Управление качеством

  • Вид работы:
    Учебное пособие
  • Предмет:
    Менеджмент
  • Язык:
    Русский
    ,
    Формат файла:
    MS Word
    97,78 Кб
  • Опубликовано:
    2015-01-29
Вы можете узнать стоимость помощи в написании студенческой работы.
Помощь в написании работы, которую точно примут!

Управление качеством



ББК 65.290-80

Рекомендовано к опубликованию учебно-методическим советом Себряковского филиала ГОУ ВПО "Волгоградский государственный архитектурно-строительный университет"

(протокол № 03 от 08.11.2010г)

Рецензенты:

к.э.н., доцент, директор Себряковского филиала ВолгГАСУ,

зав. кафедрой Экономика и финансы Т.А Забазнова

к.э.н., зам. директора по учебной работе Себряковского филиала ВолгГАСУ,

доцент кафедры Экономика и финансы Е.В. Пацюк

Карпушова, С.Е.

Управление качеством: учебно- методическое пособие :/ С.Е. Карпушова ; Себряковский филиал гос. образоват. учреждения высш. проф. образования "ВолгГАСУ". - Михайловка : Изд-во Себряковский филиал ВолгГАСУ кафедра ЭиФ, 2010. - 60 с

Представлены требования к освоению дисциплины "Управление качеством", конспект лекций, контрольные вопросы, методические указания по написанию контрольных работ, адания для самостоятельной работы.

Предназначено для студентов специальности Экономика и управление на предприятиях (по отраслям) очного и заочного обучения.

ББК 65.290-80

Карпушова С.Е., 2010

СОДЕРЖАНИЕ

Введение

Раздел 1. Качество как фактор успеха предприятия в условиях рыночной экономики. Понятие качества

Раздел 2. Международные стандарты ИСО 9000

2.1 Роль стандартизации в развитии международной торговли

.2 Международные организации по стандартизации. Международные стандарты на системы качества

Раздел 3. Разработка систем качества на предприятиях

3.1 Сущность системы менеджмента качества

.2 Основные положения концепции TQM

.3 Внедрение TQM на российских предприятиях

Раздел 4. Инструменты и методы управления качеством

4.1 Структурирование функции качества

.2 Анализ последствий и причин отказов

.3 Статистические методы

Раздел 5. Метрология в управлении качеством

5.1 Организационно-правовые основы метрологии

.2 Система обеспечения единства измерений

.3 Международные метрологические организации

Раздел 6. Сертификация в управлении качеством

6.1 Сертификация продукции, ее цели

.2 Порядок, правила и способы (схемы) проведения сертификации

.3 Сертификация систем качества и экономические оценки работы по сертификации

6.4 Маркировка <#"826303.files/image002.gif">можно констатировать улучшение качества <#"826303.files/image003.gif">

К1 - коэффициент качества продукции;

Пб - фактические потери от брака, %;

Бс - внутризаводской брак, к годной продукции;

a1 - коэффициент снижения брака (0,05£ a1 £ 0,15);


К2 - коэффициент рекламаций;

Рф - объем рекламаций, % к объему товарной продукции; Рс - средний объем рекламаций, принятый по отчетным данным, % к объему товарной продукции; a2 - коэффициент снижения рекламаций (0,05£ a2 £ 0,15);


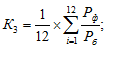
К3 - коэффициент ритмичности;

Рф - фактический коэффициент ритмичности за месяц; Рб - базисный коэффициент ритмичности за месяц;

К4 - коэффициент категории качества;

QВ - объем продукции высшей категории качества; Q1 - то же, первой категории качества; Qт - товарная продукция; V - стимулирующий коэффициент (0,9£ a2 £ 1,0);

К5 - коэффициент управления качеством;

WФ - количество подразделений или изделий, подвергшихся контролю;

Wо - общее количество подразделений или изделий;

Кк - интегральный коэффициент качества труда;

Практический смысл приведенных коэффициентов состоит в том, что они свидетельствуют, в какой мере фактическое использование каждого фактора приближается к нормативу, принятому за 1.Интегральный коэффициент показывает среднюю величину коэффициента качества труда при условии, что К1, К2, К3, К4 и К5 £ 1,0.

 

РАЗДЕЛ 4. ИНСТРУМЕНТЫ И МЕТОДЫ УПРАВЛЕНИЯ КАЧЕСТВОМ

 

4.1 Структурирование функции качества

Метод Структурирования Функции Качества (далее - СФК), который иногда еще называют Развертыванием Функции Качества, впервые был применен компанией Мицубиси в 1972 г.

Суть метода СФК состоит в том, что требования потребителя должны "развертываться" и конкретизироваться поэтапно, начиная с прединвестиционных исследований и заканчивая предпродажной подготовкой.

Данный метод представляет собой технологию проектирования изделий и процессов, позволяющую преобразовывать пожелания потребителя в технические требования к изделиям и параметрам процессов их производств.

Основная идея технологии СФК заключается в понимании того, что между потребительскими свойствами ("фактическими показателями качества") и установленными в стандартах параметрами продукта ("вспомогательными показателями качества") существует большое различие.

Технология СФК - это последовательность действий производителя по преобразованию фактических показателей качества изделия в технические требования к продукции, процессам и оборудованию.

Рассмотрим процесс планирования новой продукции в рамках методы СФК. Он состоит их восьми этапов

Первым этапом СФК является выяснение и уточнение требований потребителей. Потребитель формулирует свои пожелания, как правило, в абстрактной форме типа "удобная мебель" и "легкий телефон" и пр. Для потребителя такой способ выражения своих потребностей является вполне нормальным. Но для инженеров, проектировщиков, конструкторов этого недостаточно: следует четко определить размеры, материалы, требования к обработке поверхности, допустимый вес.

Задача СФК как раз и состоит в том, что сделать мнение потребителя понятным для инженера. СФК служит своеобразным переводчиком с языка потребителя на язык разработчика. Кроме этого, метод СФК выполняет еще много других задач. Например, позволяет сравнивать показатели проектируемого товара с показателями товаров конкурентов, а также СФК определять экономическую и техническую реализуемость создания товара.

Задача производителя состоит в том, чтобы с помощью различных методов преобразовать требования (т. н. "голос") потребителя в инженерные характеристики продукта.

Второй этап СФК - ранжирование потребительских требований. Для ранжирования необходимо оценить рейтинги потребительских требований, которые были определены на первом этапе. Требования потребителей всегда противоречивы и нельзя создать продукцию, отвечающую всем потребительским требованиям. Имея четкое представление о том, какие требования необходимо удовлетворить обязательно, а какими можно в известной степени поступиться, фирма должна найти компромисс. Чтобы ответить на этот вопрос, следует упорядочить список потребительских требований по степени важности. В результате получается еще один столбец с некоторыми числами, указывающими, какое место по важности занимает в этом ряду каждое из требований.

Естественно, что проставление рейтингов во многом субъективно и не всегда отражает реальное убывание важности отдельных требований. Потребителю важно все. Но производитель не может удовлетворить все требования. Поэтому ему приходится выбирать. Если продолжить рассмотрение примера с автомобилем, то в результате выполнения второго этапа СФК (Табл.4.1.) производитель может получить следующие рейтинги (данные гипотетические, рейтинги проставляются по десятибалльной шкале).

Табл. 4. 1. Рейтинг потребительских требований


Потребительские требования

Рейтинг

1. 1

Хочу тратить минимум бензина

9

2. 2

Чтобы быстро ездил

7

3. 3

Красивый

8

4. 4

Безопасный

6

5. 5

Удобно сидеть

6

6. 6

Просторно в кабине

4 |

 7


Третий этап СФК - разработка инженерных характеристик. Данный этап выполняет специальная команда разработчиков, создаваемая для данного случая. Перед ней на первом этапе работы ставится задача составить список инженерных характеристик будущего изделия -- взгляд на изделие с точки зрения инженера. Эта команда готовит список характеристик, важных с их точки зрения, и предлагает его в качестве результата данного этапа. Естественно, что язык этих характеристик будет достаточно определенным, четким. Именно такой язык принят у разработчиков.

На четвертом этапе СФК производится вычисление зависимостей потребительских требований и инженерных характеристик.

В результате выполнения трех предыдущих этапов проектировщики получили ранжированный список потребительских требований, составленный на языке потребителя, и инженерных характеристик, сформулированных на профессиональном жаргоне. Для успешной разработки изделия нужно сделать что-то вроде словаря перевода потребительских требований в инженерные характеристики.

Для этого применяется простой прием: строится таблица-матрица по типу, представленной на рис. 2. На этом этапе необходимо ответить на вопрос: как зависит данное потребительское требование от того, какое значение мы придадим данной инженерной характеристике. Например, существует требование покупателя автомобиля - "хочу тратить минимум бензина". В первом столбце стоит какая-то инженерная характеристика, скажем, масса автомобиля.

Дальше следует выяснить, можно ли создать автомобиль с такой массой, чтобы она удовлетворила этому потребительскому требованию. Если мы в состоянии найти зависимость между массой автомобиля и расходом топлива, то необходимо ее определить количественно. Возможно, проектировщики придут к выводу, что в данном случае нет такой зависимости. Но найдутся такие клетки, где взаимосвязь обнаружится (рис. 4.1.).

На этом этапе развития нам не нужна слишком точная, детальная информация. Можно довольствоваться такими весьма неопределенными понятиями, как сильная связь, средняя и слабая связь. Для определенности примем, что сильная связь численно равна 9, средняя связь - 3, а слабая связь - 1. Эти цифры пригодятся в дальнейшем для вычисления значений инженерных характеристик.

После установления взаимосвязи между потребительскими требованиями и инженерными характеристиками становится ясно, какие инженерные характеристики наиболее сильно влияют на удовлетворение определенных требований потребителей, какие - слабо, а какие вообще не создают т.н. добавленной ценности продукции для потребителя. На этом этапе необходимо решить, нужно ли оставлять в проектируемом товаре те инженерные характеристики, которые не нужны потребителю. При этом следует обязательно учитывать, что некоторые характеристики, даже если они не нужны потребителю, тем не менее, могут быть необходимы для нормального функционирования продукта, - в данном случае автомобиля. Поэтому не все, что не добавляет ценность потребителю, должно быть убрано.


Инженерные характеристики


Масса автомобиля, кг

Материал корпуса

Скорость разгона до 100 км/ч, сек

Цвет отделки кабины

Высота салона, см


Потребительские требования

Рейтинг






1

Хочу тратить минимум бензина

9

А



2

Чтобы быстро ездил

7

о

А



3

Красивый

8





4

Безопасный

6


о

о


А

5

Удобно сидеть

6





6

Просторно в кабине

4





7







Условные обозначения: Сильная связь - • Средняя связь - ° Слабая связь - А

Рис. 4.1. Взаимосвязь потребительских требований и инженерных характеристик

Пятый этап СФК - построение "крыши". СФК очень часто называется "домом качества" именно из-за "крыши", в которой проставляются взаимосвязи между самими инженерными характеристиками.

Инженерные характеристики могут быть разнонаправленными и, соответственно, противоречить друг другу. Эти характеристики определяют, каким способом, при каких условиях, в каких режимах следует вести процесс производства, чтобы, в конечном счете, получить продукцию, в максимальной степени отвечающую потребительским требованиям.

На шестом этапе СФК определяют весовые показатели характеристики инженерных характеристик с учетом рейтинга важности потребительских требований, а также зависимости между потребительскими требованиями и инженерными характеристиками .

На седьмом этапе СФК производится учет технических ограничений. Не все значения инженеры характеристик достижимы. Поэтому следующей строчке матрицы проставляют экспертные оценки технической реализуемости тех значений инженерных характеристик, которых в наибольшей степени требуют потребители. С учетом этого получаются скорректированные целевые значения инженерных характеристик.

Восьмой этап СФК. Содержание этого этапа - учет влияния конкурентов. Говоря о реальном рынке, мы должны помнить о конкурентах, которых в определенной нише может быть очень много.

В результате выполнения вышеуказанных процедур получают исходные данные для технического задания на проектирование и разработку новой продукции.

1.Планирование продукта. В этой фазе производитель определяет и уточняет требования потребителя. Результат построения первой матрицы - получение точных значений инженерных характеристик, то есть целей производителя.

2.Планирование компонентов продукта. В рамках этой фазы необходимо определить наиболее важные компоненты создаваемого продукта, которые обеспечивают реализацию инженерных характеристик, выявленных в результате построения первой матрицы. При этом определенные значения инженерных характеристик являются "входами", требованиями при построении второй матрицы, аналогично тому, как в первой матрице такими "входами" были потребительские требования.

В результате должен быть выбран тот проект, который в наибольшей степени отвечает ожидаемым ценностям продукта для потребителя. При этом для основных частей и компонентов продукта принятый проект должен предусматривать возможные пути улучшения параметров качества обеспечивающие оперативную корректировку свойств продукта в зависимости от реакции рынка на его появление.

3.Проектирование процесса. На этом этапе свойства (параметры качества) запроектированного продукта трансформируются в конкретные технологические операции, обеспечивающие получение продукта с заданными свойствами. Этот этап предусматривает определение основных параметров каждой операции и выбор методов их контроля

4.Проектирование производства. На этом этапе разрабатываются производственные инструкции и выбираются инструменты контроля качества производства продукта с тем, чтобы каждый оператор имел четкое представление о том, что и как должно контролироваться в ходе выполнения процесса. Инструкции также должны предусматривать возможность совершенствования работы оператора в зависимости от того, сколько замеров должно производиться и как часто они должны делаться, какие измерительные инструменты должны при этом применяться.

В целом метод СФК позволяет не только формализовать процедуру определенных основных характеристик создаваемого продукта с учетом пожеланий потребителя, но и принимать обоснованные решения по управлению качеством процессов создания нового продукта. Таким образом, "развертывая" качество на начальных этапах жизненного цикла продукта в соответствии с нуждами и пожеланиями потребителя, удается избежать (или, по крайней мере, свести к минимуму последующего) корректировку параметров продукта после его появления на рынке, а следовательно, обеспечить высокую ценность и, одновременно, относительно низкую стоимость продукта (за счет сведения к минимуму непроизводственных издержек).

4.2 Анализ последствий и причин отказов

1.      Общие положения

Анализ последствий и причин отказов (Failure Mode & Effect Analysis - далее FMEA-анализ) представляет собой технологию анализа возможности возникновения дефектов и их влияния на потребителя. FMEA-анализ проводится для разрабатываемых продуктов и процессов с целью снижения риска потребителя от потенциальных дефектов.

FMEA-анализ не предусматривает изучение экономических показателей, в том числе затрат, связанных с низким, качеством; его задача - выявить именно те дефекты, которые обуславливают наибольший риск для потребителя, определить их потенциальные причины и выработать корректирующие воздействия до того, как эти дефекты проявятся и, таким образом, предупредить затраты на их исправление.

Объектами FMEA-анализа процессов могут быть:

· конструкция изделия (FMEA-анализ конструкции);

· процесс производства продукции (FMEA-анализ процесса производства);

· бизнес-процессы (документооборот, финансовые процессы и т. д.) (FMEA-анализ бизнес-процессов);

· процесс эксплуатации изделия (FMEA-анализ процесса эксплуатации).

FMEA-анализ конструкции может проводиться как для разрабатываемой конструкции, так и для существующей. В рабочую группу по проведению анализа обычно входят представители отделов разработки, планирования производства, сбыта, обеспечения качества, представители опытного производства. Целью анализа является выявление потенциальных дефектов изделия, вызывающих наибольший риск потребителя и внесение изменений в конструкцию изделия, которые бы позволили снизить такой риск.

FMEA-анализ процесса производства обычно осуществляется ответственными службами планирования производства, обеспечения качества или производства с участием соответствующих специализированных отделов изготовителя и, при необходимости, потребителя. FMEA-анализ процесса производства начинается на стадии технической подготовки производства и заканчивается до начала основных - монтажно-сборочных и т. п. работ. Целью FMEA-анализа процесса производства является обеспечение выполнения всех требований по качеству процесса производства и сборки путем внесения изменений в план процесса для технологических процессов с повышенным риском.

FMEA-анализ бизнес-процессов обычно производится в подразделениях, выполняющих данный бизнес-процесс. В проведении анализа, кроме представителей этих подразделений, обычно принимают участие представители службы обеспечения качества, представители подразделений, являющихся внутренними потребителями результатов бизнес-процесса и подразделений, участвующих в выполнении этапов бизнес-процесса. Целью этого вида анализа является обеспечение качества выполнения запланированного бизнес-процесса. Выявленные в ходе анализа потенциальные причины дефектов и несоответствий позволят определить причину неустойчивости системы. Выработанные корректирующие мероприятия должны обязательно предусматривать внедрение статистических методов, в первую очередь для тех операций, где выявлен повышенный риск.

FMEA-анализ процесса эксплуатации обычно проводится в том же составе, что и FMEA - анализ конструкции. Целью проведения этого анализа служит формирование требований к конструкции изделия, обеспечивающих безопасность и удовлетворенность потребителя, т.е. подготовка исходных данных как для процесса разработки конструкции, так и для последующего FMEA - анализа конструкции.

2.      Этапы проведения FMEA -анализа

1.      Построение моделей объекта анализа.

Различают компонентную, структурную, функциональную и потоковую модели анализа     Если FMEA-анализ проводится совместно с функционально-стоимостным анализом, используются ранее построенные модели.

2.      Исследование моделей. В ходе исследования моделей определяются:

а)      потенциальные дефекты для каждого из элементов компонентной модели объекта;

б)      потенциальные причины дефектов. Для их выявления могут быть использованы диаграммы Ишикавы, которые строятся для каждой из функций объекта, связанных с появлением дефектов.

Такие дефекты обычно связаны или с отказом функционального элемента (его разрушением, поломкой и т. д.), неправильным выполнением элементом его полезных функций (отказом по точности, производительности и т. д.), или с вредными функциями элемента.

В качестве первого шага рекомендуется перепроверка предыдущего FMEA-анализа или анализ проблем, возникших за время гарантийного срока. Необходимо также рассматривать потенциальные дефекты, которые могут возникнуть при транспортировке, хранении, а также при изменении внешних условий (влажность, давление, температура);

в)      потенциальные последствия дефектов для потребителя. Поскольку каждый из рассматриваемых дефектов может вызвать цепочку отказов в объекте, при анализе последствий используются структурная и потоковая модели объекта;

г)      возможности контроля появления дефектов. Определяется, может ли дефект быть выявленным до наступления последствий в результате предусмотренных в объекте мер по контролю, диагностике и др.

3.      Экспертный анализ моделей.

На основании мнений экспертов определяются следующие параметры:

а) параметр тяжести последствий для потребителя В (проставляется обычно по 10-балльной шкале; наивысший балл проставляется для случаев, когда последствия дефекта влекут юридическую ответственность);

б)      параметр частоты возникновения дефекта А (проставляется по 10 балльной шкале; наивысший балл проставляется, когда оценка частоты возникновения составляет более 25%);

в)      параметр вероятности необнаружения дефекта С (является 10-балльной экспертной оценкой; наивысший балл проставляется для "скрытых" дефектов, которые не могут быть выявлены до наступления последствий);

г)       параметр риска потребителя D (показывает, в каких отношениях друг к другу в данный момент времени находятся причины возникновения дефектов; дефекты с наибольшим коэффициентом приоритета риска подлежат устранению в первую очередь).

Результаты анализа заносятся в специальную таблицу. По выявленным "узким местам" разрабатываются корректирующие мероприятия.

По результатам анализа для разработанных корректирующих мероприятий составляется план их внедрения. Для этого определяется:

· в какой временной последовательности следует внедрять эти мероприятия и сколько времени потребуется на проведение каждого мероприятия, через сколько времени после начала его проведения проявится запланированный эффект;

· кто будет отвечать за проведение каждого из этих мероприятий и кто будет конкретным его исполнителем;

· где (в каком структурном подразделении) мероприятия должны быть проведены;

· из какого источника будет производиться финансирование проведения мероприятия.

Результаты анализа заносят в специальную таблицу. Выявленные "узкие места" (компоненты объекта), для которых параметр риска потребителя D будет больше 100... 120, - подвергаются изменениям, т. е. разрабатываются корректирующие мероприятия.

Рекомендуется рассматривать направления корректирующих в следующей последовательности:

1.Исключить причину возникновения дефекта. При помощи изменения конструкции или процесса уменьшить возможность возникновения дефекта (уменьшается параметр В).

2. Воспрепятствовать возникновению дефекта. При помощи статистического регулирования помешать возникновению дефекта (уменьшается параметр С).

3.Снизить влияние дефекта. Снизить влияние проявления дефекта на клиента или последующий процесс с учетом изменения сроков и затрат (уменьшается параметр А).

4.Облегчить и повысить достоверность выявления дефекта. Облегчить выявление дефекта и последующий ремонт (уменьшается параметр А).

По степени влияния на повышение качества процесса или изделия корректировочные мероприятия располагаются следующим образом:

· изменение структуры объекта (конструкции, схемы и т.д.);

· изменение процесса функционирования объекта (последовательности операций и переходов, их содержания и др.);

· улучшение системы качества.

В настоящее время FMEA-анализ широко применяется в промышленности Японии, США, активно внедряется в странах ЕС. Его использование позволяет заметно улучшить качество при внедрении разработок в производство.

.3 Статистические методы

1.      Основные положения

Статистические методы управления качеством, начало применения, которым положил Шухарт (см. гл. 2), значительно способствуют улучшению качества выпускаемой продукции. Статистические методы принято делить на 3 категории по степени сложности из реализации:

1.      Элементарные статистические методы включают 7 простых методов:

· контрольный лист;

· причинно-следственная диаграмма;

· гистограмма;

· диаграмма разброса;

· анализ Парето;

· график разброса;

· стратификация;

· контрольная карта.

2.      Промежуточные статистические методы включают:

· теорию выборочных исследований;

· статистический выборочный контроль;

· различные методы проведения статистических оценок и определения критериев;

· метод применения сенсорных проверок;

· метод планирования экспериментов.

3.      Методы, рассчитанные на инженеров и специалистов в области управления качеством, включают:

· передовые методы расчета экспериментов;

· многофакторный анализ;

· различные методы исследования операций.

2.      Семь простых методов статистического контроля качества

Контрольные листки - это инструменты первичной регистрации данных. Контрольные листки могут применяться как при контроле по качественным, так и при контроле по количественным признакам

Причинно-следственная диаграмма (диаграмма Ишикавы) Диаграмма описывает такие компоненты качества, как "человек", "машина", "материал", "метод", "контроль", "среда". Применительно к решаемой задаче, для компоненты "человек" необходимо определить факторы, связанные с удобством и безопасностью выполнения операций; для компоненты "машина" - взаимоотношения элементов конструкции анализируемого изделия между собой, связанные с выполнением данной операции; для компоненты "метод" - факторы, связанные с производительностью и точностью выполняемой операции; для компоненты "материал" - факторы, связанные с отсутствием изменений свойств материалов изделия в процессе выполнения данной операции; для компоненты "контроль" - факторы, связанные с достоверным распознаванием ошибки процесса выполнения операции; для компоненты "среда" - факторы, связанные с воздействием среды на изделие и изделия на среду

Диаграммы разброса Диаграммы позволяют выявить корреляцию между двумя различными факторами.

Анализ Парето получил свое название по имени итальянского экономиста Вилфредо Парето, который показал, что большая часть капитала (80%) находится в руках незначительного количества людей (20%). Парето разработал логарифмические математические модели, описывающие это неоднородное распределение, а математик Лоренц представил графические иллюстрации.

Правило Парето - "универсальный" принцип, который применим во множестве ситуаций, и без сомнения - в решении проблем качества. Джозеф Джуран отметил "универсальное" применение принципа Парето к любой группе причин, вызывающих то или иное последствие, причем большая часть последствий вызвана малым количеством причин. Анализ Парето ранжирует отдельные области по значимости или важности и призывает выявить и в первую очередь устранить те причины, которые вызывают наибольшее количество проблем (несоответствий).

Стратификация - это процесс сортировки данных согласно некоторым критериям или переменным; результаты стратификации часто изображают в виде диаграмм и графиков. Итак, можно классифицировать массив данных в различные группы (или категории) с общими характеристиками, называемыми переменными стратификации. Важно установить, какие переменные будут использоваться для сортировки.

Стратификация является методической основой для других инструментов, таких как анализ Парето или диаграммы рассеивания. Такое сочетание инструментов делает их более мощными.

Контрольные карты - специальный вид диаграммы, впервые предложенный У. Шухартом Они отображают характер изменения показателя качества во времени. Контрольные карты - самый важный метод статистического контроля качества. Не будет преувеличением сказать, что управление качеством началось именно с контрольных карт Шухарта.

В основе метода построения контрольных карт лежит представление о вариабельности рассматриваемого процесса. Любой процесс, даже великолепно отлаженный, подвержен вариабельности. Вариабельность может иметь разную природу. Если вариабельность проявляется только вследствие присущего системе разброса, то можно ожидать, что результаты будут относительно стабильны и предсказуемы. В таких случаях отклонения каких-то показателей от эталонов можно рассматривать как случайные. В процесс не стоит вмешиваться.

Другое дело, когда на естественный разброс накладывается особая вариабельность, обусловленная деятельностью людей, участвующих в процессе. Здесь вмешательство в процесс не только уместно, но и желательно. Более того, такое вмешательство приведет к требуемым результатам наиболее дешевым и быстрым способом. Такой механизм, основанный на диагностическом анализе с помощью контрольных карт Шухарта, существенно снижает риски принятия неэффективных управленческих решений.

3. АВС-метод

ABC-метод хорошо изучен применительно к задачам анализа запасов товарно-материальных ценностей (далее ТМЦ), однако полезен и при анализе мероприятий по повышению уровня качества продукции. В соответствии с ABC-методом запасы ТМЦ делятся на 3 по степени важности отдельных видов в зависимости от их удельной стоимости:

· категория А включает ограниченное количество наиболее ценных для производства СМР, обеспечивающего его непрерывность, видов ресурсов, которые требуют постоянного и скрупулезного учета и контроля (возможно даже ежедневного). Для этих ресурсов обязателен расчет оптимального размера заказа и поставок;

· категория В составлена из тех видов ТМЦ, которые в меньшей степени важны для предприятия и которые оцениваются и проверяются при ежемесячной инвентаризации;

· категория С включает в себя широкий ассортимент оставшихся малоценных или быстро заменяемых (закупаемых) ТМЦ, закупаемых обычно в большом количестве.

В качестве систем управления запасами используют(по степени увеличения сложности):

1. систему удовлетворения годового спроса;

2.      "две корзины";

.        систему цикличного заказа;

.        систему с фиксированным уровнем заказа;

.        адаптационную систему.

На практике компании обычно пользуются некоторым комбинированным методом, представляющим собой определенную комбинацию указанных систем.

В соответствии с ABC-методом все предметы хранения ранжируются в стоимостном выражении, после чего строится кумулятивная кривая плотности распределения. При этом оказывается, что в большинстве случаев 80% стоимости использованного запаса приходится только на 20% предметов хранения, для управления которыми можно применить адаптационную систему - возможно, с постоянным контролем. Следующие 30% предметов могут составлять 15% общей стоимости; для управления ими подойдет система цикличного заказа. Для оставшихся 50% предметов достаточно будет системы удовлетворения годового спроса или метода "двух корзин". Эти три группы методов часто обозначают как А, В и С, отсюда и название метода.

РАЗДЕЛ 5. МЕТРОЛОГИЯ В УПРАВЛЕНИИ КАЧЕСТВОМ В РОССИИ И ЗА РУБЕЖОМ


5.1 Организационно-правовые основы метрологии

В Советском Союзе, до перехода страны к рыночным отношениям, обеспечение единства измерений осуществлялось строго централизованным управлением: государственный надзор <http://www.humanities.edu.ru/db/msg/2232> распространялся на все средства измерений. С одной стороны такой подход обеспечивал достаточно высокий уровень поддержания единства измерений в стране, с другой - требовал больших затрат.

С началом переходного периода, возникновением рыночных отношений и появлением негосударственных форм собственности возникли противоречия между требованиями к выполнению метрологических работ, бытовавшими при командной централизованной экономике, и требованиями, вытекающими из законов рынка, рыночной экономики.

В этой связи в апреле 1993 года Верховный Совет Российской Федерации принял закон "Об обеспечении единства измерений", появление которого было продиктовано необходимостью ревизии правовых, организационных и экономических основ метрологической деятельности, явилось реакцией на изменение характера производственных отношений при переходе к рыночной экономике.

Закон очень широко трактовал основную цель - защита прав и законных интересов граждан, установленного правопорядка и экономики РФ от отрицательных последствий недостоверных результатов измерений. Подобный подход, предусматривающий защиту экономики, отсутствует в законодательствах многих зарубежных государств.

В то же время опыт передовых, индустриально развитых стран наглядно показывает, что обеспечение единства измерений всегда было и остается сферой государственного управления, одной из важнейших государственных функций. Например, в Великобритании эту функцию выполняет Государственный секретарь по торговле и промышленности, он же несет ответственность за деятельность Национальной физической лаборатории (НФЛ), в Германии этими вопросами занимается Министерство экономики и одно из его подразделений - Физико-технический институт; в США - Министерство торговли и промышленности, у которого в подчинении находится Национальный институт эталонов и технологий.

Таким образом, в современных условиях, когда сохранен значительный удельный вес государственного сектора экономики России, регулирование государственными органами вопросов метрологии в производственной сфере остается важным и актуальным .

Государственное управление деятельностью по обеспечению единства измерений в Российской Федерации находится в ведении Комитета Российской Федерации по стандартизации, метрологии и сертификации (Госстандарт России), в круг компетенции которого входят следующие основные функции:

·              принятие правил создания, утверждения и хранения эталонов единиц физических величин;

·              обеспечение руководства деятельностью Государственной метрологической службы и иных государственных служб обеспечения единства измерений;

·              осуществление государственного метрологического контроля;

·              принятие и утверждение нормативных документов по обеспечению единства измерений;

·              принятие и утверждение государственных эталонов, находящихся в ведении Госстандарта России;

·              сертификация технических устройств как средств измерений;

·              организация и координация деятельности государственных метрологических центров, Государственной метрологической службы и ее органов, Государственной службы времени и частоты, Государственной службы стандартных образцов, Государственной службы стандартных справочных данных;

·              аккредитация государственных центров испытаний средств измерений;

·              аккредитация метрологических служб юридических лиц на осуществление права проверки средств измерений;

·              утверждение типа средств измерений;

·              ведение государственного реестра и т.д.

Закон Российской Федерации "Об обеспечении единства измерений" устанавливает правовые основы обеспечения единства измерений в Федерации, т.е. координирует, регулирует отношения государственных органов управления с юридическими и физическими лицами по вопросам выпуска, проверки, ремонта, продажи и импорта средств измерений.

Следует отметить, что сама организация деятельности по обеспечению единства измерений была изменена: Закон разделил национальную систему измерений на сферу государственного управления и рыночного регулирования. Так, созданная для выполнения работ по обеспечению единства измерений и для осуществления метрологического контроля метрологическая служба, была разделена на государственную метрологическую службу и метрологические службы юридических лиц.

В состав государственной метрологической службы вошли научно-метрологические институты, отвечающие за создание, хранение и применение государственных эталонов, подразделения (бывшие территориальные органы Госстандарта), осуществляющие государственный контроль и надзор на подведомственной территории.

Для обеспечения реализации положений нового Закона "Об обеспечении единства измерений" был разработан и принят целый ряд нормативных актов и документов.

Важно подчеркнуть, что до принятия этого Закона нормативная документация системы обеспечения единства измерений основывалась на двух Постановлениях Совета Министров СССР: от 4.04.1987 года 273 "Об обеспечении единства измерений в стране" и от 28.09.1983 года 936. Последнее постановление в свое время утвердило и "Положение о государственном надзоре за стандартами и средствами измерений".

Сравнительный анализ нового и старого законодательств указывает на то, что основные различия между ними относятся к вопросам установления границ государственного метрологического контроля и надзора .

Старая система обеспечения единства измерений располагала для всех средств измерений, независимо от их назначения, следующим перечнем видов государственного контроля:

. осуществление государственных приемочных испытаний средств измерений, предназначенных для организации серийного производства или ввоза по импорту большими партиями;

. проведение метрологической аттестации единичных экземпляров средств измерений;

. осуществление первичной и периодической проверки средств измерений;

. ведение реестра предприятий и организаций на право изготовления, поверки и ремонта средств измерений;

. осуществление госнадзора за состоянием и применением средств измерений, соблюдением метрологических правил и норм, деятельностью ведомственных метрологических служб.

По новому Закону "Об обеспечении единства измерений" государственное регулирование распространяется только на следующие виды метрологического контроля:

·              утверждение и регистрация типа средств измерений;

·              поверка средств измерений (включая эталоны);

·              организация лицензирования деятельности юридических и физических лиц на право изготовления, ремонта, продажи и проката средств измерений.

При этом весь перечень средств измерений делится на две группы .

В первую входят средства измерений, подлежащие государственным испытаниям и утверждению и применяемые в сферах государственного метрологического контроля и надзора.

Во вторую - средства измерений, за которыми не производится государственный надзор. Эта группа средств измерения находится в ведении юридических и физических лиц и применяется ими в установленном порядке. Владельцы этой группы средств измерений сами устанавливают способ осуществления контроля и поддержания средств измерений в рабочем состоянии.

В соответствии с Законом обязательному лицензированию должна подвергаться деятельность по изготовлению, ремонту, продаже и прокату средств измерений, относящаяся к компетенции органов государственного метрологического надзора.

Лицензирование <http://www.humanities.edu.ru/db/msg/2232> представляет собой один из видов государственного метрологического контроля, к которому также относятся утверждение типа средств измерений и поверка средств измерений <http://www.humanities.edu.ru/db/msg/2232> . Порядок лицензирования утвержден правилами по метрологии 50.2.005-94 "ГСИ. Порядок лицензирования деятельности по изготовлению, ремонту, продаже и прокату средств измерений".

Таким образом, в данном случае, лицензия <http://www.humanities.edu.ru/db/msg/2232> - это разрешение на осуществление юридическим или физическим лицом деятельности по изготовлению, ремонту, продаже или прокату средств измерения, выдаваемое органом Государственной метрологической службой на закрепленной за ним территории.

Действие лицензии распространяется на всю территорию Российской Федерации.

Для получения лицензии на изготовление средства измерений юридические и физические лица должны располагать сертификатом об утверждении типа средства измерений.

В свою очередь, система испытаний и утверждение типа средств измерений предусматривает:

·    проведение испытания средств измерений с целью утверждения типа;

·              принятие решения о выдаче сертификата об утверждении типа;

·              проведение испытаний средств измерений на соответствие утвержденному типу;

·              утверждение типа средств измерений (результатов испытаний типа, проведенных соответствующими зарубежными организациями);

·              информационное обеспечение органов государственного управления, контроля и надзора, а также потребителей измерительной техники.

Новая программа проведения испытания <http://www.humanities.edu.ru/db/msg/2232> средств измерений (для утверждения типа), помимо определения объема и методики испытаний, включает положения об их продолжительности, номенклатуре и наборе документов, необходимых для оформления .

Утверждение типа средств измерений направлено на обеспечение и поддержание единства измерений в Российской Федерации, разработку и выпуск средств измерения, находящихся в полном соответствии с требованиями нормативных документов.

В новые правила включены только испытания на соответствие утвержденному типу (без обязательных периодических контрольных испытаний). Эти испытания проводятся в случаях, если:

·  поступила информация от потребителей о несоответствии (ухудшении) качества выпускаемых или импортируемых средств измерений;

·              вносятся изменения в конструкцию или технологию изготовления средств измерений, которые могут повлечь изменения их нормативных метрологических характеристик;

·              истек срок действия сертификата об утверждении типа средства измерения;

·              вынесено соответствующее решение Госстандарта России при подготовке к запуску в производство средства измерений.

Правилами ПР 50.2.010-94 определены требования к государственным центрам испытаний средств измерений, а также порядок их аккредитации в Системе испытаний и утверждения типа средств измерений. Аккредитация государственных центров испытаний средств измерений в Системе испытаний предусматривает признание их официального статуса.

Регистрация средств измерений, типы которых утверждены Госстандартом России, осуществляется в Государственном реестре и направлена:

·    на ведение учета средств измерений утвержденных типов и создания централизованных фондов информационных данных о средствах измерений;

·    организацию учета сертификатов об утверждении типа средств измерений и аттестатов аккредитованных государственных центров испытаний средств измерений;

·    осуществление регистрации аккредитованных государственных центров испытаний средств измерений;

·              организацию учета типовых программ испытаний средств измерений;

·              информационное обеспечение юридических и физических лиц.

Всю нормативную базу Системы испытаний и утверждения типа средств измерений, которая согласована с документами Международной организации законодательной метрологии (МОЗМ) составляют следующие документы :

·    "ГСИ. Порядок проведения испытаний и утверждения типа средств измерений" ПР 50.2.009-94;

·    "ГСИ. Требования к государственным центрам испытаний средств измерений и порядок их аккредитации" ПР 50.2.010-94;

·              "ГСИ. Порядок ведения Государственного реестра средств измерений" ПР 50.2.011-94.

Закон Российской Федерации "Об обеспечении единства измерений" предусматривает осуществление поверки средств измерений (подлежащих государственному метрологическому контролю и надзору) в следующих случаях :

·    при выпуске из производства или после ремонта;

·              при ввозе по импорту;

·              в процессе эксплуатации.

При этом осуществление купли-продажи или выдачи на прокат разрешается только средств измерений, прошедших поверку.

Поверка средств измерений - это совокупность действий органов Государственной метрологической службы или иных аккредитованных организаций, направленных на определение и подтверждение соответствия средств измерений принятым техническим требованиям и образцам.

Средства измерений подлежат:

·    первичной;

·              периодической;

·              внеочередной;

·              инспекционной;

·              экспертной поверке.

Первичная поверка обязательна для всех средств измерений утвержденных типов при выпуске из производства, окончания ремонта и при ввозе по импорту. Однако, если имеется соответствующее соглашение, заключенное Госстандартом России с зарубежными странами о признании результатов поверки, проведенной в них, в этом случае первичная поверка не осуществляется.

Периодическая поверка проходит через определенные интервалы. Ее объект <http://www.humanities.edu.ru/db/msg/2232> - средства измерений, находящиеся в эксплуатации или на хранении. Первый межпроверочный интервал фиксируется при утверждении типа. Результаты периодической поверки действительны в течение межповерочного срока, продолжительность которых корректируется органами государственной метрологической службы по согласованию с метрологической службой юридического лица. Владельцы средств измерений сами составляют перечни средств измерений, подлежащих поверке.

Государственный метрологический надзор направлен на достижение основной цели Закона - защиту интересов государства и его граждан от отрицательных последствий, вызванных неправильными результатами измерений.

При этом следует учитывать, что степень действенности закона в любой сфере определяется эффективностью надзора за его осуществлением.

В нашей стране выполнение функций государственного метрологического надзора возложено на органы Государственной метрологической службы, осуществляющей следующие виды надзора :

. Надзор за состоянием и применением средств измерений, методик выполнения измерений, соблюдением метрологических правил и норм.

. Надзор за количеством товаров, отчуждаемых при совершении торговых операций.

. Надзор за количеством фасованных товаров.

Первый вид надзора является наиболее традиционным. Он не предусматривает существенной перестройки в работе как государственных инспекторов, осуществляющих проверки, так и персонала организаций и предприятий. В настоящее время основные изменения сводятся к необходимости каждым предприятием составить перечень средств измерений, относящихся к сфере распространения государственного метрологического контроля, и предоставить его в установленные сроки для организации поверки. При этом методики выполнения измерений, использующие средства измерений, вошедшие в список, также являются объектами государственного метрологического надзора за аттестованными методиками выполнения измерений. ПР 50.2.002-94 "ГСИ. Порядок осуществления государственного метрологического надзора за выпуском, состоянием и применением средств измерений, аттестованными методиками выполнения измерений, эталонами и соблюдением метрологических правил и норм".

Второй вид надзора относит к нарушениям метрологических правил и норм не только использование средств измерений и вспомогательного оборудования, не соответствующих утвержденному типу, не прошедших поверку, с неправильными показаниями, нарушенным клеймом, но и такие проявления "субъективной погрешности", как обвес, обмер и обсчет. ПР 50.2.003-94 "ГСИ. Порядок осуществления государственного метрологического надзора за количеством товаров, отчуждаемых при совершении торговых операций".

Третий - абсолютно новый для России, однако весьма широко применяемый за рубежом, вид надзора . Для успешного осуществления этого вида государственного метрологического надзора необходимо более детально разработать методики по надзору за конкретными группами фасованных товаров в упаковках, а также нормативную документацию на фасованные товары. Фасованные товары в упаковках - товары в упаковках, количество которых, определенное в единицах массы, объема, длины, площади или иных величин, указано на упаковке и не может быть изменено без ее вскрытия или деформации. ПР 50.2.004-94 "ГСИ. Порядок осуществления государственного метрологического надзора за количеством фасованных товаров в упаковках любого вида при их расфасовке и продаже".

Закон Российской Федерации "Об обеспечении единства измерений" заменил положения о ведомственной поверке и метрологической аттестации средств измерений на новый вид контроля - калибровку средств измерений.

Под калибровкой средств измерений понимается совокупность мероприятий и операций, проводимых с целью определения и подтверждения действительных значений метрологических характеристик, способности к применению средства измерений, на которое не распространяется государственный контроль и надзор.

Таким образом, калибровке подлежат только те средства измерений, которые не должны подвергаться поверке, являющейся государственной формой метрологического контроля.

Право проводить калибровку имеет любая метрологическая служба или физическое лицо, которые являются компетентными в этой области и располагают условиями для проведения данного вида работ.

Следует подчеркнуть, что калибровка <http://www.humanities.edu.ru/db/msg/2232> представляет собой добровольную функцию, которая выполняется метрологической службой предприятия или любой другой приглашенной организацией, осуществляющей этот вид метрологических работ.

При этом необходимым условием добровольного проведения операций по калибровке является строгое соблюдение прослеживаемости - обязательного соответствия рабочего средства измерений требованиям государственного эталона.

Согласно Закону, Госстандарт России - Центральный орган Российской системы калибровки. Он осуществляет координацию всей деятельности следующих субъектов Системы:

·    метрологических служб, аккредитованных на право калибровки средств измерений;

·              государственных научных метрологических центров и органов Государственной метрологической службы, которые имеют право аккредитовывать метрологические службы юридических лиц на право калибровки средств измерений;

·              научно-исследовательские институты метрологической службы, в ведении которых находится организационное, методическое и информационное обеспечение деятельности данной системы.

Любая метрологическая служба, пожелавшая вступить в Российскую систему калибровки, должна получить соответствующую аккредитацию.

Членство в системе существенно повышает степень доверия потребителя к показателям качества продукции, контроль которых осуществляется с помощью измерений. Это в свою очередь оказывает влияние на повышение конкурентоспособности продукции . Одним из основных стимулов также является участие в важном процессе сертификации продукции в соответствии с требованиями международных стандартов ИСО/МЭК серии 9000 и общеевропейским стандартом EN 45000, предусматривающих обязательную аккредитацию испытательных и калибровочных лабораторий, представляющих собой необходимое условие регистрации достигаемого уровня качества.

Обеспечение достоверности результатов измерений аккредитованными метрологическими службами системы осуществляется путем передачи размеров единиц государственных эталонов Государственной метрологической службы эталонам метрологических служб системы и далее рабочим средствам измерений (при помощи рабочих эталонов).

Таким образом, Российская система калибровки базируется на следующих принципах :

·              необходимый уровень технической компетенции;

·              передача размеров единиц от государственных эталонов эталонам аккредитованных служб и рабочим средствам измерений;

·              самоокупаемость в рыночных условиях.

Сертификация <http://www.humanities.edu.ru/db/msg/2232> средств измерений направлена на сохранение единства измерений в сферах, не подлежащих государственному метрологическому контролю и надзору.

Задачи сохранения единства измерений в этих сферах обусловили необходимость создания добровольной Системы сертификации средств измерений на соответствие метрологическим нормам и правилам. При этом методологической основой ее построения стали нормативные документы Международной организации по стандартизации (ИСО), Международной электротехнической комиссии (МЭК), Международной конференции по аккредитации испытательных лабораторий (ИЛАК), Системы сертификации ГОСТ Р и Системы сертификатов Международной организации законодательной метрологии (МОЗМ).

Система сертификации <http://www.humanities.edu.ru/db/msg/2232> средств измерений включает :

·  обеспечение добровольной сертификации средств измерений на соответствие метрологическим нормам и правилам, включая любые виды измерений;

·              разработку и активное использование нормативной документации, фиксирующей и устанавливающей метрологические правила и нормы на средства измерений;

·              разработку и активное использование типовых программ испытаний для обеспечения сертификации средств измерений;

·  аттестацию и апробирование методик калибровки средств измерений;

·              аттестацию и апробирование методик выполнения измерений с помощью сертифицированных средств измерений;

·              обеспечение создания и успешного функционирования разветвленной сети органов по сертификации средств измерений и испытательных лабораторий (центров) конкретных групп средств измерений;

·              обеспечение и развитие сотрудничества по взаимному признанию сертификатов соответствия, знаков соответствия, а также результатов сертификации средств измерений с национальными метрологическими службами других стран и т.д.

Информация о деятельности системы в целом и ее подразделений, установленных правилах, участниках, а также результатах аккредитации и сертификации может предоставляться изготовителям, общественным организациям, органам по сертификации, испытательным лабораториям и заинтересованным физическим лицам. В тоже время Система сертификации средств измерений предусматривает сохранение конфиденциальности информации, составляющей коммерческую тайну.

Организационная структура Системы сертификации средств измерений выглядит следующим образом:

·    Управление метрологии Госстандарта России - центральный орган Системы;

·              Координационный Совет;

·              Апелляционный комитет;

·              Всероссийский научно-исследовательский институт метрологической службы - научно-методический центр Системы;

·              органы по сертификации;

·              испытательные лаборатории (центры) средств измерений.

.2 Система обеспечения единства измерений

Проблема обеспечения высокого качества продукции тесным образом связана с проблемой качества измерений. Между ними явно прослеживается непосредственная связь: там, где качество измерений <http://www.humanities.edu.ru/db/msg/2232> не соответствует требованиям технологического процесса, не возможно достичь высокого уровня качества продукции. Поэтому обеспечение качества <http://www.humanities.edu.ru/db/msg/2232> в значительной степени зависит от успешного решения вопросов, связанных с точностью измерений параметров качества материалов и комплектующих изделий и поддержания заданных технологических режимов. Иными словами, технический контроль качества осуществляется путем замеров параметров технологических процессов, результаты измерений которых необходимы для регулирования процессом.

Следовательно, качество измерений представляет собой совокупность свойств состояния измерений, обеспечивающих результаты измерений с требуемыми точностными характеристиками, получаемые в необходимом виде за определенный отрезок времени.

Перечислим основные свойства состояния измерений:

·    точность результатов измерений;

·              воспроизводимость результатов измерений;

·              сходимость результатов измерений;

·              быстрота получения результатов;

·              единство измерений.

При этом под воспроизводимостью результатов измерений понимается близость результатов измерений одной и той же величины, полученные в разных местах, разными методами, разными средствами, разными операторами, в разное время, однако в одних и тех же условиях измерений (температуре, давлении, влажности и т.д.).

Сходимость результатов измерений <http://www.humanities.edu.ru/db/msg/2232> - это близость результатов измерений одной и той же величины, проведенных повторно с применением одних и тех же средств, одним и тем же методом в одинаковых условиях и с той же тщательностью.

Ведущую роль в решении задачи обеспечения качества измерений играет метрология.

Метрология - это наука об измерениях, методах и средствах обеспечения их единства и требуемой точности измерений. Достижение единства и точности обеспечивается применением государственных эталонов, "привязки" к ним производимых измерений и разработкой и реализацией соответствующего набора метрологических правил и норм, применяемых как с самим измерениям, так и средствам измерений.

Осуществление измерений только с применением даже самых совершенных и правильно подобранных средств измерений не приведет к достижению необходимых (единых) результатов.

Единство измерений <http://www.humanities.edu.ru/db/msg/2232> - состояние, процесс измерений, результаты которых выражаются в общепринятых, узаконенных единицах, характеризующихся размерами равными в установленных пределах размерам единиц, воспроизводимых эталонам первичного образца . При этом отклонения результатов измерений прогнозируются с заданной вероятностью, не выходя за установленные пределы.

Именно "привязка" измерений к государственным эталонам является наиболее важным условием обеспечения единства измерений. Она, по стандарту ИСО серии 9000, - необходима и обязательна в обеспечении качества продукции.

Таким образом, можно перечислить основные принципы соблюдения единства измерений:

·    размер единиц государственных средств измерений равен размерам единиц, воспроизводимых первичными эталонами;

·              результаты измерений выражаются в общепринятых, узаконенных единицах;

·              отклонения результатов измерений известны и прогнозируемы;

·              отклонения измерений находятся в рамках установленных пределов.

С целью обеспечения единства измерений в России принята Международная система единиц (СИ). На ее основе разработан и введен в действие единый ГОСТ 8.417-81 "ГСИ. Единицы физических величин".

Международная система единиц включает в себя семь основных единиц (метр, килограмм, секунда, ампер, кельвин, моль, кандела) и две дополнительные (радиан и стерадиан) и ряда производных.

Показания всех применяемых средств измерений должны выражаться только в унифицированных единицах, установленных ГОСТ 8.417-81. Разрешается применение лишь ограниченного числа внесистемных единиц.

Система воспроизведения единиц и передачи их размера рабочим средствам измерений является одной из функциональных частей системы обеспечения единства измерений. При этом единица физической величины (метр, килограмм, секунда и т.д.) воспроизводится государственным эталоном, который представляет собой первичный, исходный эталон, т.е. обладает наивысшими метрологическими свойствами из имеющихся эталонов.

Эталон единицы физической величины - это средство измерений (комплекс средств измерений) для воспроизведения и хранения единицы величины (ее производных) с целью передачи ее размера другим средствам измерений величины.

Государственный эталон <http://www.humanities.edu.ru/db/msg/2232> - это эталон единицы величины, принятый в качестве исходного на территории страны. Государственные эталоны единиц величин утверждаются и находятся в ведении Госстандарта Российской Федерации и являются федеральной собственностью.

Первичный эталон <http://www.humanities.edu.ru/db/msg/2232> - государственный эталон, обеспечивающий воспроизведение единицы с наивысшей в стране точностью.

Вторичные эталоны <http://www.humanities.edu.ru/db/msg/2232> - эталоны, которые создают и утверждают в случаях, когда необходима организация поверочных работ, а также в случаях предохранения первичных эталонов от излишнего износа.

Эталон сравнения - эталон, предназначенный для сличения эталонов, сравнить которые непосредственно друг с другом нельзя по каким-либо причинам.

Рабочие эталоны <http://www.humanities.edu.ru/db/msg/2232> - эталоны, служащие для передачи размера единицы рабочим средствам измерений. По уровню точности они могут подразделяться на рабочие эталоны 1 разряда и рабочие эталоны 11 разряда. Следует уточнить, что возможно изготовление и использование рабочих эталонов высшей степени точности (0 - разряда).

Для технических измерений в производстве и лабораториях применяются рабочие средства измерений (РСИ) . Они не предназначены для передачи размера единиц.

Более 100 государственных эталонов, 70 установок высшей точности и 250 вторичных эталонов образуют в настоящее время эталонную базу Госстандарта Российской Федерации.

5.3 Международные метрологические организации

На современном этапе ускорение процесса развития более тесных международных научно-технических и торгово-экономических связей становится все более очевидным. При этом роль источника, подтверждающего достоверность информации о параметрах и характеристиках продукции, а также научных исследований, проведенных в странах мира и представляющих взаимный интерес, по праву остается за достоверностью и сопоставимостью измерений.

Важным элементом в борьбе за устранение технических барьеров в международной торговле и промышленном сотрудничестве является обеспечение единства измерений и развитие международного согласования требований к методам измерений и техническим характеристикам измерительных приборов. Все перечисленные доводы способствуют вступлению различных стран в международные метрологические организации.

В 1955 году была создана Международная Организация Законодательной Метрологии (МОЗМ ), объединяющая сегодня более 80 стран мира. Среди основных целей и задач этой межправительственной организации - установление взаимного доверия к результатам измерений технических характеристик сырья, полуфабрикатов и промышленной продукции, получаемых в каждой отдельной стране-участнице МОЗМ.

В компетенцию высшего органа МОЗМ - Международной конференции законодательной метрологии - входит решение вопросов по финансированию общих направлений деятельности и утверждение Международных рекомендаций, принятых Международным Комитетом Законодательной метрологии (МКЗМ).

Международный Комитет Законодательной метрологии работает над решением следующих задач:

·    представляет основную техническую программу МОЗМ;

·              определяет приоритетные направления;

·              рассматривает предложения стран-участниц по разработке Международных рекомендаций;

·              организует и координирует деятельность технических комитетов и подкомитетов;

·              осуществляет контроль деятельности технических комитетов;

·              занимается рассмотрением спорных вопросов, возникающих между станами-членами (МОЗМ).

Каждая из стран-участниц МОЗМ направляет своего представителя для участия в работе комитета. Представители избирают президента и двух вице-президентов. Заседания МКЗМ проходят не реже одного раза в два года.

Технические комитеты по направленности деятельности можно разделить на три группы:

·    рассматривающие общие вопросы метрологии;

·              занимающиеся отдельными видами измерений;

·              решающие вопросы метрологического обеспечения областей.

Международная Организация Законодательной Метрологии имеет тесные контакты с международными техническими организациями и обществами по стандартизации (ИСО) и Международной электротехнической комиссией (МЭК). МОЗМ осуществляет сотрудничество и с другой межправительственной организацией по метрологии - Международным бюро мер и весов (МБМВ).

Обмен информацией и опытом между всеми этими международными организациями, занимающимися вопросами метрологии, направлен на то, чтобы избежать дублирования в работе.

Представляет Российскую Федерацию в Международной Организации Законодательной Метрологии Госстандарт России. Россия курирует деятельность комитетов, осуществляющих разработку общих вопросов метрологии, а также конкретных видов измерений. Наша страна в МОЗМ занимает активную позицию.

Отечественные нормативно-технические документы в подавляющем большинстве согласованы с Международными рекомендациями и Международными требованиями нормативной документации, что в свою очередь позволит российским предприятиям, эксплуатирующим и производящим средства измерений, быстрее войти в международную систему сертификации МОЗМ.

Международная организация мер и весов (МОМВ), созданная в 1875 году решением Метрической конвенции (17 стран, включая Россию), в настоящее время является наиболее старейшей и представительной международной организацией.

Ее высший орган - Генеральная конвенция по мерам и весам, собирающая не реже одного раза в четыре года представителей стран-участниц. Сегодня членами Метрической конвенции являются 47 стран мира.

В 1988 году создана Общеевропейская метрологическая организация (ЕВРОМЕТ), которая занимается решением следующих вопросов:

·    разработка национальных эталонов единиц измерений и их исследование;

·              организация исследований в области разработки первичных эталонов;

·              развитие поверочных служб на высшем метрологическом уровне.

Следует отметить несколько обособленное положение в международной метрологической системе таких организаций, как ИСО, МЭК и МКО. Формально они не относятся к метрологическим, хотя и разрабатывают стандарты и дают рекомендации по метрологической терминологии и методикам выполнения измерений при испытаниях продукции, по установлению измерительных шкал.

В свое время в рамках сотрудничества стран-членов бывшего Совета Экономической Взаимопомощи был накоплен большой положительный опыт, создан значительный научно-технический потенциал, расширена и укреплена интеграция в метрологической деятельности. Поиск новых форм и методов многостороннего сотрудничества в области метрологии был реализован в подписанном в 1991 году в Варшаве Меморандуме о создании Организации сотрудничества государственных метрологических учреждений стран Центральной и Восточной Европы (КООМЕТ ). Эта международная организация открыта для вступления метрологических учреждений стран других регионов на правах ассоциированных членов.

Среди целей КООМЕТ назовем главные:

помощь эффективному решению задач единообразия мер, единства и необходимой точности измерений;

·    помощь в устранении препятствий технического характера и содействие развитию сотрудничества в области народного хозяйства;

·              помощь в работе по сближению и координации деятельности метрологических служб европейских стран.

Россия представлена в Организации сотрудничества государственных метрологических учреждений стран Центральной и Восточной Европы Госстандартом РФ. Ведение Национального Секретариата России в КООМЕТ осуществляет ВНИИ метрологической службы.

Организационная структура КООМЕТ во много сходна со структурой международных метрологических организаций стран Западной Европы.

В заключении отметим, что большое место в деятельности КООМЕТ занимает взаимодействие с международными метрологическими организациями, а также другими организациями, имеющими отношение к метрологии. Осуществление этого взаимодействия является важнейшей задачей этой международной организации. В настоящее время в КООМЕТ представлены метрологические учреждения и организации Болгарии, Германии, Республики Куба, Польши, России.

РАЗДЕЛ 6. СЕРТИФИКАЦИЯ В УПРАВЛЕНИИ КАЧЕСТВОМ

6.1 Сертификация продукции и ее цели

Сертификация, как один из видов контроля качества продукции, уже в течение целого ряда лет применялась в нашей стране в виде государственных испытаний.

В современных условиях введение обязательной сертификации продукции и услуг является необходимым условием не только контроля качества, но и вхождения в рыночную экономику, а также интеграции в региональные и мировые рынки.

В 1992 году Госстандарт России начал реализацию соответствующих положений Закона Российской Федерации "О защите прав потребителей", которые предусматривали сертификацию продукции и услуг.

Сертификация - процедура, подтверждающая третьим лицом соответствие продукции, процесса или услуги заданным требованиям и оформленная в виде письменной гарантии.

Сегодня можно констатировать, что в стране создана система сертификации <http://www.humanities.edu.ru/db/msg/2232> и успешно действует механизм ее реализации.

Однако завершен только первый этап . В ближайшем будущем еще предстоит решить целый ряд вопросов по сертификации систем качества и сертификации по схемам ИСО/МЭК. Затем выйти на совершенно новую ступень - организацию подтверждения соответствия.

Понятие "подтверждение соответствия " в последнем издании Руководства ИСО/МЭК 2 "Общие термины и определения в области стандартизации и смежных видов деятельности" трактуется уже как основополагающее. Таким образом, сертификация постепенно уходит на второй план. На смену ей появляется обеспечение соответствия - процедура, осуществление которой дает уверенность в соответствии продукции, процесса или услуги заданным требованиям, оформленная в виде заявления .

Так, например, поставщик может представить письменную гарантию соответствия продукции, процесса или услуги заданным требованиям. Ее подтверждением обычно служит проведение сертификации системы качества поставщика, осуществленное третьей стороной, внедрение им европейских стандартов, а также осуществление контроля технической документации.

На этом этапе сертификация системы качества и подтверждение соответствия могут сосуществовать одновременно. Особенности предыдущего развития страны и российский менталитет наложили свои отпечатки и не позволяют сразу подняться на ступень обеспечения соответствия, не апеллируя при этом к третьей стороне, осуществляющей сертификацию .

Другими словами, дальнейшая работа в области сертификации должна опираться в большей степени на контроль высоких организационно-технических возможностей поставщика, расширение его функций в области само обеспечения контроля. Эта работа уже начата и охватывает некоторые системы сертификации однородных видов продукции и осуществляется в форме заявлений-деклараций.

Остановимся более подробно на Законе Российской Федерации "О сертификации продукции и услуг". В этом законе сертификация продукции рассматривается как деятельность по подтверждению соответствия продукции установленным требованиям.

Организация работы по сертификации продукции предусматривает следующие направления:

o содействие предприятиям, организациям и предпринимателям в осуществлении деятельности на едином товарном рынке Российской Федерации и участие в международном экономическом и научно-техническом сотрудничестве и международной торговле;

o     создание условий для компетентного выбора продукции потребителями;

o     реализацию мер, направленных на защиту интересов потребителя от недобросовестности изготовителя;

o     осуществление контроля безопасности продукции для окружающей среды, жизни, здоровья и имущества;

o     подтверждение показателей качества продукции, предъявляемых изготовителем;

o     применение в управлении сквозного механизма.

В соответствии с Законом сертификация представляет собой метод объективного контроля качества любого вида продукции, установления ее соответствия определенным требованиям.

Сертификация может быть обязательной или добровольной:

Обязательная сертификация <http://www.humanities.edu.ru/db/msg/2232> - средство государственного контроля за безопасностью продукции.

Добровольная сертификация <http://www.humanities.edu.ru/db/msg/2232> - средство повышения конкурентоспособности продукции.

Наличие официального документа о сертификации продукции у предпринимателя облегчает проведение экспортно-импортных операций, служит ориентиром покупателю, в определенной степени гарантирует его безопасность.

При этом объект <http://www.humanities.edu.ru/db/msg/2232> сертификации - продукция производственно-технического назначения, все виды услуг, товары народного потребления и т.д. Перечень объектов обязательной сертификации формируется законодательным органом и закрепляется в законодательном акте.

Обязательная сертификация распространяется на область государственных стандартов, обязательных к применению. В то же время ее использование практикуется в целях реализации государственной политики, направленной на повышение конкурентоспособности тех или иных видов продукции, их взаимозаменяемости и совместимости, а также ресурсосбережения .

Наличие обязательной и добровольной сертификации продукции - особенность российской системы сертификации. Такое деление сертификации продукции отсутствует в Руководстве ИСО/МЭК 2 . В Европе современная система сертификации является органическим продолжением систем сертификации различного функционального назначения и как бы выросла внизу. У нас в стране деление сертификации на обязательную и добровольную совпадает с существованием коммерческой и государственной сертификации. Формирование российской системы сертификации не пошло по европейскому пути, несмотря на то, что существовала отечественная система испытаний, включающая и сертификационные испытания <http://www.humanities.edu.ru/db/msg/2232>, которые определялись как контрольные и проводились для установления соответствия характеристик свойств продукции нормативным документам других стран.

В последнее время в соответствии с международными соглашениями, подписанными Российской Федерацией, был принят ряд международных систем сертификации продукции, которые распространяются на электротехнические и электронные изделия, отдельные виды огнестрельного оружия и дорожные транспортные средства. Теперь при проведении сертификации этих видов продукции применяют правила соответствующей международной системы сертификации.

Законом определены цели и направления деятельности Госстандарта России в области сертификации . К ним относятся следующие:

o разработка и проведение государственной политики в области сертификации, принятие общих правил и рекомендаций по организации сертификации, осуществление их информационного обеспечения;

o     обеспечение государственной регистрации систем сертификации и знаков соответствия;

o     распространение официальной информации о системах сертификации и знаках соответствия, действующих в стране;

o     подготовка и заключение соглашений с международными (региональными) организациями о взаимном признании результатов сертификации и присоединении к международным (региональным) системам сертификации;

o     участие в работе международных (региональных) организаций по вопросам сертификации в качестве национального органа Российской Федерации в области сертификации.

В настоящее время действует только базовая система обязательной сертификации ГОСТ Р, порядок и правила которой установлены соответствующим органом Госстандарта России. Однако Закон "О сертификации" предполагает создание многих систем, поэтому одним из важнейших направлений в работе Госстандарта страны является принятие общих правил, обязательных для всех иных систем сертификации, призванных обеспечить координацию их разработки и функционирования.

Таким руководством и стали Правила по проведению сертификации в Российской Федерации, утвержденные постановлением Госстандарта России от 16.02.1994 года. Кроме общих указаний Правила включают также разделы, конкретизирующие отдельные положения Закона "О сертификации". Так, например, в пункте 4.1 Правил указывается, что в качестве органов по обязательной сертификации и испытательным лабораториям могут быть аккредитованы зарегистрированные предприятия любой формы собственности, а также некоммерческие организации, которые имеют необходимый уровень компетенции для проведения данного вида работ.

Здесь, следует отметить, что Закон допускает некоммерческим организациям, специально созданным для осуществления сертификации и аккредитованным в качестве органов по сертификации, заниматься этой работой на коммерческой основе. В то же время по действующему законодательству некоммерческими являются организации, не имеющие в качестве основной цели получение прибыли. Их деятельность сводится к решению задач общественно-политического характера или удовлетворения каких-либо потребностей членов организации и т.д. Следовательно, такие организации не смогут выполнять основную работу по сертификации, представлять основу органов по сертификации и сертификационных лабораторий. Им по силам роль лишь вспомогательных подразделений.

Государственная регистрация систем сертификации и знаков соответствия осуществляется только Госстандартом России. При этом его полномочия в этом вопросе распространяются на системы как обязательной, так и добровольной сертификации. Согласно Закону определены цели государственной регистрации, объем полномочий регистрационного органа и набор документов, необходимых для регистрации. В зависимости от вида сертификации (добровольной или обязательной) они (цели, объем и набор документов) имеют принципиальные отличия.

Закон не предусматривает возможность отказа в регистрации системы добровольной сертификации . На отказ нет каких-либо причин и оснований, так как добровольная сертификация имеет явочно-учетный характер, осуществляется на договорной основе. Она подпадает под юрисдикцию общих норм гражданского законодательства и не требует специального правового регулирования. При этом только после регистрации системы добровольной сертификации в Госстандарте России юридическое лицо в праве начать применение данной системы сертификации.

Регистрация систем обязательной сертификации, напротив, предусматривает всестороннюю предварительную проверку и подтверждение соответствия, фиксируемых в соответствующих документах. Лишь после установления компетентности и удовлетворения всех требований проводится регистрация. Государственные органы проводят аккредитацию исполнителей работ в системах данного вида на право их проведения. Отдельные исполнители могут иметь контрольные и арбитражные функции. В этом случае Закон допускает разрешительный (лицензионный) порядок их деятельности.

Такой подход объясняется тем, что системы государственной сертификации создаются органами государственного управления в процессе исполнения решений законодательного органа о начале проведения обязательной сертификации.

Регистрация систем сертификации и знаков соответствия в центральном государственном органе (Госстандарте РФ) дает им право функционировать на территории Федерации.

Госстандарт России осуществляет государственную регистрацию и ведет реестры отдельных элементов системы сертификации:

o сертифицированных товаров;

o     аккредитованных органов по сертификации;

o     испытательных лабораторий;

o     сертификационных знаков.

Система сертификации - это совокупность участников сертификации и правил, установленных в этой системе в соответствии с Законом "О сертификации". Она создается государственными органами управления, предприятиями и организациями.

Системы сертификации обязаны пройти государственную регистрацию в установленном порядке и могут включать в себя несколько систем сертификации однородной продукции.

Создать систему имеет право только юридическое лицо. В ее состав могут входить предприятия и организации любых форм собственности, в то числе и общественные организации.

В составе системы сертификации согласно закону - две составляющие:

o участники сертификации;

o     правила сертификации.

Среди участников сертификации :

o государственные органы;

o     организации - создатели системы сертификации;

o     испытательные лаборатории;

o     центральные органы систем сертификации;

o     органы по сертификации;

o     а также изготовители (продавцы, исполнители) продукции.

Что же касается правил системы, то правила сертификации - это набор документов (положений), осуществляющих регулирование и координацию всех сторон деятельности данной системы.

Система сертификации обслуживает определенный вид или класс однородной продукции, состоящий из больший групп товаров, видов работ или услуг, объединенных своим функциональным назначением, принципами работы или применения, методами контроля и испытаний. Существуют, например, системы сертификации:

o транспортных средств;

o     электротехнической продукции;

o     пищевого сырья и пищевых продуктов;

o     бытовых услуг и т.д.

При этом отдельные системы сертификации однородной продукции могут быть интегрированы в укрупненную систему, функционирующую по единым правилам, сохраняя в то же время специфику своей нормативной базы. Примером такой объединяющей системы может служить система обязательной сертификации в России.

Сертификат соответствия <http://www.humanities.edu.ru/db/msg/2232> - документ о прохождении сертификации в соответствии с правилами и дающий подтверждение сертифицированной продукции или услуги установленным требованиям. Он имеет единую форму как для сертификатов обязательной, так и для добровольной сертификации.

Обычно сертификат содержит сведения о системе сертификации и органе, где он выдан, а также номер, срок действия, наименование товара, основание для выдачи и ссылку на нормативный документ. Содержание сертификата зависит от избранной схемы сертификации и категории заявителя (изготовитель или продавец, или исполнитель). Правила оформления, выдачи и регистрации сертификатов разрабатываются для каждой системы сертификации.

Знак <http://www.humanities.edu.ru/db/msg/2232> соответствия - подтверждает соответствие маркированной им продукции требованиям, установленным в данной системе сертификации. Регистрация знака соответствия осуществляется по правилам, утверждаемым Госстандартом Российской Федерации.

Порядок применения знаков соответствия распространяется на системы обязательной и добровольной сертификации и утверждается конкретной системой сертификации в соответствии с требованиями Госстандарта России.

.2 Порядок, правила и способы (схемы) проведения сертификации

В России сертификация как импортных, так и отечественных товаров (продукции) проходит по одним и тем же правилам. Однако подход к обязательной и добровольной сертификации в нашей стране и, например, на Западе сильно различается. За рубежом у вас не купят товар (продукцию) без соответствующего сертификата. В условиях жесткой конкуренции и избытка товаров на рынке его наличие стало непременным требованием обеспечения продаж, реализации продукции. В России, напротив, в период экономического кризиса до предела увеличился объем распространения продукции самого низкого сорта и даже опасной для здоровья человека. В этой связи решение одной из главных проблем российской экономики лежит в области расширения сферы внедрения обязательной сертификации.

Ежегодно обновляется и пополняется номенклатура товаров обязательной сертификации. Первые перечни продукции, подлежащей обязательной сертификации, включали детские товары, электроприборы бытового назначения, индивидуальные автотранспортные средства, продукты питания. С принятием "Основ законодательства Российской Федерации об охране труда" их список пополнился продукцией, подпадающей под действие этого регулирующего документа. Не раз заявлялось о необходимости введения процедуры обязательной сертификации продукции на соответствие назначению, совместимости и взаимозаменяемости. Однако столь значительное, огромное по своим масштабам расширение перечня требует колоссальных материальных затрат, упирается главным образом в отсутствие финансового обеспечения.

Следует подчеркнуть, что продукция (товары), ввозимая на территорию России и нуждающаяся в подтверждении безопасности, должна помечаться специальным кодом ТН ВЭД (товарная номенклатура внешнеэкономической деятельности). При импорте автотранспортных средств предусмотрен сертификат соответствия "Одобрение типа транспортного средства".

Продукцию, подлежащую обязательному страхованию, в том случае, если не получен сертификат соответствия рекламировать запрещается. Когда же сертификат имеется, о нем желательно упомянуть в рекламе.

Добровольную сертификацию осуществляют как юридические лица, имеющие право выполнять функции органов по добровольной сертификации, так и органы по обязательной сертификации. Необходимым условием ее проведения является заключение соответствующего договора между юридическим или физическим лицом и органом по сертификации.

Сертификация не проводится, если международные соглашения, заключенные Российской Федерацией с зарубежными странами, предусматривают признание аккредитации зарубежных органов по сертификации и испытательных лабораторий, сертификатов и знаков соответствия в нашей стране и соответственно российских за рубежом.

Организация и проведение работ по обязательной сертификации осуществляется под руководством и при участии Госстандарта Российской Федерации.

Далее остановимся на рассмотрении схемы системы по сертификации конкретного вида продукции и функций органа по сертификации.

В системах сертификации однородных видов продукции выделяют:

o национальный орган (Госстандарт России);

o     центральный орган по сертификации (однородной продукции);

o     орган по сертификации (конкретной продукции);

Национальный орган- Госстандарт России, а также другие органы управления государства создают системы сертификации однородной продукции, руководствуясь в рамках своих полномочий общими правилами и положениями, осуществляя при этом следующие основные функции:

o разрабатывают и вводят правила и порядок проведения процедур сертификации в системах сертификации;

o проводят выбор схем сертификации и при необходимости выявляют центральные органы систем сертификации;

o     определяют порядок и требования аккредитации и выдачу лицензий на проведение работ по обязательной сертификации;

o     осуществляют аккредитацию органов по сертификации и испытательных лабораторий, а также выдачу лицензий на выполнение определенных видов работ;

o     вносят в государственный реестр участников и объектов сертификации;

o     передают в Госстандарт Российской Федерации официальные сведения об участниках и объектах сертификации;

o     определяют требования к признанию зарубежных сертификатов, знаков соответствия и результатов испытаний на территории России;

o     устанавливают порядок и формы проведения государственного контроля и надзора за соблюдением правил сертификации и за сертифицированной продукцией;

o     выдают сертификат и лицензии на применение знака соответствия;

o     занимаются рассмотрением апелляций по вопросам сертификации и знаков соответствия.

Центральный орган системы сертификации (однородной продукции) занимается:

o формированием системы сертификации однородной продукции, осуществлением координации деятельности органов по сертификации и испытательных лабораторий данной системы и общим руководством всей системой в целом;

o     рассмотрением номенклатуры продукции, предлагаемой для включения в систему для прохождения сертификации;

o     разработкой нормативных документов;

o     обеспечением информационного обслуживания системы сертификации;

o     рассмотрением апелляций по поводу действий органов по сертификации и испытательных лабораторий, включенных в систему.

Основной организатор работ в системе сертификации однородных видов продукции - орган по сертификации продукции . Его деятельность охватывает:

o процесс сертификации продукции, выдачу сертификатов и лицензий на применение знака соответствия;

o     организацию и проведение инспекционного контроля за сертифицированной продукцией;

o     осуществление мер регулирования функционирования сертификатов;

o     принятие и совершенствование нормативных документов;

o     представление информации о своей деятельности в установленном порядке.

Нам также следует уточнить содержание таких терминов, как испытательная лаборатория (центр), эксперт и идентификация <http://www.humanities.edu.ru/db/msg/2232> продукции .

Испытательная лаборатория <http://www.humanities.edu.ru/db/msg/2232> представляет собой лабораторию или центр, осуществляющий испытания определенного вида продукции в рамках своей компетенции.

Центр по сертификации может совмещать в одном лице функции испытательной лаборатории и органа по сертификации, когда он представлен одним юридическим лицом.

Экспертом по сертификации или аккредитации может быть должностное лицо, успешно прошедшее аттестацию на право проведения одного или нескольких видов работ по сертификации.

Процедура, с помощью которой выявляют соответствие представленной на сертификацию продукции требованиям, установленным к данному типу продукции, называется идентификацией продукции . Эти требования фигурируют в информации о продукции, в нормативной и технической документации.

Органы государственного управления ведут государственный реестр участников и объектов сертификации, передают о них информацию в Госстандарт Российской Федерации. В государственный реестр вносятся сведения о центральных органах систем сертификации, об аккредитованных органах по сертификации и испытательных лабораториях, а также утвержденных системах сертификации однородной продукции и знаках соответствия, сертифицированной продукции, аттестованных экспертах, правилах и рекомендациях по сертификации.

Порядок проведения инспекционного контроля за соблюдением правил сертификации устанавливает Госстандарт России. Организацией и осуществлением непосредственного инспекционного контроля за сертифицированной продукцией занимается орган по сертификации продукции и государственные органы управления.

Инспекционный контроль <http://www.humanities.edu.ru/db/msg/2232> - это повторная оценка уже сертифицированной продукции, проводимая для подтверждения соответствия продукции заданным требованиям.

Этот вид контроля осуществляют те же органы, которые проводили ее сертификацию. Инспекционный контроль за конкретными видами сертифицированной продукции регламентируется правилами сертификации однородной продукции. Аккредитованные органы по сертификации и испытательные лаборатории руководствуются в своей деятельности общими правилами инспекционного контроля.

В настоящее время правила и рекомендации по сертификации приведены в соответствие с действующими международными нормами и правилами таких организаций, как Международная организация по стандартизации (ИСО), Международная электротехническая комиссия (МЭК), международными стандартами ИСО серий 9000 и 10000, европейскими стандартами серий 45000 и 29000, а также требованиями документов других международных и региональных организаций по сертификации. Таким образом, сертифицированные виды продукции получили признание результатов сертификации за рубежом.

Схемы сертификации - это совокупность наиболее важных вопросов, связанных с порядком осуществления сертификации.

Схема (форма, способ) сертификации представляет собой определенный набор действий, подтверждающий официально соответствие продукции заданным требованиям .

Сертификация осуществляется в соответствии со схемами, которые определяются системами сертификации однородной продукции.

При обязательной сертификации схемы устанавливаются Госстандартом РФ, а также другими государственными органами управления в пределах их компетенции, регулируемой законодательными актами. При обязательной сертификации принимаются во внимание особенности производства, испытаний, поставки и использования конкретной продукции, затраты заявителя и требуемый уровень доказательности сертификации (например, при использовании схем, применяемых в международной и зарубежной практике сертификации).

Схемы сертификации устанавливают в системах (правилах) сертификации однородной продукции с учетом специфики продукции, технологии ее производства, обращения и использования.

Орган по сертификации выбирает конкретную схему сертификации для данного вида продукции. При выборе схемы сертификации учитываются два подхода: первый - предусматривает оптимальное использование возможностей самих систем, второй - учет конкретных особенностей продукции и ее производства, хранения, транспортировки. Правильный выбор схемы сертификации позволяет получить доказательства способности производства, гарантировать стабильный выпуск продукции не ниже заданного уровня качества . При этом показатели экономичности выбранной схемы являются одним из важных критериев.

Схему добровольной сертификации определяет заявитель. Он же предлагает ее органу по сертификации.

Сертификаты соответствия могут быть выданы:

o на каждое (отдельное) изделие (единицу продукции);

o     на определенную партию изделий;

o     на весь объем продукции, изготовленный за весь период действия сертификата.

Как правило, схемы сертификации предусматривают проведение испытаний.

Испытания - комплекс сложных мероприятий, требующих больших затрат, проводимый с целью подтверждения заявленных характеристик, свойств, качеств.

Следует отметить, что Совет ЕС в 1990 году установил новый порядок оценки соответствия продукции, так называемые европейские модули . Их особенность заключается в том, что помимо (иногда вместо) применяемых при сертификации по схемам ИСО/МЭК процедур испытаний в аккредитованных лабораториях (т.е. третьей стороной), в модулях предусматриваются действия самого изготовителя (первой стороны), направленные на подтверждение соответствия. В этом случае получение сертификата и знака соответствия осуществляется без особого разрешения или лицензии, а только при выполнении изготовителем определенных условий. Кроме этого в модулях применяется проверка систем качества изготовителя, а также контроль его технической документации .

Однако для отечественной экономики модули - это следующая ступень организации подтверждения соответствия.

Порядок проведения, схемы сертификации и органы по сертификации услуг.

Услуга <http://www.humanities.edu.ru/db/msg/2232> - результаты непосредственного взаимодействия поставщика и потребителя, внутренней деятельности поставщика по удовлетворению потребностей потребителя (МС ИСО 8402:1994).

Предоставление услуги означает деятельность поставщика, необходимую для обеспечения потребителя. Таким образом, услуга представляет собой часть продукции или комбинацию с другими частями продукции. Следовательно, нормативная документация по сертификации продукции, трактовка качества и управления качеством продукции также относится и к услугам, являясь условием их успешной реализации .

Для выявления объектов стандартизации в сфере услуг целесообразно принимать во внимание специфические особенности большинства услуг:

o непосредственное взаимодействие в процессе оказания услуг исполнителя и потребителя;

o     прямое воздействие на потребителя условий обслуживания, включающего эстетические, этические, санитарно-гигиенические, временные и другие характеристики;

o     совмещение процесса производства и потребления услуг во времени;

o     оценка качества услуг непосредственно потребителем;

o     отсутствие в процессе стадий транспортировки и хранения услуг.

На качество предоставляемых услуг также влияют следующие характеристики:

o количество инструментов и оборудования, материалов, штата сотрудников;

o     временные рамки процесса предоставления, ожидания и технологического цикла услуги;

o     уровень безопасности, гигиены, надежности и гарантии;

o     степень внимания и компетентности персонала, его мастерства, уровень комфортности и дизайна помещения, удовлетворения исполнением услуги.

В настоящее время уровень сертификации услуг в Российской Федерации поднялся на новую ступень в связи с принятием Закона РФ "О защите прав потребителей", который ввел обязательную сертификацию товаров и услуг на соответствие требованиям безопасности для жизни и здоровья человека, имущества и охраны окружающей среды.

Сегодня, в условиях рыночных отношений проведение работ по сертификации услуг уже диктуется не только заботами о повышении качества, но и является также фактором их успешной конкурентоспособности.

В передовых странах Запада и Японии давно приняты и действуют законы о защите интересов потребителей, обязывающие производителей давать исчерпывающую и достоверную информацию о качестве товаров и услуг, гарантировать ее, обеспечивать безопасность потребления.

В начале 90-х годов в нашей стране была разработана Концепция управления качеством в сфере обслуживания населения в соответствии с МС ИСО серии 9000. В 1992 году она была утверждена Госстандартом России в виде "Концепции стандартизации и сертификации в сфере услуг населению".

Принятый свод положений концепции отличался от первоначальных разделением на две части: стандартизацию и сертификацию. Стандартизации отводилась главенствующая роль. Деление в такой пропорции объяснялось следующим: в бытовом обслуживании населения наиболее хорошо развитой была система стандартизации, которая уже ко времени принятия концепции имела восемь ГОСТ, 1095 РСТ, более 1500 ТУ и 3000 других нормативных документов. Это обстоятельство оказалось решающим при выборе видов услуг, подлежащих обязательной сертификации для обеспечения безопасности и здоровья людей, их имущества и охраны окружающей среды. При этом, например, в здравоохранении стандартизация <http://www.humanities.edu.ru/db/msg/2232> практически не развивалась.

Таким образом, сертификация началась с области ремонта бытовой радиоэлектронной аппаратуры и оборудования, бытовых машин и приборов электротехнического назначения.

Дальнейшая доработка концепции пошла по пути согласования с положениями документа ООН "Руководящие принципы для защиты интересов потребителей" и "Общими правилами и рекомендациями по сертификации в Российской Федерации ". В результате появился новый документ "Система сертификации ГОСТ Р. Основные положения и порядок сертификации услуг", действующий в настоящее время, а также другие нормативные документы, Законы Российской Федерации о стандартизации, сертификации, обеспечении единства измерений, защите прав потребителей и подзаконные акты к ним. Руководящие указания по услугам нашли отражение в МС ИСО 9004-2 "Общее руководство и элементы системы качества.. - Часть 2: Руководящие указания по услугам". Определение понятий в области стандартизации, сертификации и управления качеством в сфере услуг населению нашло отражение в ГОСТ Р 50-646-94 "Услуги населению. Термины и определения".

Сертификация услуг, в отличие от сертификации продукции, - более сложная проблема. Ее решение наталкивается не только на разнообразие объектов конечного результата услуги, частое совмещение объекта и потребителя услуги в одном лице, но и на отсутствие разработанной нормативной базы и недостаток высококвалифицированных специалистов.

Научно-исследовательские институты системы Госстандарта России начали разработку нормативных документов (стандартов и ТУ) и методик, проводят экспертизы услуг и другие виды работ. Кроме "Основных положений и порядка проведения сертификации услуг" ими разработано и утверждено более десятка государственных стандартов, включающих и требования по безопасности услуг.

Действуют системы сертификации: по ремонту и техническому обслуживанию автотранспортных средств и по ремонту бытовой радиоэлектронной аппаратуры, машин и приборов. Получили аккредитацию около 70 органов по сертификации. Большое число сервисных центров и станций технического обслуживания автомобилей зарегистрировали соответствующие документы на право использования знака соответствия.

Начинается кампания по внедрению системы сертификации в сфере туризма, общественного питания и химической чистки одежды.

Сертификацию услуг в области общественного питания предполагается осуществлять под руководством региональных органов субъектов Федерации. Из-за отсутствия централизованной системы центр тяжести в проведении сертификации данного вида услуг переносится на местную администрацию и органы санэпидемнадзора, а также территориальные органы Госстандарта. Кроме того, согласно подготовленному правительством постановлению, каждое предприятие сферы общественного питания должно будет подтверждать свой тип и класс. Последнее ожидаемое нововведение должно значительно повысить уровень защиты потребителя от нарушений и произвола в данной области услуг.

Другим актуальным вопросом для отрасли является внедрение на предприятиях систем качества.

Средством проведения и осуществления политики в области качества услуги служит система качества <http://www.humanities.edu.ru/db/msg/2232> услуг, документально оформленная и поддерживаемая в рабочем состоянии.

При этом, как правило, управление услугой и характеристики предоставления услуги достигаются непосредственно путем управления процессом предоставления услуги. Следовательно, измерения технических характеристик и сам процесс управления представляют собой весомое звено в деле достижения и поддержания требуемого качества услуги. Необходимо подчеркнуть, что обычно нельзя полагаться на конечный контроль с целью влияния на качество услуги, чему мешает непосредственное взаимодействие с потребителем, который дает незамедлительную оценку любого несоответствия уже в процессе ее оказания. В этом случае возможна практика применения корректирующего воздействия уже в ходе предоставления услуги потребителю.

Что же касается системы сертификации услуг транспорта (воздушного, морского, речного, автомобильного и др.), то она уже создана и начала функционировать. Ее подсистемы содержат требования к различным видам транспортных услуг.

В каждой подсистеме созданы центральные органы, общее руководство работами по сертификации осуществляет координационный совет системы.

.3 Сертификация систем качества и экономические оценки работы по сертификации

Ежегодно в мире стремительно увеличивается число предприятий, которые успешно осуществляют сертификацию своих систем качества на соответствие стандартам ИСО серии 9000. Этому способствуют внутренние причины, ускоряющие внедрение и сертификацию данных систем. К их числу можно отнести необходимость улучшения качества выполняемых работ, продукции и минимизацию издержек производства. Требования заказчика и необходимость повышения конкурентоспособности выпускаемой продукции оказывают давление на этот процесс из вне. На западе к внешним причинам относят и распространенную практику оценки системы качества в процессе осуществления процедуры обязательной сертификации продукции.

В нашей стране сертификация системы качества на соответствие стандартам ИСО серии 9000 до последнего времени проводилась на добровольных началах. Отечественные организации, осуществляющие сертификацию систем качества, не признаны за рубежом. Поэтому российские предприятия, желающие иметь соответствующий уровень документа о сертификации своей системы качества, обращаются к зарубежным фирмам, работающим в этой области.

В этой связи Госстандарт России значительное внимание уделяет следующим проблемам:

o упорядочению сертификации систем качества, проводимой в рамках работ по сертификации систем качества;

o     активизации деятельности по самой сертификации систем качества;

o     согласованию российских требований по сертификации систем качества с международными нормами и правилами.

Выполнение последнего требования создаст необходимые условия для признания отечественных сертификатов на системы качества за рубежом, обусловит возможность вхождения российских систем сертификации в международные союзы и соглашения, что в свою очередь ускорит процесс международной интеграции в этой области.

В состав Системы сертификации ГОСТ Р включен Регистр систем качества, обслуживающий как добровольную, так и обязательную сертификацию систем качества. ГОСТ Р имеет статус не только национальной системы сертификации, но и признана за рубежом.

Создаются условия направленные на ускорение работы предприятий по осуществлению добровольной сертификации систем качества . Например, лицензирование <http://www.humanities.edu.ru/db/msg/2232> видов деятельности с повышенными требованиями безопасности осуществляется только при наличии системы качества. Одним из условий получения госзаказа на закупку, размещение продукции, получения инвестиций может стать добровольное проведение поставщиком, изготовителем сертификации своей системы качества.

Процесс проведения сертификации системы качества (по ГОСТ Р 40.003-96) состоит из трех этапов:

o заочная (предварительная) оценка системы качества;

o     окончательная оценка и проверка системы качества;

o     осуществление инспекционного контроля за сертифицированной системой качества.

Концепция сертификации систем качества основывается на идее согласования требований отечественных систем с зарубежными системами сертификации. Это позволит исключить необходимость повторных сертификаций систем качества путем взаимного признания результатов сертификации.

Сертификация является составной частью всеобщего управления качеством, способствует решению проблемы безопасности, осуществляя глобальный контроль и развитие конкурентной среды, не допускающей реализацию на рынке небезопасных товаров и услуг.

Экономические оценки работы по сертификации.

Сегодня государство контролирует не весь набор показателей качества продукции.

В зоне его внимания находятся лишь показатели безопасности, т.е. именно те показатели, которые выпали из зоны непосредственных интересов продавца и в ряде случаев оказываются не на первом месте при выборе продукции потребителем.

Таким образом, государство, введя законодательным путем обязательную сертификацию, предприняло попытку выступить в качестве посредника в вопросах обеспечения безопасности и качества продукции и услуг.

В обеспечении качества продукции основные затраты изготовителя направляются на достижение товарных характеристик.

Издержки на обеспечение безопасности продукции производитель стремится сократить до минимума. Потребитель в своем подавляющем большинстве тоже не желает оплачивать расходы, связанные, например, с последующей их утилизацией с целью охраны окружающей среды.

Поэтому государство и ввело тарифы на услуги по обязательной сертификации. Такой подход позволил найти компромиссное решение, удовлетворяющее всех участников деятельности по обязательной сертификации.

На достижение этой цели в рекомендациях "Оплата работ по сертификации продукции и услуг" Р 50.3.001-96 нашли отражения положения следующих Законов, Постановлений Правительства и других нормативных документов :

o Законов РФ "О защите прав потребителей" и "О сертификации продукции и услуг";

o     Постановления Правительства РФ "Об утверждении Положения о составе затрат по производству и реализации продукции (работ, услуг), включаемых в себестоимость продукции (работ, услуг) и о порядке формирования финансовых результатов, учитываемых при налогообложении прибыли";

o     "Правил по проведению сертификации в Российской Федерации" и "Порядка проведения сертификации продукции в Российской Федерации".

При оплате работ по сертификации руководствуются следующими принципами:

o оплата всего перечня фактически произведенных работ по сертификации осуществляется за счет средств предприятий, организаций и физических лиц, подавших заявку на их проведение, не зависимо от принятого органом по сертификации решения (исключение составляет лишь финансирование работ, проводимое в соответствии с законодательством из средств государственного бюджета);

o рентабельность работ по обязательной сертификации не должна превышать уровня 35%;

o     перечень работ по осуществлению инспекционного контроля за продукцией и услугами, подлежащими обязательной сертификации, производится в размере фактически произведенных затрат организациями, выполняющими данный вид работ;

o     часть прибыли, остающаяся на счетах органов по сертификации и испытательных лабораторий (центров) от проведения работ по обязательной сертификации, должна направляться на совершенствование и развитие нормативно-технической и испытательной базы, идти на организацию и проведение процесса обучения персонала.

6.4 Маркировка <http://www.humanities.edu.ru/db/msg/2232> товаров

Союз потребителей Российской Федерации среди проблем потребительского рынка выделяет получение достоверной и исчерпывающей информации о товарах, как одну из главных.

За качество изделия несет ответственность, в первую очередь, производитель. Он должен обеспечить необходимый уровень качества <http://www.humanities.edu.ru/db/msg/2232> продукции, применяя соответствующую технологию, сырье и комплектующие материалы. С другой стороны, потребитель тоже в какой-то степени, хотя и не напрямую, влияет на качество. Он должен уметь пользоваться своими правами и обязанностями в отношении изготовителя и продавца, знать и четко представлять потребительские свойства изделий.

Носителем информации о потребительских свойствах продукции : ее особенностях, характеристиках, изготовителе, рекомендации об ее использовании, применении и хранении, может быть и набор принятых условных обозначений, выполненный в виде этикетки или нанесенный непосредственно на упаковку или тару изделия.

Таким образом, этикетка или ярлык на товаре (его упаковке) включает информацию о названии товара, знаках соответствия, товарного знака, а также наименования места происхождения изделия, штриховой код <http://www.humanities.edu.ru/db/msg/2232>, экологическую маркировку, символы, обозначающие меры предосторожности, безопасности, знаки о весе товара, его гарантийном сроке и другие обозначения и знаковые системы информации .

На этикетках принято использовать знаковую информацию, так она способна вместить более полные и емкие сведения, размещенные на ограниченной площади, что позволяет сделать доступной восприятие ее содержания потребителем, оказать положительное влияние на принятие решения о покупке товара. Зная это, производитель уделяет большое внимание ее профессиональному изготовлению, выделяя специальную статью затрат на маркировку и этикетирование продукции. При этом производитель стремиться, чтобы в этикетке был достигнут высокий уровень:

o кодирования (сжатия) информации;

o     выразительности;

o     целенаправленности;

o     действенности;

o     дизайна;

o     эстетического восприятия;

o     использования средств и методов рекламы;

o     достижений информатики, кибернетики и психологии в этой области.

Раскроем содержание основных терминов, имеющих отношение к данной проблеме.

Знак (символ) - в данном случае изображение, представляющее свойства, характеристики или отношение изделия и используемое для хранения и передачи информации.

Код - упорядоченная совокупность условных знаков, символов, предназначенная для передачи, обработки и хранения различной информации.

Марка <http://www.humanities.edu.ru/db/msg/2232> (производственная) - условное обозначение изготовителя продукции на изделии или его упаковке.

Реклама <http://www.humanities.edu.ru/db/msg/2232> - информация, включающая сведения о потребительских свойствах продукции и услуг для создания спроса на них с целью успешной реализации.

Прагматика <http://www.humanities.edu.ru/db/msg/2232> - направление науки, исследующей проблемы, связанные с интерпретацией знаков: их ясность, понятность, ценность и полезность для пользователя.

Разработчики знака должны, используя художественно-графические средства, вложить в изображение максимум смысловой нагрузки, обратить пристальное внимание на реализацию следующих требований:

·    удобство восприятия;

·    лаконизм языка художественной графики;

·              и, главное, понятность знака для целевой аудитории.

Знаки соответствия - знаки, подтверждающие уровень качества продукции и, обычно, употребляющиеся на сертификатах, таре и упаковках.

Так, например, первым всем известным отечественным знаком соответствия был "Знак качества".

Сегодня в странах Европейского сообщества наступает новый этап интеграционных процессов в вопросах сертификации продукции и маркировки изделий на предмет их соответствия требованиям общеевропейских норм и стандартов. В качестве единого для всех стран утвержден знак "СЕ".

Основными критериями применения знака "СЕ" являются следующие:

o единый знак должен отвечать только общепринятым требованиям и полностью заменяет положения соответствующих национальных законодательств;

o     знак указывает, что продукция может быть реализована на рынке без ограничения, так как она или производитель соответствует требованиям и осуществлены необходимые действия по оценке соответствия;

o     знак проставляется на продукции или в особых случаях на упаковке, сопроводительной документации;

o     знак проставляется лишь в том случае, если выполнены абсолютно все требования и директивы, предъявляемые к продукции, и проведена соответствующая проверка ответственным лицом;

o     указания на требования и стандарты, которым соответствует продукция, должны содержаться в отчетах об испытаниях и в сертификатах, а не в знаке;

o     при участии третьей стороны при проведении испытаний на соответствие знаку "СЕ" ей рекомендуется проставлять также и свой знак (штамп, клеймо);

o     только знак "СЕ", а не национальные знаки отражает соответствие требованиям законодательства стран Европейского сообщества.

В настоящее время знаки соответствия директивам ЕС ("СЕ") заметно повышают конкурентоспособность продукции. Они широко используются ведущими европейскими компаниями, что является показателем их заботы о высоком качестве продукции и пристального внимания к вопросам, связанным с безопасностью и экологией.

Несомненно, что к достижению тех же целей должны стремиться и отечественные производители. Производство продукции, отвечающей требованиям европейского знака соответствия, позволит беспрепятственно выходить на европейский и мировой рынки.

В том случае, если продукция имеет ограниченный срок хранения, быстро портящаяся, сертификат выдается не на продукт, а на систему управления качеством предприятия-производителя.

В России на изделия длительного пользования (теле-, радиоаппаратуру, холодильники, автомашины...) сертификат соответствия выдается сроком на три года.

С 1995 года одним из необходимых условий поставки продукции на европейский рынок стало обязательное нанесения штрихового кода.

Информация, запрограммированная в штриховом коде, изначально создавалась как средство передачи информации по всей цепочке, от изготовителя к оптовику, затем к розничному торговцу и, наконец, к покупателю. Штриховой код не только помогает узнать, когда, кому, куда, сколько, по какой цене была отгружена продукция, но и иметь информацию, какой товар, по какой цене пользуется сейчас наибольшим спросом в магазине, а также каковы его запасы, куда можно обратиться за их пополнением и т. д. Внедрение штрих-кода существенным образом облегчило инвентаризацию, контроль и учет, складирование продукции. Помимо этого продавец по просьбе покупателя может легко установить по штриховому коду фирму-поставщика данного товара для предъявления имеющихся претензий по качеству

Маркировка - это совокупность обозначений : текст, отдельные цветовые и графические символы, а также их комбинации (условные обозначения и рисунки ).

Она наносится или непосредственно на изделие, или на этикетку, ярлык, табличку, упаковку, тару. В зависимости от конкретных условий соответствующая информация должна указываться в сопроводительной документации обязательно к каждой единице продукции.

Поставщик несет ответственность за качество выполнения и достоверность информации, помещенной на маркировке. При этом понятие "поставщик" распространяется на любую организацию (изготовителя, импортера и т.д.), занимающуюся реализацией продукции.

Предусмотрены конкретные требования к маркировке . Она должна быть разборчивой, четкой, устойчивой к воздействию окружающей среды. Способы нанесения, применяемые для этого материалы должны не только указывать характеристики продукции, но и обеспечивать качество изображения в течение всего срока ее использования, эксплуатации.

Например, информация, содержащаяся в маркировке опасных веществ должна быть достаточной для обеспечения безопасности в обращении с ними и включать в себя следующие положения:

o наименование вещества, торговую марку;

o     классификационный шифр действующего стандарта на классификацию и маркировку опасных грузов, серийный номер ООН;

o     сигнальные слова "ОПАСНО", "ОСТОРОЖНО", которые выделяются жирным шрифтом и служат для привлечения внимания пользователя;

o     символы видов опасности, присущих данному веществу, выполненные на оранжевом или желтом фоне черным цветом;

o     описание опасности: пути проникновения и возможные последствия от воздействия вещества как на людей, так и на окружающую среду;

o     меры предосторожности и средства защиты, а также способы его безопасной утилизации. Для смесей веществ дополнительно указывается наименование и количество опасных веществ в каждой упаковке;

o     меры и действия для оказания первой медицинской помощи в случае поражения веществом;

o     полные данные поставщика;

o     номер партии продукции;

o     количество вещества в маркируемом контейнере, упаковке.

В настоящее время на международном уровне широкое распространение получила экологическая маркировка.

Сегодня в нашей стране пока еще отсутствует общепризнанная система экологической маркировки. В то время как экологические показатели продукции становятся все более и более значимыми при ее реализации, т.е. повышают конкурентоспособность изделий, учитывая и то, что и для потребителя далеко не последнюю роль играет общепризнанная эко-маркировка.

Условно эко-знаки делятся на три группы:

1. Знаки, указывающие на безопасность применения изделий, их свойств для окружающей среды. Применяются и как экологические символы, например, "Зеленая точка", " Белый лебедь", "Голубой ангел".

. Знаки (надписи) для обозначения изделий, поддающихся утилизации, и продукции, полученной в результате переработки вторичного сырья, а также призывающие к охране окружающей среды. В качестве примера может служить знак, применяемый в США для обозначения бумаги, полученной из вторичного сырья или эмблема вторичной обработки (ресайклинга) для маркировки продукции изготовленной из вторичного сырья, контейнеров и баков для сбора конкретного вида отходов и т.д.

. Знаки опасности, исходящей от изделий или веществ, их применения для человека и окружающей среды. Данный вид знаков, как правило, дублируется соответствующими надписями (огнеопасно, вредно, раздражитель и т.д.), а также пояснениями вредного воздействия, порядка применения и утилизации.

В ближайшем будущем проблемы экологической маркировки займут место среди первоочередных задач отечественной экономики. Экологическая маркировка в современном мире все более явно становится средством рекламы и конкурентной борьбы, что легко достигается путем установления протекционистских барьеров . Следовательно, рано или поздно российские производители вынуждены будут решать проблемы, связанные с экологической маркировкой.

Рассмотрим далее распространенные, общеизвестные символы и виды маркировки .

Такое решение проблемы было достигнуто благодаря сочетанию в символе основного элемента, характеризующего процесс (утюг - глажение, таз - стирка, квадрат - механическая чистка и т.д.) и дополнительного - ограничения или запрет данного вида обработки (цифры - температурный режим, косой крест - недопустимость обработки).

Маркировка консервов . Маркировка пищевой консервированной продукции осуществляется путем применения литографической или бумажной этикетки, включающей соответствующую информацию. На этикетку наносятся реквизиты предприятия-изготовителя, состоящие из его наименования, местонахождения, подчиненности и товарного знака, наименования самих консервов, их сорт, масса нетто, а также вид нормативной документации, требованиям которых соответствует качество данной продукции. Сообщается о пищевой и энергетической ценности консервов, сроках и условиях хранения, способе подготовки к употреблению и т.д.

В качестве дополнительной маркировки на крышках, донышке или этикетке банок несмываемой краской или методом рельефного маркирования наносятся условные обозначения. Их содержание в виде отдельных цифровых комбинаций обусловлено типом консервов и, обычно, состоит из нескольких рядов.

Так, например, на крышке рыбных консервов и пресервов в соответствии с ГОСТ Р 50106-92 маркировочные знаки наносят в три ряда:

ряд - дата изготовления;

ряд - ассортиментный номер;

ряд - номер смены.

Знаки-награды компаний, фирм, предприятий и организаций

Продвижение на мировые рынки национальных конкурентоспособных товаров - важный фактор стабильности экономики страны, улучшения показателей ее торгового баланса, а также решения проблемы занятости населения. В то же время, это и лучший вид пропаганды достижений экономического развития, повышения международного авторитета.

Поэтому многие страны проводят различные мероприятия (конкурсы, выставки), направленные на выявление компаний, фирм, предприятий и организаций своей страны, достигших наилучших показателей в экспорте товаров или услуг или содействии экспорту национальной продукции, с целью их поощрения и выделения в качестве положительного примера среди остальных производителей и поставщиков.

Это достигается присуждением компании или организации специального приза-премии за достижение в экспорте. Компания (организация) получает также право в течение определенного времени помещать на своих рекламных и деловых материалах и документах специальный знак (эмблему), олицетворяющую эти награды.

Например, в США наградами за выдающиеся успехи в экспорте являются Президентские "Е" и "E Star".

Таким образом, государство создает моральные стимулы для предпринимателей, чьи компании, успешно развивая экспорт, помогают своей стране.

Проблемы конкурентоспособности отечественных товаров и услуг, наращивания экспортной политики в настоящее время представляются особенно важными и актуальными. Для их решения необходимо учитывать и опыт промышленно развитых стран по моральному стимулированию лучших экспортеров. Поэтому правительственные органы должны уделить данному вопросу пристальное внимание и разработать систему поощрений российских предпринимателей, занимающихся развитием экспорта.

Манипуляционные знаки для маркировки грузов . Во время следования от производителя к потребителю товары очень часто перегружаются с одного вида транспорта на другой, сортируются и хранятся на огромных грузовых площадках и складах морских, речных и воздушных портов и железнодорожных станциях. Только правильная маркировка, т.е. нанесение на тару (упаковку) необходимой информации, позволит своевременно и правильно доставить груз потребителю, обеспечить надлежащее хранение, транспортировку и организацию погрузочно-разгрузочных работ. Для обеспечения оперативности обработки грузов на таре (упаковке) наносят соответствующую маркировку и маршрутные знаки, располагаемые в строго определенных местах.

Манипуляционные знаки, в отличие от маркировки, - это только условное графическое изображение требований обращения с грузом.

В России нанесение маркировки и манипуляционных знаков регламентируется положениями ГОСТ 14192-77 "Маркировка грузов". Следует подчеркнуть, что значительное место в маркировке отведено различным знакам безопасности, которые признаны предупредить об опасности, определить ее существенность, возможные последствия для здоровья и жизнедеятельности людей, дать инструкции, разъяснение, как ее избежать и предотвратить

КОНТРОЛЬНЫЕ ВОПРОСЫ

1.  Что представляют собой качество продукции и качество услуги?

2.  В чем сущность основных аспектов понимания категории "качество"?

3.  Какие причины обуславливают необходимость повышения и обеспечения качества продукции / услуг?

4.  В чем заключается значение УК на современном этапе?

5.  Проанализируйте соотношение таких категорий, как качество, ценность стоимость.

6.  Совпадает ли подход к качеству с точки зрения производителя и потребителя?

7.  В чем различие и сходство понятий "управление качеством" и "менеджмент качества"?

8.  Как соотносятся принципы конкурентоспособности и качества продукции?

9.  Каковы современные подходы и методы управления качеством?

10.Назовите основные стадии развития философии качества.

11.Назовите основные модели систем управления качеством в развитых странах.

12.Перечислите основные особенности японского опыта УК. В чем сущность опыта УК в США?

. Какие международные стандарты ИСО стали основой УК продукции и услуг во многих странах мира?

14. В чем сущность основных направлений развития УК в России применительно к условиям рыночных отношений При каких условиях возможно в России решение проблемы качества?

15.    Опишите сущности концепции TQM.

16.    В какой последовательности проводятся работы по созданию системы TQM?

17.    Определите место менеджера проекта в системе TQM.

18.    Какова структура совокупности знаний об менеджменте качества?

.        Каковы общие и общесистемные принципы TQM?

.        Каковы состав и взаимосвязи общих функций при разработке и внедрении системы TQM?

.        Назовите основные функции службы менеджмента качества в компании.

.        В чем различия и сходство понятий "сертификация" и "соответствие"?

.        Какие виды сертификатов вы знаете?

.        Перечислите основные виды документации по качеству, применяемые предприятиями/компаниями.

.        Назовите основные элементы качества по ИСО.

.        Перечислите виды нормативных документов в РФ в области сертификации.

.        Что представляет собой сертификация продукции и услуг?

.        Какие органы входят в организационную структуру сертификации?

.        Каков порядок проведения сертификации продукции?

30.    В чем заключается суть метода СФК?

31.    Перечислите основные этапы структурирования функции качества.

.        Что представляет собой FMEA-анализ?

.        Перечислите объекты FMEA-анализа.

.        Перечислите основные этапы проведения FMEA-анализа.

.        В чем заключается назначение контрольных листков?

36.    Какие компоненты описывает диаграмма Ишикавы?

37.    Что позволяют выявить диаграммы разброса?

.        Каким образом диаграмма Парето иллюстрирует принятие первоочередных мер по улучшению качества?

.        Перечислите основные виды контрольных карт.

40.    Применимы ли в российской практике методы "точно вовремя".

41.    В чем различие понятий "бизнес-операция" и "бизнес-процесс"? Какое понятие шире?

.        Бизнес-процессы включают управленческие процессы принятия решений?

.        Как соотносятся методы управления знаниями и информационные технологии?

МЕТОДИЧЕСКИЕ УКАЗАНИЯ ПО НАПИСАНИЮ КОНТРОЛЬНЫХ РАБОТ

.        Цели и задачи контрольной работы

Написание и защита контрольной работы является этапом изучения учебной дисциплины. В процессе ее выполнения студент не только закрепляет, но и углубляет и расширяет полученные знания по избранной теме, осваивает необходимые навыки научного творчества овладевает методами самостоятельной научной работы.

Контрольная работа отражает результаты самостоятельно проведенного студентом научного исследования. В ней студент должен показать умение грамотно излагать свои мысли, аргументировать выдвигаемые предложения, правильно и свободно пользоваться как общепринятой экономической, так и специальной финансовой терминологией.

2.      Выбор темы контрольной работы:

Выбор темы контрольной работы осуществляется в соответствии с кафедральной тематикой, содержащей как общетеоретические темы, так и темы отвечающие потребностям сегодняшней практики, направленные на решение проблем финансовой стабилизации и более эффективного использования финансовых ресурсов. В отдельных случаях студент может выбрать для своей контрольной работы тему, которая не вошла в утвержденную кафедрой тематику, но отражает его приверженность определенному направлению научных поисков. В этом случае студент может предложить свою формулировку темы контрольной работы, но она обязательно должна быть согласованна с научным руководителе и одобрена зав. кафедрой. Номера вопросов контрольной определяются по последней цифре зачетной книжки и соответствует последней цифре в номере вопроса (например, последняя цифра зачетной книжки 5, вопросы будут 5,15,25)

Тема контрольной работы может определяться и в соответствии с тематикой обсуждения актуальных вопросов на заседаниях научного студенческого кружка или проблемной группы. В этих случаях тема также должна быть всесторонне обоснована с точки зрения практической целесообразности ее разработки.

3.      Подготовка контрольной работы

Подготовка написания и оформления контрольной работы начинается с утверждения научным руководителем темы контрольной работы, ее плана и списка используемой литературы по избранной теме. Материал в курсовой работе располагается в следующем порядке:

1.  Титульный лист

2.  План работы

3.  Введение

4.  Текст работы (разбитый на разделы или параграфы)

5.  Заключение

6.  Список используемой литературы

7.  Приложения

Введение не должно раскрывать темы контрольной работы, так как оно не является содержательной частью работы.

Первый раздел, как правило, посвящен исследованию теоретических вопросов. В этом разделе рекомендуется затрагивать дискуссионные вопросы, но при этом обязательно следует излагать собственную авторскую позицию.

Во втором разделе проводится анализ финансирования рассматриваемого понятия (в зависимости от темы). Материалы анализа должны лежать в основе всей контрольной работы, служить ее аналитической базой.

Контрольная работа должна быть выполнена в масштабном виде (с использованием MS WORD, MS EXCEL), ее объем не должен превышать 15 страниц без приложений.

4. Предъявление контрольной работы на кафедру

Законченная контрольная работа представляется на кафедру, где лаборант кафедры регистрирует ее и отдает преподавателю на проверку. После проверки преподаватель отдает студенту, затем студент защищает свою контрольную работу.

5. Перечень вопросов для выполнения контрольной работы

1.  Понятие качества

2.      Значение повышения качества

.        Стадии формирования качества

.        Оценка качества продукции

.        Качество и конкурентоспособность продукции

.        Контроль качества

.        Взаимосвязь общего менеджмента и менеджмента качества

.        Международные стандарты ИСО серии 9000 по управлению качеством продукции

.        Отечественный опыт управления качеством

.        Учет и анализ затрат на качество продукции

.        Управление качеством в Германии

.        Понятие сертификации продукции

.        Этапы проведения сертификации системы качества

.        Этапы формирования и виды затрат на качество продукции

.        Методы анализа затрат на качество продукции

.        Анализ брака и потерь от брака

.        Система качества в США

.        Пять звезд качества

.        Защита прав и интересов потребителя

.        Планирование и стимулирование качества продукции

.        Оценка технического уровня продукции

.        Этапы развития систем качества

.        Опыт Японии в обеспечении качества

.        Техническое обеспечение надежности

.        Показатели надежности

.        Выборочный контроль

.        Преимущества сертификации продукции

.        Принципы применения ФСА

.        Этапы проектного анализа

.        Программа перехода на международные стандарты менеджмента качества

Рекомендуемая литература

1.  Гиссин В.И. "Управление качеством" - Москва: ИКЦ Март, Ростов- на - Дону: Издательский центр Март 2003г.

2.      Стандартизация и управление качеством продукции: Учебник для вузов. Под редакцией профессора В.А. Швандара - Москва: ЮНИТИ - ДАНА 2001г.

.        "Управление качеством" : Учебник для вузов / С.Д. Ильенкова, Н.Д. Ильенкова, В.С. Мхитарян; Под редакцией С.Д. Ильенковой - Москва: ЮНИТИ - ДАНА 2003г.

.        Гончаров А.А. "Метрология, стандартизация и управление качеством" Учебное пособие для студентов высших учебных заведений А.А. Копылов Москва 2005 г

.        Никифоров А.Д. "Метрология, стандартизация и управление качеством" Учебное пособие 2006 г

ЗАДАНИЯ ДЛЯ САМОСТОЯТЕЛЬНОЙ РАБОТЫ

1.Проанализируйте, какому из этапов развития философии качества соответствует система качества на вашем предприятии.

2.Определите место целевой системы управления качеством в системе управления предприятием / организацией. Какова структура системы управления качества на вашем предприятии? Проанализируйте основные направления развития этой системы на вашем предприятии.

3.Дайте классификацию показателей качества продукции и услуг по важнейшим классификационным признакам.

4.Проведите классификацию показателей качества услуг.

5.Какие типовые методы оценки чаще применяют при проведении оценки уровня качества продукции и услуг?

6.Определите наиболее актуальные направления деятельности менеджеров по управлению качеством.

7.Представьте, что вы руководитель крупного производственного объединения. Какие работы следует выполнить при формировании программы, связанной с повышением квалификации работников в области качества и управления им, в рамках целевой программы "Качество"?

8.Является ли безотказность основным показателем качества? Приведите примеры безотказной продукции низкого качества. Какими показателями оценивается качество продукции/услуг вашего предприятия?

9.Всегда ли конкурентоспособность означает качественность? Приведите примеры качественной, но неконкурентоспособной продукции, конкурентоспособной, но некачественной.

10.    Проанализируйте, каковы ключевые факторы успеха в области управления качеством в отраслях производящих:

а)  одежду;

б)  прохладительные напитки;

в)  деревообрабатывающие станки;

г)  автомобили;

Какие показатели качества в каждой отрасли вы могли бы назвать?

. Проверьте правильность нижеперечисленных утверждений.

а)  ответственность за качество должна быть коллективной;

б)  реальное повышение качества может быть реализовано как на основе новых технологий, так и без оных;

в)  качество - это то, что говорит потребитель, а не изготовитель;

г)  политика предприятия должна учитывать политику в области качества.

12. Укажите неточности в нижеприведенной последовательности разработки системы менеджмента качества:

а)  проводится обследование производства и подготавливается специальный доклад;

б)  разрабатывается Руководство по реализации Программы качества;

в)  на специальном совещании обсуждаются детали, сроки и организация выполнения Программы качества и Руководства, вносятся необходимые исправления и принимаются решения (в том числе по обучению и аттестации персонала);

г)  мероприятие из Программы и Руководства включаются в общий план предприятия/компании/проекта;

д)  производится выбор системы менеджмента качества;

е)  Программа качества и Руководство запускаются в производство;

ж) осуществляется поддержка системы и защита интересов предприятия.

13. Для чего лицам и организациям, ответственным за обеспечение качества, нужно обладание достаточными полномочиями? Внесите необходимые, на ваш взгляд, уточнения.

·   иметь право участвовать в решении проблем качества;

·   формулировать проблемы качества;

·   проверять исполнение решений;

·   запрещать поставку или установку оборудования, конструкций и материалов, не удовлетворяющих установленным требованиям.

14.    Организационная система сертификации включает (скорректируйте при необходимости):

· аккредитирующие органы;

· управляющие органы;

· сертифицирующие организации;

15.    Сертификация включает следующие этапы (скорректируйте при необходимости):

· планирование;

· подготовку;

· собственно сертификацию;

· заключительные операции.

16.    Что является объектом сертификационной деятельности?

♦  проектная продукция;

♦  (дополните).

17.    Проанализируйте свою обычную деятельность. Выделите бизнес-операции и бизнес-процессы и постройте схему вашей повседневной деятельности с точки зрения этих элементов.

18.    Для каждого метода приведите примеры этапов задач управления качеством, для которых эти методы ограничено, применимы (например, метод "точно вовремя" неприменим на этапе разработки концепции управления качеством)

Похожие работы на - Управление качеством

 

Не нашли материал для своей работы?
Поможем написать уникальную работу
Без плагиата!
Без нейросетей!