Оптимизация управления авиационным предприятием ОАО 'Cухой' путем количественного экономико-математического моделирования

  • Вид работы:
    Курсовая работа (т)
  • Предмет:
    Менеджмент
  • Язык:
    Русский
    ,
    Формат файла:
    MS Word
    545,85 Кб
  • Опубликовано:
    2015-04-13
Вы можете узнать стоимость помощи в написании студенческой работы.
Помощь в написании работы, которую точно примут!

Оптимизация управления авиационным предприятием ОАО 'Cухой' путем количественного экономико-математического моделирования















КУРСОВАЯ РАБОТА

Оптимизация управления авиационным предприятием «ОАО Cухой» путем количественного экономико-математического моделирования

по дисциплине «Методы оптимизации и исследование операций»

Оглавление

Оглавление

Введение

. Анализ и выявление проблем объекта оптимизации

.1 Описание авиационного предприятия

.2 Комплексный анализ внешней и внутренней среды объекта управления. Построение SWOT-матрицы для принятия стратегических решений

.2.1 Анализ внутренней среды организации

.2.2 Анализ внешней среды организации

.2.3 Матрица SWOT-анализа

.3 Разработка моделей оптимизации (Модель №2 ) для принятия тактических решений

. Формирование математических моделей управления авиационным предприятием

.1 Построение модели №1 с использованием частного случая модели целочисленного линейного программирования (задачи о ранцах)

. Решение математических моделей изучаемого объекта средствами Excel

.1 Принятые программы стратегических мероприятий по развитию предприятия

.2 Результаты проведения расчетов по решению модели №2 и принятие оптимальных тактических решений

.3 Оценка эффективности внедрения предлагаемых решений в управление авиационным предприятием

Заключение

Список литературы

Введение

Авиационная промышленность - одна из динамично развивающихся, наукоемких, прибыльных и перспективных отраслей мировой экономики. Она, несмотря на все потрясения, которые пришлось пережить при переходе от плановых методов управления к рыночным методам регулирования, по-прежнему обладает высоким интеллектуальным и экономическим потенциалом. Используя ее потенциал, наша страна может совершить экономический прорыв за счет развития на базе данной отрасли развитие наукоемких технологий, создания высокотехнологичных производств и предприятий. Но без эффективного управления невозможно успешное развитие авиационного производства в условиях мировой конкуренции. Опыт последних лет показал, что отсутствие правильно организованного планирования на многих предприятиях оборонного комплекса России, в том, числе и в авиационной отрасли привело к их банкротству. В связи с этим назрела необходимость разрабатывать такие управленческие решения по развитию предприятий и отрасли, которые должны быть приспособлены к резким изменениям в экономике.

Исходя из этого, данная курсовая работа посвящена рассмотрению вопросов совершенствования работы кадрового отдела ОАО «Сухой» путем количественного моделирования и оптимизации трудовых ресурсов. Актуальность избранной темы обусловлена непосредственным влиянием кадровой политики корпорации на всю ее деятельность в целом.

Для оптимизации управленческих решений в рамках этой курсовой работы будут использоваться средства MS Office EXCEL и его функция «Поиск решения».

Цель работы: разработка оптимального решения для развития кадрового отдела ОАО «Сухой» с целью повышения конкурентоспособности корпорации на рынке.

Для достижения цели были поставлены следующие задачи:

·        Провести комплексный анализ перспектив развития кадрового отдела ОАО «Сухой» и возможности адекватной реакции отдела на изменения во внешней среде;

·        Выявить тактическую проблему, мешающую осуществлять подразделению свою операционную деятельность для обеспечения выживания и устойчивого развития организации;

·        Построить модель № 1 для принятия стратегических решений развития объекта управления;

·        Построить модель №2 для принятия операционных решений;

·        Решить модель №1 методом линейного программирования- задача о ранцах;

·        Выбрать метод решения модели №1;

·        Решить 2 модели средствами Excel;

·        Предложить систему стратегических и тактических мер по совершенствованию кадрового отдела компании;

·        Oценить социальную и экономическую эффективность предложенных в работе изменений.

Для оптимизации управленческих решений в рамках этой курсовой работы будут использоваться средства MS Office EXCEL и его функция «Поиск решения».

кадровый математический моделирование трудовой

1. Анализ и выявление проблем объекта оптимизации

.1 Описание авиационного предприятия

Для проведения дальнейшей работы необходимо познакомиться с корпорацией и ее деятельностью в целом. В данной таблице содержится общая информация о компании, ее истории, основных конкурентах, специализации и т.д. (табл.1)

Таблица 1.

Название, местонахождения

ОАО «Компания «Сухой» Россия, Москва, ул. Поликарпова, д. 23Б

Назначение

 Главная цель холдинга "Сухой" - формирование и стабильное развитие экономически эффективной и высокотехнологичной авиастроительной компании мирового уровня. Компания обеспечивает выполнение полного цикла работ в авиастроении - от проектирования до эффективного послепродажного обслуживания. В настоящее время Компанией реализуются перспективные программы в области военного и гражданского авиастроения.

Отраслевая принадлежность

Отрасль - авиастроение. Продукция холдинга - боевые самолеты марки «Су», являющиеся передовыми образцами мирового рынка вооружений и составляют основу фронтовой авиации России и тактической авиации многих стран мира.

Правовая форма и вид собственности

ОТКРЫТОЕ АКЦИОНЕРНОЕ ОБЩЕСТВО «АВИАЦИОННАЯ ХОЛДИНГОВАЯ КОМПАНИЯ «СУХОЙ» С государственной формой собственности

Историческая справка

 История Открытого Акционерного Общества «ОКБ Сухого» берет свое начало с бригады №4 АГОС ЦАГИ, которую в октябре 1930г. возглавил П.О. Сухой. Именно с этого момента начинается формирование конструкторского коллектива будущего ОКБ. Для внедрения ББ-1 в серию, постановлением правительства от 29 июля 1939 года П.О. Сухой назначается Главным конструктором. Он, вместе с коллективом ОКБ, получившим статус самостоятельного, переводится на серийный авиационный завод №135 в Харьков. В ноябре 1949 года решением правительства ОКБ было ликвидировано и восстановлено вновь лишь в мае 1953 года, но уже на новой производственной базе. «Второе рождение» ОКБ по времени совпало с появлением сверхзвуковой реактивной авиации. Поэтому основными направлениями в работе конструкторского коллектива на начальном этапе стали сверхзвуковые истребители С-1 и Т-3. В 1969 году в ОКБ приступают к разработке истребителя четвертого поколения, а в 1977 году прототип истребителя Су-27 совершает первый полет. В последующие годы на базе Су-27 созданы: Су-27УБ, Су-30, Су-32, Су-33. В начале 90-х годов, в ОКБ развернуты работы по гражданской тематике; в 2001 году совершили первые полеты грузопассажирский самолет Су-80ГП и сельскохозяйственный Су-38Л.В настоящее время ЗАО «Гражданские самолеты Сухого», ведет разработку семейства региональных самолетов Sukhoi Superjet 100.

Структура

Приоритетная разработка и производство перспективных боевых авиационных комплексов фронтовой авиации. Эволюционное развитие и глубокая модернизация многофункциональных истребителей семейства "Су".  Диверсификация производства за счет развития гражданского самолетостроения на уровне международных стандартов, оказание широкого комплекса послепродажных услуг.  Внедрение новейших технологий в сферу НИОКР и производства. Переход на безбумажные технологии проектирования, внедрение новых методов производства на основе компьютерного моделирования.  Создание единой системы управления качеством и стоимостью продукции.  Сокращение сроков и издержек в опытно-конструкторских разработках и серийном производстве.  Модернизация производственных мощностей предприятий холдинга, комплексное техническое перевооружение.

Структура управления

Сформирован единый центр принятия операционных решений по направлениям деятельности. У каждой из реализующихся компанией программ два основных руководителя: директор и главный конструктор. Такое построение системы управления позволяет добиться жесткой централизации отдельных функций управления, повысить четкость и оперативность принимаемых решений.

Ресурсы

 Для организации работ по поддержке и продлению ресурса и сроков службы командируются специалисты ОАО «Компании «Сухой» на освидетельствование самолета и составление необходимой документации. Организуется сбор и обработка данных надежности и отказности самолета (планера, оборудования и т.д.) Разрабатываются программы поддержания исправности самолетов и обеспечения их необходимым запасом ресурсов.  Для продления ресурса и оптимизации отвода самолетов в ремонт разрабатываются программы отвода в ремонт самолета Заказчика и проводятся работы по освидетельствованию самолета.

Экономика

В 2011 году ОАО «Компания «Сухой» получила выручку в размере 47,8 млрд. рублей. Полученная выручка является максимальной с момента образования общества. За отчётный период выручка увеличилась на 27,6 млрд. рублей за счет роста объема контрактов, выполняемых через ОАО «Рособоронэкспорт»: с 12,14 млрд. рублей в 2010 году до 38,27 млрд. рублей в 2011 году. Также вырос объем поставок с использованием лицензии общества на право внешнеэкономической деятельности в области поставки запасных частей, ремонта и обслуживания с 7,07 млрд. рублей в 2010 году до 7,86 млрд. рублей в 2011 году.  Рост выручки по внутреннему рынку обусловлен выполнением обязательств по договору с ОАО «Авиаремонт» в качестве соисполнителя по государственному контракту.

Культура

 Культура занимает очень важное место в деятельности компании. Особенно это выражается в приобщении молодежи к массовым культурным мероприятиям. Молодежь ОКБ умеет не только хорошо работать, но и отдыхать. В 2003 году впервые проведена молодежная спартакиада ОАО “ОКБ Сухого. Этапами соревнований стали: плавание, легкая атлетика, пулевая стрельба, быстрые шахматы, настольный теннис, футбол, волейбол. Особое место среди культурно-спортивных мероприятий, организованных СМС ОКБ и АХК «Сухой» при поддержке руководства предприятий и профсоюзного комитета, занимает система слетов, проводимых на территории базы отдыха “Зорька” под городом Наро-Фоминском. В 2003-2004 году прошли слеты: летний межотраслевой, зимний корпоративный и совместный со студентами МАИ.

Ключевые факторы внешней среды

ОАО «Компания «Сухой» является одним из крупнейших экспортеров российской боевой авиационной техники, на долю которого приходится около 12% объема рынка (по оценке «Aviation Week & Space Technology»).  Также ОАО «Компания «Сухой» занимает одно из ведущих мест в ряду предприятий страны - субъектов военно-технического сотрудничества.  Основные конкуренты ОАО «Компания «Сухой» на внешнем рынке военной авиационной техники  Основные конкуренты ОАО «Компания «Сухой» на внутреннем рынке военной авиационной техники.  Основным конкурентом ОАО «Компания «Сухой» на внутреннем рынке истребительной авиации среди предприятий-разработчиков и производителей авиатехники является ОАО «РСК МиГ» с самолетами типа МиГ-29. При этом реализация Объединенной авиационной корпорацией - основного акционера обеих компаний, скоординированной политики в области производства военной авиационной техники и ее продажи, позволяет снизить негативные последствия и риски, связанные с внутриотраслевой конкуренцией на внутреннем рынке.

Руководство

В соответствии с Уставом общества, полномочия единоличного исполнительного органа осуществляет Генеральный директор. Совет директоров ОАО «Компания «Сухой» осуществляет общее руководство деятельностью общества. Компания придерживается демократическому стилю управления Совет директоров ОАО «Компания «Сухой» принимает различные решения, направленные на повышение эффективности работы предприятия:  1. Принятие решения о создании комитетов Совета директоров ОАО «Компания «Сухой»:  - Комитета по стратегии;  - Комитета по аудиту;  - Комитета по кадрам и вознаграждениям.  2. Утверждение количественного и персонального состава комитетов.


.2 Комплексный анализ внешней и внутренней среды объекта управления. Построение SWOT-матрицы для принятия стратегических решений

.2.1 Анализ внутренней среды организации

Для проведения SNW-анализа:

•        Выберем основные показатели, характеризующие каждый из срезов внутренней среды организации;


Анализ внутренней среды (табл.2)

Факторы внутренней среды

Оценка качества

Важность


5

4

3

2

1

Высокая

Средняя

Низкая

1.Квалификация сотрудников


+




*



2.Развитие кадрового потенциала в соответствии со стратегическими целями и задачами Компании

+






*


3.Обеспечение условий для эффективного труда. Создание условий и мотивации для реализации способностей работников и их карьерного роста


+




*



4. Формирование единой системы переподготовки кадров и повышения квалификации. Создание кадрового резерва


+




*



5.Обеспечение социальной защиты работников холдинга


+




*



6. Оплата труда в соответствии с профессиональным уровнем работников и их личным вкладом в результаты работы компании (средняя зарплата 28052 руб.)

+





*



7. Формирование корпоративной культуры



+




*



.2.2 Анализ внешней среды организации

Таблица 3

Факторы внешней среды

Оценка качества

Важность


5

4

3

2

1

Высокая

Средняя

Низкая

Государственные заказы на производство самолетов для гражданской и военной областей



+



*



Заказы других стран на производство самолетов для гражданской и военной областей


+




*



Общемировая тенденция, определяющая потребность производства и совершенствование летательных аппаратов

+





*



Формирование единой системы переподготовки кадров и повышения квалификации в свете научно-технического прогресса (мира в целом)



+



*



Потребность в авиационной технике в связи с международной обстановкой (войны, международные конфликты, техногенные катастрофы и т.д.)


+





*


Привлечение наиболее квалифицированных и талантливых кадров из- за рубежа и предотвращение «утечки умов» за границу




+



*


Международное сотрудничество с иностранными коллегами и обмен опытом


+





*



.2.3 Матрица SWOT-анализа

Исходя из полученных данных, можно построить SWOT-матрицу в каноническом виде. (табл.4)

Таблица 4. Каноническая SWOT-матрица.

Слабые стороны Малый объем государственных заказов Утечка «умов» за границу Низкий процент привлечения квалифицированных иностранных кадров Протекционизм в кадровой политике Низкий уровень развития корпоративный культуры

 Возможности Рост государственных заказов  Рост экспорта продукции Расширение возможностей обмена опытом с иностранными коллегами Увеличение количества работников  Рост заработной платы работников Привлечение наиболее квалифицированных специалистов из других стран Реализация целевой программы подготовки специалистов ( заключение договоров с рядом вузов авиационной промышленности)

Угрозы Игнорирование государством интересов холдинга Неконкурентоспособность предприятия в результате оттока специалистов Использование предприятия частными акционерами не по целевому назначению Слабый уровень организации производства и управления (в следствии политического протекционизма) Изменение приоритетов в экономике

Таким образом, оценив возможности и угрозы (табл.4), мы можем приступить к разработке мероприятий, которые буду направлены на рост сбыта и соответственно повышение продаж. Исходя из этих данных, мы сможем прогнозировать изменения в объемах продаж (в %) (табл.5)

Измененная таблица SWOT анализа. Таблица 5.

Сильные стороны

Мероприятие, направленные на рост сбыта

Затраты

Рост продаж



Тыс .долл.

Тыс .долл.

Наличие высококвалифицированных кадров

Постоянное повышение квалификации

3000

40000


Карьерный рост работников

3000

30000

Постоянное повышение квалификации работников

Обучение на курсах переподготовки кадров

30000

70000


Освоение новейших достижений науки

15000

40000

Программы мотивации работников путем финансового стимулирования в соответствии с их вкладом в развитие компании

Выплаты денежных премий за внедрение инновационных методов работы

12000

55000

Международное сотрудничество с иностранными коллегами и обмен опытом

 Стажировка кадров за рубежом и заключение договоров о международном сотрудничестве

9000

30000

Слабые стороны, недостатки

Мероприятия, направленные на рост сбыта



Малый объем государственных заказов

 Оказание влияния на стратегию экономического развития государства

30000

40000

Утечка «умов» за границу

Финансовое стимулирование работников

8000

15000

Протекционизм в кадровой политике

Проведение конкурсов на вакантные места

5000

6200

Низкий уровень развития корпоративной культуры

 Моральное и финансовое стимулирование работников и создание подлинного духа корпорации

2000

2500

 

ИТОГО

99018

292700

Возможности

Влияние на объем продаж

Изменение объема продаж %

Рост государственных заказов

Рост объема продаж за счет государственных заказов


20%

Рост экспорта продукции

 Расширение внешнего рынка


10%

Расширение возможностей обмена опытом с иностранными коллегами

Внедрение новых технологий производства


10%

Увеличение количества работников

 Увеличение выпуска продукции


8%

Рост производительности труда


7%

Привлечение наиболее квалифицированных специалистов из других стран

Улучшение качества продукции и рост объемов производства


9%

Реализация целевой программы подготовки специалистов ( заключение договоров с рядом вузов авиационной промышленности)

 Наличие молодых квалифицированных кадров


5%

Угрозы

Влияние на объем продаж



Игнорирование государством интересов холдинга

Отсутствие государственных заказов


-25%

Неконкурентоспособность предприятия в результате оттока специалистов

Отсутствие инноваций в производстве


-9%

Использование предприятия частными акционерами не по целевому назначению

Снижение количества и качества производимой продукции


-5%

Слабый уровень организации производства и управления (в следствии политического протекционизма)

Отсутствие стратегического планирования в производстве


-10%

Изменение приоритетов в экономике

Падение популярности авиационной техники


-10%

 

ИТОГО


10%


1.3 Разработка моделей оптимизации (Модель №2 ) для принятия тактических решений

Для построения модели № 2 необходимо выбрать стратегическое мероприятие и расписать процедуры, из которых оно состоит в виде таблицы:

Стратегические инновации

Процедуры организации

1

2

Изменение кадровой политики корпорации

1.Исследование существующих проблем кадрового отдела 2. Разработка новой курса в кадровой политике и проведение ряда стимулирующих мероприятий 3. Оптимизация производства посредством минимизации издержек на заработную плату рабочих 4. Выработка необходимо качества, предъявляемого к проектам с учетом минимизации затрат на рабочую силу 5. Создание универсальной модели для упрощения процедуры отбора персонала по заданным критериям


Таким образом, изменения в кадровой поли тике корпорации будет осуществляться в несколько этапов. В ходе выполнения курсовой работы я рассмотрю все процедуры данной организации, завершив работу создание универсальной модели для упрощения процедуры отбора персонала по заданным критериям.

2. Формирование математических моделей управления авиационным предприятием

.1 Построение модели №1 с использованием частного случая модели целочисленного линейного программирования (задачи о ранцах)

В предыдущем разделе нами был сформирован набор мероприятий для увеличения сбыта корпорации. Для каждого мероприятия известны требуемые затраты и ожидаемая величина роста продаж. Задачей формирования модели №1 является поиск такого набора мероприятий, который бы при соблюдении ограничений по бюджету (75 000) приводил бы к максимальному увеличению продаж. Для этого рассмотрим 3 метода «Поиска решения».

Решение №1.

Для решения модели №1 переведем значения SWOT-матрицы в Электронную Таблицу. (рисунок 1)

Рисунок 1.

Далее найдем решение поставленной задачи. Упорядочим мероприятия по отношению продаж к затратам. (рисунок 2)

Рисунок 2.

Ввиду того, что предприятие ограничено по бюджету, и он составляет 75000 у.е., могут быть осуществлены не все мероприятия.

Лишь следующие мероприятия могут быть осуществлены за счет данного бюджета (рисунок 3):

Рисунок 3.

Таким образом, мероприятия стоимостью 72000 у.е. смогут поднять рост продаж на 265000 у.е. Решение №2. Создадим соответствующую структуру данных и найдем решение. (рисунок 4)

Рисунок 4.

Далее предоставим отчет по результатам, в котором можно ознакомиться с полученным решением. (рисунок 5)

Рисунок 5.

Решение №3

Для применение 3 метода изменим целевую функцию на сумму произведений доходов от мероприятий на их назначение в план. (рисунок 6)

Рисунок 6.

Предоставим отчет по результатам. (рисунок 7)

Рисунок 7.

.2 Сравнительный анализ методов оптимизации и выбор наиболее подходящих методов

Для сравнения трех видов решений построим диаграмму. (рисунок 8)

Рисунок 8.

Из диаграммы видно, что наибольший доход дает 2-е решение (метод линейного целочисленного программирования) с целевой функцией, суммирующей доходы.

Таким образом, оптимальный план мероприятий выглядит следующим образом:


Сравним изменения роста продаж без учета влияния и при учете влияния внешней среды. (рисунок 9,10)

Рисунок 9.

Рисунок 10.

 С помощи рассмотренных моделей можно строить прогнозы и планы для компании, а в случае изменений каких либо показателей и значений, в модель можно легко внести изменения. Использование этой методики, построенной на основе SWOT-таблицы и модели линейного программирования, позволяет решать задачу выбора оптимальной стратегии - набора мероприятий на прогнозный период, обеспечивающих получение максимального роста продаж при ограниченном бюджете.

3. Решение математических моделей изучаемого объекта средствами Excel

.1 Принятые программы стратегических мероприятий по развитию

Новый курс в кадровой политике будет обусловлен высоким качеством работы (чего мы добились с помощью мероприятий, рассмотренных в модели №1) и максимальной минимизацией затрат в процессе производства. Для применения теории на практике мною в данной курсовой работе предложена следующая задача.

ОАО «Сухой» получил 2 государственных заказа и набирает рабочих для формирования бригад на их выполнение. Компания располагает неограниченным числом заявок от рабочих 2 разряда и рабочих 5 разряда. Для первого заказа разрядность рабочих в среднем не должна быть менее 3, а для второго менее 4. Для выполнения первого заказа требуется не менее 800 рабочих, а для второго не менее 1700 рабочих.

Заработная плата 1 рабочего 2 разряда на 1 объекте 22 тыс. руб., на втором объекте 27 тыс. руб., 1 рабочего 5 разряда на 1 объекте 35 тыс. руб., на 2 объекте 45 тыс. руб. Необходимо распределить рабочих на объекты так, чтобы затраты на оплату труда были наименьшими.

Решение:

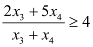
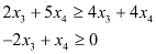
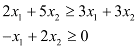
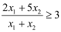
Пусть  число рабочих 2 и 5 разряда, направленных на выполнение первого заказа,  число рабочих 2 и 5 разряда, направленных на выполнение второго заказа. (чтобы получить 3 разряд работ или выше нужно взять рабочих 2 и 5 разрядов, т.к. используется понятие о средней величине)

 

Средний разряд бригады на 2 объекте равен:

На первый объект требуется не менее 800 рабочих, следовательно:

 

На второй объект нужно 1700 чел.

Целевая функция затрат имеет вид:

 (затраты стремятся к минимуму)

Получим задачу линейного программирования:

 

Решим задачу средствами MS Excel с помощью функции «Поиск решения».

3.2 Результаты проведения расчетов по решению модели №2 и принятие оптимальных тактических решений

Вводим целевую функцию, накладываем ограничения, и применяем инструмент "Поиск решения". (Рисунок 11, 12

Рисунок 11.

Рисунок 12.

В данном случае задача с целочисленными ограничениями, поэтому возможен только отчёт по результатам. (рисунок 13)

Рисунок 13.

Таким образом, мы получили следующий результат:

Минимальные затраты на оплату труда всех нанятых рабочих=87383000 тыс.р.

.3 Оценка эффективности внедрения предлагаемых решений в управление авиационным предприятием

Для оценки результатов проведенной оптимизации я буду использовать такой показатель как средняя заработная плата одного рабочего конкретного разряда.

Рабочие 2 разряда.

)Количество работников на 1 объекте (533 чел.) умножаем на их заработную плату (22000).

) Количество работников на 2 объекте (566 чел.) умножаем на их заработную плату (27000).

Далее складываем два показателя и делим на общее число нанятых рабочих этого разряда (1099). Получаем затрату на з/п 1 рабочего 2 разряда = 24500 руб.

Рабочие 5 разряда.

)Количество работников на 1 объекте (267 чел.) умножаем на их заработную плату (35000).

) Количество работников на 2 объекте (1134 чел.) умножаем на их заработную плату (45000).

Далее складываем два показателя и делим на общее число нанятых рабочих этого разряда (1401). Получаем затрату на з/п 1 рабочего 5 разряда = 43000 руб.

Вывод: проанализировав информацию о средней заработной плате по авиационной отрасли я убедилась, что полученные затраты на з/п соответствуют минимальным нормам оплаты труда в зависимости от разряда рабочего. Кроме того, следует учитывать, что при этом выполнены требования к предъявляемому качеству работы. Данная модель может быть применена практически к любому проекту, для которого требуется отобрать персонал в зависимости от разрядности и при этом минимизировать издержки на заработную плату.

Заключение

Во время выполнения курсовой работы были достигнуты все поставленные задача и выполнена ее основная цель. С помощью различных экономико-математических моделей была разработана концепция для оптимизации кадрового отдела корпорации ОАО «Сухой».

С помощью средства «поиск решений» были решены стратегические и тактические задачи, которые позволили нам повысить конкурентоспособность предприятия на рынке.

Расчеты, произведённые по разным методам, позволили выбрать наиболее подходящий вариант дальнейшего управления авиационным предприятием и максимизации роста продаж.

Полученные затраты на оплату труда 1 рабочего соответствуют среднестатистическим нормам. При этом вырабатывается необходимый для проекта уровень качества.

Я рекомендую и в дальнейшем использовать компанией предложенные мною модели, так как с помощью них можно как повысить рост продаж за счет внедрения актуальных мероприятий, так и снизить издержки на заработную плату, сохранив при этом качество выполняемой работы.

Список литературы

1) Комарова Н.В. «Методические указания по выполнению курсовой работы по дисциплине «Методы оптимизации и исследования операций» М.: Доброе слово, 2013»

) Есипов Б.А. . «Методы оптимизации и исследования операций. Конспект лекций» Самара.: Изд-во Самарского государственного аэрокосмического университета, 2007

) электронный ресурс http://www.sukhoi.org/

Похожие работы на - Оптимизация управления авиационным предприятием ОАО 'Cухой' путем количественного экономико-математического моделирования

 

Не нашли материал для своей работы?
Поможем написать уникальную работу
Без плагиата!
Без нейросетей!