Організаційна структура управління підприємством ПП 'Агрофірма 'Ставиське' Чернігівської області

  • Вид работы:
    Отчет по практике
  • Предмет:
    Менеджмент
  • Язык:
    Украинский
    ,
    Формат файла:
    MS Word
    429,06 Кб
  • Опубликовано:
    2014-09-07
Вы можете узнать стоимость помощи в написании студенческой работы.
Помощь в написании работы, которую точно примут!

Організаційна структура управління підприємством ПП 'Агрофірма 'Ставиське' Чернігівської області

Зміст

Вступ

. Загальна характеристика підприємства

. Організаційна структура управління підприємством

. Планово-економічна діяльність

. Управління персоналом на підприємстві

. Управління маркетинговою та логістичною діяльністю

. Управління зовнішньоекономічною діяльністю

. Управління обліково-фінансовою діяльністю

. Стратегічне управління підприємством

. Управління інноваційною діяльністю

. Пропозиції щодо удосконалення діяльності підприємства

Висновки

Список використаних джерел

Вступ

Виробнича практика є для студентів необхідним і обов’язковим процесом продовження здобуття своїх знань та навичок, які вони будуть застосовувати у своєму подальшій професії, а також є складовою частиною процесу підготовки майбутніх фахівців з економіки.

Звіт - це характерна та загальна форма звітності студента за виробничу практику. Він є важливим документом, метою якого є висвітлення студентом всіх аспектів проходження практики.

Мета практики - це здобуття практичних навичок по роботі у різних фінансових установах, закріплення й поглиблення отриманих під час теоретичного навчання знань з теоретико-методичних аспектів функціонування установ та організацій, а також здобуття навичок самостійної практичної роботи у сфері економічної діяльності конкретного підприємства.

Основні завдання у процесі проходження практики - це ознайомлення з місцем проходження практики, організацією та методами роботи спеціалістів на різних рівнях управління в процесі здійснення основних видів діяльності підприємства, вивчення питань організації господарської діяльності, аналіз фінансово-господарської діяльності підприємства та проведення необхідних досліджень у сфері маркетингової, логістичної, зовнішньоекономічної, інноваційної діяльності та надання пропозицій щодо загального розвитку господарства.

Базою практики виступає на ПП «Агрофірма «Ставиське» Чернігівської області, Козелецького району, с. Ставиське.

1. Загальна характеристика підприємства

таном на 1 жовтня 2012 року в Козелецькому районі функціонує 34 сільськогосподарських підприємств, з них 9 приватних підприємств, 9 господарських товариств, 4 сільськогосподарських виробничих кооперативів, 10 фермерських господарств та два державних сільгосппідприємства.

За січень-вересень місяць 2012 року вироблено валової продукції сільськогосподарськими підприємствами району на суму 94,3 млн. грн., в тому числі в галузі тваринництва - 29,8 млн. грн. (93,1%), рослинництва - 64,5 млн. грн. (138,6%). В порівнянні з відповідним періодом минулого року це складає 120%.

Реалізовано сільгосппідприємствами району 10564 тонн зерна (у 3,8 рази більше минулорічного), 465 тонн худоби (-5%), 3178 тонн молока (-5%). Отримано виручки від реалізації сільськогосподарської продукції на суму 30,6 млн. грн., що на 12,7 млн. грн. (+70%) більше попереднього року, в основному за рахунок збільшення об’ємів реалізації зерна, зокрема кукурудзи. управління фінансовий економічний

ПП «Агрофірма «Ставиське» як юридична особа 07.03.2000 року було зареєстровано Козелецькою районною державною адміністрацією, внесено до Єдиного державного реєстру підприємств та організацій України і взято на облік до ДПІ у Козелецькому районі як платник податків 10.03.2000 року.

Дане підприємство розміщене у Чернігівській області, яка розташована на півночі України, на лівому березі Дніпра, у межах Поліської низовини та лісостеповій зоні Придніпровської низовини, у Козелецькому районі у селі Ставиське на вилиці Миру 1.

Керівник підприємства - Михед Михайло Олексійович.

Не менш важливими для розвитку господарства є й такі показники, як наявність ресурсів та віддаленість від пунктів реалізації певних видів продукції. Крім того, економічні умови виробництва характеризуються розмірами і організаційною структурою, спеціалізацією і галузевою структурою, інтенсивністю виробництва.

Основний напрям діяльності господарства - вирощування зернових та технічних культур, розведення ВРХ, свиней та бджільництво.

Основні показники фінансово-господарської діяльності за 2012 рік ПП «Агрофірма «Ставиське»:

·        Середньооблікова чисельність працюючих - 70 чоловік.

·        В 2012 році вироблено:

–       молока - 6468 ц.

–       м’яса - 661,7 ц.

·        Валове виробництво зерна - 7265 ц.

–       жито - 3611 ц.

–       просо - 794 ц.

–       овес - 1724 ц.

Вартість валової продукції сільськогосподарського господарства «Агрофірма «Ставиське» у 2012 році у постійних цінах 2010 року складає 5361,3 тис. грн., в тому числі рослинництва - 1868,5 тис. грн., тваринництва - 3492,8 тис. грн.

Господарство постачає свою продукцію в різні регіони по всій Україні.

Проведемо аналіз основного засобу виробництва даного підприємства - земельних ресурсів у таблиці 1.1.

Таблиця 1.1. Склад і структура сільськогосподарських угідь господарства

Угіддя

2010 р.

2012 р.

2012 р. у % до 2010 р.


га

%

га

%


Всього с.-г. угідь, га

915,53

100

1523,16

100

166,37

у тому числі рілля

915,53

100

1075,33

70,59

117,45


Після проведеного аналізу складу земельних ресурсів підприємства та динаміки його зміни (табл. 1.1.) можемо зробити висновок, що найбільшу питому вагу в структурі сільськогосподарських угідь у 2010 році займає рілля - 100% всіх сільськогосподарських угідь господарства, а у 2012 році рілля займає близько 70,6 %. Якщо порівняти дані 2010 року з 2012 роком, структура сільськогосподарських угідь зазнала деяких змін, а саме дещо збільшилась загальна площа сільськогосподарських угідь на 607,634 га (66,37%), в тому числі ріллі на 159,805 га (17,455%).

Після визначення забезпеченості підприємства земельними ресурсами необхідно визначити забезпеченість підприємства основними засобами. Розрахунок ефективності використання основних засобів наведено в таблиці 1.2.

Таблиця 1.2. Динаміка забезпеченості підприємства основним капіталом та його використання

Показник

2010 р.

2011 р.

2012 р.

2012р. У % до 2010р.

Вартість основного капіталу, тис. грн.

10875

11398,5

11968,5

110

на 1 га с.-г. угідь

11878,36

7483,45

7857,47

66,1

на 1 середньорічного працівника

151041,66

180928,57

170978,57

113,2

Капіталовіддача, грн

0,45

0,44

0,44

97,9

Капіталомісткість продукції, грн.

2,18

2,23

2,23

102,1

Норма прибутку, %

1,3

2,7

0,05

3,8


Проаналізувавши отримані дані можемо зробити ряд висновків. За 2010-2012 роки рівень забезпеченості підприємства основними засобами значно зріс. Про це свідчать такий показник, як капіталоозброєність, який у 2012 році в порівнянні із 2010 роком зріс на 19,9 тис. грн. (13,2 %). Але такий показник, як капіталозабезпеченість прямував до зниження на 4,02 тис. грн. (33,85 %). Дані показники сприяють підвищенню продуктивності тварин, що в свою чергу впливає на зниження собівартості продукції і збільшення прибутку.

Спеціалізація - це процес відособлення та створення підприємств або галузей для виробництва однорідної продукції.

Рівень спеціалізації найповніше характеризується питомою часткою окремих галузей в структурі товарної продукції підприємства. Він дає змогу виявити ті види продукції, з якими підприємство вступає в суспільний поділ праці. Спеціалізацію певною мірою характеризує структура валової продукції, структура виробничих і трудових затрат.

Отже, проведемо аналіз структури грошових надходжень від реалізації продукції і визначимо напрям спеціалізації ПП «Агрофірма «Ставиське» у таблиці 1.3.

За даними таблиці, визначаємо спеціалізацію даного господарства. У 2010 році господарство мало молочний-скотарський напрям спеціалізації з розвиненим вирощуванням пшениці, так як перше місце займає молоко (54,49%), друге - виробництво яловичини (16,15%), третє - вирощування пшениці (8,8%). У 2012 році господарство не змінило свою спеціалізацію. Молоко - (40,84%), виробництво яловичини - (19,79%), вирощування пшениці - (18,33%).

Таблиця 1.3. Структура грошових надходжень від реалізації продукції

Продукція

2010р.

2012р.

2012 р. у % до 2010 р.


тис. грн

%

тис.грн

%


Пшениця

241,5

8,8

563,9

18,3

233,5

Жито

69,6

2,53

100,2

3,26

143,97

Гречка

16,5

0,6

11,7

0,38

70,91

Ячмінь

0,8

0,03

-

-

-

Овес

32,3

1,18

24,6

0,8

76,16

Просо

-

-

14,4

0,47

-

Інші зернові та зернобобові

98,5

3,59

115,2

3,74

116,95

Інша продукція рослинництва

82,3

3,0

-

-

-

Всього по рослинництву

541,5

19,73

830

26,98

153,28

Продукція скотарства у тому числі яловичина

443,1

16,15

608,7

19,79

137,37

молоко

1495,2

54,49

1256,4

40,84

84,03

Продукція свинарства

225,5

8,22

250

8,13

110,86

Мед

11,7

0,43

12,9

0,42

110,26

Інша продукція тваринництва

27

0,98

118,6

3,86

439,26

Всього по тваринництву

2202,5

80,26

2246,6

73,02

102

Разом по рослинництву та тваринництву

2744

100

3076,6

100

112


Проведемо дослідження по забезпеченню підприємства технічними засобами. У наявності господарство має:

зернозбиральні комбайни;

трактори;

кормозбиральних комбайна;

бурякозбиральний комбайн;

зерноочисних машин;

причіпів;

сівалок;

плугів;

культиваторів;

дискових борон;

косарок;

вантажних автомобілів;

легковий автомобіль;

одиниць іншої техніки(підводи та ін..)

Підприємство у своїй структурі має власну ремонтно-механічну майстерню для ремонту власної техніки.

. Організаційна структура управління підприємством

Організаційна структура управління підприємством - основа системи управління, яка визначає склад, підпорядкованість та взаємодію її елементів окреслює необхідну кількість управлінського персоналу, здійснює його розподіл за підрозділами, регламентує адміністративні, функціональні та інформаційні взаємовідносини між працівниками апарату управління та підрозділами, встановлює права, обов'язки і відповідальність менеджерів тощо.

Зв'язки між елементами системи управління, які визначають відповідний тип організаційної системи управління підприємством, поділяють на:

лінійні - виникають між підрозділами та керівниками різних рівнів управління і передбачають підпорядкованість одного керівника іншому;

функціональні - характеризують взаємодію керівників, які виконують певні функції на різних рівнях управління, проте між ними не існує адміністративного підпорядкування;

міжфункціональні - мають місце між підрозділами одного рівня управління.

Залежно від існуючих зв'язків між елементами системи управління виділяють лінійну, функціональну, лінійно-функціональну, дивізійну, матричну організаційні структури та ін.[18,53]

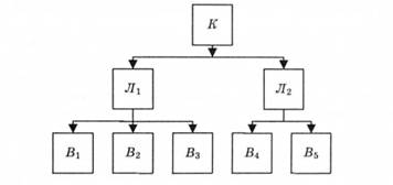
Між елементами лінійної організаційної структури існують лише одноканальні зв'язки (рис. 2.1).

Рис. 2.1 Лінійна структура управління: К - генеральний керівник; Л - лінійний керівник; В - виконавець

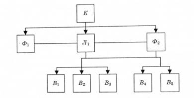
Функціональна структура управління передбачає поділ функцій управління між окремими підрозділами апарату управління. При цьому кожний виробничий підрозділ одержує розпорядження одночасно від кількох керівників функціональних відділів. Функціональна структура розширює функціональну орієнтацію, роблячи її панівною формою для підприємства (рис. 2.2)

Рис. 2.2. Функціональна структура управління: К - генеральний керівник; В - виконавець; Ф - функціональний керівник

Дивізійна організаційна структура - це структура, що складається з самодостатніх відділів або підрозділів. Спираючись на товарну департаменталізацію, кожний підрозділ загалом зберігає самостійність, за якою його менеджер відповідає за результативність і має цілковите право приймати стратегічні та поточні рішення. За цією системою управління лише стратегічні функції управління здійснюються централізовано на корпоративному рівні, а кожен виробничий підрозділ має власну розгалужену структуру управління, яка забезпечує автономне його функціонування.

Лінійно-функціональна організаційна структура управління передбачає розподіл повноважень і відповідальності за функціями управління й прийняття рішень по вертикалі. При цьому управління організоване за лінійною схемою, а функціональні підрозділи апарату управління допомагають лінійним керівникам вирішувати управлінські завдання (рис. 2.3).

Рис. 2.3. Лінійно-функціональна структура управління

Відповідно до Господарського кодексу України власник підприємства здійснює свої права щодо управління підприємством безпосередньо або через уповноважені ним органи відповідно до статуту підприємства чи інших установчих документів. Для керівництва господарською діяльністю власник (власники) або уповноважений ним орган призначає (обирає) керівника підприємства. На всіх підприємствах, які використовують найману працю, між власником або уповноваженим ним органом і трудовим колективом повинен укладатися колективний договір, який регулює виробничі, трудові та соціальні відносини трудового колективу з адміністрацією підприємства.

Матрична організаційна структура є тимчасовою оргструктурою, яка створюється для вирішення конкретного завдання. В такій структурі крім звичайних функціональних підрозділів, які функціонують постійно, формуються так звані проектні групи як тимчасові колективи, які після завершення проекту розпускаються (рис. 2.4).

Матричний тип структури використовується фірмами, продукція яких має відносно короткий життєвий цикл і часто змінюється, тобто фірмами, яким необхідно мати добру маневреність у питаннях виробництва та стратегії. [11, 103]

Дослідивши організаційну структуру управління на ПП «Агрофірма «Ставиське», можемо зробити висновок, що дане підприємство функціонує на лінійною організаційною структурою, у своєму складі маючи: виконавчого директора, заступника директора, головного бухгалтера, економіста, начальника цеху та основних і допоміжних робітників для виконання основних видів робіт у процесі діяльності.

Рис. 2.4. Схема матричної організаційної структури.

Дану організаційну структуру управління підприємством можемо зобразити графічно, за допомогою схеми.

Рис. 2.5. Схема лінійної організаційної структури ПП «Агрофірма «Ставиське».

До переваг лінійної організаційної структури управління належать:

) чіткість і простота взаємозв’язків, отримання підлеглими несуперечливих, узгоджених між собою завдань та розпоряджень;

) оперативність підготовки та впровадження управлінських рішень;

) повна відповідальність керівника за результати діяльності;

) забезпечення єдності керівництва зверху донизу, тобто дотримання принципу єдності розпорядництва, відсутність дублювання в роботі;

) надійний контроль.

Недоліками такої організаційної структури управління є наступні:

) обмеження ініціативи виконавців та менеджерів нижчих рівнів управління;

) персонал, що задіяний у виробництві, збуті та розподілі продукції повинен, окрім своїх обов’язків виконувати такі функції, як облік, контроль за якістю, розрахункові операції тощо. Тобто, керівники повинні бути універсальними фахівцями, здатними охопити всі функції управління;

) значний обсяг інформації, що передається з одного рівня ієрархії управління на інший.

. Планово-економічна діяльність

Планування на підприємстві - це процес пошуку і використання резервів підвищення ефективності виробництва і вирішення соціальних проблем колективу. План підприємства за своїм змістом є сукупністю взаємозв’язаних заходів для збільшення прибутку за рахунок підвищення ефективності використання ресурсів і комерційної діяльності. Успішність, ефективність системи планування значною мірою визначається рівнем її організації, яка включає такі структурні елементи:

·        плановий персонал, що сформований в організаційні структури;

·        процес обґрунтування, прийняття і реалізації планових рішень (процес планування);

·        засоби, що забезпечують процес планування (інформаційне, технічне, програмно-математичне та організаційне забезпечення).

Плановий персонал складається зі спеціалістів, які тією чи іншою мірою виконують функції планування. Причому для одних із них планові функції можуть бути основним видом діяльності, наприклад для працівників планово-економічного відділу, а для інших працівників (агроном, інженер, бухгалтер тощо) ці функції можуть поєднуватись з іншими видами діяльності.

Основними видами діяльності плановиків на підприємстві є:

розробка стратегії підприємства і збалансування довго- і короткострокових його цілей. Наприклад, визначити, що важливіше: збільшити свою частку ринку чи підвищити ефективність вкладеного капіталу. Якщо йдеться про рентабельність вкладеного капіталу, то визначити, куди інвестувати нові кошти: у підвищення рентабельності діючого виробництва чи у виробництво нової продукції. Виконуючи цю функцію, плановики виступають у ролі радників, консультантів. Остаточне рішення, пов’язане із затвердженням стратегії, приймає вище керівництво;

здійснення, поряд з іншими спеціалістами, аналізу та оцінки зовнішнього і внутрішнього середовища підприємства. Плановики часто володіють найціннішою інформацією про підприємство;

участь, поряд з менеджерами, у розробці прогнозів щодо майбутнього фірми;

надання порад і консультацій іншим спеціалістам з питань техніки планування; сприяння розповсюдженню професійних методів планування;

допомога вищому менеджменту в організації і проведенні навчання, необхідного для того, щоб усі учасники планування були готові до освоєння ефективних нововведень. Плановики повинні прагнути створити атмосферу творчого ставлення працівників до планування свого майбутнього, навчити людей взаємодіяти при цьому.

Залежно від тривалості планового періоду плани поділяються на: довгострокові (стратегічні); середньострокові (поточні); короткострокові (оперативні).

Довгостроковий план (10-15 років). У ньому формулюються завдання, пов'язані за часом та ресурсами, а також загальна стратегія поставлених цілей. Довгострокові плани включають укрупнені показники діяльності підприємства, які розробляються на основі попередньо проведених досліджень і складання прогнозів розвитку підприємства. Цей вид планів ще можна назвати перспективним плануванням.

Середньостроковий план - це власне деталізований стратегічний план, в якому поєднуються усі напрямки діяльності підприємства на поточний фінансовий рік.

Короткостроковий план присвячений вирішенню конкретних питань діяльності підприємства в короткостроковому періоді. Має вузьку спрямованість, високий ступінь деталізації і характеризується великим розмаїттям прийомів та методів. [5, 126]

Аналізуючи планово-економічну діяльність ПП «Агрофірма» Ставиське», можемо зробити висновок, що при розробці планів на даному підприємстві використовуються система показників, які поділяють на натуральні і вартісні, абсолютні та відносні, кількісні та якісні.

Натуральні показники встановлюють у фізичних та умовних одиницях виміру (тонах, метрах, у тонах умовного палива). Їх використовують при плануванні обсягів виробництва основних видів продукції на підприємстві, потреби в ресурсах.

Вартісні показники визначаються в грошовому вимірі та використовуються для обчислення загальних обсягів виробництва різних видів продукції (м΄ясо, молоко, зерно), визначається собівартість продукції, розраховується дохід та прибуток даного підприємства.

Кількісні показники оцінують абсолютні обсяги виробництва продукції та ресурсів: обсяг виготовленої продукції, кількість працівників (70 штатних працівників) на підприємстві, фонд заробітної плати, тощо.

Якісні показники характеризують ефективність використання ресурсів та діяльності підприємства: продуктивність праці, фондовіддача, рентабельність.

Розрахуємо дані показники у таблиці 3.1.

Аналізуючи дані таблиці, можемо зробити висновок, що у господарства у 2012 році у відсотковому значені порівняно з 2010 роком ефективність використання землі складає 64,77%, продуктивність праці - 110,83%, окупність витрат - 88,81%.

Рівень рентабельності у 2010 році становив 6,74 %, у 2011 році було зафіксовано найбільшу рентабельність у господарстві, яка складала 14,59%, але у 2012 році вона знизилась до 0,26 %.

Таблиця 3.1. Результати господарської діяльності підприємства

Показник

2010 р.

2011р.

2012р.

2012р. У % до 2010р.

Вартість валової продукції, грн

4975501,74

5107306,01

5361283,62

107,75

на 1 га с.-г.-угідь

5434,56

3353,01

3519,75

64,77

на 1 середньорічного працівника

69104,19

81068,35

76589,77

110,83

на 1 грн виробничих витрат

1,24

1,11

1,1

88,81

Валовий прибуток, грн

217200

469400

8800

4,05

на 1 га с.-г.-угідь

237,24

308,17

5,78

2,42

на 1 середньорічного працівника

3016,66

7450,79

125,71

4,17

Рівень рентабельності підприємства, %

6,74

14,59

0,26

3,87


Досліджуючи планування на ПП «Агрофірма» Ставиське», на підприємстві станом на 1 жовтня поточного року вираховують залишки всіх матеріальних ресурсів, враховують поступлення матеріальних ресурсів згідно договорів в ΙV кварталі, а також скільки протягом кварталу підприємство буде виробляти продукції. Фактичні залишки будуть складати перехідний запас на початок планового року.

Фінансові плани на підприємстві формуються згідно наказу Мінекономіки від 21.06.2005 № 173 «Про затвердження Порядку складання, затвердження та контролю виконання фінансових планів…».

Фінансові плани господарства включають у себе планування доходів, видатків та прибутку. Показники фінансового плану не плануються нижчими, ніж у попередньому році.

На підприємстві планування проводиться по галузям: рослинництво та тваринництво.

Планування в рослинництві, у тому числі планування посівів проводиться в межах наявної фактичної площі (с.г. угідь 1523,16 га, вся площа - це орендована земля, у тому числі 1075,34 га складає рілля), як власної, орендованої площі так і людських земельних паїв.

Планування посівів проводиться з урахуванням сівозмін, тобто є порядок посіву культур з урахуванням попередньо посіяних культур на цих площах. Даний вид планування проводить агроном з метою досягнення значної кількості врожаю.

Також посів культур проводиться сортами районованими до даної зони та тими культурами, які є загальновживаними та найбільш закуповуються посередниками або переробними заводами.

Так товариство запланувало на 2012 рік посіви таких зернових культур, від яких отримано таких розмір доходу: при повній собівартості зібраного жита в сумі 73 тис. грн., чистий дохід отримано в сумі 100 тис. грн., гречки при повній собівартості в 6,9 тис. грн., чистий дохід склав 11,7 тис. грн., при реалізації інших зернових та зернобобових культур повна собівартість склала 48 тис. грн. а чистий дохід становив 115,2 тис. грн.. Проте, при повній собівартості вівса в сумі 26,7 тис. грн., чистий дохід склав 24,6 тис. грн.. Аналогічно при повній собівартості проса 24,6 тис. грн., чистий дохід досяг тільки 14,4 тис. грн..

Такі дані свідчать про неефективне вирощення вівса та проса. Отже, на 2013 рік товариство не запланувало посів проса.

Слід зазначити, що рослинництво завжди (крім стихійного лиха) є прибутковим, а тваринництво є збитковим при умові реалізації продукції тваринництва до заводів-переробників, які є монополістами в даній місцевості.

Так, молоко і м΄ясо буду здаватись на переробні заводи лише по тій ціні, по якій приймає завод, а це значно нижче ніж собівартість даної продукції.

Лише, якщо товариство буде мати власні потужності по переробці своєї тваринницької продукції, тоді галузь тваринництва буде прибутковою. Це власні ковбасні цехи та виготовлення власної різної молокопродукції (масло, згущене молоко та ін.)

Так при реалізації в 2012 році ВРХ при повній собівартості в сумі 679,2 тис. грн., дохід становив 608,7 тис. грн., свиней при повній собівартості 295,8 тис. грн., чистий дохід склав 250 тис. грн., при повній собівартості молока в сумі 1280,7 тис. грн., чистий дохід склав 1256,4 тис. грн.

Вказані дані свідчать про неефективне вирощування продукції тваринництва. Лише при повній собівартості меду в сумі 9,6 тис. грн., чистий дохід склав 12,9 тис. грн.

Але на підприємстві продукція тваринництва все одно планується, так як від нього є побічний продукт - це навоз, який необхідно у великій кількості для внесення під культури рослинництва, як цінне органічне добриво.

. Управління персоналом на підприємстві

Управління персоналом - це специфічна функція управлінської діяльності, головним об'єктом якої є люди, що входять в певні соціальні групи, трудові колективи. Як суб'єкт управління виступають керівники і спеціалісти, які виконують функції управління стосовно своїх підлеглих. Отже, управління персоналом - це цілеспрямована діяльність керівного складу організації на розробку концепції, стратегій кадрової політики і методів управління людськими ресурсами. Це системний, планомірно організований вплив через систему взаємопов'язаних, організаційно економічних і соціальних заходів, спрямованих на створення умов нормального розвитку й використання потенціалу робочої сили на рівні підприємства. Планування, формування, перерозподіл і раціональне використання людських ресурсів є основним змістом управління персоналом.

Концепція управління персоналом - система теоретично методологічних поглядів на розуміння та визначення суті, змісту, цілей, завдань, критеріїв, принципів і методів управління персоналом і розробка механізмів їх реалізації в умовах конкретної організації. Загальна концепція конкретизується через кадрову політику та кадрову роботу.

·        формування висококваліфікованого, відповідального за доручену справу персоналу з сучасним економічним мисленням та розвитком почуття професійної гордості;

·        забезпечення соціальної ефективності колективу.

Управління персоналом як цілісна система виконує такі функції: організаційну - планування потреб і джерел комплектування персоналу; соціально-економічну - забезпечення комплексу умов і факторів, спрямованих на раціональне закріплення й використання персоналу; відтворювальну - забезпечення розвитку персоналу.

Отже, управління персоналом - це і наука, і мистецтво ефективного управління людьми в умовах їх професійної діяльності. Це система принципів, методів і механізмів оптимального комплектування, розвитку й мотивації та раціонального використання персоналу. Управління персоналом повинно відповідати концепції розвитку підприємства, захищати інтереси працівників і забезпечувати дотримання законодавства про працю при формуванні, закріпленні (стабілізації) і використанні персоналу.

Управління персоналом є складним і складовим компонентом управління організацією. Складним тому, що люди за своїм характером відрізняються від інших ресурсів і вимагають особливих підходів і методів управління.

Досліджуючи організацію роботи с персоналом на ПП «Агрофірма «Ставиське», можемо встановити основні завдання, які виконує відділ кадрів для ефективної роботи з персоналом:

·        добір працівників необхідного рівня освіти і кваліфікації;

·        підготовка працівників до самостійної виробничої діяльності і підтримання кваліфікації з урахуванням вимог сучасного виробництва та нормативно-правових актів і нормативних документів, що стосуються діяльності на даному підприємстві;

·        забезпечення умов для підтримання довголітньої професійної працездатності працівників;

·        формування у працівників почуття корпоративної культури, відповідальності за доручену роботу.

Під час організації роботи з персоналом у господарстві враховуються особливості робочого місця, складність і рівень безпеки обладнання, яке обслуговується, а також рівень кваліфікації та індивідуальні особливості працівника, його уміння орієнтуватись у звичайних та аварійних ситуаціях. [10, 96]

Досліджуючи організацію прийому на роботу на ПП «Агрофірма «Ставиське», можемо розглянути процес прийому працівника на роботу.

Трудовий договір - угода між працівником і власником підприємства, установи, організації або уповноваженим ним органом (далі власник), за якою працівник зобов'язується виконувати роботу, визначену цією угодою з підпорядкуванням внутрішньому трудовому розпорядку, а власник - виплачувати працівникові заробітну плату і забезпечувати умови праці, необхідні для виконання роботи, передбачені законодавством про працю, колективним договором й угодою сторін. Працівник має право реалізувати свої здібності до продуктивної і творчої праці шляхом укладення трудового договору на одному або одночасно на декількох підприємствах, в установах, організаціях, якщо інше не передбачене законодавством, колективним договором або угодою сторін.

При укладені трудового договору, проводиться вступний інструктаж, під час якого працівник інформується про під розпис про умови праці, наявність на робочому місці небезпечних та шкідливих виробничих факторів, можливі наслідки їх впливу на стан здоров΄я, про його права на пільги і компенсації за роботу в тих умовах згідно з чинним законодавством і колективним договором.

Після підписання наказу про приймання на роботу працівника ознайомлюють з даним наказом під розпис, із зазначенням дати ознайомлення.

Особа, яку приймають на роботу, інформують про режим роботи і порядок оплати праці.

На даному підприємстві укладаються трудові угоди, як на постійні роботи, так і на сезонні роботи, так як уборка чи очистка зерна, випас худоби, скирдовка соломи.

Далі проведемо аналіз трудових ресурсів ПП «Агрофірма «Ставиське» та визначимо коефіцієнт використання трудових ресурсів господарства у таблиці 4.1.

Проаналізувавши трудові ресурси даного господарства та ефективність їх використання, спостерігаємо зменшення чисельності працюючих у 2012 році на 2 особи, що складає 2,8% в порівнянні з 2010 роком, у тому числі в рослинництві чисельність працюючих збільшилась на 2 особи (25%), а в тваринництві - відбулося зменшення на 4 осіб (6,25%). Відпрацьований час у с.-г. виробництві всього у 2012 році зменшився на 21635,15 люд.-год. (16,6%). Коефіцієнт використання трудових ресурсів зменшився з 0,91 до 0,76 (на 16,6 %)

Таблиця 4.1. Трудові ресурси господарства та їх використання

Показник

2010 р.

2011 р.

2012 р.

2012р. у % до 2010р.

Середньорічна чисельність працівників, осіб

72

63

70

97,22

в тому числі рослинництва

8

14

10

125

тваринництва

64

49

60

93,75

Відпрацьовано у с.-г. виробництві всього, люд.- год.

117632,73

98165,46

95997,58

81,6

в тому числі рослинництва

13057,23

21792,73

13727,65

105,13

тваринництва

104575,50

76372,73

82269,93

78,67

Відпрацьовано одним працівником за рік, люд.-год.

1633,78

1558,18

1371,39

83,94

в тому числі рослинництва

181,35

345,92

196,11

108,13

тваринництва

1452,43

1212,26

1175,28

80,91

Коефіцієнт використання трудових ресурсів

0,91

0,86

0,76

83,94


На підприємстві використовується методика планування зростання

продуктивності праці по техніко-економічних чинниках, яка заснована на показнику відносної економії чисельності працюючих за рахунок впливу окремих чинників на рівень вироблення продукції.

Середня тривалість робочого дня визначається як середньозважена величина з урахуванням різної тривалості робочого дня для різних категорій робочих.

Скорочений робочий день мають робочі, зайняті на особливо важких роботах, годуючих матерей, також враховуються скорочені години роботи в передсвяткові дні. Корисний фонд часу визначається множенням планової кількості днів роботи одного робітника на середню тривалість робочого дня.

На ПП «Агрофірма «Ставиське» застосовують почасову форму оплати праці, а саме, почасово-преміальну систему оплати праці. Дана форма означає, що заробітна платня нараховується працівнику по встановленій тарифної ставки (для основних і допоміжних робітників) або окладу за фактично відпрацьований їм робочий час (для управляючого персоналу). почасово-преміальна система оплати праці є простою почасовою системою, доповненою преміюванням за виконання конкретних кількісних і якісних показників роботи. Показники преміювання, вживані на підприємстві:

виконання і перевиконання планового завдання;

підвищення якості продукції, що здобувається;

підвищення якості продукції, що здобувається;

економія енергії, сировини, матеріалів, палива, інструменту;

скорочення термінів простою обладнання в ремонті;

зниження витрат на 1 тонну продукції.

Витрати робочого часу на підприємстві вивчаються за допомогою хронометражу, фотографії робочого дня.

. Управління маркетинговою та логістичною діяльністю

Організація маркетингу - це структурна побудова для управління маркетинговими функціями. Вона встановлює підпорядкованість і відповідальність за виконання поставлених цілей і завдань.

Організація маркетингу передбачає:

~ побудову та вдосконалення структури управління маркетингом;

~ підбір фахівців з маркетингу належної кваліфікації;

~ розподіл завдань, прав та відповідальності серед працівників маркетингових служб;

~ створення належних умов для ефективної роботи маркетингового персоналу;

~ забезпечення ефективної взаємодії маркетингових та інших служб.

Функції маркетингу виконує служба маркетингу, яка може мати різну організаційну структуру: функціональну, регіональну, товарну, ринкову та різноманітні їх комбінації.

Функціональна організація служби маркетингу передбачає розподіл обов'язків між структурними підрозділами за окремими функціями маркетингової діяльності (рис. 5.1).

Рис. 5.1 Функціональна організація служби маркетингу

Функціональна організація служби маркетингу є найпоширенішою та найпростішою, проте її ефективність знижується із зростанням товарного асортименту та розширенням кількості ринків збуту. При такій організації маркетингу відсутня особа, яка відповідає за маркетинг окремих товарів загалом чи маркетингову діяльність на окремих ринках.

Регіональну організацію служби маркетингу застосовують у компаніях, які працюють на широких географічних ринках. Вона передбачає створення підрозділів, що займаються маркетингом продукції підприємства в окремих регіонах (рис. 5.2).

Рис. 5.2. Регіональна організація служби маркетингу

Така організація дає змогу збутовому персоналу жити в межах території, яку вони обслуговують, досконало знати своїх споживачів, працювати з мінімальними витратами часу і коштів на реалізацію продукції.

На підприємствах із широким товарним асортиментом застосовують товарну (продуктову) організацію. Це така структура управління маркетингом, в якій за розроблення і реалізацію стратегій та планів маркетингу для певного товару чи групи товарів відповідає керівник по товару.

Ринкова організація служби маркетингу дає можливість урахувати специфіку роботи на різних за своїм характером ринках: на споживчому ринку, ринку промислових підприємств, ринку державних установ тощо. Керівник із питань роботи з ринком відповідає за розроблення перспективних і річних планів збуту продукції та з інших видів функціональної діяльності.

Товарно-ринкова організація служби маркетингу реалізується, як звичайно, у матричній формі. На підприємстві є керівники по окремих товарах та по окремих ринках.

Керівники по товарах планують обсяги продажів та прибутки для своїх товарів, визначають методи їх просування. При тому вони контактують із керівниками по ринках, маючи на меті визначення можливих обсягів продажів і врахування специфіки конкретних ринків.

При виборі організаційної структури маркетингу слід дотримуватися основних принципів її побудови:

~ наявності чітко сформульованих цілей та завдань, поставлених перед підприємством;

~ забезпечення оперативного передання інформації між службами маркетингу;

~ відсутності „подвійного підпорядкування";

~ обмеження кількості персоналу;

~ обмеження кількості ланок в управлінні;

~ чіткого визначення та координації завдань лінійного керівництва і функціональних служб;

~ загальної координації дій вищим керівництвом.

Дотримання даних принципів дасть змогу вибрати найбільш прийнятну організаційну структуру управління маркетингом та забезпечити ефективність її подальшої роботи. [12]

Щодо маркетингової діяльності на ПП «Агрофірма «Ставиське», можемо сказати, що маркетингового відділу на підприємстві не існує. Виконання функції маркетингового відділу покладено на планово-економічний відділ господарства.

У господарстві розробляється загальний, єдиний, інтегрований план маркетингу всього підприємства, що включає весь асортимент пропонованої продукції. Але, на жаль, маркетингова діяльність у господарстві має тільки загальний характер. Маркетингова діяльність в аспекті просування підприємства практично не ведеться. Також підприємство не має активної програми реклами свого асортименту продукції, що негативно пливає на отримання максимального прибутку, шляхом залучення більш вигідних покупців та отримання додаткового прибутку за рахунок іміджу господарства.

Найбільш широка трактування розуміє під логістикою керівництво всіма видами потоків (матеріальними, людськими, енергетичними, фінансовими та інших.), що у економічних системах.

Логістика як наука розробляє наукові принципи, методи, математичні моделі, дозволяють планувати, контролювати й управляти ними транспортуванням, складуванням та інші матеріальними і нематеріальними операціями, чиненими у процесі:

доведення сировини й матеріалів до виробничого підприємства;

внутризаводской переробки, матеріалів і напівфабрикатів;

доведення готової продукції (ДП) до споживача відповідно до його вимогами;

передачі, збереження і обробки відповідної інформації.

Логістика як господарську діяльність - це процес управління рухом і зберіганням сировини, матеріалів, напівфабрикатів та ДП у господарському обороті від первинного джерела сировини до кінцевого споживача ДП, і навіть що з цими операціями інформацією.

Основним об'єктом управління логістики, як господарську діяльність, є наскрізний матеріальний потік, т. е. матеріальний потік (МП), проходить по логістичній ланцюга (>ЛЦ), починаючи з первинного джерела сировини крізь ці проміжні процеси до надходження до кінцевого споживача.

Існують звані "шість правил логістики", які описують кінцевої мети логістичного управління:

. Вантаж - потрібний товар.

. Якість - необхідного якості.

. Кількість - у необхідному кількості.

. Час - може бути його доставили потрібний момент.

. Місце - у потрібний місце.

. Витрати - з мінімальними витратами.

Головна мета логістики є забезпечення конкурентоспроможних позицій організації бізнесу над ринком. Цього логістика домагається по засобом управління потоковими процесами з урахуванням наступних правил: доставка з мінімальними витратами необхідної конкретному покупцю продукції відповідного якості і одержувачів відповідного кількості у потрібний місце у потрібне час.

Для практичної реалізації цілей логістики необхідно знайти адекватні рішення низки відповідних завдань, котрі за ступеня значимості поділяються на дві групи: глобальні й потужні приватні (локальні) завдання.

Збутову політику продукції підприємства варто розглядати як цілеспрямовану діяльність, принципи та методи здійснення якої покликані організувати рух потоку товарів до кінцевого споживача. Основним завданням є створення умов для перетворення потреби потенційного покупця в реальний попит на конкретний товар. До числа таких умов відносяться елементи збутової політики, канали розподілу (збуту, товароруху) разом з функціями, якими вони наділені. [16, 85]

Під каналом збуту розуміється шлях проходження готової продукції від виробника до споживача. Формуючи канал збуту, кожна фірма наділяє його конкретними функціями, якими можуть бути:

·        маркетингові дослідження;

·        участь у формуванні остаточної ціни товару;

·        участь у коригуванні планів виробництва і збуту на основі відстеження позиції товару на ринку;

·        проведення комплексу робіт з передпродажної підготовки продукції та організації післяпродажного сервісного обслуговування споживачів;

·        створення мережі торгових точок і ведення продажу товару кінцевому споживачу;

·        стимулювання попиту на товар за допомогою реклами, надання гарантій та підвищення рівня обслуговування, диференціації умов оплати за товар.

Вдала організація логістичної та збутової політики підприємства є важливим елементом стабільного функціонування підприємства і отримання максимального прибутку.[12]

Розглядаючи товарну і цінову політику та асортимент продукції ПП «Агрофірма «Ставиське», можемо чітко визначити основні види продукції для реалізації та методи ціноутворення на дану продукцію. Ціна реалізації переважно розраховується витратним методом і планується не нижче собівартості отриманої продукції. Проте, ціни на сільськогосподарську продукцію інколи дають закупівельники та переробні заводи, тобто існує певна ціна, по якій вони закуповують, і дана ціна стабільна.

Асортимент та ціни на продукція ПП «Агрофірми «Ставиське» представлені так:

Тваринництво:

         молоко реалізовано 5826,3 ц за ціною 215,64 грн/ц;

         м΄ясо ВРХ реалізовано 533 ц по ціні 1142,03 грн/ц;

         м΄ясо свиней реалізовано 154 ц по ціні 1623,38 грн/ц;

         мед.

Рослинництво:

         пшениця озима реалізовано 3416 ц по ціні 165,08 грн/ц;

         жито озиме реалізовано 802 ц по ціні 124,94 грн/ц;

         гречка реалізовано 40 ц по ціні 292,5 грн/ц;

         овес реалізовано 218 ц по ціні 112,84 грн/ц;

         просо реалізовано 108 ц по ціні 133,33 грн/ц;

         інші зернобобові культури реалізовано 353 ц на загальну суму 115,2 тис.грн.

Аналізуючи збутову політику господарства, доходимо висновку, що ПП «Агрофірма «Случ» реалізує свою продукцію у двох напрямках: приватним товариствам та населенню. Основними великими покупцями продукції є: ТОВ «Грейнфильд-А», ТОВ «Агро-Модерд», ТОВ «Імперія-Грандіс» та вільна торгівля населенню.

. Управління зовнішньоекономічною діяльністю

Зовнішньоекономічна діяльність підприємства (ЗЕДП) - це сфера господарської діяльності, пов'язана з міжнародною виробничою і науково-технічною кооперацією, експортом та імпортом продукції, виходом підприємства на зовнішній ринок.

Зовнішньоекономічна діяльність підприємства є складовою загальної діяльності, а отже, взаємопов'язаною з нею і спільно вмотивованою підприємства; водночас зовнішньоекономічна діяльність має суттєву специфіку, яка полягає у тому, що здійснюється на іншому, міжнародному, рівні, у взаємозв'язку з суб'єктами господарювання інших країн.

Вихід на зовнішній ринок самостійних суб'єктів господарської діяльності повинен сприяти пристосуванню економіки до системи світогосподарських відносин, формуванню економіки відкритого типу. Прагнення отримати прибуток більший, ніж усередині країни, спонукає підприємства виходити на міжнародний ринок. Згідно з чинним законодавством, підприємство має право самостійно визначати форми, методи та обсяги праці на зовнішньому ринку.

Організаційні форми управління ЗЕД на виробничих підприємствах в Україні багато в чому індивідуалізовані. Разом з тим можна виділити деякі загальні риси.

На виробничих підприємствах, що приймають активну участь у зовнішньоекономічній діяльності, зовнішньоекономічний апарат в даний час існує в основному в двох формах:

. Відділу зовнішньоекономічних зв'язків (ВЗЕЗ) в рамках діючого апарату управління.

2. Зовнішньоторгової фірми (ЗТФ)

Для ефективного керівництва ЗЕД на рівні підприємства необхідна адекватна умовам його роботи структура управління. Розрізняють:

організаційно-виробничу структуру;

структуру управління;

організаційну структуру підприємства.

Основні напрями зовнішньоекономічної діяльності фірми такі:

вихід на зовнішній ринок;

організація експортно-імпортних операцій з поставок товарів, послуг і капіталу;

валютно-фінансові та кредитні операції;

створення спільних підприємств і участь у їхній діяльності;

міжнародний маркетинг. [6, 312]

На жаль, ПП «Агрофірма «Ставиське» зовнішньоекономічною діяльністю не займається. На даний час господарство не має потужності для виходу на зовнішній ринок та експорту продукції на міжнародні ринки. Відсутність організованого відділу маркетингу на підприємстві негативно впливає на подальший розвиток господарства, бо це зменшує вірогідність ретельного пошуку каналів збуту продукції за кордон та пошук потенційних іноземних покупців для якісної української продукції рослинництва та тваринництва.

Основними рекомендаціями господарству для подальшого розвитку и розширення ринку ПП «Агрофірми «Ставиське» будуть такі:

1.      творення окремого структурного підрозділу, що відповідав би за успішність ведення ЗЕД на підприємстві;

2.      маркетингингові дослідження нових ринків за умови виходу на них;

.        вибір партнерів для ведення зовнішньоекономічної діяльності шляхом збору необхідної інформації про них;

.        проведення SWOT - аналізу для розробки стратегії розвитку підприємства;

.        удосконалення механізму зовнішньоекономічної діяльності підприємства на основі відповідних законодавчих актів.

. Управління обліково-фінансовою діяльністю

В сучасних умовах господарювання для юридичних і фізичних осіб найбільш важливим є оцінка того, наскільки фінансово незалежним є об'єкт інвестування коштів; чи принесуть такі вкладення прибуток або ж інші вигоди їх власникам; чи зможуть розрахуватися за своїми боргами дебітори та протягом якого часу. Цей перелік можна ще довго продовжувати, але його особливістю залишатиметься потреба у інформації про фінансовий стан господарюючих суб'єктів.

Метою складання фінансової звітності є надання користувачам повної, правдивої, неупередженої інформації про фінансові результати діяльності та фінансовий стан підприємства для прийняття ними відповідних рішень. Фінансова звітність складається на підставі облікових даних. Вона особлива тим, що поєднує у собі дані і бухгалтерського, і статистичного, і оперативного обліку. Саме тому цей вид звітності є основним джерелом інформації для оцінки фінансового стану підприємства у вартісному вираженні. До того ж, фінансова звітність є зведенням показників, які характеризують можливість залучення інвестицій, якісний рівень управлінського персоналу, здатність акумулювання господарюючими суб'єктами грошових коштів. Інакше кажучи, фінансова звітність дозволяє оцінити можливість підприємства погасити кредиторську заборгованість перед постачальниками, з оплати праці тощо.

Крім зазначених вище вимог щодо обов'язкових даних, які повинна містити звітність для її розуміння користувачами, для фінансової звітності необхідна наявність інформації про:

·              облікову політику підприємства та її зміни;

·              консолідацію фінансових звітів окремих підприємств;

·              (ліквідацію) окремих видів діяльності;

·              виявлені помилки минулих звітних періодів та пов'язані з ними коригування;

·              інформацію про здійснену переоцінку статей форм фінансової звітності;

·              іншу інформацію, розкриття якої передбачено відповідними П(С)БО.

В Україні порядок складання фінансової звітності регулюється вимогами Закону України "Про бухгалтерський облік та фінансову звітність в Україні" та положеннями (стандартами) бухгалтерського обліку. Загальні положення щодо порядку складання і подання фінансової звітності містить П(С)БО 1 "Загальні вимоги до фінансової звітності".

Відповідно до вимог названих нормативних документів для забезпечення якісних характеристик інформації, яка міститься у фінансовій звітності, під час її формування слід дотримуватися ряду принципів. [17]

Елементами фінансової звітності є: активи, зобов'язання, власний капітал, доходи, витрати. Ці елементи, у свою чергу, поділяються на окремі статті, які можуть об'єднуватися в однорідні групи, виходячи з певної класифікації.

Згідно із Законом України "Про бухгалтерський облік та фінансову звітність в Україні" фінансова звітність підприємств включає п'ять річних форм:

1.      Баланс (ф. № 1);

.        Звіт про фінансові результати (ф. № 2);

.        Звіт про рух грошових коштів (ф. № 3);

.        Звіт про власний капітал (ф. № 4);

Управління фінансовою діяльністю підприємства, як управляючої системи, основними функціями є:

. Розробка фінансової стратегії підприємства.

. Створення організаційних структур, що забезпечують прийняття і реалізацію по всіх аспектах фінансової діяльності підприємства.

. Формування ефективних інформаційних систем, що забезпечують обгрунтування альтернативних варіантів управлінських рішень.

. Здійснення аналізу різних аспектів фінансової діяльності підприємства.

. Здійснення планування фінансової діяльності підприємства по основних напрямах.

. Розробка дієвої системи стимулювання реалізації прийнятих управлінських рішень в області фінансової діяльності.

. Здійснення ефективного контролю за реалізацією прийнятих управлінських рішень в області фінансової діяльності.

Для складання фінансової звітності на ПП «Агрофірма «Ставиське» створено єдиний централізований бухгалтерський відділ. Даний відділ здійснює всі операції розроблені обліковою політикою підприємства згідно вимогам Закону України "Про бухгалтерський облік та фінансову звітність в Україні". Всі облікові документи після складання та ретельної точної перевірки надаються іншим підрозділам для складання аналітичного та синтетичного обліку у господарстві. [17]

На ПП «Агрофірма «Стависке» бухгалтерську роботу виконують автоматизовано. Автоматизація бухгалтерських робіт дозволяє забезпечувати якісний контроль за роботою підприємства, а також забезпечує організацію достовірного обліку. Основні бухгалтерські роботи виконуються за допомогою програми 1C "Бухгалтерія". За її допомогою охоплюється оперативний облік витрат па виробництві, який полягає в щоденному контролі за витрачанням матеріальних, трудових і грошових ресурсів у виробництві, і результатами їх використання.

До складу бухгалтерського відділу ПП «Агрофірма «Ставиське» входить:

. головний бухгалтер;

. заступник головного бухгалтера;

. бухгалтер по заробітній платі;

. 2 касири;

. 2 відділу бухгалтерії у складі бухгалтерів різних категорій.

Аналізуючи фінансовий стан ПП «Агрофірми «Ставиське» проведемо розрахунок результатів господарської діяльності господарства за 2010 -2012 рік. Для цього у таблиці 7.1 розрахуємо такі основні показники, як вартість валової продукції, на 1 га с.-г. угідь, на 1 середньорічного працівника, на 1 грн. виробничих витрат, валовий прибуток підприємства та рівень рентабельності виробництва.

Таблиця 7.1. Результати господарської діяльності підприємства

Показник

2010 р.

2011р.

2012р.

2012р. У % до 2010р.

Вартість валової продукції, грн

4975501,74

5107306,01

5361283,62

107,75

на 1 га с.-г.-угідь

5434,56

3353,01

3519,75

64,77

на 1 середньорічного працівника

69104,19

81068,35

76589,77

110,83

на 1 грн виробничих витрат

1,24

1,11

1,1

88,81

Валовий прибуток, грн

217200

469400

8800

4,05

на 1 га с.-г.-угідь

237,24

308,17

5,78

2,42

на 1 середньорічного працівника

3016,66

7450,79

125,71

4,17

Рівень рентабельності підприємства, %

6,74

14,59

0,26

3,87


8. Стратегічне управління підприємством

Стратегічне управління - це процес розробки стратегій і управління організацією для успішної її реалізації. Організації і керівники, які мислять стратегічно, дивляться вперед і визначають напрямок, в якому вони бажають рухатися. Не дивлячись на свою впевненість, що бізнес, як і керівники, повинен працювати добре і прямо зараз, щоб добре розвиватися в майбутньому, їх цікавить більш широкий спектр проблем, з якими вони зустрічаються, і загальний напрямок, в якому вони повинні рухатися, щоб вирішувати ці проблеми.

Стратегічне управління здійснюється в контексті місії організації, і його фундаментальна задача полягає в тому, щоб забезпечити взаємозв’язок місії з основними цілями організації в умовах змінного економічного середовища. Стратегічне управління стосується й цілей, і засобів.

В площині цілей воно вимальовує загальні контури майбутнього організації; в якості засобів - показує, як ця ціль повинна досягатися. Отже, стратегічне управління - це прогнозне управління, пов'язане з розробкою і концептуалізацією уявлень про те, куди прямує організація. Стратегічне управління повинне суміщатися з практикою поточного управління. Завжди необхідно пам'ятати, що стратегія це засіб для створення додаткової вартості.

Стратегічне управління передбачає: визначення ключових позицій на перспективу в залежності від поставлених цілей; виділення ресурсів підприємства під стратегічні цілі; створення центрів керівництва кожною стратегічною ціллю; оцінку і стимулювання виробничих підрозділів та їх керівників за ступенем досягнення стратегічних цілей.

Стратегічне управління підприємством включає: визначення місії, формування стратегічних цілей і задач, порівняльний аналіз сильних і слабких сторін діяльності підприємства і його конкурентоспроможність; оцінку існуючих і перспективних напрямків підприємницької діяльності; вивчення зовнішнього середовища, визначення перспективних напрямів бізнесу, розробку стратегічних планів і конкретних задач.

Для реалізації стратегій залежно від конкретних умов використовуються такі моделі: внутрішньофірмового управління у спокійному зовнішньому середовищі; управління в умовах динамічного і різноманітного ринку; модель раптово виникаючих загроз і можливостей у зовнішньому середовищі. Особливого значення набуває модель стратегії підприємства в умовах зростаючої конкуренції, яка передбачає обґрунтований аналіз його конкурентоспроможності, оцінку зовнішніх і внутрішніх факторів. Ця оцінка здійснюється за допомогою SWOT - аналізу, складовими якого є сильні і слабкі сторони підприємства, можливості та загрози, що перешкоджають руху в напрямі досягнення мети та цілей його розвитку. [14, 117]

Сильні сторони підприємства характеризують його потенціал до підвищення конкурентоспроможності. Складовими сильних сторін може бути висока компетентність персоналу, стійке фінансове становище, імідж серед споживачів продукції, визнання на ринку, нижча ніж у конкурентів собівартість продукції та ін. Слабкі сторони підприємства - це внутрішні характеристики, які позбавляють його переваг над конкурентами. До них відносяться: обмежені потужності, низька прибутковість і якість продукції, вузька спеціалізація, мала доля продукції на ринку, слабка команда управлінців тощо.

Стратегія підприємства - це систематичний план його потенційної поведінки в умовах неповноти інформації про майбутній розвиток середовища та підприємництва, що включає формування місії, довгострокових цілей, а також шляхів і правил прийняття рішень для найбільш ефективного використання стратегічних ресурсів, сильних сторін і можливостей, усунення слабких сторін та захист від загроз зовнішнього середовища задля майбутньої прибутковості. Отже, необхідність розробки підприємствами стратегії викликана, нестабільністю ринкового середовища, неповнотою інформації про його майбутній стан і вплив на підприємство.

Саме за таких умов необхідно розглядати стратегічний контекст в діяльності підприємства, яка здійснюється за двома напрямками:

а) поточна, операційна діяльність, спрямована на поточну прибутковість;

б) стратегічна діяльність, спрямована на майбутню прибутковість.

Вивчаючи головну стратегія ПП «Агрофірми «Ставиське», можемо стверджувати, що вона залежить від багатьох факторів та чинників. Такими чинниками є структура виробництва продукції, реалізаційні ціни на продукцію, обґєм реалізації, природно-кліматичні умови, що прямо впливають на урожайність культур, попит та пропозиція на українському ринку. [14, 216]

Розглядаючи основні стратегії ПП «Агрофірми «Ставиське», можемо стверджувати, що однієї стратегії у чистому вигляді на підприємстві не існує. Але основними стратегіями у господарстві є:

•        Стратегія розвитку продукту, яка припускає вирішення задачі росту за рахунок виробництва нового продукту, що буде реалізовуватися на вже освоєному підприємством ринку;

•        Стратегія оптимальних витрат - дає можливість покупцям отримати за свої кошти більшу цінність за рахунок поєднання низьких витрат та широкої диференціації продукції. Задача полягає в тому, щоб забезпечити оптимальні витрати та ціни відносно виробників продукції з аналогічними рисами та якістю

•        Стратегія стабілізацїї - це наступально-захисна стратегія. Вона характеризується рівнем таких показників, як дохід від продажу, дохід від активів, дохід від акцій, швидкість оновлення продукції тощо. Стратегія стабілізації застосовується, коли передбачається спад виробництва та розпочинається раптове падіння обсягу продажу та прибутку.

У зв'язку з цим підприємство вживає заходів до уповільнення падіння обсягу продажу товарів та прибутку, розробляє довгострокову програму стабілізації, запроваджує економію всіх видів витрат, розпочинає процес покращання економічного стану.

А також на ПП «Агрофірма «Ставиське» розробляється та планується стратегія розвитку власної продукції.

Основними стратегічними та оперативними цілями ПП «Агрофірми «Ставиське» можемо визначити такі:

.        прискорене зростання доходів;

.        прискорене зростання грошових надходжень;

.        зростання частки ринку;

.        більш сильне і більш надійне становище в галузі;

.        підвищення якості продукції;

.        зниження витрат виробництва порівняно з основними конкурентами;

.        розширення і поліпшення номенклатури продукції.

Далі проведемо SWOT - аналіз ПП «Агрофірма «Ставиське». Для цього визначимо сильні та слабкі сторони господарства, а також можливості та потенційні загрози.

Матриця SWOT-аналізу ПП «Агрофірми «Ставиське»

Сильні сторони: 1. сильна позиція у специфічних ринкових сегментах, добре знаний лідер; 2. достатні фінансові ресурси; 3. економія на масштабах виробництва; 4. екологічно чиста продукція; 5. налагоджена збутова діяльність.

Слабкі сторони: 1. високі затрати на виробництво; 2. нижчі за середні темпи зростання; 3. недостатній прибуток; 4. недоліки в стратегічній діяльності; 5. недостатня технічна оснащеність. 6. низька заробітна плата <http://ua-referat.com/%D0%97%D0%B0%D1%80%D0%BE%D0%B1%D1%96%D1%82%D0%BD%D0%B0_%D0%BF%D0%BB%D0%B0%D1%82%D0%B0> рядових працівників.

Можливості: 1. підвищення якості виробництва; 2. зменшення собівартості продукції; 3. розширення каналів збуту, вихід <http://ua-referat.com/%D0%92%D0%B8%D1%85%D1%96%D0%B4> на нові ринки або сегменти ринку;

. впровадження інновацій;

. розширення номенклатури;

. обслуговування додаткових груп споживачів;

. розширення виробництва для задоволення потреб споживачів;Загрози:

. інфляція;

. велика ймовірність виникнення нових конкурентів;

. зростання збуту товарів-замінників;

. уповільнений темп зростання ринку;

. виникнення труднощів при укладанні договорів із постачальниками та споживачами;

. зміни в потребах споживачів;

. негативні демографічні зміни;

. негативна екологічна ситуація;

9. соціально-політична нестабільність.


9. Управління інноваційною діяльністю

Управління інноваційним процесом - невід'ємна складова діяльності сучасного підприємства, що охоплює планування, організування та стимулювання інноваційної діяльності, реалізацію інноваційних проектів, розрахованих на отримання конкурентних переваг і зміцнення ринкових позицій підприємства.

Здатність підприємства «вбирати» інновації підвищує його шанси у конкурентній боротьбі і створює суттєві різнопланові переваги. Інноваційні завдання передбачають зниження витрат виробництва, поліпшення якості продукції або послуг, виведення на ринок нового товару, формування нової стратегії збуту, яка сприяє підвищенню інтересу споживачів до нового товару. Залучення чи створення інновацій повинно відбуватися цілеспрямовано, з метою формування конкурентних переваг на конкретному сегменті ринку, де працює підприємство.

Важливо не лише своєчасно визначити перспективність певної ідеї та оцінити її комерційну вигідність, а й створити умови для оперативного упровадження новинки на підприємстві. Тому управління нововведеннями охоплює різноманітні функції (маркетинг, планування, організацію, контроль), кожна з яких націлена на вирішення специфічних питань взаємодії між підрозділами фірми, що здійснюють конкретні види інноваційної діяльності.

Основними завданнями управління інноваціями є:

дослідження ринку для нових продуктів (потреби, місткість, переваги споживачів, вибір цільових сегментів ринку, стратегії просування товару доспоживача);

прогнозування характеру і стадій життєвого циклу нового продукту;

визначення способів продажу нового продукту;

дослідження кон'юнктури ринку ресурсів;

знаходження субпідрядників на освоєння і постачання комплектуючих, обладнання;

опрацювання можливих варіантів кооперації з конкурентами щодо розроблення і освоєння технічно складного чи ризикованого продукту;

здійснення комплексного аналізу витрат, ціни, обсягів виробництва і продажу нового продукту;

оцінювання ефективності інноваційного проекту;

аналіз ризиків, визначення методів їх мінімізації та страхування;

вибір організаційної форми створення, освоєння і розміщення на новому ринку;

дослідження доцільності та планування адекватних форм передавання технології в процесі створення, освоєння, розміщення на ринку і підтримки необхідного обсягу продажу нового продукту.

огляду на масштабність і різноплановість завдань, управління інноваційною діяльністю має охоплювати стратегічні й оперативні аспекти.

Стратегічне управління інноваційною діяльністю націлене на прогнозування глобальних змін в економічній ситуації та пошук і реалізацію масштабних інноваційних проектів, які сприятимуть успіхові підприємства і забезпечуватимуть його ефективне функціонування і розвиток у тривалій перспективі Стратегічна інноватика передбачає визначення основних напрямів науково-технічної і виробничої діяльності підприємства у сферах розроблення і впровадження нової продукції; вдосконалення і модифікацію продукції, яку виготовляє підприємство; зняття з виробництва застарілої продукції; залучення у виробничу діяльність нових ресурсів і нових технологій, освоєння нових методів організації виробництва та праці тощо.

Оперативне управління інноваційною діяльністю має своїм завданням визначення найефективніших шляхів і засобів реалізації прийнятої стратегії розвитку. Воно по лягає у послідовному виконанні основних управлінських функцій (планування, організація, контроль, мотивування) у короткостроковому періоді. [15]

Система управління інноваційною діяльністю підприємства містить чотири підсистеми - науково-технічного розвитку, керовану, забезпечуючу і керуючу підсистеми. Підсистема науково-технічного розвитку займається розробкою і прогнозуванням майбутніх потреб підприємства. Керована підсистема - об'єкт управління - включає функціональні служби, основні і допоміжні виробничі підрозділи, які реалізують наукові розробки. Забезпечуюча підсистема формує необхідні матеріальні, трудові, фінансові ресурси для керованої підсистеми. Керуюча підсистема - суб'єкт управління - найбільш складна і значуща в системі управління інноваційною діяльністю. Загальні функції керуючої підсистеми інноваційної діяльності підприємства включають розробку інноваційної стратегії і створення нових організаційних структур управління, проведення аналізу і планування інноваційної діяльності з урахуванням стратегічних і поточних планів підприємства, реалізацію ефективного контролю за виконанням ухвалених рішень. При цьому кожна конкретна функція є комплексною за змістом і включає всі загальні функції управління.[15]

Займаючись питанням інноваційної діяльності ПП «Агрофірми «Ставиське», на жаль, було виявлено відсутність діяльності по управлінню впровадження нововведень у господарстві. На даний час підприємство працює за сталою схемою та сталим обладнанням, яке в свій час не дуже ефективно використовує робочу силу та затрати праці на виконання певних видів робіт. Тому з мого боку однією з пропозиції для подальшого розвитку та процвітання ПП «Агрофірми «Ставиське» є запровадження служби для введення та розробки планів щодо інноваційної діяльності у господарстві.

. Пропозиції щодо удосконалення діяльності підприємства

Проходячи практику на ПП «Агрофірма «Ствиське», мною було досліджено ряд таких важливих питань, таких як організаційна структура, планово-економічну діяльність, управління персоналом, управління маркетинговою та логістичною діяльністю, управління зовнішньоекономічною діяльністю, управління обліково-фінансовою діяльністю, стратегічне управління, управління інноваційною діяльністю підприємства. У процесі дослідження мною було виявлено ряд недоліків у даному господарстві.

А як відомо, що конкурентне ринкове середовище вимагає від підприємства постійного вдосконалення. Для того щоб бути конкурентоспроможним, підприємство повинно мати конкурентні переваги.

Основними напрямами для удосконалення та підвищення ефективності діяльності ПП «Агрофірми «Ставиське» є:

.        Створення окремих відділів у господарстві для здійснення планово-економічної, маркетингової, логістичної діяльності;

.        Дослідження на пошук нових сегментів ринку, а також спроба пошуку сегменту на іноземному ринку для здійснення зовнішньоекономічної діяльності;

.        Удосконалення роботи з персоналом, у першу чергу раціональне використання робочої сили, підвищення продуктивності праці;

.        Ведення інноваційної діяльності на підприємстві, пошук та застосування нововведень для раціональнішого використання живої праці;

.        Розширення асортименту продукції для виходу на нові сегменти ринку;

.        Розширення обсягів виробництва та проба зниження собівартості продукції, особливо галузі тваринництва для досягнення максимального прибутку;

.        Визначення чітких цілей та стратегії підприємства для розробки планів подальшої діяльності господарства.

Шляхами підвищення економічної ефективності виробництва сільськогосподарської продукції ПП «Агрофірми «Ставиське», які забезпечать збільшення обсягів виробництва продукції і зменшення витрат на її одиницю, є:

·      поліпшення використання землі;

·        підвищення родючості;

·        впровадження комплексної механізації і автоматизації виробництва;

·        поглиблення спеціалізації виробництва;

·        раціональне використання виробничих фондів і трудових ресурсів;

·        впровадження ресурсозберігаючих технологій;

Висновки

У результаті проходження практики на базі ПП «Агрофірма «Ставиське» я ознайомилась з діяльністю підприємства, його організаційною структурою, виробничою діяльністю, дослідила управління фінансово-економічною діяльністю та стратегією підприємства, планово-економічною діяльністю, методикою управління персоналом, наявністю маркетингової, логістичної та зовнішньоекономічної діяльності.

Після вивчення ряду цих питань можемо зробити ряд висновків:

.        ПП «Агрофірма «Ставиське» розміщена у Чернігівській області, у Козелецькому районі у селі Ставиське на вилиці Миру, 1. Керівник підприємства - Михед Михайло Олексійович.

.        Основний напрям діяльності господарства - вирощування зернових та технічних культур, розведення ВРХ, свиней та бджільництво.

.        ПП «Агрофірма «Ставиське» функціонує на лінійною організаційною структурою, у своєму складі маючи: виконавчого директора, заступника директора, головного бухгалтера, економіста, начальника цеху та основних і допоміжних робітників для виконання основних видів робіт у процесі діяльності.

.        Досліджуючи планування на ПП «Агрофірма» Ставиське», на підприємстві вираховують залишки всіх матеріальних ресурсів, враховують поступлення матеріальних ресурсів згідно договорів в ΙV кварталі, а також скільки протягом кварталу підприємство буде виробляти продукції.

.        Фінансові плани господарства включають у себе планування доходів, видатків та прибутку. Показники фінансового плану не плануються нижчими, ніж у попередньому році.

.        На підприємстві планування проводиться по галузям: рослинництво та тваринництво.

.        На даному підприємстві укладаються трудові угоди, як на постійні роботи, так і на сезонні роботи, так як уборка чи очистка зерна, випас худоби, скирдовка соломи. Коефіцієнт використання трудових ресурсів у 2012 році складає 0,76.

.        Щодо маркетингової діяльності на ПП «Агрофірма «Ставиське», можемо сказати, що маркетингового відділу на підприємстві не існує. Виконання функції маркетингового відділу покладено на планово-економічний відділ господарства.

.        На жаль, ПП «Агрофірма «Ставиське» зовнішньоекономічною діяльністю не займається.

.        Для складання фінансової звітності на ПП «Агрофірма «Ставиське» створено єдиний централізований бухгалтерський відділ. Даний відділ здійснює всі операції розроблені обліковою політикою підприємства згідно вимогам Закону України "Про бухгалтерський облік та фінансову звітність в Україні".

11.    Основними стратегіями господарства є: стратегія розвитку продукту, стратегія оптимальних витрат, стратегія стабілізації.

12.    Займаючись питанням інноваційної діяльності ПП «Агрофірми «Ставиське», на жаль, було виявлено відсутність діяльності по управлінню впровадження нововведень у господарстві.

Також мною було запропоновано ряд пропозицій щодо удосконалення діяльності господарства для подальшого розбитку в умовах конкурентного середовища, виходу на новий ринок та отримання максимального прибутку від задоволення потреб і попиту споживачів.

У ході практики мною було проаналізовано баланс господарства за 2010-2012 роки, звіт з праці, форму 50 с.-г. та інші нормативні документи ПП «Агрофірми «Ставиське».

Список використанних джерел

1.    Андрійчук В.Г. Економіка аграрних підприємств: Підручник. - 2-ге вид., доп. і перероб./ К.: КНЕУ, 2002. - 624с.

2.      Древаль О.Ю. Планування діяльності підприємства: Конспект лекцій. - Суми: Вид-во СумДУ, 2008. - 146 с.

3.    Дроздова Г. М. Менеджмент зовнішньоекономічної діяльності підприємства: навчальний посібник. - Київ ЦНЛ 2004

4.      Збарський В.К. Економіка сільського господарства: навч. посібник / Збарський В.К., Мацибора В.І., Чалий А.А., Степасюк Л.М. та ін..: За ред.. В.К. Збарського, В.І. Мацибора - К: Каравела, 2009 -264 с.

5.    Іванова В.В. Планування діяльності підприємства: навч. посіб. для студ. вищ. навч. закл. - К.: Центр навчальної літератури, 2006. - 472 с.

6.      Козака Ю.Г. Зовнішньоекономічна діяльність підприємств./ За ред. Ю.Г. Козака, Н.С. Логвінової, І.Ю. Сіваченка -Київ : Центр навчальної літератури, 2006. -792 с.

7.    Козловський В.О. Інноваційний менеджмент : навчальний посібник / Козловський В. О. - Вінниця : ВНТУ, 2007. - 210 с.

8.      Козловський В.О. Підприємницька діяльність. Практикум. Частина 1. / В.О. Козловський - Вінниця : ВНТУ, 2006. - 175 с.

.        Колот А. М. Мотивація персоналу : підручник. / Колот А.М. - К. : КНЕУ, 2002. - 337 с.

10.  Крушельницька О.В. Управління персоналом : навчальний посібник / О. В. Крушельницька, Д.П. Мельничук. - К. : «Кондор», 2003. - 296 с.

.      Небава М.І., Ратушняк О.Г. Менеджмент організації і адміністрування. Частина 1 : навчальний посібник - Вінниця : ВНТУ, 2012. - 105 с.

12.  Рульєв В.А., Гуткевич С.О. Менеджмент. Навчальний посібник. - К.: Центр учбової літератури, 2011. - 312 с.

13.  Сладкевич В.П. Стратегічний менеджмент організацій: Підручник. - К.: ДП «Видавничий дім «Персонал», 2008. - 496 с.

.      Черевко Г.В., Горбонос Ф.В., Іваницька Г.Б., Павленчик Н.Ф. Економіка підприємства: Навч. посіб. / За. ред. Г.В. Черевна. - Л.: Апріорі, 2004. - 384 с.

.      Щокіна Г.В. Менеджмент: Навч. посіб. для студ. вищ. навч. закл. / За ред. Г.В. Щокіна, М.Ф. Головатого, О.В. Антонюка, В.П. Сладкевича. - К.: МАУП, 2007. - 816 с.

Похожие работы на - Організаційна структура управління підприємством ПП 'Агрофірма 'Ставиське' Чернігівської області

 

Не нашли материал для своей работы?
Поможем написать уникальную работу
Без плагиата!
Без нейросетей!