Нормирование оборотных средств

  • Вид работы:
    Курсовая работа (т)
  • Предмет:
    Эктеория
  • Язык:
    Русский
    ,
    Формат файла:
    MS Word
    379,35 Кб
  • Опубликовано:
    2015-06-20
Вы можете узнать стоимость помощи в написании студенческой работы.
Помощь в написании работы, которую точно примут!

Нормирование оборотных средств

Алтайский филиал МЭСИ










Курсовая работа

Нормирование оборотных средств


Выполнила

студентка группы АЛ-ЗЛЭ-201

А.Ю. Несветайло

Проверил преподаватель

О.В. Сова





Славгород 2013

Содержание

1. Нормирование оборотных средств

1.1 Понятие, классификация и структура оборотных средств

1.2 Нормирование оборотных средств

1.3 Основные принципы нормирования средств

1.4 Показатели эффективности использования оборотных средств

2. Практическая часть

2.1 Производственная программа предприятия

.2 Планирование затрат на производство и реализацию продукции

2.3 Планирование внереализационных расходов

2.4 Планирование и распределение прибыли

2.5 Расчет точки безубыточности

2.6 Технико-экономические показатели предприятия

Заключение

Список рекомендуемой литературы

Приложение

1. Нормирование оборотных средств

 

.1 Понятие, классификация и структура оборотных средств


Любой производственный процесс на предприятии является результатом соединения рабочей силы со средствами производства, которые представлены основным и оборотным капиталом. Оборотные средства - важнейший элемент производства, обеспечивающий его необходимыми финансовыми ресурсами и обусловливающий непрерывность функционирования предприятия.

Оборотные средства представляют собой сумму денежных средств, авансированных для создания оборотных производственных фондов и фондов обращения.

Оборотные производственные фонды - это часть средств производства, которая один раз участвует в производственном процессе, сразу и полностью переносит свою стоимость на производимую продукцию и в процессе производства изменяет (сырье, материалы) или утрачивает (топливо) свою натурально-вещественную форму. К ним относятся: сырье, основные и вспомогательные материалы, комплектующие изделия, не законченная производством продукция, топливо, тара, спецодежда, расходы будущих периодов и др.

Фонды обращения включают средства, обслуживающие процесс реализации продукции (готовая продукция на складе; товары, отгруженные заказчикам, но еще не оплаченные ими; средства в расчетах; денежные средства в кассе предприятия и на счетах в банках). Они не участвуют в производственном процессе, но необходимы для обеспечения единства производства и обращения.

Доля оборотных производственных фондов и фондов обращения в структуре оборотных средств зависит от отраслевой принадлежности предприятия, длительности производственного цикла, уровня специализации и кооперирования и других факторов.

Оборотные средства предприятия находятся в постоянном движении и функционируют одновременно в двух сферах: сфере производства и сфере обращения. На протяжении производственного цикла они проходят три стадии кругооборота:

·              первая стадия (снабжение) предполагает затрачивание денежных средств и поставку предметов труда. На этой стадии происходит переход оборотных средств из денежной формы в товарную;

·              на второй стадии (производство) оборотные фонды поступают в производство, в конечном итоге превращаясь в готовую продукцию;

·              третья стадия (сбыт) наступает, когда готовая продукция реализуется потребителям. Оборотные средства переходят из сферы производства в сферу обращения и снова меняют форму - с товарной на денежную.

Таким образом, средства совершают один оборот, затем все повторяется вновь: денежные средства от реализации продукции направляются на приобретение новых предметов труда и т. д.

В процессе движения оборотные средства одновременно находятся на всех стадиях и во всех формах, в результате чего достигается непрерывность и ритмичность процесса производства на предприятии. Продолжительность нахождения оборотных средств на каждой стадии кругооборота неодинакова и зависит от технологических свойств сырья и готовой продукции, длительности производственного цикла, особенностей материально-технического снабжения и сбыта продукции. Так, например, сезонность поступления сырья в некоторых отраслях (плодоовощная промышленность) обусловливает задержку оборотных средств на первой стадии кругооборота; в отраслях с длительным производственным циклом (судостроение) происходит задержка оборотных средств на второй стадии кругооборота в виде незавершенного производства; неравномерность реализации продукции вызывает аккумулирование средств на третьей стадии кругооборота.

В практике экономической работы для изучения состава и структуры оборотные средства классифицируются по нескольким признакам.

По сферам оборота (по экономическому содержанию) оборотные средства подразделяются на оборотные производственные фонды (сфера производства) и фонды обращения (сфера обращения).

Отдельные части оборотных средств имеют различное назначение и по-разному используются в производственно-хозяйственной деятельности, поэтому они классифицируются по следующим элементам.

Оборотные фонды:

·              производственные запасы - сырье, основные и вспомогательные материалы, покупные полуфабрикаты, топливо, тара, запчасти;

·              незавершенное производство и полуфабрикаты собственного производства;

·              расходы будущих периодов. Фонды обращения:

·              готовая продукция на складах;

·              продукция отгруженная, но не оплаченная;

·              средства в расчетах;

·              денежные средства в кассе и на счетах.

Стоимость незавершенного производства складывается из стоимости расходуемого сырья, основных и вспомогательных материалов, топлива, энергии, воды, перенесенной на продукт части стоимости ОПФ, а также заработной платы, начисленной работникам. величина задела незавершенного производства зависит от длительности производственного цикла и размера партии.

Затраты на освоение новой продукции, подготовительные и другие работы, рассчитанные на длительное время, составляют расходы будущих периодов и списываются на себестоимость продукции в будущем. Их необходимость вызвана проведением работ, связанных с финансированием перспективных изменений в структуре выпускаемой продукции, технологии и др.

По охвату нормированием оборотные средства делятся на нормируемые и ненормируемые. По нормируемым оборотным средствам устанавливаются нормативы, т.е. минимальные размеры (оборотные средства в запасах товарно-материальных ценностей). Величина ненормируемых оборотных средств контролируется не по нормативам, а по фактическим данным (дебиторская задолженность, средства в расчетах, денежные средства в кассе и на счетах предприятия).

По источникам формирования оборотные средства делятся на собственные и заемные. Собственные - это оборотные средства, находящиеся в постоянном пользовании предприятия. К ним относятся средства, которыми предприятие наделяется при его организации (уставный капитал), отчисления от прибыли, устойчивые пассивы (например, задолженность персоналу по заработной плате). Однако в процессе производственно-хозяйственной деятельности по различным причинам у предприятия нередко появляется дополнительная потребность в финансовых ресурсах, которая покрывается за счет заемных средств (например, кредитов банков).

Наличие собственных и заемных средств в обороте объясняется особенностями организации производственного процесса. Перед каждым предприятием стоит задача поддержания оптимальной пропорции между собственными и заемными средствами, которая характеризует финансовую устойчивость предприятия. Считается, что постоянная минимальная сумма средств для финансирования потребностей производства обеспечивается собственными оборотными средствами. Временная потребность в средствах, возникшая под влиянием зависящих и не зависящих от предприятия причин, покрывается за счет заемных средств.

Под структурой оборотных средств понимается соотношение их отдельных элементов во всей совокупности. Она зависит от отраслевой принадлежности предприятия, от уровня специализации и кооперирования, от качества и конкурентоспособности производимой продукции, длительности производственного цикла, темпов научно-технического развития предприятия. На предприятиях с длительным производственным циклом (например, в тяжелом машиностроении, судостроении) велика доля незавершенного производства; в легкой и пищевой промышленности, где производственный цикл сравнительно короткий, в структуре оборотных средств преобладают производственные запасы при невысокой доле незавершенного производства; в электроэнергетике вообще отсутствует незаконченная продукция; на предприятиях горно-добывающей отрасли значительна доля расходов будущих периодов.

Анализ структуры оборотных средств на предприятии имеет большое значение, поскольку она является своего рода зеркалом, в котором отражается финансовое состояние предприятия. Так, чрезмерное увеличение доли дебиторской задолженности, готовой продукции, незавершенного производства свидетельствует об ухудшении финансового состояния. Дебиторская задолженность характеризует отвлечение средств из оборота данного предприятия и использование их дебиторами в своем обороте. Неудовлетворительная организация сбыта готовой продукции ведет к повышению доли готовой продукции на складе (затовариванию), отвлечению значительной части оборотных средств из оборота, снижению объема реализации, а следовательно, и прибыли. Напротив, хорошо организованная система сбыта продукции, выпуск товаров по заказам потребителей, налаженный механизм отгрузки не позволяют оборотным средствам задерживаться на этой стадии кругооборота.

Организация оборотных средств на предприятии включает определение потребности в оборотных средствах, их структуры, источников формирования оборотных средств и управление использованием оборотных средств (повышение их оборачиваемости).

 


1.2 Нормирование оборотных средств


С точки зрения эффективности производства объем оборотных средств должен быть оптимальным, т.е. достаточным для обеспечения бесперебойного производственного процесса, но в то же время минимальным, не ведущим к образованию сверхнормативных запасов, замораживанию средств, росту издержек производства и реализации продукции. Необходимость формирования оборотных средств в оптимальном размере вызвана тем, что между временем потребления материальных ресурсов в производстве и поступлением выручки от реализации существует временной лаг, зависящий от множества внутренних и внешних факторов. Сумма оборотных средств, достаточная для нормального функционирования процесса производства и реализации продукции, устанавливается путем нормирования оборотных средств, которое является основой их рационального использования.

Нормирование оборотных средств - это процесс определения минимальной, но достаточной для нормального протекания производственного процесса величины оборотных средств на предприятии.

В условиях рыночной экономики значение нормирования оборотных средств очень велико: предприятия самостоятельно должны устанавливать и контролировать норматив оборотных средств, так как в конечном итоге от этого зависит эффективность деятельности предприятия и его финансовое положение (платежеспособность, устойчивость, ликвидность). Занижение величины оборотных средств влечет за собой неустойчивое финансовое положение, перебои в производственном процессе и, как следствие, снижение объема производства продукции и прибыльности. Напротив, завышение размера оборотных средств замораживает средства в любом виде (складские запасы, приостановленное производство, излишние сырье и материалы), тем самым препятствуя вложению средств в расширение и обновление производства.

В практике внутрипроизводственного планирования предприятия используют следующие методы нормирования оборотных средств.

Аналитический метод предполагает расчет потребности в оборотных средствах в размере их фактических средних остатков с учетом роста объема производства продукции в плановом периоде. Предварительно проводится детальный анализ эффективности использования оборотных средств в базисном периоде, выявляются факторы и резервы ускорения их оборачиваемости. Применяется на предприятиях, в структуре оборотных средств которых большую долю занимают производственные запасы.

Коэффициентный метод основан на делении элементов оборотных средств на две группы в зависимости от изменения объема производства. Оборотные средства, входящие в первую группу, зависят от объема производства. Расчет потребности в них производится аналитическим методом исходя из их размера в прошлом периоде и предполагаемого роста объема производства (сырье, материалы, готовая продукция, незавершенное производство). вторая группа включает расходы будущих периодов, запчасти, малоценные и быстроизнашивающиеся предметы, т.е. все виды оборотных средств, величина которых не зависит от изменения объема производства. Нормирование оборотных средств второй группы производится на основе фактических средних остатков за прошлый период.

Метод прямого счета заключается в расчете потребности в нормируемых оборотных средствах по каждому их элементу.

Достоинство этого метода заключается главным образом в том, что он позволяет точно определить потребность в оборотных средствах. Однако он достаточно трудоемок, требует высокой квалификации экономистов и в основном применяется при узкой номенклатуре материальных ресурсов.

Метод используется с целью уточнения потребности в оборотных средствах действующего предприятия или при организации нового предприятия, когда нет еще ни статистических данных, ни ритмично действующего производства, ни сформированной производственной программы.

Метод прямого счета требует определения норм запаса и среднедневного расхода по отдельным видам оборотных средств.

При нормировании оборотных средств необходимо учитывать зависимость норм и нормативов от длительности производственного цикла, условий материально-технического снабжения (интервалов между поставками, размеров поставляемых партий, удаленности поставщиков, скорости перевозок) и условий реализации продукции.

Методика расчета потребности в оборотных средствах способом прямого счета представлена ниже.

Общий норматив оборотных средств представляет собой сумму частных нормативов:

Нобщ = Нп. з + Нн. п + Нг. п + Нб. р,

где Нпз - норматив производственных запасов;

Нг. п - норматив готовой продукции;

Нб. р - норматив расходов будущих периодов.

все слагаемые общего норматива оборотных средств должны быть представлены в денежном выражении.

Норматив производственных запасов определяется по формуле:

Нп. з = Qсут * N,

где Qсут - среднедневной расход материалов, руб.;- норма запаса для данного элемента оборотных средств, дни.

Норма запаса оборотных средств представляет собой период (количество дней), в течение которого оборотные средства отвлечены в производственные запасы.

Норма запаса складывается из текущего, подготовительного, страхового, транспортного и технологического запасов:

= Nт. з + Nп. з + Nстр + Nтр + Nтехн.

Текущий запас - основной вид запаса, обеспечивающий непрерывность процесса производства продукции. На размер текущего запаса влияют периодичность поставок по договорам и объем потребления материалов в производстве. Он принимается обычно на уровне половины среднего интервала между поставками. Средний интервал между равномерными поставками (цикл снабжения) определяется путем деления 360 дней на число планируемых поставок.

Страховой, или гарантийный, запас необходим на случай непредвиденных обстоятельств (например, в случае недопоставки сырья) и устанавливается, как правило, в размере 50% текущего запаса, но может быть и меньше этой величины в зависимости от местоположения поставщиков и вероятности перебоев.

Транспортный запас создается лишь в случае превышения сроков грузооборота в сравнении со сроками документооборота. Документооборот - время на высылку расчетных документов и сдачу их в банк, время на обработку документов в банке, время почтового пробега документов. На практике транспортный запас определяется на основе фактических данных за предшествующий период.

Технологический запас создается в период подготовки материалов к производству, включая анализ и лабораторные испытания. Технологический запас учитывается лишь в том случае, если не является частью процесса производства.

Подготовительный запас устанавливается на основании технологических расчетов или посредством хронометража и относится к материалам, которые не могут сразу идти в производство (сушка древесины, обработка зерна).

В ряде случаев устанавливается также норма сезонного запаса, когда сезонный характер носит вид заготовляемых ресурсов (сахарная свекла) или способ доставки (водным транспортом).

Норматив оборотных средств по незавершенному производству определяется по формуле:

Нн. п = Vсут. Тц. Кн. з,

где Vсут - плановый среднесуточный объем выпуска продукции по производственной себестоимости;

Тц - длительность производственного цикла, дни;

Кнз - коэффициент нарастания затрат.

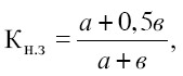
На предприятиях с равномерным выпуском продукции коэффициент нарастания затрат можно определить по формуле:


где а - затраты, производимые единовременно в начале процесса производства (сырье, основные материалы, полуфабрикаты);

в - последующие затраты до окончания производства готовой продукции (например, заработная плата, амортизационные отчисления).

Норматив оборотных средств по расходам будущих периодов определяется по формуле:

Нб. р = П + Р - С,

где П - переходящая сумма расходов будущих периодов на начало планируемого года (берется из бухгалтерского баланса);

Р - расходы будущих периодов в предстоящем году (определяются на основе плана научно-технического развития предприятия);

С - расходы будущих периодов, подлежащие списанию на себестоимость продукции предстоящего года в соответствии с плановой сметой затрат на производство.

Норматив оборотных средств по запасам готовой продукции:

Нг. п = Vсут (Тф. п + То. д),

где Тфп - время, необходимое для формирования партии для отправки готовой продукции потребителю, дни;

Тод - время, необходимое для оформления документов для отправки груза потребителю, дни.

Как указывалось выше, общий норматив оборотных средств на предприятии равен сумме нормативов по всем элементам. Общая норма всех оборотных средств в днях устанавливается путем деления общего норматива оборотных средств на среднесуточный выпуск товарной продукции по производственной себестоимости.

 

.3 Основные принципы нормирования средств


Основными принципами нормирования оборотных средств являются:

принцип плановости - выражается в том, что на каждом предприятии нормирование оборотных средств должно осуществляться согласно имеющимся заказам и прогнозам сбыта выпускаемой продукции, плановым сметам затрат на производство и на непроизводственные нужды, нормам расхода и запасов материальных ценностей, планам по инновациям и инвестициям;

принцип системности - отражает органическую взаимосвязь финансовых норм с системой применяемых технологических норм и нормативов. Финансовые нормы основываются на технологических нормах и нормативах. В свою очередь, финансовые нормы оказывают через систему устанавливаемых нормативов стимулирующее влияние на совершенствование технологии производства;

принцип научной обоснованности - предполагает, что процесс нормирования оборотных средств основывается на современных методах организации производства, при этом создание научно обоснованной системы норм и нормативов оборотных средств является средством реализации внутренних резервов;

принцип прогрессивности - проявляется в разработке мероприятий по ускорению оборачиваемости оборотных средств за счет сокращения производственного цикла, улучшения организации материально-технического снабжения и сбыта продукции, снижения норм расхода материальных ресурсов и трудовых затрат, ускорения документооборота, уменьшения дебиторской задолженности.

Нормирование оборотных средств осуществляется путем определения норматива оборотных средств.

Норматив оборотных средств - минимальная плановая сумма денежных средств, постоянно необходимая предприятию для организации производственной деятельности. Величина норматива представляет собой произведение суммы однодневного расхода по смете затрат на производство и нормы оборотных средств в днях:

=Hoc*(M/T),

где Hoc - норма оборотных средств, т. е. относительная величина, как правило, выражаемая в днях и определяющая величину запаса оборотных средств;

М/Т - однодневный оборот материальных ресурсов, т. е. величина затрат материальных ресурсов на календарный день, определяемая делением сметы затрат на производство на число календарных дней планового периода;

М - стоимость материальных ресурсов за определенный период;

Т- период (месяц, квартал, год).

Норматив оборотных средств на планируемый период рассчитывается методом прямого счета или аналитическим методом. Различают совокупный норматив (общую сумму оборотных средств) и частные нормативы (размеры средств по элементам).

При использовании метода прямого счета норматив исчисляется как совокупность оборотных средств в виде сумм отдельных элементов на основе имеющихся заказов и прогнозов сбыта, плановых смет себестоимости, норм расхода и запасов материальных ценностей, планов по инновациям и инвестициям. При этом используется следующая формула:

= ∑Wn,

где Woc - совокупный норматив элемента основных средств;- норматив элемента основных средств.

Ценность метода заключается в том, что совокупный норматив формируется как сумма отдельных элементов. Особенностью аналитического метода нормирования является ориентация на базисный уровень норматива и укрупненный расчет потребности в ресурсах на основании планов на нормируемый период.

При этом используется следующая формула:

= In * Wбос

где In - индекс изменения объема выпускаемой продукции или использованного материального ресурса;бос - базисный уровень норматива.

В свою очередь, индекс изменения объема выпускаемой продукции или использованного материального ресурса вычисляется по формуле:

= Впл/Вфакт или In = Мпл/Мфакт

где Впл и Вфакт - планируемый и фактический выпуск продукции; Мпл и Мфакт - соответственно планируемое и фактическое потребление материальных ресурсов.

Преимущество данного метода заключается в быстроте расчетов, но в то же время его главным недостатком является перенесение просчетов и упущений, имевших место при определении норматива в базисном периоде, на планируемый период. Метод применим в основном для перспективных и прогнозных расчетов потребности в финансовых ресурсах.

Существует несколько методов нормирования оборотных средств предприятия:

. Нормирование оборотных средств в производственных запасах.

Состав оборотных средств в производственных запасах включает следующие элементы: сырье, основные материалы и покупные полуфабрикаты; вспомогательные материалы; топливо; тару; запасные части; малоценные и быстроизнашивающиеся предметы (МБП). В составе МБП учитываются средства труда со сроком службы до одного года, в том числе:

малоценный и быстроизнашивающийся инструмент и приспособления;

малоценный хозяйственный инвентарь (производственный инвентарь - огнетушители, ведра, лопаты и т. д.; офисный инвентарь - столы, стулья, шкафы; бытовой инвентарь - кровати, тумбочки, шторы, скатерти и т. д.);

специальная одежда и обувь;

специальный инструмент и приспособления;

сменное оборудование;

производственная тара.

Норма оборотных средств в производственных запасах включает следующие элементы:

время нахождения материалов в пути (транспортный запас);

время на приемку, разгрузку, сортировку, складирование и подготовку к производству (подготовительный запас);

время нахождения на складе в виде гарантийного запаса (страховой запас).

Величина транспортного запаса рассчитывается методом прямого счета или аналитическим методом. Метод прямого счета применяется при узкой номенклатуре расходуемых материальных ресурсов, поступающих от ограниченного числа поставщиков. В этом случае по итогам прошлого периода определяется средняя продолжительность пробега груза от поставщика до потребителя, что и является нормой транспортного запаса. При большом числе поставщиков и широкой номенклатуре потребляемых ресурсов норма транспортного запаса определяется аналитическим методом на основе норматива прошлого периода.

Расчет времени пребывания средств в подготовительном запасе определяется исходя из фактических затрат, устанавливаемых хронометражем, или на основе отчетных данных за предшествующий период. Время подготовки материалов к производству предопределяется перечнем соответствующих операций и условиями их выполнения. При механизации погрузочно-разгрузочных и складских операций это время обычно не превышает нескольких часов.

В качестве нормы текущего запаса принимают половину средневзвешенного интервала между поставками. По отдельным видам товарно-материальных ценностей, поступающих с интервалом 1-5 дней, норма запаса может быть увеличена до полной продолжительности среднего интервала. Величина средневзвешенного интервала исчисляется на основе оптимального размера заказа или сложившегося в отчетном периоде режима поступления ресурсов. В случаях, когда поставки планируются регулярно, а данный материал потребляется равномерно, средний интервал между поставками определяется делением числа дней в году на число плановых поставок. При получении одного и того же материала или полуфабриката от нескольких поставщиков в один день такие поступления рассматриваются как одна поставка. Аналогично решается вопрос при поступлении сырья от одного поставщика в течение нескольких дней подряд, но при условии, что на все отгрузки выписан один платежный документ.

Норма оборотных средств в днях по страховому запасу обычно устанавливается в пределах до 50% нормы текущего запаса, если данный материал поступает от иногородних поставщиков. Если осуществляются одногородние поставки, то страховой запас не предусматривается или образуется по отдельным позициям в размере до 30% нормы текущего запаса. Норма страхового запаса увеличивается сверх 50%, если: отдельные виды материалов (полуфабрикатов) изготавливаются только для данного предприятия одним поставщиком; потребитель расположен вдали от удобных транспортных путей или доставка материалов возможна лишь в отдельное время года.

Норматив оборотных средств по производственным запасам рассчитывается исходя из описанных выше норм и однодневного расхода как сумма всех входящих элементов. Как правило, норматив оборотных средств по МБП и вспомогательным материалам рассчитывается аналитическим методом. При использовании этого метода вначале исчисляется норматив оборотных средств в рублях на одного работника или на 1000 руб. стоимости всей продукции исходя из фактического потребления в базовом периоде. Затем полученный показатель умножается на планируемую численность персонала или выпуск продукции.

. Нормирование оборотных средств в незавершенном производстве.

Оборотные средства в незавершенном производстве авансируются для создания циклового, оборотного и страхового заделов, обеспечивающих бесперебойный ход производственного процесса в цехах и на участках. В натуральном выражении остатки незавершенного производства состоят из необходимого количества деталей, узлов и полуфабрикатов на рабочих местах и между ними.

Размер незавершенного производства определяют следующие факторы: объем выпускаемой продукции; длительность производственного цикла; коэффициент нарастания затрат (готовности продукции) в незавершенном производстве.

Объем выпуска продукции влияет на размер незавершенного производства через величину однодневного выпуска продукции, рассчитанного по себестоимости. Объем выпуска продукции определяется на основе имеющихся заказов потребителей и прогнозов сбыта.

Длительность производственного цикла определяет продолжительность нахождения средств в незавершенном производстве (норма запаса в днях). Производственный цикл измеряется в календарных единицах времени (дни, часы, минуты) и содержит следующие элементы: рабочий период, естественные процессы, перерывы. Длительность производственного цикла в основном определяется технологическими процессами, применяемыми на фирме. Структура производственного цикла зависит также от номенклатуры выпускаемой продукции, типа производства, его организационно-технических условий. Коэффициент нарастания затрат (КНЗ) характеризует уровень готовности продукции в составе незавершенного производства. Необходимость расчета коэффициента нарастания затрат обусловлена тем, что затраты в незавершенном производстве осуществляются в разное время. Обычно их делят на единовременные и остальные затраты. К единовременным затратам относится расход сырья, основных материалов, полуфабрикатов. Остальные затраты (заработная плата, амортизационные отчисления, накладные расходы и т. п.) нарастают постепенно на протяжении всего цикла. Коэффициент рассчитывается как отношение себестоимости незавершенного производства к плановой себестоимости изделия и учитывает длительность производственного цикла. При неравномерном нарастании затрат используют формулу:


где Зi - затраты на i-й период времени нарастающим итогом (i= 1, 2, ..., п);

С - плановая себестоимость изделия;

Т - длительность полного производственного цикла изделия в календарных временных единицах (дни, недели, месяцы).

Норма оборотных средств в незавершенном производстве рассчитывается по предприятию в целом или по подразделениям с последующим суммированием. Для этого используют формулу:


где Hнп - норма оборотных средств в незавершенной производстве по предприятию в целом;- длительность производственного цикла изделия или подразделения;

К. - коэффициент нарастания затрат изделия или подразделения;число групп изделий, подразделений.

Норматив оборотных средств незавершенного производства рассчитывается по формуле:

нп = Hнп * (С/Т),

где С/Т - норма однодневного выпуска продукции по плановой себестоимости; С- полная себестоимость выпускаемой продукции; Т- число календарных дней в периоде.

. Нормирование оборотных средств в расходах будущих периодов.

Экономическое содержание расходов будущих периодов состоит в необходимости финансирования некоторых затрат, которые совершаются в настоящее время, но будут списаны на себестоимость в последующем. В состав расходов будущих периодов входят следующие затраты: на освоение новых видов продукции и новых технологических процессов; по подписке на периодические издания; арендная плата; на связь; налоги и сборы, уплачиваемые за будущее время. Норматив определяется по формуле:

врб = ∑ Рн+ ∑Рпл - ∑Рс,

где Wврб - норматив оборотных средств по расходам будущих периодов;

∑ Рн - сумма расходов на начало планового года;

∑Рпл - планируемая сумма расходов в предстоящем периоде;

∑Рс - сумма расходов, относимых на себестоимость продукции в планируемом периоде.

Сумма расходов на начало планируемого года берется из баланса. Намечаемая сумма затрат в планируемом году исчисляется на основе плана научно-технического развития фирмы, предусматривающего освоение новых видов продукции и новых технологических процессов, приобретение и изготовление для этих целей необходимых материалов и полуфабрикатов, инструмента и приспособлений, оформление технической документации и другие расходы.

. Нормирование оборотных средств в готовых изделиях на складе.

Готовая продукция - часть материально-производственных запасов организации, предназначенная для продажи, являющаяся конечным результатом производственного процесса. Экономическое содержание норматива оборотных средств по готовой продукции на складе состоит в том, что, поскольку продукция, как правило, реализуется партиями, комплектно и в определенном ассортименте, для обеспечения планомерной ее отгрузки потребителям необходимо время для выполнения различных складских операций.

Нормы оборотных средств в готовых изделиях на складе включают: подготовительный запас - для обработки и подготовки к отпуску готовой продукции, поступающей от выпускающих цехов; текущий запас, равный норме отпуска; страховой запас - для компенсирования возможных простоев производства и для удовлетворения потребностей новых потребителей.

Норматив рассчитывается как произведение однодневного выпуска продукции по себестоимости и нормы оборотных средств по готовой продукции:

гп = Нгп * (С/Т).

 

.4 Показатели эффективности использования оборотных средств


Эффективность использования оборотных средств характеризуется системой показателей. Важнейшим критерием интенсивности использования оборотных средств является скорость их оборачиваемости. Чем короче период оборота средств и чем меньше они находятся на различных стадиях оборота, тем эффективнее они используются, тем больше денежных средств может быть направлено на другие цели предприятия, тем ниже себестоимость продукции.

Эффективность использования оборотных средств характеризуется следующими показателями.

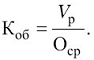
Коэффициент оборачиваемости оборотных средств (Коб) показывает число оборотов, совершенных оборотными средствами за анализируемый период (квартал, полугодие, год). Он рассчитывается как отношение объема реализованной продукции к среднему остатку оборотных средств за отчетный период:


Чем больше коэффициент оборачиваемости, тем более эффективно предприятие использует оборотные средства.

Из формулы видно, что увеличение количества оборотов свидетельствует либо о возрастании объема реализованной продукции при неизменном остатке оборотных средств, либо о высвобождении некоторой суммы оборотных средств при неизменном объеме реализации, либо характеризует ситуацию, когда темпы роста объема реализации превышают темпы роста оборотных средств. Ускорение или замедление оборачиваемости оборотных средств определяется сопоставлением фактического коэффициента оборачиваемости с его значением по плану или за предыдущий период.

Длительность одного оборота в днях показывает, за какой срок оборотные средства совершают полный оборот, т. е. возвращаются к предприятию в виде выручки от реализации продукции. вычисляется путем деления количества дней в отчетном периоде (год, полугодие, квартал) на коэффициент оборачиваемости:


Подставляя вместо коэффициента оборачиваемости его формулу, получаем:


в практике финансовых расчетов для упрощения при вычислении длительности одного оборота количество дней в месяце принимается равным 30, в квартале - 90, в году - 360.

Коэффициент загрузки средств в обороте характеризует сумму оборотных средств, авансируемых на один рубль выручки от реализации продукции. По аналогии с фондоемкостью основных средств этот показатель представляет собой оборотную фондоемкость, т. е. затраты оборотных средств (в копейках) на один рубль реализованной продукции:


Коэффициент загрузки является величиной, обратной коэффициенту оборачиваемости, значит, чем меньше коэффициент загрузки средств в обороте, тем эффективнее используются оборотные средства на предприятии.

Кроме рассмотренных общих показателей оборачиваемости оборотных средств, для выявления конкретных причин изменения общей оборачиваемости определяются показатели частной оборачиваемости, которые отражают степень использования оборотных средств в каждой стадии кругооборота и по отдельным элементам оборотных средств (рассчитываются аналогично приведенным выше формулам).

Эффективное использование оборотных средств заключается не только в ускорении их оборачиваемости, но и в снижении затрат на производство и реализацию продукции вследствие экономии отдельных элементов оборотных средств (сырья, материалов, энергии). Важнейшим обобщающим показателем эффективности использования материальных ресурсов на предприятии принято считать материалоемкость продукции (Ме) - отношение суммы материальных затрат к объему выпуска или реализации продукции:


Частными показателями материалоемкости являются сырьеемкость, металлоемкость, электроемкость, топливо-емкость и энергоемкость; при их расчете в числителе отражаются соответственно количество израсходованного сырья, металла, электроэнергии, топлива и энергии всех видов в натуральном или стоимостном выражении.

Обратным показателем материалоемкости выступает материалоотдача, которая определяется по формуле:


Чем лучше используются сырье, материалы, полуфабрикаты, энергия, тем ниже материалоемкость и выше материалоотдача.

На основе проведенного анализа эффективности использования оборотных средств намечаются пути ускорения их оборачиваемости. Ускорение оборачиваемости достигается различными мероприятиями на стадиях образования производственных запасов, производства и реализации готовой продукции.

Управление использованием оборотных средств предполагает реализацию следующих путей ускорения оборачиваемости:

·              интенсификация производственных процессов, сокращение длительности производственного цикла, устранение разного рода простоев и перерывов в работе, сокращение времени естественных процессов;

·              экономное использование сырьевых и топливно-энергетических ресурсов: применение рациональных норм расхода сырья и материалов, внедрение безотходного производства, поиск более дешевого сырья, совершенствование системы материального стимулирования экономии ресурсов. Все вышеперечисленные мероприятия позволят снизить материалоемкость производимой продукции;

·              совершенствование организации основного производства: ускорение НТП, внедрение прогрессивной техники и технологии, улучшение качества инструмента, оснастки и приспособлений, развитие стандартизации, унификации, типизации, оптимизация форм организации производства (специализация, кооперирование, рационализация межзаводских связей);

·              совершенствование организации вспомогательного и обслуживающего производства: комплексная механизация и автоматизация вспомогательных и обслуживающих операций (транспортных, складских, погрузочно-разгрузочных), расширение складской системы, применение автоматизированных систем складского учета;

·              улучшение работы с поставщиками: приближение поставщиков сырья, материалов и полуфабрикатов к потребителям, уменьшение интервала между поставками, ускорение документооборота, использование прямых длительных связей с поставщиками;

·              улучшение работы с потребителями продукции: приближение потребителей продукции к изготовителям, совершенствование системы расчетов (отпуск продукции на условиях предоплаты, что сократит дебиторскую задолженность), увеличение объема реализованной продукции вследствие выполнения заказов по прямым связям, тщательная и своевременная подборка и отгрузка продукции по партиям и ассортименту, уменьшение запасов готовой продукции вследствие совершенствования планирования отгрузки готовой продукции;

·              применение логистических подходов в управлении закупками, организации производства, в сфере сбыта готовой продукции, что позволит сократить длительность кругооборота оборотных средств и уменьшить издержки производства и реализации.

Таким образом:

. Оборотные средства являются важной составной частью капитала предприятия и обеспечивают бесперебойное функционирование производственного процесса. Они постоянно находятся в движении, последовательно проходя стадии кругооборота и меняя свою форму.

. Оборотные средства классифицируются по ряду признаков: по сфере оборота, по элементам, по принадлежности, по охвату нормированием, по источникам формирования.

. Основой рационального использования оборотных средств принято считать их нормирование - определение минимально необходимой, но достаточной для бесперебойного процесса производства величины.

. Критерием эффективности использования оборотных средств является их оборачиваемость. Чем быстрее оборотные средства проходят все стадии кругооборота и возвращаются к предприятию в виде выручки от реализации, тем эффективнее они используются.



2. Практическая часть

 

.1 Производственная программа предприятия


Производственная программа - обоснованное плановое задание по объему, номенклатуре и качеству выпускаемой продукции. Выпуск планируемого объема предполагает наличие соответствующих производственных мощностей.

Основой для разработки производственной программы являются: результаты исследования рынка сбыта продукции; портфель заказов; наличие производственных мощностей и экономических ресурсов на предприятии (основных фондов, оборотных средств, трудовых ресурсов). В данном разделе необходимо запланировать годовой объем производства в натуральных и стоимостных показателях (товарную продукцию, реализуемую продукцию) и занести в таблицу 2. Планирование производства и реализации продукции основывается или на условных данных по вариантам, определенным для каждого студента преподавателем, или на фактических данных конкретного предприятия.

Дополнительная информация для разработки плана производства и реализации продукции:

производство продукции осуществляется для реализации на сторону (для внешнего потребления);

-        из-за короткого производственного цикла остатками незавершенного производства можно пренебречь;

-        остатки нереализованной продукции на начало и конец планового периода одинаковые.

Таблица 1

Технико-экономические показатели предприятия в базисном и плановом периоде

№ п/п

Показатели

Единица измерения

Период




базисный

плановый

1.

Годовая производственная мощность предприятия

т

600

600

2.

Годовой объем производства

т

360

570

3.

Коэффициент использования производственной мощности

%

60

Приложение 1 по вариантам

4.

Вид продукции

Продукция потребительского спроса, одного наименования


*95:100=570

Таблица 2

Годовой план производства продукции


)        Объём реализуемой продукции: определили расчётным путём в таблице 1 (570)

)        Цена отпуска без НДС:

а)      7442528,4/570=13057,067

б)      13057,067+13057,067*20/100=15668,48

- прибыль в цене продукции

)        Объём реализуемой продукции в стоимостном выражении:

*15668,48=8931033,6

 

.2 Планирование затрат на производство и реализацию продукции


В связи с тем, что на условном предприятии производят однородную (одного вида) продукцию, в данном разделе планирование затрат можно ограничить составлением годовой плановой сметы затрат по экономическим элементам.

Таблица 3

Годовая плановая смета затрат на производство и реализацию продукции

№ п/п

'Элементы затрат

Затраты, руб.

Удельный вес, %

1

Материальные затраты

3,322865

44,65


в том числе:




- сырье;

2708640

36,39


- вспомогательные материалы;

205200

2,76


- запасные части для ремонта оборудования

104075

1,40


- электроэнергия, вода

304950

4,10

2

Затраты на оплату труда

1508760

3

Страховые взносы

452628

6,08

4

Амортизация

1187511

15,96

5

Прочие затраты

970764,4

13,04


В том числе:




- налоги и сборы;

517741,12

6,96


-затраты на ремонт основных средств

323588,2

4,35


-другие затраты (на страхование имущества, оплата услуг связи, командировочные, канцелярские, охрана имущества, 7консультационные услуги)

129435,28

1,74

6

Производственная себестоимость товарной продукции

7442528,4

100


1)      Материальные затраты на сырьё:

а)      570*0,5*5800=1653000

б)      570*0,11*7500=470250

в)      570*0,07*6100=243390

г)       570*0,04*15000=342000

А+Б+В+Г=1653000+470250+243390+342000=2708640

Затраты на запасные части для ремонта оборудования:

*1,15=104075

Затраты на вспомогательные материалы:

*0,9*570=205200

Затраты на электроэнергию, воду:

*1,69*570+4*7*570=288990+15960=304950

Приложение 3.

*3100*12+6*2900*12=446400+208800=655200

*4200*12+9*3300*12+5*1800*12=252000+356400+108000=716400

+716400=1371600

)        Затраты на оплату труда с учётом роста:

+(1371600*10/100)=1508760

3)      Страховые взносы:

*30/100=452628

Здание:

*100/25/100=286400

Транспортная:

*100/6/100=96666,67

Машины и оборудования:

*100/9*2/100=804444,44

)        Общая сумма амортизации:

+96666,67+804444,44=1187511

)        Прочие затраты:

Общая сумма затрат:

+1508760+452628+1187511=6471764

Материальные затраты:

+205200+104075+304950=3322865

Прочие затраты - 15%; налоги и сборы - 8%; затраты на ремонт основных средств - 5%; другие затраты - 2

Прочие затраты:

*15/100=970764,6

Налоги и сборы:

*8/100=517741,12

Затраты на ремонт основных средств

*5/100=323588,2

Другие затраты:

*2/100=129435,28

) Производственная себестоимость:

+2+3+4+5=3322865+1508760+452628+1187511+970764,4=7442528,4

Материальные затраты:

*100/7442528,4=44,65

Сырьё:

2708640*100/7442528,4=36,39

Вспомогательные материалы:

*100/7442528,4=2,76

Запасные части для ремонта:

*100/7442528,4=1,40

Электроэнергия и вода:

*100/7442528,4=4,10

Затраты на оплату труда:

*100/7442528,4=20,27

Страховые взносы:

*100/7442528,4=6,08

Амортизация:

*100/7442528,4=15,96

Прочие затраты:

,4*100/7442528,4=13,4

Налоги и сборы:

,12*100/7442528,4=6,96

Затраты на ремонт основных средств:

,2*100/7442528,4=4,35

Другие затраты:

,28*1007442528,4=1,74

Пояснения к расчёту плановых затрат на производство и реализацию продукции по экономическим элементам:

1. Затраты на сырье и вспомогательные материалы определяются исходя из планового объема продукции, норм расхода и цен. Данные для расчета в Приложении 2.

2. Затраты на запасные части для ремонта оборудования запланировать на уровне этих затрат в базисном периоде = 90500 руб. с учетом индекса изменения цен в плановом периоде (1цен=1,15).

3. Затраты на электроэнергию, воду рассчитать, используя данные Приложения 2.

4. Для расчета затрат на оплату труда использовать данные приложения 3. В плановом периоде численность п ромы тленно-производственного персонала (ППП) остается без изменения. При расчете плановых затрат на оплату труда предусмотреть рост средней заработной платы ППП в интервале 10-20%. (приложение 6)

5. При расчете страховых взносов, зачисляемых в государственные внебюджетные фонды (Пенсионный фонд, Фонд социального страхования РФ, Фонды обязательного медицинского страхования РФ) за налоговую базу взять "затраты на оплату труда" при налоговой ставке 30% (ПФ - 22%, ФСС - 2,9%, ФФОМС - 5,1%).

6.      Для расчета плановой суммы амортизации использовать исходные данные в Приложении 4, Приложении 5. Для 1-й и 3-й группы основных фондов применить линейный метод начисления амортизации; для 2-й группы основных фондов применить нелинейный метод амортизации (способ уменьшаемого остатка).

7.      "Прочие затраты" в структуре плановой сметы затрат составляют 10-15%. Распределить по направлениям расходов по своему усмотрению.

 

.3 Планирование внереализационных расходов


)        Плановая потребность в оборотных средствах:

,4*0,17=1265229,8 (таблица 7 в 4 пункт)

,17 - коэффициент загрузки сред. в обороте

)        Обеспеченность собственными оборотными средствами:

,8*0,7=885660,86

,7 - коэффициент обеспеченности собственными оборотными средствами

)        Недостаток оборотных средств для производственной деятельности

,8-885660,86=379569

4)      Недостаток оборотных средств будет финансироваться за счёт кредита под 18% годовых:

379569*18/100=68322,42

2.4 Планирование и распределение прибыли


Таблица 4


)        таблица 2 - объём реализации продукции

)        Таблица 3 стр. 6

)        Показатель расходов по выплате за кредит

,6-7442528,4-68322,42=1420182,8

,8*20/100=284036,56

,8-284036,56=1136146,3

При расчете налога на прибыль ставка налога на прибыль -20% (2% отчисляется в федеральный бюджет, 18%> - в бюджет субъектов РФ). После расчета чистой прибыли следует запланировать ее распределение по специальным фондам (Рис. 1).

Рис. 1. Распределение чистой прибыли (прибыль разрабатывается на основании устава, разработанного самостоятельно)

Результаты распределения прибыли занести в таблицу 5

Таблица 5


,3*10/100=113614,63

,63*15/100=17042,194

,194*25/100=4260,55

,55*50/100=2130,27

 


2.5 Расчет точки безубыточности


Таблица 6

Расчет безубыточного объема продаж


Переменные расходы:

+205200+304950+1187511=4406301

Постоянные расходы:

,4-4406301=3036227,4

Безубыточный объём продаж в натуральном выраженном Т.:

Тн =

/600=7343,83


,07*15668,48=1096,79

2.6 Технико-экономические показатели предприятия

Раздел является заключительным этапом выполнения курсовой работы.

Все технико-экономические показатели, рассчитанные в предыдущих разделах или явившиеся базой для расчета, заносятся в таблицу 7

Остальные показатели необходимо рассчитать в данном разделе с использованием расчетных формул и также занести в таблицу 7.

Таблица 7



3) 3580000+3620000+464000=7664000

)

) 1508760+452628=1961388

)

)

)

)

)

)1/1,17=0,85

)

)360/7,06=51

Заключение


Для нормального функционирования каждого предприятия необходимы оборотные средства, представляющие собой денежные средства, используемые предприятием для приобретения оборотных фондов и фондов обращения. А правильное определение потребности в оборотных средствах, их рациональном использовании, то есть нормировании, имеет особое значение.

В данном курсовом проекте я с помощью использования литературы по соответствующему направлению осветила нормирование оборотных средств, дала определение таких понятий как "оборотные средства", их "нормирование", а также показала методы нормирования оборотных средств.

Оборотные средства - это денежные средства, авансированные в оборотные производственные фонды и фонды обращения для обеспечения непрерывного процесса производства и реализации продукции.

Нормирование оборотных средств - это определение минимального количества каждого их вида, обеспечивающего выполнение производственной программы.

Далее мною были рассмотрены методы нормирования оборотных средств на конкретном предприятии. Таким образом, были выполнены все изначально поставленные задачи:

·        раскрыть понятие оборотных средств;

·        раскрыть понятие нормирование оборотных средств;

·        рассмотреть основные методы нормирования оборотных средств;

·        рассмотреть применение методов нормирования на предприятии.

Так, первые три задачи были решены в первой, теоретической, главе, а применение методов нормирования оборотных средств на предприятии - во второй, практической.

Подводя итог, необходимо сказать, что данная тема является актуальной в сфере экономики не только на сегодняшний день, но и будет оставаться таковой еще долгие годы. Сейчас, когда предприятий становится все больше и больше, между ними существует конкурентная борьба, то предприятие будет менее уязвимым, которое наиболее правильно распорядилось распределением своих оборотных средств, что достигается именно благодаря их нормированию. Поэтому можно сказать, что нормирование оборотных средств не только будет востребованным, но и, возможно, в этой сфере еще будут совершены открытия благодаря пытливым умам предпринимателей, старающихся получить как можно большую прибыль при наименьшем использовании и ограниченности ресурсов.

Список рекомендуемой литературы

оборотный средства нормирование производство

1. Гражданский кодекс РФ. - Барнаул: Изд-во Алтайской академии экономики и права, 1994.

2. Налоговый кодекс РФ, глава 25 "Налог на прибыль организаций".

3. Экономика предприятия: Учебник / Под ред. Н.А. Сафронова. М.: Юристъ, 1998.

4. Экономика предприятия: Учебник / Под ред. Н.А. Сафронова. - М.: ИН-ФРА-М, 1997.

5. Сергеев И.В. Экономика предприятия: Учебное пособие. - М.: Финансы и статистика, 2002.

6. Экономика предприятия: Учебник / Под ред. проф. О.И. Волкова - М.: ИНФРА-М, 1997.

7. Экономика предприятия: Учебник 2-е изд. перераб., доп./ В.М Семенов И.А. Паев, С.А. Терехова, И.Н, Дмитриев, К.В. Кучина и др.; Под ред. В.М. Семенова. - М.: Центр экономики и маркетинга, 1998.

8. Экономика и статистика фирм: Учебник / В.Е. Адамов, С.Д. Ильенкова, Т.П. Сиротина, С.А. Смирнов; под ред. д-ра экон. наук, проф. С.Д. Ильенковской. - 3-е изд. перераб. и доп. - М.: Финансы и статистика, 2003. - 288 с.

9. Экономика: Учебник / Под ред. доц. А.С. Булатова. 3-е изд. пераб. и доп. - М.: "Юристъ", 2004. - 896 с.

10.Курс экономики: Учебник / Под ред. Б.А. Райсберга. - Инфра-М, 2004. - 716 с.

Приложение

Плановый коэффициент использования производственной мощности по вариантам (для условного предприятия)

Номер варианта

Плановый коэффициент использования производственной мощности, %

Номер варианта

Плановый коэффициент использования производственной мощности, %

I

70

16

69

2

73

17

89

3

76

18

92

4

79

19

95

5

82

20

98

6

86

21


Похожие работы на - Нормирование оборотных средств

 

Не нашли материал для своей работы?
Поможем написать уникальную работу
Без плагиата!
Без нейросетей!