Экономическая оценка лизинга воздушных судов при эксплуатации на авиалиниях
Оглавление
Введение
1. Лизинг как экономическая категория и важный фактор
хозяйственного развития
1.1 Определение, сущность и функции лизинга
2. Лизинг в мировой практике
2.1 Особенности лизинга в отдельных странах
3. Основные виды лизинга в мировой практике и гражданской авиации
4. Экономическая оценка лизинга ВС при эксплуатации на авиалиниях
4.1 Выгодность лизинга воздушных судов
4.2 Рынок лизинга самолетов
4.3 Эффективность использования авиационной техники
4.4 Оценка экономической эффективности лизинга ВС
Заключение
Список литературы
Введение
Лизинг - это один из наиболее эффективных финансовых
инструментов, предоставляющих реальную возможность предприятиям в рассрочку
обновлять свои основные средства, снижая при этом налоговые и оперативные
издержки.
На сегодняшний день гражданская авиация и лизинг - это две
неотъемлемые вещи друг от друга. Достаточно много сейчас существует небольших
авиакомпаний. Все они пытаются развиваться и сделать эту отрасль более
доступной для потенциальных клиентов. Для тех компаний, которые не могут себе
позволить новую авиационную технику, лизинг - это выход.
Лизинг дает возможность небольшим авиакомпаниям использовать
уже эксплуатированные другими перевозчиками воздушные суда, что позволяет
снизить долговую нагрузку авиаперевозчика.
Цель курсовой работы рассмотреть определение, важность
использования лизинга в Гражданской авиации. Доказать, что лизинг - это один из
путей развития авиационной деятельности. Доказать, что его использование - это
выгодно. Дать экономическую оценку лизингу.
Задачи: сущность и значение лизинга, как экономической
категории и важного фактора хозяйственного развития; лизинг в мировой практике;
основные виды лизинга в мировой практике и гражданской авиации; экономическая
оценка лизинга ВС при эксплуатации на авиалиниях; эффективность использования
авиационной техники; оценка экономической эффективности лизинга ВС.
1. Лизинг как
экономическая категория и важный фактор хозяйственного развития
1.1
Определение, сущность и функции лизинга
Экономическая сущность лизинга трактуется неоднозначно и в
течение длительного времени остается спорной. Не сформировалось единого мнения
относительно сущности лизинга на практике и в теории. В общем виде лизинг можно
охарактеризовать как комплексные экономико-правовые отношения по приобретению в
собственность имущества и последующей сдаче его в аренду.
Слово "лизинг" происходит от английского термина
"lease", что в переводе означает "аренда".
Лизинг как экономическая категория имеет собственное
содержание и формы его реализации. Для обоснования этого утверждения проведем
сравнительный анализ лизинга с другими экономическими категориями.
Большинство ученых признают родственность лизинга и аренды.
Некоторые авторы вообще не видят в них различий, считая аренду родовым понятием,
а лизинг - видовым. Другие же, например, Э.О. Човушян, признавая лизинг
арендой, отмечают, что он существенно отличается от других ее форм. И это
действительно так. Природа аренды основана на разделении права собственности и
права пользования. М.И. Лещенко указывает, что экономическая "сущность
лизинга объясняется характером имущественных отношений, возникающих при
лизинговых сделках. Имущество - предмет договора лизинга - является
собственностью лизингодателя, лизингополучатель же в течение срока действия
договора получает право владения и пользования этим имуществом за определенную
плату".
В настоящее время лизингом стали считать только финансовую
аренду, т.е. аренду с финансовым интересом. Согласно Конвенции УНИДРУА о
международном финансовом лизинге к основным характеристикам сделки финансового
лизинга относят следующие позиции:
арендатор определяет оборудование и выбирает поставщика, не
полагаясь в первую очередь на опыт и суждения арендодателя;
оборудование приобретается арендодателем в связи с договором
лизинга, который (и поставщик осведомлен об этом) заключен или должен быть
заключен между арендодателем и арендатором;
периодические платежи, подлежащие уплате по договору лизинга,
рассчитываются, в частности, с учетом всей или существенной части стоимости
оборудования.
Характерно, что лизинг как финансовая аренда по сравнению с
простой арендой осложнен в рамках одной сделки дополнительным элементом -
фигурой продавца арендуемого имущества. Поэтому, наряду с тем, что между
лизингом и арендой есть общее: на основании договора одному лицу передается
собственность другого лица в производительное использование, в то же время
можно указать и на существенные различия этих понятий. В итоге следует вывод:
основываясь на арендных отношениях, лизинг имеет свою специфику.
Иногда сущность лизинга относят к купле-продаже товаров в
рассрочку. Действительно, лизинг и продажа в кредит (коммерческий кредит) имеют
общие черты. Сходство заключается в том, что в обоих случаях происходит
инвестирование средств в основной капитал на возвратной основе в натуральной
форме, в порядке передачи в пользование имущества. И коммерческий кредит, и
лизинг представляют собой взаимосвязь торговых и кредитных сделок. К общим
чертам коммерческого кредита и лизинга относятся также:
сохранение права собственности на имущество за продавцом
(лизингодателем) до полной выплаты цены товара;
право выкупить имущество досрочно или после завершения
сделки;
нахождение в залоге у поставщика (лизингодателя) имущества,
переданного во временное пользование;
передача на определенный период права владения и пользования;
поэтапность оплаты цены имущества через периодические
лизинговые платежи;
Тем не менее, у финансового лизинга есть и другие, не сходные
с коммерческим кредитом черты (к примеру, вышеназванные его признаки,
приведенные в Конвенции УНИДРУА).
2. Лизинг в
мировой практике
2.1
Особенности лизинга в отдельных странах
США
В США лизинг появился еще в 50-х годах. На долю США
приходится половина мирового оборота товаров, поставляемых по лизингу. В 1986
году в США было поставлено в лизинг оборудования на 85 млрд. долл. (28 % всех
инвестиций в оборудование в стране).
Одной их причин быстрого развития лизинга в США являлись
налоговые льготы: ускоренная амортизация и инвестиционная налоговая льгота (до
10 % стоимости новых инвестиций вычиталось из суммы налога). Например, расходы
по покупке оборудования - 100 000 долл., инвестиционная льгота - 10 %, 10 000
долл. вычтут из суммы налога. Но право на налоговые льготы возникало только
тогда, когда договор соответствовал правилам, устанавливаемым для аренды
Управлением внутренних доходов министерства финансов США:
. продолжительность лизинга должна быть меньше 30 лет;
2. лизинг не должен предусматривать график платежей, где
они вначале будут больше, а затем меньше. Это было бы свидетельством того, что
лизинг используется, как средство уйти от налога;
. лизинг должен обеспечить арендодателя нормальным
рыночным уровнем прибыли;
До 1977 года фирмы могли брать оборудование в аренду, не
отражая его стоимость в своих балансах, то есть имел место забалансовый учет.
Поэтому, фирмы, уже имеющие солидный долг, могли дополнительно брать
оборудование, не показывая возросшую сумму задолженности. Таким образом,
подлинный долг был скрыт от инвесторов и экспертов. В 1976 году Управление
стандартизации финансового учета издало постановление № 13, которое заставило
учитывать некоторые финансовые сделки как приобретение имущества и принятие на
себя финансовых обязательств. Целью этого постановления было разграничить
"подлинный лизинг” и покупку с помощью лизинга.
С 1986 года климат для лизинга на налоговой основе изменился,
так как правительство увидело в нем "субсидию на благо другого
государства" ("Экспорт налоговых льгот”). Налоговые льготы, введенные
в 60-х и 70-х годах в период высокой инфляции, больше не рассматривались как
эффективный инструмент стимулирования капиталовложений в более стабильной
экономической обстановке 80-х годов. Реформа налоговой системы в США сократила
доступность налоговых льгот через отмену налоговой инвестиционной льготы и
изменение профиля амортизации. Налоговая реформа значительно снизила
экономическую выгоду лизинга, но тем не менее его развитие не остановилось.
В последнее время растет значение соглашений возвратного
лизинга (нефтяные танкеры, железнодорожные контейнеры, компьютеры, самолеты),
оперативного лизинга (транспорт, печатное оборудование). Особенно наглядно
просматривается рост оперативного лизинга без наличия особых налоговых льгот в
авиации.
Международная лизинговая финансовая корпорация (ILFC) с
местом нахождения в США была основана в 1973 году и стала государственной
компанией в марте 1983 года.
Вместе с ирландской Gyness Peat Aviation Group (GPA) она
определяет положение на рынке. В ее портфеле более 150 самолетов. Доходы за
первое полугодие 1992 года составили 94,8 млн. долл., активы - 1,65 млрд. долл.
на 31 мая 1992 года.
Она предлагает клиентам самолеты на 3-15 лет без
необходимости брать на себя огромные начальные расходы. Мировой рынок
оперативного лизинга самолетов вырос практически от нулевой отметки в 1982 году
до 10 % всего лизингового рынка сегодня. Наиболее крупными американскими
лизинговыми компаниями являются: Bank Amerilase Group, Golodefz Trading Corp., Security Pacific Consider Corp.
Великобритания
В Великобритании лизинг получил значительное развитие только
после 1970 года, то есть после введения налоговых льгот. Компании могли
вычитать 100 % инвестиций из налогооблагаемой прибыли в году, в котором они
производились. Эти льготы были существенны только для предприятий с большой
доходностью, но косвенно они были доступны и арендаторам. Компания могла
воспользоваться налоговыми льготами только в конце отчетного года.
Поэтому, если она производила инвестиции в начале года, то ей
приходилось ждать некоторое время до получения выгод от этих льгот. Но если она
продавала оборудование лизинговой компании и затем брала его в аренду (при
условии, что у лизинговой компании конец финансового года наступал раньше), то
косвенные выгоды были получены быстрее. Поэтому лизинговые компании открывают
филиалы с разными концами финансового года.
Налоговая инвестиционная льгота безвозмездна, она
возвращается обратно через налоги на арендные платежи, но тем не менее она
предоставляет беспроцентную ссуду, равную 52 % стоимости имущества, что отражалось
и на стоимости лизинга для арендатора. В 1984 году правительство объявило, что
корпорационный налог будет снижен с 52 % до 35 % к апрелю 1986 года, а
100-процентная льгота первого года будет заменена 25-процентной регрессивной
(writing down) льготой (25 % - в первый год, 25 % от остатка - во второй год и
т.д.). Изменения происходили постепенно. Это хорошо видно из следующей таблицы:
|
Финансовый год
|
Налоговая
ставка, %
|
Льгота первого
года,%
|
|
До 1983/84
|
52
|
100
|
|
1983/84
|
50
|
100
|
|
1984/85
|
45
|
75
|
|
1985/86
|
40
|
50
|
|
1986/87 и далее
|
35
|
25
|
Так как корпорационный налог сокращался постепенно, то
изменения не сразу сказывались на развитии лизинга. Часть налоговых льгот
сохранилась. Это очень выгодно для лизинга в области электронной
промышленности. Так, в течение 1 года арендные платежи не облагаются налогом.
Франция
Лизинг здесь получил большое распространение, особенно его
вид под названием "креди-бай". В апреле 1967 года была создана первая
французская компания "Локафранс". В настоящее время во Франции
развивается лизинг самолетов и вертолетов, судов и барж, подъемно-транспортного
оборудования, контейнеров, вычислительной техники, медицинского оборудования,
полиграфического, крупного промышленного оборудования.
Рассмотрим лизинг во Франции на примере группы
"BNP/Bail". В нее входят компании "Natio Equipment",
"Natio Location", "Natio Energie", "Locafinance",
"Natiofail", "Natiocredifail". Лизинг движимого
имущества во Франции начался в 1960 году, а Закон о лизинге был принят в 1966
году. Закон ввел налог на уступку прав на оборудование при перепродаже
арендатору (он исчисляется из стоимости оборудования в момент уступки), налог
на уступки прав третьему лицу, налог на добавленную стоимость (на разницу между
стоимостью по балансу и ценой уступки). "Natio Equipment"
предоставляет арендатору право на выбор.
|
Срок
амортизации
|
Минимальная
продолжительность контракта
|
|
3 года
|
3 года
|
|
4 года
|
3 года
|
|
5 лет
|
4 года
|
|
6-7 лет
|
5 лет
|
|
8 лет
|
6 лет
|
|
10 лет
|
7 лет
|
Остаточная стоимость составляет от 1% до 7% первоначальной
стоимости.
Обычно соглашение по лизингу недвижимости длится 15-20 лет.
Объектами могут быть: земля, строения, отделочные работы, система путей
сообщения, оборудование, рассматриваемое как недвижимость по своему назначению
(лифты и т.д.). Оплата обычно производится прямым регрессивным или смешанным
способом. Помимо "BNP" другие банки также создали компании:
"Креди Лионэ" - "Смебай", "Сосьете Женераль" -
"Софинбай".
ФРГ
В ФРГ в настоящий момент существует множество лизинговых
компаний, 57 из них входят в немецкую лизинговую ассоциацию. Порядок
налогообложения лизинговых сделок излагается в письмах федерального министра
финансов от 19.04.1971 года и от 22.12.1975 года. Заключаемые в соответствии с
установленными нормами лизинговые контракты позволяют воспользоваться рядом
налоговых льгот.
Две компании, которые можно отнести к разряду ведущих в
области лизинга - это "Митфинанц Гмбх" и "Гефа - лизинг
Гмбх". "Митфинанц Гмбх" была основана в 1962 году. Уставной
капитал этой первой в ФРГ лизинговой компании составлял 1 млн. марок ФРГ. В
настоящее время она имеет 6 дочерних компаний. "Гефа - лизинг Гмбх"
была основана группой "Гефа" в 1968 году. За время своего
существования фирма сдала своим клиентам в аренду оборудование общей стоимостью
свыше 3 млрд. марок ФРГ.
Австрия
В Австрии средний срок аренды составляет от 2 до 15 лет в
соответствии с экономически целесообразным сроком службы предмета лизинга.
Опцион на покупку или продление не допускается, по истечении срока действия
контракта арендатор может заключить новый контракт на аренду предмета лизинга в
течение оставшегося периода эксплуатации или вступить в переговоры о покупке.
Как и в ФРГ, в Австрии основой для развития лизинга стал
закон о найме.
Лизинг в Австрии развивается уже 25 лет. В лизинг сдаются
даже детские сады и школы. Для использования налоговых льгот по закону 1984
года необходимо, чтобы срок договора по лизингу не превышал 40% - 90% общего
периода использования оборудования, и чтобы объект лизинга был самостоятельной
единицей.
Одной из ведущих лизинговых фирм является "Райфайзен
лизинг" с участием в ее капитале "Донау банка".
Италия
Первая лизинговая компания в Италии появилась в 1963 году. В
настоящее время Итальянская лизинговая ассоциация насчитывает 50 компаний.
Крупнейшая итальянская (компания) лизинговая группа
"Локафит" отдает в лизинг рабочий инструмент, землеройные машины,
сельскохозяйственные машины, оборудование для офисов, компьютеры, недвижимость,
транспорт (автомобили, самолеты, суда и т.д.)
Одним из учредителей является "Банк Насиональ де
Лаворо". Группа создала совместные фирмы в ФРГ, Франции, США, Испании,
Китае, осуществляет операции с Венгрией и Югославией.
Япония
В Японии крупнейшей лизинговой компанией является
"Gentury Leasing System", созданная в 1969 году. Ее оплаченный
капитал 1,6 млн. долларов. Она имеет филиалы в Гонконге, Сингапуре,
Великобритании. Акционеры: один коммерческий банк, одна торговая и две
страховые компании.
Швеция
В Швеции лизинг начал развиваться в начале 60-х годов. Обычно
им пользовались маленькие и средние компании. Дело в том, что каждый банк
требовал обеспечение по многим своим ссудам. Лизинг облегчил положение, так как
кредитор является владельцем оборудования. Поначалу заключались соглашения о
повторной покупке, согласно которым поставщик брал на себя обязательство купить
обратно оборудование, если клиент не выполнит свои обязательства по лизингу. По
мере роста конкуренции между лизинговыми компаниями эти обязательства (по
обратной покупке) стали встречаться все реже и реже.
Основной срок аренды составляет обычно 3-5 лет, в
исключительных случаях до 9 лет.
Обобщая страны Западной Европы, США и Японии можно сделать
следующие выводы:
. в основном лизинговыми операциями занимаются не
коммерческие банки, а специализированные компании;
2. развитой рынок лизинговых услуг укрепляет
производственный сектор экономики, создавая условия для ускоренного развития
стратегически важных отраслей, стимулирует приток капиталов в производственную
сферу;
. наличие определенных налоговых льгот, направленных
на развитие лизинговых отношений.
воздушное судно лизинг авиация
3. Основные
виды лизинга в мировой практике и гражданской авиации
В мировой практике существует два основных вида лизинга:
финансовый и оперативный.
Финансовый лизинг - это вид лизинга, при
котором лизингодатель обязуется приобрести в собственность указанное лизингополучателем
имущество у определенного продавца и передать ему это имущество в качестве
предмета лизинга за плату, на срок и на определенных условиях во временное
владение и пользование. Срок, на который предмет лизинга передается
лизингополучателю, совпадает или превышает по продолжительности срок полной
амортизации предмета лизинга. Предмет лизинга переходит в собственность
лизингополучателя, если иное не предусмотрено договором лизинга, по истечении
срока действия договора лизинга или до его истечения при условии выплаты
лизингополучателем полной суммы, предусмотренной договором лизинга.
Оперативный лизинг - это вид лизинга,
согласно которому лизингодатель закупает на свой страх и риск имущество и
передает его лизингополучателю в качестве предмета лизинга за плату, на срок и
на определенных условиях во временное владение, пользование. Срок, на который
имущество передается в лизин, устанавливается по договоренности сторон и
фиксируется в договоре лизинга. По окончании договора лизинга и выплаты всех
лизинговых платежей предмет лизинга возвращается лизингодателю. При этом
лизингополучатель не имеет права требовать перехода права собственности на
предмет лизинга.
Для авиакомпаний России также более приемлемыми являются
финансовый и оперативный лизинг.
Например, оперативный лизинг предлагает авиакомпании
использовать ВС в течение оговоренного в договоре лизинга срока за
установленную арендную плату. По окончании оперативного лизинга арендуемое
воздушное судно не переходит в собственность авиакомпании, а возвращается
обратно лизингодателю.
Финансовый лизинг отличается тем, что не предусматривает
сервисного обслуживания имущества со стороны лизингодателя, не допускает
досрочного прекращения договора. Реализация его предусматривает отбор
потенциальным лизингополучателем необходимой техники, переговоры с
изготовителем о цене и сроках поставки, покупку оборудования лизинговой
компанией и получение ссуды банка.
При финансовом лизинге с дополнительным привлечением средств
важное значение приобретают вопросы залога, страхования, гарантий и процедура
приобретения лизингового имущества. В практике применяются три основных
варианта отношений при купле - продаже объекта лизинга:
. лизингополучатель самостоятельно выбирает продавца и
предмет лизинга, а лизингодатель только оплачивает сделку купли - продажи и
передает право пользования лизингополучателю;
2. продавца выбирает лизингодатель, тогда он несет
ответственность перед лизингополучателем за выполнение обязательств по договору
купли - продажи объекта лизинга;
. лизингодатель назначает лизингополучателя своим
агентом по заказу товара у поставщика.
Оперативный (операционный) лизинг - предполагает возможность
лизингодателя сдавать свое имущество, которое он закупает на свой страх и риск,
в аренду неоднократно в течение нормативного срока его службы.
Возвратный лизинг (sale - and - leaseback - продажа и обратный лизинг - релизинг) - это
система взаимосвязанных соглашений, по форме финансирования продает самолеты
(свою собственность) банку или лизинговой компании с одновременным заключением
договора о долгосрочной аренде бывших своих самолетов на условиях лизинга.
В виде лизингодателя может выступать банк, страховая
компания, лизинговая компания, а также индивидуальный инвестор. Возвратный
лизинг выгоден обеим сторонам, так как лизингодатель закладывает в сумму
лизинговых платежей свою прибыль, а лизингополучатель имеет возможность
относить лизинговые платежи на себестоимость выпускаемой продукции.
4.
Экономическая оценка лизинга ВС при эксплуатации на авиалиниях
4.1
Выгодность лизинга воздушных судов
Еще несколько лет назад выход российских
компаний, занимающихся предоставлением качественных услуг по воздушным
перевозкам, на мировой рынок был осложнен отсутствием организаций, которые
могли оказать помощи в финансировании приобретения авиатранспорта. Это
способствовало появлению на отечественном рынке зарубежных лизингодателей,
стимулирующих поставки большого количества поддержанных самолетов американского
и европейского производства по относительно невысоким ценам. Однако проблема
заключалась в том, что качество подобной продукции было невысоким и условия по
лизинговому договору совершенно себя не оправдывали с точки зрения
авиакомпаний, которые покупали данные воздушные суда. Осознав то, что РФ
попросту может превратиться в "свалку дешевого авиационного хлама",
правительство провело ряд мероприятий, защищающих отечественный авиарынок и
способствующих возникновению добропорядочных лизинговых компаний. Одной из
таких организаций, безусловно, является и РМБ-Лизинг.
Ни для кого не является секретом то, что
современный лайнер, будь то Airbus A319, или, скажем, Sukhoi Superjet 100, -
это высокотехнологичное воздушное судно, обладающее очень высокими стоимостными
характеристиками. Соответственно, если приобрести подобный транспорт, сразу
заплатив за него собственные или заимствованные средства, авиакомпания начнет
получать прибыль от его эксплуатации, как минимум, через 7 лет. И это при
условии интенсивного использования при крайне высокой загруженности маршрутов,
при 50% количестве налетов при максимально возможных за месяц. Именно поэтому
наиболее правильным решением становится покупка самолета посредством лизинга.
Данный способ кредитования представляет
собой в некотором роде прокат самолетов, когда сам транспорт принадлежит
компании, предоставившей средства на его покупку, а лизингополучатель платит в
месяц определенную сумму за его использование. По истечении конкретного срока,
когда сумма платежей будет равна общей стоимости самолета, указанной в
лизинговом договоре, лайнер перейдет в собственность лизингополучателя.
4.2 Рынок
лизинга самолетов
Среди компаний, активно пользующимися
услугами лизинга самолетов, находятся следующие:
. "Аэрофлот";
2. UTAir;
. "Трансаэро";
. S7 Airlines;
. "Якутия";
. "Уральские авиалинии" и
пр.
Наряду с этим наиболее популярными
моделями самолетов, для приобретения которых наиболее часто оформляется лизинг
воздушных судов, являются Boeing 737, 747, 777 и 767, Airbus A319, A320, A321,
A330, Sukhoi Superjet 100, Ан-140, Ан-148, Ту-204, Ту-214 и Ан-148 и пр. Если
давать общую оценку тенденциям развития рынка лизинга самолетов, то спрос на
авиатранспорт, покупаемый с привлечением сторонник финансовых структур, растет.
И это неудивительно, так как
востребованности воздушных перевозок также характерны тенденции к росту. Более
того, с каждым днем юридические лица все больше осознают выгодность такого
финансового инструмента, как лизинг авиационных судов.
|
Россия:
|
|
Авиакомпания
|
Кол-во ВС
|
|
Аэрофлот
|
5
|
Boeing
777-200ER и Boeing 767
|
|
Уральские
авиалинии
|
1
|
Airbus
A320-200
|
|
S7
|
29
|
Airbus
A320
|
|
Трансаэро
|
24
|
A310,
Boeing 767, Boeing 747, Boeing 777, 747-400, 777-200, Boeing 737-800,
МС-21-300
|
|
Владивосток
Авиа
|
7
|
Airbaus
A320
|
|
Зарубежные
авиакомпании:
|
|
Авиакомпания
|
Кол-во ВС
|
Тип ВС
|
|
TAM
Airlines
|
16
|
Fokker 100
|
|
British Airways
|
8
|
Airbus A320
<#"827330.files/image002.gif">
Технически исправные самолеты часто простаивают на аэродромах
из-за плохих метеорологических условий, организационных неполадок, в ожидании
грузов и по другим причинам. Степень использования исправного самолета будет
характеризоваться коэффициентом использования (Кисц) самолетного парка,
выражающим отношение времени, в течение которого самолеты исправны, за вычетом
простоя по указанным выше причинам к общему фонду рабочего времени за отчетный
период в часах. Коэффициент (Кисп) практически всегда меньше (Киспр).
Таким образом, эффективность использования самолетного парка
зависит в основном от трех факторов:
. времени простоя при техническом обслуживании и
ремонте;
2. времени простоя на аэродромах в исправном состоянии;
. времени простоя при выполнении рейса или на старте
при проведении учебно-тренировочных полетов.
Следовательно, годовой налет на списочный самолет при прочих
благоприятных условиях может существенно увеличиться, если будут снижаться
указанные виды простоев самолетов.
Какие же существуют, возможности для получения высоких
показателей работы личного состава авиационного парка?
Прежде всего, для получения большого налета и эффективного
использования авиационной техники главное внимание должно уделяться подготовке
личного состава и самолетов к полетам и процессу планирования полетов,
выражающегося в тщательной разработке плановой таблицы полетов, а также в
организации проведения полетов.
При планировании посменных полетов необходимо обеспечить
обслуживание одним механиком двух самолетов, что можно достигнуть тогда, когда
один из них будет находиться в воздухе, а другой в это время стоять на старте и
готовиться к полету.
После того как составлена плановая таблица подготовки и
обслуживания полетов ее должны тщательно изучить все специалисты, с тем чтобы
они уяснили свои задачи, насыщенность полетов, а также знали, какие силы и
средства потребуются для обслуживания полетов.
Необходимо добиваться, чтобы вылеты проводились строго по
плановой таблице полетов, ни в коем случае нельзя допускать срывов, опозданий,
преждевременных вылетов и переналетов.
Также, сокращение затрат времени непосредственно в рейсе
является основным резервом повышения коммерческой скорости. Она определяется
как частное от деления расстояния по маршруту рейса на его общую
продолжительность, включая время на остановки в промежуточных аэропортах.
Следовательно, чем меньше время полета и остановок, тем больше коммерческая
скорость, тем эффективнее используется воздушный корабль.
По данным американских и английских авиакомпаний, для
обеспечения экономической эксплуатации тяжелых реактивных самолетов эти
самолеты должны иметь среднесуточный налет не менее 10-11 час. Данные цифры
близки к достигнутым. Так, например, самолеты Боин-767 имели налет более 9 час
в сутки (предполагается довести до 12 час). В то же время простои при
обслуживании и ремонте, отнесенные к 1 час налета, составляли: в 1980 г. - 0,6
час, а в 1991 г. - 0,4 час, т.е. непрерывно уменьшаются.
4.4 Оценка
экономической эффективности лизинга ВС
Формирование конкурентной среды среди перевозчиков пассажиров
обусловливает необходимость разработки методических основ оценки эффективности
использования различных видов транспорта в дальнем и местном сообщении.
Достоверная оценка сфер наиболее оптимального (с точки зрения
эффективности) использования различных видов пассажирского транспорта по видам
сообщения является одной из важнейших проблем долгосрочного планирования
развития транспорта.
Совершенствование систем управления в экономике стран,
отдельных ее отраслей, усиление координации и взаимодействия различных отраслей
и пассажирского транспорта с точки зрения народно-хозяйственного
(регионального) подхода, преодоление ведомственных интересов - все это в полной
мере относится к вопросам развития транспортных систем регионального значения,
определения места и роли отдельных видов транспорта по видам сообщения.
При разработке прогнозов объемов пассажирских перевозок на
воздушном транспорте необходимо иметь в виду, что наличие наземных видов транспорта
при взаимодействии их с воздушным транспортом на параллельных направлениях
будет оказывать серьезное воздействие на объем перевозок пассажиров по
конкретному маршруту, нежели на совокупный объем авиационных перевозок в целом
по стране. Не смотря на актуальность и особую важность проблемы оптимального
распределения пассажирских перевозок между различными видами транспорта, по
решению ее нет единого мнения среди ученых - транспортников. Имеющиеся
предложения решения этой проблемы делятся на два основных направления.
Первое направление можно назвать "субъективным".
Исследователи этого направления утверждают, что пассажир - это, прежде всего,
субъект, выбирающий вид транспорта на основе своих субъективных решений.
Поэтому для распределения объема перевозок пассажиров они предлагают найти
критерий, пользуясь которым пассажир самостоятельно выбирает для поездки тот
или иной вид транспорта. В качестве такого критерия предлагается использовать
стоимость часа времени по субъективной оценке самого пассажира.
Другие представители этого направления считают необходимым и
возможным создать модель поведения пассажира при выборе вида транспорта и,
пользуясь ею, определять, какой вид транспорта он выберет для своей поездки.
Другое направление - "объективное". Его представители
считают, что проблему распределения перевозок по видам транспорта нужно решать
аналогично грузовым перевозкам, т.е. по минимуму затрат на перемещения. В этом
случае пассажир рассматривается лишь как объект перевозки и для каждого
направления перевозок выбирается наиболее экономичный вид транспорта, которым и
должен воспользоваться пассажир.
Представляется, что оба рассматриваемых направления, взятые в
отдельности, не верны.
Используя экономические критерии народнохозяйственной
эффективности, необходимо определить, какой объем пассажирских перевозок должен
осваиваться различными видами транспорта, с тем, чтобы обеспечивался минимум
общественно необходимых затрат на перемещение всего количества пассажиров по
маршруту, т.е. решить задачу распределения пассажиров между воздушным и
автобусным транспортом с позиции: пассажир - объект перевозки.
Параллельно необходимо исследовать психологию пассажира на
различную величину тарифов, а также скорость перевозки и время отправления, а
также предоставляемые удобства.
В настоящее время во многих субъектах Российской Федерации
развиваются наземные виды транспорта, расширяется и улучшается качество
дорожной сети. В связи с этим увеличиваются количество направлений, где
параллельно выполняются воздушные и автомобильные перевозки населения, что с
экономической точки зрения не всегда оправдано.
Устранение ненужного дублирования позволит высвободить
самолетно-вертолетный парк, материальные, финансовые и трудовые ресурсы для
обеспечения воздушным сообщением отдельных и труднодоступных районов России,
улучшить транспортное обслуживание населения авиацией там, где практически
полностью отсутствуют наземные виды транспорта.
Важнейшими требованиями к разрабатываемой методики явились:
. обеспечение полной номенклатуры составляющих
издержек при сопоставлении различных видов транспорта;
2. обеспечение единства методологии расчета составляющих
стоимостных и натуральных показателей для сравниваемых видов транспорта;
. возможно более полный учет затрат трудовых и
материальных ресурсов.
Расчет показателей экономической эффективности и
использования воздушного транспорта можно проводить следующим образом.
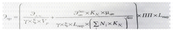
Прямые эксплуатационные расходы на авиалинии будут
определяться по выражению вида:
где Эл. ч. - себестоимость летного часа (без учета
аэропортовых расходов), руб. /самолото-ч; Э баз/ап аэропортовые
расходы по транспортной авиации с учетом заработной платы персонала (без учета
ЛПС и ИАС бзового аэропорта, тыс. руб.; КN1 -
коэффициент приведения i-ого типа
воздушного судна к расчетному; µап - коэффициент, учитывающий
удельный вес пассажирского тоннажа в общем тоннаже отправок аэропорта; Lтар - тарифное расстояние, км; ( N) баз - годовое количество приведенных самолето - вылетов по базовому
аэропорту; Vp - рейсовая скорость, км/ч; Рейсовую скорость можно определить
по формуле:
Где Lал - протяженность авиалинии, км; Или
Где Vкр - крейсерская скорость самолета, км/ч; ∆t - потери времени в часах, включающие в себя время руления,
взлета, посадки и пробега, а также маневрирование в районе аэропортов; ƴ -
коэффициент использования пассажирских кресел, %; ξ - пассажировместимость самолета; ПП -
годовой пассажиропоток на данном маршруте в прямом и обратном направлении,
пасс. /год.
В свою очередь, полные эксплуатационные расходы ЭР на конкретной
авиалинии определим по следующему выражению:
ЭР= Эпр + Эпроч + Эаг,
Где Эпр - сумма прямых эксплуатационных расходов; Эпроч
- сумма прочих производственных и общехозяйственных расходов; Эаг -
отчисление агентству.
Заключение
Лизинг и лизинговые операции в нашей стране получают все
большее развитие, прежде всего потому, что лизинг представляет собой особую
форму поддержки малого бизнеса.
Государство оказывает огромную поддержку новым авиакомпаниям.
Новые авиакомпании, благодаря этому, берут в лизинг самолеты по определенно
низкой стоимости аренды, т.к. основную часть данных операций выплачивает
авиакомпания.
До недавнего времени в нашей стране лизинг в сравнительно
небольших объемах применялся лишь в международной торговле, но сейчас по
результатам статистики принимает более крупные масштабы. Это связано с тем, что
потребители испытывают необходимость в привлечении машин и оборудования и
другой технике на условиях аренды.
Согласно прогнозам динамики российского рынка авиаперевозок,
в течение 20-летнего периода до 2032 г. предполагается его рост со среднегодовым
темпом 4,5%, что выше чем экономика в целом - 3,4%. Предполагается рост парка
самолетов до уровня в 1500 самолетов, что потребует поставки 1100-1200 новых
самолетов (имеются в виду реактивные региональные и магистральные всех
размерных классов: узкофюзеляжные, широкофюзеляжные и сверхбольшие), при этом
около 70% новых поставок будут приходит на замену существующего парка (текущая
численность около 1100 самолетов). Таким образом, рынок можно отнести к
категории зрелых, платежеспособность спроса на новые самолеты находится на
приемлемом уровне.
Список
литературы
1. Адамов
Н.А., Тилов А.А. Лизинг: правовые и экономические основы, особенности
бухгалтерского учета и налогообложения. - СПб: "Питер", 2007 г.
. В.В.
Царев "Оценка экономической эффективности инвестиций", Издательский
дом "Питер", 2004
. А.В.
Губенко, М.Ю. Смуров, Д.С. Черкашин "Экономика воздушного
транспорта", серия "Учебник для вузов", Спб.: Питер, 2009
5. <http://www.rmbl.ru/leasing/aircraft/>
. <http://www.raexpert.ru/researches/leasing/leaseurope_6m2013/>
. http://mobilekorea.ru/avia/air412.
htm <http://mobilekorea.ru/avia/air412.htm>
. <http://www.boeing.ru/%D0%9F%D1%80%D0%BE%D0%B4%D1%83%D0%BA%D1%82%D1%8B-%D0%B8-%D1%83%D1%81%D0%BB%D1%83%D0%B3%D0%B8/%D0%93%D1%80%D0%B0%D0%B6%D0%B4%D0%B0%D0%BD%D1%81%D0%BA%D0%B8%D0%B5-%D1%81%D0%B0%D0%BC%D0%BE%D0%BB%D0%B5%D1%82%D1%8B/767>
. См. пункт 7
. <http://assocleasing.ru/avtori/69>
. <http://www.zest-leasing.ru/>
. http://www.m-economy.ru/art.
php? nArtId=3375 <http://www.m-economy.ru/art.php?nArtId=3375>
. http://works.
tarefer.ru/99/101561/index.html#_ftn6
Похожие работы на - Экономическая оценка лизинга воздушных судов при эксплуатации на авиалиниях
|