Организация, нормирование и оплата труда на предприятии
Курсовая работа
по дисциплине «Экономика и социология
труда»
на тему: «Организация, нормирование и
оплата труда на предприятии»
Содержание
Введение
Часть 1. Проектирование норм затрат труда
1.1 Характеристика исходных данных
1.2 Обработка результатов нормированных наблюдений
1.3 Проектирование элементов нормы затрат труда
1.4 Проектирование состава звена рабочих
1.5 Построение гармонограммы процесса
1.6 Расчет производственных норм затрат труда и расценок
Часть 2. Разработка карты трудового процесса
.1 Область и эффективность применения КТП
2.2 Подготовка и условия выполнения процесса
2.3 Исполнители, орудия и предметы труда
.4 Технология процесса и организация труда
Заключение
Список литературы
Введение
Смена экономической формации в России и изменение концептуальных основ
управления экономикой привели к противоречиям между требованиями нового
рыночного порядка инвестиционного - строительной деятельности и старыми
формами, правилами и методиками административного планирования и управления
строительным производством.
Естественным образом отмирают важнейшие элементы старой административно -
командной системы нормирования и ценообразования в строительстве, разрушаются
связи плановых процедур определения предстоящих инвестиционных, строительных и
эксплуатационных затрат.
Становится невозможным в рамках старых административных правил полноценно
использовать основные принципы рыночного хозяйствования: - мониторинг рыночных
цен; оптимальное планирование затрат; учет конъюнктуры рынка труда, машин и
материалов; прогнозирование издержек жизненного цикла объекта инвестиций.
В настоящее время отсутствует внятная, транспарантная концепция и даже
обоснованные предложения научно-методических основ формирования
сметно-нормативных баз и отдельных сметных нормативов, отражающие рыночные
условия в планировании и управлении инвестиционно-строительным процессом и
воспроизводственными программами реконструкции и ремонта основных средств.
Пока нет общепринятых определений основных понятий сметного нормирования
в новых условиях, отсутствуют современные дефиниции традиционных положений,
которые могут быть использованы в новой системе, и формулировки рыночных
элементов сметного нормирования и ценообразования в строительстве.
В настоящее время требуется определение целей и разработка методики их
достижения на основе рыночных постулатов, обоснование реальных и наиболее
перспективных направлений реформирования системы и прогноз возможных
последствий этих изменений для экономики строительства.
Подошло время подготовки, обсуждения и признание специалистами
концептуальных решений, выявление текущих изменений системы и определение
будущего рыночного порядка нормирования ресурсов в строительстве.
Процесс строительства (возведения) объекта принято называть строительным
производством. Возведение зданий или сооружений требует выполнения строительных
работ, которые разделяются на несколько основных видов по признаку применяемых
материалов и полуфабрикатов или по назначению, например каменные, бетонные,
штукатурные, малярные, земляные и другие работы.
Строительный процесс - это совокупность операций, выполнение которых дает
законченную продукцию в виде конструктивного элемента или части его (например,
кирпичную кладку, штукатурку и т. п.).
В зависимости от назначения строительные процессы разделяются на
основные, вспомогательные и транспортные.
К основным относятся процессы, в результате выполнения которых создаются
части сооружений или конструкций, т. е. создается строительная продукция.
К вспомогательным относятся процессы, с помощью которых не создается
строительная продукция, но они необходимы для выполнения основных процессов,
например крепление стенок траншей или котлованов при производстве земляных
работ, устройство подмостей для штукатуров или каменщиков при производстве
штукатурных или каменных работ и т. п.
К транспортным процессам относятся работы по перемещению материалов и
готовых деталей к строящемуся объекту и к рабочему месту.
Под организацией строительства понимается обеспечение наиболее
рационального взаимодействия исполнителей, оснащенных средствами производства,
с целью своевременного ввода объектов в эксплуатацию при высоком качестве
выполняемых работ и наименьшей их стоимости.
Организация труда в строительстве - это рациональная взаимосвязь в
пределах рабочего места или рабочей зоны всех вещественных элементов
производства для оптимального использования рабочего времени, средств
механизации и материальных ресурсов, систематического роста производительности
труда и высокого качества работ.
Объектом организации труда на рабочем месте является процесс
непосредственного взаимодействия рабочего со средствами и предметами труда.
Этот процесс выступает как труд определенного вида, характерные черты которого
определяются используемыми средствами производства, технологией и предметами
труда.
Процесс труда осуществляется на основе существующей техники и технологии
производства. Но нормирование труда не изучает все элементы процесса
производства и их взаимодействие.
Объектом изучения является труд как целесообразная деятельность человека.
К вопросам, решаемым при нормировании труда в строительном предприятии,
относятся: технологическая специализация, организация труда во времени и
пространстве, организация управления. Их решение связано с закономерностями
функционирования труда, его составных частей по производственным подразделениям
предприятия.
Технологическая специализация предполагает разделение труда внутри
строительного предприятия, которое основано на расчленении технологического
процесса на стадии производства, объединяющие несколько технически
взаимосвязанных процессов.
В условиях формирования новых механизмов хозяйствования, ориентированных
на рыночную экономику, перед строительными предприятиями встает необходимость
работать по-новому, считаясь с законами и требованиями рынка, овладевая новым
типом экономического поведения, приспосабливая все стороны производственной
деятельности к меняющейся ситуации. В связи с этим возрастает вклад каждого
работника в конечные результаты деятельности предприятия. Одна из главных задач
для предприятий различных форм собственности - поиск эффективных способов
управления трудом, обеспечивающих активизацию человеческого фактора.
Вопросы эффективного использования трудовых ресурсов тесно сочетаются с
рассмотрением путей, форм и методов использования трудового потенциала.
Целью и задачей данного курсового проекта является более глубокое
усвоение и закрепление знаний, полученных при прохождении курса по «Экономике и
социологии труда», путём выполнения расчётов и приобретение навыков обработки
данных нормативных наблюдений, проектирования производственных норм затрат
труда и расценок, состава звена рабочих, разработки карт трудовых процессов.
Часть 1. Проектирование норм затрат труда
.1 Характеристика исходных данных
Процесс: Монтаж панелей внутренних стен
Данные нормативных наблюдений на 1 шт.:
Таблица 1 Исходные данные
|
Наименование элементов
|
Затраты труда, чел. - мин.
|
|
1
|
2
|
3
|
4
|
5
|
6
|
7
|
8
|
|
1. Подготовка панели к строповке
|
0,8
|
1,7
|
1,2
|
1,0
|
2,0
|
1,4
|
0,9
|
1,3
|
|
2. Строповка
|
2,8
|
2,2
|
1,8
|
2,5
|
3,0
|
1,9
|
1,7
|
2,4
|
|
3. Устройство постели из раствора
|
9,0
|
9,8
|
8,2
|
10,4
|
9,9
|
9,2
|
8,4
|
8,0
|
|
4. Установка панели
|
5,7
|
6,4
|
5,8
|
6,2
|
6,5
|
7,9
|
8,1
|
6,2
|
|
5. Выверка и временное крепление
|
9,2
|
13,4
|
10,4
|
11,1
|
12,5
|
10,4
|
9,8
|
9,1
|
|
6. Расстроповка
|
1,0
|
2,2
|
2,6
|
2,4
|
1,8
|
1,5
|
1,4
|
1,8
|
|
7. Уплотнение горизонтального шва
|
4,2
|
6,8
|
7,5
|
6,0
|
5,4
|
5,8
|
6,2
|
7,0
|
|
8. Снятие временных креплений
|
3,2
|
3,8
|
2,5
|
4,2
|
4,8
|
2,0
|
2,8
|
3,0
|
Затраты времени на подготовительно-заключительную работу (Нпзр)
= 4 чел.-мин.;
Средняя скорость подъема конструкции (Нср) = 18 м;
Среднее расстояние перемещения (Lср) = 4 м;
Угол поворота стрелы (Ða) = 1500
Нормами предусмотрена установка панелей внутренних стен в любых зданиях.
Установка панелей стен предусмотрена на постели из готового раствора с
одновременной раскладкой маяков при необходимости и временным креплением
подкосами или струбцинами.
Состав работ при установке панелей и перегородок зданий:
1. устройство пастели из раствора с раскладкой маяков;
2. подъем и установка панелей;
3. выверка и временное закрепление;
4. подштопка горизонтального шва раствором;
5. снятие временного крепления.
Таблица 2 Состав звена
|
Профессия и разряд рабочих
|
Для всех конструкций, кроме карнизных плит
|
|
Монтажник конструкций 5 разряда
|
1
|
|
Монтажник конструкций 4 разряда
|
1
|
|
Монтажник конструкций 3 разряда
|
1
|
|
Монтажник конструкций 2 разряда
|
1
|
|
Машинист крана 6 разряда
|
1
|
Таблица 3 Нормы времени (Н.вр.) и расценки (Расц)на
1 панель
|
Панели
|
Площадь панелей, м2, до
|
Н.вр./ Расц.
|
|
|
Монтажников конструкций
|
Машиниста
|
|
Панели наружных и внутренних стен крупнопанельных зданий и
панели стен лестничных клеток каркасно-панельных и крупнопанельных зданий
|
6
|

|
|
|
15
|

|
|
|
20
|

|
|
|
30
|

|
|
Исполнители (КТП):
Монтажник V разряда (М1)
Монтажник IV разряда (М2)
Монтажник III разряда (М3)
Такелажник III разряда (Т)
1.2 Обработка результатов нормированных наблюдений (хронометрических
рядов)
Хронометраж - это способ изучения временных затрат путем замеров и
фиксации продолжительности действий, подлежащих выполнению. Хронометраж
позволяет провести «инвентаризацию» и «аудит» времени.
Хронометраж рабочего времени состоит в описании рабочей системы,
особенно, технологии производства, метода и условий труда, а также в
определении относительного количества, параметров влияния, степени
результативности и фактического времени для отдельных этапов рабочего процесса.
Фактическое время затем оценивают с целью определения необходимого времени для
определенных этапов процесса.
Обработка хронометрических рядов может производиться на ЭВМ или в ручную
следующим образом.
В расчетах используются средняя арифметическая величина хронометражного
ряда замеров затрат труда и времени. Для получения средних значений необходимо
ряды обработать, т.е. исключить случайные значения. Метод обработки
хронометражного ряда определяется на основе коэффициента разбросанности ряда (Кр),
который определяется как отношение максимального значения ряда (Амах)
к его минимальному значению (Амин), если при упорядочении ряда (т.е.
расположения его значений в возрастающей последовательности) последнего
значения ряда (Ап) и его первому значению (А1):
Таблица
4 Расчет коэффициента разбросанности
|
Наименование элементов
|
Затраты труда, чел. - мин.
|
Коэффициент разбросанности
|
|
1
|
2
|
3
|
4
|
5
|
6
|
7
|
8
|
|
|
1. Подготовка панели к строповке
|
0,8
|
0,9
|
1,0
|
1,2
|
1,3
|
1,4
|
1,7
|
2,0
|
2,0/0,8=2,5
|
Кр>2, - проверка и улучшение ряда проводится по методу
относительной ошибки. Суть этого метода состоит в том, что определяют, какую
относительную ошибку будет иметь среднее значение данного ряда, если вес этого
значения принять для расчета одной этой средней величины.
Относительную ошибку рассчитанную для данного ряда, сравнивают с
допустимой. Допустимой относительной средней квадратической ошибкой является 7%
для цикличных процессов, имеющих в своем составе более пяти цикличных операций.
Среднюю квадратическую ошибку (Еотн) можно определить по
формулам:
Е
=
Е
=
где Ai - значение ряда; n - количество значений в ряду.
Т.к.
ошибка больше допустимой, необходимо исключить из упорядоченного ряда одно из
крайних значений (А1 или Аn). Для
определения значения, которое подлежит исключению, рассчитывают две величины К1
и Кn:
Если
К1<Kn, то исключению подлежит первый член упорядоченного
ряда - А1. Если К1
Кn,
то исключают последний член крайнего ряда - Аn.
После
исключения значения необходимо вновь рассчитать Еотн.
После
завершения проверки рассчитывается среднее значение по оставшимся значениям
ряда.
К1
> Кn
Таблица
5
|
Наименование элементов
|
Затраты труда, чел. - мин.
|
Коэффициент разбросанности
|
|
1
|
2
|
3
|
4
|
5
|
6
|
7
|
8
|
|
|
2. Строповка
|
1,7
|
1,8
|
1,9
|
2,2
|
2,4
|
2,5
|
2,8
|
3,0
|
3,0/1,7=1,76
|
1,3<Кр
2, то улучшение ряда происходит по методу предельных
значений. Сущность метода заключается в сопоставлении крайних значений
упорядоченного ряда (А1 и Ар) с рассчитанным предельно
допустимыми значениями для данного ряда. Сопоставления крайних значений на их
допустимости в ряду осуществляется следующим образом:
;
,
где
- сумма всех значений ряда,
А2
и Аn-1 - соответственно второй и предпоследний члены упорядоченного
ряда,
К=1,1
- коэффициент, зависящий от числа значений в ряду.
Аn ≤
3,4; 3≤3,4
А1
≥ 1,1; 1,7≥1,1
Таблица
6
|
Наименование элементов
|
Затраты труда, чел. - мин.
|
Коэффициент разбросанности
|
|
1
|
2
|
3
|
4
|
5
|
6
|
7
|
8
|
|
|
3. Устройство постели из раствора
|
8,0
|
8,2
|
8,4
|
9,0
|
9,2
|
9,8
|
9,9
|
10,4
|
10,4/8,0=1,3
|
Кр ≤ 1,3 - ряд устойчивый, следовательно, средняя
величина находится по формуле:
=
Таблица
7
|
Наименование элементов
|
Затраты труда, чел. - мин.
|
Коэффициент разбросанности
|
|
1
|
2
|
3
|
4
|
5
|
6
|
7
|
8
|
|
|
4. Установка панели
|
5,7
|
5,8
|
6,2
|
6,2
|
6,4
|
6,5
|
7,9
|
8,1
|
8,1/5,7= 1,42
|
,3 < Кр ≤2
;
,
Аn ≤
8,8; 8,1≤8,8
А1
≥ 4,2; 5,7≥4,2
=
Таблица
8
|
Наименование элементов
|
Затраты труда, чел. - мин.
|
Коэффициент разбросанности
|
|
1
|
2
|
3
|
4
|
5
|
6
|
7
|
8
|
|
|
5. Выверка и временное крепление
|
9,1
|
9,2
|
9,8
|
10,4
|
10,4
|
11,1
|
12,5
|
13,4
|
13,4/9,1=1,47
|
,3 < Кр ≤ 2
;
,
Аn ≤
15,84; 13,4≤15,84
А1
≥ 6,35; 9,1≥6,35
=
Таблица
9
|
Наименование элементов
|
Затраты труда, чел. - мин.
|
Коэффициент разбросанности
|
|
1
|
2
|
3
|
4
|
5
|
6
|
7
|
8
|
|
|
6. Расстроповка
|
1,0
|
1,5
|
1,8
|
1,8
|
2,2
|
2,4
|
2,6
|
2,6/1,0=2,6
|
Кр > 2
Е
=
К1
< Кn
=
Таблица
10
|
Наименование элементов
|
Затраты труда, чел. - мин.
|
Коэффициент разбросанности
|
|
1
|
2
|
3
|
4
|
5
|
6
|
7
|
8
|
|
|
7. Уплотнение горизонтального шва
|
4,2
|
5,4
|
5,8
|
6,0
|
6,2
|
6,8
|
7,0
|
7,5
|
7,5/4,2=1,79
|
,3 < Кр ≤ 2
;
,
А
≤ 9; 7,5≤9
А1
≥ 4,1; 4,2≥4,1
=
Таблица
11
|
Наименование элементов
|
Затраты труда, чел. - мин.
|
Коэффициент разбросанности
|
|
1
|
2
|
3
|
4
|
5
|
6
|
7
|
8
|
|
|
8. Снятие временных креплений
|
2,0
|
2,5
|
2,8
|
3,0
|
3,2
|
3,8
|
4,2
|
4,8
|
4,8/2,0=2,4
|
Кр > 2
Еотн=
К1
> Кn
=
Полученные
средние значения затрат труда или времени по отдельным операциям процесса
используются при дальнейшем проектировании норм затрат труда. Для удобства
расчетов результаты отобразим в табличной форме.
Таблица 12 Средние значения затрат или времени
|
Наименование элементов
|
Средние значения затрат, чел.-мин.
|
|
1. Подготовка панели к строповке
|
1,19
|
|
2. Строповка
|
2,3
|
|
3. Устройство постели из раствора
|
9,11
|
|
4. Установка панели
|
6,6
|
|
5. Выверка и временное крепление
|
10,7
|
|
6. Расстроповка
|
1,9
|
|
7. Уплотнение горизонтального шва
|
6,1
|
|
8. Снятие временных креплений
|
3,07
|
1.3 Проектирование элементов нормы затрат труда
Для определения величины нормы затрат труда на заданный процесс
необходимо определить затраты труда по элементам нормируемых затрат, включаемых
в норму - оперативную работу, отдых и личные надобности, технологические
перерывы.
Проектирование затрат труда на оперативную работу (tоп)
Проектирование норм затрат труда на оперативную работу (основную и
вспомогательную) состоит в определении обоснованных величин затрат по элементам
основной и вспомогательной работы на основании данных нормативных наблюдений в
соответствии с установленной нормалью строительного процесса.
Время оперативной работы (оперативное время) - это время, затрачиваемое
как непосредственно на изменение формы, свойств, размеров предмета труда, так и
на выполнение вспомогательных действий, необходимых для осуществления этих
изменений.
Затраты оперативного времени повторяются с каждой единицей продукции или
определенным объемом работ.
Величина затрат времени на оперативную работу определяется суммированием
всех значений затрат труда по операциям, входящих в процесс:
t
,
где
А
- среднее значение затрат труда на выполнение i-ой
операции, полученные после обработки результатов нормативных наблюдений;
К
- коэффициент перехода к главному измерителю процесса.
Коэффициент перехода показывает, сколько единиц продукции содержится в единице
продукции одного процесса (главном измерителе).
Синтез
затрат труда по элементам оперативной работы оформим в виде таблицы.
Таблица 13 Синтез затрат труда по элементам оперативной работы
|
№ п/п
|
Наименование операций оперативной работы
|
Ед. изм. продукции операции
|
Средние затраты по операции, А , чел-мин.Коэффициент перехода К Затраты труда на главный измеритель
процесса (А * К )
|
|
|
|
1.
|
Подготовка панели к строповке
|
шт
|
1,19
|
1,1
|
1,309
|
|
2.
|
Строповка
|
шт
|
2,3
|
1,1
|
2,53
|
|
3.
|
Устройство постели из раствора
|
шт
|
9,11
|
1,1
|
10,021
|
|
4.
|
Установка панели
|
шт
|
6,6
|
1,1
|
7,26
|
|
5.
|
Выверка и временное крепление
|
шт
|
10,7
|
1,1
|
11,77
|
|
6.
|
Расстроповка
|
шт
|
1,9
|
1,1
|
2,09
|
|
7.
|
Уплотнение горизонтального шва
|
шт
|
6,1
|
1,1
|
6,71
|
|
8.
|
Снятие временных креплений
|
шт
|
3,07
|
1,1
|
3,377
|
|
Итого: затраты труда на оперативную работу
|
Проектирование затрат труда на подготовительно-заключительную работу
Норму затрат труда на подготовительно-заключительную работу (далее ПЗР)
проектируют, как правило, на основе установленных нормативов в процентах от всего
затраченного рабочего времени (смена или задание).
Время подготовительно-заключительной работы (Нпзр) - это
время, которое затрачивается на подготовку к выполнению производственного
задания и на действия, связанные с ее окончанием. К нему относится время на
получение задания, инструмента, приспособлений и технологической документации,
ознакомление с работой, технологической документацией, чертежами, инструктажем
о порядке выполнения работы, установку приспособлений, наладку оборудования на
соответствующий режим работы в связи с выполнением данного задания, а также
снятие, сдачу приспособлений, инструмента, технической документации, готовой
продукции.
Особенностью подготовительно-заключительной работы является то, что она
затрачивается один раз на работу (партию предметов труда) и не зависит от
объема работы, выполняемой по данному заданию. В крупносерийном и массовом
производстве величина подготовительно-заключительной работы, приходящаяся на
одну деталь, незначительна и при установлении норм времени не учитывается.
При проектировании производственных норм величину затрат труда на ПЗР,
как правило, принимают по укрупненным нормативам, которые установлены в
процентах от нормы затрат. Нормы дифференцированы по видам работ.
Норматив на ПЗР при монтаже сборных ж/б конструкций кранов составляет 4%.
По заданию Нпзр = 4 чел.-мин.
Величина затрат на ПЗР в процентах рассчитывается следующим образом:
где,
ПЗР - величина подготовительно-заключительных работ, в чел.-мин.;
ОР
- время оперативной работы, в чел.-мин. (сумма столбца 6 табл. 6).
.4
Проектирование состава звена рабочих
При выполнении рабочего процесса звеном рабочих различных профессий и
разрядов, необходимо определить расчетный состав звена по данным нормативных
наблюдений. Для этого затраты времени по каждому элементу выписываются в
таблицу, а затем, пользуясь действующим тарифно-квалификационным справочником,
определяется разряд работы по каждому элементу в отдельности.
Состав звена исполнителей должен обеспечить:
• рациональное число исполнителей с учетом требований к технологии и
качеству продукции. Средний разряд рабочих, входящих в состав звена, как
правило, должен соответствовать среднему разряду работ. Допустимое отклонение среднего
разряда рабочих от среднего разряда работ должно находиться в пределах ±0,3
разряда;
• максимальную и равномерную загрузку каждого исполнителя по времени в
соответствии с квалификацией, а также рациональное установление величины
технологических перерывов;
• соблюдение всех требований охраны труда и техники безопасности.
При этом допускается загрузка квалифицированных рабочих менее
квалифицированной работой в размере 15-20% рабочего времени квалифицированного
рабочего.
Проектирование состава звена рабочих предусматривает определенные
профессии, разряды и численности тех рабочих, которые должны выполнять заданный
строительный процесс.
Профессии рабочих определяются по карте трудового процесса или по ЕниР.
Расчет количественного и квалификационного состава звена ведется в следующем
порядке:
определяется сложность каждой операции оперативной работы по
тарифно-квалификационному справочнику (ЕТКС, ЕНиР, КТП);
устанавливается минимальное количество исполнителей;
выполнение каждого элемента процесса (КТП);
затраты труда по элементам процесса (операциям);
суммируются затраты труда по исполнителям и определяется загрузка
исполнителей во времени.
По степени загрузки исполнителей определяется численность и
квалификационный состав звена. Расчет проводится по двум-трем вариантам.
Расхождение не должно превышать 10%. Расчет оформляется в виде табл. 7.
При проектировании состава звена часто бывает, что распределить работу
между исполнителями в строгом соответствии с вышеизложенными требованиями не
представляется возможным. При несоответствии разряда предлагаемой работы
квалификации исполнителя более целесообразным считается загрузка низшего
разряда и даже частичное выполнение или работы более высокого разряда. Это
создает условия для повышения квалификации рабочих в производственных условиях.
Правильность
выбора состава звена оценивается путем сравнения показателей среднего разряда
рабочих звена и среднего разряда предлагаемых им для выполнения работ. Выбор
состава звена считается нормальным, если разность между средним разрядом работ
и средним разрядом рабочих не превышает 0,3. Причем
. Рассчитываются эти показатели по формуле:
а)
по ЕНИР:
где Pi - разряд рабочего, Ki - количество рабочих данного
разряда.
где Pi - разряд, ti - трудоемкость по данному разряду.
,8-3,5=0,3
Разность между средним разрядом работ и средним разрядом рабочих не
превышает 0,3 чел.-мин., 
, следовательно, состав звена выбран правильно. а) по КТП:
,91-3,75=0,16
Разность между средним разрядом работ и средним разрядом рабочих не
превышает 0,3 чел.-мин., 
, следовательно, состав звена выбран правильно.
Таблица 14 Проектирование состава звена
|
№
|
Наименование оперативной работы
|
Минимальное количество исполнителей
|
Разряд по ЕТКС с указанием параграфа
|
Затраты труда (Аср), чел.-мин.
|
Распределение затрат труда по квалификации исполнителей
(чел.-мин.)
|
|
|
|
|
|
I вариант (ЕниР) (табл.2)
|
II вариант (КТП)
|
|
|
|
|
|
разряды
|
разряды
|
|
|
|
|
|
1
|
2
|
3
|
4
|
5
|
6
|
1
|
3
|
3
|
4
|
5
|
6
|
|
1
|
Подготовка панели к строповке
|
1
|
2, § 188
|
1,309
|
-
|
1,309
|
-
|
-
|
-
|
-
|
-
|
1,309
|
-
|
-
|
-
|
-
|
|
2
|
Строповка
|
1
|
2, § 188
|
2,53
|
-
|
2,53
|
-
|
-
|
-
|
-
|
-
|
2,53
|
-
|
-
|
-
|
-
|
|
3
|
Устройство панели из раствора
|
3
|
3,4, 5, § 190, § 191, § 188
|
10,021
|
-
|
-
|
3,34
|
3,34
|
3,34
|
-
|
-
|
-
|
3,34
|
3,34
|
3,34
|
-
|
|
4
|
Установка панели
|
3
|
3,4, 5, § 190, § 191, § 189
|
7,26
|
-
|
-
|
2,42
|
2,42
|
2,42
|
-
|
-
|
-
|
2,42
|
2,42
|
2,42
|
-
|
|
5
|
Выверка и временное крепление и
|
3
|
3,4, 5, § 190, § 191, § 189
|
11,77
|
-
|
-
|
3,92
|
3,92
|
3,92
|
-
|
-
|
-
|
3,92
|
3,92
|
3,92
|
-
|
|
6
|
расстроповка
|
3
|
3,4, 5, § 190, § 191, § 189
|
2,09
|
|
|
0,7
|
0,7
|
0,7
|
|
|
|
0,7
|
0,7
|
0,7
|
|
|
7
|
Уплотнение горизонтального шва
|
3
|
3,4, 5, § 190, § 191, § 189
|
6,71
|
-
|
-
|
2,24
|
2,24
|
2,24
|
-
|
-
|
-
|
2,24
|
2,24
|
2,24
|
-
|
|
8
|
Снятие временных креплений
|
3
|
3,4, 5, § 190, § 191, § 189
|
3,377
|
-
|
-
|
1,13
|
1,13
|
1,13
|
-
|
-
|
-
|
1,13
|
1,13
|
-
|
|
Итого чел.-мин.
|
-
|
|
45,067
|
-
|
3,839
|
13,75
|
13,75
|
13,75
|
-
|
-
|
3,839
|
13,75
|
13,75
|
13,75
|
-
|
|
по времени, %
|
-
|
|
100%
|
-
|
8,52
|
30,51
|
30,51
|
30,51
|
-
|
-
|
8,52
|
30,51
|
30,51
|
30,51
|
-
|
.5 Построение гармонограммы процесса
Проектирование норм на регламентированные перерывы состоит в определении
затрат времени на технологические перерывы в работе, отдых и личные надобности
рабочих.
Проектирование затрат рабочего времени на технологические перерывы
осуществляются на основе построения графической модели рабочего процесса. В
качестве такой графической модели в курсовой работе используется гармонограмма.
Гармонограмма представляет собой линейную модель рабочего процесса, в
которой увязываются все элементы рабочего процесса по времени и по
исполнителям. Суммарная величина всех возможных неувязок, возникающих в рабочем
процессе, и дает искомую величину технологических перерывов.
Гармонограмма строится в масштабе времени на миллиметровой бумаге.
Построение гармонограммы начинается с нанесения элементов работы крана, затем
наносится работа монтажников, которая выполняется совместно с краном.
Последними наносятся те операции, которые выполняются только монтажниками (без
крана).
Далее необходимо определить технологические перерывы рабочих и крана
(оптимальным считается вариант, где кран не имеет технологических перерывов).
Затем определяется продолжительность технологического перерыва (в мин.) и
суммарные технологические перерывы всех рабочих (в чел.-мин.).
Гармонограмма строится по средним значениям затрат рабочего времени на
элементы оперативной работы. При проектировании затрат труда на частично
механизированные процессы (монтаж строительных конструкций и т.п.) работу звена
монтажников необходимо увязать с работой используемого при этом процессе
механизме.
Для этого необходимо подобрать соответствующий башенный кран и рассчитать
длительность цикла его работы.
Кроме тех операций, которые выполняются рабочими совместно с краном, в
цикл работы крана входит время перемещения крана до места монтажа (Тпер)
и время обратного ухода (Тобр). Для этого необходимо использовать
следующие данные:
Характеристики башенного крана МКГ-10:
средняя высота подъема конструкций - Нср = 18 м (по заданию)
средняя скорость опускания груза - Vоп =17 м/мин
средняя скорость подъема груза - Vпод = 7 м/мин
скорость горизонтального перемещения - Vпер =1,7 об/мин
скорость поворота стрелы - Vпов = 0,7 об/мин
-
угол поворота -
(по заданию)
среднее
расстояние перемещения - Lср= 4м (по
заданию)
Кв
= 0,85 - коэффициент использования крана по времени (по заданию).
Для
построения гармонограммы составим таблицу исходных данных в следующей форме
(табл. 8).
Таблица
15 Исходные данные для построения гармонограммы процесса (ЕНИР)
|
№ п/п
|
Наименование операций
|
Затраты труда, чел.-мин.
|
Профессия, количество и разряд исполнителей
|
Продолжительность операций, мин.
|
|
1
|
Подготовка панели к строповке
|
1,309
|
Монтажник, 1 исполнитель, II разряд
|
1,309
|
|
2
|
Строповка
|
2,53
|
Монтажник, 1 исполнитель, II разряд
|
2,53
|
|
3
|
Устройство постели из раствора
|
10,021
|
Монтажник V
разряда, 1 чел., Монтажник IV
разряда, 1 чел., Монтажник III
разряда, 1 чел.
|
3,34
|
|
4
|
Установка панели
|
7,26
|
Монтажник V
разряда, 1 чел., Монтажник IV
разряда, 1 чел., Монтажник III
разряда, 1 чел.
|
2,42
|
|
5
|
Выверка и временное крепление
|
11,77
|
Монтажник V
разряда, 1 чел., Монтажник IV
разряда, 1 чел., Монтажник III
разряда, 1 чел.
|
3,92
|
|
6
|
Расстроповка
|
2,09
|
Монтажник V
разряда, 1 чел., Монтажник IV
разряда, 1 чел., Монтажник III
разряда, 1 чел.
|
0,7
|
|
7
|
Уплотнение горизонтального шва
|
6,71
|
Монтажник V
разряда, 1 чел., Монтажник IV
разряда, 1 чел., Монтажник III
разряда, 1 чел.
|
2,24
|
|
8
|
Снятие временных креплений
|
1
|
Монтажник V
разряда, 1 чел., Монтажник IV
разряда, 1 чел., Монтажник III
разряда, 1 чел.
|
1,13
|
Элементы работы крана:
) Т1 - время подъема груза
Нстр - страховочная высота (2м)
)
Т2 - время поднятия на страховочную высоту
)
Т3 - время перемещения от склада до места монтажа
4) Т4 - время опускания конструкции на страховочную
высоту
)
Т5 - время опускания крюка
)
Т6 - время поворота стрелы на запроектированный угол
Исходя
из этого,
Тпер
= Т3+Т6+Т1+Т2+Т4
=2,76+0,7+5,96+0,34+0,14=9,9 мин.
Тобр
= Т3+Т6+Т
=
2,76+0,7+1,38 = 4,84 мин.
Тпер
+ Тобр = 9,9+4,84 = 14,74 мин.
Таблица
16 Исходные данные для построения гармонограммы процесса (КТП)
|
№ п/п
|
Наименование операций
|
Затраты труда, чел.-мин.
|
Профессия, количество и разряд исполнителей
|
Продолжительность операций, мин.
|
|
1
|
Подготовка панели к строповке
|
1,309
|
Такелажник, 1исполнитель., III разряд
|
1,309
|
|
2
|
Строповка
|
2,53
|
Такелажник, 1исполнитель., III разряд
|
2,53
|
|
3
|
Устройство постели из раствора
|
10,021
|
Монтажник V
разряда, 1 чел., Монтажник IV
разряда, 1 чел., Монтажник III
разряда, 1 чел.
|
3,34
|
|
4
|
Установка панели
|
7,26
|
Монтажник V
разряда, 1 чел., Монтажник IV
разряда, 1 чел., Монтажник III
разряда, 1 чел.
|
2,42
|
|
5
|
Выверка и временное крепление
|
11,77
|
Монтажник V
разряда, 1 чел., Монтажник IV
разряда, 1 чел., Монтажник III
разряда, 1 чел.
|
3,92
|
|
6
|
Расстроповка
|
2,09
|
Монтажник V
разряда, 1 чел., Монтажник IV
разряда, 1 чел., Монтажник III
разряда, 1 чел.
|
0,7
|
|
7
|
Уплотнение горизонтального шва
|
6,71
|
Монтажник V
разряда, 1 чел., Монтажник IV
разряда, 1 чел., Монтажник III
разряда, 1 чел.
|
2,24
|
|
8
|
Снятие временных креплений
|
3,377
|
Монтажник V
разряда, 1 чел., Монтажник IV
разряда, 1 чел., Монтажник III
разряда, 1 чел.
|
1,13
|
Проектирование величин технологических перерывов
Проектирование норм затрат времени на технологические перерывы
(регламентированные перерывы) состоит в определении абсолютных величин затрат
на технологические перерывы в работе, отдых и личные надобности рабочих.
Величину норматива затрат времени на технологические перерывы, связанные с
особенностями нормируемого строительного процесса, обычно устанавливают в
результате анализа нормативных наблюдений за правильно организованным
процессом.
Технологический перерыв - время вынужденного прекращения
работы, связанное со специфическими особенностями рабочего процесса,
выполняемого в организационно-технических условиях, установленных
нормативно-технологическими документами.
При участии в процессе одного рабочего, выполняющего работу вручную или
механизированным способом, включение в норму дополнительных затрат на
технологические перерывы не требуется. Для звена проектная величина
технологического перерыва определяется путем построения графической модели
процесса, которая определяет оптимальный вариант распределения затрат труда между
всеми членами звена по всем операциям процесса. Величина технологических
перерывов определяется в процентах от общих затрат труда по гармонограмме:
где,
ТП - величина технологических перерывов, чел.- мин.;
ОР
- время оперативной работы, чел.- мин.
для
ЕНиР
для
КТП
Полученная
величина технологических перерывов анализируется с точки зрения распределения
технологических перерывов между исполнителями и возможности отдыха для них в
эти интервалы времени.
После
этого принимается решение о величине технологических перерывов и времени на
отдых, включаемых в норму затрат труда.
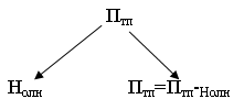
Проектирование
затрат времени на отдых
Проектирование
норм затрат времени на отдых и личные надобности Нолн представляет
собой учет прибавочного времени на естественную потребность в отдыхе. Величину
нормы затрат времени на отдых и личные надобности рабочих принимают с учетом
результатов нормативных наблюдений за правильно организованным процессом с
учетом справочных данных.
Проектирование
затрат времени на отдых устанавливается в процентах от нормы затрат труда.
Кроме того, в нормах предусматривается время, которое рабочие расходуют на
естественные надобности и соблюдение личной гигиены.
Наблюдениями
и данными физиологических исследований установлено, что рабочим на личные
надобности требуется 4-5% общего рабочего времени.
Суммарная
величина затрат времени на отдых и личные надобности при монтаже сборных
железобетонных конструкций кранов составляет 10%.
При
использовании нормативов затрат времени на отдых и личные надобности необходимо
иметь в виду следующее:
норматив
времени на отдых и личные надобности принимается в полном размере в тех
случаях, когда технологические перерывы полностью отсутствуют или когда
технологические перерывы имеют место, но рабочий не может их использовать для
отдыха;
если
величина технологических перерывов (в %) превышает проектируемую величину
норматива времени на отдых и личные надобности, то величина технологических
перерывов принимается в уменьшенном на проектируемую величину норматива времени
на отдых и личные надобности, то величина технологических перерывов принимается
в уменьшенном на проектированную величину норматива времени на отдых и личные
надобности:
норматив
применяется в уменьшенном размере, если технологические перерывы имеют место и
рабочий может их частично использовать для отдыха. Тогда норматив уменьшается
на половину величины технологического перерыва, включаемого в норму затрат
труда:
,
где
Пп - проектная величина на отдых и личные надобности, %;
Н0
- норматив времени на отдых и личные надобности, %;
Птп
- проектная величина технологических перерывов, %.
по ЕНиР:
По первому варианту (по ЕНиР) норматив затрат времени на отдых и личные
надобности составил 10%, а величина технологических перерывов составила 18,07%.
По второму варианту (по КТП) норматив затрат времени на отдых и личные
надобности составил 10%, а величина технологических перерывов составила 18,07%.
.6 Расчет производственных норм затрат труда и расценок
Систему производственных норм в строительстве составляют единые,
ведомственные, местные и типовые нормы.
Единые нормы и расценки (ЕНиР) разрабатываются на строительные, монтажные
и ремонтно-строительные работы, выполняемые на всех стройках страны по
одинаковой (или сходной) технологии в одинаковых (или сходных) условиях труда и
производства.
На специальные строительные, монтажные и ремонтно-строительные работы, не
охваченные сборниками ЕНиР, выполняемые на стройках отдельных министерств и
ведомств, разрабатываются ведомственные нормы и расценки (ВНиР).
На отдельные строительные, монтажные и ремонтно-строительные работы, не
охваченные ЕНиР и ВНиР, а также на работы, выполняемые по более совершенной
технологии, чем предусмотрено соответствующим сборником ЕНиР или ВНиР,
разрабатываются местные нормы и расценки (МНиР).
Типовые нормы и расценки (ТНиР) разрабатываются на новые строительные,
монтажные и ремонтно-строительные работы, не вошедшие в действующие сборщики
ЕНиР и ВНиР, выполняемые по типовой технологии и в типовых условиях.
Проектирование технически обоснованной нормы начинается с составления
нормали процесса и расчета различных элементов нормируемых затрат времени: на
оперативную работу; на подготовительно заключительную работу; на
регламентированные перерывы в работе; на полную величину нормы затрат труда; на
проектирование состава звена. Проектирование нормали строительного процесса
заключается в отборе оптимальных значений факторов влияния. Нормали оформляют в
виде технологических карт, в которых отражают организационно-технические
условия, необходимые для выполнения или перевыполнения норм.
Полная величина нормы затрат труда включает следующие затраты: сумму
затрат по элементам оперативной работы, на подготовительно-заключительную
работу, на технологические перерывы и затраты на отдых и личные надобности,
полученные в результате обработки и анализа нормативных наблюдений.
Числовая характеристика нормы затрат труда на выполнение единицы
законченной продукции Нзт, чел.- час рассчитывается по формуле:
где,
tор -
суммарные затраты труда на выполнение элементов оперативной работы, чел.- мин.
Нпзр
- норматив на НЗР, в % от нормируемых затрат труда;
Нолн
- норматив на отдых и личные надобности, %;
Птп
- проектный размер технологических перерывов, %
Т.к.,
величина затрат на ПЗР больше 6%, то при расчете Нзт принимаем Нпзр
= 6%.
по
ЕНиР:
по
КТП:
Нормой
времени Нвр называется количество времени, необходимое для
выполнения рабочим соответствующей профессии и квалификации единицы
доброкачественной продукции в нормальных организационно-технических условиях. Нвр
рабочих и Нзт на соответствующие процессы связаны между собой.
Норма
времени на единицу законченной продукции определяется как:
где,
К - количество человек в звене.
по
ЕНиР:
по
КТП:
Норма
выработки (Нвыр) - количество доброкачественной продукции, которое
должен выработать рабочий соответствующей профессии и квалификации в нормальных
организационно-технических условиях в единицу времени (час, день, смена).
Норма
выработки определяется исходя из нормы времени. Она устанавливается в тех
случаях, когда в течение смены выполняется одна и та же регулярно повторяющаяся
работа (операция).
Норма
выработки рассчитывается по формуле:
,
где,
tсм -
установленная продолжительность рабочей смены, час.
по
ЕНиР:
по
КТП:
Расценка
сдельная - размер оплаты по установленным нормам за изготовление единицы
продукции (детали, узла, изделия) или выполнение определенной производственной
операции при сдельной системе заработной платы.
Расценка
сдельная устанавливается на определенную работу (операцию) исходя из тарифной
ставки, соответствующей разряду работы, и нормы выработки или нормы времени на
данную работу. При определении расценки сдельной в расчет берутся тарифные
ставки (оклады), соответствующей разряду выполняемой работы, а не разряду
работника, выполняющего данную работу (операцию).
Сдельная
расценка (Р) при звеньевом выполнении процесса:
где
Сср - средняя тарифная ставка рабочих звена, определяемая как
средневзвешенная величина:
где
Сi - тарифная ставка соответствующего разряда,
Кi
- количество рабочих данного разряда.
Для
расчета используется следующая тарифная сетка.
Таблица 17 Тарифная сетка
|
Тарифный разряд
|
I
|
II
|
III
|
IV
|
V
|
VI
|
|
Тарифный коэффициент
|
1,0
|
1,085
|
1,186
|
1,338
|
1,542
|
1,797
|
|
Тарифная ставка, усл. ден. ед.
|
10
|
10,85
|
11,86
|
13,38
|
15,42
|
17,97
|
Средняя тарифная ставка рабочих звена Сср:
по ЕНиР:
по
КТП:
Сдельная
расценка при звеньевом выполнении процесса Р:
по
ЕНиР:
по
КТП:
Таблица
18 Обобщающая таблица
|
Показатели
|
Направленность
|
ЕНиР
|
КТП
|
|
1. Нзт
|
min
|
1,14
|
1,14
|
|
2. Нвыр
|
max
|
28,07
|
28,07
|
|
3. Нвр
|
min
|
0,29
|
0,29
|
|
4. Расценка
|
min
|
14,68
|
14,97
|
|
5. min0,30,2
|
|
|
|
Из таблицы видно, что вариант, рассчитанный на основе КТП наиболее
эффективный и, следовательно, послужит для разработки карты трудового процесса.
Часть 2. Разработка карты трудового процесса
.1 Область и эффективность применения КТП
Карта трудовых процессов - это карта, с помощью которой устанавливаются
рациональные составы бригад или звеньев рабочих, организация строительного
процесса, методы труда, технологическая последовательность и продолжительность
операций
Карта трудовых процессов строительного производства является документом,
на основании которого должны создаваться на строительной площадке необходимые
условия для улучшения организации труда рабочих на научной основе.
Условия труда рабочих на строительной площадке должны полностью
соответствовать законодательству РФ. Дело в том, что обеспечение отличных
условий труда будет напрямую влиять на время выполнения всех поставленных
задач, а также на качество возводимого сооружения. Конечно, это учитывается при
организации рабочего процесса, потому что замедление строительства ведет к
дополнительным денежным издержкам.
Цель разработки КТП состоит в содействии широкому внедрению в
строительное производство высокопроизводительных методов, рациональных форм
организации труда. Основой разработки КТП является изучение и обобщение опыта
новаторов и научных исследований в этой области.
За счет повышения на предприятии выработки достигнуто перевыполнение
норм. В связи с этим возник вопрос о пересмотре условий организации труда
рабочих.
Карта предназначена для организации труда рабочих при монтаже панелей
внутренних стен (перегородок).
2.2 Подготовка и условия выполнения процесса
До
начала монтажа внутренних стеновых панелей должны быть выполнены организационно-подготовительные
мероприятия в соответствии со СНиП 3.01.01-85
<#"826610.files/image090.gif">
Рис. 1 Рабочее место
Таблица 19 Технология процесса и организация труда
|
Наименование операции
|
Продолжительность операции, мин.
|
Затраты труда, чел.-мин.
|
Краткая характеристика технологического процесса
|
|
Подготовка панели к строповке
|
10
|
10
|
Такелажник осматривает панель, проверяет наличие закладных
деталей, с помощью лома - прочность монтажных петель. При необходимости
очищает панель от грязи и наплывов раствора (Рис.2)
|
|
Строповка панели
|
2
|
2
|
Такелажник, поднявшись на мостик панелевоза, стопит панель
и подает машинисту крана сигнал подтянуть строп. Затем спускается с панелевоза,
ослабляет строп крепления панели на панелевозе, отходит на 4-5 м. и подает
машинисту крана команду поднять панель на 20-30 см. Убедившись в надежности
строповки, подает команду на подъем и перемещение панели к месту установки.
|
|
Устройство растворной постели
|
3
|
9
|
Монтажник IIIразряда
подает лопатой раствор из ящика. Монтажники пятого и четвертого разряда
разравнивают его кельмами слоем на 5-8 мм толще установленных прокладок
(растворных маяков) (Рис.3)
|
|
Установка панели
|
2
|
6
|
Машинист крана по сигналу одного из монтажников подает
панель к месту установки, монтажники пятого, четвертого и третьего разрядов
принимают ее на высоте 20-30 см над местом установки и разворачивают в нужном
направлении. Машинист крана плавно опускает панель на подготовленную растворную
пастель (Рис. 4)
|
|
Выверка, временное крепление и расстроповка панели
|
4
|
12
|
Монтажники четвертого и третьего разряда проверяют по
рискам правильность установки панели. С помощью ломов устраняют
незначительные отклонения ее от проектного положения. Монтажник пятого
разряда проверяет вертикальность панели рейкой-отвесом. Стоя на столиках,
монтажники четвертого и третьего разряда, закрепляют панель угловыми
подкосами и вновь выверяют ее вертикальность рейкой-отвесом. По сигналу
одного из монтажников машинист крана ослабляет строп, а монтажники третьего и
четвертого разряда расстроповывают панель.
|
|
Уплотнение горизонтального шва
|
2
|
6
|
Монтажники пятого, четвертого и третьего разрядов уплотняют
подштопками раствор в горизонтальном шве и заглаживают его кельмами. Лишний
раствор убирают совковой лопатой.
|
|
Снятие временного крепления панели
|
1
|
3
|
Временное крепление панели снимают после постоянного ее
крепления электросваркой. Монтажники пятого, четвертого и третьего разрядов
поднимаются на столики монтажника, ослабляют натяжение подкосов вращением
стяжных муфт и отцепляют подкосы от монтажных панель
|
Рис.2. Подготовка панели к строповке: 1-склад-пирамида; 2-поднимаемый
элемент; 3-стропы траверсы; 4-такелажник
Рис.3. Устройство растворной постели: 1-геодезическая риска; 2-растворная
лопата; 3-растворная постель; 4-кельма; 5-монтажник V разряда; 6-монтажник IV разряда
Рис. 4. Схема расстилания гидроизолирующего слоя: 1-растворная постель;
2-рулон гидроизолирующего материала; 3-гидроизолирующий слой; 4-монтажник V разряда; 5-монтажник IV разряда
Рис. 5. Схема установки сборного элемента: 1-монтажник IV разряда;
2-монтажник V разряда; 3-монтируемый элемент;
4-основание под панель; 5-геодезическая риска
Рис. 6. Схема закрепления сборного элемента: 1-монтажник IV разряда;
2-подкос, 3-монтажник V
разряда; 4-струбцина; 5-монтируемый элемент; 6-монтажная петля
Рис.7. Схема выверки панели по вертикали: 1-монтажник IV разряда;
2-монтируемая панель; 3-рейка-отвес; 4-монтажник V разряда; 5-монтажная стойка
затраты труд расценка гармонограмма
Заключение
Социально-экономические преобразования в современной экономике России
вызвали изменения в организации и оплате труда, обусловили необходимость
исследования взаимосвязи организации, нормирования и оплаты труда с рынком
труда и государственным регулированием трудовых отношений.
Опыт стран с развитой рыночной экономикой показывает, что высокую
эффективность производства можно обеспечить только на основе нормативного
регулирования продолжительности рабочего времени, расширения сферы нормирования
труда, определения уровня напряженности норм труда, рациональной его
организации. Кроме того, очень важно осознавать, что нормы труда призваны
обеспечивать социальную защиту наемных работников, способствовать сохранению их
нормальной работоспособности в течение всей трудовой деятельности.
Организация, нормирование и оплата труда являются важнейшей частью
организации производства и представляют собой самостоятельную область
экономической работы на предприятии, имеют особое содержание, сферу
исследования и методы изучения производственной и трудовой деятельности
человека.
Список литературы
1. Бороздин И.Г. Коломеец А.В. Серебрянный Г.Н.
Технико-экономическое обоснование выбора монтажных кранов и приспособлений:
Учеб. пособие для вузов. М., Строй-издат, 2010. - 176с.
. ЕНиР. Сборник Е4. Монтаж сборных и устройство монолитных
железобетонных конструкций. Вып. 1. Здания и промышленные сооружения/Госстрой
России. - М.: ГУП ЦПП, 2009. - С.26-29.
. Зоткина Н.С. Организация, нормирование и оплата труда в
строительстве: Учебное пособие. - СПб.: Изд-во СПбГУЭФ, 2008. -202с.
. Зоткина Н.С., Фролова О.И. Методические указания к
выполнению курсовой работы по курсу «Организация, нормирование и оплата труда
на предприятиях отрасли» для студентов специальностей 080502 «Экономика и
управление на предприятии (строительство)», 080507 «Менеджмент организации»
очной и заочной формы обучения./изд.2-е, перераб. - Тюмень: РИЦ ВПО ТюмГАСУ,
2010г. - с. 8-17.
. И.А. Петров. С.А. Ефремов. Н.В. Каширин. Техническое
нормирование и сметное дело в строительстве. Издание 2-е перераб.и доп. М.:
Изд-во литературы по строительству. 2012. 552с.
. Монтаж сборных железобетонных элементов панельных жилых
домов серии 111-83. Карты трудовых процессов строительного производства. Т-4.
1-6.