Экономика и менеджмент строительства связи
Федеральное
агентство связи
ГОУ ВПО
СибГУТИ
Кафедра ПММ
Курсовая
работа
«Экономика и
менеджмент строительства связи»
Выполнил:
Франц А.В.
Новосибирск
2014
Содержание
Введение
Исходные данные
. Расчет показателей по
строительству объекта связи
.1 Расчет стоимости объекта связи
.2 Выбор метода организации работ на
объекте
.3 Построение сетевого графика на
прокладку ВОЛП и расчет его параметров
.4 Построение линейных графиков,
циклограмм движения бригад по участкам и графиков потребности в рабочих на
период строительства объекта
1.5 Построение календарного
план-графика производства СМР на объекте
1.6 Расчет основных
технико-экономических показателей по строительству объекта связи
. Расчет экономической эффективности
инвестиционного проекта
.1 Расчет объема услуг и доходов от
эксплуатации объекта связи
.2 Расчет эксплуатационных расходов
на содержание ВОЛП
.3 Формирование финансового
результата работы объекта связи
.4 Расчет показателей эффективности
инвестиционного проекта
.5 Расчет технико-экономических
показателей построенного объекта связи
Заключение
Список литературы
Введение
Целью курсовой работы является получение
практических навыков по расчету экономической части проекта строительства
волоконно-оптической линии связи.
В курсовой работе необходимо на основе исходных
данных произвести расчет показателей по строительству объекта и показателей
экономической эффективности инвестиций на строительство объекта связи.
В расчет показателей по строительству входит
составление объектной сметы строительства ВОЛП, выбор метода организации работ,
построение сетевого графика и расчет его параметров, построение линейных
графиков, циклограмм и графиков потребности в рабочих, построение календарного
план-графика строительства ВОЛП и расчет основных технико-экономических
показателей по строительству ВОЛП.
В расчет показателей экономической эффективности
инвестиций на строительство ВОЛП входит расчет объема услуг, доходов и
эксплуатационных расходов, формирование финансового результата работы ВОЛП, определение
эффективности инвестиционного проекта и расчет технико-экономических
показателей построенного объекта.
Исходные данные.
строительство оптический финансовый
экономический
Таблица 1. Исходные данные.
|
Наименование
показателей
|
Значение
|
|
1
Протяженность трассы, км
|
295
|
|
2
Количество цифровых 2 Мбит/с потоков
|
112
|
|
3
Показатели по строительству линейных сооружений:
|
|
|
3.1
Количество переходов, шт.
|
|
|
-
через реки
|
11
|
|
-
под автомобильными и железными дорогами
|
14
|
|
3.2
Удельный вес работ в процентах от пункта 1 согласно пунктов сметы. %
|
|
|
-пункт
2
|
60%
|
|
-
пункт 3
|
25%
|
|
-
пункт 4
|
8%
|
|
-
пункт 5
|
4%
|
|
-
пункт 8
|
3%
|
|
3.2.1
Значения протяженности трассы для отдельных пунктов сметы, км.
|
|
|
-
пункт 2
|
177
|
|
-
пункт 3
|
73,75
|
|
-
пункт 4
|
23,6
|
|
-
пункт 5
|
11,8
|
|
-
пункт 8
|
8,85
|
|
3.3
Количество участков и их протяженность, км
|
|
|
-
I участок
|
70
|
|
-
II участок
|
95
|
|
-
Ш участок
|
130
|
|
-
IV участок
|
-
|
|
3.4
Численность бригад, чел.
|
|
|
-
измерение затухания кабеля на кабельной площадке;
|
38
|
|
-
прокладка кабеля;
|
68
|
|
-
измерения и монтаж муфт;
|
38
|
|
-контрольные
и приемо-сдаточные испытания.
|
4
|
|
4.
Район строительства
|
Омская
область
|
|
5.
Дата начала строительства по плану
|
16
апреля
|
|
6.
Районный коэффициент к зарплате
|
0,25
|
|
7.
Коэффициенты перевода затрат в ценах 2001 года к текущему уровню цен:
|
|
|
-ОЗП
и ЗПМ
|
6,41
|
|
-ЭМ
|
3,62
|
|
8.
Уровень освоения проектируемой мощности на конец года эксплуатации, %
|
|
|
-
первый год
|
60
|
|
-
второй год
|
70
|
|
-
третий год
|
80
|
|
-
четвертый год
|
90
|
|
-
пятый год
|
100
|
|
-
шестой год
|
100
|
|
-
седьмой год
|
100
|
|
9.
Коэффициент перевода капвложений в основные производственные фонды
|
0,97
|
|
10.
Удельный вес оборотных средств в общей стоимости ОПФ,%
|
3,5%
|
|
11.
Ставка налога на имущество, %
|
2,2%
|
|
12.
Ставка налога на прибыль, %
|
20%
|
|
13.
Ставка налога на добавленную стоимость, %
|
18%
|
1. Расчет показателей по строительству объекта
связи
.1 Расчет стоимости объекта связи
Стоимость объекта связи состоит из следующих
составляющих:
а) стоимость строительно-монтажных работ (СМР)
на прокладку оптического кабеля (ОК);
б) стоимость оконечного оборудования с учётом
его монтажа;
в) прочие затраты (непредвиденные расходы).
Локальный сметный расчет на прокладку и монтаж
оптического кабеля представлен в таблице 1.1.
Таблица 1.1- Локальный сметный расчет на
прокладку и монтаж оптического кабеля
|
№
|
Шифр
и позиции норматива
|
Наименование
работ и затрат
|
Количество
|
Стоимость
единицы измерения, тыс.руб.
|
Общая
стоимость, тыс. руб.
|
Затраты
труда рабочих, чел-час
|
Затраты
труда чел-дни
|
|
|
|
Единица
измерения
|
Всего
|
Экспл.
машин
|
Всего
|
Основная
заработная плата
|
Экспл.
машин
|
не
занятых обсл. машин
|
|
|
|
|
|
Основная
заработплата
|
в
т.ч. зарплата
|
|
|
в
т.ч. зарплата
|
Обслуживающих
машины
|
|
|
|
|
|
|
|
|
|
|
на
ед.
|
всего
|
|
|
1
|
10-06-053-12
ФЕР
|
Измерение
затухания на кабельной площадке волоконно-оптического кабеля
|
82
|
12,38
|
11,75
|
1015,16
|
51,66
|
963,5
|
49
|
4018
|
502,25
|
|
|
|
каб.стр.
длина
|
0,63
|
0,25
|
|
|
20,5
|
16,28
|
1334,96
|
166,87
|
|
2
|
10-06-048-02
ФЕР
|
Прокладка
волоконно-оптических кабелей кабелеукладчика в грунтах групп Ш
|
177
|
37,04
|
36,47
|
6556,08
|
100,89
|
6455,19
|
55
|
9735
|
1216,87
|
|
|
|
км
трассы
|
0,57
|
1,08
|
|
|
191,16
|
79,8
|
14124,6
|
1765,57
|
|
3
|
10-06-048-02
ФЕР
|
Прокладка
волоконно-оптических кабелей кабелеукладчика в грунтах групп 1,П
|
73,75
|
27
|
26,52
|
1991,25
|
35,4
|
1955,85
|
46
|
3392,5
|
424,06
|
|
|
|
км
трассы
|
0,48
|
0,72
|
|
|
53,1
|
53,18
|
3922,02
|
490,25
|
|
4
|
10-06-048-05
ФЕР
|
Прокладка
волоконно-оптических кабелей в траншее механизированным способом
|
23,6
|
2,48
|
2,24
|
58,52
|
5,664
|
52,86
|
23
|
542,8
|
67,85
|
|
|
|
км
|
0,24
|
0,11
|
|
|
2,59
|
9,04
|
213,34
|
26,668
|
|
5
|
Е1-162-3
|
Разработка
траншей с креплением шириной и глубиной до 2м вручную в грунтах 3 группы с
обратной засыпкой
|
11,8
|
11,53
|
0
|
136,05
|
136,05
|
0
|
278
|
3280,4
|
410,05
|
|
|
|
км
|
11,53
|
0
|
|
|
0
|
0
|
0
|
0
|
|
6
|
10-07-071-01
ФЕР
|
Переходы
кабельные через водоемы на выброшенных тросах при ширине перехода до 100м
|
11
|
32,33
|
30,98
|
355,63
|
14,85
|
340,78
|
135
|
1485
|
185,62
|
|
|
|
переход
|
1,35
|
2,87
|
|
|
31,57
|
235,2
|
2587,2
|
323,4
|
|
7
|
Е-34-113-1
|
Устройство
переходов методом горизонтального бурения под автодорогами и ж/дорогами
|
14
|
0,09
|
0,08
|
1,26
|
0,14
|
1,12
|
10,5
|
147
|
18,37
|
|
|
|
переход
|
0,01
|
0,007
|
|
|
0,098
|
5,46
|
76,44
|
9,55
|
|
8
|
10-06-048-06
ФЕР
|
Прокладка
волоконно-оптических кабелей в канализации в трубопроводе по свободному
каналу
|
8,85
|
0,42
|
0,28
|
3,96
|
1,32
|
2,47
|
15
|
132,75
|
16,59
|
|
|
|
100
м кабеля
|
0,14
|
0,03
|
|
|
0,28
|
2,41
|
22,77
|
2,84
|
|
9
|
10-06-052-04ФЕР
|
Муфты
прямые с учетом измерений рефлектометром в процессе монтажа на кабеле
|
100
м кабеля
|
0,14
|
0,03
|
6220,8
|
145,8
|
0,26
|
2,41
|
21,32
|
2,66
|
|
|
|
81
|
76,8
|
75
|
|
|
6075
|
132
|
10692
|
1336,5
|
|
10
|
10-06-054-12ФЕР
|
Измерение
на смонтированном участке волоконно-оптического кабеля
|
шт
|
1,8
|
2,27
|
1033,2
|
27,06
|
183,87
|
165,09
|
13372,29
|
1671,53
|
|
|
|
82
|
12,6
|
12,27
|
|
|
1006,14
|
26
|
2132
|
266,5
|
|
11
|
Настройка
линейного цифрового тракта и синхронизация одной системы передачи
|
каб.стр.
длина
|
0,33
|
0,26
|
69,54
|
19,88
|
21,32
|
17,01
|
1394,82
|
174,35
|
|
|
|
2
|
34,77
|
24,83
|
|
|
49,66
|
672
|
1344
|
168
|
|
12
|
10-06-068-17
ФЕР
|
Контрольные
и приемосдаточные испытания
|
система
передачи
|
9,94
|
2,6
|
9,6
|
4,28
|
5,2
|
224
|
448
|
56
|
|
|
|
1
|
9,6
|
5,32
|
|
|
5,32
|
289
|
289
|
36,12
|
|
13
|
Итого
затраты по смете
|
17451
|
543,00
|
16907,90
|
-
|
-
|
-
|
|
|
|
|
510,23
|
|
|
|
|
14
|
Районный
коэффициент к заработной плате ОЗП=0,2; ЗПМ=0,2
|
4362,7
|
135,75
|
4226,97
|
-
|
-
|
-
|
|
|
|
|
127,55
|
|
|
|
|
15
|
Итого
с районным коэффициентом
|
21813
|
678,75
|
21134,87
|
-
|
-
|
-
|
|
|
|
|
637,79
|
|
|
|
|
16
|
Итого
по смете в текущих ценах ОЗП=6,43; ЭМ=3,59; ЗПМ=6,43
|
80859
|
4350,79
|
76508,25
|
-
|
-
|
-
|
|
|
|
|
4088,29
|
|
|
|
|
17
|
Нормативная
трудоемкость
|
-
|
-
|
-
|
-
|
-
|
9341,68
|
|
18
|
Сметная
заработная плата (ФОТ)
|
8439,0
|
-
|
-
|
-
|
-
|
-
|
|
19
|
Затраты
на материалы
|
17707
|
-
|
-
|
-
|
-
|
-
|
|
20
|
Накладные
расходы 105,00%*0,94ФОТ
|
8329,3
|
-
|
-
|
-
|
-
|
-
|
|
21
|
Итого
себестоимость СМР
|
10689
|
-
|
-
|
-
|
-
|
-
|
|
22
|
Сметная
прибыль 65,00% ФОТ
|
5485,4
|
-
|
-
|
-
|
-
|
-
|
|
23
|
Всего
объем СМР
|
11238
|
-
|
-
|
-
|
-
|
-
|
|
|
|
|
|
|
|
|
|
|
|
|
|
Количество муфт на 1 меньше, чем количество
кабельных строительных длин, т.е. количество муфт равно 81.
Таблица 1.2- Стоимость материалов в текущих
ценах без НДС
|
Наименование
затрат (материалов)
|
Кол-во
|
Стоимость,
тыс. руб.
|
|
|
единицы
|
всего
|
|
1
Волоконно-оптический кабель с учетом запаса, км
|
324,5
|
324,4
|
105267,8
|
|
2
Муфты для защиты сварных соединений, шт
|
81
|
81
|
6561
|
|
3
Итого основные материалы
|
-
|
-
|
111828,8
|
|
4
Прочие материалы, 10% от стоимости основных материалов
|
-
|
-
|
11182,88
|
|
5
Итого с прочими материалами
|
|
|
|
|
6
Доставка материалов на стройку, 25% от стоимости материалов с прочими
материалами
|
-
|
-
|
123011,68
|
|
7
Всего стоимость материалов
|
-
|
-
|
43054,088
|
Стоимость оконечного оборудования, включая его
настройку и монтаж без НДС, определяется путем составления локальной сметы 2,
приведенной в таблице 1.3:
Таблица 1.3 - Локальный сметный расчет 2 на
приобретение, монтаж и настройку оборудования без НДС
|
Наименование
затрат (материалов)
|
Кол-во
|
Стоимость,
тыс. руб.
|
|
|
единицы
|
всего
|
|
1
Оконечный мультиплексор STM-4, шт.
|
2
|
110
|
220
|
|
2
Устройство питания, шт.
|
6
|
15
|
90
|
|
3
Стойка «Евроконструкции» для установки оборудования, шт.
|
6
|
2
|
12
|
|
4
Мультиплексор STM-4 в качестве регенератора, шт.
|
4
|
70
|
280
|
|
5
Электрический кросс, шт.
|
2
|
1,5
|
3
|
|
6
Оптический кросс, шт.
|
6
|
3,8
|
22,8
|
|
7
Стоимость оборудования
|
-
|
-
|
627,8
|
|
8
Доставка оборудования до стройплощадки, 35% от стоимости оборудования
|
-
|
-
|
219,73
|
|
9
Стоимость с учетом доставки
|
-
|
-
|
847,53
|
|
10
Монтаж и настройка оборудования, 25% от стоимости оборудования с учетом
доставки
|
-
|
-
|
211,88
|
|
Всего
с учетом монтажа и настройки
|
-
|
|
1059,41
|
После расчета локальных смет 1 и 2 составляется
объектная смета (таблица 1.4). Прочие затраты берутся в размере 13% от объема
СМР.
Таблица 1.4 - Объектная смета
|
Форма
сметных расчетов
|
Наименование
работ (затрат)
|
Сметная
стоимость, тыс. руб.
|
|
|
СМР
|
Оборуд-е
|
Прочие
|
Всего
|
|
1
Локальная смета 1
|
Прокладка
и монтаж волоконно-оптического кабеля
|
98459,72
|
-
|
12799,76
|
111259,48
|
|
2
Локальная смета 2
|
Приобретение,
монтаж и настройка оборудования
|
-
|
1059,41
|
-
|
1059,41
|
|
3
Итого
|
98459,72
|
1059,41
|
12799,76
|
112318,89
|
|
4
Временные здания и сооружения (4,7% от стоимости СМР)
|
4627,61
|
-
|
-
|
4627,61
|
|
5
Непредвиденные расходы (1,5% от стоимости СМР)
|
1476,89
|
-
|
-
|
1476,89
|
|
6
Итого с временными зданиями и непредвиденными расходами
|
104564,22
|
1059,41
|
12799,76
|
118423,4
|
|
7
НДС (18%)
|
-
|
-
|
-
|
21316,21
|
|
8
Итого по смете с учетом НДС
|
-
|
-
|
-
|
139739,61
|
Таким образом, сумма инвестиций на осуществление
проекта составила 139739,61 тыс. руб., а сумма капитальных затрат - 118423,4
тыс. руб.
.2 Выбор метода организации работ на объекте
Выполнение строительно-монтажных работ на
объекте осуществляется специализированными бригадами.
При использовании специализированных бригад
возможно применение трех методов организации работ на объекте:
последовательный, параллельный и поточный.
При последовательном методе организации работ на
объекте работы на последующем участке выполняются после окончания всех работ на
предыдущем участке. Достоинством данного метода является минимум затрат в
каждый момент времени, а недостатками являются большие сроки строительства и
прерывистость в работе бригад.
При параллельном методе организации работ на
объекте все работы ведутся одновременно. Достоинством данного метода является
быстрое окончание срока строительства, а недостатком является большие
единовременные затраты. Параллельный метод организации работ используется для
выполнения работ в короткие сроки.
При поточном методе организации работ на объекте
одноименные работы выполняются последовательно, а разноименные работы -
параллельно. Данный метод включает достоинства и последовательного и
параллельного метода. То есть для поточного метода организации работ срок
строительства такой же, как и для параллельного, но этот метод не требует
больших единовременных затрат.
В данной курсовой работе будет применяться
поточный метод организации работ на объекте.
Распределение трудовых затрат между участками и
бригадами представлено в таблице 1.5:
Таблица 1.5 - Распределение трудовых затрат
между участками и бригадами, чел-дни
|
Участки
|
Протяженность
трассы, км
|
Наименование
комплексов работ бригад
|
Итого
|
|
|
Измерение
затухания кабеля на кабельной площадке
|
Прокладка
кабеля
|
Измерение
и монтаж муфт
|
Контрольные
и приемо-сдаточные испытания
|
|
|
I
|
70
|
158,77
|
1176,36
|
871,53
|
9,99
|
2216,67
|
|
II
|
95
|
215,47
|
1596,49
|
1182,79
|
13,56
|
3008,33
|
|
III
|
130
|
294,86
|
2184,68
|
1618,56
|
18,56
|
4116,67
|
|
Итого
|
295
|
669,12
|
4957,54
|
3672,88
|
42,12
|
9341,68
|
.3 Построение сетевого графика на прокладку ВОЛП
и расчет его параметров
Для построения сетевого графика в первую очередь
составляется карточка-определитель работ сетевого графика, представленная в
виде таблицы 1.6.
Таблица 1.6 - Карточка-определитель работ
сетевого графика
|
Код
работ
|
Наименование
работ
|
Трудовые
затраты, чел-дни
|
Численность
бригады, чел.
|
Продолж.
работ, дни
|
|
I участок
|
|
1-2
|
Измерение
затухания кабеля на кабельной площадке
|
158,77
|
38
|
4
|
|
3-4
|
Прокладка
кабеля
|
1176,36
|
68
|
16
|
|
4-5
|
Измерение
и монтаж муфт
|
871,53
|
38
|
20
|
|
Контрольные
и приемо-сдаточные испытания
|
9,99
|
4
|
3
|
|
Итого
по I участку
|
2216,67
|
148
|
43
|
|
II участок
|
|
14-15
|
Измерение
затухания кабеля на кабельной площадке
|
215,47
|
38
|
5
|
|
16-17
|
Прокладка
кабеля
|
1596,49
|
68
|
|
18-19
|
Измерение
и монтаж муфт
|
1182,79
|
38
|
28
|
|
20-21
|
Контрольные
и приемо-сдаточные испытания
|
18,56
|
4
|
4
|
|
Итого
по II участку
|
3008,33
|
148
|
58
|
|
III участок
|
|
6-7
|
Измерение
затухания кабеля на кабельной площадке
|
294,86
|
38
|
6
|
|
8-9
|
Прокладка
кабеля
|
2184,68
|
68
|
27
|
|
10-11
|
Измерение
и монтаж муфт
|
1618,56
|
38
|
35
|
|
12-13
|
Контрольные
и приемо-сдаточные испытания
|
17,94
|
4
|
4
|
|
Итого
по III участку
|
4116,67
|
148
|
72
|
|
Всего
по объекту
|
9341,68
|
|
|
Продолжительность работ: на I
участке = 43 раб.дн.; на II
участке = 58 раб. дн.; на III
участке = 72 раб.дн.;
Следовательно, оптимальный вариант прохождения
бригад по участкам будет иметь следующий вид: I,
II, III.
Сетевой график представлен на рисунке 1.1.
Таблица 1.7 - Расчет параметров работ сетевого
графика
|
1
|
2
|
3
|
4
|
5
|
6
|
7
|
8
|
|
Код
работ
|
tij
|
TijРН
|
TijРО
|
TijПН
|
TijПО
|
Rij
|
rij
|
|
1-2
|
4
|
0
|
4
|
0
|
4
|
0
|
0
|
|
2-3
|
16
|
4
|
20
|
4
|
20
|
0
|
0
|
|
2-6
|
0
|
4
|
4
|
15
|
15
|
11
|
0
|
|
3-4
|
20
|
20
|
40
|
21
|
41
|
1
|
0
|
|
3-8
|
0
|
20
|
20
|
20
|
20
|
0
|
0
|
|
4-5
|
3
|
40
|
43
|
97
|
100
|
57
|
0
|
|
4-10
|
0
|
40
|
40
|
41
|
41
|
1
|
1
|
|
5-12
|
0
|
43
|
43
|
100
|
110
|
57
|
26
|
|
6-7
|
5
|
4
|
9
|
15
|
20
|
11
|
0
|
|
7-8
|
0
|
9
|
9
|
20
|
20
|
11
|
11
|
|
7-14
|
0
|
9
|
9
|
36
|
36
|
27
|
0
|
|
8-9
|
21
|
20
|
41
|
20
|
41
|
0
|
0
|
|
9-10
|
0
|
41
|
41
|
41
|
41
|
0
|
0
|
|
9-15
|
0
|
41
|
41
|
42
|
42
|
1
|
0
|
|
10-11
|
28
|
41
|
69
|
41
|
69
|
0
|
0
|
|
11-12
|
0
|
69
|
69
|
100
|
100
|
31
|
0
|
|
11-16
|
0
|
69
|
69
|
69
|
69
|
0
|
0
|
|
12-13
|
4
|
69
|
73
|
100
|
104
|
31
|
0
|
|
13-17
|
0
|
73
|
73
|
104
|
104
|
31
|
31
|
|
14-15
|
6
|
9
|
15
|
36
|
42
|
27
|
26
|
|
15-16
|
27
|
41
|
68
|
42
|
69
|
1
|
1
|
|
16-17
|
35
|
69
|
104
|
69
|
104
|
0
|
0
|
|
17-18
|
4
|
104
|
108
|
104
|
108
|
0
|
0
|
Критический путь:
-2-3-8-9-10-11-16-17-18 (продолжительность 108
раб.день);
Полученные критические пути выделены на сетевом
графике (рисунок 1.1).
.4 Построение линейных графиков, циклограмм
движения бригад по участкам и графиков потребности в рабочих на период
строительства объекта
Линейный график, циклограмма движения бригад по
участкам и график потребности в рабочих на период строительства объекта до
корректировки представлены на рисунке 1.2.
Так как бригады имеют разрывы на линейном
графике (рисунок 1.2), то необходимо произвести корректировку линейного графика
(рисунок 1.3).
.5 Построение календарного план-графика
производства СМР на объекте
Календарный план-график производства СМР на
объекте строится на основании скорректированного линейного графика с учетом
календаря рабочих дней на период строительства.
Календарь рабочих дней с учетом даты начала
работ (16 апреля 2013 года) на объекте представлен в таблице 1.8:
Таблица 1.8 - Календарь рабочих дней
Срок окончания строительства объекта по плану -
18.09.2014 года.
.6 Расчет основных технико-экономических
показателей по строительству объекта связи
Таблица 1.9 - Основные технико-экономические
показатели по строительству объекта связи (ВОЛП)
|
Наименование
показателей
|
Значение
|
|
1
Протяженность трассы, км
|
295
|
|
2
Срок начала строительства по плану, день
|
16 апреля
|
|
3
Срок окончания строительства по плану, день
|
18
сентября
|
|
4
Продолжительность строительства по плану, раб.дн.
|
108
|
|
5
Плановая трудоемкость СМР, чел-дн.
|
9341,68
|
|
6
Плановая численность рабочих, чел.
|
148
|
|
7
Сумма инвестиций на строительство объекта, тыс. руб.
|
139739,61
|
|
8
Капитальные затраты на строительство объекта, тыс. руб.
|
118423,4
|
|
9
Капитальные затраты на 1 км трассы, тыс. руб.
|
438,6
|
|
10
Стоимость СМР, тыс. руб.
|
112381,72
|
|
11
Плановая себестоимость СМР, тыс. руб.
|
106896,31
|
|
12
Плановая прибыль СМО, тыс. руб.
|
5485,40
|
|
13
Выработка одного рабочего за весь период строительства, тыс. руб./чел.
|
12030,93
|
|
14
Выработка одного рабочего за 1 день, тыс. руб./чел.
|
8,36
|
|
15
Фонд оплаты труда, тыс. руб.
|
17707,88
|
|
16
Средняя заработная плата рабочего за весь период строительства, тыс. руб.
|
189,56
|
|
17
Средняя заработная рабочего за 1 день, тыс. руб.
|
1,75
|
Выработка одного рабочего за 1 день
рассчитывается как отношение стоимости СМР к плановой трудоемкости.
Средняя заработная плата рабочего за 1 день
рассчитывается как отношение фонда оплаты труда к плановой трудоемкости.
2. Расчет экономической эффективности
инвестиционного проекта
.1 Расчет объема услуг и доходов от эксплуатации
объекта связи
Расчет доходов производится от предоставления
магистральных 2 Мбит/с потоков связи на основании существующих тарифов,
разработанных ОАО «Ростелеком».Тарифы:
· подготовка и включение одного 2
Мбит/с потока = 12,5 тыс. руб.
· абонентская плата за один 2 Мбит/с
поток в месяц = 300 тыс. руб.
Расчёт объёмов услуг и тарифных доходов
приведены в таблице 2.1.
Таблица 2.1 - Расчет объема услуг и тарифных
доходов
|
Наименование
показателей
|
2015
|
2016
|
2017
|
2018
|
2019
|
2020
|
2021
|
Итого
|
|
1
Уровень освоения проектируемой мощности ВОЛП:
|
|
|
|
|
|
|
|
|
|
-
на конец года (q), %
|
60
|
70
|
80
|
90
|
100
|
100
|
100
|
-
|
|
-
в среднем за год (q), %
|
25
|
55
|
65
|
75
|
85
|
95
|
100
|
-
|
|
2
Прирост объема услуг:
|
|
|
|
|
|
|
|
|
|
-
предоставление в пользование магистральных 2 Мбит/с потоков
|
49
|
61
|
72
|
82
|
82
|
82
|
82
|
-
|
|
-
прирост потоков за год
|
49
|
12
|
11
|
10
|
-
|
-
|
-
|
|
-
количество потоков в среднем за год
|
25
|
54
|
64
|
74
|
76
|
82
|
82
|
-
|
|
3
Доходы от услуг, тыс. руб.:
|
|
|
|
|
|
|
|
|
|
-
подготовка и включение магистральных потоков
|
612,5
|
150
|
137,5
|
125
|
-
|
-
|
-
|
1025
|
|
-
абонентская плата за использование потоков
|
90000
|
194400
|
230400
|
266400
|
273600
|
295200
|
295200
|
1645200
|
|
4
Всего доходов, тыс. руб.
|
90612,5
|
194550
|
230537,5
|
266525
|
273600
|
295200
|
295200
|
1646225
|
.2 Расчет эксплуатационных расходов на
содержание ВОЛП
Расчет годового фонда оплаты труда
Для расчёта ФОТ необходимо знать численность
кадров и их среднемесячную заработную плату с учётом районного коэффициента.
Численность работников, обслуживающих ВОЛП
(линейного персонала) определяется:
,
где М - протяжённость ВОЛП с учётом
запаса, М = 324,4 км;
Н - норматив на обслуживание 1 км
кабеля в месяц, равный 6 часов;
Фмес - месячный фонд
рабочего времени, равный 165,5 часов;
h -
коэффициент, учитывающий необходимую подмену рабочих на время отпуска, равный
1,08.
.
Кроме линейного персонала (Члин)
необходимо учесть численность станционного персонала (Чстанц),
которая для каждого оконечного пункта составляет 6 человек.
При этом общая численность
Чобщ = Члин +
2 х Чстанц.
Чобщ = 12 + 2 х 6 = 24
человек.
Расчет суммы амортизационных
отчислений
Расчет амортизационных отчислений
производится исходя из стоимости основных производственных фондов (ОПФ) и нормы
амортизации в таблице 2.2:
Таблица 2.2 - Расчет суммы
амортизационных отчислений
|
Наименование
ОПФ
|
Первоначальная
стоимость ОПФ, тыс. руб.
|
Норма
амортизации за год, %
|
Сумма
амортизации за год, тыс. руб.
|
|
1
Стоимость ВОЛП
|
117363,99
|
5,6
|
6572,38
|
|
2
Стоимость оборудования с учетом монтажа
|
1059,41
|
10
|
105,94
|
|
Итого
|
118423,4
|
-
|
6678,32
|
Остальные статьи расходов
Расчет остальных статей расходов производится
исходя из сложившейся структуры затрат на ОАО «Ростелеком». Расчет представлен
в таблице 2.3:
Таблица 2.3 - Структура и сумма статей затрат
|
Наименование
статей затрат
|
Сумма
затрат, тыс. руб.
|
Удельный
вес, %
|
|
1
Фонд оплаты труда
|
10368
|
10,00
|
|
2
Отчисления на социальные нужды
|
3110,4
|
3
|
|
3
Амортизация основных производственных фондов
|
6678,32
|
6,45
|
|
4
Материальные затраты
|
21772
|
21,00
|
|
5
Прочие затраты
|
61751,28
|
59,55
|
|
Итого
|
103680
|
100,00
|
Так как фонд оплаты труда составляет 10% от
суммы эксплуатационных затрат, то сумма эксплуатационных затраты составит:
.3 Формирование финансового результата работы
объекта связи
Таблица 2.4 - Расчет финансового результата
работы объекта связи
|
Наименование
показателей:
|
2014
|
2015
|
2016
|
2017
|
2018
|
2019
|
2020
|
|
1
Средний уровень проектируемой мощности ВОЛП, %
|
25
|
55
|
65
|
75
|
85
|
95
|
100
|
|
2
Доходы от услуг связи, тыс. руб.
|
90612,5
|
194550
|
230537,5
|
266525
|
273600
|
295200
|
295200
|
|
3
Расходы на производство услуг связи, тыс. руб.
|
25920
|
57024
|
67392
|
77760
|
88128
|
98496
|
103680
|
|
3.1
Сумма амортизации, тыс. руб.
|
6678,32
|
6678,32
|
6678,32
|
6678,32
|
6678,32
|
6678,32
|
6678,32
|
|
3.2
Остальные статьи затрат, тыс. руб.
|
19241,68
|
50345,68
|
60713,68
|
71081,68
|
81449,68
|
91817,68
|
97001,68
|
|
4
Прибыль от реализации услуг связи, тыс. руб.
|
64692,5
|
137526
|
163145,5
|
188765
|
185472
|
196704
|
191520
|
|
5
Внереализационные расходы (налог на имущество), тыс. руб.
|
2531,853
|
2384,93
|
2238,007
|
2091,084
|
1944,161
|
1797,238
|
1650,315
|
|
5.1
Стоимость ОПФ на начало года, тыс. руб.
|
118423,4
|
111745,1
|
105066,8
|
98388,44
|
91710,12
|
85031,8
|
78353,48
|
|
5.2
Стоимость ОПФ на конец года, тыс. руб.
|
111745,1
|
105066,8
|
98388,44
|
91710,12
|
85031,8
|
78353,48
|
71675,16
|
|
5.3
Среднегодовая стоимость ОПФ, тыс. руб.
|
115084,2
|
108405,9
|
101727,6
|
95049,28
|
88370,96
|
81692,64
|
75014,32
|
|
6
Налогооблагаемая прибыль, тыс. руб.
|
62160,65
|
135141,1
|
160907,5
|
186673,9
|
183527,8
|
194906,8
|
189869,7
|
|
7
Налог на прибыль, тыс. руб.
|
12432,13
|
27028,21
|
32181,5
|
37334,78
|
36705,57
|
38981,35
|
37973,94
|
|
8
Прибыль, остающаяся на предприятии связи, тыс. руб.
|
49728,52
|
108112,9
|
128726
|
149339,1
|
146822,3
|
155925,4
|
151895,7
|
|
9
Прибыль с учетом амортизации, тыс. руб.
|
56406,84
|
114791,2
|
135404,3
|
156017,5
|
153500,6
|
162603,7
|
158574,1
|
.4 Расчет показателей эффективности
инвестиционного проекта
К основным показателям эффективности инвестиций
относятся чистый дисконтированный доход (ЧДД), индекс доходности (ИД) и срок
окупаемости капитальных вложений.
Чистый дисконтированный доход (ЧДД)
рассчитывается как разность чистого дисконтированного потока денег и чистых
дисконтированных инвестиционных затрат:
где ЧДПt
- чистые денежные поступления на t-ом
шаге расчета;
ИЗt
- капитальные вложения на t-ом
шаге расчета;
n - число шагов
расчета.
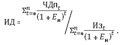
Индекс доходности (ИД) рассчитывается
нарастающим итогом по формуле:
Расчет показателей ЧДД и ИД производится в
таблице 2.5:
Таблица 2.5 - Расчет показателей эффективности
инвестиционного проекта
|
Годы
|
Шаг
|
КД
|
Чистая
прибыль (с учетом амортизации), тыс. руб.
|
Приведенная
чистая прибыль, тыс. руб.
|
Приведенная
чистая прибыль нарастающим итогом, тыс. руб.
|
Инвестиционные
затраты, тыс. руб.
|
Приведенные
инвестиционные затраты нарастающим итогом, тыс. руб.
|
ЧДД
|
ИД
|
|
2014
|
0
|
1
|
-
|
-
|
-
|
139739,6
|
139739,6
|
-139739,6
|
0,35
|
|
2015
|
1
|
0,8700
|
56406,84
|
49073,95
|
49073,95
|
0
|
139739,6
|
-90665,66
|
0,97
|
|
2016
|
2
|
0,7561
|
114791,2
|
86793,62
|
135867,5
|
0
|
139739,6
|
-3872,04
|
1,61
|
|
2017
|
3
|
0,6575
|
135404,3
|
89028,32
|
224895,8
|
0
|
139739,6
|
85156,28
|
2,25
|
|
2018
|
4
|
0,5718
|
156017,5
|
89210,8
|
314106,6
|
0
|
139739,6
|
174367,08
|
2,79
|
|
2019
|
5
|
0,4972
|
153500,6
|
76320,49
|
390427,1
|
0
|
139739,6
|
250687,57
|
3,30
|
|
2020
|
6
|
0,4323
|
162603,7
|
70293,57
|
460720,7
|
0
|
139739,6
|
320981,14
|
3,72
|
|
2021
|
7
|
0,3759
|
158574,1
|
59608
|
520328,7
|
0
|
139739,6
|
380589,14
|
0,35
|
На третьем шаге (2017 год) ЧДД>0, а ИД>1.
Это означает, что проект является выгодным и эффективным, а срок окупаемости
инвестиций составит 4 года.
.5 Расчет технико-экономических показателей
построенного объекта связи
Таблица 2.6 - Технико-экономические показатели
построенного объекта связи
|
Наименование
показателей
|
Значение
|
|
1
Протяженность трассы, км
|
295
|
|
2
Количество цифровых 2 Мбит/с потоков
|
112
|
|
3
Количество потоко-км
|
33040
|
|
4
Капитальные затраты на объект в целом, тыс. руб.
|
118423,4
|
|
4.1
Удельные капитальные затраты на 1 км, тыс. руб.
|
438,61
|
|
5
Среднегодовые доходы от предоставления услуг связи, тыс. руб.
|
235175
|
|
6
Среднегодовые затраты на производство услуг связи, тыс. руб.
|
74057,14
|
|
6.1
Удельные затраты на производство услуг связи на 1 км, тыс. руб.
|
274,28
|
|
7
Среднегодовая прибыль, остающаяся в организации (без учета амортизации), тыс.
руб.
|
127221,41
|
|
8
Себестоимость 100 руб. доходов, руб.
|
31,49
|
|
9
Численность работников, чел
|
24
|
|
10
Среднегодовая производительность труда, тыс. руб.
|
9798,95
|
|
11
Среднегодовая стоимость ОПФ, тыс. руб.
|
95049,28
|
2,47
|
|
13
Фондовооруженность, тыс. руб./чел.
|
3960,38
|
|
14
Затратная рентабельность, %
|
171,7
|
|
15
Оборотные средства, тыс. руб.
|
3326,72
|
|
16
Ресурсная рентабельность, %
|
129,3
|
|
17
Срок окупаемости, лет
|
4
|
Стоимость оборотных средств равна:
Ресурсная рентабельность равна:
Заключение
В данной курсовой работе по исходным данным был
выполнен расчет показателей строящегося и функционирующего объекта, расчет
экономической эффективности предприятия связи. Строительно-монтажные работы
выполнялись поточным методом. Так же было выполнено построение сетевого графика
производства работ и рассчитаны его параметры табличным методом. Исходя из
рассчитанных данных, построены необходимые линейный график, циклограмму и график
потребности рабочих с их оптимизацией. Построен календарный план-график
производства работ, упрощающий контроль над проведением строительных работ.
Далее были рассчитаны технико-экономические
показатели проекта, важнейшими из которых являются сроки проведения работ и
затраты, которые несет инвестор при строительстве. Сроки строительства объекта
по плану 16.04.2014 - 18.09.2014.
Также определена экономическая эффективность
проекта. Срок окупаемости проекта наступит в 2017 году (проект окупится за 4 года),
что является достаточно высоким показателем. Таким образом, данный проект
строительства волоконно-оптической линии передачи является экономически
эффективным, и его выполнение целесообразно.
Список литературы
1) Седельников С.Я. Экономика и
менеджмент строительства связи: Практикум / СибГУТИ. - Новосибирск, 2008 г. -
28с.
) Конспект лекций по дисциплине
«Менеджмент в телекоммуникациях». Лектор Булышкина А.В.