Рыночный механизм формирования цен

  • Вид работы:
    Курсовая работа (т)
  • Предмет:
    Эктеория
  • Язык:
    Русский
    ,
    Формат файла:
    MS Word
    56,76 Кб
  • Опубликовано:
    2015-05-10
Вы можете узнать стоимость помощи в написании студенческой работы.
Помощь в написании работы, которую точно примут!

Рыночный механизм формирования цен

МИНИСТЕРСТВО ОБРАЗОВАНИЯ И НАУКИ РФ

ФЕДЕРАЛЬНОЕ ГОСУДАРСТВЕННОЕ БЮДЖЕТНОЕ ОБРАЗОВАТЕЛЬНОЕ УЧРЕЖДЕНИЕ ВЫСШЕГО ПРОФЕССИОНАЛЬНОГО ОБРАЗОВАНИЯ

МОСКОВСКИЙ АВТОМОБИЛЬНО-ДОРОЖНЫЙ ГОСУДАРСТВЕННЫЙ ТЕХНИЧЕСКИЙ УНИВЕРСИТЕТ

МАХАЧКАЛИНСКИЙ ФИЛИАЛ

Кафедра экономики и управления





КУРСОВАЯ РАБОТА

НА ТЕМУ: «Рыночный механизм формирования цен»

Работу выполнил Магомедов М.И.

Руководитель Рамазанова А. О.






МАХАЧКАЛА - 2013

Содержание

Введение

I. Рыночный механизм формирования цен

.         Теория спроса и предложения товаров на рынке

.         Различия в краткосрочном и долгосрочном равновесии А. Маршалла

.         Теория предельной полезности

.         Эффект замещения

.         Линия бюджетного ограничения

.         Кривая безразличия Дж. Хикса

.         Эффект Пигу «Эффект реальных кассовых остатков»

II. Исходные данные и задания

III. Ответы на задания

Выводы к каждому заданию

Заключение

Использованная литература

Введение

Перед всеми коммерческими и некоторыми некоммерческими товаропроизводителями встает задача назначения цены на свои услуги и товары. В рыночной цене заложено проявление интересов покупателей (удовлетворение платежеспособной потребности), продавцов (возмещение затрат и получение прибыли) и торговцев посредников (возмещение затрат на реализацию товара и получение торговой прибыли).

Как складываются цены? Исторически сложилось, что цены устанавливали, в процессе переговоров друг с другом, покупатели и продавцы. Продавцы обычно запрашивали цену выше той, которую хотели получить, а покупатели - ниже той, которую рассчитывали заплатить. Поторговавшись, они в конце концов сходились на взаимоприемлемой цене.

Цена является сложной экономической категорией, так как в ней пересекаются многие основные проблемы развития общества и экономики в целом. Различают две основные теории цены. По мнению сторонников первой из них, цена показывает стоимость товаров. Сторонники второй считают, что цена товара олицетворяет сумму денег, которую готов заплатить покупатель за товар определённой полезности. В условиях рынка ценообразование является довольно сложным процессом, подвержено влиянию многих факторов и, конечно же, базируется не только на рекомендациях маркетинга. Поэтому каждому субъекту экономической деятельности необходимо иметь понятие о теоретических основах и сущности цены как экономической категории, и иметь представление о её формировании.

На практике встречаются обстоятельства, когда стоимость одного товара больше стоимости второго, но его рыночная цена меньше. Цена второго товара более высокая, потому что спрос на него больше предложения, следовательно, его цена превышает стоимость. Есть и иные причины, не связанные со стоимостью, но воздействующие на цену товара. Таким образом, цена является денежным выражением стоимости товара только тогда, когда между предложением и спросом существует равновесие. В остальных случаях колебания цен вызываются не стоимостью, а другими причинами. Поэтому цена - это денежная сумма, которую получают за определенный товар.

Образование цены является одной из важнейших задач маркетинговых подразделений предприятия. Ценообразование или формирование цены - это процесс установления цены на товар с учётом воздействующих на цену факторов. Этот процесс происходит в соответствии с установленными на предприятии подходами к ценообразованию, в конечном итоге, ложится в основу ценовой стратегии фирмы.

Таким образом, целью данной курсовой работы является рассмотреть механизмы формирования цены. Из этой цели вытекают следующие задачи курсовой работы: описать различия в состоянии краткосрочного и долгосрочного равновесия Маршалла. Раскрыть сущность кривой безразличия Дж. Хикса и линии бюджетного ограничения, «эффекта реальных кассовых остатков» А. Пигу, теории спроса и предложения товаров на рынке, теории предельной полезности, эффекта замещения.

спрос товар рынок равновесие

I. Рыночный механизм формирования цен

.         Теория спроса и предложения товаров на рынке

С понятием рынка нераздельно связаны категории спрос, предложение, цена - т. е. инструменты с помощью которых устанавливается рыночное равновесие.

Спрос - это совокупность товаров, которые есть на рынке, или могут быть представлены на рынок по определенным ценам, которые готовы продать производители.

Предложение - это совокупность товаров, которые есть на рынке, или могут быть представлены на рынок по определенным ценам, которые готовы продать производители.

Определенное соотношение спроса и предложения с ценой товара образует механизм, с помощью которого реализуется действие закона спроса и предложения.

Связь спроса и предложения с ценой товара образует механизм, с помощью которого реализуется действие закона спроса и предложения.

Перемещение вдоль кривой D (Рис. 1) отражает приспособление потребителя к изменению рыночной цены.

Обратная зависимость между ценой и объемом спроса называется законом спроса.

Рис. 1 Кривая спроса

На спрос влияют и неценовые факторы (детерминанты):

·        вкусы и предпочтения потребителей;

·        количество потребителей на рынке;

·        денежные доходы потребителей;

·        потребительские ожидания относительно будущих цен и доходов;

·        цены на дополняемые товары и товары-заменители.

Под влиянием этих факторов кривая спроса будет перемещаться вправо (спрос возрастает) или влево (спрос убывает).

На предложение влияют также неценовые факторы (детерминанты):

·        цены на ресурсы, которые использует товаропроизводитель;

·        налоги и дотации;

·        количество продавцов на рынке;

·        цены на другие товары, производством которого может заняться продавец; ожидание изменения цен.

Под влиянием этих факторов кривая предложения будет перемещаться вправо (предложение возрастает) или влево (предложение уменьшается).

Спрос и предложение являются двумя противоположными силами, вызывающими движение цен вверх или вниз. Полное или частичное соответствие между объемом и структурой предложения есть равновесие. Рыночное равновесие является свидетельством эффективного развития рыночной экономики. Степень изменения спроса или предложения с изменением цены характеризует эластичность спроса или предложения по цене.

Анализ эластичности используется при выборе ценовой стратегии предприятия.

Показатель эластичности различен для разных товаров и зависит от доходов потребителей и наличия заменителей.

Спрос и предложение являются двумя противоположными силами, вызывающими движение цен вверх или вниз.

Равновесие - полное или частичное соответствие между объемом и структурой спроса, и объемом и структурой предложения. Рыночное равновесие является свидетельством эффективного развития рыночной экономики.E - цена равновесия отвечает общественной стоимости товара.

Равновесие общее и частичное (на отдельных рынках).

Для анализа рыночной конъюнктуры пользуются графиком спроса и предложения (Рис.2).

Рис. 2 График спроса и предложения

2. Различия в краткосрочном и долгосрочном равновесии А. Маршалла

А. Маршалл подходит к определению цены равновесия, которая представляет собой точку пересечения кривых спроса и предложения. В его анализе снимается вопрос о том, что является конечным основанием цен - полезность или издержки.

Если вводить в анализ цены равновесия фактор времени и анализировать ситуацию мгновенного, краткосрочного и долгосрочного равновесия, то воздействие спроса и предложения не будет одинаковым. А. Маршалл проанализировав эти ситуации пришел к выводу, что в условиях мгновенного равновесия на цену влияние оказывает спрос, в условиях долгосрочного равновесия - издержки, то есть чем короче период, тем больше стоит учитывать в анализе влияние спроса, а чем период продолжительнее, тем большее влияние на цену оказывают издержки.

Когда цена спроса равна цене предложения, объем производства не обнаруживает тенденции ни к увеличению, ни к сокращению: налицо равновесие. Когда спрос и предложение пребывают в равновесии, количество товара, производимого в единицу времени, можно назвать равновесным количеством, а цену, его продажи, равновесной ценой.


рис. 3 График равновесной цены

3. Теория предельной полезности

Целью потребителя является удовлетворение своих потребностей. Главным фактором потребительского выбора является полезность того или иного товара. Полезность - это степень удовлетворения потребностей индивидов, которое они получают при потреблении товаров или услуг.

Материальные блага важны не сами по себе, а потому, что люди с их помощью удовлетворяют свои потребности, например утоление голода, защита от непогоды, домашний комфорт.

Полезность не поддается количественному измерению. Однако экономисты пришли к выводу, что полезность обладает свойством порядковой измеримости, с помощью которого можно выяснить, уменьшается или увеличивается степень удовлетворения потребителя, при увеличении количества потребляемых благ, хотя саму эту степень удовлетворения точно определить нельзя. Различают две формы полезности: совокупную и предельную.

Предельная полезность - добавочная полезность, прибавляемая каждой последней потребленной единице блага.

Функция полезности - это функция, показывающая убывание полезности блага с ростом его количества:

U = f(Qi) (1)

где U - полезность блага;

Qi - последовательные количества блага.

Таким образом, предельная полезность обратно пропорциональна объему потребления. Эту зависимость отражает закон убывающей предельной полезности: по мере увеличения количества потребляемого блага его предельная полезность сокращается.

Из этого объяснения можно сделать вывод, что ценность товара определяется субъективными представлениями о предельной полезности последней единицы товара имеющейся (в распоряжении) у потребителя. Поскольку предельная полезность блага по мере потребления снижается, потребитель увеличивает объем лишь при снижении его цены.

Предельная полезность товаров при их изобилии равна нулю. Однако более типичной ситуацией является ограниченность определенных товаров и услуг. Тогда возникает проблема предпочтения тех или иных потребностей, которые могут быть удовлетворены с помощью ограниченного запаса блага.

4. Эффект замещения

К появлению эффекта замещения приводит любое изменение цены, так как оно меняет объем доступных благ и их относительные цены.

Эффект замещения является реакцией потребителя на изменение относительных цен и реального дохода.

Эффект замещения - это эффект в микроэкономике, когда в наборе из двух потребляемых экономическим субъектом товаров, один из товаров становится дешевле, и это сопровождается ростом спроса на этот товар. Иными словами, потребители склонны замещать более дорогой товар более дешевым. Например, кофе и чай являются товарами-заменителями. Когда цена на кофе поднимается, то для потребителей чай становится более дешевле, и они будут заменять им относительно более дорогой кофе. Это приведет к повышению спроса на чай.

Эффект замещения действует во взаимодействии с эффектом дохода.

Суть эффекта дохода заключается в том, что при снижении цены на какое-либо благо человек может купить этого блага больше, не отказывая себе в приобретении других благ. Эффект дохода отражает воздействие на величину спроса изменения реального дохода покупателя. Падение цены одного товара оказывает, пусть незначительное, влияние на общий уровень цен и делает потребителя относительно богаче, его реальные доходы, пусть незначительно, но растут. Свой дополнительный доход, получаемый в результате снижения цены данного блага, он может направить как на приобретение его дополнительных единиц, так и на увеличение потребления других благ.

Для нормальных товаров эффект дохода и эффект замещения суммируются, так как снижение цены данных товаров приводит к росту спроса на них.

Для нормальных товаров действие эффектов дохода и замещения объясняет увеличение спроса при понижении цены и сокращение спроса при их повышении. Иными словами, закон спроса выполняется.

Для нормальных товаров действие эффектов дохода и замещения объясняет увеличение спроса при понижении цены и сокращение спроса при их повышении. Иными словами, закон спроса выполняется.

Для товаров низшей категории действие эффектов дохода и замещения определяется их разницей.

5. Линия бюджетного ограничения

Бюджетные ограничения - ограниченность денежных доходов, пределах которых могут быть осуществлены расходы на потребление. Бюджетное ограничение представляет собой все сочетания товаров, которые могут быть куплены потребителем при данном выделенном доходе и данных ценах.

Бюджетное ограничение обычно записывают как P1X1 + P2X2 < I, что обозначает: сумма расходов на все товары не превосходит соответствующего дохода. С присоединением условий неотрицательности X1 и X2 получаем доступную область выбора потребителя, или бюджетное пространство (рис. 4)

Рис. 4 Линия бюджетного ограничения

Линия бюджетного ограничения - это в самом простом случае прямая (2):

P1X1 + P2X2 = I (2),

точки которой показывают наборы благ, при которых выделенный доход расходуется полностью.

При положительной предельной полезности благ покупатель всегда предпочитает набор, представляемый одной из точек этой линии, иначе оставалась бы неизрасходованная доля выделенных денег. Бюджетная линия (М) (Рис. 4.) пересекает оси в точках Х1 = I/P1 и X2 = I/P2, представляющих предельно возможные количества блага X1 и X2 при данных ценах. Наклон линии бюджетного ограничения равен отношению цен надлежащих товаров P1/P2. Это взятая с обратным знаком производная функции бюджетного ограничения. Данная величина изображает количество товара Х2, от которого покупатель должен отказаться для покупки дополнительной единицы товара Х1.

Линия бюджетного ограничения может быть и более сложной - составной, ломанной, вогнутой и т. д. Это зависит от тех обстоятельств, которые обусловливают возможности покупателя приобретать данную продукцию.

6. Кривая безразличия Дж. Хикса

В качестве основного средства анализа Хикс использует так называемые кривые безразличия.

Кривая безразличия - это графическое изображение совокупности наборов благ, имеющие для потребителя одинаковый уровень полезности.

Свойства кривых безразличия:

·        кривая безразличия, расположенная выше другой кривой, характеризует более высокий уровень полезности;

·        кривые безразличия для обычных благ всегда имеют отрицательный наклон;

·        как правило, имеют вогнутую форму, обусловленную уменьшающимися предельными нормами замещения;

·        никогда не пересекаются;

·        наборы благ на кривых, более удаленных от начала координат, более предпочтительны, чем наборы благ, расположенные на менее удаленных от координат кривых.

С помощью аппарата кривых безразличия Хиксу удалось наглядно и четко разграничить эффект замещения и эффект дохода. Раздельный теоретический анализ эффекта замещения и эффекта дохода позволяет отграничить влияние, оказываемое на индивидуальный спрос колебаниями относительных цен от влияния, связанного с изменением реального дохода.

Алгебраические выражения, характеризующие изменение цен и эффект замещения, имеют противоположные знаки: повышение цен всегда связано с сокращением, а снижение цен - с расширением спроса.

Эффект дохода зависит от характера распределения доходов и от сложившегося общественного стереотипа потребления. Если, например, приобретаемый товар относится к числу дешевых и низкокачественных, то значительное повышение реального дохода может привести к сокращению спроса на этот товар (отрицательный эффект дохода); если же, напротив, потребление этого товара ранее ограничивалось лишь вследствие недостаточности доходов, то с ростом количества денег у потребителя покупки данного товара могут расширяться (положительный эффект дохода). Поскольку же расходы на товар, выделенный на "карте безразличия", составляют, по предположению Хикса, лишь небольшую часть общей суммы затрат, то и эффект дохода, в пределах данных рассуждений, должен быть сравнительно невелик.

В обычных условиях эффект замещения и эффект дохода действуют в одном и том же направлении. Но в отдельных случаях может складываться ситуация, когда, во-первых, отрицательный эффект дохода выражен достаточно резко и, во-вторых, на данный товар затрачивается значительная часть всего дохода. Тогда отрицательный эффект дохода может "одержать верх" над эффектом замещения и вызвать парадоксальную на первый взгляд ситуацию, когда, скажем. снижение цены на товар влечет за собой сокращение спроса на этот товар.

7. Эффект А. Пигу. «Эффект реальных кассовых остатков»

Эффект Пигу - эффект роста ВВП и занятости, вызванный ростом потребления вследствие роста реального благосостояния, в частности при дефляции.

Эффект реальных кассовых остатков - один из случаев эффекта богатства. В период инфляции по мере роста цен реальная покупательная способность денег, находящихся на руках у населения, снижается. Предполагается, что это побуждает людей не расходовать, а скорее накапливать свои денежные доходы. При постоянном уровне номинальной суммы денег в обращении может, в конце концов, остановить инфляцию. Считается, что при снижении инвестиционной активности хозяйствующих субъектов происходит снижение цен. Соответственно, увеличивается ценность денег. При этом Пигу утверждал, что рост реальных кассовых остатков (происходящий при росте денежной массы или при снижении цен) приводит к росту потребления и снижению сбережения, поскольку рост реальных кассовых остатков делает потребителей богаче, и они становятся менее заинтересованы в дальнейшем сбережении. Это вызывает рост расходов и стимулирует экономическую активность.

ІІ. Исходные данные и задания

Р1сб

Q1сб

Р2сб

Р1сг

Q1cr

P2cг

А

В

С

Q3cr

12

3

6

6

6

3

12

18

18

4,5


Задание 1. Построить на двух чертежах графики функций спроса на бензин и газ (для каждого графика лучше выделить целый лист миллиметровой бумаги, так как чертеж в дальнейшем будет сдвигаться и, кроме того, при его построении нужна достаточная точность). Отметьте точки равновесия каждого из товаров Е1г - для газа, Е16 - для бензина

Задание 2. Ситуация на рынке изменилась. Вследствие роста зарплаты доходы потребителей возросли, и это привело к повышению спроса на оба товара Если цена останется прежней, то будет дефицит бензина и газа Но производителям выгодно повысить цену, и новые точки равновесия, соответствующие возросшему спросу, установятся при более высоких ценах. Цена бензина поднялась до Р2пб ед. за тонну, а цена газа - до Р2пг ед. за тонну.

Необходимо определить какой будет объем спроса при возросших ценах, т.е. насколько сдвинутся графики спроса вдоль кривой предложения. Для этого необходимо использовать аппарат кривых безразличия Дж. Хикса.

В данном случае кривая безразличия задается функцией:

Qб = C/Qг, где:

Qб- потребность в бензине; Qг - потребность в газе; С - цифровая величина Составьте на отдельном чертеже кривую безразличия, отложив по оси абсцисс Qг, по оси ординат - Qб. Данная кривая отражает потребности покупателей. Но есть ограничение по бюджету: объем покупок зависит от дохода людей. В данной задаче потребители выделяют из своих доходов до 100 ден. ед. на приобретение бензина и газа в совокупности.

Постройте линию ограничения по доходу. Найдите точку пересечения линии ограничения по доходу и кривой безразличия. Эта точка отражает те объемы покупок, которые соответствуют и потребностям и возможностям. Другими словами это уровень платежеспособного спроса на бензин и газ при установившихся новых ценах на них.

Таким образом, вы находите новые точки равновесия спроса и предложения бензина и газа при изменившемся доходе потребителей. Отложите эти точки -Е2Г и Е2б на чертежах, показывающих зависимость цен от количества соответственно газа и бензина.

Задание 3. Определите функции предложения. Они пока неизменны, и смещение графиков спроса происходит вдоль кривой предложения. Следовательно, один и тот же график предложения проходит через обе точки равновесия - Е1г и Е2г для газа, Е16 и Е2б для бензина. Функции предложения линейны, поэтому их можно определить как прямые, проходящие через две точки равновесия. Постройте графики предложения:

Р1пв1п6) для бензина, и Р1пг ( Q1пr) -для газа.

Напишите уравнения функций предложения.

Задание 4. Ситуация на рынке вновь изменилась, хотя период краткосрочный, и рынок еще не успел отреагировать на установление более высоких цен изменением функций предложения. Итак, при тех же функциях предложения вследствие воздействия неценовых факторов, повысился спрос на газ. Только на газ, но не на бензин. Причем доходы, в отличие от предыдущей ситуации, остались прежними. Итак, люди увеличили покупки газа до Q3cr тонн Цена на газ должна вновь возрасти. Но до какой величины, где точка равновесия Е3Г? Найдите ее. Какова цена на газ Р3СГ?

Теперь определите функцию спроса на газ Р3СГ (Q3cr)? В задаче график этой функции параллелен графику первоначального спроса P1сг (Q1cr) и лишь смещен относительно него в направлении и на расстояние, задаваемые вектором Е1ГЕ3Г. Зная изменения, Q и Р, можно выразить Q1cг и P1сг через Q3cr и Р3СГ, подставить эти значения в первоначальную форму спроса

Р1сг=В /Q1cr

и алгебраически рассчитать формулу новой функции спроса на газ. Постройте график этой функции.

Задание 5. Потребители сократили потребление бензина, вызванное ростом спроса и цены на газ при неизменном доходе, что характерно для рынка взаимозаменяемых товаров. В результате сокращения спроса на бензин происходит снижение его цены, то есть кривая спроса сдвинута влево и вниз вдоль графика функции предложения. Необходимо определить новую точку равновесия Е3б. Она зависит от цены и покупок газа, так как расходы на совокупность товаров не должны превышать 100 ед. Конъюнктура рынка газа уже определена (См. задание 4). Можно рассчитать, сколько выделяют потребители при данных условиях на покупку бензина. Функция предложения остается неизменной и точка оптимума Е3б будет находится на прежней прямой предложения бензина, так как рассматривается кратковременный период. Найдите точку, при которой расходы на бензин (Q х Р) будут равны выделенной для этого сумме денег покупателей -Е3б

Задание 6. Новая функция спроса на бензин проходит через найденную точку Е3б. Определите формулу данной функции и постройте график последней Р3сб (Q3cб). Это действие аналогично заданию 4 для газа.

Задание 7. Рассмотрим теперь долгосрочный период, которому соответствует установление повышенной цены на газ. Рост цены - это рыночный сигнал повышения прибыльности вложений. В производство газа перемешаются ресурсы из других отраслей, инвестиции увеличиваются, чего не было в краткосрочном периоде. Количество товара на рынке окажется выше при тех же ценах. В данной ситуации мы наблюдаем сдвиг самой функции предложения вправо, хотя до сих пор имели дело с перемещением различных точек спроса вдоль неизменной прямой предложения.

Необходимо определить функцию предложения, вызванную повышением цены на газ. В задаче предложение газа увеличивается на 2,22 тонны для каждой ценны, по сравнению с прежним объемом предложения при данной цене. То есть график функции P4пг (Q4пг) параллелен первоначальному Р1пг (Q1пг). Рассчитайте формулу новой функции, учитывая, что Q1пг=Q4пгл-2,22. Постройте график. Он пересечет кривую спроса Р3 в точке равновесия Е4г, которая соответствует большему объему производства и меньшей цене. Это означает, что при увеличении предложения рыночный механизм приводит к снижению цены. Данное явление связанно, во-первых, с сокращением издержек вследствие конкуренции производителей, во-вторых, с уменьшением спроса в связи с насыщением рынка. И, наконец, стимулирующим фактором является «эффект реальных кассовых остатков» А. Пигу. Потребитель при отсутствии инфляции знает, что рост цены приведет к увеличению предложения и дальнейшему падению цен. Поэтому при высоких ценах он ограничивает потребление в ожидании более благоприятной конъюнктуры. Но это, среди прочих факторов усиливает сокращение спроса и дополнительно стимулирует снижение цены. В этом задании движение от Е3г к Е4г является иллюстрацией данных процессов.

Задание 8. На рынке бензина в связи с изменениями конъюнктуры рынка газа также происходят изменения. Цена Е3б, которая ниже Е2б, установилась на достаточно длительный период. Уменьшение цены приведет к оттоку капиталов из данного производства, предложение бензина при прежних ценах уменьшится на 2,5 тонны.

Постройте новый график предложения и напишите уравнение этой функции P4пб (Q4пб). До какого уровня поднимется цена при снижении предложения и какой сложится равновесный объем продаж и покупок? Определите эту точку E4б.

В результате установятся окончательные точки оптимума - E4б и E4к, после ряда изменений конъюнктуры рынка бензина и газа.

III. Ответы на задания

Построим график спроса на бензин заданной функцией:

Р1сб = А/Q1сб,

где А =18

Qсб

2

3

4

5

6

Рсб

9

6

4,5

3,6

3


Отметим точки равновесия.

Точка равновесия Е1б (6;3)

Построим график спроса на газ заданной функцией:

Р1сг = В/Q1сг ,

где В = 18

Qcг

2

3

4

5

6

Рсг

9

6

4,5

3,6

3


Отметим точки равновесия.

Точка равновесия Е1г(3;6)

Вследствие роста зарплаты ситуация на рынке на рынке, цена на бензин поднялась до Р2пб ед. за тонну, а цена газа - до Р2сг.

Определим на сколько сдвинутся графики спроса вдоль кривой предложения. Для этого используем аппарат кривых безразличия Дж.Хикса заданную функцией:

Qб = С/ Qг,

где С = 18.

Qг

2

3

4

5

6

Qб

6

4,5

3,6

3


Построим линию бюджетного ограничения:

Qб=100/Р2пб ,

где Р2пб = 6

Qб =100/6 = 16,7

Qг=100/Р2пг,

где Р2пг =12

Qг=100/12=8,3

Так как точки пересечения бюджетной линии и кривой безразличия дают координаты выходящие за пределы исходных параметров то построим новую кривую безразличия при значении С=35

Qб = 35/ Qг

Qг

3,5

4,25

5

7

10

Qб

10

8,25

7

5

3,5


Точка пересечения линии ограничения и кривой безразличия:

D (4,25;8,25)

Точки равновесия при изменившимся доходе потребителей:

Е2б(8,25;6); Е2г(4,25;12).

Смещение графиков происходит вдоль кривой предложения, следовательно, один и тот же график предложения проходит через точки равновесия - Е1г и Е2г для газа, Е1б и Е2б для бензина.

Построим графики предложения:

Р1пб (Q1пб) для бензина, и Р1пг(Q1пг) для газа.

Функции предложения линейны, поэтому их можно определить как графики линейных функций.

Составим уравнения функций предложения по линейной функции

P = kQ + b :

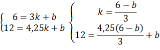
а) Р1пб (Q1пб) для бензина

Е1б(6;3)

Е2б(8,25;6)

P1пб = kQ1пб+b

Составим систему уравнений:

8,25(3-b)+6b-36=0

,75-8,25b+6b-36=0

,25b=11,25=-5=1пб = 4,8Q1пб-5

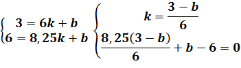
а) Р1пг(Q1пг) для газа

Е1г(3;6)

Е2г(4,25;12).

P1пг = kQ1пг+b

Составим систему уравнений:

P1пг = 4,8Q1пг-8,4

После увеличения покупки газа до Q3сг тонн, цена газа должна возрасти возросла. Найдем точку равновесия Е3г, и цену на газ Р3сг:

Q3cг = 4,5

Р3пг = 4,8Q3пг - 8,4

Р3пг = 4,8 * 4,5 - 8,4

Е3г = (4,5;13) Определим функцию спроса на газ Р3сг (Q3cг).

Зная изменения, выразим Q1сг и Р1сг через Q3сг и Р3сг .

Р1сг = Р3сг - 7

Q1сг = Q3сг - 1,5

Подставим эти значения в первоначальную формулу:

Р1сг = В/Q1сг => 3сг

Q3сг

3,5

4,5

7,5

10,5

Р3сг

13

10

9

Построим график этой функции.

В результате сокращения спроса на бензин произошло снижение цены.

Определим новую точку равновесия Е3б, которая зависит от цены и покупок газа, т.к. расходы на совокупность товаров не должны превышать 100 ден. ед.

R = 100 ден. ед.

Rг = 4,5 * 13,2 = 59,4

Rб = 100 - 59,4= 40,6

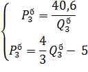
Р3б * Q3б = 40,6

Составим систему уравнений:

 = 52 - 4**(-40,6)=241

 = =7,7

Q3б = 7,7

Р3б =  = 5,3

Точка равновесия Е3б (7,7;5,3)

Определим новую функцию спроса на бензин Р3сб (Q3cб).

Зная изменения Q и P, выразим Q1сб и Р1сб через Q3сб и Р3сб .

Р1сб = Р3сб - 2,3

Q1сб = Q3сб - 1,7

Подставим эти значения в первоначальную формулу:

Р1сб = А/Q1сб => Р3сб =

Q3сб

3,7

4,7

7,7

11,7

Р3сб

11,3

8,3

5,3

4,3

 

По найденным значениям построим график этой функции.

Определим функцию предложения, вызванную повышением цены на газ. Предложение газа увеличилось на 2,22 тонны для каждой цены.

График функции Р4пг (Q4пг) параллелен первоначальному Р1пг (Q1пг).

Рассчитаем формулу новой функции, учитывая, что Q1пг = Q4пг - 2,22

Q1пг = Q4пг - 2,22

P1пг = 4,8Q1пг - 8,4

P4пг = 4,8 (Q4пг - 2,22) - 8,4

P4пг = 4,8Q4пг - 19

Q4г

5

6

P4г

5

9,8


Построим график этой функции.

Точка равновесия Е4г(6,2;10,8)

На рынке бензина произошли изменения.

Учитывая то, что предложение бензина уменьшилось на 2,5 тонны, рассчитаем формулу новой функции:

Q1пб = Q4пб + 2,5

Р1пб = Q1пб -5

Р4пб =(Q4пб + 2,5) - 5

Р4пб =Q4пб + -

Р4пб =  Q4пб -

Q4б

2

4

Р4б

1

3,7

Построим график этой функции.

Точка равновесия Е4б (6;6,5)

Выводы к заданию

Мы рассмотрели два товара - бензин и газ, их объемы продаж и первоначальные цены. В задании были указаны уравнения спроса и изменения спроса в сторону роста на оба товара, вследствие повышения доходов потребителей.

Заключение

В данной работе определены основные понятия цены, рассмотрены её виды, функции, выделены этапы ценообразования его методы, цели, и описаны основные механизмы ценообразования

Цена - экономическое понятие, существование и важность которого никому не надо объяснять и доказывать. С детских лет, как только человеку приходится наблюдать или самому участвовать в покупке, он на бытовом уровне воспринимает, что такое цена и какую роль она играет в его жизни и жизни других людей. Высокая цена означает, что вещь дорогая и ее покупка требует больших денежных затрат, низкая цена означает дешевизну и меньшую нагрузку на карман покупателя. Однако цена, а точнее, цены, вся их совокупность представляют собой не только индивидуальную, социальную категорию. Они регулируют как отдельные покупки и продажи товаров потребителям, так и экономические процессы в целом, включая производство, распределение товаров, обмен или потребление благ, оказание услуг. Здесь уже все цены, вместе взятые, с учетом их формирования и изменения действуют как общий, единый, целостный ценовой механизм. Эта функция цен и их взаимодействие с экономикой в масштабах не только личности и семьи, но и предприятия, отрасли, территории, страны гораздо меньше известны обывателю. Под единым понятием "цена" понимается множество разновидностей цен: оптовые, розничные, регулируемые, договорные, свободные рыночные, государственные, контрактные, прогнозные, проектные, лимитные, мировые и ряд других.

Будучи широко употребительными в экономике любого типа (централизованной, рыночной, смешанной), цены формируются и действуют в разных экономиках по-разному. В соответствии с коммунистической, чисто распределительной доктриной экономика вообще может обойтись без денег, а следовательно, и без цен, тогда как рыночная экономика без цен становится бессмысленной. Цены, несомненно, представляют собой тонкий, гибкий инструмент и в то же время довольно мощный рычаг управления экономикой, хотя их реальные возможности воздействия на экономику вообще и на уровень жизни в частности намного меньше надежд, возлагаемых людьми на цены, на ценовой механизм. В директивно управляемой экономике цены используются как внешний регулятор, инструмент воздействия со стороны правительства, тогда как в рыночной они образуют часть системы саморегулирования. В ценовом механизме следует различать и выделять две взаимодействующие части. Это, с одной стороны, сами цены, их виды, структура, величина, динамика изменения, а с другой - ценообразование как способ, правила установления, формирования новых цен и изменения действующих. Ценообразование, с которым люди знакомы гораздо меньше, чем с ценами, выступает активно, задающей частью всего ценового механизма. Оно, собственно, и предопределяет величину цены. Но чаще всего ценообразование от нас скрыто, а цены мы видим наяву. Цены и ценообразование составляют в своем единстве ценовой механизм.

Целесообразно разделять два подхода к формированию цен: рыночный и производственный (затратный). При первом подходе определяющим фактором ценообразования является конъюнктура рынка, спрос и предложение товара. При втором - в основу установления цены товара кладутся производственные затраты, прежде всего трудовые, связанные с созданием, выпуском товара. В рамках рыночного подхода приемлемо следующее определение.

Цена - это форма выражения ценности благ, проявляющаяся в процессе их обмена. В такой формулировке выделяются два основных акцента. Во-первых, подчеркивается непосредственная связь цены товара с ценностью, полезностью, которой он обладает как объект потребления. Во-вторых, согласно такой трактовке цена товара проявляется как экономическая сущность только в условиях его обмена на деньги или другой товар. Так что вне рынка, без купли-продажи, о цене говорить не приходится, цену способен установить только рынок.

Иные позиции в отношении сути цены свойственны производственному подходу, опирающемуся на связь цен с факторами производства в целом и с главным фактором - трудом. Для такого подхода типична следующая формулировка: цена есть денежное выражение стоимости товара. В таком определении центр тяжести перенесен на понятие "стоимость". Согласно трудовой теории стоимости, берущей начало в трудах А. Смита и Д. Рикардо и развитой затем К. Марксом, стоимость определяется затратами труда на производство товара, то есть имеет трудовую природу. Чтобы обойти многочисленные трудности количественного измерения стоимости в ее трудовом восприятии, К. Маркс вынужден был ввести понятие "абстрактный" и "конкретный" труд, "общественно необходимые затраты труда", но при этом стоимость продолжала оставаться теоретической категорией.

Практическая связь между стоимостью и ценой была проложена посредством применения затратного принципа, в рамках которого величина цены определяется посредством изменения суммарных затрат всех факторов на производство единицы товара в денежном выражении, именуемых издержками производства, то есть цена равна средним издержкам. Прибавление к издержкам определенной величины прибыли приводит к установлению искомой цены. Стоимостный подход к цене в его трудовой трактовке обладает естественной ограниченностью вследствие применимости только к продуктам труда. На основании этого подхода не представляется возможным устанавливать цены предметов, вещей, не являющихся результатами человеческого труда, скажем, земли, природных богатств. В рамках производственного подхода считается, что они не обладают трудовой, меновой стоимостью и, следовательно, ценой. В этом отношении рыночный подход более универсален и конструктивен.

Литература

1)      Носова С. С. Экономическая теория: учеб. Для студентов вузов по спец. «Проф. Обучение» (экономика и упр.) и др. пед. спец.- М. Кнорус, 2009.

)        Камаева В. Д. Экономическая теория: курс лекций для студентов вузов.- М. 2006.

)        Борисов Е. Ф. Экономическая теория Курс лекций для студентов вузов. - М. 2009

)        Микроэкономика. Теория и российская практика. /Под ред. A. Г. Грязновой, А. Ю. Юданова-М.: ИТД «КноРус», 2010.

)        Столяров В. И. Экономика: учеб. Для студентов вузов по спец. «Проф. Обучение» (экономика и упр.) и др. пед. спец. - М. : Академия, 2010.

Похожие работы на - Рыночный механизм формирования цен

 

Не нашли материал для своей работы?
Поможем написать уникальную работу
Без плагиата!
Без нейросетей!