Проблемы моделирования экономических процессов
Содержание
Введение
. Теоретическая часть
.1 Планирование эксперимента
.2 Композиционные планы
.3 Ортогональные центральные
композиционные планы
. Практическая часть
.1 Исходные данные варианта №1
.2 Проверка условий применимости
регрессионного анализа
.2.1 Проверка воспроизводимости
опытов
.3 Расчёт коэффициентов регрессии
.3.1 Уравнение нормированной модели
.3.2 Линейные коэффициенты
.3.3 Смешанные коэффициенты
.3.4 Квадратичные коэффициенты
.3.5 Свободный член
.4 Проверка значимости коэффициентов
по t-критерию Стьюдента
.5 Проверка адекватности полученной
модели
Заключение
Список использованной литературы
Приложения
Введение
Моделирование относится к достаточно сложным
методам. Но сложность окупается получаемыми с помощью моделей результатами. С
помощью моделей (особенно в процессах со многими входными параметрами, когда
нельзя представить зависимости показателя качества от этих параметров
графически) можно легко проигнорировать значение получающегося качества
процесса или продукта при тех или иных условиях, можно организовать поиск
наилучших (оптимальных) условий проведения процесса чтобы снизить затраты,
повысить потребительские свойства продукта или полуфабриката, повысить
производительность и решить ряд других задач по улучшению качества процессов.
Математическое моделирование как инструмент познания завоевывает все новые и
новые позиции в различных областях деятельности человека. Оно становится
главенствующим направлением в проектировании и исследовании новых систем,
анализе свойств существующих систем, выборе и обосновании оптимальных условий
их функционирования и т.п. Математическое моделирование широко проникло в
различные области знаний и их приложения: технические, экономические,
социальные, биологические и многие другие на первый взгляд далекие от
математики. Поэтому специалистам необходимо владеть концепциями и методами
математического моделирования, иметь представление об инструментарии,
применяемом при моделировании [1].
1. Теоретическая часть
.1 Планирование эксперимента
Планирование эксперимента - комплекс
мероприятий, направленных на эффективную постановку опытов. Основная цель
планирования эксперимента - достижение максимальной точности измерений при
минимальном количестве проведенных опытов и сохранении статистической
достоверности результатов.
Планирование эксперимента
применяется при поиске оптимальных условий, построении интерполяционных формул,
выборе значимых факторов, оценке и уточнении констант теоретических моделей и
др.
Методы планирования эксперимента позволяют
минимизировать число необходимых испытаний, установить рациональный порядок и
условия проведения исследований в зависимости от их вида и требуемой точности
результатов.
При проведении опытных исследований различают
пассивный и активный эксперимент. Методология пассивного экспериментирования
предполагает проведение большой серии опытных исследований с поочередным
варьированием значений входных переменных и анализом результатов измерений
выходной переменному (лабораторный эксперимент или эксперимент на пилотной
установке). К пассивному эксперименту принято относить также и сбор опытных
данных в режиме эксплуатации промышленной установки - так называемый
промышленный эксперимент. Обработка результатов пассивного эксперимента
проводится методами регрессионного и корреляционного анализа, и выбор вида
эмпирической модели (уравнения регрессии), т.е. решение задачи структурной
идентификации является достаточно сложной задачей [2].
1.2 Композиционные планы
Применение линейных планов совместно с методом
градиентного поиска оптимума позволяет достичь окрестностей точки оптимума.
Поиск оптимального решения в этой области требует перехода от линейных моделей
к моделям более высокого порядка - как минимум к полиномам второй степени.
Полиномы второго порядка содержит

. (1)
эффектов:
(2)
Построение такой модели требует применения
плана, в котором каждая переменная принимает хотя бы три различных значения.
Существуют различные подходы к построению планов второго порядка. Можно
воспользоваться ПФЭ типа 3k,
но такие планы обладают большой избыточностью. Например, для трех переменных
количество точек плана составит 27, а количество оцениваемых коэффициентов в
функции отклика равно 10. В соответствии с идеей пошагового эксперимента
планирование рационально осуществлять путем добавления специально подобранных
точек к "ядру", образованному планированием для линейного
приближения. Такие планы называют композиционными (последовательными), они
позволяют использовать информацию, полученную в результате реализации линейного
плана.
Композиционные планы используются обычно на
заключительном этапе исследования, когда модель приходится подбирать
последовательно, начиная с простейшего линейного уравнения, которое потом
достраивается до полной квадратичной формулы. В этом случае композиционные
планы дают выигрыш по числу опытов по сравнению с другими планами. Эти планы
можно применять и при непосредственном построении функции отклика в виде полинома
(2).
Решение подобных задач основано на применении
ортогональных центральных композиционных планов (ЦКП). Эти планы используют в
качестве ядра полный факторный эксперимент.
На практике широкое распространение получили два
типа ЦКП, известные как планы Бокса и Хартли. Понятие "центральный"
означает, что факторы принимают значения, симметричные относительно центра
плана.
Центральный композиционный план второго порядка
называют планом Бокса, если его ядром является ПФЭ 2k
или регулярная реплика типа 2k
- p
[3].
1.3 Ортогональные центральные
композиционные планы
В планах Бокса к ядру, построенному на основе
ПФЭ или ДФЭ, добавляется одна точка в центре плана с координатами (0, 0, ...,
0) и 2k
"звездных" точек с координатами (±γ, 0, ..., 0),
..., (0, 0, ..., ±γ).
Построенный таким образом план будет ЦКП второго
порядка. Общее точек плана при использовании композиционного планирования
составит
N=N0+2k+1,
где N0
- количество точек ядра плана.
В матрице плана второго порядка не у всех
столбцов соблюдается условие симметрии и не все пары столбцов ортогональны [3].
2. Практическая часть
.1 Исходные данные варианта №1
Исходными данными являются базовые значения
факторов (число факторов k=n=3)
и шаги варьирования. Задана матрица планирования эксперимента и результаты трёх
дублирующих экспериментов (для каждого эксперимента проведено 3 дублирующих
опыта, n=3 - количество
факторов, m=3 - количество
дублирующих опытов). Общее количество экспериментов в методе ортогонального
центрального композиционного планирования рассчитывается по формуле (3)

(3)
Обозначим L- порядковый
номер эксперимента, L = 1,…,N .
В случае трёхфакторного эксперимента
N=15 (15
экспериментов). Результаты всех опытов запишем в виде матрицы размерности 15х
3, обозначим её элементы Ylj, где l-номер
эксперимента, а j-номер дублирующего опыта.
Исходные данные для моего варианта
приведены в таблице 1.
Базовые значения факторов х1б,
х2б, х3б выбрать в диапазоне от 0
до 5, а шаги варьирования Dх1б,
Dх2б,
Dх3б
должны быть не больше 0,5.
Таблица 1 - Матрица планирования и
результаты экспериментов
|
Номер опыта
|
X1
|
X2
|
X3
|
yL1
|
yL2
|
yL3
|
|
L=1
|
+1
|
+1
|
+1
|
12.9
|
12.5
|
12.3
|
|
L=2
|
+1
|
-1
|
-1
|
12.7
|
12.2
|
11.9
|
|
L=3
|
-1
|
+1
|
-1
|
12.5
|
12.1
|
12.2
|
|
L=4
|
-1
|
-1
|
+1
|
12.4
|
12.3
|
12.5
|
|
L=5
|
+1
|
+1
|
-1
|
12.8
|
12.5
|
12.8
|
|
L=6
|
-1
|
+1
|
+1
|
12.7
|
12.2
|
12.1
|
|
L=7
|
+1
|
-1
|
+1
|
12.5
|
12.2
|
12.4
|
|
L=8
|
-1
|
-1
|
-1
|
12.4
|
12.3
|
12.7
|
|
L=9
|
0
|
0
|
0
|
12.9
|
12.5
|
12.7
|
|
L=10
|
+1.215
|
0
|
0
|
12.7
|
12.2
|
12.4
|
|
L=11
|
-1.215
|
0
|
0
|
12.5
|
12.4
|
12.0
|
|
L=12
|
0
|
+1.215
|
0
|
12.4
|
12.3
|
12.3
|
|
L=13
|
0
|
-1.215
|
0
|
12.9
|
12.5
|
12.6
|
|
L=14
|
0
|
0
|
-1.215
|
12.7
|
12.2
|
12.9
|
|
L=15
|
0
|
0
|
+1.215
|
12.5
|
11.9
|
12.2
|
2.2 Проверка условий применимости
регрессионного анализа
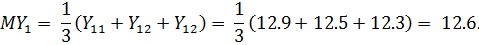
Найдём среднее значение в каждой серии опытов по
формуле

(4)
Среднее значение первой серии
опытов, согласно (4) будет равно:
Аналогично рассчитываются остальные
средние значения серий опытов. Они приведены в таблице 2.
Таблица 2 - Средние значения серии
опытов
|
Номер
опыта
|
yL1
|
yL2
|
yL3
|
MYL
|
|
L=1
|
12.9
|
12.5
|
12.3
|
12.6
|
|
L=2
|
12.7
|
12.2
|
11.9
|
12.3
|
|
L=3
|
12.5
|
12.1
|
12.2
|
12.3
|
|
L=4
|
12.4
|
12.3
|
12.5
|
12.4
|
|
L=5
|
12.8
|
12.5
|
12.8
|
12.7
|
|
L=6
|
12.7
|
12.2
|
12.1
|
12.3
|
|
L=7
|
12.5
|
12.2
|
12.4
|
12.4
|
|
L=8
|
12.4
|
12.3
|
12.7
|
12.5
|
|
L=9
|
12.9
|
12.5
|
12.7
|
12.7
|
|
L=10
|
12.7
|
12.2
|
12.4
|
12.4
|
|
L=11
|
12.5
|
12.4
|
12.0
|
12.3
|
|
L=12
|
12.4
|
12.3
|
12.3
|
12.3
|
|
L=13
|
12.9
|
12.5
|
12.6
|
12.7
|
|
L=14
|
12.7
|
12.2
|
12.9
|
12.6
|
|
L=15
|
12.5
|
11.9
|
12.2
|
12.2
|
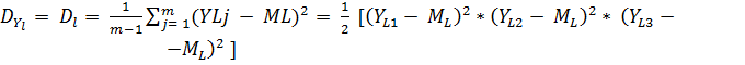
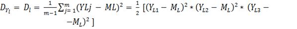
Найдём дисперсию в каждой серии опытов:

(5)
Дисперсия первой серии опытов
согласно формуле (5) будет равна:
Аналогично рассчитываются остальные
дисперсии. Результаты расчета приведены в таблице 3.
Таблица 3 - Дисперсии серии опытов
|
Номер
опыта
|
yL1
|
yL2
|
yL3
|
MẎL
|
Dl
|
|
L=1
|
12.9
|
12.5
|
12.3
|
12.6
|
0.095
|
|
L=2
|
12.7
|
12.2
|
11.9
|
12.3
|
0.165
|
|
L=3
|
12.5
|
12.1
|
12.2
|
12.3
|
0.045
|
|
L=4
|
12.4
|
12.3
|
12.5
|
12.4
|
0.01
|
|
L=5
|
12.8
|
12.5
|
12.8
|
12.7
|
0.03
|
|
L=6
|
12.7
|
12.2
|
12.1
|
12.3
|
0.105
|
|
L=7
|
12.5
|
12.2
|
12.4
|
12.4
|
0.045
|
|
L=8
|
12.4
|
12.3
|
12.7
|
12.5
|
0.03
|
|
L=9
|
12.9
|
12.5
|
12.7
|
12.7
|
0.04
|
|
L=10
|
12.7
|
12.2
|
12.4
|
12.4
|
0.065
|
|
L=11
|
12.5
|
12.4
|
12.0
|
12.3
|
0.7
|
|
L=12
|
12.4
|
12.3
|
12.3
|
12.3
|
0.005
|
|
L=13
|
12.9
|
12.5
|
12.6
|
12.7
|
0.045
|
|
L=14
|
12.7
|
12.2
|
12.9
|
12.6
|
0.13
|
|
L=15
|
11.9
|
12.2
|
12.2
|
0,09
|
2.2.1 Проверка воспроизводимости
опытов
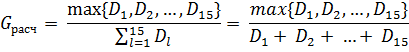
Проверим условие воспроизводимости опытов
(однородность дисперсий) по G-критерию
Кохрена
(6)
Рассчитаем
Gрасч
по формуле (6)
Gкрит находим по
таблице, приведённой в приложении А, при условиях:
число степеней свободы m=3;
число факторов k=n=3;
доверительная вероятность p=0.95.
Gкрит
= 0,871. Получается что Gрасч<Gкрит,
а значит условие воспроизводимости выполнено, следовательно метод ОЦКП применим
к данной модели.
2.3 Расчёт коэффициентов регрессии
.3.1 Уравнение нормированной модели
Уравнение (7) является уравнение нормированной
модели
Y = β0
+ β1X1
+ β2X2
+ β3X3
+ β12X1X2
+ β13X1X3
+ β23X2X3
+ β11X21
+ β22X22
+ +β33X23,
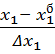
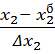
(7)
Х1 = 
Х2 = 
Х3 =
.
2.3.2 Линейные коэффициенты
Коэффициенты b1, b2, b3 находят по
формуле

(8)
где Zl,j - элементы
матрицы планирования экспериментов, при этом j-й столбец
матрицы планирования скалярно умножается на столбец средних значений MYl;
С1 = 0,0913. (табличное
значение)
Коэффициенты b2,b3
рассчитываются аналогично, но вместо первого столбца берутся соответственно
второй и третий.
β2 = -0,0169;
β3= -0,053;
2.3.3 Смешанные коэффициенты
Коэффициенты b12, b13, b23 находят по
формуле
(9)
где С2 = 0,125. (табличное значение)
При этом перемножаются два столбца (i-ый
и j-ый) из матрицы
планирования и столбец средних значений MYl
Аналогично находятся коэффициенты β13
и
β23:
β13
= 0,0125
β23
= -0,0125
2.3.4 Квадратичные коэффициенты
Коэффициенты β11,
β22 и β33
рассчитывают по формуле

, j = 1 … 3, (10)
где С3 = 0,2298 (табличные значения)
γ = 0,73
Рассчитаем β11
по формуле (10)
Аналогично рассчитываются коэффициенты β22
и
β33:
β22
= 0,025;
β33
= -0,043.
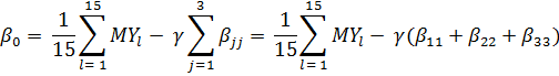
2.3.5 Свободный член
β0 рассчитывается по
формуле
(11)
Рассчитаем по формуле (11) β0
2.4 Проверка значимости
коэффициентов по t-критерию
Стьюдента
Найдём дисперсию воспроизводимости опытов по
формуле
(12)
Dв
= (0.095 + 0.165 + 0.045 + 0.01 + 0.03 + 0.105 + 0.045 + 0.03 + 0.04 + 0.065 +
+0.7 + 0.005 + 0.045 + 0.13 + 0.09)/15 =0.107
Дисперсию линейных коэффициентов находят по
формуле
(13)
Рассчитаем дисперсию линейных коэффициентов по
формуле (13)
Для проверки значимости коэффициентов находим
расчётные значения t-критерия
Стьюдента по формуле
(14)
Найдём расчётные значения t-критерия
Стьюдента по формуле (14) для линейных коэффициентов
tкрит
выбираем по таблице приведённой в приложении Б, при
f=N(m-1)=15(3-1)=30,
р = 0,95
tкрит
= 2,0423.
При условии tрасч<
tкрит
коэффициенты не значимы. Сравнивая tрасч
всех
линейных коэффициентов с tкрит,
можно сказать что коэффициенты β1,
β2 и β3
не значимы в данной модели.
Дисперсию смешанных коэффициентов находят по
формуле
(15)
Рассчитаем дисперсию смешанных коэффициентов по
формуле (15)
Найдём расчётные значения t-критерия
Стьюдента по формуле (14) для смешанных коэффициентов
Сравнивая tрасч
всех смешанных коэффициентов с tкрит,
можно сказать что коэффициенты β1,2,
β1,3 и β2,3
не значимы в данной модели.
Дисперсию квадратичных коэффициентов находят по
формуле
((16)
Рассчитаем дисперсию квадратичных коэффициентов
по формуле (16)
Найдём расчётные значения t-критерия
Стьюдента по формуле (14) для квадратичных коэффициентов
Сравнивая tрасч
всех квадратичных коэффициентов с tкрит,
можно сказать что коэффициенты β1,1,
β2,2 и β3,3
не значимы в данной модели.
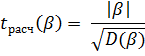
Для проверки значимости свободного члена
используют формулу
(17)
Рассчитаем дисперсию квадратичных коэффициентов
по формуле (17)
Найдём расчётное значение t-критерия
Стьюдента по формуле (14) для свободного члена
Т. к. tрасч(β0)
>tкрит,
значит свободный член значим в модели.
Таким образом нормированная модель принимает
вид:
Y = 12,516.
.5 Проверка адекватности полученной
модели
планирование статистический
ортогональный
Проверим адекватность полученной математической
модели по критерию Фишера, то есть сравним значения Y,
полученные при расчёте по нормированной модели с средними значениями по каждой
серии опытов. При расчете по нормированной модели в качестве значений X1,
X2,
X3
выбирают L-ую строку матрицы
планирования и находят при L
= 1..15.
Yl
= β0
+ β1
˟ Zl1
+ β2
˟ Zl2
+β3
˟ Zl3
+ β12
˟ Zl1
˟ Zl2
+ β13
˟Zl1
˟ Zl3
+ β23
˟ Zl2
˟ Zl3
+ β11
˟ Zl12
+ β22
˟ Zl22
+ β33
˟ Zl32
(18)
Т.к. коэффициенты β1,
β2, β3,
β12, β13,
β23, β11,
β22 и β33
оказались не значимыми, то нормированная модель принимает вид
Y = 12,516.
Дисперсию адекватности находят по формуле
(19)
где N
=15
d - количество
незначимых коэффициентов, которые мы исключили из модели(приравняли к нулю).
В данной модели d=9
Найдём дисперсию адекватности по формуле (19)
Расчётное значение критерия Фишера находят по
формуле

, (20)
где Dв
- дисперсия воспроизводимости.
Найдём расчётное значение критерия Фишера по
формуле (20)

0,78.
Fкрит выбираем по
таблице приведённой в приложении В. Т.к. DA<Dв, то
f1 = N - d =15 - 9 = 6
f2 = N ˟ (m - 1) =15 ˟
(3 - 1) = 30
Fкрит = 2,42.
Fрасч<Fкрит,
следовательно получена адекватная нормированная модель.
Т. к в модели линейные, смешанные и
квадратичные коэффициенты не значимы, а значим только коэффициент β0, то факторы
Х1, Х2 и Х3 равны 0, тогда нормированная
адекватная модель имеет вид:
Y = 12,516
Заключение
Для получения математический моделей
в основном используются два метода: метод полного факторного эксперимента (ПФЭ)
и метод ортогонального центрального композиционного планирования (ОЦКП). В
начале используется метод ПФЭ, если выясняется, что полученная модель не
адекватна, то используется метод ОЦКП. Данный метод сложнее, но полученная
модель более точна.
Так, в ходе выполнения курсовой работы мной была
получена адекватная нормированная модель в реальных величинах с помощью метода
ортогонального центрального композиционного планирования.
Список использованной литературы
1. Ташлинский А.Г., Минкина Г.Л.
Ортогональные и рототабельные центральные композиционные планы эксперимента:
Методические указания к выполнению лабораторных работ. - Ульяновск: УлГТУ,
2005. - 39 с.
2. Красовский Г.И.,
Филаретов Г.Ф. Планирование эксперимента. - Минск: изд-во БГУ, 1982. - 302 с.
. Самойленко Н.Э.
Методы факторного анализа в задачах конструкторско-технологического
проектирования РЭС: учеб. пособие / Н.Э. Самойленко. -Воронеж: ГОУВПО
"Воронежский государственный технический университет", 2008.- 150
с.
. Самойленко Н.Э.
Основы САПР: учебно-методический комплекс: учеб. пособие /Н.Э. Самойленко, М.Ю.
Чепелев. - Воронеж: ГОУВПО "Воронежский государственный технический
университет", 2008.Ч. 3. - 250 с.
Приложение А
Критические значения для критерия Кохрена
|
n=k
|
m=2
|
m=3
|
m=4
|
|
1%
|
5%
|
1%
|
5%
|
1%
|
5%
|
|
2
|
-
|
-
|
0,995
|
0,975
|
0,979
|
0,939
|
|
3
|
0,993
|
0,967
|
0,942
|
0,871
|
0,883
|
0,798
|
|
4
|
0,968
|
0,906
|
0,864
|
0,768
|
0,781
|
0,684
|
|
5
|
0,928
|
0,841
|
0,788
|
0,684
|
0,696
|
0,598
|
|
6
|
0,883
|
0,781
|
0,722
|
0,616
|
0,626
|
0,532
|
|
7
|
0,838
|
0,727
|
0,664
|
0,561
|
0,568
|
0,480
|
|
8
|
0,794
|
0,680
|
0,615
|
0,516
|
0,521
|
0,438
|
|
9
|
0,754
|
0,638
|
0,573
|
0,478
|
0,481
|
0,403
|
|
10
|
0,718
|
0,602
|
0,536
|
0,445
|
0,447
|
0,373
|
|
11
|
0,684
|
0,570
|
0,504
|
0,417
|
0,418
|
0,348
|
|
12
|
0,653
|
0,541
|
0,475
|
0,392
|
0,392
|
0,326
|
|
13
|
0,624
|
0,515
|
0,450
|
0,371
|
0,369
|
0,307
|
|
14
|
0,599
|
0,492
|
0,427
|
0,352
|
0,349
|
0,291
|
|
15
|
0,575
|
0,471
|
0,407
|
0,335
|
0,332
|
0,276
|
|
16
|
0,553
|
0,452
|
0,388
|
0,319
|
0,316
|
0,262
|
|
17
|
0,532
|
0,434
|
0,372
|
0,305
|
0,301
|
0,250
|
|
18
|
0,514
|
0,418
|
0,356
|
0,293
|
0,288
|
0,240
|
|
19
|
0,496
|
0,403
|
0,343
|
0,281
|
0,276
|
0,230
|
|
20
|
0,480
|
0,389
|
0,330
|
0,270
|
0,265
|
0,220
|
|
21
|
0,465
|
0,377
|
0,318
|
0,261
|
0,255
|
0,212
|
|
22
|
0,450
|
0,365
|
0,307
|
0,252
|
0,246
|
0,204
|
|
23
|
0,437
|
0,354
|
0,297
|
0,243
|
0,238
|
0,197
|
|
24
|
0,425
|
0,343
|
0,287
|
0,235
|
0,230
|
0,191
|
|
25
|
0,413
|
0,334
|
0,278
|
0,228
|
0,222
|
0,185
|
Приложение
Б
Критические значения коэффициента Стьюдента (t-критерия):
f - числа степеней
свободы; p - доверительная
вероятность
|
f
|
p
|
|
0.80
|
0.90
|
0.95
|
0.98
|
0.99
|
0.995
|
0.998
|
0.999
|
|
1
|
3.0770
|
6.3130
|
12.706
|
31.820
|
63.656
|
127.656
|
318.306
|
636.619
|
|
2
|
1.8850
|
2.9200
|
4.3020
|
6.964
|
9.924
|
14.089
|
22.327
|
31.599
|
|
3
|
1.6377
|
2.3534
|
3.182
|
4.540
|
5.840
|
10.214
|
12.924
|
|
4
|
1.5332
|
2.1318
|
2.776
|
3.746
|
4.604
|
5.597
|
7.173
|
8.610
|
|
5
|
1.4759
|
2.0150
|
2.570
|
3.649
|
4.0321
|
4.773
|
5.893
|
6.863
|
|
6
|
1.4390
|
1.943
|
2.4460
|
3.1420
|
3.7070
|
4.316
|
5.2070
|
5.958
|
|
7
|
1.4149
|
1.8946
|
2.3646
|
2.998
|
3.4995
|
4.2293
|
4.785
|
5.4079
|
|
8
|
1.3968
|
1.8596
|
2.3060
|
2.8965
|
3.3554
|
3.832
|
4.5008
|
5.0413
|
|
9
|
1.3830
|
1.8331
|
2.2622
|
2.8214
|
3.2498
|
3.6897
|
4.2968
|
4.780
|
|
10
|
1.3720
|
1.8125
|
2.2281
|
2.7638
|
3.1693
|
3.5814
|
4.1437
|
4.5869
|
|
11
|
1.363
|
1.795
|
2.201
|
2.718
|
3.105
|
3.496
|
4.024
|
4.437
|
|
12
|
1.3562
|
1.7823
|
2.1788
|
2.6810
|
3.0845
|
3.4284
|
3.929
|
4.178
|
|
13
|
1.3502
|
1.7709
|
2.1604
|
2.6503
|
3.1123
|
3.3725
|
3.852
|
4.220
|
|
14
|
1.3450
|
1.7613
|
2.1448
|
2.6245
|
2.976
|
3.3257
|
3.787
|
4.140
|
|
15
|
1.3406
|
1.7530
|
2.1314
|
2.6025
|
2.9467
|
3.2860
|
3.732
|
4.072
|
|
16
|
1.3360
|
1.7450
|
2.1190
|
2.5830
|
2.9200
|
3.2520
|
3.6860
|
4.0150
|
|
17
|
1.3334
|
1.7396
|
2.1098
|
2.5668
|
2.8982
|
3.2224
|
3.6458
|
3.965
|
|
18
|
1.3304
|
1.7341
|
2.1009
|
2.5514
|
2.8784
|
3.1966
|
3.6105
|
3.9216
|
|
19
|
1.3277
|
1.7291
|
2.0930
|
2.5395
|
2.8609
|
3.1737
|
3.5794
|
3.8834
|
|
20
|
1.3253
|
1.7247
|
2.0860
|
2.5280
|
2.8453
|
3.1534
|
3.5518
|
3.8495
|
|
21
|
1.3230
|
1.7200
|
2.2.079
|
2.5170
|
2.8310
|
3.1350
|
3.5270
|
3.8190
|
|
22
|
1.3212
|
1.7117
|
2.0739
|
2.5083
|
2.8188
|
3.1188
|
3.5050
|
3.7921
|
|
23
|
1.3195
|
1.7139
|
2.0687
|
2.4999
|
2.8073
|
3.1040
|
3.4850
|
3.7676
|
|
24
|
1.3178
|
1.7109
|
2.0639
|
2.4922
|
2.7969
|
3.0905
|
3.4668
|
3.7454
|
|
25
|
1.3163
|
1.7081
|
2.0595
|
2.4851
|
2.7874
|
3.0782
|
3.4502
|
3.7251
|
|
26
|
1.315
|
1.705
|
2.059
|
2.478
|
2.778
|
3.0660
|
3.4360
|
3.7060
|
|
27
|
1.3137
|
1.7033
|
2.0518
|
2.4727
|
2.7707
|
3.0565
|
3.4210
|
3.6896
|
|
28
|
1.3125
|
1.7011
|
2.0484
|
2.4671
|
2.7633
|
3.0469
|
3.4082
|
3.6739
|
|
29
|
1.3114
|
1.6991
|
2.0452
|
2.4620
|
2.7564
|
3.0360
|
3.3962
|
3.8494
|
|
30
|
1.3104
|
1.6973
|
2.0423
|
2.4573
|
2.7500
|
3.0298
|
3.3852
|
3.6460
|
|
32
|
1.3080
|
1.6930
|
2.0360
|
2.4480
|
2.7380
|
3.0140
|
3.3650
|
3.6210
|
|
34
|
1.3070
|
1.6909
|
2.0322
|
2.4411
|
2.7284
|
3.9520
|
3.3479
|
3.6007
|
Приложение В
Критические значения для критерия Фишера (F-критерия):
уровень значимости p=0,05
|
f1/f2
|
1
|
2
|
3
|
4
|
5
|
6
|
8
|
12
|
24
|
∞
|
|
1
|
161,45
|
199,50
|
215,72
|
224,57
|
230,17
|
233,97
|
238,89
|
243,91
|
249,04
|
254,32
|
|
2
|
18,51
|
19,00
|
19,16
|
19,25
|
19,30
|
19,33
|
19,37
|
19,41
|
19,45
|
19,50
|
|
3
|
10,13
|
9,55
|
9,28
|
9,12
|
9,01
|
8,94
|
8,84
|
8,74
|
8,64
|
8,53
|
|
4
|
7,71
|
6,94
|
6,59
|
6,39
|
6,26
|
6,16
|
6,04
|
5,91
|
5,77
|
5,63
|
|
5
|
6,61
|
5,79
|
5,41
|
5,19
|
5,05
|
4,95
|
4,82
|
4,68
|
4,53
|
4,36
|
|
6
|
5,99
|
5,14
|
4,76
|
4,53
|
4,39
|
4,28
|
4,15
|
4,00
|
3,84
|
3,67
|
|
7
|
5,59
|
4,74
|
4,35
|
4,12
|
3,97
|
3,87
|
3,73
|
3,41
|
3,23
|
|
8
|
5,32
|
4,46
|
4,07
|
3,84
|
3,69
|
3,58
|
3,44
|
3,28
|
3,12
|
2,93
|
|
9
|
5,12
|
4,26
|
3,86
|
3,63
|
3,48
|
3,37
|
3,23
|
3,07
|
2,90
|
2,71
|
|
10
|
4,96
|
4,10
|
3,71
|
3,48
|
3,33
|
3,22
|
3,07
|
2,91
|
2,74
|
2,54
|
|
11
|
4,84
|
3,98
|
3,59
|
3,36
|
3,20
|
3,09
|
2,95
|
2,79
|
2,61
|
2,40
|
|
12
|
4,75
|
3,88
|
3,49
|
3,26
|
3,11
|
3,00
|
2,85
|
2,69
|
2,50
|
2,30
|
|
13
|
4,67
|
3,80
|
3,41
|
3,18
|
3,02
|
2,92
|
2,77
|
2,60
|
2,42
|
2,21
|
|
14
|
4,60
|
3,74
|
3,34
|
3,11
|
2,96
|
2,85
|
2,70
|
2,53
|
2,35
|
2,13
|
|
15
|
4,54
|
3,68
|
3,29
|
3,06
|
2,90
|
2,79
|
2,64
|
2,48
|
2,29
|
2,07
|
|
16
|
4,49
|
3,63
|
3,24
|
3,01
|
2,85
|
2,74
|
2,59
|
2,42
|
2,24
|
2,01
|
|
17
|
4,45
|
3,59
|
3,20
|
2,96
|
2,81
|
2,70
|
2,55
|
2,38
|
2,19
|
1,96
|
|
18
|
4,41
|
3,55
|
3,16
|
2,93
|
2,77
|
2,66
|
2,51
|
2,34
|
2,15
|
1,92
|
|
19
|
4,38
|
3,52
|
3,13
|
2,90
|
2,74
|
2,63
|
2,48
|
2,31
|
2,11
|
1,88
|
|
20
|
4,35
|
3,49
|
3,10
|
2,87
|
2,71
|
2,60
|
2,45
|
2,28
|
2,08
|
1,84
|
|
21
|
4,32
|
3,47
|
3,07
|
2,84
|
2,68
|
2,57
|
2,42
|
2,25
|
2,05
|
1,81
|
|
22
|
4,30
|
3,44
|
3,05
|
2,82
|
2,66
|
2,55
|
2,40
|
2,23
|
2,03
|
1,78
|
|
23
|
4,28
|
3,42
|
3,03
|
2,80
|
2,64
|
2,53
|
2,38
|
2,20
|
2,00
|
1,76
|
|
24
|
4,26
|
3,40
|
3,01
|
2,78
|
2,62
|
2,51
|
2,36
|
2,18
|
1,98
|
1,73
|
|
25
|
4,24
|
3,38
|
2,99
|
2,76
|
2,60
|
2,49
|
2,34
|
2,16
|
1,96
|
1,71
|
|
26
|
4,22
|
3,37
|
2,98
|
2,74
|
2,59
|
2,47
|
2,32
|
2,15
|
1,95
|
1,69
|
|
27
|
4,21
|
3,35
|
2,96
|
2,73
|
2,57
|
2,46
|
2,30
|
2,13
|
1,93
|
1,67
|
|
28
|
4,20
|
3,34
|
2,95
|
2,71
|
2,56
|
2,44
|
2,29
|
2,12
|
1,91
|
1,65
|
|
29
|
4,18
|
3,33
|
2,93
|
2,70
|
2,54
|
2,43
|
2,28
|
2,10
|
1,90
|
1,64
|
|
30
|
4,17
|
3,32
|
2,92
|
2,69
|
2,53
|
2,42
|
2,27
|
2,09
|
1,89
|
1,62
|
|
35
|
4,12
|
3,26
|
2,87
|
2,64
|
2,48
|
2,37
|
2,22
|
2,04
|
1,83
|
1,57
|
|
40
|
4,08
|
3,23
|
2,84
|
2,61
|
2,45
|
2,34
|
2,18
|
2,00
|
1,79
|
1,51
|
|
45
|
4,06
|
3,21
|
2,81
|
2,58
|
2,42
|
2,31
|
2,15
|
1,97
|
1,76
|
1,48
|