Исследование создания рабочих групп в организации ООО 'Автоснаб'

  • Вид работы:
    Курсовая работа (т)
  • Предмет:
    Менеджмент
  • Язык:
    Русский
    ,
    Формат файла:
    MS Word
    68,4 Кб
  • Опубликовано:
    2015-03-28
Вы можете узнать стоимость помощи в написании студенческой работы.
Помощь в написании работы, которую точно примут!

Исследование создания рабочих групп в организации ООО 'Автоснаб'

Содержание

Введение

. Теоретические основы создания рабочих групп в организации

.1 Понятие, сущность, этапы создания рабочих групп в организации

.2 Особенности создания рабочих групп в организации

. Исследование создания рабочих групп в организации ООО «Автоснаб»

.1 Характеристика предприятия ООО «Автоснаб»

.2 Процесс создания рабочих групп в организации ООО «Автоснаб»

.3 Рекомендации по совершенствованию функционирования рабочих групп в организации ООО «Автоснаб» с целью реализации проекта

Заключение

Список использованной литературы

Приложение

Введение


Широкое развитие коллективных форм организации труда сегодня является общепризнанной тенденцией в развитых странах мира. Во многих случаях одним из основных компонентов подобных структур становятся рабочие команды (work team), которые способны стать средством быстрой и эффективной адаптации к постоянно изменяющимся требованиям рынка.

Рабочие команды стали важнейшей составляющей системы тотального управления качеством (total quality management) для большого числа известных компаний, например Texas Instruments, IBM, Boing и др. Многие видные теоретики и практики менеджмента видят в рабочих командах основу управления ХХI столетия. В последнее время появились примеры успешного применения рабочих команд и в развивающихся странах.

Актуальность темы курсовой работы связана с тем, что в современном бизнесе успешнее действует тот, кто смог собрать эффективную команду.

Команда - это один из факторов, обеспечивающих конкурентоспособность компании. Актуальность исследования обусловлена еще и тем, что, несмотря на быстрое возрастающее признание потребности в командной работе, до сих пор потенциальные возможности команд изучены, не достаточно и используются в большинстве Российских организаций не на необходимом уровне в современных условиях. Одной из причин такого парадоксального факта является то, что руководители недостаточно четко понимают, что такое команда, как её создавать и как использовать.

Цель курсовой работы: разработка рекомендаций по совершенствованию функционирования рабочих групп в организации ООО «Автоснаб» с целью реализации проекта.

Для достижения поставленной цели решим следующие задачи:

рассмотреть теоретические основы создания рабочих групп в организации;

исследовать процесс создания рабочих групп в организации ООО «Автоснаб»;

разработать рекомендации по совершенствованию функционирования рабочих групп в организации ООО «Автоснаб» с целью реализации проекта.

Объект изучения: ООО «Автоснаб».

Предмет изучения: функционирование рабочих групп в организации ООО «Автоснаб» с целью реализации проекта.

Практическая значимость результатов исследования заключается в том, что они позволяют оценить функционирование рабочих групп в организации ООО «Автоснаб» с целью реализации проекта.

При написании курсовой работы была использована разнообразная литература по основам менеджмента и проектной деятельности, таких авторов как Бобышев Р.А., Веснин В.Р., Кабушкин Н.И., Андреева А.Ф., Вачугова Д.Д., где они рассматривают основные положения менеджмента применительно к российским условиям.

1. Теоретические основы создания рабочих групп в организации

.1 Понятие, сущность, этапы создания рабочих групп в организации

Под командой (группой) понимается совокупность людей, ощущающих свою целостность и стремящихся к достижению определенной, иногда осознанной, иногда нет, цели.

Рабочая команда (группа) - это наличие двух существенных смысловых признаков в содержании этого термина. А именно: прагматизм целей коллективной деятельности, плюс некий технологический (связывающий способы и средства) процесс их достижения.

В дополнение можно сказать, что рабочая команда это есть рабочая группа, обладающая всеми следующими качественными признаками:

Разделяемое (всеми членами команды) видение, основанное на единстве представлений (единомыслие).

Оптимальная (вклад / отдача) структура деятельности команды, основанная на согласовании и взаимном дополнении индивидуального профессионализма [3, с. 38].

Мобилизованность, основанная на самоорганизации общекомандных усилий направленных против неблагоприятного влияния изменяющейся внешней среды.

Целеустремленность, основанная на актуализации общей цели команды как своей личной и понимании своего участия в её достижении как необходимого.

Взаимопонимание и взаимная поддержка, основанные на общих личных ценностях (командный дух).

Безусловно, рабочая команда - есть определенное «качество» рабочей группы, и, как это свойственно любому качеству, пределов для его усиления нет. Это значит, что какой бы совершенный образец команды мы не имели в данный момент перед своими глазами, всегда можно найти или создать более «командную» рабочую команду. Однако эта относительность нисколько не размывает границ нашего понимания рабочей группы и рабочей командой. Отдельные отличительные признаки команды сами по себе имеют принципиальный характер, но они ещё более важны в совокупности, определяя команду как системную целостность [2, с. 23].

Не случайна закономерность, когда рабочие группы очень охотно обозначают себя командами, как только обнаруживают у себя наличие хотя бы одного из вышеназванных признаков команды. Итак, рабочая команда, как и рабочая группа, являются формами консолидации коллективных усилий для достижения тех самых прагматических целей, которые ставятся. Однако специфика рабочей команды, определяющая её смысл и её ценность, заключается в том, что команда - это наиболее разумное, жизнеспособное и эффективное коллективное средство достижения этих целей. Таким образом, рабочая команда всегда обусловлена поставленными перед ней целями и актуализована более сложными условиями их достижения. Это значит, во-первых, что нет, и не может быть абстрактных рабочих команд. Любая команда создаётся целенаправленно. Вне целей своего создания рабочая команда просто бессмысленна. Во-вторых, рабочая команда будет таковой, пока она находится в процессе достижения трудной цели. С достижением этой цели команда теряет свое предназначение и смысл подобного именования. Динамика и движение всегда присутствуют в восприятии рабочей команды как её естественные атрибуты.

Образование и развитие команд естественно и неизбежно, т.к.:

во-первых, руководители создают их для выполнения какой-либо работы (это могут быть проектные группы, производственные бригады, различные комитеты и коллегии), при этом цель, стоящая перед командой, может не всегда осознаваться её членами;

рабочая команда организационная культура;

во-вторых, люди сами спонтанно формируют команды для защиты своих интересов (это могут быть профсоюзы, политические партии, лоббистские группы);

в-третьих, люди могут удовлетворить многие свои потребности, только принадлежа к какой-либо команде (древний человек мог убить и съесть мамонта, только принадлежа отряду охотников, по темной улице люди предпочитают ходить компанией, в коллективе люди лучше обучаются) [12, с. 22].

Таким образом, принадлежа команде человек:

удовлетворяет свои социальные потребности;

получает помощь и поддержку при достижении своих собственных целей, которые не всегда могут совпадать с целями команды или организации;

получает возможность психологической разгрузки, находя взаимопонимание с другими членами команды;

получает право участвовать в совместной деятельности, приносящей определённый, не обязательно финансовый, доход.

Команды могут быть как формальными, так и неформальными. Неформальной является команда не входящая в состав формальной организационной структуры. Их могут возглавлять люди вообще не имеющие формальной власти, но влияние этих команд на достижение целей организации может быть очень велико.

Такие команды стремятся:

быть небольшими;

выработать свой собственный признак, который может быть отражен в названии, поведении, ритуалах [8, с. 45].

Все команды, формальные и неформальные, накладывают определенные ограничения на своих членов, оказывают на них давление, чтобы заставить соответствовать нормам команды. Эти нормы могут касаться поведения, одежды, употребляемой лексики, отношения к делам и целям предприятия, к её руководству. Поэтому благополучие руководителя во многом зависит его способности влиять на нормы, существующие в различных командах возглавляемого им коллектива. Воздействовать на такие нормы очень трудно. Проще это делать изнутри, принадлежа команде, и практически невозможно извне, если человек, пытающийся это сделать, не обладает доверием и уважением команды.

Под эффективностью команды понимается:

степень реализации ее целей;

удовлетворение, которое испытывают люди от принадлежности данной команде.

Среди множества факторов, определяющие эффективность команды, можно выделить параметры команды, внешнюю среду функционирования и мотивации команды (см. рис.1.1.1).









Рисунок 1.1.1. Факторы, определяющие эффективность команды

Таким образом, руководитель, формирующий команду должен в обязательном порядке учитывать [10, с. 82]:

цели, стоящие перед командой; необходимые знания, умения, навыки и опыт персонала; психологические требования к будущим членам команды; время, в течение которого будет функционировать команда;

) характеристики самой команды, к которым относятся:

композиция;

структура;

командные процессы.

) характеристики, определяющие положение человека в команде, к которым относятся:

ожидания команды в отношении данного человека;

статус человека в команде;

роль, исполняемая членом команда.

Композиция команды - это совокупность характеристик, как самой команды, так и ее членов, важных с точки зрения команды как единого целого [2, с. 30].

К таким характеристикам относятся:

численность команды;

ее возрастной, половой, национальный, социальный и другой состав.

Набор этих характеристик достаточно многообразен, и их выбор производится исходя из тех целей, которые ставит перед собой человек, который данную команду формирует или исследует. Но, в любом случае, численность команды - это важнейшая ее характеристика [6, с. 62].

Очевидно, что чем более многочисленной является команда, тем большим количеством различных знаний и навыков она располагает. В то же время чем больше команда, тем меньше возможностей у каждого ее члена для участия в работе и влияния. Следовательно, численность команды - это компромисс между желаниями ее членов и ее возможными результатами. Исследования показывают, что наиболее эффективной является команда из 5-9 человек. При меньшем количестве между членами команды не возникает связей, которые позволяют членам команды чувствовать свое единство и обособленность от внешнего мира, а при большем возникают тенденции к распаду на подкоманды

1.2 Особенности создания рабочих групп в организации

Для создания эффективной руководящей управленческой команд следует воспользоваться теорией командных ролей, которая была разработана в Англии, в Кембридже под руководством профессора Мередита Белбина [7, с. 21].

Им выделено восемь основных командных ролей: 1) исполнитель; 2) координатор; 3) структуризатор; 4) генератор идей; 5) разведчик ресурсов; 6) наблюдатель-аналитик; 7) командный работник; 8) завершитель работ.

К ним иногда добавляется и девятая роль: специалист - сотрудник, обладающий глубокими профессиональными знаниями, но способный вносить вклад только в узкой области своей специальности. Очевидно, что каждая перечисленная командная роль вносит свой вклад в общий успех дела и, следовательно, должна быть представлена в сбалансированной команде.

При таком подборе команды:

гарантируется присутствие ключевых командных ролей;

отношения между командными ролями основываются на максимальном использовании достоинств и сдерживании слабостей ее членов;

увеличивается доверие друг к другу (при условии, что члены команды поймут и примут свои и чужие достоинства и слабости).

М. Белбин утверждает, что необходимы не индивидуумы со сбалансированными характеристиками, а командные игроки с достоинствами, компенсирующими недостатки коллег. Таким образом, слабости отдельных людей не будут мешать проявлению их сильных сторон. Надо помнить о том, что целое, команда - больше, чем сумма слагаемых, сумма способностей отдельных ее членов. Естественно, создание команды также начинается с подбора сотрудников. Руководитель изначально должен предельно четко понимать, какие именно специалисты ему необходимы. При этом руководитель в деле набора сотрудников должен быть полностью беспристрастным, он должен игнорировать личные симпатии. Хороший человек - это не профессия. Сотрудник, в первую очередь, должен соответствовать занимаемой должности, он должен обладать профессиональным опытом и знаниями. Кроме того, сам по себе специалист должен быть перспективным в плане профессионального роста, он должен обладать потенциалом, который бы позволил ему в будущем существенно повысить свой профессиональный уровень [10, с. 704].

Чтобы ответить на вопрос о численность команды необходимо исходить только из того, какие именно цели и задачи будут перед этой командой поставлены. К вопросу численности команды нужно отнестись с особым вниманием. Небольшая по численному составу команда может просто физически не справиться с возложенными обязанностями. Слишком раздутый штат приведет не только к дополнительным расходам по заработной плате, но и увеличит количество коммуникативных связей в коллективе, что, соответственно, может внести определенный сумбур во весь рабочий процесс. Если команда достаточно большая, то есть смысл разбить ее на несколько подгрупп, что позволит избежать дополнительных временных потерь, вызванных слишком сложной структурой коммуникационных связей. Как показывает практика, разбивать коллектив на подгруппы следует в тех случаях, когда численный состав команды превышает десять-двенадцать человек [8, с. 704].

Важнейшим этапом в деле создания эффективной команды является постановка целей и задач. Каждый сотрудник должен предельно четко понимать свои функциональные обязанности, область своей профессиональной ответственности. До каждого члена команды должна быть донесена информация относительно внутренних взаимодействий в рамках коммерческого предприятия, методах работы, системы ценностей и философии компании. При этом настоятельно не рекомендуется ставить перед командой изначально завышенные цели. Некоторые руководители полагают, что подобный подход позволяет добиться максимум от своей команды. Но практика доказывает, что заведомо завышенные цели и задачи негативно воздействуют на моральный дух всех членов коллектива, создают дополнительное напряжение. Цели должны быть реальными, они не должны противоречить здравому смыслу.

Даже если в команду придет человек, который уже имеет богатый опыт работы в данной сфере, это еще не позволяет говорить о том, что он полностью соответствует всем профессиональным требованиям. У каждого коммерческого предприятия есть свои особенности, свои качественные отличия. И нового специалиста в обязательном порядке нужно посветить в эти особенности, обучить работе на новом месте. Только соответствующее обучение позволит новому сотруднику адаптироваться в новых рабочих условиях.

Мотивация является обязательным элементом корпоративной культуры любого успешного предприятия. Если сотрудник не будет получать постоянную мотивационную подпитку, то через определенное время его первоначальный рабочий энтузиазм сойдет на нет. Каждый член команды должен прекрасно понимать, что его работа будет оценена по достоинству, что при достижении определенного результата перед ним откроются новые профессиональные горизонты и возможности. И руководство предприятие должно в полной мере донести эту мысль до всех членов команды, показать все перспективы эффективной работы. Человек, который видит не только общественную, но и личную выгоду, способен практически на любые трудовые подвиги [8, с. 74].

Каждый сотрудник должен чувствовать свое участие в общем деле, он должен ощущать себя неотъемлемой частью единого коллектива. Это позволяет существенно увеличить производительность не только отдельных сотрудников, но и всей команды. Команда, которая работает в едином ключе, намного в профессиональном плане значительно эффективней нескольких индивидуалистов. Тут можно вполне провести аналогию с профессиональным спортом. Можно собрать команду из игроков высочайшего уровня, но это не гарантирует того, что команда заиграет должным образом. На практике давно доказано, что средний по составу, но организованный и объеденный общей идеей коллектив может успешно противостоять команде, в которой выступают сплошные звезды. Поэтому каждый прогрессивный руководитель должен особое внимание уделить корпоративной культуре, которая бы стала связующим звеном между всеми членами команды.

Как показывает практика, работа двадцати процентов команды обеспечивает восемьдесят процентов результата. И именно на эти двадцать процентов команды и должно ориентироваться руководство компании, именно этим сотрудникам и нужно уделять больше всего времени. Такой подход себя полностью себя оправдывает. Ведущие сотрудники получают дополнительную мотивацию, которая позволяет им реализовывать скрытые резервы. Соответственно, все остальные члены команды равняются на лидеров, всеми силами пытаются им соответствовать. Если руководитель будет больше времени посвящать тем сотрудникам, которых нельзя назвать основной движущей силой всего рабочего процесса, то это может негативно сказаться на дальнейшем развитии предприятия [4, с. 43].

Изначально должны быть досконально продуманы механизмы оценки работы не только всей команды в целом, но и отдельных ее членов.

В итоге продуманная методика оценки эффективности работы позволит своевременно принимать соответствующие меры, которые не позволят снизить динамику рабочего процесса. При этом система контроля работы не должна создавать каких-то дополнительных проблем для сотрудников компании, они не должны чувствовать какого-то давления. Система контроля должна быть максимально гармонично интегрирована в повседневную жизнь коммерческого предприятия, она должна выступать в качестве вполне естественного дополнения, а не в качестве какого-то карательного инструмента.

2. Исследование создания рабочих групп в организации ООО «Автоснаб»

.1 Характеристика предприятия ООО «Автоснаб»

Общество с ограниченной ответственностью «Автоснаб» было создано 8 февраля 2005 года. Юридический адрес: Ленинградская область, г. Санкт-Петербург. РФ, Промкомзона № 1, АБК базы ООО ПКФ.

ООО «Автоснаб» является юридическим лицом и имеет в собственности обособленное имущество, отражаемое на его самостоятельном балансе. ООО «Автоснаб» вправе в установленном порядке открывать банковские счета на территории Российской Федерации и за ее пределами. ООО «Автоснаб» относится к отрасли машиностроительной промышленности.

Основные цели деятельности ООО «Автоснаб»:

осуществление хозяйственной деятельности, направленной на получение прибыли на вложенный капитал;

развитие производственно-технической базы предприятия;

осуществление технического переустройства и реконструкции собственной производственной базы для получения дополнительных производственных мощностей.

Основными видами деятельности ООО «Автоснаб» являются:

-       Производство автокомпонентов, торгово-закупочная, в т.ч. оптовая и розничная торговля грузовыми и легковыми автомобилями отечественного и зарубежного производства, номерными и неномерными запасными частями к автомобилям и оборудованию, строительными пиломатериалами, металлопрокатом, металлическим ломом;

-       коммерческая, посредническая;

-       реализация нефтепродуктов и горюче-смазочных материалов;

-       деятельность по содержанию станций технического обслуживания и т.д.;

-       другие виды деятельности, не запрещенные действующим законодательством.

ООО «Автоснаб» изготавливает и продает запасные части к автомобилям КАМАЗ, МАЗ, ЯМЗ, ПРАМО. ООО «Автоснаб» является дилером и представителем заводов изготовителей и поставляет только сертифицированные оригинальные запчасти с гарантией заводов-изготовителей: ОАО «КАМАЗ», «МАЗ», «ЯМЗ», «ЛРЗ» г. Лихославль (радиаторы) «СтАТО» п. Ставрово (термостаты, датчики, рычаги, омыватели), «Элтра» г. Ржев (генераторы, стартера, комплектующие), «Элтра-Термо» г. Ржев (подогреватели, комплектующие). В продаже появились автомобили КАМАЗ бортовые, седельные тягачи, самосвалы и автомобили шасси.

Основным поставщиком организации является ООО ПРАМО, ООО «Автоснаб» сотрудничает и с ТД СГП, ООО «Автоснаб», ООО «Комбат», ООО «Ярдизель».

Самым крупным потребителем ООО «Автоснаб» является ОАО «КамАЗ». ООО «Автоснаб» имеет и конкурентов - ООО «Моторика», ООО «Автодин», ООО «ТатЦентр», ООО «Автокомплект-С».

Основные конкурентные преимущества:

. Шесть лет на рынке запасных частей;

. Офис, склад запасных частей и стоянка находятся на одной территории;

. 100% комплектация заявки в течение 3 дней;

. Гибкая система скидок.

Органами управления ООО «Автоснаб» являются Общее собрание участников Общества, Совет директоров, Генеральный директор.

Организационная структура ООО «Автоснаб» относится к линейно-функциональному типу, т.е. аппарат управления строится из взаимоподчиненных органов в виде иерархической лестницы (см.рис. 2.1.1.).

Рис. 2.1.1. Организационная структура управления ООО «Автоснаб»

Генеральный директор занимается оперативным управлением компании, обеспечивает взаимодействие с внешней средой, занимается разработкой и реализацией стратегических планов компании.

Управляют и координируют сферу производственной деятельности заместитель ген. директора по производству, главный инженер.

Во главе каждого подразделения находится руководитель, наделенный всеми полномочиями и осуществляющий единоличное руководство подчиненными ему работниками. Главная задача штабных подразделений состоит в оказании помощи линейному менеджеру в выполнении отдельных функций управления.

Разделение системы управления на управляющие части осуществляется исходя из сфер жизнедеятельности предприятия. Так, в непосредственном подчинении генерального директора находятся следующие заместители: заместитель по общим вопросам, заместитель по коммерции, главный бухгалтер.

Деятельность структурных подразделений предприятия опирается на следующие нормативно-правовые документы:

.        Трудовой кодекс РФ;

.        Устав предприятия;

.        Коллективный договор;

.        Правила внутреннего распорядка;

.        Должностные инструкции;

.        Положение о порядке оформления и согласования документов внутри предприятия;

.        Внутренние приказы и распоряжения ООО «Автоснаб».

Одним из показателей развития предприятия является среднесписочная численность работников. В таблице 2.1.1. представлена динамика среднесписочной численности работников ООО «Автоснаб» за 2011-2013 гг.

Таблица 2.1.1

Динамика среднесписочной численности сотрудников ООО «Автоснаб» за 2011-2013 гг.

Должность

2011г.(чел.)

2012г.

2013г.




Чел.

Темп роста, (%)

Чел.

Темп роста, (%)

1.

Руководители

12

12

 100,0

18

150,0

2.

Специалисты

13

17

133,3

17

-

3.

Рабочие

95

95

100,0

190

200,0


Итого

120

124

107,0

225

186,7


Таким образом, видно, что в 2013 году развитие организации имело очень большие темпы развития, так об этом свидетельствует увеличение руководителей на 6 чел., в 2013 г. - количество руководителей составило 6 чел, что составляет 150% прироста по сравнению с 2012 годом. Количество рабочих также имеет положительную динамику за исследуемый период в 2013 г. число работников увеличилось на 200% и составило 190 человек.

Среднесписочная численность специалистов ООО «Автоснаб» в 2012 году увеличилась на 4 человека и составила 17 человек, в 2013 году их число осталось неизменным, поэтому автор может сказать, что исходя из основных видов деятельности предприятия, число специалистов обеспечивает растущую необходимость производственной деятельности компании.

В итоге видно, темп роста общей среднесписочной численности сотрудников ООО «Автоснаб» за 2011-2013 гг., увеличился, это связано с ростом производства компании.

2.2 Процесс создания рабочих групп в организации ООО «Автоснаб»

В 2014 году компания приступила к производству новой продукции, в лице новой продукции выступает наконечник рулевой тяги 180-3414062/063.

Цель нового производства: внедрение производства новой продукции наконечник рулевой тяги 180-3414062/063 на предприятии ООО «Автоснаб».

Задачи:

Расширение производства отечественных, качественных и недорогих наконечников на основе внедрения новых технологий.

-   Расширение рынков сбыта.

Вид деятельности: производство наконечника рулевой тяги.

Годовой объем выпуска при полной загрузке мощностей составит 247500 шт.

Цена реализации одного изделия 460,20 руб. (с учетом НДС).

Планируемая выручка в год: 374037 тыс. руб. при полной загрузке производственных мощностей.

Ожидаемая величина чистой прибыли в год: порядка 86657 тыс.руб.

Рынки сбыта: ОАО «КАМАЗ» и ОАО «МАЗ» и вторичные рынки.

Успех реализации проекта во многом зависит от организационной структуры проекта.

Это понятие включает в себя, во-первых, организационные формы и, во-вторых, организационные структуры управления проектом.

Если под организационной структурой управления проектом понимают совокупность взаимосвязанных органов управления, расположенных на различных ступенях системы, то организационная форма - это организация взаимодействия и взаимоотношений между всеми участниками инвестиционного процесса.

В организационной структуре управления рабочей группы проекта ООО «АВТОСНАБ» выделены три основных уровня:

-   организация на концептуальном уровне, определены основные принципы взаимодействия, и разъяснены степень участия различных участников проекта,

-   организация на уровне стратегии, определена ответственность за достижение ключевых вех. Организационными элементами являются: компании, отделы, ключевые менеджеры;

-   организация выполнения работ, определяется ответственность за выполнение отдельных работ, назначаются исполнители и поддерживающие ресурсы.

На стадии планирования и запуска проекта в ООО «АВТОСНАБ» управленческие решения касаются стратегии достижения целей проекта, и центр руководства перемещается на стратегический организационный уровень.

На стадии процесса реализации проекта основная масса управленческих решений принимаемых руководством ООО «АВТОСНАБ» касается оперативного планирования, технической реализации и тактики исполнения задач. Главную роль на стадиях исполнения играет организация работы команды проекта.

Проектирование организационных структур проекта в ООО «АВТОСНАБ» опирается на следующие принципы формирования рабочих групп:

         единства распоряжения, исключающий двойное подчинение и противоречивые указания,

          точных границ между линейным и функциональным руководством.

Линейная организация призвана осуществлять руководство проектом, а функциональная - оказывать всевозможную помощь в этом, снабжать необходимой информацией, давать рекомендации:

         управляемости, согласно которому необходимо определить, каким количеством подчиненных может руководить один человек, т.е. какова норма управляемости для данного руководителя она зависит от количества связей между руководителями и подчиненными и между самими подчиненными;

         рационального сочетания централизации и децентрализации функций. Организация проекта включает определение ключевых специалистов, ответственных за принятие решения. Организация проекта должна позволять привлекать различные ресурсы на разных стадиях проекта в соответствии со следующими принципами:

В данном проекте ООО «АВТОСНАБ» будет использована матричная форма реализации проекта, так как она не отрывает специалистов от их основной работы, в то же время все их знания и опыт пригодятся для реализации проекта. Матричные организационные структуры эффективны для достижения одновременно вертикальной, функциональной специализации и проектно - целевой горизонтальной интеграции. Чаще всего они используются для реализации проекта в рамках одного предприятия и в случае необходимости управлять несколькими проектами одновременно на постоянной основе.

На рисунке 2.2.1 представлена организационная структура управления проектом.

Рис. 2.2.1. Организационная структура управления проектом ООО «АВТОСНАБ»

По содержанию команда проекта ООО «АВТОСНАБ» представляет собой группу специалистов высокой квалификации, обладающих знаниями и навыками, необходимыми для эффективного достижения целей проекта.

Основным интегрирующим фактором создания и деятельности команды выступает стратегическая цель - реализация проекта. В процессе достижения целей проекта команда приобретает свои черты, использует организационные возможности участников и ресурсы проекта. Команда проекта выступает как социальный организм, имеющий свое начало, осуществляющий процесс жизнедеятельности (управление проектом) и завершающий свое существование расформированием или трансформацией в другую управленческую команду.

С одной стороны, команда проекта оказывает влияние на создание определенной организационной среды проекта, формируя ценности, принципы и нормы поведения персонала. С другой стороны, действует в ней, подчиняясь единой цели и философии управления проектом.

Смысл командной работы по реализации проекта ООО «АВТОСНАБ» заключается в возможности синергетического эффекта от объединения групповых усилий, знаний и выработки групповых управленческих решений, т.е. в достижении «состояния, при котором целое больше, чем сумма его составных частей». Такая кооперация в работе персонала значительно эффективнее, чем конкуренция.

Задачей руководителя проекта ООО «АВТОСНАБ» при формировании команды является подбор членов рабочей команды, которые обеспечивают:

-   соответствие количественного и качественного состава команды целям и требованиям проекта;

-   эффективную групповую работу по управлению проектом;

-   психологическую совместимость членов команды и создание активной стимулирующей «внутрипроектной» культуры;

-   развернутое внутригрупповое общение и выработку оптимальных
групповых решений проблем, возникающих во время реализации проекта.

В итоге руководитель проекта ООО «АВТОСНАБ» назначает менеджера проекта, осуществляющего общее руководство проектом, контролирующего его основные параметры и координирующего деятельность членов команды. Менеджер проекта с одобрения руководителя проекта определяет необходимое число специалистов - членов команды, их квалификацию, проводит отбор и наем работников.

.3 Рекомендации по совершенствованию функционирования рабочих групп в организации ООО «Автоснаб» с целью реализации проекта

рабочий команда проект

В команде (рабочей группы) проекта ООО «АВТОСНАБ» выделяются привлекаемые члены, принимающие участие в разработке и реализации проекта на различных стадиях его жизненного цикла (см.приложение 1).

В основе групповой консолидации лежат три естественные потребности человека: в присоединении к группе ему подобных; в признании его личности, его талантов и заслуг; в сопричастности к какому-то общему делу, к общим результатам.

Команда проекта обладает всеми присущими социальной группе качествами и характеристиками. Как формальная группа она занимает определенное место в структуре организации, имеет закрепленные функции и обязанности, пользуется формальными каналами информации. Как неформальная группа она достаточно устойчива к кризисам и конфликтам, пользуется различными неформальными связями и информационными каналами.

Особенностью распределения обязанностей между членами команды проекта является командная ответственность за выполнение отдельных функций, за отдельные сферы деятельности, т.е. распределение обязанностей, производится укрупнено между подразделениями команды, а внутри подразделений наблюдаются коллегиальное принятие решений и солидарная ответственность за результаты деятельности.

В процессе реализации проекта определяются роли членов команды, устанавливается их статус, выявляются неформальные лидеры, обеспечивающие достижение целей команды.

При подборе команды, определении групп, работающих над отдельными задачами, следует учитывать фактор психологической совместимости, что обеспечивается единством ценностных ориентации персонала.

Представим сетевую модель в табличной форме приведена в таблице 2.3.1.

Таблица 2.3.1

Перечень работ по предпроизводственному маркетингу

Код

Работа

Продолжительность в человеко-днях

Ответственный

1

2

3

4

0-1

Изучение спроса в области

7

менеджер проекта

0-2

Изучение предложения, конкурентной среды

7

менеджер проекта

1-3

Определение емкости рынка области

3

менеджер проекта

1-4

Позиционирование товара

3

менеджер проекта

3-5

Фиктивная работа



4-5

Фиктивная работа



2-5

Анализ слабых и сильных сторон по сравнению с конкурентами

2

менеджер проекта

5-6

Определение потенциальной доли рынка

1

менеджер проекта

6-7

Определение возможных объемов продаж

1

менеджер проекта

7-8

Разработка стратегии маркетинга

2

менеджер проекта


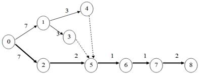
На рисунке 2.3.1. представлен сетевой график.

Рис. 2.3.1. Сетевой график выполнения работ по предпроизводственному маркетингу

Критический путь Lкр проходит через события 0-2-5-6-7-8. Его длина составляет 16 дней, в таблице 2.3.2. представлены временные параметры графика.

Таблица 2.3.2

Временные параметры в человеко-днях

№ события

Ранний срок, Тр

Поздний срок, Тп

Резерв времени, Р

0

0

0

0

1

7

13

6

2

7

7

0

3

10

16

6

4

10

16

6

5

12

12

0

6

13

13

0

7

14

14

0

8

16

16

0


Таким образом, события №1,3,4 имеют резервы во времени свершения.

Некритические пути:

Длина пути L1(0-1-3-5-6-7-8) = 14. Резерв 16-14=2 человеко-дня.

Длина пути L2(0-1-4-5-6-7-8) = 14. Резерв 16-14=2 человеко-дня.

Представим поставку оборудования, материалов, услуг.

Сетевая модель в табличной форме приведена в таблице 2.3.3.

Таблица 2.3.3

Перечень работ по поставке оборудования, материалов, услуг

Код

Работа

Продолжительность в человеко-днях

Ответственный

0-1

Обработка и анализ разработанной спецификации оборудования

1

главный инженер

0-2

Определение потребности в оснастке, инструменте, инвентаре

2

главный инженер

0-3

Определение потребности в сырье, материале

2

главный инженер

1-4

Поиск и выбор поставщика (-ов) оборудования

7

главный инженер

4-5

Заключение договоров купли-продажи по оборудованию

7

менеджер

5-10

Оплата счетов и поставка оборудования

8

бухгалтер экономист

2-6

Поиск и выбор поставщиков инструмента, оснастки, инвентаря

3

6-7

Заключение договоров на поставку

3

менеджер

7-10

Оплата счетов на поставку, поставка инструмента, оснастки, инвентаря

2

специалист по финансам

3-8

Поиск и выбор поставщиков сырья, материала

3

главный инженер

8-9

Заключение договоров на поставку

3

менеджер

9-10

Оплата счетов на поставку, поставка сырья, материала

2

специалист по финансам


На рисунке 2.3.2 представлен сетевой график.

Рис. 2.3.2. - Сетевой график выполнения работ по поставке оборудования, материалов, услуг

Критический путь Lкр проходит через события 0-1-4-5-10. Его длина составляет 23 дней, в таблице 2.3.4 представлены временные параметры графика.

Таблица 2.3.4

Временные параметры в человеко-днях

№ события

Ранний срок, Тр

Поздний срок, Тп

Резерв времени, Р

0

0

0

0

1

1

1

0

2

2

15

13

4

8

8

0

5

15

15

0

6

5

18

13

7

8

21

3

8

5

18

13

9

8

21

3

10

23

23

0


Таким образом, самые напряженные работы - работы по закупке и поставке оборудования, срыв сроков их выполнения не допустим.

Работы по поставке оснастки, инструмента, инвентаря, сырья, материалов имеют резервы времени, они лежат на некритических путях L1, L2, которые имеют следующие длины и резервы:

Длина пути L1(0-2-6-7-10) = 10. Резерв 23-10=13 человеко-дней.

Длина пути L2(0-3-8-9-10) = 10. Резерв 23-10=13 человеко-дней.

Задача 4. Монтаж оборудования.

Сетевая модель в табличной форме приведена в таблице 2.3.5.

Таблица 2.3.5

Перечень работ по монтажу оборудования

Код

Работа

Продолжительность в человеко-днях

Ответственный

0-1

Обработка и анализ проектной документации

1

Инженер

1-2

Монтаж оборудования

7

Инженер

2-3

Наладка и пуск оборудования

2

Инженер

3-4

Испытания, аттестация

2

Инженер

4-5

Квалификационный допуск рабочих к работе на оборудовании

3

Инженер

5-6

Составление акта об окончании монтажа и соответствии проектной документации

1

Инженер


На рисунке 2.3.3. представлен сетевой график.

Рис. 2.3.3. - Сетевой график выполнения работ по монтажу оборудования

Критический путь Lкр проходит через события 0-1-2-3-4-5-6. Его длина составляет 16 дней, в таблице 2.3.6 представлены временные параметры графика.

Таблица 2.3.6

Временные параметры в человеко-днях

№ события

Ранний срок, Тр

Поздний срок, Тп

Резерв времени, Р

0

0

0

0

1

1

1

0

2

8

8

0

3

10

10

0

4

12

12

0

5

15

15

0

6

16

16

0


Все работы лежат на критическом пути, некритических путей нет, резервов времени нет.

Контроль реализации проекта необходим в связи с меняющимися условиями окружающей среды проекта, с дестабилизирующими внутренними и внешними факторами. Контроль позволяет менеджеру проекта своевременно выявлять отклонения от плановых нормативов и вносить корректирующие действия.

Основной контроль осуществляет менеджер проекта и отчитывается перед генеральным директором предприятия. Эффективность системы контроля реализации проекта достигается благодаря:

- наличию содержательных, четких планов; наличию ясной и понятной исполнителям системы отчетности за выполненные работы, отражающей состояние проекта относительно исходных планов;

четкой периодичности представления всех отчетов;

наличию эффективной системы анализа фактических показателей и тенденций;

наличию эффективной системы реагирования, позволяющей преодолевать отклонения от запланированного хода работ, в том числе путем пересмотра плана.

внесению поправок в результате любых изменений первоначального плана в следующие за ним планы, обязательному фиксированию внесенных поправок;

Контролируются основные характеристики: время, объем работ, стоимость, качество исполнения.

Задачи менеджера проекта:

- мониторинг (отслеживание фактического состояния работ - сбор и документирование фактических данных);

анализ результатов (оценка текущего состояния работ, выявление отклонений фактических показателей от плановых. Плановые показатели содержатся в календарных планах, финансовых нормативах, нормах расхода ресурсов и др.);

прогнозирование последствий сложившейся ситуации;

обоснование необходимости принятия корректирующих воздействий;

корректирующие действия.

В итоге приобретение оборудования планируется за счет заемных средств, а именно за счет кредита в Банке ОАО «Сбербанк России» на 3 года с годовой процентной ставкой 20%.

Дата начала проекта: 01 июля 2014 года.

Организационно - правовая форма реализации проекта: на базе действующего предприятия.

Срок окупаемости инвестиций (ниже представлены итоговые данные из документации бизнес-плана компании ООО «Автоснаб»):

простой 1,8 года.

дисконтированный 2 года.

Чистая текущая стоимость проекта: 59388 тыс. руб.

Внутренняя норма доходности: 42%.

Социальный эффект проекта: создание 37 новых рабочих мест, заработная плата учтена в затратах на Проект.

Исходное состояние проекта, а также инвестиции, которые необходимы для начала реализации проекта, отражают на начальном интервале планирования (шаге расчет 0) с нулевой продолжительностью. Для осуществления проекта необходимо закупить оборудование на общую сумму 16491 тыс. руб.

По каждой составляющей текущих активов определили:

- по запасам материалов - покрытие потребности (периодичность поставки- 15 дней) и страховой запас - 5 дней,

по резерву денежных средств - срок покрытия потребности (5 дней) (см.табл. 2.3.7).

Таблица 2.3.7

Показатели эффективности проекта

Показатели

Единицы измерения

Значение

Чистая текущая стоимость проекта (NPV)

тыс. руб.

59388

Внутренняя норма доходности (IRR)

%

58

Окупаемость инвестиций



простой срок окупаемости

лет

1,8

дисконтированный срок окупаемости

лет

2

Срок жизни проекта

месяц

36

Начало реализации проекта

год

01.07.2014


В состав оборотных активов входит также НДС, уплаченный в рассматриваемом интервале планирования, который определяется на основании данных по НДС к полным производственным затратам, постоянным и оборотным активам, в состав текущих пассивов входят расчеты с бюджетом и проценты к уплате.

Потребность в финансировании чистого оборотного капитала на нулевом этапе планирования составит 19591 тыс.руб., для финансирования проекта будут привлечены заемные источники.

Кредит будет взят в ОАО «Сбербанк России» на инвестиционные цели в размере 19591 тыс. руб., номинальная годовая банковская ставка процента 20%; предполагается начать погашение основной суммы кредита и процентов по нему со 2 интервала планирования; длительность погашения долга составит около 5 кварталов, при погашении будет использоваться гибкий график.

Эффективность участия инвестора (ОАО «Сбербанк России») в проекте заключается в получении процентного дохода от размещения кредитных ресурсов в размере 10900 тыс. руб. под 20 % годовых.

Таким образом, менеджер проекта осуществляет постоянный контроль реализации проекта, по результатам которого составляет отчеты и предоставляет их генеральному директору. Отчеты составляются один раз в 4 дня. В полномочия менеджера проекта входит распределение заданий по функциональным отделам в случае необходимости корректирующих воздействий. Однако если корректировки требуют значительных материальных или финансовых затрат, менеджер проекта обязан согласовать данные корректировки с генеральным директором предприятия.

Исходная информация для контроля менеджеру проекта предоставляется в виде специальных отчетов, заполняемых исполнителями работ. Менеджер проекта сравнивает временные затраты с расчетной продолжительностью, соизмеряет с объемом выполненных работ. Фактическое выполнение работ осуществляется «методом детального контроля», т.е. оценивается процент завершенности работ, еще находящихся в процессе выполнения. Денежные расходы сравнивает с показателями бюджета, сметной стоимостью. Материальные расходы сравнивает с предполагаемой потребностью в них.

Для реализации проекта наибольший риск представляют такие факторы как уменьшение объемов производства и уменьшение уровня цен на реализуемую продукцию. Следует учитывать, анализировать и оценивать риски. Для защиты от них планируется создание резервного фонда, формирующегося из отчислений от выручки.

Для реализации работ прединвестиционной и инвестиционной фаз проекта создается проектная команда. Это орган, в задачи которого входит организация производства. А именно: предпроектный анализ, разработка бизнес-плана; детальное проектирование; формирование портфеля заказов; монтаж оборудования; технологическая подготовка производства; поставка материалов для первых пусковых и испытательных операций. Создание специальной проектной команды позволит профессионально управлять ходом реализации проекта. Успешная реализация проекта обеспечивается построением календарных планов методом сетевых графов. Этот инструмент позволит эффективно планировать и координировать работы по введению предприятия в эксплуатацию.

Создаваемое производство является открытой системой, в связи, с чем подвергается изменению как со стороны внутренних, так и со стороны внешних факторов. Своевременное выявление их влияния и возможных негативных последствий достигается контролем над системой со стороны менеджера проекта. Разработанный механизм контроля достигает высокой эффективности благодаря наличию четких планов, ясной отчетности, четкой периодичности отчетов, тщательному анализу фактических показателей и тенденций и гибкой системе реагирования. Качество является необходимым элементом всей системы реализации проекта. Оно определяется соответствием достигнутых результатов запланированным. В управлении качеством проекта участвуют все службы и подразделения, входящие в состав участников проекта. Соблюдение качественных показателей является целевым моментом в ходе реализации бизнес-идеи.

 

Заключение


В итоге рабочая команда (группа) - это наличие двух существенных смысловых признаков в содержании этого термина. А именно: прагматизм целей коллективной деятельности, плюс некий технологический (связывающий способы и средства) процесс их достижения.

Сущность проекта состоит в том, что предлагается организовать производство рулевых наконечников 180-3414062/063, которые будут применяться в машиностроительной отрасли.

Огромное количество ученых и конструкторов на промышленных предприятиях нашей страны трудятся над разработкой новых усовершенствованных деталей для машиностроительной отрасли.

Усовершенствования в разработках направлены на снижение объемов затрачиваемой энергии и повышение экологической безопасности при разработке месторождений.

Данные неоспоримые конкурентные преимущества дают основания предполагать, что предприятие ООО «Автоснаб» сможет увеличить долю занимаемого рынка (предположительно с 10% до 17%).

Фирма освоит новый вид продукции в запланированные сроки и обеспечит своевременный возврат кредитных средств.

Для реализации проекта необходимо привлечь из внешних источников финансирования 15491 тыс. руб. (НДС в том числе).

Экономический эффект: сохранение и расширение клиентской базы, что ведет к росту доходов.

Эффект для бюджета страны: высокая стоимость проекта и увеличение объемов производства способствует увеличению налоговых поступлений.

Социальный эффект: организация новых рабочих мест, повышение квалификации персонала. Показатели эффективности инвестиций: NPV - 59388 тыс. руб., IRR (номинальная годовая) - 58%, простой срок окупаемости - 1,8 года, дисконтированный срок окупаемости - 2 года.

Рассматриваемый инвестиционный проект можно считать успешно реализуемым, риски сведены к минимуму. Основными преимуществами проекта являются достаточно срок окупаемости и высокая коммерческая эффективность. Реализация проекта позволит организовать производство высококачественных рулевых наконечников, которые займут достойное место на рынке и будут конкурентоспособными.

Список использованной литературы


1. Бобышев, Р.А. Основные этапы развития и практики управления / Под ред Р.А. Бобышев. - М.: Юрайт, 2011. - 541с.

. Вершигорова, Е.Е. Менеджмент / Под ред. Е.Е. Вершигорова, - М.: Инфра-М, 2012. - 352с.

. Веснин, В.Р. Основы менеджмента / Под ред. В.Р. Веснин. - М.: Триада-ЛТД, 2013.-245с.

. Герчикова, И.Н. Менеджмент / Под ред. И.Н. Герчикова.- М.: Юнити, 2012. - 369с.

. Кабушкин, Н.И. Основы менеджмента: учебное пособие / Н.И.Кабушкин. - М.: ТОО «Острожье». - 2013. - 258с.

. Кнорринг, В.И. Искусство управления / В.И. Кнорринг. - М.: Бек, 2011.

. Макмиллан, И. Японская промышленная система / И. Макмиллан. - М.: Наука. - 2013.- 235с.

. Михайлов, Ф.Б. Управление персоналом: классические концепции и новые подходы / Ф.Б. Михайлов. - Казань. - 2012.-354с.

. Основы менеджмента: учебное пособие / Под ред. А.Ф. Андреева, Н. В. Гришина - М.: Юрайт, 2013.-412с. - 3-331-23791143-0.

. Основы менеджмента: учебник / Под ред. Д.Д. Вачугова. - М.: Высшая школа, 2012.-321с.

. Пронников, В.Н. Управление персоналом в Японии / В.Н. Пронников, - М.: Наука. - 2013. - 314с. - 4-551-2331143-0.

. Устав предприятия ООО «АвтоСнаб».

. Балансы предприятия ООО «АвтоСнаб» за период 2011 -2013 гг.

. Годовые отчеты о деятельности ООО «АвтоСнаб» период 2012-2013 гг.

. Кадровые отчеты о деятельности ООО «АвтоСнаб» период 2011-2012 гг.

. Кадровый отчет о деятельности ООО «АвтоСнаб» за 2013 г.

 

Приложение 1

 

План рабочей группы (трудовые ресурсы) проекта

Должность

Обязанности

Потребность / наличие

1

2

4

Главный бухгалтер

Руководство ведением бухгалтерского учета и составлением отчетности на предприятии, формирование учетной политики с разработкой мероприятий по ее реализации, оказание методической помощи работникам подразделений предприятия по вопросам бухгалтерского учета, контроля и отчетности, обеспечение составления расчетов по зарплате, начислений и перечислений налогов и сборов в бюджеты разных уровней, платежей в банковские учреждения, выявление внутрихозяйственных резервов, осуществление мер по устранению потерь и непроизводительных затрат, контроль за своевременным и правильным оформлением бухгалтерской документации, обеспечение здоровых и безопасных условий труда для подчиненных исполнителей, контроль за соблюдением ими требований законодательных и нормативных правовых актов по охране труда.

1/1

Менеджер по персоналу

Организация работы с персоналом, комплектование предприятия работниками необходимых профессий, организация обучения персонала, повышения квалификации сотрудников, контроль за соблюдением норм трудового законодательства в работе с персоналом, методическая помощь руководителям подразделений по всем вопросам, связанным с персоналом, организация здоровых и безопасных условий труда для подчиненных исполнителей.

1/1

Менеджер по закупкам

Контроль наполнения склада, планирование складских запасов, выбор поставщиков (лучших цен и условий), размещение заказов, контроль платежей, контроль сроков отгрузки товара, контроль движения грузов, решение претензионных вопросов с поставщиками (оплата недоставки и т. п.), контроль качества продукции.

1/1

Главный технолог

Обеспечение разработки и внедрение прогрессивных, экономически обоснованных ресурсосберегающих технологических процессов и режимов производства выпускаемой продукции, обеспечивающих сокращение расходов сырья, материалов, затрат труда, улучшения качества продукции и ускорение темпов роста производительности труда, контроль за выполнением перспективных и годовых планов технологической подготовки производства, строгое соблюдение установленных технологических процессов, выявление нарушений технологической дисциплины и принятие мер по их устранению, обеспечение совершенствования технологии изготовления изделий, выполнения работ, средств охраны окружающей среды, своевременное освоение проектных мощностей, соблюдение нормативов использования оборудования, обеспечение внедрение систем автоматизированного проектирования, организационной и вычислительной техники, автоматизированных систем управления оборудованием и технологическими процессами.

1/1

Зам.ген. директора по производству

Руководство производством, руководство работой по оперативному регулированию хода производства, обеспечению ритмичного выпуска продукции, организация работы по повышению квалификации сотрудников отдела, обеспечение здоровых и безопасных условий труда для подчиненных исполнителей, контроль за соблюдением ими требований законодательных и нормативных актов по охране труда.

1/1

Начальник смены

Руководство производственным участком, организация внедрения передовых методов и приемов труда, организация работы по повышению квалификации и профессионального мастерства рабочих и бригадиров, контроль за соблюдением правил и норм охраны труда и пожарной безопасности

2/1

Бригада

Выполнение работ согласно маршрутным картам

22000

 13/13


Похожие работы на - Исследование создания рабочих групп в организации ООО 'Автоснаб'

 

Не нашли материал для своей работы?
Поможем написать уникальную работу
Без плагиата!
Без нейросетей!