Экономико-статистический анализ себестоимости зерна в ЗАО 'Степное' Павлоградского р-на Омской области
ФЕДЕРАЛЬНОЕ
ГОСУДАРСТВЕННОЕ БЮДЖЕТНОЕ ОБРАЗОВАТЕЛЬНОЕ УЧРЕЖДЕНИЕ ВЫСШЕГО ПРОФЕССИОНАЛЬНОГО
ОБРАЗОВАНИЯ
«ОМСКИЙ
ГОСУДАРСТВЕННЫЙ АГРАРНЫЙ УНИВЕРСИТЕТ им. П.А. СТОЛЫПИНА»
ИНСТИТУТ
ЭКОНОМИКИ И ФИНАНСОВ
КУРСОВАЯ
РАБОТА
по
дисциплине: Статистика
Тема: «Экономико-статистический
анализ себестоимости зерна в ЗАО «Степное» Павлоградского р-на Омской области»
Студентки
Казанцева Е.С.
Омск - 2013
Содержание
Введение
Глава 1. Природно-климатическая
характеристика в ЗАО «Степное» Павлоградского района»
.1 Краткая природно-климатическая
характеристика хозяйства
.2 Экономическая характеристика
хозяйства
Глава 2. Экономико-статистический
анализ себестоимости зерновых культур в ЗАО «Степное » Павлоградского района»
.1 Анализ динамики себестоимости
одного центнера зерна
Глава 3. Анализ показателей вариации
себестоимости зерновых
культур
Глава 4. Факторный анализ динамики
себестоимости зерновых культур
Глава 5. Корреляционно-регрессионный
анализ себестоимости зерновых культур
Заключение
Список литературы
Введение
Себестоимость продукции находится во взаимосвязи
с показателями эффективности производства. Она отражает большую часть стоимости
продукции и зависит от изменения условий производства и реализации продукции.
Существенное влияние на уровень затрат оказывают технико-экономические факторы
производства. Это влияние проявляется в зависимости от изменений в технике,
технологии, организации производства, в структуре и качестве продукции и от
величины затрат на ее производство. Анализ затрат, как правило, проводится
систематически в течение года в целях выявления внутрипроизводственных резервов
их снижения.
Экономико-статистический анализ себестоимости
продукции для любого предприятия является актуальным. Актуальность заключается
в том, что себестоимость - один из главных показателей использования
сельскохозяйственных угодий - важнейший фактор текущих затрат предприятия,
обеспечивающих необходимые темпы роста прибыли и рентабельности на основе
рационального использования денежных, трудовых и материальных ресурсов.
Цель курсовой работы - углубление теоретических
знаний в области статистики и получение практических навыков сбора и обработки
реальных статистических данных, использования статистических методов для
анализа этих данных и адекватной интерпретации получаемых статистических
показателей.
Для достижения этих целей решаются следующие
задачи:
· сбор статистических данных;
· обработка собранных данных
статистическими методами;
· проведение экономико-статистического
анализа результатов обработки данных.
Глава 1. Краткая природно-экономическая
характеристика ЗАО «Степное» Павлоградского района Омской области
.1 Краткая природно-климатическая
характеристика хозяйства
ЗАО «Степное» расположено на юге Омской области,
в степной зоне. Поверхность степи представляет равнину с абсолютными высотами
до 120 м. Для рельефа характерны весьма плоские увалы, равнинные широкие
ложбины. Реки на территории хозяйства не протекают, поэтому от реки Иртыш
проведен водопровод, ещё имеются искусственные водоемы - котлован, вырытый при
помощи взрывных работ.
Почвенный покров состоит в основном из южных
черноземов с перегнойным слоем мощностью 30-40 см. По гривам черноземы имеют
легкий механический состав. В пониженных местах рельефа встречаются солонцовые
почвы, реже солонцы. Колки на территории хозяйства встречаются редко, в
основном растительность представлена лесополосами. Древесная растительность
колков состоит из пушистых берез с примесью осины, а в лесополосах преобладают
тополя.
Климат территории, где расположено хозяйство
резко- континентальный. Формируется под влиянием холодных арктических масс
воздуха с севера и в незначительной степени сухих из Казахстана. Холодная,
суровая достаточно снежная (40-50 см) зима, жаркое непродолжительное лето,
короткие весна и осень с резким колебанием температур.
Среднемесячная температура воздуха самого
теплого месяца июля + 24,2 С, а самого холодного - января - 23,2 С. Годовая
сумма осадков составляет 281-435 мм, большая часть осадков выпадает в летнее
время.
За период активной вегетации условно взят период
температурой выше 10 С, продолжительность его - 125 дней. Продолжительность
периода активной вегетации может быть сокращена поздневесенними и
раннеосеннимизаморозками. Продолжительность безморозного периода в воздухе
составляет 109-118 дней на открытых и ровных местах, а в сырых низинных и
замкнутых лесных полянах он сокращается. Это необходимо учитывать при
размещении культур и участки с коротким безморозным периодом отводить под более
холодостойкие культуры.
Запасы продуктивной влаги в почве на начало
активной вегетации составляют 104 мм (в метровом слое), осенью запасы
продуктивной влаги в почве - 60 мм. Сумма осадков за период активной вегетации
- 1999 мм.
При оценке влагозапасов в почве необходимо
учитывать, что из-за большой пестроты почвенного покрова по типам и
механическому составу запасы влаги в почве в пределах данного хозяйства
различны.
Средняя скорость ветра составляет, 5 м/сек.
Осенью, зимой и весной преобладают юго-западные ветры и только в летний период
- северо-западные.
В рельефе данная местность представляет
приподнятую волнистую равнину с многочисленными небольшими по размерам
впадинами. Последние заболочены.
На всей территории четко прослеживается
взаимосвязь рельефа с формированием почвенного покрова.
Почти все пахотные почвы хозяйства находятся на
гривных формах рельефа.
Содержание гумуса в почвах среднее - 6,1-8,0%,
По уровню кислотности - близкие к нейтральным - 5,6-6 мг/кг. Отмечается высокое
содержание калия - 120-180 мл/кг.
Таким образом, в ЗАО «Степное» природно-климатические
условия благоприятствует развитию сельскохозяйственного производства.
.2 Экономическая характеристика хозяйства
ЗАО «Степное» находится в Омской области
Павлоградского района в селе Южное.
Район образован в 1924 г. Заселение Павлоградки,
первого села Павлоградского района, началось в 1898 году. Первые переселенцы
прибыли сюда из Павлоградского уезда Екатеринославской губернии, оно основано
выходцами из Украины: первые переселенцы прибыли сюда из Павлоградского уезда
Екатеринославской губернии - поднимать целину. Земли здесь всегда были хорошие
- район расположен на юге степной зоны.
Население района составляет 21 тыс. человек, в
том числе в городских условиях проживают около 6 тыс. Всего насчитывается 32
населенных пункта. Национальный состав на 9.10.2002, в % Русские 45,9; Украинцы
29,8; Казахи 17,1; Немцы 4,8; Татары 0,5; Другие 1,9.
Район включает следующие сельские округа:
Богодуховский, Логиновский, Милоградовский, Нивский, Новоуральский, Тихвинский,
Хорошковский, Южный, Юрьевский.
Сегодня Павлоградский район - один из самых
крупных и успешно развивающихся сельскохозяйственных районов Омской области. Об
этом говорят цифры: огромная площадь сельхозугодий, около 20 тысяч голов
крупнорогатого скота, более 340 субъектов хозяйственной деятельности, из них 9
крупных и динамично развивающихся сельхозпредприятий.
На основе таблицы 1 можно сделать определенные
выводы о структуре, составе и динамике реализации продукции ЗАО «Степное»
Павлоградского района за три года. В 2010 общая выручка от реализации продукции
составляет 94561 тыс. руб., в 2011 году - 75611 тыс. руб., в 2012 году - 95108
тыс. руб. соответственно.
В 2010 году за продукцию растениеводства
выручено денег на сумму 54450 тыс. руб., за продукцию животноводства - 40111
тыс. руб. В этом году удельный вес выручки за продукцию растениеводства (57,6 %
от общей выручки) меньше, чем удельный вес выручки за продукцию животноводства
(42,4 % от общей выручки), поэтому ведущей отраслью является растениеводство.
Причем можно выделить среди всех видов продукции лидеров по объему выручки, ими
являются молоко цельное, выручка от реализации которого составляет 31255 тыс.
руб. (33% от общей выручки), пшеница - 49786 тыс. руб. (52,7% от общей
выручки). Таким образом, мы можем сказать, что в 2010 году имела место
молочно-зерновая специализация.
Таблица 1. Состав и структура реализованной
продукцииЗАО «Степное» Павлоградского района Омской области
|
Отрасли
и виды продукции
|
Годы
|
|
2010
|
2011
|
2012
|
|
Выручка
|
|
Тыс.
руб.
|
%
к итогу
|
Тыс.
руб.
|
%
к итогу
|
Тыс.
руб.
|
%
к итогу
|
|
Зерновые
и зернобобовые культуры - всего
|
54173
|
57,3
|
36144
|
47,8
|
57561
|
60,5
|
|
в
том числе: Пшеница
|
49786
|
52,7
|
31968
|
42,3
|
56868
|
59,8
|
|
Пшеница
3-го класса
|
31232
|
33
|
31956
|
42,3
|
56868
|
59,8
|
|
Ячмень-всего
|
1263
|
1,3
|
41
|
0,05
|
--
|
--
|
|
из
него пивоваренный
|
0
|
0
|
0
|
0
|
0
|
0
|
|
Прочая
продукция растениеводства
|
277
|
0,3
|
2469
|
3,3
|
419
|
0,4
|
|
Прочие
зерновые и зернобобовые
|
3124
|
3,3
|
4117
|
5,4
|
693
|
0,7
|
|
Итого
по растениеводству
|
54450
|
57,6
|
38613
|
51,07
|
57980
|
60,9
|
|
Скот
и птица в живой массе - всего
|
6542
|
6,9
|
7713
|
10,2
|
13822
|
14,5
|
|
в
том числе: крупный рогатый скот
|
5996
|
6,3
|
7713
|
10,2
|
12944
|
13,6
|
|
площади
|
546
|
0,6
|
--
|
--
|
878
|
0,9
|
|
Молоко
цельное
|
31255
|
33
|
--
|
--
|
22807
|
23,9
|
|
Яйца
|
--
|
--
|
28568
|
37,8
|
--
|
--
|
|
Продукция
животноводства собственного производства, реализованная в переработанном виде
|
--
|
--
|
717
|
0,9
|
499
|
0,5
|
|
В
том числе стоимость переработки
|
--
|
--
|
51
|
0,07
|
45
|
0,05
|
|
Мясо
и мясо продукция (в пере отчёте на живую массу) -всего
|
1157
|
1,2
|
717
|
0,9
|
499
|
0,5
|
|
Крупный
рогатый скот
|
1153
|
1,2
|
697
|
0,92
|
499
|
0,5
|
|
Лошади
|
4
|
0,004
|
20
|
0,02
|
--
|
--
|
|
Итого
по животноводству
|
40111
|
42,4
|
36998
|
48,9
|
37128
|
39
|
|
Всего
|
94561
|
100,0
|
75611
|
100,0
|
95108
|
100,0
|
|
|
|
|
|
|
|
|
Далее, если мы будем рассматривать 2011 год, то
по данным таблицы один можно точно сказать, что специализация осталась такой
же, как и в 2010 году, то есть молочно-зерновая специализация.
В 2012 году за продукцию растениеводства
выручено денег на сумму 57980 тыс. руб., за продукцию животноводства - 37128
тыс. руб. В этом году удельный вес выручки за продукцию растениеводства (60,9 %
от общей выручки) больше, чем удельный вес выручки за продукцию животноводства
(39,1 % от общей выручки), поэтому ведущей отраслью является растениеводство.
Лидер по объему выручки, являются молоко цельное, выручка от реализации
которого составляет 22807 тыс. руб. (23,9% от общей выручки), пшеница - 56868
тыс. руб. (59,8% от общей выручки) и крупный рогатый скот - 12944 тыс. руб.
(13,6% от общей выручки). Таким образом, мы можем сказать, что в 2012 году
имела место молочно-зерно-мясная специализация.
Рис. 1. Динамика структуры отраслей
реализованной продукции в ЗАО «Степное» Павлоградского района Омской области.
По данным таблицы и диаграммы видно, что
удельный вес продукции растениеводства в 2011 году снизился по сравнению с 2010
годом (на 6,5%), а в 2012 году снова повысился (на 9,8%). А удельный вес
продукции животноводства в 2011 году повысился по сравнению с 2010 годом (на
6,5%), а в 2012 году снова снизился (на 9,8%). Из этого следует вывод о том,
что в 2010-2012 годах предприятие изменило молочно-зерновую специализацию на
зерно-молочно-мясную, то есть растениеводство увеличило свою значимость.
Одной из важнейших характеристик
сельскохозяйственного предприятия является состав и структура земельных угодий.
По ним легко можно определить направление специализации деятельности хозяйства.
Это выявляется по преобладанию в структуре тех или иных видов угодий. Для того,
чтобы оценить обеспеченность хозяйства земельными ресурсами, представим
структуру земельных угодий (таблица 2)
Таблица 2. Состав, структура и динамика земельных
угодий ЗАО «Степное» Павлоградского района Омской области
|
Вид
угодий
|
2011
г.
|
2012
г.
|
Динамика
угодий, %
|
|
га
|
%
к площади
|
га
|
%
к площади
|
|
|
|
с.-х.
угодий
|
Всех
угодий
|
|
с.-х.
угодий
|
Всех
угодий
|
|
|
пашня
|
25278
|
97,7
|
50,5
|
25278
|
98
|
45,8
|
100
|
|
сенокос
|
110
|
0,4
|
0,2
|
110
|
0,4
|
0,2
|
100
|
|
Пастбища
|
496
|
1,9
|
1
|
496
|
1,9
|
0,9
|
100
|
|
Итого
с/х угодий
|
25884
|
100
|
51,8
|
25884
|
100
|
100
|
100
|
|
Лесные
массивы
|
269
|
Х
|
0,5
|
269
|
0,9
|
Х
|
100
|
|
Древесно-кустарные
растения
|
78
|
Х
|
0,2
|
78
|
0,3
|
Х
|
100
|
|
Пруды
и водоемы
|
1364
|
Х
|
2,7
|
1364
|
4,7
|
Х
|
100
|
|
дороги
|
203
|
Х
|
0,4
|
---
|
---
|
----
|
---
|
|
Болота
|
1433
|
Х
|
2,9
|
1433
|
4,9
|
Х
|
100
|
|
Прочие
земли
|
267
|
Х
|
0,5
|
267
|
0,9
|
Х
|
100
|
|
Земли
находящиеся в собственности
|
20468
|
Х
|
41
|
25884
|
70
|
Х
|
126,5
|
|
Итого
не с/х угодий
|
24082
|
Х
|
48,2
|
29295
|
100
|
Х
|
121,6
|
|
Общая
земельная площадь
|
49966
|
|
100,0
|
55179
|
100,0
|
|
110,4
|
Из приведенных данных можно сказать, что общая
площадь земель хозяйства составляет 49966 га в 2011 г, а в 2012 г. составляла
55179 га. Следовательно, за эти два года произошло значительное увеличение
площади земель, это произошло за счет большого увеличения земли находящейся в
собственности. Как видно, все земли делятся на две равные части,
сельскохозяйственные и не сельскохозяйственные угодья. Рассматривая динамику
угодий 2012 г. к 2011 г. видно, что площадь пашни осталась не изменой, причём
сенокосы и пастбища тоже не изменились. Площадь прудов, водоёмом, болота, леса
и прочих земель осталась в прежнем размере.
Для более наглядного представления этих данных
отразим их графически, с помощью диаграммы (рис. 2)
Рис. 2. Состав и структура земельных угодий в
ЗАО «Степное» Павлоградского района Омской области
Таким образом, можно сделать выводы, что в 2011
г. ООО ЗАО «Степное» Павлоградского района имело значительные земельные ресурсы
для развития растениеводства, т.к. наибольшие площади земельных угодий
приходились под пашню, но в 2012 г. площадь под пашню уменьшилось, большую
часть занимали земли находящиеся в собственности.
Глава 2. Экономико-статистический анализ
себестоимости зерна
.1 Анализ динамики себестоимости одного центнера
зерна
Прежде чем приступить к анализу, необходимо дать
определение, что такое ряды динамики.
Рядами динамики называются статистические
данные, отражающие развитие изучаемого явления во времени. В каждом ряду
динамики имеются два основных элемента: уровни ряда динамики (в нашем случае -
себестоимость 1 центнера зерна, руб./ц) и показатель времени (t).
Рассмотрим динамику себестоимости одного
центнера зерна в динамике за период с 2003 по 2012 года для того, чтобы выявить
тенденции и спрогнозировать ожидаемую урожайность на 2013 год.
Рассчитаем показатели интенсивности динамики
явления двумя способами - цепным и базисным, чтобы охарактеризовать степень и
скорость роста или снижения явления в разные периоды исследуемых лет - по
сравнению с первоначальным и предыдущим годами. Здесь необходимо также указать,
как показатели интенсивности динамики характеризуют тенденцию явления, видимую
по графику.
Цепные показатели интенсивности динамики
,
где
- абсолютный прирост;
- себестоимость 1 центнера зерна в
данном году;
- себестоимость 1 центнера зерна в
предыдущем году.
,
где
- темп роста;
- себестоимость 1 центнера зерна в
данном году;
- себестоимость 1 центнера зерна в
предыдущем году.
,
где
- темп прироста;
,
где
- значение 1% прироста.
Базисные показатели интенсивности динамики
,
где
- абсолютный прирост;
- себестоимость 1 центнера зерна в
данном году;
- себестоимость 1 центнера зерна в
базисном году.
,
где
- темп роста;
- себестоимость 1 центнера зерна в
данном году;
- себестоимость 1 центнера зерна в
базисном году.
,
где
- темп прироста;
- темп роста;
Таблица 3. Показатели интенсивности динамики в
ЗАО «Степное» Павлоградского района Омской области
|
Год
|
Себестоимость
зерна, руб/ц
|
Абсолютный
прирост, руб/ц
|
темп
роста, %
|
темп
прироста, %
|
|
|
цепной
|
базисный
|
базисный
|
цепной
|
базисный
|
цепной
|
|
2003
|
110,85
|
*
|
*
|
*
|
*
|
*
|
*
|
|
2004
|
111,55
|
0,7
|
0,7
|
100,6
|
100,6
|
0,6
|
0,6
|
|
2005
|
219,41
|
107,86
|
108,56
|
197,9
|
196,7
|
97,9
|
96,7
|
|
2006
|
153,83
|
-65,58
|
42,98
|
138,8
|
70,1
|
38,8
|
-29,9
|
|
2007
|
218,21
|
64,38
|
107,36
|
196,9
|
141,9
|
96,9
|
41,9
|
|
2008
|
402,08
|
183,87
|
291,23
|
362,7
|
184,3
|
262,7
|
84,3
|
|
2009
|
305,24
|
-96,84
|
194,39
|
275,4
|
75,9
|
175,4
|
-24,1
|
|
2010
|
359,81
|
54,57
|
248,96
|
324,6
|
117,9
|
224,6
|
17,9
|
|
2011
|
389,405
|
29,595
|
278,555
|
351,3
|
108,2
|
251,3
|
8,2
|
|
2012
|
727
|
337,595
|
616,15
|
655,8
|
186,7
|
555,8
|
86,7
|
|
итого
|
2997,385
|
616,15
|
|
|
|
|
|
Из данной таблицы за 10 лет можно заметить
тенденцию роста себестоимости центнера зерна. С 2004 года по 2005 год рост
себестоимости значителен, так как абсолютный прирост составил 107,86 руб./ц., а
темп роста 197,9%, то есть себестоимость центнера зерна повысилась на 97,9%. С
2006 года абсолютный прирост был отрицателен, это говорит о том, что
себестоимость одного центнера зерна упала, при чем почти на 70 руб./ц, таким
образом, прирост был отрицателен. В 2007 году произошел скачок, ситуация
выровнялась и вплоть до 2008 года наблюдалась тенденция роста себестоимости
зерна. В 2009 году ЗАО «Степное» Павлоградского района резко упала
себестоимость центнера зерна, но уже с 2010 года ситуация стала меняться, вновь
себестоимость стала расти, и уже в 2012 году абсолютный прирост составил 337,6
руб./ц по сравнению с предыдущим годом.
Также из этой таблицы можно заметить тенденцию
роста себестоимости центнера зерна и 2 скачка за этот период. Первый скачок в
2006 году, тогда абсолютный прирост составил 42,98 руб./ц., а темп роста
138,8%, второй в 2009 году, тогда абсолютный прирост составил 194,39 руб./ц., а
темп роста 275,4%. Максимальные показатели достигнуты в 2012 году: абсолютный
прирост составил 616,2 руб./ц., темп роста 655,8%, а значение 1% прироста 0,6
руб./ц.
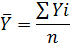
Средние показатели динамики.
Средний уровень ряда:

тыс.руб./ц.
Средняя себестоимость зерна за 10
лет в ЗАО «Степное» составила 299,74 тыс.руб/ц.
Средний абсолютный прирост:

тыс.руб./ц.
Происходит ежегодное увеличение
себестоимости зерна на 68,5 тыс. руб./ц.
Средний темп роста:

%.
В среднем темп роста равен 123%.
Средний темп прироста:
В среднем себестоимость зерна
ежегодно увеличивается на 23,24%.
Расчет параметров линейной
аналитической модели тренда представлен в таблице 4.
Таблица №4. «Расчет величин для определения
прямой линии тренда ЗАО «Степное» Павлоградского район Омской области»
|
год
|
трудоемкость
зерновых
|
Условное
обозначение времени
|
квадрат
|
произведение
|
расчетное
значение
|
|
y
|
t
|
tІ
|
y*t
|
y=a+bt
|
|
2003
|
110,85
|
-9
|
81
|
-997,65
|
67,55
|
|
2004
|
111,55
|
-7
|
49
|
-780,85
|
119,15
|
|
2005
|
219,41
|
-5
|
25
|
-1098,05
|
170,75
|
|
2006
|
153,83
|
-3
|
9
|
-461,49
|
222,35
|
|
2007
|
218,21
|
-1
|
1
|
-218,21
|
273,95
|
|
2008
|
402,08
|
1
|
1
|
102,08
|
325,55
|
|
2009
|
305,24
|
3
|
9
|
915,72
|
377,15
|
|
2010
|
359,81
|
5
|
25
|
1799,05
|
428,75
|
|
2011
|
389,405
|
7
|
49
|
2725,84
|
480,35
|
|
2012
|
727
|
9
|
81
|
6543
|
531,95
|
|
Итого
|
2997,385
|
0
|
330
|
8529,5
|
2997,5
|
,
=
=
Согласно данной модели, в изученный десятилетний
период, средняя себестоимость зерна равна 299,75 руб./ц., при этом имела
тенденцию роста на 25,8 руб./ц.
Изобразим аналитическую модель вместе с
фактическими уровнями себестоимости на одном графике:
Рис. 4. Фактическая динамика себестоимости и
аналитическая модель
На основании полученной модели, можем сделать
прогноз себестоимости зерна на 2013 год:
Глава 3. Анализ показателей вариации
себестоимости зерновых культур
Вариация - различия в значениях того или иного
признака у отдельных единиц, входящих в данную совокупность.
Анализ вариации себестоимости зерновых в его
качественном и суммарном проявлении необходимо проводить по 10 или более
однородным предприятиям. В данной курсовой работе для исследования анализа
вариации себестоимости зерновых культур мы используем 10 предприятий
Большереченского района. К показателям вариации относятся:
) Среднее линейное отклонение представляет собой
среднюю арифметическую абсолютных значений отклонений отдельных вариантов от их
средней арифметической:
) Размах вариации - разность между максимальным
и минимальным значениями признака совокупности. Размах вариации показывает лишь
крайние отклонения признака и не отражает отклонение всех вариантов в ряду.
) Дисперсия признака представляет собой средний
квадрат отклонений вариантов от их средней величины, она вычисляется по
формуле:
) Среднее квадратическое отклонение - это
обобщающая характеристика размеров вариационного признака в изучаемой
совокупности. Оно показывает, на сколько в среднем отклоняются конкретные
варианты от их среднего значения. Среднее квадратическое отклонение равно корню
квадратному из дисперсии:
) Коэффициент вариации - это относительный
показатель вариации, характеризующий колеблемость одного и того же признака в
нескольких совокупностях с различным средним арифметическим. Он представляет
собой выраженное в процентах отношение среднего квадратического отклонения к
средней арифметической:
Проанализируем себестоимость зерновых культур 10
хозяйств Большереченского района. Для этого рассчитаем средние показатели
(средняя арифметическая, мода, медиана) и показатели вариации (дисперсия,
среднее квадратическое отклонение, коэффициент вариации, и размах вариации).
Расчеты приведены в таблице 5.
Таблица 5 Определение показателей вариации ЗАО
«Степное» Павлоградского района Омской области
|
Предприятие
|
Себестоимость
зерна
|
Валовый
сбор зерна (ц.)
|
Полная
себестоимость
|
Расчетные
величины
|
|
x
|
f
|
xf=X
|
(x-x)2*f
|
|
1.ЗАО
«Степное»
|
390
|
146
621
|
57182190
|
7435889880
|
|
2.ЗАО
«Яснополянское»
|
450
|
50
844
|
22879800
|
1387585638
|
|
3.ООО
«Соляное» Черлакского района
|
765
|
57
202
|
43759530
|
1283615168
|
|
4.ЗАО
«Елезаветенское» Черлакского района
|
672
|
32
254
|
21674688
|
104059145
|
|
5.ООО
«Изюмовское» Щербакульского района
|
600
|
30
293
|
18175800
|
6998894,72
|
|
6.СПК
«Красноярский» Щербакульский район
|
660
|
59
591
|
39330060
|
119601520,6
|
|
7.ЗАО
«Нива» Павлоградка
|
761
|
118
360
|
90071960
|
2516054270
|
|
8.СПК
«Ольгинский» Полтавский район
|
735
|
64
980
|
47760300
|
932595559,2
|
|
9.СПК
«Славянский» Щербакульский район
|
568
|
55
702
|
31638736
|
124095143,7
|
|
10.
СПК «Ермак » Нововаршавский р-н
|
727
|
56
972
|
41418644
|
712106701,3
|
|
Итог:
|
-
|
672
819
|
413891708
|
14622601921
|
По данным предприятий рассчитаем:
Среднюю себестоимость зерна. Так как данные
сгруппированы, воспользуемся формулой средней взвешенной:
В исследуемой совокупности, состоящей из 10-ти
предприятий, средняя себестоимость зерна за 1 центнер составляет 615,2 рублей.
Размах вариации:
R=Xmax-Xmin
=727-390= 412 руб./ц
Разница между наибольшим и наименьшим значением
себестоимости зерна равна 412 руб./ц.
Среднее линейное отклонение:
Происходит отклонение в среднем на 132,3 руб./ц.
Дисперсию:
=
руб./ц
= 
руб./ц
Квадрат каждого индивидуального
значения отклоняется на 21733,3 руб./ц от среднего значения себестоимости
зерна.
Среднее квадратическое отклонение:

руб.
Коэффициент вариации:
= 
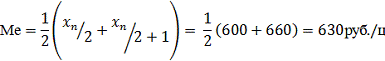
Модальная себестоимость 1 ц зерна.
Так как данные сгруппированы, определяется по наибольшей частоте:

/ц, потому чтоMaxf= 30293.
Наиболее часто встречаются
предприятия с себестоимостью 600 руб./ц.
Так как ряд ранжированный с четным
числом вариант медиана рассчитывается по следующей формуле:
Половина предприятий имеет
себестоимость зерна менее чем 600 руб./ц, а другая более чем 600 руб./ц.
Таблица 6. «Расчет величин для определения
показателей вариации трудоемкости зерновых»
|
Предприятия
|
Общая
себестоимость валового сбора зерна, млн. руб.
|
Расчетные
величины
|
|
xf = X
|
|
|
|
|
СПК
«Красноярский» Щербакульский район
|
18175
|
330330625
|
23214,1
|
538894438,8
|
|
СПК
«Славянский» Щербакульский район
|
21674
|
469762276
|
19715,1
|
388685168
|
|
ЗАО
«Елезаветенское» Черлакского района
|
22879
|
523448641
|
18510,1
|
342623802
|
|
ЗАО
«Степное»
|
31638
|
1000963044
|
9751,1
|
95083951,21
|
|
СПК
«Ермак » Нововаршавский р-н
|
39330
|
1546848900
|
2059,1
|
4239892,81
|
|
ЗАО
«Нива»
|
41418
|
28,9
|
835,21
|
|
ЗАО
«Яснополянское» Павлоградского района
|
43759
|
1914850081
|
2369,9
|
5616426,01
|
|
СПК
«Ольгинский» Полтавский район
|
47760
|
2281017600
|
6370,9
|
40588366,81
|
|
ООО
«Изюмовское» Щербакульского района
|
57182
|
3269781124
|
15792,9
|
249415690,4
|
|
ООО
«Соляное» Черлакского района
|
90071
|
8112785041
|
48681,9
|
2369927388
|
|
Сумма:
|
413891
|
21165238056
|
146494
|
4035075959
|
Рассчитаем систему средних показателей полной
себестоимости зерна:
Каждое предприятие в среднем имеет
себестоимость валового сбора в размере 41389,1 млн. руб.
Так как ряд ранжированный, данные не
сгруппированы и число вариант четное, медиана рассчитывается следующим образом:
Медиана позволяет сделать вывод, что
половина исследуемых предприятий имеет себестоимость валового сбора меньше
40374 млн. руб./ц., а вторая половина больше, чем 40374 млн. руб./ц.
Рассчитать, моду в данном ряду не возможно, потому
что данные не сгруппированы. Рассчитаем систему показателей вариации:
. Размах вариации
R = Х max
- Xmin =90071-18175=
71896 млн.руб.
Разница между наибольшим и наименьшим значениями
себестоимости валового сбора зерна в данной совокупности равна 71896 млн. руб.
. Дисперсию рассчитаем двумя способами:
Квадрат каждого индивидуального
значения отклоняется на 
млн.руб./ц от среднего значения себестоимости
валового сбора зерна.
. Рассчитаем среднее квадратическое
отклонение:
у=
Это говорит о том, что себестоимость
валового зерна каждого предприятия отличается от среднего показателя на 20087,5
млн. руб.
. Рассчитаем коэффициент вариации:
Значения урожайности валового сбора
отклоняются в среднем от среднего арифметического значения на 48,5%.
Глава 4. Факторный анализ динамики
себестоимости зерновых культур
Факторный анализ проводится с
помощью индексов для изучения изменения за два последних года по пяти
предприятиям одной совокупности в данном случае по одному району.
Рассмотрим индексный анализ
себестоимости зерновых культур на примере 5 предприятий Павлоградского района
за 2011-2012 годы.
Для расчета индивидуальных индексов
и анализа изменений в значениях показателей (себестоимости, валового сбора и
затрат на производство) отдельно на каждом предприятии удобно использовать
таблицу 7.
Для расчета индексов необходимых для
факторного анализа динамики себестоимости зерновых культур вычислим средние
величины:
Динамика себестоимости 1 ц. зерна,
валового сбора зерна, общей себестоимости зерна за два года предприятий южной
степной зоны
Таблица 7
|
Предприятие
|
Себестоимость.
зерна, руб./ц.
|
Изменение,
%
|
Валовой
сбор, ц.
|
Изменение,
%
|
Полная
себестоимость зерна, тыс. руб.
|
Изменение,
%
|
|
x
|
|
f
|
|
X=fx
|
|
|
2011
г.
|
2012
г
|
|
2011
г
|
2012
г
|
|
2011
г
|
2012 г.
|
|
|
1.ЗАО
«Яснополянское» Павлоградского р-на
|
329,54
|
450
|
36,6
|
95993
|
50844
|
-47,0
|
31,633
|
22,879
|
-27,7
|
|
2.ЗАО
«Елизаветинское» Черлаксгоко р-на
|
279,38
|
671,61
|
140,4
|
71829
|
32254
|
-55,1
|
20,067
|
21,662
|
7,9
|
|
3.ЗАО
«Нива» Павлоградка
|
387,4
|
761
|
96,4
|
26821
|
11836
|
-55,9
|
103,90
|
90,071
|
-99,913
|
|
4.ООО
«Изюмовское» Щербакульского р-на
|
373,69
|
600
|
60,6
|
53850
|
30293
|
-43,8
|
20,123
|
18,175
|
-99,91
|
|
5.ЗАО
«Степное» Павлоградского р-на
|
290,54
|
389,405
|
34,03
|
162630
|
146621
|
21,7
|
47,250
|
57,094
|
20,8
|
|
Итого
|
1747,28
|
3224,3
|
368,03
|
65151
|
37837
|
-92,5
|
79,028
|
58,627
|
-198,82
|
Индивидуальные индексы себестоимости зерна:
) ЗАО «Яснополянское», 
%
) ЗАО «Елизаветинское», 
) ЗАО «Нива», 
%
) ООО «Юзюмовское»
) ЗАО «Степное», 
%
Индивидуальные индексы валового
сбора:
) ЗАО «Яснополянское», 
%
) ЗАО «Елизаветинское», 
) ЗАО «Нива», 
%
) ООО «Юзюмовское»
) ЗАО «Степное», 
%
Индивидуальные индексы полной
себестоимости:
1) ЗАО «Яснополянское», 
%
) ЗАО «Елизаветинское», 
) ЗАО «Нива», 
%
) ООО «Юзюмовское»
) ЗАО «Степное», 
%
Полная себестоимость зерна возросла
только у одного из предприятий- ООО «Соляное» на 7,95%, в остальных же
предприятиях этот показатель сократился. В значительной степени произошло сокращение
в ОАО «Сибиряк» на 38,09%, в ОАО «Хлебодаровское»- 45,34%, в ОАО «Целинное»-
32,24%, совсем незначительные изменения показателя произошли в ООО «Соляное»-
4,56%.
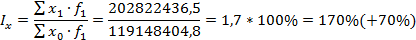
Общие индексы:
Индекс себестоимости зерна

83674031,75 руб.
Себестоимость зерна пяти данных
предприятий в 2012 г. по сравнению с 2011 г. увеличилась на 70%, в абсолютном
значении это 83674031,75 руб.
Индекс валового сбора:

119148404,8285029540,8
Данный индекс показывает, что
валовой сбор снизился на 59%, что в абсолютном выражении составило 165881136 ц.
Индекс полной себестоимости:

0,71*100%=71%(-29%)

тыс.руб.
Полная себестоимость зерновых
культур в 2012г. по сравнению с 2011 г. сократилась на 29%, что в абсолютном
выражении составило 
тыс.руб.
Таким образом:

170*0,418=71

83674031,75
=
Следовательно, расчеты верны.
Средняя себестоимость зерна в 2011
году:

.
Средняя себестоимость зерна 2012
году:
Индекс себестоимости зерна
переменного состава:

%(+73%)

/ц.
Средняя себестоимость зерна по данным хозяйствам
в 2011 г. по сравнению с 2012 г. увеличилась на 73%. Абсолютный прирост средней
себестоимости зерна составил 269,3 руб./ц.
Индекс себестоимости зерновых культур
постоянного состава:

.
Средняя себестоимость зерна по
хозяйствам в 2011 относительно 2012 года увеличилась на 70%, в результате
изменения себестоимости зерна в каждом предприятии. В абсолютном выражении это
составляет 262,87 руб.
Индекс структурных сдвигов:
Увеличение полной себестоимости
зерна с одновременным увеличением себестоимости зерна привело к увеличению
себестоимости зерна в совокупности предприятий на 2%. Абсолютный прирост
средней себестоимости зерновых культур 6,48 руб.

170*1,02=173

,87+6,64=269,3
Следовательно, расчеты верны.
Глава 5. Корреляционно-регрессионный анализ
себестоимости зерновых культур
Для характеристики взаимосвязи исследуемого
качественного показателя х-урожайность 1 га, ц/га с качественным показателем у-
себестоимость 1 ц зерна, проведем однофакторный корреляционно-регрессионный
анализ себестоимости зерновых на основании данных 10 предприятий Павлоградского
Омской области, находящихся в степной климатической зоне за последний год.
Для проведения дальнейших расчетов используем
следующую таблицу.
Таблица 8. Расчет величин для определения
коэффициента корреляции, параметров уравнения линейной связи и теоретического
коэффициента детерминации
|
Предприятия
|
Себестоимость
1 ц зерна, руб./ц
|
Урожайность
1 га, ц/га
|
Расчетные
значения
|
|
у
|
х
|
ху
|
xІ
|
yІ
|
y*
= ax+b
|
(y-y
*)І
|
(y- )І
|
|
ООО
«Изюмовское» Щербакульского района
|
390
|
14
|
5460
|
196
|
152100
|
-116,28
|
256323
|
58951,8
|
|
ЗАО
«Елезаветенское» Черлакского района
|
450
|
10,9
|
4905
|
118,81
|
202500
|
3629
|
10106905
|
33415,8
|
|
ЗАО
«Яснополянское» Павлоградского района
|
765
|
17,3
|
13234,5
|
299,29
|
585225
|
-4103
|
23700773
|
17476
|
|
СПК
«Славянский» Щербакульский район
|
672
|
20,4
|
13708,8
|
416,16
|
451584
|
-7848
|
72603419
|
1536,64
|
|
СПК
«Красноярский» Щербакульский район
|
600
|
9,5
|
5700
|
90,25
|
360000
|
5320
|
22284215
|
1075,84
|
|
СПК
«Ермак » Нововаршавский р-н
|
660
|
13,2
|
8712
|
174,24
|
435600
|
850,27
|
36204,956
|
739,84
|
|
ООО
«Соляное» Черлакского района
|
761
|
11,3
|
8599,3
|
127,69
|
579121
|
3145,8
|
5687538,1
|
16435,2
|
|
СПК
«Ольгинский» Полтавский район
|
735
|
11,9
|
8746,5
|
141,61
|
540225
|
2420,9
|
2842380,1
|
10444,8
|
|
ЗАО
«Степное»
|
568
|
12,0
|
6816
|
144
|
322624
|
2300,1
|
3000225,8
|
4199,04
|
|
ЗАО
«Нива»
|
727
|
13,3
|
9669,1
|
176,89
|
528529
|
729,45
|
6,031936
|
8873,64
|
|
Итого:
|
6328
|
133,80
|
85551,2
|
1884,94
|
4157508
|
16798
|
-10334616
|
-502308
|
|
Средние
значения
|
632,8
|
13,38
|
8555,1
|
188,4
|
415750,8
|
x
|
x
|
x
|
|
Квадрат
среднего значения
|
40043
|
179,02
|
x
|
x
|
x
|
x
|
x
|
x
|
1. Рассчитаем парный коэффициент корреляции по
следующей формуле:
,
Согласно значению коэффициента
корреляции взаимосвязь между урожайностью и себестоимостью зерновых культур в
изучаемой совокупности предприятий наблюдается, так как
>0,1.
Следовательно, по Чеддоку сила
влияния урожайности на себестоимость зерновых культур в данной совокупности
предприятий слабая. Направление взаимосвязи обратное, так как коэффициент
корреляции отрицательный.
. Далее построим линейную модель
взаимосвязи между урожайностью и себестоимостью зерновых культур: y* = ax+b.
Параметры «а» и «в» уравнения
регрессии по методу наименьших квадратов, являются решением системы линейных
уравнений.
Таким образом, полученное уравнение
регрессии урожайности зерновых культур на их себестоимость: y* =
-1208,2x+16798,516.
Согласно значению коэффициента
регрессии «а» в построенной модели с увеличением урожайности зерновых культур
их себестоимость в данной совокупности предприятий в среднем уменьшается, так
как а<0.
Причем, при увеличении урожайности
на 1 ц/га себестоимость зерновых культур уменьшается на 1208,2 руб./ц.
. Рассчитаем коэффициент эластичности
урожайности зерновых культур на их себестоимость.
Значение коэффициента эластичности
говорит нам о том, что при увеличении урожайности зерновых культур на 1% их
себестоимость снижается на 25,5%.
. Проверим гипотезу о линейной форме
взаимосвязи между урожайностью зерновых и их себестоимостью, заложенную во все
выше приведенные расчеты. Для этого рассчитаем теоретический коэффициент
детерминации.
Рассчитаем разность между квадратом
коэффициента корреляции и квадратом коэффициента детерминации в относительной
величине.
0,98>0,1
Так как разность значений квадрата
коэффициента корреляции и коэффициента детерминации больше 0,1,значит форма связи
нелинейная.
Для наглядного представления
построим прямую линию регрессии на одном рисунке с полем корреляции урожайности
на себестоимость.
Рис. 5. Поле корреляции урожайности
зерновых культур на их себестоимость
Как видно из графика между урожайностью зерновых
и себестоимостью 1ц. зерна проявляется обратная взаимосвязь, причем, при
увеличении урожайности на 1 ц/га, себестоимость 1 ц. зерна в среднем
уменьшается на 1208,2 руб./ц.
сельскохозяйственный
статистический себестоимость зерновой
Заключение
Проанализировав трудоёмкость зерновых в ЗАО
«Степное», можно сделать следующие выводы:
. Основными отраслями производства данного
хозяйства является как растениеводство 5\,6%, так и животноводство 42,4%.
. Основную часть общих земельных угодий, более
90%, составляют пашни. Это говорит о том, что земельные ресурсы используются
рационально.
. В изученные 10 лет на предприятии наблюдается
тенденция роста трудоемкости зерновых.
Подводя итоги можно сказать, что основная
специализация ЗАО «Степное» имеет растениеводческое направление.
Список литературы
1. Афанасьев В.Н. Статистика
сельского хозяйства: учеб.пос./ В.Н. Афанасьев. - М.: Финансы и статистика,
2005. - 270 с.
. Годовые отчеты ЗАО «Степное»
Павлоградского района за 2002-2012годы.
. Годовые отчеты ООО «Соляное»
Черлакского района за 2010-20112 годы.
. Годовые отчеты «СПК «Ермак »
Нововаршавский р-н за 2010-2012 годы.
. Годовые отчеты СПК «Ольгинский»
Полтавский район за 2010-2012 годы.
. Годовые отчеты СПК «Славянский»
Щербакульский район за 2010-2012 годы.
. Годовые отчеты ЗАО
«Елезаветенское» Черлакского района за 2010- 2012 годы.
. Годовые отчеты ООО «Комплекс
Таврический» Таврического района за 2010-2012 годы.
. Годовые отчеты СПК «Краснодарское»
Павлоградского района за 2010-2012 годы.
. Годовые отчеты ЗАО «Нива»
Павлоградского района за 2010-2012 годы.
. Годовые отчеты ЗАО «Яснополянское»
за 2010-2012 годы.