Заполнение налоговых деклараций на примере ОАО 'Башкиргеология'
Министерство науки и образования РФ
Федеральное государственное бюджетное
образовательное учреждение
высшего профессионального образования
УФИМСКИЙ ГОСУДАРСТВЕННЫЙ АВИАЦИОННЫЙ
ТЕХНИЧЕСКИЙ УНИВЕРСИТЕТ
Институт экономики и управления
Кафедра налогов и налогообложения
Курсовая работа
по дисциплине «Налоги и
налогообложение»
Заполнение налоговых деклараций на
примере ОАО «Башкиргеология»
Выполнил: студент группы Эк-401(НН)
Перевезенцева А.Ю.
Руководитель: доцент кафедры НиН
Зуева О.К.
Уфа - 2015
Содержание
Введение
1
Организационно-экономическая характеристика и анализ хозяйственной деятельности
ОАО «Башкиргеология»
1.1
Организационно-экономическая характеристика
1.2 Анализ
технико-экономических и финансовых показателей
1.2.1 Технико-экономические
показатели
1.2.2 Финансовые показатели
1.3 Расчет налоговой нагрузки
1.3.1 Методика департамента
налоговой политики Министерства финансов РФ
1.3.2 Методика М.Н. Крейниной
2 Формирование налоговой базы
по налогам и заполнение налоговых деклараций
2.1 Налог на добавленную
стоимость
2.2 Налог на прибыль
2.3 Налог на доходы
физических лиц
2.4 Страховые взносы во
внебюджетные фонды
Заключение
Список литературы и
источников
Введение
В современной достаточно сложной экономической ситуации предприятия
вынуждены постоянно улучшать эффективность производства, повышать уровень
конкурентоспособности продукции и услуг на основе внедрения
научно-технологического прогресса, а также вести бизнес с помощью таких форм
хозяйствования и управления производством, которые бы обеспечивали наибольшую
результативность их деятельности. При этом необходим непрерывный мониторинг
изменений как внешних рыночных факторов, так и внутренних, способных не только
в общем охарактеризовать экономическое положение предприятия, но и указать на
существенные недостатки в хозяйственной деятельности компании, тем самым давая
возможность вовремя предотвратить негативные последствия.
Анализ хозяйственной деятельности позволяет дать оценку результатам
работы предприятия, его подразделений и работников и на этой основе выработать
стратегию и тактику развития компании, обосновать планы и управленческие
решения, а также выявить резервы повышения эффективности производства.
Немаловажно для предприятий верно оценивать свою налоговую нагрузку. Для
этого необходимо правильно формировать налогооблагаемые базы, используя
всевозможные, а главное - законные способы их оптимизации. Безошибочное
формирование налоговых баз, и как следствие верное заполнение налоговых
деклараций, приводит к снижению незапланированных расходов в виде штрафных
санкций со стороны налоговых органов при выявлении недочетов во время
камеральных налоговых проверок.
Исходя из вышесказанного, можно считать тему данной курсовой работы
наиболее актуальной в современных экономических реалиях.
Цель курсовой работы - овладеть навыками проведения анализа хозяйственной
деятельности предприятия и заполнения налоговых деклараций на примере ОАО
«Башкиргеология».
Для достижения поставленной цели определим круг задач:
) Дать краткую характеристику основной деятельности предприятия;
2) изучить организационную структуру предприятия и дать
характеристику его подразделениям;
) оценить технико-экономическое состояние предприятия;
) оценить финансовое состояние предприятия;
) рассчитать налоговую нагрузку;
) сформировать налогооблагаемые базы и заполнить налоговые
декларации.
Объектом исследования является ОАО «Башкиргеология», предметом -
хозяйственная деятельность предприятия за 2012 год и сформированные налоговые
базы.
При написании курсовой работы использованы бухгалтерская отчетность ОАО
«Башкиргеология» за 2012 год, сведения, содержащиеся в годовом отчете
исследуемого предприятия, а также информация в сети Интернет и
нормативно-правовые акты, размещенные в базе Консультант-Плюс.
1
Организационно-экономическая характеристика и анализ хозяйственной деятельности
ОАО «Башкиргеология»
1.1 Организационно-экономическая
характеристика
ОАО «Башкиргеология» - специализированное геологоразведочное предприятие,
ведущее работы на все виды твердых полезных ископаемых и подземные воды. Входит
в десятку наиболее крупных геологоразведочных предприятий России.
ОАО «Башкиргеология» осуществляет следующие виды уставной деятельности:
- комплексное изучение недр и проведение специализированных геологических
исследований;
- добыча и реализация полезных ископаемых;
- поиски, предварительная и детальная разведка месторождений
полезных ископаемых;
- проведение инженерных изысканий для строительства
(инженерно-геодезических, инженерно-геологических, инженерно-экологических).
Приоритетное направление деятельности предприятия - выполнение
геологоразведочных работ на территории Республики Башкортостан:
- региональные геолого-съемочные и геофизические работы;
- поиски и разведка месторождений твердых полезных ископаемых;
- поиски и разведка месторождений подземных вод;
- геологоразведочные работы на нерудные полезные ископаемые;
- лабораторные работы.
Работы выполняются как по государственному заказу (республиканский и
федеральный бюджеты), так и за счет недропользователей (частные инвестиции)
[12].
Предприятие предлагает услуги по поиску и разведке месторождений полезных
ископаемых, проведению гидрогеологических, наземных геофизических исследований,
а также скважинной геофизики.
ОАО «Башкиргеология» имеет собственную Центральную комплексную
лабораторию, в которой могут быть оказаны услуги следующего характера:
- количественный химический и спектральный анализ горных пород, руд, почв,
вторичного сырья и тому подобное;
- количественный химический анализ природной воды, рассолов,
солей и сточных вод.
В ассортимент услуг предприятия также входит бурение всевозможных видов
скважин [12].
В ОАО "Башкиргеология" имеются Центральная комплексная
лаборатория, обеспечивающая выполнение всех аналитических работ, Центральные
ремонтные мастерские, материально-техническая база.
Органами управления предприятием являются Общее собрание акционеров,
Совет директоров и Генеральный директор. Органом контроля за
финансово-хозяйственной деятельностью является Ревизионная комиссия.
Следует отметить, что только Общее собрание акционеров может избрать
Совет директоров, Генерального директора и Ревизионную комиссию. Оно же
является высшим органом управления.
Согласно Уставу годовое общее собрание акционеров проводится в сроки не
ранее чем через 2 месяца и не позднее чем через 6 месяцев после окончания
финансового года. Решения принимаются большинством голосов присутствующих на
собрании акционеров.
В компетенцию Общего собрания акционеров входит решение следующих
вопросов:
1)
внесение
изменений и дополнений в Устав предприятия или утверждение устава в новой
редакции (кроме случаев, предусмотренных в п. 2 - 6 ст. 12 ФЗ «Об АО»);
2)
реорганизация
предприятия;
3)
ликвидация
предприятия, назначение ликвидационной комиссии и утверждение промежуточного и
окончательного ликвидационных балансов;
4)
избрание членов
Совета директоров и досрочное прекращение их полномочий, а также определение
количественного состава;
5)
избрание
Генерального директора и досрочное прекращение его полномочий;
6)
избрание членов
Ревизионной комиссии и досрочное прекращение их полномочий;
7)
утверждение
аудитора;
8)
определение
количества, номинальной стоимости, категории объявленных акций и прав,
предоставляемых этими акциями;
9)
увеличение и
уменьшение уставного капитала предприятия путем осуществления операций с
ценными бумагами;
10)
выплата
(объявление) дивидендов по результатам финансового года;
11)
утверждение
годовых отчетов, годовой бухгалтерской отчетности;
12)
определение
порядка ведения общего собрания акционеров;
13)
избрание членов
Счетной комиссии и досрочное прекращение их полномочий;
14)
дробление и
консолидация акций;
15)
принятие решений
об одобрении сделок (в случаях, предусмотренных ст. 83 ФЗ «Об АО», а также
крупных сделок);
16)
принятие решения
об участии в финансово-промышленных группах, ассоциациях и иных объединениях
коммерческих организаций;
17)
утверждение
внутренних документов, регулирующих деятельность органов предприятия
18)
решение иных
вопросов, предусмотренных ФЗ «Об АО» и уставом предприятия [3].
Общее руководство деятельностью ОАО «Башкиргеология» осуществляет Совет
директоров.
К его компетенции относятся следующие вопросы:
1)
определение
приоритетных направлений деятельности предприятия;
2)
созыв годового и
внеочередного общих собраний акционеров, утверждение повестки дня общего
собрания акционеров и другие вопросы, отнесенные к компетенции Совета
директоров положениями главы VII ФЗ «Об АО» и связанные с подготовкой и
проведением общего собрания акционеров;
3)
предварительное
утверждение годового отчета организации;
4)
увеличение
уставного капитала Общества путем размещения дополнительных акций в пределах
количества и категории объявленных акций за счет имущества предприятия, когда
размещение дополнительных акций осуществляется посредством распределения их
среди акционеров по открытой и закрытой подписке;
5)
размещение
облигаций;
6)
определение цены
(денежной оценки) имущества, цены размещения и выкупа акций в случаях,
предусмотренных ФЗ «Об АО»;
7)
рекомендации
Общему собранию акционеров:
а) по размеру выплачиваемых членам Ревизионной комиссии вознаграждений и
компенсаций и определение размера оплаты услуг аудитора;
б) по размеру дивиденда по акциям и порядку его выплаты;
в) акционеров по порядку распределения прибыли и убытков Общества по
результатам финансового года;
8)
использование
резервного фонда и иных фондов Общества;
9)
утверждение
внутренних документов Общества, за исключением внутренних документов,
утверждаемых решением Общего собрания, а также иных внутренних документов,
которые утверждает Генеральный директор, внесение в эти документы изменений и
дополнений;
10)
создание и
ликвидация филиалов, открытие и ликвидация представительств предприятия,
утверждение положений о филиалах и представительствах, внесение в них изменений
и дополнений;
11)
внесение в Устав
Общества изменений или утверждение устава Общества в новой редакции в случаях,
предусмотренных пп.2-6 ст. 12 ФЗ «Об АО»;
12)
одобрение сделок,
предметом которых является имущество, стоимость которого составляет от 10 до 50
процентов балансовой стоимости активов Общества, а также сделок,
предусмотренных главой XI ФЗ «Об АО»;
13)
утверждение
регистратора Общества и условий договора с ним, а также расторжение договора с
ним;
14)
принятие решения
о проверке финансово-хозяйственной деятельности Общества;
15)
определение лица,
уполномоченного подписать договор от имени Общества с Генеральным директором;
16)
иные вопросы,
предусмотренные ФЗ “Об АО” и настоящим уставом.
Вопросы, отнесенные к компетенции Совета директоров Общества, не могут
быть переданы на решение Генеральному директору Общества [3].
В свою очередь, Генеральный директор осуществляет текущее управление
предприятием, он же является единоличным исполнительным органом ОАО
«Башкиргеология». Избирается Общим собранием акционеров на срок 5 лет.
К компетенции Генерального директора относятся все вопросы руководства
текущей деятельностью предприятия, за исключением вопросов, отнесенных к
компетенции Общего собрания акционеров и Совета директоров.
Генеральный директор:
1) организует выполнение решений Общего собрания акционеров и Совета
директоров;
2) без доверенности действует от имени ОАО «Башкиргеология», в том
числе представляет его интересы, совершает сделки от его имени в пределах,
установленных ФЗ «Об АО» и уставом;
) утверждает Правила внутреннего трудового распорядка, а также
иные внутренние (локальные) акты, если их утверждение не отнесено к компетенции
Общего собрания акционеров или Совета директоров;
) утверждает штаты, издает приказы и дает указания, обязательные
для исполнения всеми работниками предприятия, обеспечивает соблюдение Правил
внутреннего трудового распорядка;
) принимает на работу и увольняет с работы работников, применяет к
ним меры поощрения и налагает на них взыскания в соответствии с Правилами
внутреннего трудового распорядка, требованиями Коллективного договора согласно
действующему законодательству Российской Федерации;
) утверждает «Положение о филиалах», назначает руководителей
филиалов, выдает им доверенности на основании «Положения о филиалах»;
) разрабатывает и представляет на утверждение Совета директоров
проекты решений о создании (ликвидации) филиалов и открытии представительств,
учреждении или ликвидации дочерних и зависимых хозяйственных обществ;
) утверждает кандидатуру Главного бухгалтера и подписывает договор
с ним;
) принимает решение по совершению сделок, предметом которых
является имущество, стоимость которого составляет до 10 процентов балансовой
стоимости активов предприятия включительно;
) утверждает долгосрочные программы развития организации;
) осуществляет контроль за подготовкой материалов и предложений
для рассмотрения на заседаниях Совета директоров;
) утверждает отчет об итогах выпуска ценных бумаг.
Контроль за финансово-хозяйственной деятельностью ОАО «Башкиргеология»,
осуществляется Ревизионной комиссией. Порядок ее деятельности определяется
«Положением о Ревизионной комиссии», утверждаемым Общим собранием акционеров.
Ревизионная комиссия (3 человека) избирается Общим собранием акционеров
на срок до следующего годового общего собрания акционеров.
Лица, избранные в состав Ревизионной комиссии, могут переизбираться
неограниченное число раз. Членом Ревизионной комиссии может быть как акционер
данного предприятия, так и любое лицо, предложенное акционером. Однако члены
Ревизионной комиссии не могут одновременно являться членами Совета директоров,
а также занимать иные должности в органах управления.
Обычно проверка финансово-хозяйственной деятельности предприятия
осуществляется по итогам деятельности за год. По окончанию ревизии составляется
заключение, которое должно содержать:
- подтверждение достоверности данных, содержащихся в отчетах, и иных
финансовых документов организации;
- информация о фактах нарушения установленных правовыми актами
Российской Федерации порядка ведения бухгалтерского учета и представления
финансовой отчетности, а также правовых актов Российской Федерации при
осуществлении финансово-хозяйственной деятельности.
В компетенцию Ревизионной комиссии входит:
1)
проверка
финансовой документации, бухгалтерской отчетности, заключений комиссии по
инвентаризации имущества, сравнение указанных документов с данными первичного
бухгалтерского учета;
2)
анализ
правильности и полноты ведения бухгалтерского, налогового управленческого и
статистического учета;
3)
анализ
финансового положения предприятия, его платежеспособности, ликвидности активов,
соотношения собственных и заемных средств, чистых активов и уставного капитала,
выявление резервов улучшения экономического состояния, выработка рекомендаций
для органов управления организацией;
4)
проверка
своевременности и правильности платежей поставщикам продукции и услуг, платежей
в бюджет и внебюджетные фонды, начислений и выплат дивидендов, процентов по
облигациям, погашений прочих обязательств;
5)
подтверждение
достоверности данных, включаемых в годовые отчеты, годовую бухгалтерскую
отчетность, отчетов о прибылях и убытках (счета прибылей и убытков),
распределения прибыли, отчетной документации для налоговых и статистических
органов, органов государственного управления;
6)
проверка
правомочности Генерального директора по заключению договоров от имени
организации;
7)
проверка
правомочности решений, принятых Советом директоров, Генеральным директором,
ликвидационной комиссией и их соответствия уставу предприятия и решениям Общего
собрания акционеров;
8)
анализ решений
общего собрания на их соответствие закону и уставу предприятия.
По требованию Ревизионной комиссии лица, занимающие должности в органах
управления ОАО «Башкиргеология», обязаны представить документы о
финансово-хозяйственной деятельности предприятия.
Ревизионная комиссия вправе потребовать созыва внеочередного общего
собрания акционеров в порядке, предусмотренном ст. 55 ФЗ «Об АО», Уставом,
«Положением о Ревизионной комиссии» ОАО «Башкиргеология».
Ревизионная комиссия вправе требовать созыва заседания Совета директоров.
Председатель Совета директоров не вправе отказать Ревизионной комиссии в созыве
заседания по ее требованию [3].
Представим структуру органов управления ОАО «Башкиргеология» и покажем
взаимосвязи между ними (Рисунок 1.1.1).
Рисунок 1.1.1. Структура органов управления ОАО «Башкиргеология»
На рисунке 1.1.2 изобразим организационную структуру предприятия и опишем
ее.
Как видим, организационная структура ОАО «Башкиргеология» представлена
девятью подразделениями:
) юридический отдел;
2) бухгалтерия;
) отдел кадров;
) геологический отдел;
) технический отдел;
) отдел охраны труда, безопасности и экологии;
) планово-экономический отдел;
) отдел снабжения;
) ремонтно-производственный отдел.
Непосредственно генеральному директору подчиняются юридический отдел,
бухгалтерия и отдел кадров. Он самостоятельно курирует и контролирует их
работу.
Рисунок 1.1.2. Организационная структура ОАО «Башкиргеология»
Генеральный директор также имеет в своем подчинении трех заместителей и
главного геолога.
Главный геолог руководит геологическим отделом, который отвечает за
проведение геофизических и геологических работ, выполняемых предприятием.
Технический отдел подчиняется заместителю генерального директора по
технической части. Технический отдел отвечает за технологическое вооружение и
парк оборудования, обеспечивает необходимой машинно-технической базой
проведение работ организации.
Отдел охраны труда, безопасности и экологии также находится в ведении
технического директора. Отдел осуществляет деятельность по обеспечению
соблюдения норм труда, безопасности технологического процесса, а также
контролирует соблюдения экологических норм.
Заместитель генерального директора по экономике ответственен за планово-экономический
отдел. Отдел осуществляет финансовый контроль, планирует бюджет и производит
комплексный анализ деятельности предприятия.
В ведении заместителя генерального директора по общим вопросам находятся
отдел снабжения и ремонтно-производственный отдел.
Отдел снабжения осуществляет материально-техническое обеспечение
деятельности организации, производит закупки материалов и запчастей.
Ремонтно-производственный отдел осуществляет свою деятельность по
следующим направлениям:
- содержание зданий, сооружений;
- проведение капитальных, текущих ремонтов, строительство зданий,
сооружений, инженерных сетей;
- автотранспортное обслуживание;
- прочее.
1.2 Анализ
технико-экономических и финансовых показателей
1.2.1 Технико-экономические
показатели
Для удобства представим основные технико-экономические показатели в виде
таблицы и укажем темп их роста.
Таблица 1.2.1. Основные технико-экономические показатели ОАО
«Башкиргеология» за 2012 год
|
№ строки/ расчет
|
Наименование показателей
|
Значения показателей
|
Темп роста, % (гр.4/гр.5)
|
|
|
2011
|
2012
|
|
|
1
|
2
|
3
|
4
|
5
|
|
1
|
Выручка, тыс. руб.
|
258 323
|
274 538
|
106,3
|
|
2
|
Себестоимость продаж, тыс.
руб.
|
228 174
|
257 140
|
112,7
|
|
3
|
Прибыль от продаж, тыс.
руб.
|
30 149
|
17 398
|
57,7
|
|
4
|
Объем выполненных работ,
тыс. руб.
|
304 821,1
|
323 955
|
106,3
|
|
в том числе:
|
|
|
|
|
4.1
|
по государственному заказу
|
119 586,1
|
116 000
|
97,0
|
|
4.2
|
по частным договорам
|
185 235
|
207 955
|
112,3
|
|
5
|
Доходы, тыс. руб.
|
284 369
|
295 431
|
103,9
|
|
6
|
Расходы, тыс. руб.
|
252 919
|
270 970
|
107,1
|
|
7
|
Затраты на оплату труда,
тыс. руб.
|
95 867
|
103 112
|
107,6
|
|
8
|
Среднесписочная
численность, чел.
|
399
|
381
|
95,5
|
|
9
|
Стоимость основных средств,
тыс. руб.
|
83 504
|
81 151
|
97,2
|
|
10
|
Стоимость оборотных
средств, тыс. руб.
|
126 465
|
149 479
|
118,2
|
|
стр.2/стр.1
|
Затраты, приходящиеся на
рубль выручки
|
0,883
|
0,937
|
106,1
|
|
стр.6/стр.5
|
Соотношение доходов и
расходов
|
0,889
|
0,917
|
103,1
|
|
стр.4/стр.8
|
Производительность труда
|
763,96
|
850,28
|
111,3
|
|
стр.7/стр.8
|
Затраты на оплату труда на
одного работника
|
240,27
|
270,64
|
112,6
|
|
стр.1/0,5(стр.9 гр.3+стр.9
гр.4)
|
Фондоотдача
|
3,14
|
3,33
|
106,3
|
|
0,5(стр.9 гр.3+стр.9
гр.4)/стр.1
|
Фондоемкость
|
0,32
|
0,3
|
93,7
|
|
стр.9/стр.8
|
Фондовооруженность
|
315,43
|
330,52
|
104,7
|
По данным таблицы видно, что объем выручки от реализации в 2011 году по
сравнению с 2011 годом возрос на 6,3%. Однако прибыль от продаж на конец
отчетного периода снизилась почти на половину: с 30 149 тыс. руб. в 2011 году
до 17 398 тыс. руб. в 2012. Это связано повышением уровня себестоимости продаж
на 12,7%.
В целом доходы предприятия за 2012 год составили 295 431 тыс. руб. (рост
на 3,9%), расходы - 270 970 тыс. руб. (увеличение на 7,1%).
Объем выполненных работ на конец отчетного года также увеличился на 6,3%
и составил 323 955 тыс. руб. Следует отметить, что объем работ по
государственному заказу снизился на 3% (с 119 586,1 тыс. руб. в 2011 году до
116 000 тыс. руб. в 2012 году). Это уменьшение было полностью компенсировано
работами, проведенными согласно заключенным частным договорам (рост на 12,3%).
Производительность труда значительно выросла: при снижении
среднесписочной численности работников на 4,5% за 2012 год увеличение составило
11,3%. Однако затраты на оплату труда, приходящие на одного работника, также
возросли с темпом, опережающим производительность (112,6%). Это говорит об
относительно неэффективной работе предприятия и может быть объяснено
сокращением штата сотрудников, приведшим к повышению удельного веса более
высокооплачиваемых работников в общей численности работников предприятия.
Однако если учесть, что производительность тоже имеет тенденцию к повышению, то
такой темп роста средней заработной платы может быть связан с ᴨеревыполнением
норм выработки, а, следовательно, и выплатой премий, входящих в фонд оплаты
труда.
На единицу стоимости основных средств в 2012 году приходится 3,33 рубля
выручки. По сравнению с 2011 годом показатель фондоотдачи возрос на 6,3%.
Фондоемкость соответственно снизилась на 6,3%. Это указывает на интенсивное и
эффективное использование основных средств на предприятии.
Степень оснащенности труда основными средствами в 2012 году по сравнению
с 2011 годом увеличилась на 4,7% и составила 330,52 тыс. руб./чел.
Рост фондовооруженности принято считать положительным моментом, так как
зачастую он означает, что предприятие расширяет свою
материально-производственную базу. Однако согласно данным таблицы стоимость
основных средств в отчетном году снижается (97,2%). То есть возрастание
показателя фондовооруженности произошло в результате других факторов: возможнее
всего, из-за уменьшения численности работников предприятия.
Таким образом, общее технико-экономическое состояние ОАО «Башкиргеология»
является хорошим, но необходимо обратить внимание на затраты на оплату труда и
оптимизировать их структуру таким образом, чтобы темп роста производительности
опережал темп роста средней заработной платы, вследствие чего повысится
эффективность работы предприятия.
1.2.2 Финансовые
показатели
Показатели
ликвидности
Ликвидность - легкость реализации, продажи, превращения материальных или
иных ценностей в денежные средства для покрытия текущих финансовых обязательств.
Анализ ликвидности предприятия - анализ возможности для предприятия
покрыть все его финансовые обязательства. Он осуществляется с помощью расчета
показателей ликвидности. Их смысл состоит в сравнении величины текущих
задолженностей предприятия и его оборотных средств, которые должны обеспечить
погашение этих задолженностей [8].
Рассчитаем основные показатели ликвидности.
Коэффициент текущей ликвидности:
Коэффициент отражает способность компании погашать текущие
(краткосрочные) обязательства за счёт только оборотных активов. Чем показатель
больше, тем лучше платежеспособность предприятия.
Нормальным считается значение коэффициента от 1 до 2,5. Как видим,
показатель текущей ликвидности на 2012 год снизился на 18,2% по отношению к
показателю 2011 года, однако находится в пределах нормы. То есть можно говорить
о наличии достаточного количества оборотных активов для погашения своих текущих
обязательств.
Другим способом проверки достаточности текущих активов является
вычисление срочной ликвидности. Этим показателем интересуются банки,
поставщики, акционеры, поскольку компания может столкнуться с обстоятельствами,
в которых она немедленно должна будет оплатить какие-то непредвиденные расходы.
Значит, ей понадобятся вся ее денежная наличность, ценные бумаги, дебиторская
задолженность и другие средства оплаты, то есть та часть активов, которая может
быть превращена в наличность [8].
Коэффициент срочной (быстрой) ликвидности:
Коэффициент быстрой ликвидности должен быть не менее 0,8 и не более 3. В
2012 году он составил 1,65, что ниже аналогичного показателя 2011 года на
14,8%, но в пределах нормы. Таким образом, с помощью высоко- и среднеликвидных
активов предприятие в случае необходимости не только сможет полностью погасить
текущие обязательства, но и сохранит их часть для дальнейшего использования.
Коэффициент абсолютной ликвидности:
За счет денежных средств в 2012 году ОАО «Башкиргеология» сможет покрыть
76,2% текущих обязательств (рост по сравнению с 2011 годом на 38,9%), что
является достаточно высоким показателем и может быть объяснено увеличением
краткосрочных финансовых вложений почти в 2 раза (с 2011 года выросли на 96,8%
и составили в 2012 году 42 586 тыс. руб.).
Следует отметить, что соблюдено одно из основных правил финансовой
устойчивости - оборотные активы превышают краткосрочные обязательства (чистый
оборотный капитал (ЧОК) больше нуля).
ЧОК = Оборотные активы - Краткосрочные обязательства
ЧОК = (стр.1200 - стр. 1500) ф. №1
ЧОК2011 = 149 479 - 70 380 = 79 099 тыс. руб.
ЧОК2012 = 126 465 - 43 394 = 83 071 тыс. руб.
Как видим, чистый оборотный капитал на 2012 год увеличился на 5% по
сравнению с аналогичным показателем на 2011 год. То есть предприятие может не
только погасить свои текущие обязательства, но и имеет достаточные резервы для
расширения деятельности.
Таким образом, ОАО «Башкиргеология» является платежеспособным и имеет
возможности для дальнейшего экономического роста.
Показатели
деловой активности
Чтобы проанализировать, насколько эффективно предприятие использует свои
средства, воспользуемся показателями деловой активности.
В первую очередь рассчитаем коэффициенты оборачиваемости активов и
собственного капитала, которые характеризуют уровень деловой активности
предприятия и рассчитываются как отношение годовой выручки от реализации
продукции (работ, услуг) к среднегодовой стоимости соответственно активов и
собственного капитала.
Как видим, оборачиваемость активов за 2012 год ускорилась на 6,2% и
составила 1,2 раза в год, что привело к сокращению периода оборота активов на
19 дней, то есть эффективность использования имущества с целью извлечения
прибыли возросла.
Активность средств, которыми рискуют акционеры за 2012 год, также
повысилась примерно на 6%. Полный оборот собственный капитал проходит за 225
дней (ускорение на 13 дней).
Для анализа скорости реализации на предприятии рассчитаем коэффициент
оборачиваемости текущих активов.
За 2012 год скорость реализации возросла на 7%: за один производственный
цикл оборотные активы успевают обернуться 2 раза (в 2011 году 1,87 раза). Средства,
вложенные в оборотные активы, снова принимают денежную форму через 180 дней (на
12,5 дней быстрее, чем в 2011 году), что является положительной тенденцией. В
целом, можно говорить, что предприятие работает ритмично и рационально
использует свои оборотные активы.
Обратим внимание на оборачиваемость дебиторской и кредиторской
задолженности, так как эти величины во многом взаимосвязаны.
Таким образом,

В 2011 году срок оплаты счетов дебиторами составлял примерно 81 день, на
2012 год это показатель составил 76 дней (ускорение на 6,2%), что может
говорить как об уменьшении самой дебиторской задолженности, так и об улучшении
организации расчетов с покупателями.
Период обращения кредиторской задолженности также сокращается с 73 до 69
дней (ускорение на 5,5%). За 2012 год предприятие способно оплатить среднюю
величину своей кредиторской задолженности 5,24 раза тогда, как в 2011 году -
только 4,93 раза. Следовательно, средний срок погашения долгов уменьшается, что
является положительным фактором.
Оборачиваемость запасов показывает, сколько раз за рассматриваемый период
предприятие использовало имеющийся средний остаток запасов. Показатель
характеризует качество запасов предприятия, а также эффективность управления
ими [9].
Оборачиваемость запасов за 2012 год ускорилась12,7% и составила 5,87
раза. Средства вовлечены в оборот и работают. При сложившемся объеме
производства в отчетном году у предприятия создано запасов на 61 день. В 2011
году - на 69 дней. Такое уменьшение запасов может быть связано с расширением
объема производства и с более активным использованием запасов в нем.
В целом деловая активность ОАО «Башкиргеология» остается высокой.
Показатели
финансовой устойчивости
Одной из характеристик стабильного положения предприятия служит его
финансовая устойчивость. Основной задачей ее анализа является оценка степени
независимости от заемных источников финансирования. Для этого используют
коэффициенты финансовой устойчивости, характеризующие независимость по каждому
элементу активов предприятия и по имуществу в целом и дающие возможность
измерить, достаточно ли устойчива компания в финансовом отношении [11].
Коэффициент финансовой автономии показывает, насколько предприятие
независимо от заемных средств и какую долю занимают собственные средства в
общей стоимости всех средств предприятия.
Нормативным общепринятым значением показателя считается значение
коэффициента автономии больше 0,5, но не более 0,7. Как видим, в 2012 году
значение коэффициента автономии приближено к норме. По сравнению с 2011 годом
произошло уменьшение значения показателя на 12,3%. Тем не менее, предприятие
остается относительно независимым от внешних кредиторов.
Доля привлеченных средств в собственном капитале возрастает, однако
находится в пределах нормативного значения (не больше 0,7).
За 2012 год наблюдается рост привлеченного капитала, приходящегося на
единицу собственного, на 64,5%, в большей мере вследствие увеличения
кредиторской задолженности на 44,6%.
Рассчитаем коэффициент маневренности оборотных средств, чтобы узнать,
какая их часть находится в обороте.
В 2012 году в обороте находилось 46,5% всех оборотных средств (снижение
по сравнению с 2011 годом на 3,3%). Такое уменьшение можно объяснить снижением уровня
собственного капитала предприятия и ростом внеоборотных активов. Тем не менее,
показатель маневренности находится в пределах нормы (больше 0,2 и меньше 0,5),
что говорит о гибкости использования оборотных средств.
Коэффициент обеспеченности собственными средствами показывает
достаточность у предприятия собственных средств, необходимых для финансирования
текущей (операционной) деятельности, то есть обеспечения финансовой
устойчивости [11].
В 2012 году предприятие в достаточной степени обеспечено собственными
средствами для финансирования текущей деятельности. При нормативном значении
коэффициента не менее 0,1 ОАО «Башкиргеология» имеет 0,529. Однако по сравнению
с аналогичным показателем 2011 года наблюдается снижение на 19,5%. Это связано
с уменьшением собственного капитала на 1,4% вследствие понижения уровня
нераспределенной прибыли (спад на 1,2%) и увеличением внеоборотных активов.
Вышеприведенные показатели говорят о финансовой устойчивости предприятия.
Показатели
рентабельности
Рентабельность - относительный показатель экономической эффективности.
Рентабельность комплексно отражает не только степень эффективности применения
материальных, трудовых и финансовых ресурсов.
Коэффициент рентабельности рассчитывается как отношение прибыли к
активам, ресурсам или потокам, ее формирующим. Может выражаться как в прибыли
на единицу вложенных средств, так и в прибыли, которую несет в себе каждая
полученная денежная единица [10].
Основной и самый распространенный показатель оценивающий прибыльность
предприятия это коэффициент общей рентабельности. Данный показатель
определяется как отношение прибыли до налогообложения к выручке от реализации
товаров, работ и услуг, производимых предприятием.
Как видим, общая рентабельность снижается. В 2012 году прибыль на один
рубль выручки составила 8,9 копейки, что ниже аналогично показателя за 2011 год
на 28,2%. Это связано с увеличением себестоимости продукции (112,6%) и
уменьшением доходов (проценты к получению - 42,2%, прочие доходы - 82,6%), в
результате чего снижается прибыль до налогообложения.
Коэффициент рентабельности продаж позволяет определить, сколько прибыли
компания имеет с каждого рубля выручки от реализации товаров, работ или услуг.
С каждого рубля выручки от реализации компания в 2012 году имеет примерно
6 копеек прибыли (аналогичный показатель в 2011 году - 11,7 копейки). Наблюдаем
снижение на 46,2% из-за повышения себестоимости, вследствие чего падает
конкурентоспособность продукции, а, следовательно, и спрос на нее. Предприятие
должно задуматься о проведении мероприятий, стимулирующих спрос, повышении
качества предлагаемого продукта и, возможно, завоевании новой рыночной ниши.
Коэффициент рентабельности прямых затрат характеризуют эффективность
затрат, то есть какую прибыль получает компания с каждого рубля понесенных
прямых затрат.
Вследствие того, что себестоимость увеличивается с темпами,
превосходящими темпы роста выручки (112,7% против 106,3% соответственно), в
2012 году видим падение рентабельности прямых затрат до уровня 6,8 копеек с
каждого рубля понесенных прямых затрат (снижение на 48,5% по сравнению с 2011
годом).
Рентабельность собственного капитала показывает величину прибыли, которую
получит предприятие на единицу стоимости собственного капитала.
В 2012 году на один рубль стоимости собственного капитала приходилось 9,3
копеек чистой прибыли, что меньше аналогичного показателя 2011 году на 30,6%.
То есть можно говорить о том, что предприятие становится менее привлекательным
для стратегических инвесторов.
Такое снижение рентабельности собственного капитала обусловлено
уменьшением величины чистой прибыли, полученной предприятием в 2012 году.
Таким образом, на ОАО «Башкиргеология» происходит повсеместное снижение
рентабельности, указывающее на неэффективную работу предприятия. По моему
мнению, это происходит из-за увеличения затрат на производство и реализацию
продукции: себестоимость быстро растет, причем увеличение выручки не может
компенсировать такое повышение затрат. Организации необходимо проводить
мероприятия по оптимизации структуры затрат, установить надлежащий контроль над
расходами, а также выявить несоответствия между производственной мощностью и
объемами загрузки оборудования. Все это поможет повысить эффективность работы
предприятия, а, следовательно, и его рентабельность.
1.3
Расчет налоговой нагрузки
Согласно данным годовых отчетов за 2011 и 2012 года ОАО «Башкиргеология»
исчислила и уплатила в бюджет налоги в следующих размерах (Таблица1.3.1).
Таблица 1.3.1
Сумма уплаченных налогов в бюджет за 2011-2012 гг.
|
№ п/п
|
Вид налога
|
Исчислено и уплачено в
бюджет (тыс. руб.)
|
Удельный вес
соответствующего налога в общей сумме, %
|
|
|
2011
|
2012
|
2011
|
2012
|
|
1
|
Налог на добавленную
стоимость
|
54 596
|
53 752
|
47,7
|
53,8
|
|
2
|
Налог на имущество
организаций
|
1 627
|
1 674
|
1,4
|
1,7
|
|
3
|
Налог на прибыль
|
9 601
|
7 771
|
8,4
|
7,8
|
|
4
|
Земельный налог
|
2 228
|
1 301
|
1,9
|
1,3
|
|
5
|
Водный налог
|
10
|
11
|
0,0
|
0,0
|
|
6
|
Платежи за недра
|
28
|
230
|
0,0
|
0,2
|
|
7
|
Экологический налог
|
58
|
39
|
0,1
|
0,0
|
|
8
|
Налог на доходы физических
лиц
|
14 405
|
14 953
|
12,6
|
15,0
|
|
9
|
Транспортный налог
|
822
|
806
|
0,7
|
0,8
|
|
10
|
Страховые взносы во
внебюджетные фонды (Пенсионный, Фонд социального страхования, Фонд
обязательного мед. страхования)
|
31 133
|
19 406
|
27,2
|
19,4
|
|
Итого:
|
114 508
|
99 943
|
100
|
100
|
Как видим, наибольший удельный вес в общей сумме уплаченных налогов в
2012 году занимают:
- налог на добавленную стоимость (53,8%);
- страховые взносы во внебюджетные фонды (19,4%);
- налог на доходы физических лиц (15,0%).
Заметим, что налог на прибыль занимает относительно небольшой удельный
вес и имеет тенденцию к снижению (2011 год - 8,4%, 2012 год - 7,8%), что может
говорить как об уменьшении самой налогооблагаемой прибыли, так и об увеличении
иных налоговых обязательств.
Используя данные, представленные выше, а также отчет о финансовых
результатах, рассчитаем налоговую нагрузку на предприятие двумя способами:
согласно методике департамента налоговой политики Министерства финансов РФ и
методике М.Н. Крейниной.
1.3.1 Методика
департамента налоговой политики Министерства финансов РФ
Методика департамента налоговой политики Министерства финансов РФ
позволяет дать обобщенную характеристику налоговой нагрузки на предприятие, но
не позволяет детализировать расчеты.
Чтобы рассчитать налоговое бремя на ОАО «Башкиргеология» в 2011 и в 2012
годах согласно представленной методике необходимы следующие показатели:
|
№
|
Показатель
|
Значение, тыс. руб.
|
|
|
2011
|
2012
|
|
1
|
Выручка (Вобщ)
|
258 323
|
274 538
|
|
2
|
Общая сумма налогов (Нобщ)
|
114 508
|
99 943
|
Налоговая нагрузка по формуле, представленной в данной методике,
составит:
Как видим, налоговая нагрузка с 2011 года снизилась на 7,9 процентных
пунктов и составила 36,4%, то есть предприятие отдает на уплату налогов чуть
больше третьей части выручки. То есть налоговая нагрузка приемлема, оптимизация
не нужна.
налоговый декларация
взнос
1.3.2 Методика
М.Н. Крейниной
Для получения дополнительной информации о тяжести налогового бремени
воспользуемся методикой М.Н. Крейниной.
Это методика представляет собой средство анализа воздействия прямых
налогов на финансовое состояние экономического субъекта.
Однако при расчете налоговой нагрузки недооценивается влияние косвенных
налогов.
Для работы с этой методикой необходимы следующие экономические
показатели:
|
№
|
Показатель
|
Значение, тыс. руб.
|
|
|
2011
|
2012
|
|
1
|
Выручка (В)
|
258 323
|
274 538
|
|
2
|
Затраты за вычетом
косвенных налогов (Ср)
|
228 167
|
256 626
|
|
3
|
Фактическая прибыль,
остающаяся в распоряжении ОАО «Башкиргеология» после уплаты всех налогов (Пч)
|
23 045
|
16 023
|
Налоговая нагрузка в соответствии с этой методикой рассчитывается по
формуле:
Налоговое бремя с 2011 года снизилось на 13,1 процентных пунктов и
составило всего 10,5%. Таким образом, суммарная величина налогов отличается от
прибыли в распоряжении экономического субъекта в 0,105 раз, то есть налоговая
нагрузка минимальная и не требует оптимизации.
Также необходимо отметить, что наибольшее давление на предприятие
оказывают именно косвенные налоги, поскольку после их исключения из расчетов
налоговое бремя снизилось почти в 3 раза.
2
Формирование налоговой базы по налогам и заполнение налоговых деклараций
2.1 Налог
на добавленную стоимость
Для формирования налогооблагаемой базы по налогу на добавленную стоимость
сведем хозяйственные операции ОАО «Башкиргеология» в таблицы, в которых в
соответствующих случаях выделим или начислим НДС (таблицы 2.1.1а, 2.1.1б).
Таблица 2.1.1а
Хозяйственные операции по приобретению товаров (работ, услуг)
ОАО «Башкиргеология» за 2012 год
|
№ п/п
|
Хозяйственная операция
|
Дата
|
Сумма, руб. с НДС
|
НДС выделенный, руб. (гр.4
х 18/118)
|
|
1
|
2
|
3
|
4
|
5
|
|
1
|
Приобретен у ООО «СтройТех»
буровой агрегат Christensen CS-10
|
02.02.12
|
800 000
|
122 034
|
|
2
|
Приобретен у ООО «СтройТех»
станок буровой шарошечный СБШ-160/200-400
|
02.02.12
|
1 230 000
|
187 627
|
|
3
|
Приобретены у ООО
«Профтекс» стройматериалы
|
14.03.12
|
150 000
|
22 881
|
|
4
|
Приобретено у ОАО
«Башнефть» дизельное топливо
|
20.03.12
|
520 000
|
79 322
|
|
5
|
Приобретен у ОАО «Башнефть»
бензин автомобильный
|
20.03.12
|
110 000
|
16 780
|
|
6
|
Приобретен у ОАО «Башнефть»
мазут
|
20.03.12
|
90 000
|
13 729
|
|
7
|
Приобретены у ООО
«АвтоСнабЦентр» автошины для самосвалов «Камаз» (12 шт. по 11000 руб.)
|
16.04.12
|
132 000
|
20 136
|
|
8
|
Приобретен у ООО
«БурСервис» скважинный насос Grundfos SQ 7-40
|
06.06.12
|
42 100
|
6 422
|
|
9
|
Приобретены у ООО
«БурСервис» буровые трубы НКТ-40ХН.5К (30 шт. по 5000 руб.)
|
24.07.12
|
150 000
|
22 881
|
|
10
|
Приобретен у ООО «БурМаш»
бур БКМ 360 мм
|
19.09.12
|
18 000
|
2 746
|
|
11
|
Приобретен у ООО «БурМаш»
бур Б-А 360 мм
|
11.10.12
|
22 500
|
3 432
|
|
12
|
Приобретен у ООО «БурМаш»
шнек 300 мм Ш30-56.2000
|
5.11.12
|
33 400
|
5 095
|
|
13
|
Приобретен у ООО «БурМаш»
фрикцион БМ-205.02.02.200
|
5.11.12
|
68 800
|
10 495
|
|
Итого
|
-
|
3 366 800
|
513 580
|
Таблица 2.1.1б
Хозяйственные операции по реализации товаров (работ, услуг)
ОАО «Башкиргеология» за 2012 год
|
№ п/п
|
Хозяйственная операция
|
Дата
|
Сумма, руб. без НДС
|
НДС начисленный, руб. (гр.4
х 18/100)
|
|
1
|
2
|
3
|
4
|
5
|
|
1
|
Произведены работы по
поиску и оценке золото-медноколчеданных руд в пределах Богачевской площади
(госзаказ)
|
5.03.12-10.06.12
|
18 000 000
|
3 240 000
|
|
2
|
Произведены работы по
поиску рудного золота на Сиратурской площади (госзаказ)
|
09.04.12-17.11.12
|
54 000 000
|
9 720 000
|
|
3
|
Проведены
ревизионно-поисковые работы по выявлению площадей, перспективных на скрытые и
перекрытые медно-цинково-колчеданные месторождения в пределах
Западно-Магнитогорской структурно-формационной зоны (госконтракт)
|
02.04.12-21.05.12
|
12 000 000
|
2 160 000
|
|
4
|
Произведены работы по
поиску золоторудных месторождений в пределах Калканской площади с целью
подготовки объектов для лицензирования (госконтракт)
|
07.05.12-18.06.12
|
32 000 000
|
5 760 000
|
|
5
|
Произведены работы по
договору с ОАО «Учалинский ГОК» (Разведка Ново-Учалинского месторождения)
|
14.05.12-14.06.12
|
25 860 000
|
4 654 800
|
|
6
|
Произведены работы по
договору с ОАО «Учалинский ГОК» (поиск медно-колчеданных руд в
Ново-Учалинском месторождении)
|
8.07.12- 8.10.12
|
51 000 000
|
9 180 000
|
|
7
|
Произведены работы по
договору с ООО «Башкирская медь» (Поиски и оценка на флангах Вишневского
месторождения)
|
28.06.12-28.07.12
|
23 240 000
|
4 183 200
|
|
8
|
Проведены работы по
договору с ОАО «Башкирское шахтопроходческое управление» (Доразведка
Камаганского месторождения)
|
16.07.12-01.08.12
|
18 500 000
|
3 330 000
|
|
9
|
Выполнены буровые работы по
договору с «ЕвроСтрой» (бурение скважины под воду)
|
16.07.12
|
310 000
|
55 800
|
|
10
|
Выполнены буровые работы по
завершению водоснабжения Уфимского района
|
02.07.12-22.07.12
|
17 500 000
|
3 150 000
|
|
11
|
Выполнены буровые работы по
договору с ООО «Уральский капитал» (обеспечение водоснабжения «Птицефабрики
им. М. Гафури»)
|
15.08.12-01.09.12
|
13 000 000
|
|
12
|
Выполнены буровые работы по
договору с ООО «ДомСтрой» (бурение скважины под воду)
|
17.08.12
|
310 000
|
55 800
|
|
13
|
Оказаны услуги по оценке
качества питьевой воды ООО «ДомСтрой»
|
17.08.12
|
4 000
|
720
|
|
14
|
Проведены инженерно-геодезические
работы по договору с ООО «Новый мир»
|
20.08.12-12.09.12
|
560 000
|
100 800
|
|
15
|
Оказаны услуги про
проведению количественного химического анализа природной воды по договору с
ООО «АкваПлюс»
|
31.08.12
|
4 000
|
720
|
|
16
|
Выполнены буровые работы по
договору с ООО «Геофизика» (определение разреза по рыхлым отложениям)
|
26.08.12-31.08.12
|
3 200 000
|
576 000
|
|
17
|
Выполнены буровые работы по
договору с ООО «Геофизика» (бурение гидрогеологической скважины)
|
03.09.12-05.09.12
|
740 000
|
133 200
|
|
18
|
Выполнены работы по
договору с ООО «Евродом» (бурение скважины под воду)
|
03.09.12
|
310 000
|
55 800
|
|
19
|
Выполнены работы по
договору с ООО «ТехноАльянс» (бурение скважины под воду)
|
06.09.12
|
310 000
|
55 800
|
|
20
|
Оказаны услуги по договору
с ООО «ТехноАльянс» (количественный химический анализ природный воды)
|
07.09.12
|
4 000
|
720
|
|
21
|
Оказаны услуги по договору
с ООО «ТехноАльянс» (количественный химический анализ сточных вод)
|
07.09.12
|
5 000
|
900
|
|
22
|
Оказаны услуги по договору
с ООО «ПрофМеталл» (спектральный анализ горной породы)
|
10.09.12
|
7 000
|
1 260
|
|
23
|
Произведены работы по
договору с ООО «ПрофМеталл» (бурение геологоразведочной наклонной скважины)
|
17.09.12-19.09.12
|
1 850 000
|
333 000
|
|
24
|
Оказаны консультационные
услуги ООО «Бурение»
|
01.10.12
|
24 000
|
4 320
|
|
25
|
Произведены работы по
договору с ООО «Бурение» (бурение геологоразведочной наклонной скважины)
|
8.10.12
|
1 800 000
|
324 000
|
|
Итого
|
-
|
274 538 000
|
49 416 840
|
Таким образом, согласно данным таблицы 2.1.1а за 2012 год возмещению из
бюджета подлежит 513 580 рублей. В декларации сумма НДС, подлежащая возмещению
из бюджета, отражается в строке 120.
В соответствии с данными таблицы 2.1.1б в течение 2012 года ОАО
«Башкиргеология» реализовало услуг на сумму 274 538 000 рублей без учета НДС.
Эта сумма будет являться налогооблагаемой базой. Сумма начисленного налога
равна 49 416 840 рублей.
В декларации по НДС налоговая база по реализованным услугам в сумме 274
538 000 рублей отражается в разделе 3 в строке 010 графы 3. Сумма НДС по
реализованным услугам заноситься в строку 010 графы 5 - 49 416 840 рублей.
В графе 5 по строке 110 отражается общая сумма НДС за налоговый период,
которая подлежит уплате, по разделу 3 - 49 416 840 рублей.
По строке 120 в декларации отражается сумма НДС, подлежащая возмещению из
бюджета, - 513 580 рублей.
Общая сумма налога к вычету показывается в строке 190 - 513 580 рублей.
Итоговая сумма НДС, причитающаяся уплате в бюджет, рассчитывается как
разница строк 110 и 190:
416 840 - 513 580 = 48 903 260,
так как эта разница неотрицательна, она заносится в строку 200 раздела 3.
Таким образом, уплате в бюджет подлежит 48 903 260 рублей (Приложение 3).
2.2 Налог
на прибыль
За 2012 год налоговая декларация по налогу на прибыль была составлена на
основании итоговых данных, приведенных в таблице 2.2.1.
Таблица 2.2.1
Доходы и расходы ОАО «Башкиргеология» за 2012 год
|
№ п/п
|
Доходы/Расходы
|
Сумма, руб.
|
|
1
|
2
|
3
|
|
1
|
Выручка от реализации
геологоразведочных работ
|
274 538 000
|
|
2
|
Выручка от реализации
имущественных прав
|
9 648 250
|
|
3
|
Выручка от реализации
амортизируемого имущества
|
1 407 500
|
|
4
|
Выручка от реализации
прочего имущества
|
1 265 655
|
|
Итого доходы от реализации
|
286 859 405
|
|
5
|
Прямые расходы
|
175 465 000
|
|
Итого прямые расходы
|
175 465 000
|
|
6
|
Косвенные материальные
расходы
|
51 980 000
|
|
7
|
Косвенные расходы на оплату
труда
|
20 623 000
|
|
8
|
Суммы амортизации,
относящиеся к косвенным расходам
|
1 385 000
|
|
9
|
Прочие расходы
|
5 965 000
|
|
10
|
Суммы налогов и сборов
|
1 722 000
|
|
Итого косвенные расходы
|
81 675 000
|
|
11
|
Проценты к получению по
депозиту и банку
|
641 000
|
|
12
|
Прочие внереализационные
доходы
|
20 252 000
|
|
Итого внереализационные
доходы
|
20 893 000
|
|
13
|
Расходы на формирование
резервов по сомнительным долгам
|
1 200 000
|
|
14
|
Прочие внереализационные
расходы
|
12 630 000
|
|
Итого внереализационные
расходы
|
13 830 000
|
|
15
|
Стоимость реализованного
прочего имущества
|
912 600
|
|
16
|
Остаточная стоимость
реализованного амортизируемого имущества
|
338 720
|
Налогооблагаемая база по налогу на прибыль формируется исходя из разницы
между доходами и расходами организации.
Общая сумма доходов от реализации указывается в строке 010 Листа 02
«Расчет налога», а также дублируется и расшифровывается в строке 010 Приложения
№ 1 к Листу 02 «Доходы от реализации и внереализационные доходы» - 286 859 405
рублей.
Выручка от реализации услуг собственного производства (геологоразведочные
работы) заносится в строку 010 Приложения №1 к Листу 02 - 274 538 000 рублей.
Выручка от реализации имущественных прав (9 648 250 рублей), выручка от
реализации амортизируемого имущества (1 407 500 рублей), выручка от реализации
прочего имущества (1 265 655 рублей) отражаются по строкам 012, 030 и 014 того
же листа соответственно.
Сумма внереализационных доходов указывается в строке 020 Листа 02, а
также в строке 100 Приложения № 1 к Листу 02 - 20 893 000 рублей.
В Приложение № 2 к Листу 02 заносятся расходы, связанные с производством
и реализацией, внереализационные расходы и убытки, приравниваемые к
внереализационным расходам.
По строке 100 отражается сумма прямых расходов организации за период -
175 465 000 рублей. По строке 030 - сумма косвенных расходов (81 675 000
рублей). В строках 041-055 дается расшифровка затрат, включающихся в косвенные
расходы. В строке 041 укажем сумму налогов и сборов - 1 722 000 рублей.
Стоимость реализуемого прочего имущества (912 600 рублей) отразим по
строке 060. В этом же приложении в строку 080 занесем остаточную стоимость
амортизируемого имущества - 338 720 рублей, при этом дублируя ее в строку 040
Приложения № 3 к Листу 02.
Общая сумма признанных расходов отражается по строке 130 Приложения № 2 к
Листу 02:
465 000 + 81 675 000 + 912 600 + 338 720 = 258 391 320 рублей.
Эта же сумма указывается в строке 030 Листа 02.
Сумма внереализационных расходов отражаются по строке 200 Приложения №2 к
Листу 02, а также заносится в строку 040 Листа 02 - 13 830 000 рублей.
Как уже говорилось выше, остаточная стоимость реализованного
амортизируемого имущества указывается в строке 040 Приложения № 3 к Листу 02 -
338 720 рублей. Здесь же отражаются выручка от реализации амортизируемого
имущества (строка 030) - 1 407 500 рублей и прибыль от его реализации (строка
050) как разница строк 030 и 040:
407 500 - 338 720 = 1 068 780 рублей.
Итоговые суммы выручки по операциям, отраженным в Приложении №3 к Листу
02, заносят в строку 340 - 1 407 500 рублей, суммы расходов - в строку 350 (338
720 рублей).
Итоговая прибыль указывается в строке 060 Листа 02:
859 405 + 20 893 000 - 258 391 320 - 13 830 000 = 35 531 058 рублей.
Так как ОАО «Башкиргеология» в 2012 году не имело доходов, исключаемых из
прибыли, и льгот, предусмотренных законодательством РФ, итоговая прибыль будет
являться налоговой базой, которая указывается в строке 100 Листа 02. Она же
дублируется в строку 120 этого же листа, поскольку в 2012 году предприятие не
имело убытка, уменьшающего налоговую базу.
ОАО «Башкиргеология» уплачивает налог на прибыль по ставке 20% (строка
140), в том числе в федеральный бюджет - 2% (строка 150), в бюджет субъекта РФ
- 18% (строка 160).
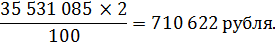
Исчислим налог на прибыль и занесем его в строку 180 Листа 02:
Сумма налога на прибыль, причитающаяся к уплате в федеральный бюджет,
отражается по строке 190:
В бюджет субъекта РФ (строка 200):
Суммы начисленных авансовых платежей за налоговый период указываются в
строке 210 - 947 663 рубля, в том числе:
в федеральный бюджет (строка 220) - 94 766 рублей;
в бюджет субъекта РФ (строка 230) - 852 897 рублей.
Таким образом, к доплате в федеральный бюджет (строка 270):
622 - 94 766 = 615 856 рублей.
В бюджет субъекта РФ (строка 271):
395 595 - 852 897 = 5 542 698 рублей.
Суммы, указанные в строках 270 и 271 Листа 02, переносятся в строки 040 и
070 Подраздела 1.1 Раздела 1 соответственно (Приложение 4).
2.3 Налог
на доходы физических лиц
Сотрудник ОАО «Башкиргеология» Афанасенко Игорь Дмитриевич, занимающий
должность бурильщик, имел в 2012 году оклад 16 399,00 рублей.
В марте и сентябре Афанасенко болел и находился на больничном, в
результате чего ему было выплачено организацией пособие по временной
нетрудоспособности в размере 7 168,92 и 6 571,51 рублей соответственно.
Между Афанасенко и ОАО «Башкиргеология» составлен договор, по которому
предприятие обязуется оплачивать второй семестр каждого года обучения
восемнадцатилетнего ребенка Афанасенко по очной форме в государственном
университете. 1 марта организация выполнила обязательства по договору, оплатив
обучение - 34 600 рублей. При этом Афанасенко имеет право на стандартный
налоговый вычет по коду 114 (на первого ребенка в возрасте до 18 лет, а также
на каждого учащегося очной формы обучения, аспиранта, ординатора, студента,
курсанта в возрасте до 24 лет родителю, супруге (супругу) родителя, опекуну,
попечителю, приемному родителю, супруге (супругу) приемного родителя, на
обеспечении которых находится ребенок) в размере 8 400 рублей.
В августе и в ноябре Афанасенко находился в отпуске. ОАО «Башкиргеология»
выплатило ему отпускные в размере 15 583,89 и 3 096,85 рублей соответственно.
При этом заработная плата в августе составила - 8 944,94 рублей, в ноябре - 12
494,49 рублей.
В декабре Афанасенко был отправлен на обучение, которое оплатила
организация (1 592,00 рублей). Заработная плата с учетом «тринадцатой»
составила 68 114,00 рублей.
Общая сумма дохода Афанасенко за 2012 год - 286 812,06 рублей.
Налоговая база = 286 812,06 - 8 400 = 278 412,06 рублей.
Сумма налога исчисленная:
Сумма налога удержанная = 36 194 рублей.
Сумма налога перечисленная = 36 194 рублей.
Справка о доходах физического лица (форма 2-НДФЛ) прилагается (приложение
5).
Заполним декларацию по налогу на доходы физических лиц (приложение 6).
Общая сумма дохода отражается по строке 010 Раздела 2. Расчет налоговой
базы и суммы налога по доходам, облагаемым по ставке 13% - 286 812,06 рублей.
Так как в рассматриваемом периоде не было сумм дохода, не подлежащих
налогообложению, то общая сумма дохода дублируется в строку 030. В строке 040
указывается сумма налоговых вычетов - 8 400 рублей, она же заносится в строку
040 Листа Е1. Расчет стандартных и социальных налоговых вычетов. Поскольку
других вычетов за отчетный период не было, то 8 400 рублей заносится в строку
080 листа Е1 как общая сумма стандартных налоговых вычетов, заявляемая в данной
декларации.
Путем вычитания из значения строки 030 величины строки 040 Раздела 2
найдем налоговую базу для исчисления налога и занесем ее в строку 060 этого же
Раздела - 278 412,06 рублей.
По строке 070 отражается общая сумма налога, исчисленная к уплате - 36
194 рублей. В строку 130 заносится общая сумма налога к уплате в бюджет - 36
194 рублей.
В Листе А отражаются доходы от источников в России. В строке 070
указывается общая сумма дохода, полученная на территории РФ - 286 812,06
рублей. Сума облагаемого дохода заносится в строку 080 - 278 412,06 рублей. В
строках 090 и 100 указываются суммы налога исчисленного и удержанного - 36 194
рублей.
2.4 Страховые
взносы во внебюджетные фонды
Суммы взносов во внебюджетные фонды отражаются в Карточке индивидуального
учета сумм начисленных выплат и иных вознаграждений и сумм начисленных страховых
взносов (приложение 7). На ее основе заполним формы РСВ-1 и 4-ФСС (приложения
8, 9).
Форма РСВ-1 показывает расчеты по начисленным и уплаченным страховым
взносам на обязательное пенсионное страхование в Пенсионный Фонд России и на
обязательное медицинское страхование в Федеральный фонд обязательного
медицинского страхования плательщиками страховых взносов, которые производят
выплаты и иные вознаграждения физическим лицам.
В форме 4-ФСС отражается расчет по начисленным и уплаченным страховым
взносам на обязательное социальное страхование на случай временной
нетрудоспособности и в связи с материнством и по обязательному социальному
страхованию от несчастных случаев на производстве и профессиональных
заболеваний, а также расходам на выплату страхового обеспечения.
Заключение
Так, по данным ФНС России, на 1 января 2013 года сумма дополнительно
начисленных налогов после проведения камеральных проверок составила 43 678 436
тысяч рублей, тогда как на 1 января 2012 года - 44 105 417 тысяч рублей, то
есть уменьшилась на 1%. Сумма налоговых санкций и пени, начисленные по
результатам камеральных проверок, также снизилась: с 8 777 713 тысяч рублей на
1 января 2012 года до 8 359 109 тысяч рублей на аналогичную дату 2013 года. То
есть можно говорить об улучшении качества налоговой отчетности, представляемой
организациями и индивидуальными предпринимателями в налоговые органы, а,
следовательно, и о повышении уровня налоговой грамотности налогоплательщиков.
Список
литературы и источников
1. Годовой
отчет ОАО «Башкиргеология» за 2011 год
2. Годовой
отчет ОАО «Башкиргеология» за 2012 год
. Устав
ОАО «Башкиргеология»
. Приказ
ФНС России от 29.10.2014 N ММВ-7-3/558@ «Об утверждении формы налоговой
декларации по налогу на добавленную стоимость, порядка ее заполнения, а также
формата представления налоговой декларации по налогу на добавленную стоимость в
электронной форме» (Зарегистрировано в Минюсте России 15.12.2014 N 35171)
. Приказ
ФНС России от 26.11.2014 N ММВ-7-3/600@ «Об утверждении формы налоговой
декларации по налогу на прибыль организаций, порядка ее заполнения, а также
формата представления налоговой декларации по налогу на прибыль организаций в
электронной форме» (Зарегистрировано в Минюсте России 17.12.2014 N 35255)
. Анализ
использования труда и его влияния на себестоимость продукции: [Электронный
ресурс]. // Реф.рф. М., 2009-2015 URL:
http://referatwork.ru/new/source/72322text-72322.html (Дата обращения:
02.03.2015).
. Интерфакс
- сервер раскрытия корпоративной информации: [Электронный ресурс]. //
Интерфакс. М., 2003-2015. URL:
http://www.e-disclosure.ru/portal/company.aspx?id=1458 (Дата обращения:
25.02.2015).
. Коэффициенты
ликвидности: [Электронный ресурс]. // Финансовый анализ. М., 2010-2015. URL:
http://afdanalyse.ru/publ/finansovyj_analiz/fin_koefitcienti / koef_likv /
3-1-0-5 (Дата обращения: 05.02.2015).
. Коэффициенты
оборачиваемости (показатели деловой активности): [Электронный ресурс]. //
Финансовый анализ. М., 2010-2015. URL: http://afdanalyse.ru/publ/finansovyj_analiz/fin_koefitcienti/1/3-1-0-11(Дата обращения:
05.02.2015).
. Коэффициенты
рентабельности: [Электронный ресурс]. // Финансовый анализ. М., 2010-2015. URL:
http://afdanalyse.ru/publ/finansovyj_analiz/fin_koefitcienti/analiz_rentabelnosti/3-1-0-8
(Дата обращения 05.02.2015).
11. Коэффициенты
финансовой устойчивости: [Электронный ресурс]. // Финансовый анализ. М.,
2010-2015. URL:
<http://afdanalyse.ru/publ/finansovyj_analiz/fin_koefitcienti/analiz_finansovoj_ustojchivosti/3-1-0-22>
(Дата обращения: 05.02.2015).
. Открытое акционерное
общество «Башкиргеология»: [Электронный ресурс]. Уфа, 2004-2015. URL:
http://www.bashgeo.com (Дата обращения: 25.02.2015).
. Оценка
рентабельности: [Электронный ресурс]. // Методология бухгалтерского учета от
Риммы Грачевой. 2014. URL: <http://buhlabaz.ru/analiz/otsenka-rentabelnosti.html>
(Дата обращения (07.02.2015)