Рыночный спрос и полезность

  • Вид работы:
    Курсовая работа (т)
  • Предмет:
    Эктеория
  • Язык:
    Русский
    ,
    Формат файла:
    MS Word
    70,92 Кб
  • Опубликовано:
    2014-09-28
Вы можете узнать стоимость помощи в написании студенческой работы.
Помощь в написании работы, которую точно примут!

Рыночный спрос и полезность

ВВЕДЕНИЕ

В современной экономической теории большое значение занимает понятие предельной полезности и индивидуального спроса, зависимость индивидуального спроса от предельной полезности

В своих рассуждениях экономисты исходят из предположения, что потребители ведут себя на рынке рационально. В самом общем смысле вести себя рационально значит стремиться достичь максимального результата при ограниченных возможностях. Каждый потребитель имеет своего рода индивидуальную шкалу предпочтений и, реализуя ее при ограниченном доходе, стремится достичь максимально возможной степени удовлетворения.

Если заменить слово «удовлетворение» более подходящим для данной ситуации термином «полезность», то рациональное поведение потребителя состоит в том, чтобы максимизировать полезность при ограниченном доходе.

Категория «полезность» играет в экономической теории очень важную роль, прежде всего применительно к воздействию предельной полезности на индивидуальный и рыночный спрос

Понять правила, которыми руководствуется потребитель на рынке, помогает концепция предельной полезности. Главной идеей данной теории является положение о том, что ценность (стоимость) товара или услуги определяется их полезностью для потребителя. При этом под полезностью понимается удовлетворение, которое приносит благо потребителю. Иными словами, полезность - это способность блага или услуги удовлетворять потребности индивида в результате потребления определенного количества данного блага

Полезность блага зависит от потребностей и вкусов индивида и интенсивности удовлетворения потребности. Предельная полезность есть дополнительная способность блага удовлетворять потребность при потреблении каждого последующего блага. Существует закономерность, что каждое дополнительное потребление блага, увеличивая объем потребления, приносит все меньшую полезность. Это уменьшение предельной полезности блага с ростом величины его потребления выражает суть закона убывающей, предельной полезности. В связи с этим общая полезность предельного количества благ как сумма полезности каждого из них увеличивается до тех пор, пока предельная полезность имеет положительное значение.

Полезность связана со спросом, так как потребители станут приобретать дополнительные единицы продукта лишь при условии снижения цены. При ограниченности дохода покупатель стремится приобрести такой набор товаров и услуг, который принесет ему наибольшую полезность. Существует правило максимизации полезности: максимальная общая полезность при данном доходе достигается при условии, если последняя денежная единица, затраченная на приобретение каждого вида товара, приносит одинаковую предельную полезность.

Различают два подхода к измерению (выражению) полезности - количественный (кардиналистский), опирающийся на идею предельной полезности, и сравнительный (ординалистский), основанный на сравнении потребителем товарных наборов с точки зрения их предпочтительности. Основными инструментами последней теории являются кривые безразличия и бюджетные ограничения

Когда у потребителя отсутствуют стимулы к изменению набора потребляемых благ, говорят, что он находится в состоянии равновесия. В этой ситуации потребителем достигается максимальная полезность потребляемых благ.

1. СПРОС И ПОЛЕЗНОСТЬ

.1 Понятие индивидуального и рыночного спроса и полезности

Индивидуальный спрос - это спрос, предъявляемый конкурентным потребителям. Кривая индивидуального спроса показывает то количество продукта (товара), которое потребители хотят купить по соответствующей цене в данный момент.

Геометрическая форма кривой (отрицательный наклон) отражает обратную зависимость объема спроса (Q) и цены (P), а также снижающейся предельной полезности каждой дополнительной единицы покупаемого товара, что объясняет падение его цены (рисунок 1.1).

Рисунок 1.1. Кривая спроса.

Движение по кривой спроса (D) показывает, как изменение цены (P) влияет на изменение объема спроса (Q). При этом положение кривой спроса D остается прежним, т.е. спрос на товар не изменился.

На индивидуальный спрос влияют: цена товара, уровень дохода потребителя, количество человек в семье потребителя, его социальный уровень, система ценностей, уровень задолженности.

Механизм функционирования рынка обязывает анализировать ситуации, в которых действует множество потребителей и производителей.

Понятие спроса на определенный товар отражает поведение массового потребителя. Объем рыночного спроса на данный товар слагается из спроса множества субъектов, выступающих в качестве покупателей в определенный промежуток времени.

На рыночный спрос оказывают влияние: цена товара, доходы покупателей, число покупателей, предпочтения покупателей.

Кривая рыночного спроса показывает объем спроса всех потребителей при любой цене и представляет собой сумму кривых спроса всех рыночных субъектов (рисунок 1.2).

Рисунок 1.2. Индивидуальный (а) и рыночный спрос (б)

Она может быть построена из кривых индивидуального спроса (по горизонтали) на данный продукт путем сложения его количеств (Qd1+ Qd2+ Qd3), на которые каждый покупатель предъявляет спрос при каждой возможной цене на единицу продукта. Как и кривая индивидуального спроса, кроме рыночного спроса будет иметь отрицательный наклон.

Важно разграничивать индивидуальный и рыночный спрос (предложение). Очевидно, что индивидуальные покупатели (потребители) принимая решения о покупках, определяют тем самым объем индивидуального спроса на любой товар (услугу)

Полезность последней единицы каждого блага или дополнительной единицы блага называется предельной (маржинальной) полезностью. Т.е. предельная полезность определенного блага представляет собой удовлетворение (величину дополнительной полезности), получаемое потребителем каждой новой дополнительной единицы блага при постоянстве всех других факторов потребления.

Таким образом, предельная полезность определенного блага есть добавочная, дополнительной полезность, от потребления каждой новой единицы блага

Данная зависимость находит отражение в сформулированном экономистами принципе (законе) убывания предельной полезности, суть которого состоит в том, что чем больше количество потребляемых благ, тем меньше предельная полезность, извлекаемая из потребления каждой последующей единицы этого блага

Относительные цены отражают предельную полезность. Поэтому покупатель ведет себя рационально, согласно теории потребительского выбора, если стремится извлечь максимальную пользу из имеющихся в его распоряжении денег, т.е. он всегда предпочитает приобрести такой набор товаров, который обеспечивает получение наибольшего удовлетворения.

Расходуя каждую денежную единицу и стремясь при этом увеличить общую полезность, потребитель рано или поздно достигает положения, при котором предельная полезность на денежную единицу, потраченную на разные товары, уравнивается

Это будет означать достижение состояния потребительского равновесия.

Потребительское равновесие есть ситуация. при которой потребитель не может больше увеличить общую полезность, расходуя свой бюджет на дополнительную единицу любого товара.

1.2 Теория потребительского выбора

Как уже было показано, цена равновесия на конкурентном рынке определяется точкой пересечении кривых спроса и предложения.

Очевидно, что покупатель приобретает товар ради его потребительной ценности, потому что этот товар обладает полезностью и необходимым ему для удовлетворения его потребностей. Это общее и совершенно бесспорное положение не дает нам почти ничего для понимания поведения покупателя на рынке. Если мы не рассмотрим некоторые закономерности самого процесса потребления.

Во-первых, большая часть потребностей человека рано или поздно насыщается, постепенно удовлетворяется по мере того, как используется благо.

Во- вторых, переход от неполного удовлетворения потребности к ее полному удовлетворению происходит не внезапно, а через более или менее многочисленные ступени.

Но если напряженность потребности убивает по мере того, как потребность удовлетворяется, то и полезность блага для потребителя тоже должна убывать по мере роста количества этого блага. Так, если для голодного человека первая небольшая порция еды будет иметь наибольшую полезность, то по мере утоления голода каждая последующая порция еды будет иметь все меньшую полезность.

Для более точного описания процесса убывания полезности в экономической науке используется уже известное нам понятие предельная полезность, то есть добавочной полезности, прибавляемой каждой последней порцией товара. Можно так же сформулировать закон убывающей предельной полезности: по мере увеличения количества потребляемого товара его предельная полезность имеет тенденцию к сокращению. Этот закон обычно называют первым законом Госсена.

Рисунок 1.3. График предельной полезности.

На рисунке 1.3 в виде прямоугольников отложена предельная полезность MU которая по мере увеличения количества товаров убывает.

Таким образом, можно сделать вывод, что величина предельной полезности зависят от количество данного товара и степени потребности в нем.

Вместе с тем, у человека существует множество потребностей, которые характеризуются различной степенью интенсивности. Хотя оценка интенсивности потребности субъективно, но можно и объективно отделить первичные, неотложные потребности от менее насущных потребностей. Во всяком случае , ясно , что каждый человек располагать свои потребности, а , следовательно. И свой спрос на рынке в соответствии с определенной шкалой. на которой первые места занимают самые неотложные потребности , за ними располагаются остальные.

При удовлетворении потребностей человек начинает с самой неотложной потребности. А затем постепенно переходит к менее неотложным, действуя таким образом, что, в конце концов, предельные полезности употребляемых благ станут, в конце концов , предельные полезности употребляемых благ станут одинаковы. Таким образом, можно сформулировать второй закон Госсена: при максимизации общей полезности предельная полезность всех потребляемых благ должна быть одной и той же величины.

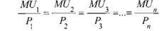
Но человек приобретает блага на рынке, тратит разные суммы денег, поскольку у каждого товара своя рыночная цена. Если мы разделим предельную полезность блага на его цену, то получим взвешенную предельную полезность. Учитывая это каждый потребитель расширяет отдельные виды потребления до тех пор, пока не оказываются одинаковыми взвешенные предельные полезности. Проще говоря, последний деньги затраченные , например, на мясо , должен представлять ту же полезность, что и последние деньги , затраченные на хлеб или апельсины.

Это условие равновесия потребителя может быть выражено следующим образом:

 (1.1)

Где MU- предельная полезность товаров, а Р - их цена.

Предельная полезность разделяем на два направления: кардиналистов и ординалистов. Кардиналисты были заняты поиском измерителя абсолютных величин предельной полезности. Однако эти поиски не увенчались успехом и чаще всего при сравнении использовались денежные оценки полезности. Ординалисты же в принципе отказались от поиска такой универсальной единицы и предложили иной подход. Так, В. Парето высказал идею о том вместо абсолютных измерений предельной полезности плодотворнее было бы перейти к анализу относительному, а именно: определить предпочтение одних комбинаций товаров покупателей другим комбинациям , или наборам товаров. Инструментам такого анализа явились так называемые кривые безразличия, которые широко используются неоклассической школой при исследовании многих микроэкономических процессов, связанных с проблемой выбора: выбор оптимального набора потребительских благ, выбор оптимального сочетания факторов производства, выбор оптимальной комбинации между досугом и рабочим временем и т.д.

Итак обратимся к проблеме оптимизации потребления с точкой зрения ординалистского подхода.

Равновесие потребителя может быть показано графически с помощью вышеназванных кривых безразличия. Возьмем потребителя, располагающего фиксированных денежным доходом, который он целиком тратит на потребление. Для простоты предположим, что он покупает только два вида товаров: А и В.

Очевидно, что имеются некоторые комбинации количества этих товаров, которые дают равную общую полезность для потребителя. Отказ от одного из товаров компенсируется получением другого товара в большем количестве. К этим комбинациям А и В товаров потребитель, следовательно, в равной мере безразличен.

Если эти комбинации покажем графически, то получим плавную кривую безразличия U2. Эта кривая проведена на рисунке 1.4

Рисунок 1.4.

Анализ кривой предельной полезности позволят осмыслить и такую важнейшую ктергорию, как излишек потребителя. Смысл этой категории заключается в следующем: потребитель платит за каждую единицу товара одинаковую цену. Равную предельной плезности последней, наимениее ценной для негомеденицы. А это значит, что на каждой едине товара, предшедствует этой последней, потрибитель получает некоторую выгоду. Поясним идею излишка потребителя графически (Рисунок 1.5)

Рисунок 1.5. Излишек потребителя.

Если бы потребитель приобритал только единицу товара, то он согласен был бы уплатить 800 тенге. За вторую потребитель заплатил бы 600 тенге. Рыночная цена каждой из двух едениц при этом составила бы одну и ту же величину- 600 тенге. (ведь цена устанавливается на уровне предельной - в данном случае второй - еденицы) Что же получается ? Идивидуальная оценка полезности 1- ой единицы- 800 тенге , 2-ой- 600 тенге, их сумма - 1400 тенге. Но по единой цене покупаются обемеденицы, так что потребитель заплатит (600+600)= 1200 тенге; 3-ю еденицу покупатель оценивает в 400 тенге, и эта предельная полезность будет определять рыночную цену всех трех едениц. Следовательно, рыночная цена , уплаченная потребителем при покупке трех товаров, составит (400+400+400)= 1200 тенге. А ведь если суммировать идивидуальные оценки.

Предельной полезности каждой из трех едениц, то получилось бы: (800+600+400)= 1800 тенге. Итак, излишек потребителя - это разница между той суммой денге, которую потребитель был бы согласен уплатить, и той суммой, которую он реально уплатил. А. Маршал обясняет следующим образом: излишек потребителя - это избыток цены, которую потребитель готов был бы заплатить, сверх той цены , которую он действительно платит. На графике излишек потребителя - это заштрихованная область, ограниченная чверху кривой спроса, а снизу - линейные цены. Чем ниже цена. Тем больше величина излишка потребителя. При покупке двух едениц товара излишек потребителя состовит: 1400-1200=200 тенге; при покупке трех едениц 1800- 1200= 600 тенге.

Таким образом, были рассмотрены более подробно те факторы которые лежат в основе спроса. Существенная причина изменения объема спроса как обратной функции цены заключается в происходящем убывании предельной полезности товара. Только тогда, когда цена товара снижается , потребитель будет готов купить последующие количества этого товара, приносящие ему меньшее удовлетворение.

Теория предельной полезности и теория потребительского выбора позволяют лучше понять. Как ведет себя на рынке экономический субьект, а также произвести более точный анализ спроса и влияние его количественных изменений на рыночной равновесие . Эти теории подчеркивают воздействие на экономическую систему импульсов, вытекающих из изменений вкусов и предпочтений вкусов и предпочтений потребителей.

II. ТЕОРИЯ ПРЕДЕЛЬНОЙ ПОЛЕЗНОСТИ. КОЛИЧЕСТВЕННЫЙ ПОДХОД АНАЛИЗУ ПОЛЕЗНОСТИ И СПРОСА

.1 Теория предельной полезности

Согласно трудовой теории стоимость, только на рынке труда. Только на рынке стоимость получает свою форму выражения в виде меновой стоимости. Проще говоря, стоимость создается в производстве, а проявляется на рынке. И вот здесь-то возникают возражения со стороны теоретиков предельной полезности. В чем их суть? Если товар покупается на рынке, то это происходит не потому, что кто- то расценил затраты труда на производстве как общественно необходимые, а потому, что данный товар для покупателя обладает определенным полезным эффектом; покупатель ценит этот товар.

Расхождение теории предельной полезности с трудовой стоимости связано с потребительных ценностей, или полезностей. Ведь в каждом конкретном случае при выработке хозяйственных решений бизнесменом или в процессе индивидуального потребление постоянно происходит сопоставления полезного эффекта различных благ. Вообще без сопоставления потребностей, без оценки полезного эффекта тех или иных материальных и духовных благ каждый раз, когда требуется принятие хозяйственного решения, никакая экономическая деятельность была бы невозможно.

При этом сама проблема поиска изменения полезности вызвала оживленную полемику в среде сторонников теории предельной полезности. В каких единицах измерить полезных эффект. В зависимости от ответа на вопрос ученые разделились на два «лагеря »- ординалистов и кардиналистов, однако суть этой проблемы можно уяснить лишь после самой категории предельной полезности, кривой спроса и других важных категорий экономической науки. Впервые теории предельной полезности благ как меры ценности благ и основания цен появились в 1870-х гг. практически одновременно в Австрии (К. Менгер), Англии (У. Джевонс) и Швейцарии (Л. Вальрас). Термин предельная полезность (Grenznutz) был впервые употреблен австрийцем Визером. Затем он был принят проф. Уикстидом. Он соответствует термину "конечная полезность", использованному Джевонсом. Основатели теории предельной полезности считали существование меры полезности само собой разумеющимся фактом. Менгер и Вальрас никогда всерьез не ставили вопроса об измеримости полезности. Джевонс вначале отрицал возможность измерения полезности, а затем предложил способ ее измерения на основе приблизительного постоянства предельной полезности денег - метода, который впоследствии принял и усовершенствовал Маршалл. Джевонс отрицал также возможность межличностных сопоставлений полезностей, отмечая, что теория цены не требует подобных сопоставлений, но затем стал делать суждения относительно благосостояния, предполагающие и количественное измерение полезности, и межличностные сопоставления. С другой стороны, Менгер и Вальрас не видели трудностей в межличностном сопоставлении полезностей. Они уделяли очень мало внимания точной форме функции полезности и считали закон убывающей предельной полезности общепризнанным фактом. Вальрас в своей книге рисовал линейную функцию предельной полезности. Менгеровские таблицы также предполагали линейные функции. Большинство кривых Джевонса были выпуклы к низу.

Теория предельной полезности базируется на том, что хотя потребности людей вообще говоря, безграничны - потребность в определенном товаре может быть удовлетворена. Чем большее количество товаров приобретают потребители, тем меньше их стремление к приобретению дополнительных единиц этого же товара: например, потребность человека в автомобиле, если он его не имеет, может быть очень сильной; желание иметь вторую машину гораздо менее интенсивно; а что касается третьей или четвертой машины, то потребность в них очень слаба. Даже очень богатые семьи редко имеют больше четырех-пяти машин, несмотря на то что их доходы позволяют купить и содержать целый автомобильный парк.

2.2 Количественный (кардиналистский) подход анализу полезности и спроса

Количественный подход к анализу полезности основан на представлении о возможности измерения различных благ в гипотетических единицах полезности в ютилах (от англ. utility -полезность).

В частности, предполагается: потребитель может сказать, что ежедневное потребление им 1 яблока приносит ему удовлетворение, скажем, в 20 ютилов, ежедневное потребление 2 яблок - 38 ютилов, ежедневное потребление 2 яблок и 1 сигареты - 50 ютилов, ежедневное потребление 2 яблок, 1 сигареты и 1 апельсина - 63 ютила и т.д.

Следует подчеркнуть, что количественные оценки полезности того или иного товар или товарного набора имеют исключительно индивидуальный, субъективный характер. Количественный подход не предполагает возможности объективного измерения полезности того или иного товара в ютилах. Один и тот же продукт может представлять большую ценность для одного потребителя и никакой ценности для другого. В приведенном выше примере речь идет, видимо, о заядлом курильщике, поскольку добавление к 2 яблокам 1 сигареты существенно увеличило полезность товарного набора. Количественный подход обычно не предусматривает также возможности соизмерения объемов удовлетворения, получаемых различными потребителями.

Экономисты неоднократно пытались избавиться от термина "полезность", имеющего некоторый оценочный характер, найти ему подходящую замену. Так, известный русский экономист Н. X. Бунге предлагал использовать термин "годность" (Nutze - нем.). "Потребность в наркотических веществах, писал он, несомненна, но можно ли сказать, что опиум и гашиш полезны для курильщиков, они только годны как вещество для опьянения".

Итало-швейцарский экономист и социолог В. Парето предлагал заменить термин "полезность" неологизмом ophelimite, образованным им от греческого iojelimoz, означавшим соответствие между вещью и желанием. Французский экономист Ш. Жид предлагал использовать термин "желаемость" (desirabilite - фр.), считая, что он "не предполагает у желания нравственных или безнравственных черт, разумных или безрассудных".

В поддержку термина "желаемость" высказывался и известный американский экономист и статистик И. Фишер. "Полезность, считал он, является наследием Бентама и его теории удовольствия и страдания". Фишер указывал и на предпочтительность антонима "нежелательность" по сравнению с "бесполезностью". (Совсем неудачен употребляемый в нашей современной литературе антоним "антиполезность").

Тем не менее, термин "полезность" пережил своих критиков и используется поныне.

Итак, в количественной теории полезности предполагается, что потребитель может дать количественную оценку в ютилах полезности любого потребляемого им товарного набора. Формально это можно записать в виде функции общей полезности:

= F(QA, QB, ..., QZ), (2.1)

где TU - общая полезность данного товарного набора; QA, QB, QZ объемы потребления товаров А, В, ..., Z в единицу времени.

Большое значение имеют предположения о характере функции общей полезности.

Зафиксируем объемы потребления товаров B,C,...,Z. Рассмотрим, как изменяется общая полезность товарного набора в зависимости от объема потребления товара А (например, яблок). В верхней части рис. 2.1,a изображена эта зависимость. Длина отрезка ОК равна полезности товарного набора при фиксированных нами объемах товаров В, С,..., Z и при нулевом объеме потребления товара А. В количественной теории предполагается, что функция TU в верхней части рис. 2.1,а возрастающая (чем больше яблок, тем большую полезность имеет товарный набор) и выпуклая вверх (каждое последующее яблоко увеличивает общую полезность товарного набора на меньшую величину, чем предыдущее). В принципе эта функция может иметь точку максимума (S), после которой она становится убывающей (представьте, что Вас ежемесячно заставляют потреблять по 100 кг яблок).

Рисунок 2.1 Общая предельная полезность.

В нижней части рис. 2.1а изображена зависимость предельной полезности яблок от объема их потребления.

Предельная полезность - это прирост общей полезности товарного набора при увеличении объема потребления данного товара на одну единицу.

Математически предельная полезность товара есть частная производная общей полезности товарного набора (2.1) по объему потребления г-того товара:

 (2.2)

Геометрически значение предельной полезности (длина отрезка ON) равно тангенсу угла наклона касательной к кривой TU в точке L. Поскольку линия TU выпукла вверх, с увеличением объема потребления г-того товара угол наклона этой касательной уменьшается и, следовательно, понижается и предельная полезность товара. Если при некотором объеме его потребления (на нашем рисунке Q'A) функция общей полезности достигает максимума, то одновременно предельная полезность товара становится нулевой.

Принцип убывающей предельной полезности часто называют первым законом Госсена, по имени немецкого экономиста Г. Госсена (1810-1859), впервые сформулировавшего его в 1854 г. Этот закон содержит два положения. Первое констатирует убывание полезности последующих единиц блага в одном непрерывном акте потребления, так что в пределе достигается полное насыщение этим благом. Второе констатирует убывание полезности первых единиц блага при повторных актах потребления.

Принцип убывающей предельной полезности по существу аналогичен так называемому основному психофизическому закону Вебера-Фехнера,5 характеризующему связь между силой раздражителя (стимула) и интенсивностью ощущения. Согласно этому закону, раздражения равной интенсивности, повторяющиеся в течение определенного времени, сопровождаются снижением интенсивности ощущений.

Принцип убывающей предельной полезности заключается в том, что с ростом потребления какого-то одного блага (при неизменном объеме потребления всех остальных) общая полезность, получаемая потребителем, возрастает, но возрастает все более медленно. Математически это означает, что первая производная функции общей полезности по количеству данного блага положительна, а вторая - отрицательна:

полезность экономический спрос потребительский

  (2.2)

Однако принцип убывающей предельной полезности отнюдь не универсален. Во многих случаях предельная полезность последующих единиц блага сначала увеличивается, достигает максимума и лишь затем начинает снижаться. Такая зависимость характерна для небольших порций делимых благ. Вторая затяжка выкуриваемой утром сигареты, возможно, имеет для любителя большую полезность, чем первая, а третья большую, чем вторая.

Принцип убывающей предельной полезности, или первый закон Госсена, справедлив лишь в том случае, если вторая частная производная функции общей полезности отрицательна. Однако поскольку потребитель покупает на рынке не отдельные акты потребления (в нашем примере -затяжки), а определенные блага (в нашем примере - сигареты), мы можем считать, что для обращающихся на рынке товаров первый закон Госсена (2.2) выполняется.

  (2.2)

Предположим теперь, что потребитель располагает некоторым доходом; цены на товары A, B, ..., Z не зависят от его поведения и равны соответственно PA, PB, ┘,PZ товарного дефицита нет; все товары являются бесконечно делимыми (как, например, колбаса, сливочное масло и т.д.).

При этих предположениях потребитель достигнет максимума удовлетворения, если он распределит свои средства на покупку различных товаров таким образом, что:

1)      для всех реально покупаемых им товаров А, В, С, имеет место

 (2.3)

где MUA, MUB, MUC - предельные полезности товаров А, В, С; l - некоторая величина, характеризующая предельную полезность денег;

2)      для всех не покупаемых им товаров Y, Z,... имеет место

 (2.4)

Докажем первую часть утверждения.

Предположим обратное: товары А и В реально покупаются потребителем, но MUA/PA > MUB/PB. Для определенности предположим, что МUA = 40 ютилов в расчете на килограмм, PA = 200 тенге за килограмм, МUB = 20 ютилов в расчете на килограмм, PB = 400 тенге за килограмм. В результате

(МUA/PA = 40 ютилов/200 тенге) > (20 ютилов/400 тенге = МUB/PB)

Очевидно, что покупатель при этом не достигает максимума удовлетворения. Он может сократить потребление товара В на 1 кг, при этом он потеряет 20 ютилов. Но за счет сэкономленных 400 тенге он может купить дополнительно 2 кг товара А и получить дополнительно примерно 80 ютилов. (Слово "примерно" здесь использовано потому, что 2-й дополнительный килограмм товара А может принести меньшую полезность, чем 1-й, скажем, только 39 ютилов, а не 40). Чистый выигрыш составит примерно 80 - 20 = 60 ютилов. С уменьшением потребления товара В его предельная полезность уменьшается. Поэтому разница между МUA/PA и МUB/PB будет сокращаться. Перераспределение расходов будет происходить до тех пор, пока отношение предельной полезности к цене для каждого реально покупаемого товара не станет одинаковым.

Равенство (2.3) можно интерпретировать следующим образом. Отношение МUA/PA представляет собой прирост общей полезности в результате увеличения расходов потребителя на товар A на 100 тенге. Очевидно, что в состоянии оптимума потребителя все подобные отношения для реально покупаемых товаров должны быть равны друг другу. И любое из них может рассматриваться как предельная полезность денег (точнее, 100 тенге).

Величина А показывает, на сколько ютилов увеличивается общая полезность при увеличении дохода потребителя на 100 тенге.

Вторую часть утверждения можно доказать совершенно аналогичным образом, от противного. Смысл формулы (2.4) заключается в том, что если уже 100 , тенге расходованный на покупку товара Z, приносит потребителю недостаточно высокую полезность, то он вообще отказывается от потребления этого товара.

Таким образом, равенство (2.3) показывает, что в оптимуме (максимум полезности при данных вкусах потребителя, ценах и доходах) полезность, извлекаемая из последней денежной единицы, потраченной на покупку какого-либо товара, одинакова, независимо от того, на какой именно товар она израсходована. Это положение получило название второго закона Госсена. Конечно, потребитель может раскаяться в покупке, даже удовлетворяющей равенству (2.3). Это будет означать, что "за время от покупки до раскаяния в ней" знак в (2.3) для данного товара изменился на противоположный.

Попытаемся показать теперь на основе количественного подхода, что объем спроса и цена связаны обратной зависимостью. Снова рассмотрим равенство (2.3).

Допустим, что цена на покупаемый потребителем товар А повысилась. В результате первое отношение в равенстве (2.3) уменьшилось. Чтобы восстановить равенство (2.3) и максимизировать общую полезность, потребитель начнет сокращать потребление товара А. Аналогичным образом будут поступать и другие потребители. Таким образом, с повышением цены товара объем спроса на него сокращается.

ЗАКЛЮЧНИЕ

Категория «полезность» играет в экономической теории очень важную роль, прежде всего применительно к воздействию предельной полезности на индивидуальный и рыночный спрос.

Спрос - это денежная форма выражения потребности, т.е. это количество товаров и услуг, которое покупатели желают и могут (готовы) купить по некоторой цене в течение определенного периода времени. Величина спроса зависит от разных факторов: цен на товары, доходов и вкусов покупателей, числа покупателей и т.д.

Индивидуальный спрос - это спрос, предъявляемый конкурентным потребителям.

Полезность - это способность экономического блага удовлетворять одну или несколько человеческих потребностей.

Предельная полезность - это полезность <http://ru.wikipedia.org/wiki/%D0%9F%D0%BE%D0%BB%D0%B5%D0%B7%D0%BD%D0%BE%D1%81%D1%82%D1%8C>, которую человек получает от использования ещё одной дополнительной единицы блага <http://ru.wikipedia.org/wiki/%D0%91%D0%BB%D0%B0%D0%B3%D0%BE_%28%D1%8D%D0%BA%D0%BE%D0%BD%D0%BE%D0%BC%D0%B8%D0%BA%D0%B0%29>.

Другими словами, предельная полезность - это увеличение общей полезности при потреблении <http://ru.wikipedia.org/wiki/%D0%9F%D0%BE%D1%82%D1%80%D0%B5%D0%B1%D0%BB%D0%B5%D0%BD%D0%B8%D0%B5> одной дополнительной единицы блага.

Полезность связана со спросом, так как потребители станут приобретать дополнительные единицы продукта лишь при условии снижения цены. При ограниченности дохода покупатель стремится приобрести такой набор товаров и услуг, который принесет ему наибольшую полезность. Существует правило максимизации полезности: максимальная общая полезность при данном доходе достигается при условии, если последняя денежная единица, затраченная на приобретение каждого вида товара, приносит одинаковую предельную полезность.

Предельную полезность разделяем на две функции: кардиналистская и ординалистская. Кординалистская функция это- оценка разности в уровнях благосостояния соответствующих каждому из классов безразличия. Ординалистская функция полезности это- определенная последовательность, порядок в котором располагаются классы безразличия или группы равноценных для данного потребителя наборов благ.

Закон убывающей предельной полезности утверждает, что в непрерывном акте потребления предельная полезность блага начинает уменьшаться. Отсюда следует необходимость понижения цены для того, чтобы побудить потребителя к увеличению покупок такого продукта. Однако, закон убывающей предельной полезности не всегда действует при малых количествах товара. Например, если человек принимает одну таблетку - он излечивается не полностью. Если две - то он излечивается полностью, и предельная полезность возрастает по сравнению с одной таблеткой. Однако дальнейшее потребление антибиотиков только вредит организму, и предельная полезность становится отрицательной.

Готовность покупать дополнительные единицы производимых благ только по более низкой цене лучше всего объясняет: принцип убывающей предельной полезности и она заключается в том, что с ростом потребления какого-то одного блага (при неизменном объеме потребления всех остальных) общая полезность, получаемая потребителем, возрастает, но возрастает все более медленно.

Расхождение теории предельной полезности с трудовой стоимости связано с потребительных ценностей, или полезностей. Ведь в каждом конкретном случае при выработке хозяйственных решений бизнесменом или в процессе индивидуального потребление постоянно происходит сопоставления полезного эффекта различных благ. Вообще без сопоставления потребностей, без оценки полезного эффекта тех или иных материальных и духовных благ каждый раз, когда требуется принятие хозяйственного решения, никакая экономическая деятельность была бы невозможно.

Похожие работы на - Рыночный спрос и полезность

 

Не нашли материал для своей работы?
Поможем написать уникальную работу
Без плагиата!
Без нейросетей!