Выбор потребителем сотового оператора и тарифного плана
ФЕДЕРАЛЬНОЕ
АГЕНТСТВО ПО ОБРАЗОВАНИЮ
ФЕДЕРАЛЬНОЕ
ГОСУДАРСТВЕННОЕ БЮДЖЕТНОЕ ОБРАЗОВАТЕЛЬНОЕ УЧРЕЖДЕНИЕ ВЫСШЕГО ПРОФЕССИОНАЛЬНОГО
ОБРАЗОВАНИЯ «ЮЖНО-РОССИЙСКИЙ ГОСУДАРСТВЕННЫЙ ПОЛИТЕХНИЧЕСКИЙ УНИВЕРСИТЕТ имени
И.М.ПЛАТОВА
(НОВОЧЕРКАССКИЙ
ПОЛИТЕХНИЧЕСКИЙ ИНСТИТУТ)»
ФАКУЛЬТЕТ
ФМФ
КАФЕДРА
Прикладная математика
СПЕЦИАЛЬНОСТЬ
Математическое моделирование в экономике и технике
ЭССЕ по
учебной дисциплине
Экономика на
тему: «Выбор потребителем сотового оператора и тарифного плана»
Выполнил студент 2 курса, 2-3 группы
Ларионов И.И.
Новочеркасск
2014
Оглавление
Введение
. Ключевое положение
. Проблема выбора сотового оператора
и тарифного плана
. Модели поведения потребителя
Заключение
Список литературы
Приложение
Введение
Актуальность темы исследования
На потребительском рынке РФ в минувшие дни
стремительно возросла конкуренция, рыночная внутренняя структура усложняется,
постоянно возрастает появление новых продуктов, как и способы их маркетинга и
дистрибуции. Изменения эти касаются и рынка сотовой связи в значительной мере,
и о данном рынке можно говорить как о таком, который является наиболее сложно
организованном рынке потребителя. Поэтому потребитель довольно нередко
осуществляет переход от одного мобильного оператора связи к другому, что вызвано
такими причинами, как:
а) различная ценовая политика;
б)качество получаемой связи, которая
предоставляется телекоммуникационными компаниями.
Степень разработанности проблемы:
Рассматриваемая мною проблема существует не так
давно и по своей сущности является бытовой. Научных работ, теорий и различных
методов ей посвящено не было. Но на сегодняшний день весомым является тот факт,
что Государственная Дума Российской Федерации осуществила принятие Федерального
закона « О смене сотовых операторов с сохранением номера», тем самым, по факту,
отменяя «мобильное рабство», то есть предоставила возможность абонентам менять
сотовых операторов, сохраняя при этом прежний номер. Закон вступил в силу с 1
декабря 2013 года. Операторы смогут взимать плату за сохранение своего номера
при переходе от одного оператора мобильной связи к другому, однако стоимость
услуги не должна будет превышать ста рублей то есть, говоря простыми словами,
данный закон позволяет абонентам осуществлять смену мобильного оператора, но,
при этом, сохранять номер своего телефона. Еще сравнительно недавно эта
проблема была значительной, потому что в случае, если мобильный оператор по
различным причинам перестал быть выгодным пользователю (например, если он
увеличил стоимость своих услуг, или, к примеру, если качество связи, которая им
предоставляется, ухудшилось), то в этом случае пользователь оказывался в
достаточно сложном положении : ему или необходимо было изменить номер своего
телефона (а следовательно- для многочисленных контактов быть потерянным, или
находится в весьма неудобной ситуации и сообщать всем о смене номера своего
телефона) или же продолжать пользоваться услугами такого мобильного оператора,
которые, ясное дело, являются для него невыгодными, а, тем самым,
неподходящими.
Цель и задачи исследования:
В данном исследовании мне бы хотелось
рассмотреть следующие вопросы:
· по какому критерию абонент
осуществляет выбор для себя оператора мобильной связи;
· по какому критерию абонент
осуществляет выбор тарифного плана.
И эти вопросы связаны с тем, чтобы использование
этих услуг было для абонента выгодным.
Объект исследования:
Для моего исследования я выбрал следующие
объекты - это такие операторы мобильной связи, как TELE2 и Megafon (см. прил.
Рис. 2,3). И, основываясь на сравнении данных операторов, мне будет
предоставлена возможность показать практически, какая из выбранных мной для
исследования сотовых связей окажется выгоднее.
Предмет моего исследования:
Сравнение выбранных мною для исследования
операторов мобильной свзяи- это составляет предмет моего исследования. (см.
график 1). Осуществляя сравнение тарифных планов данных операторов, можно
сказать о том, что особенно большой разницы в тарифных планах нет, но
обслуживание Интернет- соединения у Мегафона является наиболее выгодным и быстрым
( в связи с использованием соединения 4 G
), чем у Теле 2. ( см. график 2).
График 1- количество абонентов пользующиеся
разными видами сотовой связи (2014 год).
График 2-Статистика выхода интернет по сотовым
операторам
1. Ключевые положения
Если говорить об особенностях выбора абонентом
мобильного оператора связи, то они состоят в следующем:
· Осуществление потребления мобильных
услуг связи является индивидуальным, так как каждый из абонентов является
уникальным пользователем, на которого влияют различные внешние факторы ( размер
платы за услуги сотовой связи, а так же фактор сезонности и времени дня или
ночи);
· Так же выбор находится в зависимости
от таких личных характеристик абонента, как круг лиц, с которыми он общается а
так же ценовая эластичность. Следовательно, можно сказать о том, что агенты-
абоненты, являются существенно гетерогенными.
· Потребление абонентом услуг является
неравномерным по времени, а так же находится в зависимости от сезона, от
времени суток, когда они используются.
· Для рынка являются характерными
множественные обратные связи. К примеру, приток новых пользователей приводит к
тому, что снижается качество связи, что обуславливаются ростом трафика, и уменьшает
динамику роста пользователей.
Каждое из явлений для абонента возможно зависит
от его личных характеристик, текущего и предшествующих состояний его и других
лиц, « среды» в целом. К примеру, событие, которое заключается в том, что
абонент посещает салон связи, может быть вызвано разнообразными событиями-
триггерами: рекомендациями друзей, появлениям новых тарифных планов или
достижениями предельного значения «неудовлетворенности» от качества услуг связи
другого оператора.
Выбор пользователя мобильной связи определяется
возможной выгодностью тарифа, так же рекомендацией дилера, его первоначальными
предпочтениями и инерционным фактором. Для того, чтобы определить выгодность
тарифа в тот момент, когда производится выбор, абонент осуществляет оценку возможных
стоимостных расходов, учитывая свой профиль пользования услуг.
. Проблема выбора сотового оператора и тарифного
плана
Рано или поздно, но каждый абонент задумается
над вопросом, какой же тарифный план ему выбрать. Ответить на этот вопрос не
трудно- нужно лишь определиться, что каждому конкретному абоненту нужно от
сотового телефона, сколько денежных средств он рассчитывает тратить на
мобильную связь и, собственно, какие услуги данной связи абоненту необходимы.
Во- первых, необходимо решить вопрос с тем, как
много вы собираетесь совершать разговоры по мобильному телефону. Является ли
для вас достаточным недлительные разговоры, которые продолжаются несколько
минут, или сотовый телефон служит вам для продолжительных разговоров и
безлимитный тариф был бы для вас наиболее выгодным решением.
Во- вторых, одним из важнейших факторов является
территориальная граница вашего общения: нуждаетесь ли вы в роуминге или в
частых звонках в другие города, страны.
В- третьих, для того чтобы верно подобрать
нужный вам тарифный план, необходимо определить временные рамки вашего общения-
выходные дни или будни, утро или вечер. И, в заключении, четко определив для
себя, что вам нужно, вам необходимо проанализировать тарифные планы, которые
предлагаются операторами сотовой связи.
Нужно сказать о том, что применительно к
качеству предоставляемой связи, а так же к расценкам, у таких лидеров рынка
сотовой связи, как- Мегафон, Билайн, МТС, то они являются сопоставимыми, а
разница состоит в пакетах их услуг.
В предлагаемых нам тарифных планах разобраться
не так уж и сложно, так как операторы сотовой связи, обычно, на выбор
предоставляют приблизительно пять- шесть тарифов, а иные же предложения есть
ничто иное, как различная вариация бонусов, услуг и дополнительных скидок.
Но, если нам нужен самый выгодный, самый дешевый
тариф, как его выбрать?
Жаль, но не существует заготовленной инструкции.
Но всегда можно подобрать необходимый именно вам тарифный план, а это значит
то, что вы будете производить только те затраты, которые вы считаете
необходимыми и достаточными при том уровне телефонной активности, которому вы
придерживаетесь. Не стоит забывать лишь о том, что чем выше ваша телефонная
активность, тем, соответственно, будут выше затраты, которые вы будете
производить.
Что же необходимо знать еще про тарифные планы
операторов сотовой связи?
Все тарифы, которые предоставляются Мегафон,
Билайн, МТС, Теле 2 мы можем разделить на следующие группы- это такие тарифные
планы, в которых присутствует абонентская плата (безлимитные тарифы), и, соответственно,
тарифы без абонентской платы, и корпоративные тарифы.
Если говорить об абонентской плате, то она
подразумевает под собой больше обязательств перед компанией, предоставляющей
сотовую связь, но, одновременно с этим, получается больше бонусов от мобильного
оператора связи. Например, если говорить о компании МТС, то корпоративным
клиентам данная компания предлагает выбрать красивые номера, так же она
предоставляет услуги по резерву золотых номеров для таких абонентов, которые
готовы затрачивать большое количество своих денежных средств на услуги связи. В
этом случае, лица, которые осуществляют поставку услуг мобильной связи, рады
подстраиваться под то, что нужно крупным клиентам для того, чтобы их
удерживать. Стоимость минуты разговора, если мы говорим о безлимитном тарифе,
будет в разы ниже, и это без учета различных сопутствующих скидок, бонусов и
льгот. Но стоит отметить, что безлимитные тарифы придутся вам по душе только в
том случае, если вы в действительности много общаетесь по мобильному телефону,
а так же много времени проводите за границей, или часто звонить родным и
близким в другие регионы, долгое время проводите в интернете с вашего
мобильного телефона. Если же вы не общаетесь столько, и вы тщательно следите за
вашими расходами, потраченными на мобильную связь, то вам лучше всего будет
остановить свой выбор на таком пакете услуг, который без абонентской платы.
Здесь минута разговора будет стоить дороже, но вы будете осуществлять оплату
только за сам разговор.
При анализе тарифов ведущих операторов сотовой
связи, обратите свое внимание на тот факт, что операторы часто предлагают такие
тарифные планы, в которых абонентская плата не явно выражена, но она там все же
есть, но в скрытой форме, привлекательной для абонента. К примеру, можно привести
услугу « Любимые номера» , за пользование который взымается абонентская плата,
а, как следствие- стоимость одной минуты разговора возрастает автоматически.
Так же, осуществляя переход на другой тарифный
план, необходимо заранее узнать, о наличии скрытых или дополнительных услуг,
опций. Не редко, осуществляя разработки новых тарифов, компании, параллельно
осуществляют продвижение мобильного контента или услуг для того, чтобы
осуществить понижение стоимости звонков в международном роуминге или внутрисетевом.
Поэтому, необходимо внимательно изучать все предложения и понимать о тех
платных услугах, которые подключены на вам мобильный номер- тем более что от
них можно всегда отказаться.
Так, если вы не пользуетесь мобильным телефоном
часто, то самым верным для вас будет выбрать тариф с абонентской платой,
которая будет минимальной или будет отсутствовать. Можно дополнительно
осуществить подключение бесплатных минут, смс, но здесь уже дело зависит от
ваших личных потребностей.
Для того, чтобы сэкономить, можно осуществить
приобретение сим-карт у различных мобильных операторов и, в зависимости от
вашего положения или ситуации, осуществлять их установку в телефон. Данный
выход принесет, конечно, много неудобств, так как мало кому будет приятно часто
разбирать и собирать телефон, а так же иметь много номеров, что создает
трудности для других абонентов.
И так, в заключении, нужно отметить то, что для
каждого человека тарифный план свой. Не существует идеальных тарифов сотовой
связи, но, основываясь на потребности клиента, можно подобрать такой тарифный
план, который будет соответствовать « цена- качество».
. Модели поведения потребителя
Теперь мы осуществим рассмотрения нескольких
особенностей выбора абонентом мобильного оператора и тарифа с позиции
микроэкономического подхода, проводя анализ разных вариантов возможного
поведения потребителя.
Две кривые безразличия, U1 и U2, которые
пересекаются в точке А. Так как точки А и В обе располагаются на кривой
безразличия U1 ,то в этом случае абонент безразличен по отношению к мобильным
операторам, то есть он его не собирается осуществлять его замену. Так как А и D
располагаются на кривой безразличия U3,1 то абоненту эти операторы так же
являются безразличными. Таким образом, абоненту должен являться безразличным и
выбор между В и D. Но это не является правдивым: рыночное предложение В
является более предпочтительным, чем корзина D1, так как оно находит в себе
содержание более выгодного варианта тарифа, так как оно предусматривает больше
минут по меньшей стоимости. И, можно говорить о том, что пересечение кривых
безразличия является противоречивым нашему допущению о том, что большее
количество минут является наиболее предпочтительным, чем меньшего.
Конечно, есть бесконечное множество
непересекающихся кривых безразличия (по одной для каждого возможного уровня
удовлетворения).Любое возможное рыночное предложение, на деле же, которое
является соответствующим точки на графике, имеет кривую безразличия, которая
проходит через нее.
На рисунке (см.прил.рис 1.), если осуществлять
движение вдоль линии U1-3,
то предпочтения, которые принадлежат абоненту, не будут изменяться, так как он
не является заинтересованным в том, чтобы использовать услуги мобильного
оператора по различным причинам, это может быть как нежелание лица использовать
мобильный телефон, так и дорогая стоимость тарифа.
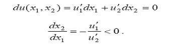
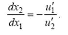
Рассматривая функцию U (x1
(минуты), x2(цена),
вдоль графика на рис.3 приращение будет равно нулю, так как это будет
демонстрировать безразличие абонента в оператору сотовой связи, и, в этом
случае, линейную часть графика можно считать равной нулю. Здесь полезность же
услуг оператора сотовой связи, а так же модель выбора абонента будет выглядеть
так:

Здесь производная цена будет являться больше
нуля, а не равной ему и будет выглядеть так.
Если мы будем двигаться вдоль кривой от
тарифного плана А к тарифу B, то мы видим здесь, что абонент может согласиться
на 6 кратное увеличением цены, чтобы осуществить получение дополнительные минут
разговора и услуги . Но, если мы переместимся из точки В в точку D , то в этом
случае он согласится только с 4 кратным увеличением, чтобы осуществить
приобретение дополнительных опций (услуг); осуществляя переход из точки D в
точку E, он согласится пожертвовать лишь 2 -умя опциями (услугами). И так, чем
длительнее время разговора и меньше стоимость , тем больше потребитель готов
отдать, чтобы получить больше времени. И, чем больше времени, которое имеется у
абонента, то тем меньше денег он отдаст в обмен на большее количество времени.
При предельной норме замены тарифа , то есть
абонент находится в поиске наиболее сбалансированного варианта услуг мобильного
оператора связи. И, здесь, набор потребителя, будет иметь следующий вид:
Здесь справедливым будет:
И так, предельная норма замены тарифа мобильного
оператора связи :
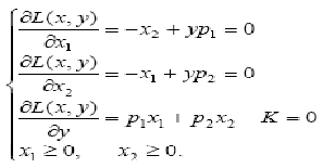
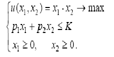
И, наконец мы можем осуществить рассмотрение
следующего: абонент осуществляет пользование тарифов мобильных операторов
связи. Есть следующие цены : p1
и p2, а x1 и x2 - тарифные планы. Можно
представить их следующим образом:
Применяя функцию Лагранжа , где K - является предполагаемым доходом
абонента. Осуществим решение системы уравнений:
Затем:
Итак, будет являться решением всей той системы
следующий вид уравнения использования абонентом двух тарифных планов:
Следовательно, затрачивание денежных средств
абонента при использовании двух тарифов различных мобильныхх операторов связи ,
то есть, используя две сим-карты, является половиной его общего дохода,
разделенного на стоимость тарифных планов.
В целом, абоненты отдают свое предпочтение
сбалансированным тарифам мобильных операторов связи, сравнительно с теми
тарифными планами, содержащие одну опцию. Из (см. прил.рис. 1,2.) мы видим, что
фактически сбалансированный тариф, который содержит в себе несколько опций
определения стоимости, является приносящим такое же удовлетворение, как и
другой тариф, но который содержит одну опцию тарифного плана. Тогда как
сбалансированный тариф (6 опций) будет приносить наибольшее удовлетворение
абоненту.
Заключение
В заключении, необходимо сказать, что нами был
рассмотрен процесс выбора абонентом мобильного оператора связи, а так же
тарифного плана. Потребитель исходит из рационального пользования систем связи
для того, чтобы боле эффективно осуществить применение затрат на услуги
мобильной связи. И, можно сказать об эффективном экономическом поведении
абонента при осуществлении им выбора мобильного оператора связи и тарифного
плана. Абонент четко понимает и представляет, как он будет использовать услуги
предоставляемой ему связи и, учитывая свои предпочтения, осуществляет принятие
решения о выборе соответствующего тарифного плана, и мобильного оператора
связи.
Список литературы
1. Афанасьев В.В., Горностаев Ю.М.
Эволюция мобильных сетей // Серия изданий «Связь и бизнес». М.: ИТЦ «Мобильные
коммуникации», 2009. - 206с.
. Гордеев Ю. Перспективы
мобильной связи в России из первых рук // Мобильные телекоммуникации. 2011,
№03. - 26-37с.
. Михайлов А.П., Самарский А.А.
Математическое моделирование: Идеи. Методы. Примеры. 2-е изд., испр. - М.:
ФИЗМАТЛИТ, 2010. - 152с.
. Рейман Л.Д. Теория и практика
функционирования инфокоммуникационных рынков. М.: Олма-пресс, 2009. - 147с.
мобильный связь тариф оператор
Приложение
Рисунок 1-Выгодный тарифный план сотового
оператора Tele2
Рисунок 2 - Выгодный тарифный план сотового
оператора МегаФон
Рисунок 3-Кривая безразличия к сотовому
оператору
Рисунок 4 -Карта кривых безразличий при выборе
сотового оператора и тарифного плана