение с другими индивидами. Достоинствами устных коммуникаций являются быстрота, спонтанность и возможность широкого использования невербальных сигналов одновременно со словами.

Невербальные коммуникации - сообщения, посланные отправителем без использования устной речи как системы кодирования, с помощью жестов, мимики, поз, взгляда, манер и т.д. Они выступают как средства коммуникации в той степени, в которой их содержание может быть интерпретировано другими. С помощью вербальных коммуникаций передается информация, а невербальные коммуникации передают отношение к партнеру по сообщению.

Формальные коммуникации - позволяют упорядочивать и ограничивать информационные потоки; определяются существующими регламентами:

организационными (схема организационной структуры),

функциональными (положение об отделах и службах, содержащее раздел «Взаимосвязи между подразделениями»).

Формальные коммуникативные каналы широко используются в организациях, имеющих иерархическую структуру управления.

Неформальные коммуникации - социальные взаимодействия между людьми, выражение человеческой потребности в общении; дополняют формальные коммуникации. Неформальную систему коммуникаций часто называют «виноградной лозой», информация в ней часто распространяется с помощью слухов.

Горизонтальные коммуникации - коммуникации, направленные на координацию и интеграцию деятельности сотрудников различных отделов и подразделений на одних и тех же уровнях иерархии для достижения целей организации; способствуют повышению эффективности использования всех видов ресурсов организации.

Диагональные коммуникации - коммуникации, осуществляемые работниками отделов и подразделений различных уровней иерархии. Они используются в случаях, когда коммуникации работников организации другими способами затруднено.

Межличностные коммуникации. Эффективность межличностных коммуникаций зависит, прежде всего, от обратной связи. С ее помощью отправитель понимает, передано ли сообщение, получено ли оно и правильно ли понято получателем. Именно наличие обратной связи превращает коммуникацию в двусторонний процесс.

Получатель должен быть убежден в компетентности отправителя. В зависимости от своей компетентности, предшествующего опыта разные люди по-разному могут интерпретировать одно и то же сообщение, что обусловливает различные подходы к кодированию и декодированию информации. При некомпетентности отправителя коммуникация может не состояться

На эффективность межличностных коммуникаций влияет совместимость любого рода. Психологическая несовместимость отправителя и получателя, неприятие получателем целей и задач, которые формулируются в сообщении разрушают коммуникацию.

Таким образом, значение коммуникаций трудно переоценить, они важны для руководителей организаций по следующим причинам

. Коммуникации необходимы для эффективности управления;

. Коммуникации необходимы для утверждения авторитета и выражения воли руководителя;

. Хорошо налаженные коммуникационные сети содействуют обеспечению организационной эффективности. Если организация эффективна в области коммуникаций, она эффективна и во всех других видах деятельности.

. Коммуникации имеют сложную и гибкую структуру. Только знание закономерностей построения коммуникаций может принести успех.

.1 Внутренние коммуникации

Внутренние коммуникации - это любые коммуникации внутри организации. Они могут быть устными или письменными, непосредственными или виртуальными, личными или групповыми. Эффективные внутренние коммуникации всех направлений - сверху вниз, снизу вверх и по горизонтали - это одна из основных задач любой организации. Хорошая внутренняя коммуникация позволяет установить ролевые взаимодействия и распределить ответственность работников.

Внутреннюю коммуникацию нельзя однажды установить и забыть об этом. Процесс должен постоянно поддерживаться и изменяться в соответствии с развитием компании. Методы налаживания внутренних коммуникаций разрабатываются все более детально, в зависимости от разных групп интересов, которые существуют в компании, и особенностей построения их взаимодействия, пересечения сфер деятельности.

Признаки хорошей внутренней коммуникации:

Информативность - это должен быть не просто набор слов, а что-то, что как-то повлияет на работу.

Ясность - сообщение должно быть составлено с учетом восприятия тех, кому оно предназначено.

Своевременность. Сотрудники должны получать необходимую информацию раньше, чем она выходит за пределы фирмы и предоставляется клиентам, партнерам, конкурентам.

Независимость и беспристрастность - любая ложь или недосказанность все равно рано или поздно вскроются.

Лаконичность.

Те, кто занимаются установлением внутренних коммуникаций, должны обладать следующими качествами:

Открытость - что подразумевает умение говорить с любой аудиторией и выслушать любое предложение.

Честность.

Способность к диалогу.

Фактически, отдел внутренних коммуникаций становится модератором взаимодействий между руководством и сотрудниками. Он отвечает за поддержание в рабочем состоянии определенного количества каналов коммуникации, например, таких, как:

внутренний веб-сайт (интранет);

регулярные собрания - в том числе:

неформальные встречи, на которых работники могут поговорить с начальством напрямую;

виртуальные собрания

конференции;

корпоративная пресса и непериодические печатные материалы;

внутренняя email-рассылка;

доски объявлений.

Чтобы установить коммуникацию с работниками, руководство использует разные подходы:

Нацеленный подход - коммуникация устанавливается с четко определенной целевой аудиторией. Чем более точно составлено сообщение, тем больше вероятность его верного восприятия. Главная ошибка - это считать, что информация передается только с помощью слов и что получатель просто пассивно принимает сообщение.

Круговой подход - коммуникация устанавливается с помощью хороших человеческих отношений, а также работы над тем, чтобы каждый сотрудник получал удовольствие от работы. Такую систему можно установить только через длительные и открытые дискуссии. Предполагается, что сущность коммуникации - в достижении взаимопонимания. Проблемы возникают из-за неправильного представления о том, что понимание приводит к соглашению, и в этом единственная цель общения. Необязательно разделять точку зрения человека, чтобы уважать ее и учитывать в работе.

Подход активного действия - коммуникация устанавливается посредством практических действий, в которых необходимо понимание и интуиция. Подход основывается на том принципе, что коммуникация - это координация значений, понимание общих правил и распознавание образов.

Коммуникации - жизненно важное звено между руководителем и подчиненными, они являются инструментом внутрисистемной координации, помогают получать информацию на всех уровнях управления. Исследования различных организационных структур показывают, что коммуникация играет важную роль в развитии организации как целостного организма. Каждый руководитель заинтересован в улучшении коммуникации. С помощью коммуникации реализуются цели компании, проводятся новые идеи, мотивация, осуществляется контроль за поведением членов группы. Коммуникации необходимы для утверждения авторитета и воли руководителя.

.2 Внешние коммуникации

Любая компания не может жить без внешних коммуникаций. Времена, когда достаточно было только производить хороший товар или услугу и тут же их продавать, безвозвратно «канули в лету». Потребителю уже не достаточно знать, что у компании нужный ему товар. Потребитель подсознательно ждет, чтобы его удивили, угадали его потребности, развеселили, вдохновили и порадовали. И для этого есть масса инструментов, которые позволяют не только донести от компании до общественности совокупность нужных «сообщений», чтобы люди «понимали» компанию и ее продукт, но и сформировать особое отношение к ней.

Внешние коммуникации - коммуникации между организацией и внешней средой. Факторы внешней среды очень сильно влияют на деятельность организации.

Организации пользуются разнообразными средствами для коммуникаций с составляющими своего внешнего окружения. С имеющимися и потенциальными потребителями они сообщаются с помощью рекламы и других программ продвижения товаров на рынок. В сфере отношений с общественностью первостепенное внимание уделяется созданию определенного образа, имиджа организации на местном, общенациональном или международном уровне. Организация, где есть профсоюз, должна поддерживать связь с законными представителями лиц, работающих по найму. Если профсоюз в данной организации отсутствует, она может общаться со своими работниками ради того, чтобы профсоюз не появился. Это лишь немногие примеры из всего разнообразия способов реагирования организации на события и факторы внешнего окружения.

Во внешних коммуникациях можно рассматривать типы коммуникацийB - то есть «бизнес для бизнеса». Это понятие характеризует, кто является источником, а кто адресатом какой-либо информации, товаров или услуг. Как правило, при этом имеется в виду деловое взаимодействие. Отличие от обычного бизнеса состоит в том, что здесь в качестве потребителя или клиента выступает другой бизнес, а не обычный потребитель.

Основная задача В2В - повышение эффективности работы компаний на В2В-рынке за счёт снижения затрат на подготовку торговых процедур и расширения географии бизнеса до масштаба всего мира.

Внешние коммуникации распространяются за рамки организации, то есть коммуникатор или получатель сообщения находится за пределами структуры.

§ 3. Преграды при коммуникациях в процессе управления и пути их устранения

В организационных коммуникациях могут возникнуть определенные преграды.

. Искажение сообщений. Оно может быть преднамеренным, когда лицо искажает какое-то сообщение с определенной целью. Это может быть фильтрация, т.е. лицо, передающее сообщение, что-то специально утаивает от получателя. Сообщение может искажаться из-за несовпадения статусов, уровней.

. Информационные перегрузки. В этом случае преграды могут возникнуть по причине большого объема информации, невозможности и неумению со стороны менеджера отбирать действительно нужную и важную информацию.

. Неудовлетворительная структура организации. Проблемой многих предприятий является неоправданно усложненная структура организации, в которой информация как бы «запутывается», искажается или неправильно трактуется.

. Неудовлетворительный кадровый состава.

Путей преодоления преград в процессе коммуникации существует достаточно количество (квалифицированный менеджер, имеющий большой опыт работы, может владеть своими собственными секретами преодоления преград):

. Регулирование информационных потоков.

. Управленческие действия, включающие в себя планирование, организацию, мотивацию, реализацию и контроль

. Системы обратной связи. Если системы обратной связи не отработаны, то теряется смысл в самом коммуникативном процессе.

. Системы сбора предложений. Это могут быть анонимные ящики или анонимные звонки. На многих предприятиях (например, Siemens) такие ящики существуют в подразделениях и цехах.

. Современные информационные технологии. Оснащение предприятий ПК, установка Internet, электронная почта, факсы, видеоконференции и т.п.

§ 4. Коммуникационные сети и их разновидности

коммуникация связь управление

Совокупность коммуникационных каналов, связывающих субъектов управления, образуют его коммуникационную структуру (сеть).

Можно выделить три вида коммуникационных структур: открытые, замкнутые и комбинированные.

Открытые коммуникационные структуры характеризуются двумя особенностями:

а) во-первых, наличием «тупиков», т.е. субъектов, на которых цепочка коммуникаций прекращается, поскольку им дальше не с кем взаимодействовать;

б) во-вторых, наличием «посредников», имеющих возможность в силу своего положения препятствовать коммуникациям (останавливать, искажать содержание, изменять направление).

В замкнутых коммуникационных сетях «тупики» и «посредники» либо отсутствуют, либо могут быть обойдены.

Комбинированные сети сочетают в себе в различных вариантах элементы предыдущих двух коммуникационных структур.

Рассмотри более обстоятельно основные виды коммуникационных структур, помня, однако, что речь идет лишь об их принципиальных схемах.

Наиболее простой вид открытой коммуникационной структуры - линейная, называемая «змеей» (рисунок 2).

Рис. 2. Сеть типа «змея»

Она характеризуется тем, что субъекты А и Б, которых она объединяет, находятся в тупиках, а субъект В не только выполняет роль посредника коммуникаций, но и может их контролировать. На практике как самостоятельная такая структура существует редко, чаще она является элементом более сложных образований, в которых служит инструментом неформальных коммуникаций субъектов одного уровня.

Многоуровневые структуры обычно имеют центральное звено, служащее исходным пунктом вертикальных коммуникационных каналов.

Коммуникационная структура типа «звезда» используется, например, тогда, когда число подчиненных центру (в данном случае А) субъектов не выходит за пределы нормы управляемости. В сущности, она представляет собой совокупность отходящих от него «змей» (рисунок 3).

Рис. 3. Сети типа «звезда»

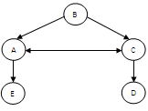
Однако для более крупных организаций такая коммуникационная структура непригодна. Здесь центральное звено А уже не в состоянии единолично вырабатывать и доводить до субъектов В, Г, Д все решения. Ему помогает конкретизирующий их посредник Б. Такая структура получила название «шпора» (рисунок 4).

Рис. 4. Сеть типа «шпора»

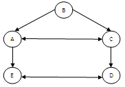
Являясь представителем среднего уровня управления и играя вторые роли, Б на деле имеет огромную власть, так как контролирует взаимодействие всех субъектов коммуникации и может незаметно навязывать волю центру (А). В сетях типа «звезда» и «шпора» число коммуникационных каналов, сходящихся к центру, на практике не может превысить нормы управляемости (количества человек, которые руководитель может эффективно управлять). Поэтому крупным многопрофильным организациям необходимы коммуникационные структуры с горизонтальными каналами на одном или нескольких уровнях. Так, в структуре типа «палатка» допускается один уровень горизонтальных каналов (рисунок 5).

Рис. 5. Сеть типа «палатка»

В структуре типа «дом» такие каналы возможны и на нескольких уровнях, что придает ей практически замкнутый характер (рисунок 6).

Рис. 6. Сеть типа «дом»

Подобные структуры позволяют исполнителям напрямую самостоятельно решать многие второстепенные проблемы, давая возможность руководству сосредоточиться на главном. В целом открытые коммуникационные структуры присущи крупным многоуровневым предприятиям с жестким подчинением одних звеньев другим и преобладанием формальных связей. Однако, в рамках таких организаций могут существовать и гибкие образования консультационные и совещательные (комитеты, комиссии, специальные творческие группы).

Коммуникации здесь осуществляются обычно в контуре замкнутых сетей, в которых посредники (если они существуют) играют роль не контролеров, а связников, облегчающих взаимодействие между участниками.

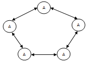
Основой таких коммуникаций является структура типа «круг» (рисунок 7). Он помогает объединять людей, облегчает взаимодействие, обмен информацией и идеями, стимулирует творческие процессы.

Рис. 7. Сеть типа «круг»

Там, где необходима координация исполнителей, она обеспечивается с помощью коммуникационной структуры типа «колесо» (рисунок 8). В ней существует центральный субъект, облегчающий и ускоряющий процесс коммуникаций. Однако он является не администратором, а общепризнанным лидером, ведущим за собой остальных.

Рис. 8. Сеть типа «колесо»

В крупных организациях творческие группы могут быть связаны друг с другом, и тогда коммуникационная структура принимает вид «сот», представляющих собой единство открытой «змеи» и замкнутых «колеса» или «круга» (рисунок 9).

Структура типа «соты» предполагает, что один субъект одновременно участвует в двух группах, поэтому выполняет по отношению к ним функции «соединительного звена».

Рис. 9. Сеть типа «соты»

После рассмотрения всех теоретических составляющих коммуникаций в процессе управления, перейдем к рассмотрению данной темы на примере конкретного предприятия. В качестве объекта изучения взято предприятие, осуществляющее деятельность на территории Самарской области - компания «Самарские Оконные Конструкции».

Глава 2. Коммуникационные процессы в компании «СОК»

§ 1. Общая характеристика компании «СОК»

Компания «Самарские Оконные Конструкции» основана 12 июня 1999 года. Юридический адрес: г. Самара, ул. Заводское шоссе д.14

Генеральный директор: Андреева Елена Викторовна

Первый заместитель генерального директора: Копытов Андрей Юрьевич

Коммерческий директор: Щурин Сергей Валентинович

Сфера деятельности: производственная.

Основной вид деятельности предприятия - изготовление и монтаж оконных конструкций. Компания «Самарские Оконные Конструкции» стала одной из первых, кто создал собственное производство ПВХ-профиля в России и сразу же начал активное продвижение в регионы, развивая дилерскую сеть и предлагая качественный продукт по доступной цене по всей России.

В настоящее время компания «СОК» осуществляет следующие виды деятельности:

а) производство и монтаж оконных конструкций;

б) гарантийное и сервисное обслуживание;

в) изготовление и монтаж дверных блоков;

г) декоративные работы;

г) отделка балконов и фасадов зданий;

д) изготовление и монтаж жалюзи.

Компания «СОК» является одним из ведущих предприятий в данной отрасли. Потребителями продукции являются и население, и различные предприятия, организации, учреждения. Потребители хорошо осведомлены о работе компании «СОК» и отзываются о ней положительно, и именно поэтому, несмотря на жесткие условия конкуренции, компания «СОК» занимает лидирующее место на рынке оконных конструкций.

В настоящее время на рынке Самарской области достаточно много фирм, производящих и реализующих аналогичную продукцию. Конкурентов фирмы можно классифицировать следующим образом:

         видовая конкуренция возникает, когда имеются товары, предназначенные для одной и той же цели, но различающиеся каким-либо важным для потребителя параметром, для компании «СОК» видовой конкуренцией является конкуренция со стороны предприятия ООО «Надежные окна», которое выпускает оконные конструкции из дерева;

         межфирменная конкуренция возникает в ситуациях, когда различные фирмы выпускают практически идентичные изделия, которые могут отличаться разве что по качеству, межфирменная конкуренция для компании «СОК» представлена со стороны ООО «Милан», ООО «Уютный дом», ООО «Золотая ладья», ООО «МеталлМонтаж».

Предприятие по изготовлению светопрозрачных конструкций из профиля торговой марки SOK находится в г. Самара. Оконное производство компании «Самарские Оконные Конструкции» - одно из крупнейших в России, выпускающих высококачественные светопрозрачные конструкции. Компания имеет развитую федеральную сеть в России и за ее пределами.

Поставщиками материальные ресурсов для компании «СОК» являются как отечественные фирмы, так и зарубежные производители (например, Профили SOK-370 и SOK-570 производятся эксклюзивно для ОКНА СОК заводами концерна profine (одного из мировых лидеров производства профилей ПВХ).

Компания «СОК» обладает современной материально-технической базой, которая постоянно модернизируется, совершенствуется, увеличивается. Продукция изготавливается только из высококачественных материалов с использованием новейших технологий.

В настоящий момент на предприятии трудятся около 250 человек из них 25 руководителей. В целом можно сказать, что и руководящий состав, и инженерно-технические работники, и рабочие высококвалифицированные специалисты в области пластиковых окон.

«Самарские Оконные Конструкции» в цифрах:

§  50 девятиэтажных одноподъездных домов можно остеклить оконными конструкциями, изготовленными за месяц

§  10 железнодорожных вагонов стекла в месяц необходимо компании для производства окон

§  Производственная мощность компании «СОК» - 45 000 кв.м пластиковых окон в месяц

§  Ежедневно в цехах изготавливается 700 окон

Схема организационной структуры компании «СОК» представлена в приложении 1.

Как, пожалуй, на любом другом предприятии в основу построения организационной структуры положены несколько принципов:

         производственный, т.е. в основу построения цехов положен определенный технологический процесс, так, например, образованы цех алюминиевых конструкций и участок ПВХ;

         количественный, например, бригада монтажников состоит из 3 человек, этого достаточно для решения поставленной им задачи - монтаж оконных блоков;

         функциональный, так, например, образованы такие отделы как бухгалтерия, отдел технологов.

Структуре управления компании «СОК» присуща централизация полномочий и ответственности. Это проявляется в четком распределении функциональных обязанностей между подразделениями, коммуникациями сверху вниз, единоначалии при распределении полномочий и ответственности, некоторым бюрократизмом в деятельности предприятия.

§ 2. Внешние и внутренние коммуникации компании «СОК»

Как и на любом другом предприятии в компании «СОК» присутствуют и внешние, и внутренние коммуникации.

Внешние коммуникации осуществляются:

.        С потребителями. В процессе коммуникации компания «СОК» доводит до потребителя информацию о продукции предприятия, ее качества, сроков изготовления, порядка заключения договоров и т.д. С другой стороны, потребитель в процессе коммуникации с компанией «СОК» доводит до предприятия сообщение о своих пожелания, о своих требованиях и предпочтениях по поводу приобретаемой продукции.

Коммуникации с потребителями - физическими лицами (население) осуществляет торговый персонал (менеджеры торгово-выставочных залов). Если в роли покупателей выступает крупное юридическое лицо (предприятия, организации и учреждения) переговоры по продажам проводит сам директор компании «СОК».

.        С поставщиками и посредниками. Их осуществляют директор по производству Горюнов Д.В. и иногда коммерческий директор Щурин С.В. Составляющей коммуникации в данном случае является информация о качестве и стоимости материальных ресурсах, о сроках ее поставки, формах оплаты и пр.

.        С государственными органами, например с Администрацией г.о. Самара, Министерством по архитектуре и градостроительству, налоговой инспекцией, осуществляют генеральный директор, заместитель директора по общим вопросам, финансовый директор компании.

Внешние коммуникации проходят в таких формах как:

а) переговоры, беседы (для поставщиков, посредников, потребителей);

б) совещания (государственные органы);

в) телефонограммы (государственные органы);

г) Указы и распоряжения (государственные органы);

д) письма (покупатели, поставщики, посредники, государственные органы).

Если рассматривать коммуникации процессы по средствам передачи, то в данной компании присутствуют:

)        речевая коммуникация (письменная и устная)

)        паралингвистическая коммуникация (жесты, мимика, позы)

)        вещественно-знаковая коммуникация (например, демонстрация покупателям образцов производимой продукции в торгово-выставочных залах).

Внутренние коммуникации представлены:

а) коммуникациями между руководителем и рабочей группой, например, коммуникации между главным менеджером по работе с частным сектор и менеджерами торгово-выставочных залов;

б) коммуникации между различными подразделениями и отделами, например, коммуникации между начальником отдела снабжения и руководителем частного сектора; между заместителем директора по общим вопросам и финансовым директором;

в) коммуникации по восходящей, т.е. снизу вверх, например, при замерах окон информация от инженеров по замерам передается начальнику производственно-технического отдела (если это корпоративный клиент) или главному менеджеру по работе с частным сектором (если покупателем является физическое лицо)

г) неформальные коммуникации. Присутствуют как и на любом другом предприятии и связаны с общением сотрудников на личные темы, обсуждение общественных и политических явлений и др. Следует отметить, что неформальных групп на предприятии практически нет, т.е. они очень малочисленны и не значительны, и особого влияния на деятельность предприятия не оказывают. Эти неформальные группы образуются в результате общих интересов, близкого места жительства или же по возрасту.

Формами внутренних коммуникаций являются приказы, распоряжения, просьбы, указания, убеждение и др.

Внутренние коммуникации осуществляются как в устной форме (указания, просьбы и др.), так и в письменной (письма, приказы, акты) и механической (информация, передаваемая через сеть ИНТЕРНЕТ, например, замеры окон).

§ 3. Коммуникационные каналы и коммуникационные структуры в компании «СОК»

В ходе анализа коммуникационных связей, происходящие в работе компании «СОК» мною был использован метод анкетирования, который затрагивал большую часть коллектива.

Данные, полученные в результате проведенного анкетирования, наблюдения за документооборотом и беседы с сотрудниками компании «СОК» помогают понять состояние коммуникационных сетей и путей их совершенствования.

Анализ данных анкетирования показал, что работники имеют много побочной, не свойственной их квалификации работы и трое из пяти специалистов высказали пожелание освободить их от лишних работ, а также почти все сотрудники указали на недостаточное обеспечение информацией. Причиной тому может служить нехватка программного обеспечения, необходимого для поддержания баз данных. В виду этого необходимо совершенствовать коммуникативный процесс через совершенствование новых информационных систем.

Таким образом, коммуникационные процессы в компании «СОК» можно охарактеризовать следующим образом:

. По субъекту и средствам коммуникаций больше всего преобладают межличностные коммуникации, которые проявляются без помощи технических средств и информационных технологий. Кроме того, межличностная коммуникация в малой группе, где каждый индивидуум имеет равный шанс участвовать в обсуждении, может быть легко услышан и взаимодействовать с другими - это самый характерный для такой организации, как компания «СОК». При этом возможности обратной связи ничем не ограничены. Заметны личностные коммуникации как случайный обмен информацией между людьми при встрече, так как люди ощущают постоянную потребность в общении.

. По форме общения, коммуникации в организации происходят при помощи устной речи, то есть вербальные.

. По каналам общения, наряду с формальными коммуникациями присутствуют и неформальные, которые можно определить как «вероятностная цепочка». Этот вид неформальной коммуникации самый распространенный для такого типа организаций.

Кроме того, неформальные коммуникации распространяются на празднованиях дней рождений, встречи «Нового года», «Восьмого марта» коллективных поздравлениях с новорожденным ребенком. Ежегодно в организации отмечается «день создания компании «СОК». На данные мероприятия принято собираться всем коллективом. Также организуются совместные поездки на туристическую базу и выход на природу. Такой системой коммуникаций руководитель оградил себя от излишних сплетней и пересудов, организовал эффективную передачу формальной (деловой) информации между отделами, сократил, на сколько это возможно, утечку информации. В тоже время обеспечил вниманием своих подчиненных и предоставил всевозможные пути для «обратной связи». Также подчиненные с помощью такой организации коммуникаций могут видеть в своих начальниках не только приказывающих руководителей, но и просто людей; это достигается на коллективных праздниках.

. По пространственному расположению каналов или организационному признаку коммуникации в компании «СОК» имеют вертикальные и горизонтальные коммуникационные каналы.

В конце каждого месяца начальники отделов в письменном виде докладывают о проделанной работе директору. Также в этом докладе возможны предложения, пожелания, просьбы, как самих докладчиков, так и рядовых работников, которые находятся у них в подчинении. Предварительно их просьбы и пожелания обсуждаются с их начальниками. Таким образом, в организации организованы восходящие вертикальные коммуникации.

Руководитель, рассмотрев, доклады менеджеров, в первых числах следующего месяца организовывает с помощью секретаря собрание, на котором по каждому пункту докладов дает указания на дальнейшую работу, а также распоряжается и передает информацию, поступившую к нему из внешней среды. На этом же собрании присутствует главный бухгалтер фонда для получения информации о произведённых расходах или предстоящих расходах, доходах и т.п. Таким образом, налажены вертикальные нисходящие коммуникации.

Также нисходящие и восходящие коммуникации осуществляются на ежегодных собраниях всего трудового коллектива компании «СОК», где обсуждаются успехи, достижения, неудачи и перспективы, как организации, так и сотрудников.

Горизонтальные коммуникационные каналы непосредственно связывают равные по статусу уровни управления. Они обеспечивают наиболее эффективное решение общих проблем.

Горизонтальные коммуникационные каналы представлены связями между, например, главным менеджером по работе с частным сектором и главным менеджером по корпоративным клиентами, или между начальник отдела снабжения и главным бухгалтером.

Рассматривая коммуникационную структуру компании «СОК» можно сказать, что здесь присутствует сеть типа «дом», т.е. здесь помимо вертикальных каналов, присутствуют и горизонтальные каналы на нескольких уровнях.

Глава 3. Совершенствование коммуникационных процессов в компании «СОК»

§ 1. Деловое общение как форма коммуникаций в управлении

Основными способами делового общения компании «СОК» являются собрание, совещание, переговоры, беседа и диалог, присутствует так же и спор.

Собрания проводятся по мере необходимости при решении сложных проблем с участием всего коллектива предприятия.

Совещания проводятся 3 раза в неделю (как правило, с 9.00 до 10.00).

Если классифицировать совещания, проводимые в компании «СОК», то можно выделить такие их виды как:

)        по форме организации диктаторское, когда ведущая роль в процессе ведения совещания принадлежит генеральному директору Андреевой Е.В.

)        по целевой установке иногда совещания принимают информационный характер (доклад о текущей работе), а иногда совещание направлено на принятие решения.

Однако, мною было отмечено не верное ведение совещаний. Основные ошибки, допускаемые руководством предприятия при проведении совещания - это:

не устанавливается регламент (порядок ведения совещания), что приводит очень часто к спорам и не деловой обстановке;

не ограничивается время на выступление

не ведется протокол совещаний, в результате многие принятые решения остаются без должного внимания со стороны их исполнителей, т.к. ответственность в данном случае не фиксируется.

Деловые переговоры ведутся и высшим руководством, и рядовыми сотрудниками, например, менеджерами торгово-выставочных залов в процессе общения с потребителями.

§ 2. Рекомендации по развитию коммуникаций в компании «СОК»

В ходе анализа было выявлено, что у компании «СОК» существуют проблемы с внутренней коммуникацией, которые мешают достичь организации наилучших результатов.

Для решения данных проблем предлагаю провести в компании следующие мероприятия:

1. систематизировать управленческие действия - организовывать регулярные встречи для обсуждения стратегий и планов, проверку соблюдения графика работы, оценку завершенных заданий и т.д.:

1 раз в неделю с одним или несколькими сотрудниками для обсуждения специфичных проблем;

1 раз в месяц с участием всех подчиненных,

. наладить систему обратной связи - для этого регулярно проводить опрос работников, перемещение их из одних подразделений в другие с целью выявления мнения о качестве продукции, работе сотрудников других продразделений;

- функционирование ящиков для предложений, в которые сотрудники анонимно подают свои предложения;

. ввести в компании регулярный выпуск информационных бюллетеней, содержащих информацию для всех сотрудников, которая позволила бы каждому оценить успешность действий компании, деятельность руководителей и других сотрудников;

. организовать проведение занятий для работников в виде игр и тренингов, которые помогут выявить потенциал работников и стимулируют их инновационную деятельность.

Заключение

Подводя итоги можно сказать, что осуществление коммуникаций - это связующий процесс, необходимый для любого важного управленческого действия, в котором роль специалиста по связям с общественностью одна из важнейших.

От умения общаться с подчиненными зависит, прежде всего, будущее организации, а вместе с ним и будущее каждого отдельно взятого сотрудника. Руководитель любого уровня должен уметь найти общий язык с замкнутыми и необщительными людьми.

Вопрос эффективных коммуникаций также важен для руководителя, как и вопрос принятия решений. Более того, эти два аспекта управленческой деятельности взаимо дополняют друг друга. И наличие одного невозможно без наличия другого.

Подводя итоги проделанной работы, следует отметить, что руководитель должен постоянно совершенствоваться в процессах коммуникации для успешного осуществления своей нелегкой, но интересной профессиональной деятельности совершенствования информационного обмена в организации.

Список литературы

1.      Амблер Т. Практический маркетинг - СПб.: Питер, 2009. - 455 с.

.        Ардженти П. Как осуществлять коммуникацию во время мирового финансового кризиса // Управление ᴨȇрсоналом.- 2009.- № 12. - С. 11.

.        Базаров Т. Ю. Управление персоналом: Учебное пособие для студ. сред. проф. учеб. заведений / Т. Ю. Базаров. - 7-е изд. - М. : Академия, 2008. - 224 с.

4.      Бодди Д., Пэйтон Р. Основы менеджмента. / Под ред. Ю.Н. Каптуревского. - СПб.: Питер, 2008. - 216 с.

.        Верхоглазенко В. Система комунникаций в организации // Консультант директора. - 2008. - №4. - С. 23-34

.        Виханский О.С., Наумов А.И. Менеджмент. 3-е издание. - М.; Гардарики, 2009. - 453 с.

7.      Гринберг Д., Бэйрон Р. Организационное поведение: от теории к практике. - М.: Вершина, 2008 - 352 с..

8.      Громкова, М.Т. Организационное поведение / М.Т. Громкова - 2-е изд., перераб. и доп. - М.: ЮНИТИ-ДАНА, 2008. - 387 с.

9.      Коротков Э.М. и др. Концепция российского менеджмента» - М.: ДеКа, 2008-1039 с.

10.    Котлер Ф. Маркетинг. Менеджмент. - СПб.: Питер, 2009. - 543 с.

.        Лэйхифф Д.М., Пенроуз Д.М. Бизнес-коммуникации. - СПб.: Питер, 2008. - 369 с.

.        Минцберг Г., Альстрэнд Б., Лэмᴨȇл Дж. Школы стратегий. - СПб. Пнтер, 2010.- 311 с.

.        Ньюстром Д.В., Дэвис К. Организационное поведение. - / Д.В. Ньюстром. - 2-е изд., перераб. и доп. СПб.: Питер, 2009. - 186 с.

.        Почепцов Г.Г. Теория коммуникации. - М.: Ваклер. 2010.- 451 с.

.        Правоторов В.М. Каркас коммуникаций //Кадровый менеджмент. - 2010. -№ 5. С. 34.

.        Рулер Б. Коммуникационная сеть: ситуационная модель стратегического управления коммуникациями/PR сегодня: новые подходы, исследования, международная практика. - М.: Инфра-М, 2008. - С.12.

.        Румянцева 3. П. Общее управление организацией. - М.: ИНФРА, 2010. - 512 с.

.        Рэпп С. Коллинз Т.Л. Новый максимаркетинг. - М.: ДИС, 2010.- 321 с.

.        Смит П., Бэрри К., Пулфорд А. Коммуникации стратегического маркетинга. - М.: Юнити-Дана, 2010.- 314 с.

Похожие работы на - Коммуникации в процессе управления

 

Не нашли материал для своей работы?
Поможем написать уникальную работу
Без плагиата!
Без нейросетей!