Визначення оптимального режиму роботи підприємства
Вступ
В цій роботі буде розглянута задача управління
запасами за допомогою динамічного програмування. Задача управління запасами -
це задача про підтримання балансу виробництва і збуту продукції підприємства,
мінімізуючого витрати підприємства на виробництво і зберігання продукції. Дана
задача виникає, коли економічний об'єкт не може працювати без виробничих або
товарних запасів, оскільки їх відсутність призводить до простоїв, штрафів,
втрати клієнтів, катастрофам.
Задачі управління запасами дозволяють відповісти
на наступні актуальні питання: які оптимальні величини обсягу замовлення на
закупівлю або виробництво товару, періоду поставок замовлень, величини запасу,
моментів подачі замовлення товару, що дозволяють мінімізувати загальні витрати
на покупку, виробництво, доставку, зберігання товару; що вигідніше виробляти
товар або закуповувати його; чи вигідно користуватися знижками на покупку
товару [1].
В умовах ринкової економіки стає актуальним
питання організації оперативного контролю та управління запасами матеріальних
ресурсів на підприємстві. Вирішенню даної проблеми в певній мірі сприяє
впровадження автоматизованих систем управління підприємствами, які дозволяють
налагодити облік руху матеріальних ресурсів (надходження, витрати, щодобові
залишки).
Результатом виконання завдання по оперативному
контролю є отримання щоденної (тижневої, декадної, місячної чи іншої
періодичності) інформації про фактичну наявність запасів на складах
підприємства і ступеня їх відповідності встановленим нормам. Це дозволяє здійснювати
безперервний контроль за їх величиною, своєчасно і оперативно виявляти
утворення зайвих залишків або дефіциту за окремими позиціями, який може
порушити організацію безперебійності функціонування споживача. Запаси, будучи
основним ресурсом торгових фірм, приховують в собі великі резерви підвищення
рентабельності цього бізнесу. Найбільш важливим в справі використання цих
резервів є системний і комплексний підхід. Що і буде застосовано в цій роботі [3].
1. Постановка задачі, визначення методів та алгоритмів її
вирішення.
.1 Формалізація задачі
програмування користувач рішення
Для діяльності будь-якої організації необхідні
певні запаси. Якщо їх не буде, то при найменшому порушенні збуту вся діяльність
зупиниться. Зберігати ж занадто багато запасів економічно невигідно.
Знаходженню балансу між цими двома крайностями присвячена задача управління
запасами. Завдання полягає в наступному: необхідно скласти оптимальний план
випуску деякого виду виробів на період, що складається з N відрізків.
Передбачається, що для кожного з цих відрізків мається прогноз попиту на
продукцію, що випускається. Для різних відрізків попит неоднаковий. Причому,
продукція, яку виготовляють протягом відрізка часу t, може бути використана для
повного або часткового покриття попиту протягом цього відрізка. Крім того,
розміри виготовлених партій продукції впливають на економічні показники
виробництва. У зв'язку з цим буває доцільно виготовляти протягом деякого
періоду обсяг продукції, що перевищує його попит в межах цього періоду і зберігати
ці надлишки до задоволення подальшого попиту. Однак, зберігання запасів
пов'язане з витратами (плата за складські приміщення, страхові внески і витрати
з утримання запасів і т. п.). Мета підприємства - розробити таку програму, при
якій загальна сума витрат на виробництво і зміст запасів мінімізується за умови
повного і своєчасного задоволення попиту на продукцію.
Для забезпечення безперервного і ефективного
функціонування практично будь-якої організації необхідне створення запасів,
наприклад, у виробничому процесі, торгівлі, медичному обслуговуванні і т.д.
Залежно від ситуації під запасами можуть матися на увазі: готова продукція,
сировина, напівфабрикати, станки, інструмент, транспортні засоби, готівку та
ін. Невірний розрахунок необхідних запасів може привести як до незначного
збитку (втрата частини доходу від дефіциту товару), так і до катастрофічних
наслідків (при помилкової оцінки запасів палива на літаку) [6].
До економічних збитків призводить як надмірна
наявність запасів, так і їх недостатність. Так, якщо деяка компанія має товарні
запаси, то капітал, матеріалізований у цих товарах, заморожується. Цей капітал,
який не можна використовувати, представляє для компанії втрачену вартість у
формі невиплачених процентів або невикористаних можливостей інвестування. Крім
того, запаси, особливо швидкопсувні продукти, вимагають створення спеціальних
умов для зберігання. Для цього необхідно виділити певні площі, найняти
персонал, застрахувати запаси. Все це тягне певні витрати. З іншого боку, чим
менше рівень запасу, тим більша ймовірність виникнення дефіциту, що може
принести збитки внаслідок втрати клієнтів, зупинки виробничого процесу. Крім
того, при малому рівні запасів доводиться часто поставляти нові партії товару,
що призводить до великих витрат на доставку замовлень. Звідси випливає
важливість розробки та використання математичних моделей, що дозволяють знайти
оптимальний рівень запасів, мінімізують суму всіх описаних видів витрат [7].
В цій роботі буде розглянута і вирішена задача
управління запасами на наочному прикладі. Підприємство планує свою роботу на
поточний рік для задоволення змінного попиту за кварталами. Крім нормального
режиму роботи, можна застосовувати понаднормову роботу в кількості, що не
перевищує 25% часу основної роботи, а також випуск продукції на додатковому
(резервному) обладнанні в обсязі не більше 30% основної продукції. Попит на
продукцію
в i-му кварталі розподілений за експоненціальним
законом із середнім θ, а випуск при
нормальному режимі - рівномірно розподілений в інтервалі
. Ці дані наведені в
табл. 1.1.
Таблиця 1.1. Попит та випуск при нормальному
режимі, од.
|
Квартали
|
1
|
2
|
3
|
4
|
|
Середній попит (
|
140
|
120
|
200
|
140
|
|
Випуск при нормальному режимі:
|
|
|
50
|
60
|
100
|
80
|
|
|
150
|
100
|
240
|
120
|
У разі, якщо обсяг випущеної продукції
в i - му кварталі
перевищить попит
, то в системі створюється перехідний запас,
причому питомі витрати на зберігання однієї одиниці надлишкового запасу в
поточному кварталі становлять s грн./од. А в разі перевищення попиту над обсягом
випуску в системі виникає дефіцит і виявляються втрати, оподатковувані штрафом
. Середні норми витрат на
одиницю продукції для різних режимів роботи
, а також величини
і
приведені в табл. 1.2.
Таблиця 1.2. Питомі витрати на одиницю продукції,
грн./од.
|
Нормальна робота
|
Понаднормова робота
|
Використання резервного обладнання
|
Зберігання
|
Штраф
|
|
6
|
10
|
12
|
8
|
20
|
Потрібно визначити оптимальні обсяги випуску по
кварталам та режими роботи підприємства, що задовольняють попит з мінімальними
очікуваними витратами при додаткових умовах: початковий запас в системі
дорівнює нулю; кінцевий запас в системі довільний.
1.2 Закони розподілу неперервної випадкової
величини
Враховуючи те, що такі величини як нормальний
режим роботи підприємства та попит визначені як випадкові розподілені
рівномірно та за експоненціальним законом відповідно, необхідно описати
принципи моделювання цих випадкових величин для подальшої програмної реалізації
економіко-математичної моделі.
Рівномірний розподіл. При моделюванні випадкових
величин особливе місце займає безперервний розподіл, що називається
рівномірним. Функція щільності ймовірності випадкової величини, що має
рівномірний розподіл на інтервалі (a, b), має вигляд (1.1):
Більшість способів моделювання випадкових величин
засновані на використанні псевдовипадкових рівномірно розподілених в інтервалі
(0,1) послідовностей чисел. При цьому в основу покладено наступна відома в
математичній статистиці теорема: якщо випадкова величина X має щільність
розподілу f (x), то розподіл випадкової величини Y = F (x) є рівномірним в
інтервалі (0, 1).
Таким чином, задаючись функцією розподілу F (x),
можна вибирати випадкове значення Y з рівномірного розподілу в інтервалі (0,1)
і визначати значення аргументу, для якого F (x) = Y. Отримана таким чином
випадкова величина X буде мати задану функцію розподілу F (x). Ця операція може
бути представлена аналітично наступним виразом (1.2):
згідно з яким визначається значення
, відповідне значенню
функції розподілу, рівному
. Для деяких часткових законів розподілу рівняння
(1.2) вдається вирішити безпосередньо, в інших випадках вдаються до наближених
способам вирішення, зокрема до апроксимації підінтегральної функції поліномами,
інтегрованими в квадратурах.
Моделювання дискретних випадкових величин з
відомим розподілом ймовірностей в загальному випадку проводиться таким чином.
Припустимо, що задані чисельні значення ймовірностей
,
,…,
для незалежних подій
,
,…,
, складають повну групу.
Відповідно до цього інтервал (0,1) розбивається на n відрізків так, щоб
довжина i-го відрізка дорівнювала ймовірності
. Виробляючи вибірку
випадкових чисел
з рівномірного розподілу в інтервалі (0,1),
будемо визначати, на який відрізок потрапляє число
. Попадання числа на i-й
відрізок фіксується як факт звершення події Аi.
Інший спосіб моделювання дискретних величин
полягає в формуванні інтервалів між моментами настання сусідніх подій. При
цьому задача зводиться до вже описаного вище нагоди моделювання безперервної
випадкової величини.
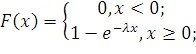
Безперервна випадкова функція, розподілена за
експоненціальним законом, має функцію розподілу F (x) (1.3) і щільність
розподілу f (x) (1.4):
Значення математичного сподівання і дисперсії для
експоненціального закону розподілу рівні відповідно 1/λ та 1/λ2.
Для моделювання випадкових величин
, що мають
експоненціальний розподіл, можна скористатися безпосереднім рішенням рівняння (1.2). Дійсно, з урахуванням (1.4) отримуємо (1.5):
Після інтегрування маємо (1.6):
Оскільки випадкова величина (1-xi) має також
рівномірний розподіл в інтервалі (0,1) остаточно отримуємо формулу (1.7):
xi = - (1 /l) ln x i = - q ln x i,
де альтернативною параметризацією є параметр
масштабу θ = 1 / λ [2].
1.3 Задача лінійного програмування
Задача умовної оптимізації називається задачею
лінійного програмування, якщо цільова функція і всі функції обмежень є
лінійними функціями (1.8):
за обмежень
,
де
-const. Це стандартна
форма задачі лінійного програмування. В загальному випадку обмеження можуть
мати знак «≥» чи «=», але помножуючи нерівність на -1 та замінюючи
рівність двома нерівностями «≤» та «≥», можна прийти до стандартної
форми. Крім того, якщо замість функції f(x) взяти (-f(x)), можна отримати задачу
на мінімум.
Канонічної формою задачі лінійного програмування
називається задача виду (1.9).
за обмежень
Для приведення задачі до канонічної форми, де всі обмеження мають
вигляд рівностей, вводять додаткові змінні, які теж вважаються невід'ємними. У
нерівності зі знаком менше або дорівнює додають додаткову невід’ємну змінну, а
з нерівності зі знаком більше або дорівнює віднімають додаткову змінну. У
цільову функцію ці додаткові змінні включають з коефіцієнтом 0, тобто фактично
вони в цільової функції відсутні [10].
Для розв'язання задач лінійного програмування,
заданих в канонічній формі використовується алгоритм симплекс-методу. Зазвичай,
він реалізується у вигляді симплекс-таблиці (табл. 1.3).
Таблиця 1.3. Симплекс-таблиця
|
C
|
Б
|
H
|
|
|
…
|
|
|
…
|
|
|
|
|
|
|
…
|
|
|
…
|
|
|
: :
|
: :
|
: :
|
1 0 0 : : 0
|
0 1 0 : : 0
|
: : : : : :
|
0 0 0 : : 0
|
: :
|
: : : : : :
|
: :
|
|
|
|
|
|
…
|
|
|
…
|
|
Перший стовпець - коефіцієнти в цільовій функції
при базисних змінних. Другий стовпець - базисні змінні. Третій стовпець -
вільні члени. Перший верхній рядок - коефіцієнти при цільовій функції. Другий
верхній рядок - самі змінні, що входять в цільову функцію і в систему обмежень.
Основне поле симплекс методу - система коефіцієнтів з рівняння. Останній індексний
рядок дозволяє нам судити про оптимальність плану.
Потім після складання симплекс-таблиці необхідно
знайти ключовий (головний) стовпець і ключовий (головний) рядок. Ключовим
стовпцем є той в якому знаходиться найбільший позитивний елемент індексного
рядка при знаходженні
або найменший негативний елемент при знаходженні
. Ключовий рядком
називається той, в якому міститься найменша позитивна частка від ділення
елементів стовпця H на відповідні елементи ключового стовпця. На перетині рядка
і стовпця знаходиться ключовий елемент.
На цьому етапі здійснюється перехід до подальших
ітерацій: виводиться базис ключового рядка, поступаючись місцем змінної з
ключового стовпця зі своїм коефіцієнтом; заповнюється рядок знову введеного
базису шляхом ділення відповідних елементів виділеного рядка попередньої
ітерації на ключовий елемент. Якщо у головному рядку міститься нульовий
елемент, то стовпець, в якому знаходиться цей елемент переноситься в наступну
ітерацію без зміни. Якщо в головному стовпці є нульовий елемент, то рядок, у
якому він знаходитися переноситися без зміни в подальшу ітерацію.
Інші елементи рахуються та переносяться за
формулою (1.10):

де j - стовпець, і - рядок,
- новий елемент,
- старий елемент,
- елемент, що знаходиться у ключовому стовпцю,
але не у ключовому рядку,
- елемент, що знаходиться у ключовому рядку, але
не у ключовому стовпцю,
- ключовий елемент.
Якщо при знаходженні
в індексному рядку
негативні і нульові оцінки або при знаходженні
в індексному рядку
нульові і позитивні оцінки, то рішення знайдене, інакше необхідно повторити
ітерацію [5].
1.4 Побудова економіко-математичної моделі
Для знаходження оптимальних випуску продукції та
режиму роботи підприємства необхідно буде побудувати загальну
економіко-математичну модель на основі якої можна буде провести програмну
реалізацію задачі та знайти її рішення. Розглянемо табл. 1.4 в якій наведені змінні
будуть характеризувати дані поданої задачі.
Таблиця 1.4. Формалізація даних задачі за допомогою змінних
У наданій таблиці множина змінних
характеризує об’єм
випуску продукції відповідно до кожного з наданих режимів роботи, змінна i
характеризує номер кварталу для якого планується виробництво. Випуск продукції
відповідно до кожного кварталу та режиму випуску відображає множина змінних
, питомі витрати на
одиницю продукції
складають
. Запаси, які були зроблені
у попередньому кварталі для покриття дефіциту у поточному періоді відображає
множина змінних
, витрати на зберігання однієї одиниці продукції
складають
, відповідно витрати на випуск та зберігання
разом складають
. Дефіцит продукції, що склався через недостатній
об’єм виробництва та розмір запасів, відповідно до кожного кварталу та режиму
роботи характеризує множина змінних
, а штраф за кожну
одиницю продукції дефіциту складає
. Множина змінних
показує попит відповідно
до кожного періоду [9].
Проаналізувавши табл. 1.3 можна визначити, що
надану задачу можна представити у вигляді цільової функції, яка складається в
тому, щоб мінімізувати всі витрати виробництва, а також обмеження на
виробництво, а саме випуск продукції повинен бути більший або дорівнювати
наявному попиту. Таким чином, так як цільова функція та усі функції обмежень є
лінійними функціями, цю задачу можна подати у вигляді задачі лінійного
програмування, яка буде являти собою економіко-математичну модель наданої
задачі. Цільова функція матиме вигляд (1.11) [8]:
1.5 Описова статистика
Слід зазначити, що множина величин
що відображає випуск у
нормальному режимі та
- попит на продукцію за кварталами, за даними
умови задачі являються випадковими величинами, розподіленими рівномірно та за
експоненціальним законом відповідно. Тому для вирішення задачі необхідно буде
отримати декілька рішень з відповідними випадковими величинами. Для того, щоб
зробити обробку емпіричних даних, їх систематизацію, а також їх кількісний опис
допомогою основних статистичних показників необхідно використати описову
статистику.
Спектр описових статистик для сильних шкал є
значно багатшими, але для даної задачі буде розглянуто стандартний набір
описових статистик.
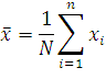
Середнє значення - це арифметичне середнє
виміряних значень; воно визначається як сума значень, поділена на їх кількість
(1.12).
Медіана - це точка на шкалі виміряних значень,
вище і нижче якої лежить по половині всіх виміряних значень. Якщо
впорядковані за
зростанням, то вона рівна
при N непарному та
при N парному.
Розмах варіації представляє собою різницю між
максимальним і мінімальним значеннями ознаки (1.13).
У статистиці дисперсія (також називається
мінливістю, розкидом, або розповсюдження) позначає величину, яка описує
наскільки розтягнений або стиснутий розподіл (теоретичний або той, що в основі
статистичної вибірки) (1.14).
Стандартне відхилення - це міра розкиду виміряних
величин, воно дорівнює
квадратному кореню з дисперсії (1.15).
Стандартна помилка - оцінка відхилення виміряного
значення величини від її істинного значення, є характеристикою (мірою) точності
вимірювання (1.16).

Ексцес - також називають показником
«гостровершинності» розподілу. Він показує, наскільки яскраво виражена вершина
розподілу
(1.17).
Асиметрія - вказує на зсув вершини розподілу
вліво або вправо від середнього значення (1.18).
Довірчі інтервали для середнього (рівень
надійності) - задають область навколо середнього, в якій із заданим рівнем
довіри міститься «істинне» середнє генеральної сукупності, 95% довірчий
інтервал рахується за формулою (1.19) [4].
2. Рішення задачі
.1 Реалізація моделі за допомогою програми Excel. Описання програми
та інструкція користування
програмування користувач рішення
За допомогою економіко-математичної моделі стала
можливою реалізація програми, що визначає оптимальні режим роботи та випуск
продукції, в Excel.
Розглянемо першу частину програми на рис. 2.1. В
даній таблиці у відповідних лунках знаходяться дані про питомі витрати на
одиницю продукції за різних видів режимів роботи, а також за зберігання та
штраф. Ці дані були задані умовою задачі, але їх також можна ввести довільно.
Для подальшого рішення задачі будемо використовувати величини задані умовою.
Рисунок 2.1 - Питомі витрати на одиницю продукції
Далі необхідно знайти випадкові величини
нормальної роботи та попиту, що розподілені рівномірно та за експоненціальним
законом відповідно. Для знаходження попиту у програмі використана формула
(1.7). А саме від’ємний натуральний логарифм випадкової величини, що
розподілена рівномірно на відрізку (0; 1) був помножений на математичне
очікування, що задане за умовою задачі для кожного періоду. Генерація випадкової
рівномірно розподіленої величини реалізовувалась за допомогою вбудованої
функції Excel СЛЧИС(). Безпосередня генерація чисел відбувається при
кожному новому запуску програми. Генерація рівномірно розподілених випадкових
величин, що характеризують нормальний режим роботи підприємства, в інтервалі
, буде відбуватися за
допомогою пакету Excel Аналіз даних. Викличемо з меню Дані команду Аналіз даних→ Генерація
випадкових чисел та заповнимо діалогове вікно згідно з умовами задачі. Приклад
заповнення діалогового вікна для генерації випадкових чисел у чарунці, що
характеризує нормальний режим роботи у першому кварталі зображений на рис. 2.2.
Рисунок 2.2 - Генерація випадкових величин, що
розподілені рівномірно
Так як за умовами задачі випуск з використанням
понаднормової роботи та роботи з використанням резервного обладнання є
залежними величинами від випуску за нормального режиму роботи, ці числа
генеруються разом з випуском при нормальному режимі одночасно з його
збільшенням на 25% та 30% відсотків відповідно. Таким чином, у загальній
таблиці, що відображена на рис. 2.2, величини є випуском при максимальному
використанні виробничих потужностей за відповідним режимом.
Рисунок 2.2 - Попит та виробничі потужності за
кварталами
У наступній таблиці відображене визначення
запасів для оптимального виробництва (рис. 2.3.).
Рисунок 2.3. - Визначення запасів для
оптимального виробництва
Для цього необхідно було знайти деякі попередні
дані. У чарунках С12-С15 знаходяться випуски при максимальних виробничих
потужностях відповідного режиму, якщо для задоволення наявного попиту
використання певного режиму не було необхідним, він не застосовується.
Враховуючи загальний випуск за максимального використання виробничих
потужностей у певних необхідних для задоволення попиту режимах, було знайдено дефіцит
або надлишок вироблених одиниць продукції у чарунках D12-D15 відповідно до
кожного періоду, що знаходиться вирахуванням з чарунок С12-С15 відповідного
попиту за кварталом. На основі даних про дефіцит або надлишок вироблених
одиниць продукції, якщо використана сукупність режимів роботи з максимальною
виробничою потужністю має певний надлишок, можна вирахувати запас який повинен
бути вироблений у поточному періоді для покриття дефіциту у наступному періоді,
якщо у поточному періоді попит повністю відповідає наявному випуску з
використаною сукупністю режимів роботи з максимальною виробничою потужністю або
у поточному періоді виник дефіцит запас не робиться. Враховуючи знайдений
запас, можна перевірити задоволення попиту виробленими одиницями продукції разом
з запасом за відповідним періодом у чарунках F12-F15 та ще раз
розрахувати наявність дефіциту у чарунках G12-G15 шляхом
вирахування поточного попиту з чарунок F12-F15.
Враховуючи знайдені дані можна визначити
оптимальний режим роботи підприємства, який буде характеризувати необхідний
випуск та запас для задоволення попиту у поточному та наступному періоді
відповідно. Для знаходження об’єму випуску за нормального, понаднормового та
режиму роботи з використанням резервного обладнання використовуються дані таблиці
на рис. 2.2, а також на рис. 2.2, а саме максимальні виробничі потужності та
задоволення попиту, враховуючи запаси зроблені у попередньому періоді за
необхідністю відповідно. Якщо даний режим не використовується у періоді, то
лунка має нульове значення. Реалізація таблиці в програмі відображена на рис.
2.4.
Рисунок 2.4. - Визначення оптимального режиму
роботи підприємства
Отримавши всі попередні дані можна визначити
розмір оптимального виробництва за кожним періодом, а також витрати відповідно
до кожного випуску, програмна реалізація таблиці відображена на рис. 2.5.
Рисунок 2.5. - Визначення витрат та об’єму
оптимального виробництва
У першій таблиці розраховується сума випусків
кожного режиму виробництва за певним періодом. В іншій таблиці підсумовуються
такі дані: відповідні числа знайдені у таблиці на рис 2.4. помножені на питомі
витрати на одиницю продукції за нормального, понаднормового та режиму
використання резервного обладнання; запаси помножені на суму витрат на одиницю
продукції за відповідного випуску та витратами на зберігання одиниці продукції;
величина дефіциту визначена у чарунках G12-G15 (рис 2.3)
помножена на штраф.
2.2 Введення в модель випадкових величин та
отримання рішення задачі
Так як величини випуску при нормальному режимі та
попит задані як випадкові, розподілені рівномірно та за експоненціальним
законом відповідно. Необхідно провести декілька генерацій випадкових величин
для того, щоб знайти сукупність рішень даної задачі та надалі проаналізувати їх
(табл. 2.1)
Таблиця 2.1. Рішення задачі за 10 генерацій
випадкових величин у програмі
|
Квартали
|
1
|
2
|
3
|
4
|
|
Попит та виробничі потужності за
кварталами
|
|
Попит
|
51,46
|
87,57
|
119,35
|
0,33
|
|
102,58
|
192,79
|
12,23
|
615,78
|
|
110,36
|
26,29
|
110,05
|
3,98
|
|
242,70
|
166,77
|
54,80
|
35,56
|
|
81,04
|
56,27
|
356,30
|
32,98
|
|
119,03
|
68,51
|
606,28
|
188,82
|
|
56,78
|
62,15
|
270,16
|
215,02
|
|
5,81
|
346,43
|
60,74
|
0,81
|
|
81,78
|
1,82
|
54,98
|
190,62
|
|
67,75
|
163,15
|
24,31
|
102,02
|
|
Нормальна робота
|
94,07
|
70,00
|
210,00
|
110,00
|
|
106,07
|
70,55
|
221,00
|
111,27
|
|
149,53
|
71,56
|
120,51
|
111,56
|
|
51,53
|
65,56
|
230,56
|
80,51
|
|
100,98
|
91,56
|
150,54
|
89,71
|
|
51,64
|
67,56
|
140,44
|
96,59
|
|
59,44
|
67,46
|
101,44
|
103,59
|
|
149,44
|
70,46
|
110,34
|
81,39
|
|
131,24
|
94,45
|
111,38
|
116,99
|
|
51,14
|
97,15
|
230,55
|
|
Понаднормова робота
|
117,58
|
87,50
|
262,50
|
137,50
|
|
132,58
|
88,19
|
276,25
|
139,09
|
|
186,91
|
89,45
|
150,64
|
139,45
|
|
64,41
|
81,95
|
288,20
|
100,64
|
|
126,23
|
114,45
|
188,18
|
112,14
|
|
64,55
|
84,45
|
175,55
|
120,74
|
|
74,30
|
84,33
|
126,80
|
129,49
|
|
186,80
|
88,08
|
137,93
|
101,74
|
|
164,05
|
118,06
|
139,23
|
146,24
|
|
63,93
|
121,44
|
288,19
|
101,51
|
|
Використання резервного устаткування
|
122,29
|
91,00
|
273,00
|
143,00
|
|
137,89
|
91,72
|
287,30
|
144,65
|
|
194,39
|
93,03
|
156,66
|
145,03
|
|
66,99
|
85,23
|
299,73
|
104,66
|
|
131,27
|
119,03
|
195,70
|
116,62
|
|
67,13
|
87,83
|
182,57
|
125,57
|
|
77,27
|
87,70
|
131,87
|
134,67
|
|
194,27
|
91,60
|
143,44
|
105,81
|
|
170,61
|
122,79
|
144,79
|
152,09
|
|
66,48
|
126,30
|
299,72
|
105,57
|
|
Режим роботи підприємства
|
|
Нормальна робота
|
51,46
|
70,00
|
119,35
|
0,33
|
|
102,58
|
70,55
|
221,00
|
111,27
|
|
110,36
|
26,29
|
110,05
|
3,98
|
|
51,53
|
65,56
|
54,80
|
35,56
|
|
81,04
|
56,27
|
150,54
|
32,98
|
|
51,64
|
67,56
|
140,44
|
96,59
|
|
56,78
|
62,15
|
101,44
|
103,59
|
|
102,11
|
70,46
|
60,74
|
0,81
|
|
81,78
|
1,82
|
54,98
|
116,99
|
|
51,14
|
97,15
|
24,31
|
81,21
|
|
Понаднормова робота
|
0,00
|
17,57
|
0,00
|
0,00
|
|
0,00
|
88,19
|
0,00
|
139,09
|
|
0,00
|
0,00
|
0,00
|
0,00
|
|
64,41
|
81,95
|
0,00
|
0,00
|
|
0,00
|
0,00
|
188,18
|
0,00
|
|
64,55
|
84,45
|
175,55
|
92,23
|
|
0,00
|
0,00
|
126,80
|
111,43
|
|
0,00
|
88,08
|
0,00
|
0,00
|
|
0,00
|
0,00
|
0,00
|
73,63
|
|
Понаднормова робота
|
16,61
|
66,00
|
0,00
|
20,81
|
|
Використання резервного устаткування
|
0,00
|
0,00
|
0,00
|
0,00
|
|
0,00
|
34,06
|
0,00
|
144,65
|
|
0,00
|
0,00
|
0,00
|
0,00
|
|
66,99
|
19,26
|
0,00
|
0,00
|
|
0,00
|
0,00
|
17,59
|
0,00
|
|
2,84
|
0,00
|
182,57
|
0,00
|
|
0,00
|
0,00
|
41,92
|
0,00
|
|
0,00
|
91,60
|
0,00
|
0,00
|
|
0,00
|
0,00
|
0,00
|
0,00
|
|
0,00
|
0,00
|
0,00
|
0,00
|
|
Визначення оптимального виробництва
|
|
Випуск
|
51,46
|
87,57
|
119,35
|
0,33
|
|
102,58
|
192,79
|
221,00
|
395,01
|
|
110,36
|
26,29
|
110,05
|
3,98
|
|
182,93
|
166,77
|
54,80
|
35,56
|
|
81,04
|
56,27
|
356,30
|
32,98
|
|
119,03
|
152,01
|
498,56
|
188,82
|
|
56,78
|
62,15
|
270,16
|
215,02
|
|
102,11
|
250,13
|
60,74
|
0,81
|
|
81,78
|
1,82
|
54,98
|
190,62
|
|
67,75
|
163,15
|
24,31
|
102,02
|
|
Витрати
|
308,75
|
595,74
|
716,11
|
1,99
|
|
615,45
|
1713,86
|
2996,13
|
4034,40
|
|
662,17
|
157,73
|
660,28
|
23,87
|
|
2952,54
|
1443,98
|
328,80
|
213,36
|
|
486,22
|
337,63
|
2996,06
|
197,87
|
|
989,43
|
1917,86
|
5273,38
|
1501,86
|
|
340,68
|
372,91
|
2379,65
|
1735,81
|
|
1383,04
|
2402,69
|
364,45
|
4,83
|
|
490,66
|
10,91
|
329,90
|
1438,27
|
|
472,97
|
1242,90
|
145,85
|
695,32
|
2.3 Аналіз отриманих результатів
Для дослідження отриманих результатів, зведених у
таблиці 2.1, необхідно провести аналіз кожного з отриманих при генерації
випадкових величин результатів режимів роботи та випуску продукції
підприємства. Для цього необхідно використати пакет Excel Аналіз даних.
Викличемо з меню Дані
команду Аналіз даних→ Описова статистика (рис. 2.6).
Рисунок 2.6 - Діалогове вікно «Описова
статистика»
Параметри діалогового вікна «Описова статистика»
мають наступний сенс.
Вхідний діапазон - блок чарунок, що містить
значення досліджуваного показника. Треба ввести посилання на чарунки, що
містять аналізовані дані. Посилання має складатися як мінімум з двох суміжних
діапазонів даних, організованих у вигляді стовпців або рядків.
Групування визначає орієнтацію блоку вихідних
даних на робочому листі. Для його визначення треба встановити перемикач в
положення За стовпцями або За рядками в залежності від розташування даних у
вхідному діапазоні.
Мітки - наявність імен в блоці осередків. Для
його визначення треба встановити перемикач в положення Мітки у першому рядку
(стовпці), якщо перший рядок (стовпець) у вхідному діапазоні містить назви
стовпців. Якщо вхідний діапазон не містить міток, то необхідні заголовки у
вихідному діапазоні будуть створені автоматично.
Рівень надійності вказує відсоток надійності
даних для обчислення довірчого інтервалу. Для його визначення треба встановити
прапорець і в полі ввести необхідне значення. Наприклад, значення 95% обчислює
рівень надійності середнього із значущістю 0.05.
К-ий найбільший - порядковий номер найбільшого
після максимального значення. Встановити прапорець, якщо у вихідну таблицю
необхідно включити рядок для k-го найбільшого значення для кожного діапазону
даних. У відповідному вікні ввести число k. Якщо k дорівнює 1, цей рядок буде
містити максимум з набору даних.
К-ий найменший - порядковий номер найменшого
після мінімального значення. Встановити прапорець, якщо у вихідну таблицю
необхідно включити рядок для k-го найменшого значення для кожного діапазону
даних. У відповідному вікні ввести число k. Якщо k дорівнює 1, цей рядок буде містити
мінімум з набору даних.
Висновок описової статистики здійснюється за
місцем вказівки в поле Вихідний діапазон. Тут треба ввести посилання на ліву
верхню клітинку вихідного діапазону. Цей інструмент аналізу виводить два
стовпці відомостей для кожного набору даних. Лівий стовпець містить мітки
статистичних даних; правий стовпець містить статистичні дані. Складається їх
двох стовпців діапазон статистичних даних буде виведений для кожного шпальти
(рядки) вхідного діапазону в залежності від положення перемикача Групування.
Для зміни місця виводу результатів можна
встановити перемикач Новий робочий лист, щоб відкрити новий лист і вставити
результати, починаючи з клітинки A1. Можна ввести ім'я нового аркуша в полі,
розташованому навпроти відповідного положення перемикача. Якщо встановити
перемикач Нова книга, то відкривається нова книга, і результати вставляються в
клітинку A1 на першому аркуші в цій книзі.
Підсумкова статистика - повне виведення
показників описової статистики. Для його визначення треба встановити прапорець,
якщо у вихідному діапазоні необхідно отримати по одному полю для кожного з
наступних видів статистичних даних.
Для аналізу отриманих даних наданої задачі
необхідно буде знайти по кожному з отриманих при генерації випадкових величин
результатів режимів роботи та випуску продукції підприємства такі статистичні
дані: середня, стандартна помилка (середнього), медіана, стандартне відхилення,
дисперсія вибірки, ексцес, асиметричність, розмах варіації, мінімум, максимум,
рівень надійності.
Для отримання статистичних даних необхідно
попередньо скласти таблицю в Excel з отриманими рішеннями в табл. 2.1.
Приклад заповнення діалогового вікна для аналізу отриманих даних режимів
нормальної роботи у першому кварталі наведений на рис. 2.7.
Рисунок 2.7. - Знаходження статистичних даних для
режимів нормальної роботи у першому кварталі
Статистичні показники, що характеризують режими
нормальної роботи за чотири квартали наведені у таблиці 2.2.
Таблиця 2.2. Характеристика вибірки режимів
нормальної роботи підприємства
|
Квартали
|
1
|
2
|
3
|
4
|
|
Середнє значення
|
74,04
|
58,78
|
103,77
|
58,33
|
|
Стандартна помилка
|
7,73
|
8,38
|
18,41
|
15,30
|
|
Медіана
|
68,91
|
66,56
|
105,75
|
58,39
|
|
Стандартне відхилення
|
24,43
|
26,49
|
58,22
|
48,38
|
|
Дисперсія
|
596,79
|
701,54
|
3389,62
|
2340,78
|
|
Ексцес
|
-1,79
|
1,81
|
0,41
|
-2,03
|
|
Асиметрія
|
0,41
|
-1,17
|
0,67
|
-0,08
|
59,22
|
95,33
|
196,69
|
116,66
|
|
Мінімум
|
51,14
|
1,82
|
24,31
|
0,33
|
|
Максимум
|
110,36
|
97,15
|
221,00
|
116,99
|
|
Рівень надійності
|
±17,48
|
±18,95
|
±41,65
|
±34,61
|
Середнє значення оптимальних режимів нормальної
роботи, отриманих у результаті генерації випадкових величин за кварталами мають
дуже різні середні значення, окрім другого та четвертого кварталів. Рівень
надійності кожної з ознак показує, що з вірогідністю 95% кожна з середніх ознак
має досить значні відхилення середнього значення генеральної сукупності від
середнього значення вибірки. Ексцес у першому та останньому кварталі від'ємний,
то крива теоретичного розподілу має нижчу та «плоскішу» вершину ніж крива
нормального розподілу. В інших кварталах ексцес додатній, то крива теоретичного
розподілу має вищу та «гострішу» вершину ніж крива нормального розподілу.
Коефіцієнт асиметрії за всіма кварталами показує значні зміщення від центру
розподілу.
Статистичні показники, що характеризують режими
понаднормової роботи за чотири квартали наведені у таблиці 2.3.
Таблиця 2.3. Характеристика вибірки режимів
понаднормової роботи підприємства
|
Квартали
|
1
|
2
|
3
|
4
|
|
Середнє значення
|
14,56
|
42,62
|
49,05
|
43,72
|
|
Стандартна помилка
|
8,48
|
13,28
|
25,44
|
17,32
|
|
Медіана
|
0,00
|
41,79
|
0,00
|
10,41
|
|
Стандартне відхилення
|
26,82
|
42,01
|
80,45
|
54,78
|
|
Дисперсія
|
719,13
|
1764,42
|
6471,75
|
3001,11
|
|
Ексцес
|
1,04
|
-2,38
|
-0,65
|
-1,22
|
|
Асиметрія
|
1,64
|
0,02
|
1,16
|
0,75
|
|
Розмах варіації
|
64,55
|
88,19
|
188,18
|
139,09
|
|
Мінімум
|
0,00
|
0,00
|
0,00
|
0,00
|
|
Максимум
|
64,55
|
88,19
|
188,18
|
139,09
|
|
Рівень надійності
|
±19,18
|
±30,05
|
±57,55
|
±39,19
|
Середнє значення оптимальних режимів
понаднормової роботи мають схожі значення, окрім першого кварталу. Але рівень
надійності та розмах варіації кожної з ознак показує, що з вірогідністю 95%
кожна з середніх ознак має досить значні відхилення середнього значення
генеральної сукупності від середнього значення вибірки. Ексцес в останніх трьох
кварталах від'ємний, то крива теоретичного розподілу має нижчу та «плоскішу» вершину
ніж крива нормального розподілу. В першому кварталі ексцес додатній, то крива
теоретичного розподілу має вищу та «гострішу» вершину ніж крива нормального
розподілу. Коефіцієнт асиметрії за кварталами, окрім другого, показує значні
зміщення від центру розподілу.
Статистичні показники, що характеризують режими
режимів роботи з використанням резервного обладнання за чотири квартали
наведені у таблиці 2.4.
Таблиця 2.4. Характеристика вибірки режимів
роботи з використанням резервного обладнання підприємства
|
Квартали
|
1
|
2
|
3
|
4
|
|
Середнє значення
|
6,98
|
14,49
|
24,21
|
14,47
|
|
Стандартна помилка
|
6,67
|
9,32
|
18,12
|
14,47
|
|
Медіана
|
0,00
|
0,00
|
0,00
|
0,00
|
|
Стандартне відхилення
|
21,10
|
29,48
|
57,29
|
45,74
|
|
Дисперсія
|
445,34
|
869,05
|
3282,03
|
2092,36
|
|
Ексцес
|
9,95
|
6,01
|
8,45
|
10,00
|
|
Асиметрія
|
3,15
|
2,41
|
2,86
|
3,16
|
|
Розмах варіації
|
66,99
|
91,60
|
182,57
|
144,65
|
|
Мінімум
|
0,00
|
0,00
|
0,00
|
0,00
|
|
Максимум
|
66,99
|
91,60
|
182,57
|
144,65
|
|
Рівень надійності
|
±15,10
|
±21,09
|
±40,98
|
±32,72
|
Середнє значення оптимальних режимів роботи з
використанням резервного обладнання, отриманих у результаті генерації
випадкових величин за кварталами мають дуже різні середні значення. Рівень
надійності кожної з ознак показує, що з вірогідністю 95% кожна з середніх ознак
має дуже значні відхилення середнього значення генеральної сукупності від
середнього значення вибірки. В усіх кварталах ексцес значний, додатній, то
крива теоретичного розподілу має вищу та «гострішу» вершину ніж крива
нормального розподілу. Коефіцієнт асиметрії дуже значний за всіма кварталами
показує значні зміщення від центру розподілу.
Статистичні показники, що характеризують випуски
продукції за чотири квартали наведені у таблиці 2.5.
Таблиця 2.5. Характеристика вибірки випусків
продукції підприємства
|
Квартали
|
1
|
2
|
3
|
4
|
|
Середнє значення
|
95,58
|
115,90
|
177,03
|
116,52
|
|
Стандартна помилка
|
12,07
|
25,46
|
49,51
|
41,00
|
|
Медіана
|
91,95
|
119,79
|
114,70
|
68,79
|
|
Стандартне відхилення
|
38,18
|
80,52
|
156,57
|
129,65
|
|
Дисперсія
|
1457,60
|
6482,84
|
24513,59
|
16808,32
|
|
Ексцес
|
2,37
|
-1,08
|
0,38
|
0,90
|
|
Асиметрія
|
1,28
|
0,15
|
1,11
|
1,13
|
|
Розмах варіації
|
131,47
|
248,31
|
474,25
|
394,68
|
|
Мінімум
|
51,46
|
1,82
|
24,31
|
0,33
|
|
Максимум
|
182,93
|
250,13
|
498,56
|
395,01
|
|
Рівень надійності
|
±27,31
|
±57,60
|
±112,00
|
±92,74
|
Середнє значення оптимальних випусків продукції,
отриманих у результаті генерації випадкових величин за кварталами мають дуже
різні середні значення. Рівень надійності кожної з ознак показує, що з
вірогідністю 95% кожна з середніх ознак має дуже значні відхилення середнього
значення генеральної сукупності від середнього значення вибірки. У першому,
третьому та четвертому кварталах ексцес додатній, то крива теоретичного
розподілу має вищу та «гострішу» вершину ніж крива нормального розподілу. У
другому кварталі ексцес від'ємний, то крива теоретичного розподілу має нижчу та
«плоскішу» вершину ніж крива нормального розподілу. Коефіцієнт асиметрії за
кварталами, окрім другого, показує значні зміщення від центру розподілу.
Таким чином, можна зробити висновок про
оптимальні режими роботи та випуску підприємства тільки на основі параметрів
випадкового розподілу попиту та максимальних виробничих потужностей за
нормального режиму роботи. Для того, щоб робити висновок про сталість
оптимальних режимів роботи та випуску підприємства або про його періодичність
потрібно провести безліч випробувань у програмі імітації, яка оперує з
випадково генерованими за певними законами числам. Тільки після цього можна
скласти цілісну картину зміни оптимальних режимів роботи та випуску
підприємства.
Висновок
В результаті написання курсової роботи були
вироблені практичні навички з постановки задач оптимізації, їх формалізації,
вибору та використання чисельних методів отримання оптимальних рішень.
При написанні курсової роботи була проведена
постановка задачі, яка полягає у формалізації завдання, і визначенні методів,
використовуваних для вирішення завдання, позначені стратегія і алгоритм
обраного методу. Були розглянуті та застосовані економіко-математичні та
статистичний аналіз отриманих даних у результаті рішення задачі.
Для вирішення задачі управління запасами, а саме
знаходження оптимальних випуску та режимів роботи на підприємстві була
використана задача лінійного програмування. Була приведена модель та алгоритм
для ручних розрахунків і реалізована програма для вирішення даного завдання в
середовищі Excel, що значно спрощує і прискорює весь процес чисельних
розрахунків. Була обчислені оптимальні сумарні витрати на зберігання і
вироблення запасів. Проаналізувавши результати отримані в ході рішення, можна
підвести підсумок, про те, що всі обчислення вірні.
Таким чином, дану програму можна використовувати
як таку, що реалізовує динний метод для організації виробництва певного
підприємства, знаходження оптимальних виробництва та режиму роботи, для того,
щоб не допустити дефіциту, або надлишку запасів на складі. Однак, недоліком
розробленої програми полягає в тому, що вона призначена для задач з однозначно
вихідними даними, тобто завдання детермінованого виду. Потрібно провести безліч
випробувань у програмі для того щоб скласти цілісну картину зміни оптимальних
режимів роботи та випуску підприємства.
Список літератури
1. Катренко А.В. Дослідження операцій: Підручник / За наук. ред.
В.В. Пасічника. - Львів: «Магнолія 2006», 2007. - 458 с.
. Вітлінський В.В. Моделювання економіки: Навч. посібник. - К.:
КНЕУ, 2003. - 408 с.
3.
Зайченко Ю.П. Исследование операций. - Киев: Вища школа, 1975. - 560 с.
.
Венецкий И.Г. Основные математико-статистические понятия и формулы в
экономическом анализе: Справочник / И.Г. Венецкий, В.И. Венецкая. - 2-е изд.,
пере-раб. и доп. - М.: Статистика, 1979. - 447 с.
5.
Ашманов С.А. Линейное программирование. - М.: Наука, 1981. - 458 с.
6.
Гермейер Ю.Б. Введение в теорию исследования операций. - М.: Наука, 1971. - 456 с.
.
Кини Р.Л., Райфа Х. Принятие решений при многих критериях: предпочтения и
замещения. Под. ред. И.Ф. Шахнова. - М.: Радио и связь, 1981. - 560 с.
8.
Пантелеев А.В., Летова Т.А. Методы оптимизации в примерах и задачах. - М.:
Высшая школа, 2005. - 560 с.
.
Таха, Хемди А. Исследование операций, 7-е издание: Пер. с английского. -
Москва: Издательский дом «Вильямс», 2005. - 912 с.
10. Эддоус М. Методы принятия решений: Пер. с англ. / М. Эддоус, Р.
Стэнсфилд; Под ред. И.И. Елисеевой. - М.: Аудит: ЮНИТИ, 1997. - 590 с.