Экономико-математическое моделирование

  • Вид работы:
    Контрольная работа
  • Предмет:
    Менеджмент
  • Язык:
    Русский
    ,
    Формат файла:
    MS Word
    637,33 Кб
  • Опубликовано:
    2014-08-27
Вы можете узнать стоимость помощи в написании студенческой работы.
Помощь в написании работы, которую точно примут!

Экономико-математическое моделирование

Министерство образования и науки

Молодежи и спорта Украины

Государственное высшее учебное заведение

Донецкий национальный технический университет

Факультет Заочный

Кафедра Экономическая кибернетика

Контрольная работа по дисциплине

«Экономическая кибернетика»

Тема: «Экономико-математическое моделирование»

Выполнил (ла) студент (ка)

группы ЕК-10(з)

Е.А. Доронкина

Проверил преподаватель

Коломыцева А.О.

к.е.н., доц.___кафедра_ЭК

Донецк 2012

Задача 1

 

Выполнить анализ чувствительности и отследить динамику интервала оптимальности при изменении коэффициента целевой функции.

Основные данные задачи определены в таблице 1.1.

Таблица 1.1 Начальных данных


Затраты сырья

Максимально возможные

 

в тонах, внешние работы

в тонах, внутренние работы

 возможные


6

4

24


1

2

6

Доход в $1000 на 1тн. краски

5

4



Отдел маркетинга компании ограничивает ежедневное производство краски для внутренних работ до 2-х тон (через отсутствие спроса), а также поставив условия, что бы ежедневное производство краски для внутренних работ не превышало больше, чем на одну тону краски для внешних работ. Компания хочет узнать оптимальное соотношение между видами продукции, которая выпускается, для максимизации общего ежедневного дохода.

РЕШЕНИЕ:

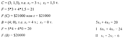
Неизвестные:

 - производство краски для внешней работы

 - производство краски для внутренней работы.

Ограничение:

Функция цели:


Графически ограничение и функция цели изображены на рисунке 1.1.

Рисунок 1.1 Графическое изображение ограничений и функции цели


Если отношения не выходят за пределы этого интервала, то оптимальное решение в этой модели останется неизменным. Алгоритмически это можно записать таким образом:

или


значит, что прямая, соответствующая целевой функции, не может быть вертикальной. Из рисунка видно, что интервал оптимума этой задачи не позволяет функцию цели быть не вертикальным, не горизонтальным. Необходимо разбить на два множественных числа, где бы знаменатели не обращались в нуль. Приведенные неравенства можно использовать при определении интервала оптимума для какого-либо одного коэффициента целевой функции, если допустить, что 2-й коэффициент остается невытянутым.

Модель линейного программирования является "моментальным снимком" реальной ситуации, когда параметры модели (целевой функции и неравенств ограничений) предусматриваются неизменными. Исследование влияния изменения параметров модели на полученное оптимальное решение задачи называется анализом чувствительности.

Рассматриваются два случая.

. Изменение коэффициентов целевой функции.

. Изменение стоимости единицы ресурса. При изменении количества доступных ресурсов (на единицу), значения целевой функции, в оптимальном решении изменится на стоимость единицы ресурса.


1. Ограничение на сырье.

Количество сырья в D:


Количество сырья в G:


Получим формулу

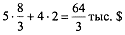
в (•) D = 5*2+ 4*2 = $18000

z в (•) G = 5*6 + 4*0 = $30000

Отсюда:


на одну тонну (в пределах от 20 до 36 тонн) приводит к изменению в оптимальном решении $750.

равно:


равно:

 на тону материала

 

Задача 2

 

При выборе рациональной стратегии производства (оптовых закупок в сфере товарного обращения) в условиях неопределенности и риска можно использовать игровые модели. Применение игровых моделей предлагается на примере компании, имеющей несколько каналов сбыта продукции определенного ассортимента Неопределенность в вероятных колебаниях спроса на продукцию предприятия связана с тем, что

ü  ежемесячный объем продукции с устойчивыми связями по сбыту на ряд лет в среднем составляет 489876,17 тыс. д.е. (низка зависимость от изменений рыночной конъюнктуры);

ü  ежемесячный объем продукции с устойчивым сбытом, но не на длительный срок - 496324,33 тыс. д.е. (средняя зависимость от изменений конъюнктуры рынка);

ü  ежемесячный объем продукции обеспечен только разовыми закупками - 502772,5 тыс. д.е. (т.е. зависимость от изменений конъюнктуры высокая),

ü  месячная продукция, покупатель на которую не определен - 478989,14 тыс. д.е. (зависимость от изменений конъюнктуры абсолютная).

Итого 1967962,1 тыс. д.е.

В розничной торговле с помощью этого примера можно определять объем оптовых закупок у поставщиков в зависимости от вероятных колебаний платежеспособного спроса населения в районах реализации товара

В задаче имеются три стратегии производства продукции (закупок в сфере обращения):

S1 = 986200,50 тыс. д. е., 2= 1488973 тыс. д е,

S3= 1967962,1 тыс. д.е.

В зависимости от изменений рыночной конъюнктуры в связи с имеющимися возможностями реализации рассчитаны варианты среднегодовой прибыли, которые представлены в виде матрицы платежеспособного спроса, с учетом ожидаемого значения потерь в случае неудачного исхода, связанных, например, с хранением нереализованной продукции, как следствия неиспользованных возможностей, нерационального распределения инвестиций, снижения оборачиваемости оборотных средств, порчей либо другими причинами (табл. 2.1). Значения табл. 2. 1. определяются экспертным путем.

Таблица 2.1

Анализ коммерческой стратегии при неопределенной конъюнктуре

Объем производства (оптовых закупок)

Размер прибыли (g) в зависимости от вероятных колебаний спроса

αi = min gij

W

βi = max gij


489876,17

986200,50

1 488 973

1 967 962,1




S1 =986200,50

49 310,03

197 240,1

197 240,1

197 240,1

49310,03

49310,03

197240,1

S2= 1488973,00

-60

148 897,3

297 794,6

297794,6

-60


297794,6

S3 = 1967962,10

-1140

98 398,11

196796,21

393 592,42

-1140

 

393592,42

βj = max gij

49 310,03

197 240,1

297 794,6

393 592,42





Важно отметить, что в этих расчетах первостепенную важность имеют пропорции исходных и результатных показателей, поскольку вызванные инфляционными пропорциями изменения цен, оказывая влияние на абсолютные величины, не изменят их пропорциональных соотношений. Это позволяет использовать данную методику в условиях инфляции без дополнительных расчетов.

По условию задачи требуется выбрать оптимальную стратегию производства (закупок). Для принятия решения в условиях неопределенности использовать:

ü  максиминный критерий Вальда;

ü  минимаксный критерий;

ü  критерий риска Сэвиджа;

ü  критерий пессимизма - оптимизма Гурвица.

Основываясь на полученных оценках выбрать оптимальную стратегию поведения предприятия на рынке.

РЕШЕНИЕ: Размер прибыли (g) в зависимости от вероятных колебаний спроса выступает в качестве второго игрока - природы, стратегии которого определяются данными спроса, т.е. П1 = 489 876,17 ед., П2 = 986 200,50 ед., П3 = 1 488 973 ед., П4 = 1 967 962,1 ед. Игрок S - объем производства (оптовой закупки) , стратегии которого лежат S1= 986 200,50 тыс.д.е., S2= 1 488 973,00 тыс.д.е., S3= 1 967 962,10 тыс.д.е.. Составим платежную матрицу игры. Найдем решение игры по критериям Вальда, минимаксный критерий, Сэвиджа и Гурвица при λ = 0,5.

.        Критерий Вальда.

Таблица 2.2

Объем производства (оптовых закупок)

Размер прибыли (g) в зависимости от вероятных колебаний спроса

αi = min gij

W


489 876,17

986 200,50

1 488 973

1 967 962,1



S1 =986200,50

49 310,03

197 240,1

197 240,1

197 240,1

49310,03

49310,03

S2= 1488973,00

-60

148 897,3

297 794,6

297794,6

-60


S3 = 1967962,10

-1140

98 398,11

196 796,21

393 592,42

-1140

 

βj = max gij

49 310,03

197 240,1

297 794,6

393 592,42




.

Оптимальной является стратегия S1 тыс.д.е. необходимо заказывать по 986 200,50 единиц товара.

2.      Критерии минимаксный критерий.

Таблица 2.3

Объем производства (оптовых закупок)

Размер прибыли (g) в зависимости от вероятных колебаний спроса

αi = min gij


489 876,17

986 200,50

1 488 973

1 967 962,1


S1 =986200,50

49 310,03

197 240,1

197 240,1

197 240,1

49310,03

S2= 1488973,00

-60

148 897,3

297 794,6

297794,6

-60

S3 = 1967962,10

-1140

98 398,11

196 796,21

393 592,42

-1140

βj = max gij

49 310,03

197 240,1

297 794,6

393 592,42


βj = min gij

αi = max gij

βj = min gij = αi = max gij

Оптимальной является стратегия S1 тыс.д.е. необходимо заказывать по 986 200,50 единиц товара.

3.      Критерий Сэвиджа. Перейдем к матрице рисков, поместим в правом добавочном столбце значения максимального риска ri.

.

Таблица 2.4

Объем производства (оптовых закупок)

Размер прибыли (g) в зависимости от вероятных колебаний спроса


489 876,17

986 200,50

1 488 973

1 967 962,1


S1 =986200,50

49 310,03

197 240,1

197 240,1

197 240,1

197 240,10

S2= 1488973,00

-60

148 897,3

297 794,6

297 794,6

297 794,6

S3 = 1967962,10

-1140

98 398,11

196 796,21

393 592,42

393 592,42


. Оптимальной является также стратегия S1 тыс.д.е..

. Критерий Гурвица. В добавочных столбцах платежной матрицы запишем оценки:

 при λ = 0,5

Таблица 2.5

Объем производства (оптовых закупок)

Размер прибыли (g) в зависимости от вероятных колебаний спроса

αi

Wi

hi 


489876,17

986200,50

1488973

1967962,1




S1 =986200,50

49 310,03

197 240,1

197 240,1

197 240,1

49310,03

197 240,10

123 275,065

S2= 1488973,00

-60

148 897,3

297 794,6

297794,6

-60

297794,60

148867,30

S3 = 1967962,10

-1140

98 398,11

196796,21

393 592,42

-1140

393 592,42

196226,21

βj = max gij

49 310,03

197 240,1

297 794,6

393 592,42





, значит, оптимальной является стратегия S1 тыс.д.е..

ОТВЕТ: Основываясь на полученных оценках выбираем оптимальную стратегию производства продукции (закупок в сфере обращения) S1 = 986200,50 тыс. д. е., т.к. все три критерия говорят в пользу стратегии S1.

Задача 3

 

Рассматриваются два инвестиционных проекта. Первый с вероятностью 0,6 обеспечивает прибыль 15 млн. грн.., а с вероятностью 0,4 убыток в 5.5 мнл. грн. Для второго проекта с вероятностью 0,8 можно получить прибыль в размере 10 млн. грн.. и ймовирнистю0,2 - убыток 6 млн. грн.. Какой проект выбрать? Обоснуйте выбор метода решения задачи. ( решение [2]с. 122-123)

 

Таблица 3.1

Исходные данные

Показатели

Значения

Прогнозируемая прибыль, тыс. грн.

Оценка проекта 1

Прибыль

15

Убыток

5,5

Оценка проекта 2

Прибыль

10

Убыток

6

Значения вероятностей

Оценка проекта 1

Прибыль

0,6

Убыток

0,4

Оценка проекта 2

Прибыль

0,8

Убыток

0,2


Мерой величины риска в статистическом методе признается колебимость результатов.

Мерой колебания результатов некоторого вложения под воздействием различных вероятностных факторов служит целая группа статистических величин:

• дисперсия, рассчитываемая по формуле:

               (3.1)

 

где Сi - значение i - го результата,

Сcp - средняя величина результата,

Рi - вероятность i - го результата, - число наблюдений.

• среднеквадратическое отклонение:

                                             (3.2)

• коэффициент вариации:

                                             (3.3)

Как мы видим, расчет всех этих величин базируется на вычислении среднего (арифметического) значения результата Сcp :

                                    (3.4)

Критерием выбора из нескольких инвестиционных проектов является

минимум по всем основным статистическим параметрам.

РЕШЕНИЕ:

Рассчитаем среднее значение прибыли для обоих проектов.

Для проекта 1:

Сср = 15*0,6 + 5,5*0,4 = 9+2,2=11,2 (тыс. грн.)

Для проекта 2:

Сср = 10* 0,8 + 6*0,2 = 8+1,2=9,2 (тыс. грн.).

Исходя из рассчитанного показателя, более предпочтительным является проект 1, т.к. среднее значение получаемой прибыли по нему выше, чем по проекту 2. Однако полностью обоснованным такой вывод можно сделать лишь на основании расчета статистических показателей дисперсии, среднеквадратического отклонения и коэффициента вариации.

Рассчитываем дисперсию по проекту 1:

= (15 - 11,2)2*0,6 + (5,5 - 11,2)2*0,4= 21,66;

Рассчитываем дисперсию по проекту 2:

= (10 - 9,2)2*0,8 + (6 - 9,2)2*0,2 = 2,56.

Рассчитываем среднеквадратическое отклонение по проекту 1:

σ = √21,66=4,65 (тыс. грн.)

Рассчитываем среднеквадратическое отклонение по проекту 2:

σ = √ 2,56=1,6 (тыс. грн.)

Рассчитываем коэффициент вариации по проекту 1:

=4,65/11,2=0,41

Рассчитываем коэффициент вариации по проекту Б:

=1,6/9,2=0,17

 

ОТВЕТ: Таким образом, к рассмотрению следует однозначно принять проект 2, т.к. все статистические показатели для него ниже, значит и колебимость результатов ниже, следовательно, и величина риска ожидается на более низком уровне.

Задача 4

Рассматриваются два проекта А и Б относительно возможностей инвестирования. Известны прогнозные оценки значений дохода от каждого из этих проектов и соответствующие значения вероятностей.

Статистическим методом оценить меру риска каждого из этих проектов и выбрать один из них для инвестирования.

Таблица 4.1

Показатели

Значения

Прогнозируемая прибыль, тыс. грн.

Оценка проекта А

пессимистическая

400

Сдержанная

800

оптимистическая

1100

Оценка проекта Б

пессимистическая

300

Сдержанная

850

оптимистическая

1300

Значения вероятностей

Оценка проекта А

пессимистическая

0,2

Сдержанная

0,45

оптимистическая

0,35

Оценка проекта Б

пессимистическая

0,3

Сдержанная

0,6

оптимистическая

0,1


Исходные данные

Мерой величины риска в статистическом методе признается колебимость результатов.

Мерой колебания результатов некоторого вложения под воздействием различных вероятностных факторов служит целая группа статистических величин: экономика математический моделирование неопределенность

• дисперсия, рассчитываемая по формуле:

                (4.1)

 

где Сi - значение i - го результата,

Сcp - средняя величина результата,

Рi - вероятность i - го результата, - число наблюдений.

• среднеквадратическое отклонение:

                                    (4.2)

• коэффициент вариации:

                                    (4.3)

Как мы видим, расчет всех этих величин базируется на вычислении среднего (арифметического) значения результата Сcp :

                          (4.4)

Критерием выбора из нескольких инвестиционных проектов является минимум по всем основным статистическим параметрам.

РЕШЕНИЕ:

Рассчитаем среднее значение прибыли для обоих проектов.

Для проекта А:

Сср = 400*0,20 + 800*0,45 + 1100*0,35 = 80+360+385=825 (тыс. грн.)

Для проекта Б:

Сср = 300* 0,30 + 850*0,60 + 1300*0,1 = 90+510+130=730 (тыс. грн.).

Исходя из рассчитанного показателя, более предпочтительным является проект А, т.к. среднее значение получаемой прибыли по нему выше, чем по проекту Б.

Однако полностью обоснованным такой вывод можно сделать лишь на основании расчета статистических показателей дисперсии, среднеквадратического отклонения и коэффициента вариации.

Рассчитываем дисперсию по проекту А:

= (400 - 825)2*0,20 + (800 - 825)2*0,45+(1100 - 825)2*0,35 = 62875;

Рассчитываем дисперсию по проекту Б:

= (300 - 730)2*0,3 + (850 - 730)2*0,60 + (1300 - 730)2*0,1 = 96600.

Рассчитываем среднеквадратическое отклонение по проекту А:

σ = √62875=250,75 (тыс. грн.)

Рассчитываем среднеквадратическое отклонение по проекту Б:

σ = √ 96600=310,80 (тыс. грн.)

Рассчитываем коэффициент вариации по проекту А:

=250.75/825=0.3039

Рассчитываем коэффициент вариации по проекту Б:

=310.80/730=0.4257

 

ОТВЕТ: Таким образом, к рассмотрению следует однозначно принять проект А, т.к. все статистические показатели для него ниже, значит и колебимость результатов ниже, следовательно, и величина риска ожидается на более низком уровне.

Задача 5

 

При фирменном магазине планируется открыть мастерскую по ремонту одежду. Руководство решает, открыть ли крупную мастерскую, малую или продать патент другой фирме. Размер выигрыша который может получить компания зависит от благоприятного или неблагоприятного положения на рынке. Прогноз о состоянии рынка может быть построен компанией или за определенную плату заказан консалтинговой фирме На основе данных приведенных ниже оцените какой вариант является более приемлемым, обоснуйте свое решение соответствующими расчетами.

 

РЕШЕНИЕ: Процедура принятия решения заключается в вычислении для каждой вершины дерева (при движении справа на лево) ожидаемых оценок, отбрасывании неперспективних вервей выборе вервей, которым соответствует максимальное значение ОДО.

Определим средний ожидаемый выигрыш (ОДО)

.        ОДО самостоятельное прогнозирование =34000 дол. продажа патента.

Крупное предприятие (105000*0,42)+(-163000*0,58)=-50440 дол.

Малое предприятие (13000*0,42)+(-63000*0,58)=-31080 дол.

Продажа патента 34000 дол.

.        ОДО прогноз мониторинговой фирмы=19945,60 дол. крупное предприятие.

Крупное предприятие (105000*0,51)+(-163000*0,49)=-26320 дол.

Малое предприятие (13000*0,51)+(-63000*0,49)=-24240 дол.

Продажа патента 34000 дол.

ОДО благо=34000 дол. продажа патента.

*0,54=18360 дол.

Крупное предприятие (105000*0,77)+(-163000*0,23)=43360 дол.

Малое предприятие (13000*0,77)+(-63000*0,23)=-4480 дол.

Продажа патента 34000 дол.

ОДО неблаго=43360 дол. крупное предприятие.

*0,46=19945,60 дол.

.        ОДО самостоятельный прогноз показывает прибыль 34000 дол. от продажи патента. ОДО мониторинговой фирмы показывает прибыль 19945,60 дол. от открытия крупного предприятия.

ОТВЕТ: Наиболее приемлемым вариантом является продажа патента, так как по прогнозам именно продажа даст наибольшую прибыль 34000 дол. Смотреть рисунок дерева решения 5.1

Рис. Дерево решения 5.1.

Задача 6

 

Найти седловый элемент в игре с матрицей и записать решение игры.


Таблица 6.1


Стратегия В

Стратегия А

В1

В2

В3

В4 a=min (Ai)

A1

3

2

2

 4  2

A2

2

-1

-3

 1  -3

А3

4

1

1

 -2  -2

b =max(Ві)

4

2

2

  2 4  2

 

РЕРЕШИЕ:

Находим гарантированный выигрыш, определяемый нижней ценой игры = max(ai) = 2, которая указывает на максимальную чистую стратегию A1.

Верхняя цена игры

b = min(bj) = 2,= b что свидетельствует о том, что седловой точки игры равна 2.

ОТВЕТ: седловая точка игры равна 2.

Задача 7

 

Найти оптимальное решение игры заданной матрицы в смешанной стратегии, а также графическим способом.

(реш 1 стр.139)

РЕШЕНИЕ:

Таблица 7.1





аі


7

9

8

7


10

6

9

6

 Вj

 10

 9

 9

 7  9

= 7, b=9, , поэтому игра не имеет седловой точки, и решение должно быть в смешанных стратегиях.


1.      Строим графическое изображение игры.

Если игрок B применяет стратегию В1, то выигрыш игрока A при применении стратегии А1 равен а11 = 7, а при использовании А2 выигрыш равен а21 = 10, поэтому откладываем отрезки А1В1 = 7, А2В1′ = 10 на перпендикулярах в А1 и А2 и соединяем их отрезком. Аналогично для стратегий В2 и В3 строим отрезки В2 В2′ и В3 В3′.

. Выделяем нижнюю границу выигрыша В1М N В3′ и находим наибольшую ординату этой нижней границы, ординату точки М, которая равна цене игрыγ.

3. Определяем пару стратегий, пересекающихся в точке оптимума М.

В этой точке пересекаются отрезки В2В2′ и В1В1′, соответствующие стратегиям В1 и В2 игрока B. Следовательно, стратегию В3 ему применять невыгодно. Исключаем из матрицы третий столбец и решаем игру 2 x 2 аналитически:

              

ОТВЕТ: γ = 8; PA = (1/2; 1/2).

Похожие работы на - Экономико-математическое моделирование

 

Не нашли материал для своей работы?
Поможем написать уникальную работу
Без плагиата!
Без нейросетей!