Расчет основных технико-экономических показателей швейного цеха по изготовлению женского халата
Курсовая
работа
на тему
Расчет
основных технико-экономических показателей швейного цеха по изготовлению
женского халата
по
дисциплине
«Экономика
отрасли»

Рисунок 1.1 - Модель 1

Рисунок 1.2 - Модель 2
Таблица 1 - Исходные данные для расчета плановых
показателей швейного цеха
|
Показатели
|
Исходные
данные
|
|
1.
Наименование ассортимента продукции
|
женский
халат
|
|
2.
Количество пошиваемых моделей, ед.
|
2
|
|
3.
Количество основных производственных рабочих на потоке, чел.
|
27
|
|
4.
Средняя трудоёмкость изделия, ч.
|
0,586
|
|
5.
Средняя суммарная сдельная расценка за пошив, руб.
|
34,275
|
|
6.
Средний процент выполнения норм выработки рабочими, %
|
103,5
|
|
7.
Производственная площадь потока, кв.м.
|
189,4
|
Sц - рассчитывается
по формуле (1)
Sц= (Nф*Sн) + 0,15(Nф*Sн)= (27*6,1)
+ 0,15(27*6,1))= 189,4 
(1)
ц - производственная площадь потока,

Sн - норматив
площади на 1 рабочего, 
Nф -
фактическое количество основных производственных рабочих на потоке, чел.
ВВЕДЕНИЕ
Экономика - это область человеческой
деятельности, которая служит удовлетворению человеческих потребностей и
является общим объектом для экономических наук. Естественной целью
экономической деятельности является потребление, важнейшей сферой -
производство. Экономика рассматривает хозяйственный процесс, как в целом, так и
с точки зрения интересов отдельного предприятия.
В процессе длительной эволюции во
всех странах мира утвердилось господство рыночной экономики как основной и
наиболее эффективной формы ведения хозяйства. Ее основу составляет товарное
производство. Под ним понимается производство продуктов отдельными, частными, обособленными
производителями, каждый из которых специализируется на выработке одного
какого-либо продукта, поэтому для удовлетворения общественных потребностей
необходима купля- продажа продуктов на рынке, их обмен.
В России до перехода от
административно-плановой к рыночной экономике промышленность имела высокую
степень концентрации и практически на 90% обеспечивала отечественных
потребителей товарами, затем произошла либерализация цен на все товары и
продукты. В связи с новыми условиями работы иностранные фирмы практически
вытеснили с нашего рынка отечественных производителей. Экономика страны
стабилизировалась на базе рыночных отношений.
Швейная промышленность является
одной из ведущих отраслей легкой промышленности, целью которой является
удовлетворение потребностей всех возрастных групп населения в одежде. Рынок
товаров швейной промышленности, в том числе и швейных изделий, относится к
числу рынков с развитой конкуренцией (в отрасли значительное количество
предприятий, выпускающих верхнюю одежду; большое количество оптовых
поставщиков; высокая доля импорта). Особенностью легкой промышленности является
быстрая и высокоэффективная отдача вложенных средств. Технологические
особенности отрасли позволяют осуществлять быструю смену ассортимента
выпускаемой продукции при минимуме затрат, что обеспечивает высокую мобильность
производства.
Предприятия легкой промышленности
расположены практически во всех субъектах Российской Федерации. Доля
российского производства в общем объеме оборота товаров легкой промышленности в
России составляет всего 20%.
В последние годы отечественная
швейная промышленность довольно успешно сотрудничает с зарубежными странами,
используя форму международной кооперации, т.е. размещение заказов на российских
предприятиях на производство одежды по моделям и из материалов зарубежных
стран. Иностранных производителей привлекают в нашей стране высокий уровень
профессиональной подготовки рабочих при низкой стоимости труда, территориальная
близость к западному рынку.
Сотрудничество с развитыми странами
в швейном производстве позволяет улучшать качество продукции, сделать ее более
конкурентоспособной на внутреннем и мировом рынках.
1. ОСНОВЫ ПЛАНИРОВАНИЯ НА
ПРЕДПРИЯТИИ
В понятие планирования входит:
понятие и путей и целей их достижения. Основные задачи планирования - это
заключение хозяйственных договоров и определение конкурентно-способного
ассортимента продукции. Новые условия работы предприятий связаны не только с
возрастающим фактором риска, но и с преимуществами свободного ценообразования,
возможностью свободного выбора поставщиков и потребителей, повышение качества
продукции.
Основная цель предприятия - это
повышение эффективности производства, освоение свободных рынков с
конкурентоспособной продукцией и получение максимальной прибыли.
Для эффективного функционирования
рыночной экономики:
1. Максимальная свобода предприятий
2. Полная ответственность предприятий за
результаты своей деятельности
. Конкуренция производителей, ведущая к
увеличению объёма продукции и повышению качества продукции, снижению затрат на
производство и стабилизацию цен.
. Свободное ценообразование - рынок может
существовать только тогда, когда большинство цен устанавливается свободно, на
основании баланса спроса и предложений.
. Обеспечение социальной защиты граждан.
1.1 Годовой план
предприятия
Предприятие - это самостоятельно хозяйствующий
субъект, созданный для производства продукции, выполнения работ, оказания
услуг. Предприятие может функционировать в любой сфере экономики, отрасли
промышленности и т.д., может осуществлять один или несколько видов
деятельности. Основными целями деятельности предприятий является: получение
прибыли; удовлетворение потребностей общества в продукции, работах и услугах;
обеспечить социальное развитие работников предприятия.
План - это документ, отражающий систему
взаимосвязанных решений, направленных на достижение желаемого результата.
Планирование - это определение целей и задач
предприятия на определенную перспективу, анализ способов их реализации и
ресурсного обеспечения.
На предприятиях разрабатывают три вида планов:
. Перспективный (стратегический).
. Текущий.
. Оперативный.
Перспективные планы разрабатываются на несколько
лет и определяют стратегию и развитие предприятия в целом. (Они позволяют
работать с перспективой, осуществлять подготовку производства, налаживать
постоянные связи по материально-техническому обеспечению и сбыту продукции). На
основе этих планов разрабатывают текущие планы - это годовые планы предприятия
по квартальной разбивке. Чтобы обеспечить бесперебойность и равномерность
производственного процесса, на предприятии необходимы планы на более короткие
отрезки времени. Разработкой таких планов занимается оперативное планирование,
которое включает: составление календарных планов - месячных, декадных ,
недельных, суточных, сменных, часовых, и оперативное регулирование
производства. Основным видом планирования на предприятии является годовой план,
в нем планируются все стороны деятельности работы предприятия:
производственная, техническая, финансовая, социального развития.
Годовой план состоит из следующих разделов:
. План производства продукции, работ и услуг. В
этом разделе устанавливается ассортимент выпускаемой продукции, объем
производства, объем реализации. Планируются мероприятия, обеспечивающие рост
производительности труда, снижения себестоимости продукции и повышения
качества. При разработке этого плана учитываются: опыт передовых отечественных
и зарубежных предприятий; достижения НИИ, конструкторских бюро и
машиностроительных заводов.
. План технического развития - это план
технического прогресса на предприятии, в котором разрабатываются мероприятия по
внедрению новой техники и технологии, экономического использования материалов и
мероприятия по научной организации труда.
. План мероприятий материально - технического
снабжения. В нем определяется потребность в основных и вспомогательных
материалах, топливе, электроэнергии, запчастях и т.д.
. План по труду и кадрам (организационный план
предприятия). В нем определяется потребность предприятия в рабочей силе,
планируется фонд оплаты труда, среднемесячная заработная плата и показатели
производительности труда.
. План капитального строительства и капитальных
работ. В этом разделе планируются объекты капитального строительства и ремонта,
их стоимость и источники финансирования. Главной задачей капитального
строительства в промышленности является создание новых, расширение,
реконструкция и техническое перевооружение действующих производственных
мощностей.
. План по себестоимости, прибыли и
рентабельности. В этом разделе определяется себестоимость отдельных видов
продукции и всей товарной продукции, определяется сумма прибыли от реализации и
от всей производственно-хозяйственной деятельности предприятия и рассчитываются
показатели рентабельности изделия.
. План мероприятий по охране окружающей среды и
рационального использования природных ресурсов. В этом разделе планируются все
мероприятия по защите природы и улучшению экологии (охрана воздушного бассейна,
охрана и рациональное использование земель, минеральных ресурсов).
. Финансовый план предприятия. В этом плане
составляется баланс доходов и расходов предприятия. Устанавливаются
взаимоотношения с госбюджетом и кредитными организациями, определяется
потребность в оборотных средствах предприятия. В условиях рынка предприятия самостоятельно
разрабатывают плановые показатели.
1.2 Маркетинг на
предприятии
Маркетинг («market»
- рынок, перевод с английского) - это комплексная система организации
производства и сбыта товара или оказания услуг, основанная на предвидении и
удовлетворении спроса потребителя.
В условиях рыночной экономики деятельность
предприятия должна осуществляться на принципах маркетинга. Основой
маркетинговой деятельности являются ее цели - это определенный количественный
или качественный результат, которого следует достигнуть к определенному моменту
времени.
Задачами маркетинга являются:
формирование и стимулирование спроса;
обеспечение обоснованности принимаемых
управленческих решений;
расширение объема продаж рыночной доли и
прибыли.
Деятельность предприятия должна основываться на
глубоких и достоверных знаниях потребительского спроса, поэтому с этой целью
проводятся маркетинговые исследования, на основе которых разрабатывается
производственная программа предприятия.
Маркетинговое исследование - это вид маркетинговой
деятельности, направленной на приспособление производства к требованиям
конкретных потребителей. К задачам, позволяющим осуществить достижение цели
можно отнести:
определение условий, при которых достигаются
оптимальные соотношения между спросом и предложением товаров на рынке;
выявление конкурентных позиций конкретных видов
продукции фирмы и самой фирмы на изучаемом рынке;
ориентация производства на выпуск изделий,
обеспечивающих максимальный объем продаж и прибыли.
2. ПЛАН ПРОИЗВОДСТВА ПРОДУКЦИИ, РАБОТ И УСЛУГ
План производства продукции и услуг является
ведущим разделом годового плана предприятия, т.к. на его основе ведется расчет
основных разделов годового плана предприятия. В этом разделе планируется
ассортимент выпускаемой продукции, объем производства в натуральных
показателях, стоимостных показателях и нормо-часах, объем реализованной
продукции и рассчитывается производственная мощность предприятия.
Исходной информацией для разработки плана
производства продукции являются:
Результаты маркетинговых исследований рынка
швейных изделий, тканей и других материалов;
Данные о производственной мощности предприятия;
Расчеты финансовых возможностей предприятия;
Сведения о запасах материалов на складах
предприятия;
Годовой объем производства принято подразделять
по кварталам.
Планирование ассортимента продукции. Важной
задачей всех предприятий швейной промышленности является систематическое
улучшение и обновление ассортимента с учетом спроса населения и изменений
направлений моды. Для лучшего удовлетворения спроса населения в швейных
изделиях планирование ассортимента должно осуществляться с учетом сезонного
потребления.
2.1 Расчет объема
производства в натуральном выражении
Расчет плана производства продукции и услуг
начинается с определения выпуска продукции в натуральном выражении. Для этого
составляется агрегатный расчет. Агрегатный расчет составляется отдельно для
каждой бригады за смену, месяц, квартал, год.
Исходные данные для агрегатного расчета:
. Число рабочих на потоке;
. Трудоемкость изготовления изделия;
. Фонд рабочего времени в днях;
. Средний процент выполнения норм выработки
рабочими.
Количество рабочих на потоке, трудоемкость
изготовления изделия определяются по данным технологического проектирования. В
агрегатном расчете определяется расчетный и плановый выпуск в смену. Расчетным
называется выпуск, который определяется по данным технологического
проектирования. Плановый выпуск изделий в смену отличается от расчетного на
величину выполнения норм выработки рабочими.
Агрегатный расчет выполняется в определенной
последовательности:
. Определение расчетного выпуска в смену (2)

(2)
- количество рабочих;
Тсм - продолжительность рабочей
смены;
t изд.-
трудоемкость изделия.
. Определение среднего процента
выполнения норм выработки рабочими и на его основе определение среднего
коэффициента выполнения норм выработки (3)

(3)
%ср. - средний процент выполнения
норм выработки.
. Определение планового выпуска в
смену в натуральном выражении (4)

(4)
. Определение планового выпуска
продукции за год в натуральном выражении (5):

(5)
Др - количество рабочих дней в
плановом году;
n -
количество смен работы.
Для определения количества рабочих
дней в плановом году составляется баланс рабочего времени цеха «Таблица 2.1».
На основе составленного баланса определяют фонд рабочего времени в часах, при
разработке которого учитывают количество выходных и праздничных дней,
продолжительность отпусков и число смен работы.
Таблица 2.1 - Баланс времени работы
цеха на 2012год.
|
Квартал
|
Количество
рабочих часов по календарю
|
Количество
рабочих часов с учетом сменности работы
|
Ежегодный
отпуск, Ч
|
Количество
рабочих часов за год
|
|
1
|
454
|
908
|
0
|
908
|
|
2
|
493
|
986
|
0
|
986
|
|
3
|
520
|
1040
|
320
|
720
|
|
4
|
519
|
1038
|
0
|
1038
|
|
Итого
за год
|
1986
|
3972
|
320
|
3652
|
На основе баланса времени работы потока
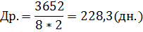
необходимо определить количество рабочих дней в плановом году по формуле (6):

(6)
Др. - количество рабочих дней в
плановом году;
Фр. - количество рабочих часов в
плановом году по балансу рабочего времени;
Тсм. - продолжительность рабочей
смены, час;
nсм. -
количество смен.
Агрегатный расчет Таблица 2.2.
Агрегатный расчет выполняется в
следующей последовательности:
. Определяем расчетный выпуск
изделий в смену:

, где (2)
N -
фактическое количество рабочих;
Тсм - продолжительность рабочей
смены;
t -
трудоемкость изделия.
. Определяем средний коэффициент
выполнения норм выработки:

, где (3)
%ср. - средний процент выполнения
норм выработки.
. Определяем плановый выпуск в смену
в натуральном выражении:

, где (4)
Мр - расчетный выпуск в смену;
КВН - средний коэффициент выполнения
норм выработки.
. Определяем плановый выпуск
продукции за год в натуральном выражении:

где (5)
М пл.см. - плановый выпуск изделий в
смену;
Др. - количество рабочих дней в
плановом году;
n -
количество смен работы.

Таблица 2.2 - Расчет плана
производства швейных изделий по цеху.
|
Ассортимент
|
Расчётные
данные
|
Плановый
выпуск изделий в смену, ед.
|
Число
смен работы
|
Количество
рабочих дней в году
|
Объём
производства в натуральном выражении, тыс.ед.
|
|
Количество
рабочих на потоке, чел.
|
Средняя
трудоёмкость изделий в смену, ед.
|
Выпуск
изделий в смену, ед.
|
|
|
|
|
|
женский
халат
|
27
|
0,586
|
369
|
382
|
2
|
228,3
|
174,3
|
2.2 Расчет выпуска
продукции в стоимостном выражении
В планировании и учете объема выпускаемой
продукции применяются стоимостные показатели (товарная, валовая и реализованная
продукция). Объем производства планируется в отпускных и розничных ценах.
Под товарной продукцией понимается стоимость
произведенных предприятием готовых изделий и полуфабрикатов, которые
предназначены для реализации потребителям, а также стоимость продукции, работ и
услуг вспомогательных цехов, оказываемых на сторону, собственному капитальному
строительству, непромышленным хозяйствам и организациям своего предприятия,
включая работы по капитальному ремонту и модернизации оборудования.
Валовая продукция включает в себя всю товарную
продукцию и изменение запасов законченных полуфабрикатов, а также прирост или
сокращение незавершенного производства.
К реализованной продукции относится та часть
отгруженных изделий, которая оплачена потребителем и за которую деньги уже
поступили на расчетный счет предприятия-изготовителя.
В настоящее время на промышленную продукцию
устанавливают свободные цены «Таблица 2.3»:
. Отпускная цена предприятия.
. Отпускная цена промышленности с НДС.
. Розничная цена.
Свободная отпускная цена предприятия
устанавливается предприятием-изготовителем и зависит от спроса и предложения на
рынке. Она включает в себя полную себестоимость и размер прибыли. Размер
прибыли устанавливает предприятие-изготовитель.
Отпускная цена с НДС включает в себя отпускную
цену предприятия, налог на добавленную стоимость и акцизный налог. НДС
установлен правительством РФ и составляет 18%, на детские изделия - 10%. Вся
сумма налога поступает в государственный бюджет. Акцизный налог - это косвенный
налог, который устанавливается на отдельные виды товаров.
Розничная цена включает отпускную цену с НДС и
торговую надбавку. Это цена, по которой продукция реализуется населению через
торговую сеть. Торговая надбавка служит для возмещения затрат и получения
прибыли торгующими организациями, она может составлять от 5% и выше.
Делаем расчёт объёма товарной продукции «Таблица
2.4»
. Определяем среднюю отпускную цену по
формуле(7):

(7)
О
,О
, О
- отпускная цена каждой модели;

, 
,
- удельный вес каждой модели.
. Определяем среднюю отпускную цену
с НДС по формуле(8):

(8)
О
, О
, О
- отпускная цена каждой модели с
НДС;

, 
,
- удельный вес каждой модели.

. Определяем среднюю розничную цену
по формуле(9):

(9)

,
,
- розничная цена каждой модели;

, 
,
- удельный вес каждой модели.
. Определяем объем товарной
продукции в отпускных ценах по формуле(10):

(10)
. Определяем объем товарной
продукции в отпускных ценах с НДС по формуле(11):

(11)
. Определяем объем товарной
продукции в розничных ценах по формуле(12):

(12)

Таблица 2.3- Отпускные и розничные
цены на швейные изделия
|
Наименование
изделия, номер модели.
|
Наименование
ткани верха, артикул.
|
Отпускная
цена за пог. м. ткани, Руб.
|
Отпускная
цена изделия, Руб.
|
Отпускная
цена с НДС за изделие, Руб.
|
Розничная
цена изделия, Руб.
|
Удельный
вес выпуска изделий по моделям, %
|
|
женский
халат
|
1
|
Х/б
бязь
|
71,5
|
620,97
|
732,75
|
918,00
|
60
|
|
женский
халат
|
2
|
Х/б
бязь
|
77
|
641,72
|
757,23
|
948,00
|
40
|
Таблица 2.4 - Расчет объема товарной продукции
|
Ассортимент
|
Плановый
выпуск продукции за год, тыс.ед.
|
Средняя
отпускная цена изделия, Руб.
|
Средняя
отпускная цена изделия с НДС, Руб.
|
Средняя
розничная цена изделия, Руб.
|
Объем
товарной продукции, тыс. руб.
|
|
|
|
|
|
В
отпускных ценах
|
В
отпускных ценах с НДС.
|
В
розничных ценах.
|
|
женский
халат
|
174,3
|
629,27
|
742,54
|
930,00
|
109710,1
|
129457,9
|
162140,1
|
2.3 Расчет выпуска
продукции в нормо-часах
Объем производства в промышленности измеряется в
стоимостных показателях, натуральных показателях и нормо-часах. По объему в
натуральном выражении нельзя определить общий объем производимой продукции по
предприятию и по всей отрасли в целом, т.к. продукцию разного ассортимента
суммировать нельзя. Для определения общего объема производства используют
стоимостные показатели, а для характеристики трудоемкости производственной
программы определяют выпуск продукции в нормо-часах.
Выпуск продукции в нормо-часах часах «Таблица
2.5»- это количество рабочего времени, которое необходимо для изготовления
запланированного выпуска продукции(13).

(13)
- трудоемкость изготовления
изделия;

- плановый выпуск изделий за год.
Таблица 2.5 - Расчет выпуска
продукции в нормо-часах
|
Ассортимент
|
Плановый
выпуск продукции в год, Тыс. ед.
|
Средняя
трудоемкость изделия, Час.
|
Выпуск
продукции в нормо-часах, Тыс. н/час.
|
|
женский
халат
|
174,3
|
0,586
|
102,2
|
3. ПЛАН ПО ТРУДУ И КАДРАМ (ОРГАНИЗАЦИОННЫЙ ПЛАН
ПРЕДПРИЯТИЯ)
План по труду и кадрам имеет большое значение
при разработке годового плана, т.к. этот план тесно связан с другими его
разделами. В данном плане должны быть предусмотрены повышение
производительности труда; рост заработной платы; стимулирование участников
производственного процесса в улучшении результатов работы предприятия;
удовлетворение потребностей в кадрах необходимой квалификации; повышение
квалификации работников предприятия; определение оптимального соотношения
численности персонала, занятого в основном производстве, в обслуживании и
управлении.
В плане по труду и кадрам планируются показатели
производительности труда, численность работников по всем категориям, фонд
оплаты труда, рассчитывается среднемесячная заработная плата и составляется
план подготовки кадров.
Для расчета плана по труду и кадрам необходимы
следующие исходные данные:
Объем выпуска продукции в натуральном выражении;
Трудоемкость изготовления единицы продукции;
Сдельная суммарная расценка на единицу
продукции;
Действующие тарифные ставки и должностные
оклады;
Положение о премиальной системе оплаты труда.
3.1 Расчет численности
промышленно-производственного персонала цеха
Все работники предприятия делятся на
промышленно-производственный персонал и непроизводственный персонал.
Промышленно-производственный персонал включает в
себя: руководителей, специалистов, служащих и рабочих. По характеру функций,
выполняемых производством, рабочие делятся на: основных производственных
рабочих, вспомогательных и подсобно-производственных рабочих.
. Основные производственные рабочие. К ним
относятся рабочие, труд которых непосредственно создает товарную продукцию или
которые заняты осуществлением технологического процесса.
. Вспомогательные рабочие. К ним относятся
рабочие, занятые на ремонте, наладке и обслуживании технологического
оборудования непосредственно в цехах основного и вспомогательного производства
- электромонтеры, слесари-ремонтники. Они непосредственно не участвуют в
изготовлении продукции, но способствуют ее изготовлению.
. Подсобно-производственные рабочие. К ним
относятся рабочие, которые непосредственно не участвуют в производственном
процессе, но способствуют его осуществлению - это контролеры ОТК, экспедиторы,
уборщики помещений.
Для определения численности слесарей-ремонтников
«Таблица 3.1.» необходимо найти объем работы в условных единицах по следующей
формуле(14):

(14)
об - объем работы в условных
единицах;
Коб - количество оборудования в
условных единицах;
Крсл - категория ремонтной
сложности.
Vоб=16*3=48
(у.е.)
Таблица 3.1 Расчет объема работ по
обслуживанию технологического оборудования
|
Перечень
оборудования, класс, марка, фирма, тип.
|
Кол-во
оборудования, ед.
|
Категория
сложности ремонта оборудования, у.е.
|
Объем
работы в у.е.
|
|
1.
Стачивающая машина 212 кл. "Дюркопп".
|
16
|
3
|
48
|
|
2.Стачивающе-обметочная
машина 816 кл. "Джуки".
|
4
|
4
|
16
|
|
3.Спецмашина
для обметывания петель 811 кл. "PFAFF".
|
2
|
5
|
10
|
|
4.Спецмашина
для пришивания пуговиц 95 кл. "ПМЗ".
|
1
|
4
|
4
|
|
5.Спецмашина
краеобмёточная 51 кл. "ПМЗ".
|
1
|
3
|
3
|
|
ИТОГО:
|
24
|
|
81
|
. Расчет численности бригадиров(15):

(15)
осн. - численность основных
производственных рабочих;
Н упр. - норма управляемости.
N бр.=27/30=1
(чел.)
. Расчет численности контролеров
готовой продукции(16):

(16)
М пл.см. - плановый выпуск в смену;
Н выр. - норма выработки.
N
контр.=382/300=1 (чел.)
. Расчет численности уборщиков
производственных помещений(17):

(17)
Sц - площадь
цеха;
Н обсл. - норма обслуживания;
N
уб.=189,4/500=1 (чел.)
. Расчет численности комплектовщиков
и экспедиторов(18):
компл.(эксп.)=382/600=1 (чел.)
. Расчет численности
слесарей-ремонтников(19):

(19)
О у.е. - количество оборудования в
условных единицах;
Н обсл. - норма обслуживания.
N
сл-рем.=117/120=1 (чел.)
. Расчет общей численности рабочих
цеха(20):

(20)
осн. - основные производственные
рабочие;
N п.п. -
подсобно-производственные рабочие;
N всп. -
вспомогательные рабочие.
N
общ.=27*2+10+2=66 (чел.)
Все эти данные отображаем в «Таблица
3.2.»
Таблица 3.2 Расчет численности
подсобно-производственных и вспомогательных рабочих
|
Профессия
|
Разряд
|
Ед.
измерения
|
Объем
работы в ед. измерения
|
Норма
обслуживания, норма выработки в ед. измерения
|
Плановая
численность рабочих, чел.
|
|
|
|
|
|
В
одну смену
|
В
две смены
|
|
Подсобно-производственные
рабочие.
|
|
1.
Бригадир
|
---
|
Чел.
|
27
|
30
|
1
|
2
|
|
2.Контролер
ОТК
|
5
|
Ед.
|
382
|
300
|
1
|
2
|
|
3.Уборщик
производственных помещений
|
---
|
Кв.
м.
|
189,4
|
500
|
1
|
2
|
|
4.Комплектовщик
|
3
|
Ед.
|
382
|
600
|
1
|
2
|
|
5.Экспедитор
|
3
|
Ед.
|
382
|
382
|
1
|
2
|
|
Итого:
|
11
|
|
|
|
5
|
10
|
|
Вспомогательные
рабочие
|
|
1.Слесарь-ремонтник
|
5
|
Усл.
ед.
|
81
|
120
|
1
|
2
|
|
Итого:
|
5
|
|
|
|
1
|
2
|
|
Всего:
|
16
|
|
|
|
6
|
12
|
Численность руководителей «Таблица 3.3»,
специалистов и служащих определяют на основе штатного расписания «Таблица
3.3.1»,, которое составляется на предприятии. При расчете численности мастеров
производственных процессов используют нормы управляемости(21).

(21)
осн. - численность основных
производственных рабочих;
Н упр. - норма управляемости.

(чел.)
Таблица 3.3 Расчет численности
руководителей, специалистов и служащих
|
Перечень
должностей
|
Численность
работников, чел.
|
|
В
одну смену
|
В
две смены
|
|
Руководители
|
|
1.
Начальник цеха.
|
1
|
1
|
|
2.
Мастер участка.
|
1
|
2
|
|
Итого:
|
2
|
3
|
|
Специалисты
|
|
1.
Инженер-технолог
|
1
|
1
|
|
2.
Инженер-экономист
|
1
|
1
|
|
Итого:
|
2
|
2
|
|
Всего:
|
4
|
5
|
.2 Расчеты фонда оплаты
труда и среднемесячной заработной платы промышленно-производственного персонала
цеха
Фонд оплаты труда (ФОТ) - это сумма денежных
средств, предусмотренных предприятием для оплаты труда работникам в плановом
периоде. ФОТ рассчитывается отдельно для каждой категории
промышленно-производственного персонала «Таблица 3.4.», «Таблица 3.5.».
Исходные данные для расчета планового ФОТ:
Плановый выпуск продукции в натуральных
показателях за год;
Суммарная сдельная расценка за пошив;
Численность рабочих повременщиков и их
квалификация;
Действующие должностные оклады и тарифные
ставки;
Применяемое положение о премиальной системе
оплаты труда.
Труд рабочих оплачивается сдельно или
повременно.
При сдельной оплате труда заработная плата
начисляется за количество выработанной продукции.
Системы сдельной формы оплаты труда:
. Прямая сдельная;
. Сдельно-премиальная;
. Косвенно-сдельная;
. Аккордная.
При повременной оплате труда заработная плата
начисляется за фактически отработанное количество времени. Бывает:
. Простая повременная система оплаты труда;
. Повременно-премиальная система оплаты труда;
. Система должностных окладов.
Для расчета ФОТ различают часовой, дневной и
месячный (годовой) ФОТ.
Часовой - включает все выплаты за выработанную
продукцию или отработанное время в течение года.
Дневной - включает в себя часовой ФОТ и доплаты
за неотработанные часы в течение рабочего дня.
Месячный (годовой) - включает дневной ФОТ и
доплаты за неотработанные дни в течение месяца или года.
Определяем тарифный фонд заработной платы(22):

(22)
Ок - оклад в месяц;
N -
численность рабочих;
Ф р.вр. - годовой фонд рабочего
времени одного рабочего.
Ф бр.=12 000*2*11=264,0 (тыс. руб.)
Ф контр.=11 000*2*11=242,0 (тыс.
руб.)
Определяем сумму премий (23):

(23)
%Пр - процент премий;

(тыс. руб.)

(тыс. руб.)
Таблица 3.4 Расчет фонда заработной
платы подсобно-производственных и вспомогательных рабочих
|
Профессия
|
Разряд
|
Кол-во
рабочих в две смены, Чел.
|
Часовая
тарифная ставка или оклад в месяц, Руб.
|
Годовой
фонд рабочего времени одного рабочего, мес.
|
Тарифный
фонд заработной платы, Тыс. руб.
|
Премия
|
|
|
|
|
|
|
%
|
сумма,
тыс. руб
|
|
Подсобно-производственные
рабочие.
|
|
1.Бригадир
|
---
|
2
|
12000
|
11
|
264,0
|
55
|
145,2
|
|
2.Контролер
ОТК.
|
5
|
2
|
11000
|
11
|
242,0
|
55
|
133,1
|
|
3.Уборщик
производственных помещений.
|
---
|
2
|
7500
|
11
|
165,0
|
25
|
41,3
|
|
4.Комплектовщик.
|
3
|
2
|
8500
|
11
|
187,0
|
40
|
74,8
|
|
5.Экспедитор.
|
3
|
2
|
8500
|
11
|
187,0
|
40
|
74,8
|
|
Итого:
|
|
10
|
|
|
1045,0
|
|
469,2
|
|
Вспомогательные
рабочие.
|
|
1.Слесарь-
|
5
|
2
|
12500
|
11
|
275,0
|
40
|
110
|
|
ремонтник.
|
|
|
|
|
|
|
|
|
Итого:
|
|
2
|
|
|
275,0
|
|
110
|
|
Всего:
|
|
12
|
|
|
1320,0
|
|
579,2
|
Расчет средней суммарной сдельной расценки за
пошив (24):

(24)
ср.из - средняя трудоемкость
изделия;
Ст - тарифная ставка рабочих
сдельщиков.
Рсд=0,586*58,49=34,275 руб.
Определяем фонд заработной платы
рабочих сдельщиков (25):

(25)

- плановый выпуск изделий за год;
Рсд - суммарная сдельная расценка за
пошив изделия.
Фсд=174,3*34,275=5975,7 (тыс. руб.)
Таблица 3.5 Расчет прямого фонда
заработной платы рабочих-сдельщиков.
|
Ассортимент
|
Плановый
выпуск изделий за год, тыс. ед.
|
Сдельная
суммарная расценка за пошив, руб.
|
Прямой
сдельный фонд зарплаты, тыс. ед.
|
|
женский
халат
|
174,3
|
34,275
|
5975,7
|
Для того, чтобы найти часовой ФОТ рассчитываем
премии и доплаты «Таблица 3.6»(26):

(26)
Ф сд. - прямой сдельный ФОТ;
%Пр(Д) - процент премий (доплат).

(тыс. руб.)

(тыс. руб.)
Для того чтобы определить дневной и месячный
(годовой) ФОТ рассчитываем доплаты (27):

(27)
Фч - часовой ФОТ;
%Д - процент доплат.

(тыс. руб.)

(тыс. руб.)
Таблица 3.6 Расчет планового фонда оплаты труда
производственных рабочих
|
№
|
Состав
фонда оплаты труда.
|
Процент
премий, доплат и дополнительной зарплаты.
|
Сумма,
тыс. руб.
|
|
1
|
Прямой
фонд зарплаты:
|
|
|
|
-рабочих-сдельщиков
|
из
таб. 3.5
|
5975,7
|
|
-рабочих-повременщиков
|
из
таб. 3.4
|
1320,0
|
|
2
|
Премия:
|
|
|
|
-рабочим-сдельщикам
|
30
|
1792,7
|
|
-рабочим-повременщикам
|
из
таб. 3.4
|
579,2
|
|
3
|
Доплаты:
|
|
|
|
-за
работу в вечернее время
|
2,5
|
149,4
|
|
-резервным
рабочим
|
0,2
|
12,0
|
|
-за
индивидуальное обучение учеников
|
0,3
|
17,9
|
|
-за
профессиональное мастерство.
|
1,5
|
89,6
|
|
4
|
Прочие
доплаты
|
12
|
717,1
|
|
Итого:
часовой фонд
|
46,5
|
10653,5
|
|
5
|
Оплата
льготных часов подросткам
|
0,1
|
10,7
|
|
6
|
Оплата
перерывов в работе кормящих матерей
|
0,2
|
21,3
|
|
Итого:
дневной фонд
|
46,8
|
10685,5
|
|
7
|
Оплата
очередных и дополнительных отпусков
|
10,5
|
1118,6
|
|
8
|
Оплата
времени выполнения государственных обязанностей
|
|
|
|
9
|
Оплата
времени выполнения государственных обязанностей
|
0,5
|
53,3
|
|
10
|
Выплаты
социального характера
|
6,5
|
692,5
|
|
11
|
Прочие
выплаты
|
18
|
1917,6
|
|
Итого:
месячный (годовой) фонд
|
82,3
|
14467,5
|
Определяем годовой фонд заработной платы
«Таблица 3.7»(28):

(28)
- численность руководителей,
специалистов и служащих;
Док - должностной оклад в месяц;
Ф рвр - годовой фонд рабочего
времени одного рабочего.
Ф нач.ц.=1*20800*12=249,6 (тыс.
руб.)
Определяем сумму премий (29):

(29)
%Пр - процент премий.

(тыс. руб.)
Таблица 3.7 Расчет фонда оплаты
труда руководителей, специалистов и служащих
|
Перечень
должностей
|
Численность
работников в две смены, чел.
|
Должностной
оклад в месяц, руб.
|
Годовой
фонд оплаты, тыс. руб.
|
Премия
|
|
|
|
|
%
|
Сумма,
тыс. руб.
|
|
Руководители
|
|
1.Начальник
цеха
|
1
|
20800
|
249,6
|
30
|
74,88
|
|
2.Мастер
участка
|
16000
|
384,0
|
30
|
115,2
|
|
Итого:
|
3
|
|
633,6
|
|
190,1
|
|
Специалисты
|
|
1.Инженер-технолог
|
1
|
18000
|
216,0
|
30
|
64,8
|
|
2.Инженер-экономист
|
1
|
18000
|
216,0
|
30
|
64,8
|
|
Итого:
|
2
|
|
432,0
|
|
129,6
|
|
Всего:
|
5
|
|
1065,6
|
|
319,7
|
На основе полученных данных определяем
среднемесячную заработную плату на одного рабочего и одного работающего. Расчет
выполняем по формулам(30), (31):

(30)
Зср - среднемесячная заработная
плата на одного рабочего;
ФОТ - годовой фонд оплаты труда
производственных рабочих;
Nраб.-
количество основных, вспомогательных и подсобно-производственных рабочих с
учетом числа смен работы.

(руб.)

(31)
З ср.работ. - среднемесячная
заработная плата на одного работающего;

- фонд оплаты труда работающих;
N -
численность работающих.

(руб.)
3.3 Расчет показателей
производительности труда
Производительность труда - это количество
продукции, которое вырабатывает один работник за определенный период времени
при нормальных условиях труда.
Количество продукции предприятия измеряется в
натуральных показателях, стоимостных и нормо-часах.
Пути повышения производительности труда:
1. Улучшение условий труда;
.Механизация и автоматизация производственного
процесса, что приведет к снижению трудоемкости;
.Повышение квалификации;
. Материальное стимулирование.
. Улучшение использования рабочего времени.
Среднегодовая выработка продукции на одного
рабочего(32):

(32)
ПТ - среднегодовая выработка
продукции на одного рабочего;

- выпуск продукции в нормо-часах;
N раб.-
численность производственных рабочих с учетом числа смен.

(
)
Среднегодовая выработка продукции на одного
работающего (33):

(33)

- среднегодовая выработка продукции
на одного работающего;

- выпуск продукции в нормо-часах;
N работ. -
численность работающих.

(
)
себестоимость прибыль рентабельность заработный
4. ПЛАН ПО СЕБЕСТОИМОСТИ, ПРИБЫЛИ И
РЕНТАБЕЛЬНОСТИ
В этом разделе годового плана предприятия
выполняют следующие расчеты:
1. Определяется полная себестоимость единицы
продукции и всей товарной продукции в целом.
. Определяется общий размер прибыли и
рассчитывается использование этой прибыли.
. Определяются показатели затрат на один рубль
товарной продукции.
. Разрабатываются пути снижения себестоимости
продукции.
Исходными данными для расчета этого плана
являются:
1. Нормы расхода материала на единицу продукции.
. Нормы оплаты труда за единицу продукции.
. Плановый выпуск продукции за год в натуральных
показателях.
. Объем реализации продукции в натуральных
показателях
Себестоимость продукции - это все затраты
предприятия на изготовление и реализацию продукции, выраженные в денежной
форме.
Пути снижения себестоимости:
1. Снижение материалоемкости продукции с помощью
применения современной техники.
. Внедрение технического прогресса.
. Совершенствование организации труда и
производства.
. Рациональное использование рабочего времени.
.Совершенствование структуры управления за счет
сокращения административно-управленческого персонала.
4.1 Расчет
себестоимости проектируемого изделия
Калькуляция - это расчет затрат на изготовление
и реализацию единицы продукции. Калькуляцию составляют для определения полной
себестоимости изделия, цен на продукцию и показателей эффективности изделия.
Различают плановую и отчетную калькуляцию.
Плановая показывает каких затрат должно добиться предприятие при изготовлении
продукции. Отчетная показывает фактические затраты предприятия на изготовление
изделия.
Определяем уценку маломерных остатков (34):

(34)
В - стоимость ткани верха;
б - процент уценки маломерных
остатков.
У
1,39 (руб.)
Определяем
транспортно-заготовительные расходы (35):

(35)
М - материальные затраты;
а - процент
транспортно-заготовительных расходов.

0,83 (руб.)
Определяем реализацию отходов (36):

(36)
В - стоимость ткани верха;
в - процент реализации отходов.
У
-0,05 (руб.)
Все эти расчёты отразим в «Таблице
4.1.»
Таблица 4.1 Расчет материальных
затрат на изготовление женского халата
|
Основные
материалы
|
Затраты
на единицу продукции
|
|
Модель
1
|
Модель
2
|
|
Норма
расхода
|
Отпускная
цена, руб.
|
Сумма,
руб.
|
Норма
расхода
|
Отпускная
цена, руб.
|
Сумма,
руб.
|
|
1.Ткань
верха: х/б бязь.
|
1,5
|
71,50
|
107,25
|
1,5
|
77,00
|
115,50
|
|
2.Фурнитура:
|
|
|
|
|
|
|
|
2.1.
Пуговицы, ед.
|
11
|
2,20
|
24,20
|
13
|
2,20
|
28,60
|
|
2.2.
Нитки х/б,кат.
|
1
|
5,50
|
5,50
|
1
|
5,50
|
5,50
|
|
2.3.
Металличес-кая пряжка, ед.
|
1
|
27,50
|
27,50
|
1
|
29,00
|
29,00
|
|
2.4.
Ярлык, шт.
|
1
|
0,80
|
0,80
|
1
|
0,80
|
0,80
|
|
Итого:
стоимость материалов
|
|
|
165,25
|
|
|
179,40
|
|
3.
Уценка маломерных остатков, %
|
1,3
|
|
1,39
|
1,3
|
|
1,50
|
|
4.
Транспортно - заготовительные расходы,%
|
0,5
|
|
0,83
|
0,5
|
|
0,90
|
|
5.
Реализация отходов,%
|
-0,05
|
|
-0,05
|
-0,05
|
|
-0,06
|
|
ИТОГО:
стоимость материалов за вычетом отходов.
|
|
|
167,42
|
|
|
181,74
|
Определяем сдельную расценку за единицу кроя
«Таблица 4.2.», (37):
Р
(37)

34,17*0,20=6,83 (руб.)

34,33*0,20=6,87 (руб.)
Определяем премии и доплаты рабочим
(38):

(38)

(руб.)

(руб.)
Таблица 4.2 Расчет основной
заработной платы производственных рабочих
|
№
|
Статьи
затрат
|
Данные
для расчета
|
Сумма
затрат, руб. по проекту:
|
|
|
|
Модель
1
|
Модель
2
|
|
1
|
Суммарная
сдельная расценка за пошив изделия
|
|
34,17
|
34,33
|
|
2
|
Расценка
за подготовку тканей к (раскрою и раскрой)
|
20%
|
6,83
|
6,87
|
|
Итого:
сдельная зарплата
|
|
41,00
|
41,20
|
|
3
|
Премии
и доплаты рабочим, %.
|
46,50%
|
19,07
|
19,16
|
|
Всего:
основная зарплата на изделие
|
|
60,07
|
60,35
|
Определяем дополнительную заработную плату
производственных рабочих «Таблица 4.3», (39):

(39)
Пдоп - процент дополнительной
заработной платы.

(руб.)
Определяем отчисления в страховые
фонды (40):

(40)

(руб.)
Определяем общепроизводственные
расходы (41):

(41)
%пр - процент производственных
расходов.

(руб.)
Определяем общехозяйственные расходы
(42):

(42)
%хоз - процент общехозяйственных
расходов.

(руб.)
Производственная себестоимость (43):

(43)
где: Ом - Основные материалы за
вычетом отходов

Определяем коммерческие расходы(44):

(44)
Полная себестоимость(45):

(45)
Таблица 4.3 Плановая калькуляция на
женский халат
|
№
|
Статьи
затрат.
|
Данные
для расчета
|
Сумма
затрат, руб.
|
|
|
|
Модель
1
|
Модель
2
|
|
1.
|
Основные
материалы за вычетом отходов.
|
Из
таб. 4.1
|
167,42
|
181,74
|
|
2.
|
Стоимость
обработки:
|
|
|
|
|
2.1
|
Основная
зарплата производственных рабочих.
|
Из
таб. 4.2
|
60,07
|
60,35
|
|
2.2
|
Дополнительная
зарплата производственных рабочих, %.
|
35,8%
|
21,50
|
21,61
|
|
2.3
|
Отчисления
в страховые фонды, %.
|
30,4%
|
24,80
|
24,92
|
|
2.4
|
Общепроизводственные
расходы.
|
150%
|
90,10
|
90,53
|
|
2.5
|
Общехозяйственные
расходы.
|
180%
|
108,12
|
108,64
|
|
Итого:
стоимость обработки.
|
|
304,59
|
306,04
|
|
3.
|
Производственная
себестоимость.
|
|
472,01
|
487,78
|
|
4.
|
Коммерческие
расходы, %.
|
1,2%
|
5,66
|
5,85
|
|
5.
|
Полная
себестоимость.
|
|
477,67
|
493,63
|
4.2 Расчет цен на
изделие
Прибыль (46):

(46)

(руб.)
Отпускная цена (47):
Оц=С/Спол+Пб (47)
О
=
(руб.)
НДС (48)

(48)

(руб.)
Отпускная цена с НДС (49):
О
=Оц+НДС (49)
О
=
(руб.)
Торговая надбавка (50):

(50)

(руб.) Розничная цена (51):
Рц=О
+Тн (51)
Р
=
(руб.)
Таблица 4.4 Расчет цен на халат
|
Виды
цен.
|
Данные
для расчета.
|
Сумма,
руб.
|
|
|
Модель
1
|
Модель
2
|
|
1.
Полная себестоимость
|
Из
таб. 4.3
|
477,67
|
493,63
|
|
2.
Прибыль, %.
|
30%
|
143,30
|
148,09
|
|
3.
Отпускная цена.
|
|
620,97
|
641,72
|
|
4.
НДС, %.
|
18%
|
111,78
|
115,51
|
|
5.
Отпускная цена с НДС
|
|
732,75
|
757,23
|
|
6.
Торговая надбавка, %.
|
25%
|
185,25
|
190,77
|
|
7.
Розничная цена.
|
|
918
|
948
|
4.3 Расчет показателей
эффективности изделия
К показателям эффективности изделия относятся:
рентабельность изделия и затраты на один рубль товарной продукции «Таблица
4.5».
. Рентабельность изделия показывает, какой
процент прибыли приходится на один рубль затраченных средств.
Рентабельность характеризует прибыльность и
эффективность.
2. Затраты на один рубль товарной продукции
показывают, сколько копеек вложило предприятие в производство одного рубля
товарной продукции.
Рентабельность изделия (52):

*100 (52)
Затраты на 1 рубль товарной продукции (53):

(53)

(коп.)

(коп.)
Таблица 4.5 Расчет показателей
экономической эффективности проектируемого женского халата
|
Показатели
|
Модель
1
|
Модель
2
|
|
1.
Полная себестоимость, руб.
|
477,67
|
|
2.
Отпускная цена изделия, руб.
|
620,97
|
641,72
|
|
3.
Прибыль, руб.
|
143,30
|
148,09
|
|
4.
Рентабельность изделия, %.
|
30
|
30
|
|
5.
Затраты на один рубль товарной продукции, коп.
|
76,92
|
76,92
|
5. ТЕХНИКО-ЭКОНОМИЧЕСКИЕ ПОКАЗАТЕЛИ
Полученные технико-экономические показатели
характеризуют эффективность разработанной организации производства.
Таблица 5.1 - Технико-экономические показатели
швейного цеха
|
Показатели.
|
Величины
показателей.
|
|
1.
Средняя трудоемкость изделия, час.
|
0,586
|
|
2.
Средняя суммарная сдельная расценка на изделие, руб.
|
34,25
|
|
3.
Среднегодовая выработка продукции на 1-го рабочего, н/ч.
|
1547,97
|
|
4.
Среднегодовая выработка продукции на 1-го работающего, н/ч.
|
1438,95
|
|
5.
Среднемесячная заработная плата на 1-го рабочего, руб.
|
18267,00
|
|
6.
Среднемесячная заработная плата на 1-го работающего, руб.
|
18606,51
|
|
7.
Затраты на один рубль товарной продукции, коп:
|
|
|
-
Модель 1
|
76,92
|
|
-
Модель 2
|
76,92
|
ВЫВОДЫ
Проектируемое изделие отвечает заданным
требованиям и может использоваться для запуска в массовое производство. При
изготовлении применяется современное оборудование и рациональные методы
обработки, что позволяет повысить производительность труда на потоке.
Рекомендуется использовать рабочих высшей квалификации. Модель отвечает всем
технологическим и экономическим требованиям, предъявляемым к данному изделию.
Технико-экономические показатели проектируемого изделия подтверждают его
пригодность для запуска в массовое производство.
СПИСОК ИСПОЛЬЗУЕМЫХ ИСТОЧНИКОВ
1
С.Г. Бабаджанов, Ю.А. Доможиров Экономика предприятий швейной промышленности
[текст]: Учебник / С.Г. Бабаджанов - М.: Академия, 2009. - 601 с.
Чечевицина,
Л. Н. Экономика предприятия [текст]: учеб. пособие / Чечевицина Л. Н. -
Изд.11-е, перераб. - Ростов н/Д : Феникс, 2011. - 380 с. - (Среднее
профессиональное образование).
Кантор,
Е.Л. Экономика предприятия [текст]: Учебник для вузов. 2-е изд. / под ред.
Кантора Е.Л. - СПб .: Питер, 2007. - 400 с.
Зайцев,
Н.Л. Экономика промышленного предприятия [текст]: Учебник / Зайцев Н.Л. - 6-е
изд., перераб. и доп. - М.: ИНФРА-М, 2011. - 414 с. - (Высшее образование).