Анализ и прогнозирование конъюнктуры рынка телевизионных сериалов

  • Вид работы:
    Курсовая работа (т)
  • Предмет:
    Менеджмент
  • Язык:
    Русский
    ,
    Формат файла:
    MS Word
    108,4 Кб
  • Опубликовано:
    2015-06-10
Вы можете узнать стоимость помощи в написании студенческой работы.
Помощь в написании работы, которую точно примут!

Анализ и прогнозирование конъюнктуры рынка телевизионных сериалов

Министерство культуры Российской Федерации

Федеральное государственное бюджетное образовательное учреждение высшего профессионального образования

"Санкт-Петербургский государственный Университет кино и телевидения"

Институт экономики и управления

Кафедра управления экономическими и социальными процессами

Курсовая работа

по дисциплине "Прогнозирование развития хозяйства"

на тему "Анализ и прогнозирование конъюнктуры рынка телевизионных сериалов"


Выполнил:

Руководитель: ассистент кафедры

Сотникова А.С.




Санкт-Петербург 2013

Содержание

Введение

Глава 1. Теоретические основы науки прогнозирование и рынка сериального производства

.1 Прогнозирование. Теоретические основы

.2 Теоретические основы рынка телевизионных сериалов

Глава 2. Анализ рынка сериалов, его тенденции, проблемы и пути решения

.1 Текущее положение рынка отечественных сериалов

2.2 Основные проблемы и тенденции сериального рынка

Глава 3. Прогнозирование объема сериальной продукции

.1 Прогнозирование объема сериальной продукции в телевизионном эфире методом экстраполяции временного ряда

.2 Прогнозирование объема сериалов методом наименьших квадратов

Заключение

Список использованной литературы

Введение

Каждый день миллионы людей собираются перед экранами телевизоров или мониторами компьютеров, что посмотреть свежие серии любимые сериалов. Рынок сериалов настолько широк, что есть проекты на любой вкус, аудиторию и уровень интеллекта.

Актуальность данной работы состоит в том, что рынок сериалов настолько стремительно развивается, что на смену низкопробным "мыльным сериалам" приходят многосерийные проекты, зачастую по качеству драматургии и съемки превосходящие проекты в кинематографе.

Предметом исследования данной курсовой работы является рынок сериальной продукции Российской Федерации.

Объектом исследования курсовой работы является количество выпускаемых в эфир российских телеканалов сериалов отечественного производства.

Целью курсовой работы является разработка прогноза развития рынка сериалов собственного производства Российской Федерации. Инструментами для реализации данной цели являются метод экстраполяции временного ряда и метод наименьших квадратов.

Задачи курсовой работы:

1.   Изучить теоретические основы прогнозирования, основные методы и положения.

2.      Разобрать ключевые составляющие рынка телесериалов Российской Федерации и его главные принципы.

.        Изучить текущее положение дел на рынке сериалов Российской Федерации.

.        Сформулировать основные проблемы рынка сериалов Российской Федерации и выявить тенденции его развития.

.        Спрогнозировать уровень количества часов сериальной продукции в Российской Федерации в ближайшие несколько лет методом экстраполяции.

.        Спрогнозировать уровень количества часов сериальной продукции в Российской Федерации в ближайшие несколько лет методом наименьших квадратов.

Глава 1. Теоретические основы науки прогнозирование и рынка сериального производства

.1 Прогнозирование. Теоретические основы

Под прогнозом понимается система научно обоснованных представлений о возможных состояниях объекта в будущем, об альтернативных путях его развития. Прогноз выражает предвидение на уровне конкретно-прикладной теории, в то же время прогноз неоднозначен и носит вероятностный и многовариантный характер. Процесс разработки прогноза называется прогнозированием./1, с. 6/

Прогнозирование предполагает описание возможных или желательных аспектов, состояний, решений, проблем будущего. Планирование основано на принятии решений о проблемах, выявленных на стадии прогнозирования, на учете всех критических аспектов будущего.

Объективность и познаваемость социально-экономических процессов служит теоретическим фундаментом прогнозирования. Основанное на качественном и количественном анализе реальных социально-экономических процессов, выявлении объективных условий, факторов и тенденций их развития, прогнозирование базируется на определенных подходах и основополагающих принципах.

Основополагающим принципом прогнозирования является принцип системности. Он предполагает исследование количественных и качественных закономерностей в экономических системах, построение такой логической цепочки исследования, согласно которой процесс выработки и обоснования любого решения отталкивается от определения общей цели системы и подчинения достижению этой цели деятельности всех подсистем. При этом данная система рассматривается как часть более крупной системы, а сама тоже состоит из определенного количества подсистем. Например, народное хозяйство, с одной стороны, рассматривается как единый объект исследования, а с другой - как совокупность относительно самостоятельных объектов./8, с. 43/

Системный подход предполагает создание системы показателен, методов, моделей, которые соответствовали бы содержанию каждого отдельного относительно самостоятельного объекта и одновременно позволяли бы построить целостную картину возможного развития народного хозяйства. Так, составление комплексного прогноза развития народного хозяйства на основе принципа системности предполагает использование методов и моделей, которые соответствовали бы содержанию каждого отдельного блока и, в то же время, позволили бы построить целостную картину его возможного развития. Безусловно, при таких требованиях возникают определенные трудности методологического характера, обусловленные противоречиями между построением целостной картины, требующей применение унифицированных моделей и соответствующего информационного банка данных, с одной стороны, и отдельными прогнозными блоками, представленными отдельными экономическими объектами, имеющими свою специфику и требующими максимального приближения к его внутренним особенностям, с другой. Это создает определенные трудности при получении единого и внутренне согласованного прогноза, существенно обедняет его экономическое содержание. Но сегодня для их устранения используется "блочный" принцип построения комплексного прогноза./2, с. 21/

Принцип адекватности предполагает, что методы и модели разработки прогнозов рассчитаны, в первую очередь, на выявление и количественное измерение устойчивых тенденций и взаимосвязей в развитии народного хозяйства и создание теоретического аналога реальных экономических процессов с их полной и точной имитацией. Адекватность означает максимальное приближение теоретической модели к устойчивым тенденциям развития, учет вероятностного, стохастического характера реальных процессов и оценку вероятности реализации выявленных тенденций.

Практическое использование принципа адекватности при разработке прогнозов означает, что методы и модели прогнозирования должны быть вначале проверены с точки зрения их способности имитировать уже сложившиеся процессы и явления, т. е. они должны быть не только инструментом предвидения, но и инструментом познания.

При переходе от имитации сложившихся процессов и тенденций к предвидению их будущего развития возникает необходимость определения возможных путей их развития, т. е. построения альтернативных вариантов развития прогнозируемого объекта.

Принцип альтернативности прогнозирования связан с возможностью развития народного хозяйства и его отдельных звеньев по разным траекториям, при разных взаимосвязях и структурных отношениях, т. е. он исходит из предположения о возможности качественно различных вариантов развития прогнозируемого объекта./3, с 56./

Главная проблема практической реализации этого принципа состоит в Том, чтобы отделить те варианты развития, которые осуществимы, от вариантов, которые при сложившихся и предвидимых условиях не могут быть реализованы. Здесь необходима определенная градация отдельных альтернатив по вероятности их практической реализации. При этом каждой альтернативе может соответствовать своя совокупность проблем, что потребует изучения и определения дополнительных условий, выполнение которых позволит оценить возможность реализации данной альтернативы. Кроме того, на формирование альтернатив влияют конкретные цели развития прогнозируемого объекта. А это предопределяет необходимость выделения принципа целенаправленности./4, с. 10/

Принцип целенаправленности предопределяет активный характер прогнозирования, ибо содержание прогноза не сводится к предвидению, а включает цели, которые предстоит достигнуть в экономике путем активных государственных действии. Этот принцип сопряжен и вытекает из нормативного подхода.

Названные принципы прогнозирования являются главными и лежат в основе конкретных методов и моделей прогнозирования. Выделение каждого из них не означает, что они существуют независимо друг от друга и возможно их выборочное использование. Отражая разные стороны разработки научно-обоснованных прогнозов, эти принципы следует рассматривать как единое целое.

Под методами прогнозирования следует понимать совокупность приемов и способов мышления, позволяющих на основе анализа ретроспективных данных, экзогенных (внешних) и эндогенных (внутренних) связей объекта прогнозирования, а также их измерений в рамках рассматриваемого явления или процесса вывести суждения определенной достоверности относительно его (объекта) будущего развития.

По оценкам отечественных и зарубежных ученных, в настоящее время насчитывается свыше 20 методов прогнозирования, однако число базовых значительно меньше (15-20). Многие из этих методов относятся скорее к отдельным приемам и процедурам, учитывающим нюансы объекта прогнозирования. Другие представляют собой набор отдельных приемов, отличающихся от базовых или друг от друга количеством частных приемов и последовательностью их применения./4, с.21/

Подведем итоги. Накопленный нами поток информации о науке прогнозирование и ее основных методах полон настолько, что позволит нам проанализировать и спрогнозировать с его помощью развитие сериального рынка РФ.

1.2 Теоретические основы рынка телевизионных сериалов

сериал телевизионный ситком драмеди

Сериалы - телевизионные фильмы с продолжением - появились в мире в начале телевизионной эпохи, став развитием идеи радиосериалов. В Советском Союзе первым отечественным телесериалом стала 4-серийная военная приключенческая драма "Вызываем огонь на себя" (1964), первым зарубежным сериалом - показанная Центральным телевидением СССР в 1971 году 26-серийная британская теленовелла "Сага о Форсайтах" (1967).

В перестроечные годы страна познакомилась с латиноамериканскими и американскими "мыльными операми". В 1990-е годы российский зритель начал проявлять настойчивый интерес к показу отечественной действительности, и телеэкраны наполнили вначале адаптированные, а затем и оригинальные российские телепостановки разных жанров и продолжительности./6, с. 81/

Рынок сериалов в России стремительно рос вплоть до второй половины 2000-х годов, к российским продюсерским компаниям и некоторым (немногим) сериалам проявили интерес зарубежные рынки. Ведущим трендом российского сериала 2000-х годов стало упрощенчество, что с неудовлетворением отмечали сами кинопроизводители. Во второй половине 2000-х годов российский рынок телесериалов достиг пика и замедлил рост. Процессы стагнации усилил экономический кризис 2008-2009 годов.

В России второго десятилетия XXI века специалисты ожидают увеличения доли зарубежных фильмов, роста так называемых "вертикальных показов" (одна серия-фильм показывается в определённое время определённого дня единожды в неделю), появления качественных по содержанию и исполнению сериалов. Ожидается также, что продюсерские центры и телеканалы в процессе пополнения собственных библиотек прав на показ телеконтента не смогут избежать споров. В целом же спрос на телесериалы в России не изменится./12/

Процесс работы над сериалом идёт по одному из трёх основных бизнес-сценариев. Во-первых, сериал может создаваться по заказу телекомпании. Так работают, например, "Студия 2В" и "Киноконстанта". Во-вторых, для создания сериала продюсерская компания может нанимать производителей-подрядчиков. Так работают "Централ Партнершип" и "Профит". В-третьих, продюсерская компания может самостоятельно создать сериал, причём такие сериалы, как показывает практика, становятся наиболее рейтинговыми. По этому производственному сценарию работают "Леан-М", "Амедиа" и "Феникс-фильм"./19/

"Леан-М", например, начинает работу подготовкой индивидуального по цене, содержанию и качеству исполнения предложения для каждого телеканала, обсуждает его с телеканалом, а затем совместно с ним воплощает проект. Первый заместитель гендиректора телеканала "Россия" Александр Любимов указывает, что технология производства телесериала подразумевает совместную работу телеканала и компании-производителя: производитель создаёт продукт, а каналы поставляют данные об аудитории./9/ Основными действующими лицами в процессе создании современного российского сериала являются продюсер, сценарист, режиссёр, актёры и зритель./18/

По мнению продюсера Сергея Сельянова, процесс сериального производства стал в России продюсерским - не режиссёр несёт идею продюсеру, а продюсер под собственную идею ищет режиссёра./4/ При этом популярность сюжетов, по словам главы "Амедиа" Александра Акопова, хотя и подвержена моде, но "сюжеты актуальны всегда и все"./10/ На практике дело оказывается не в количестве сюжетов, а в их содержании, качестве. Так, в работе телеканала "Россия" постоянно находятся 2-3 тысячи идей, из них оригинальными, по словам Александра Любимова, оказываются около 20./6/ Телеканал СТС ежегодно рассматривает около 300-500 сценариев сериалов всех жанров. Для сравнения, в Голливуд ежегодно поступает около 10 тыс. новых сериальных сценариев, причём до стадии прочитывания доходит лишь около тысячи.

Активно работающие сценаристы, спрос на услуги которых во второй половине 2000-х годов стал со стороны телеканалов повысился, способны ежемесячно зарабатывать $2-7 тыс. При этом процессы глобализации привели к тому, что сценарии для российского телевидения вполне могут писать и зарубежные авторы, чем уже пользуются российские продюсеры.

Основной проблемой для сценаристов стали требуемые продюсерами сжатые сроки подготовки сценариев, что породило упрощенчество - продюсеры желают и получают более простые, более "серые", по выражению сценариста Михаила Угарова, тексты./8/ Для сравнения, в США, как рассказывает исполнительный продюсер СТС Константин Наумочкин, пилотные сценарии пишутся 2-3 месяца за круглым столом несколькими авторами, с обсуждением всех деталей./4/ В России один автор пишет сценарии для 2-3 телепроектов, в дополнение подрабатывая редакторством, ведением блогов и написанием статей для СМИ.

Другая проблема для сценариста - фактическое завершение своей работы над фильмом после сдачи готового сценария, в то время как, например, в США драматург контролирует идею вплоть до завершения съёмочного процесса, что и рождает детальную скрупулёзность, а как следствие - и достаточно высокое качество телесериала.

Современные режиссёры телесериалов профессиональны с точки зрения технологии создания фильма, но, по мнению продюсера Сергея Сельянова, им не хватает жизненного опыта./7/ Сериал, говорит Елена Гремина, больше похож на театр./11/ Если в кино можно снимать эпизоды в любой последовательности, то в сериале так не происходит. А в соответствии с американской моделью съёмки телесериал вообще может сниматься параллельно с эфиром. Так, например, снималась "Бедная Настя". Начиная со студенчества во ВГИКе, молодых режиссёров начинают привлекать к съёмкам сериалов, и соглашающиеся на это молодые люди становятся успешными профессионалами-технологами, однако уже не способны стать режиссёрами игрового художественного кино./17/

В отличие от кино, в телефильмах зритель ищет прежде всего привычные лица, конкретных знакомых актёров, поэтому в сериалы приглашают тех, кто уже стал известным и полюбившимся лицедеем. Однако в силу того, что в России нет разделения (и, соответственно, обучения) профессий кино- и телеактёра, многие исполнители ощущают неудовлетворённость от игры в телесериалах. Чтобы предотвратить вызываемую потоковой съёмкой профессиональную выхолощенность и, в конечном итоге, творческую гибель, многие киноактёры либо сразу отказываются сниматься в телесериалах, либо находят в себе силы вовремя остановиться.

Аудитория каждого сериала конкретна, её можно описать и измерить. Как правило, каждый сериал ориентирован на социальную группу зрителей определённого пола, возраста, рода занятий, стиля жизни. Зритель должен легко - частично или более-менее полно - отождествлять себя с героями сериала, в свою очередь являющими собой типичного стереотипного зрителя, участника целевой аудитории. Аудиторию, зрителя придумывают себе продюсер вместе с телеканалом. По опыту Александра Акопова, создание имиджа зрительской аудитории представляет собой творческий процесс, результат которого выражается одним словом - "попал" или "не попал"./12/ Например, "попал" СТС - сериалы "Светофор", "Папины дочки" и "Закрытая школа" стали не только высокорейтинговыми, но и вновь сформировали аудиторию канала. В 2011 году СТС, по словам гендиректора телеканала Вячеслава Муругова, решил изменить профиль аудитории, но уже не спонтанно, а целенаправленно, вместо зрителей 6-54-летнего возраста сосредоточившись на более компактных возрастных границах 14-44 лет./3/

В 2000-е годы телесериалы стали участвовать в номинациях российских телевизионных премий и кинофестивалей. ТЭФИ-2005, например, получили "Моя прекрасная няня" (Анастасия Заворотнюк за лучшее исполнение женской роли в телефильме), "Брежнев" (Сергей Шакуров за лучшее исполнение мужской роли в телефильме и продюсерская компания "Слово" за лучший телефильм), "Штрафбат" (как лучший телевизионный художественный сериал). Сериал "Маргоша" на Сочинском кинофестивале в 2010 году получил премию "За лучшую женскую роль", а в 2011 году - "За лучшую режиссёрскую работу" и "Самый успешный сериал на российском телевидении". И т. д./16/


Глава 2. Анализ рынка сериалов, его тенденции, проблемы и пути решения

.1 Текущее положение рынка отечественных сериалов

По данным аналитического центра "Видео Интернешнл" в 2012 году на 9 основных каналах ("Первый канал", "Россия 1", НТВ, СТС, РЕН ТВ, ТНТ, "Домашний", "Перец" и ТВ 3) было показано больше всего сериалов, снятых компаниями - "Форвард-фильм" (37 сериалов), "Леан-М" (24 сериала), RWS (24 сериала) и "Панорама" (24 сериала). По продолжительности же сериалов лидируют - "7 АРТ Медиа" (3 сериала, продолжительность - 627 часов), "ГудСториМедиа" (4 сериала, продолжительность - 601 час) и "Леан-М" (продолжительность - 467 часов). Список лидеров компаний-производителей - в таблице 2.1.

Таблица 2.1 Топ-10 производителей сериалов в 2012 году

Студия

Продолжительность, ч

Количество сериалов

1

2

3

7 АРТ Медиа

627

3

ГудСториМедиа

601

4

Леан-М

467

24

Амедиа

446

10

RWS

427

24

Форвард-фильм

327

37

Мостелефильм

308

7

РенТВ

304

18

Стар Медиа

269

23


Рассмотрим, какую сериальную продукцию предпочитает массовый зритель на примере 10 самых популярных сериалов, транслировавшихся в начале апреля (рис. 2.1.).

Рисунок 2.1 Топ-10 телесериалов за период с 8 по 14 апреля 2013 года


Как видно из таблицы, в топ-10 присутствуют один сериал Первого канала, по два сериала у каналов "Россия-1" и ТНТ, у СТС один сериал. Лидером же стал канал НТВ - 4 сериала этого канала попали в десятку.

Почему одни сериалы смотрят активнее чем другие? Телесериалы развлекают зрителя, в этом основная причина массового успеха жанра. Руководитель продюсерского центра "Амедиа" Александр Акопов отмечает, что человек у телевизора - это человек, ожидающий развлечений, это человек отдыхающий, человек вне возраста./5/ Тем более обречённым на успех жанр становится в эпоху перемен, когда, по убеждению немецкого философа Вальтера Беньямина, человеческая психика ожидает не созерцания, а развлечений./8/

Привязанности зрителя к сериалам способствует и быстро формирующаяся привычка к просмотру понравившегося фильма. Социологи объясняют, что сериал как феномен массовой культуры представляет собой упорядоченный в требуемой последовательности набор клише: сюжетных ходов, ситуаций, реплик. Это делает телепродукт комфортным для просмотра, а обязательная интрига в сюжете удерживает зрителя у экрана. По словам Александра Акопова, зрительская аудитория в принципе всегда и везде одинакова, вне зависимости от своих характеристик./6/ Главное её требование - если ей что-то нравится, она хочет это ещё и ещё, снова и снова, она желает, чтобы действо не заканчивалось.

Наконец, популярности сериалов способствует не только зрительский интерес, но и те возможности, что открываются перед социальными инженерами и политиками. PR-теоретик Геннадий Почепцов в книге "Информационные войны" объясняет механизмы использования сериалов в целях политической разведки и пропаганды - здесь при помощи сериалов можно изучать представления и стереотипы массового национального сознания, формировать стиль жизни и личные потребности как конкретного человека, так и социальных групп./4/

Автор книги "Психическое телевидение" Дуглас Рашкофф, не заглядывая так глубоко в политику, обращает внимание на то, что при помощи сериалов можно распространять в социуме трансформирующие культуру идеи-директивы, и в этом, на взгляд Рашкоффа, заключается главная задумка и главный интерес создателей телесериалов./9/ Предметом же интереса исследователей, по словам социолога Веры Зверевой, становится конструируемая сериалами реальность, динамика этой конструкции, содержание транслируемых публике посланий./6/

К 2010 году, пишет "Огонёк", изменилась сериальная политика зарубежных производителей: всё более популярным становится не только ежедневный показ (так называемое "горизонтальное программирование" или "горизонтальный показ"), но и показ "вертикальный", когда одна серия представляет собой законченную историю и выходит в эфир один раз в неделю./7/ Вертикальные сериалы дороже при покупке прав на их показ, они также дороже и сложнее в адаптации.

Директор по кино- и телепроизводству "Централ Партнершип" Арам Мовсесян считает, что за вертикальным программированием будущее - когда сериал выходит раз в неделю в один и тот же день недели в одно и то же время, это удобно для занятых, работающих людей./4/ Глава "Амедиа" Александр Акопов выделяет ещё один зародившийся тренд - развития интеллектуальных сериалов./3/ В США уже поняли, что серьёзное кино ушло из кинотеатров и никогда не вернётся в них, роль интеллектуальной площадки перешла к телевидению. Поэтому, наряду со всегда популярным развлекательным ТВ, за рубежом уже началось развитие жанра серьёзных интеллектуальных, исследующих человека, сериалов.

По данным "Коммерсанта", в 2008 году в России производством сериалов занимались 150-200 продюсерских центров и компаний. 10-15 % можно было назвать демперами (торговцами по заниженным ценам), но их доля постепенно снижалась, так как демперы не могли обеспечить требуемый телеканалам качественный контент. Крупнейшими российскими производителями телесериалов по количеству часов эфира на шести федеральных каналах по итогам 2007 года были "Леан-М", Star Media, "Амедиа", "ТелеРоман", "Киноконстанта" (принадлежит "СТС Медиа"), "Централ Партнершип", "Студия 2В", "Феникс-фильм", "НТВ-Кино" и RWS. По данным TNS Gallup Media, крупнейшими российскими производителями коротких, до 26 серий, телесериалов по количеству часов эфира на федеральных каналах "Первый" и "Россия" по итогам 2008 года были "Централ Партнершип", "Форвард-фильм", "НТВ-Кино", "Рекун ТВ", "Про Синема Продакшн", "Фильм Про", "Феникс-фильм", "Президент-фильм", "Арт-Базар" и "Мамаду".

Крупнейшими ведущими показ телесериалов телеканалами являются "Первый канал", "Россия", НТВ, СТС, РЕН-ТВ и ТНТ. По данным рекламной группы "Видео Интернешнл", с 2001/2002 года по 2005/2006 год суммарная доля сериалов в эфире основных федеральных каналов выросла с 24 % до 62 %, а за сезон 2005/2006 года суммарный объём сериального показа на этих площадках вырос на 12 %, с 8312 до 9303 часов.

В 2008 году телеканалы платили производителям за один час показа сериала: РЕН-ТВ - $90-120 тыс., СТС и ТНТ - $200-250 тыс., НТВ - $300 тыс., "Первый канал" и "Россия" - до $500-600 тыс. За один эпизод мини-сериала (до 10 серий) телеканалы выплачивали производителям от $150 тыс. до $700 тыс. Доля премьерной сериальной продукции в прайм-тайм (наиболее востребованные вечерние часы показа) ведущих каналов приблизилась в 2008 году к 100 %.

Обладателями крупнейших сериальных библиотек прав в России являются телеканалы "Первый", "Россия", НТВ и РЕН-ТВ. Своя библиотека, но меньшего размера, есть и у телеканала СТС.

Российские и зарубежные бюджеты сериалов значительно различаются. Исполнительный продюсер телеканала СТС Константин Наумочкин приводит следующие сравнительные данные: один эпизод снятого в партнёрстве с Голливудом ситкома "Моя прекрасная няня" стоил производителям в среднем $1,3 млн., в то время как один эпизод российского сериала вне зависимости от его жанра и продолжительности обходится создателям в среднем в $100 тыс. Бюджет снятой в 2003-2004 году 127-серийной мелодрамы "Бедная Настя" оценивался в $12 млн., или, в среднем, $94,5 тыс. за один эпизод./4/ Тем не менее, за десятилетие 2000-х годов финансирование значительно выросло - в 1999 году один эпизод обходился создателям в среднем в $10-12 тыс.

Доходы производителей сериалов ограничиваются телеканалами, не покупающими сериалы, которые параллельно с телепоказом можно купить на DVD. DVD-версия обычно выходит спустя полгода - год после окончания премьерного показа по ТВ. В том числе и это ограничение пока мешает российским производителям согласиться на вертикальный, более длительно распределённый во времени, показ сериальной продукции.

К концу 2000-х годов российские продюсеры осознали, что собственный продукт даёт возможность зарабатывать на правах показа, обеспечивая таким образом свои доходы на несколько лет вперёд. Премьерные два-три показа стоят в России 50-100 % себестоимости производства, в СНГ 20-50 %, повторные показы - 30-50 %. Как следствие, крупнейшие продюсерские компании и телеканалы начали собирать библиотеки прав показа.

С началом экономического кризиса 2008-2009 годов российские телеканалы почти на 30 % снизили закупочные цены на сериальную продукцию и стали настаивать на закреплении за собой 100 % прав на неё. Продюсерские компании приостановили производство, гарантировав тем самым телеканалам скорый дефицит востребованной зрителями российской продукции. На телеканалах в 2009 году в 1,2-1,5 раза выросла доля новых зарубежных сериалов, но российский зритель не дал им высоких рейтингов.

Российские сериалы стали завоёвывать всё большую популярность у зрителей, начиная с сезона 1999/2000 года: 60 % зрителей посмотрели тогда сериал "Убойная сила" на ОРТ (нынешний "Первый канал"), 40 % - сериал "Улицы разбитых фонарей" также на ОРТ, 34 % - "Д.Д. Д. Досье детектива Дубровского" на НТВ. В 2002 году в России было снято 800 часов сериалов, ёмкость сериального рынка оценивалась тогда не менее чем в 2,1 тыс. часов. На книжных прилавках появились романы-рефераты только что показанных в эфире телеисторий. В 2003 году сформировался главный идеологический тренд российских сериалов - оптимистичное кино, показ позитивного общества, общества без проблем.

В 2004 году в России появились ситуационные комедии, так называемые "ситкомы", и к 2006 году сериалы обогнали по популярности развлекательные программы, по сравнению с началом 2000-х годов поменявшись с ними местами в телерейтингах. В короткий срок сериалы "Моя прекрасная няня" и "Не родись красивой" подняли рейтинг, выручку и операционную прибыль нового телеканала СТС.

В 2005/2006 году проявились две сериальные тенденции в России. Во-первых, упрощенчество. Эксперты указывают, что тогда не было ни новых образов, ни новых лиц, создатели эксплуатировали три испытанных жанра - любовный роман, боевик и мелодрама. Во-вторых, в угоду распространению сериалов телеэфир постепенно покидали политическая и социально-культурная аналитика, интерактивные программы, дебаты и злободневная сатира. Сериалы же, особенно рассказывающие о буднях правоохранительных органов, стали активно продвигать в массы государственные приоритеты. Кандидат философских наук Виталий Куренной, однако, полагает, что порядок в царящем развлекательном хаосе способно навести не государство, а "консолидированный интерес экономической и политической элиты".

В 2007 году оборот сериальной индустрии составил в России $400-600 млн. К 2008/2009 году доля российских сериалов в эфире достигла 70-80 %. По версии совладельца и генпродюсера "Леан-М" Тимура Вайнштейна, с 2004/2005 по 2007/2008 годы российский рынок сериалов рос на 20-25 % ежегодно./8/ Первый замгендиректора телеканала "Россия" Александр Любимов, напротив, в любых цифрах сомневался. По его мнению, объёмов сериального рынка не знает никто./6/

В 2008 году ёмкость сериального рынка оценивалась игроками в 3 тыс. часов, и в стремлении полностью покрыть потребности телеканалов продюсерские компании пошли на максимальное ("до неприличия", по выражению продюсера Сергея Сельянова/4/) снижение требований к сценариям, режиссуре и актёрскому мастерству. В результате к сезону 2008/2009 года рынок оказался перегрет, игроки стали ожидать замедления роста, а "Видео Интернешнл" спрогнозировало в 2008 году падение темпов роста от 26 % в 2007 году до 8 % в 2012 году.

Подведем итоги. Рынок сериалов в России развивается стремительно и порой идет в сторону количества, нежели качества, но тенденция стремления к совершенству постепенно появляется, и выпускаемая продукция не только прогрессирует с точки зрения технических и драматургических норм качества, но и находит отклик у аудитории каналов, на которых транслируется.

 

2.2 Основные проблемы и тенденции сериального рынка


Среди российских сериальных проблем специалисты в первую очередь называют засилье их упрощённости, создатели сериалов говорят о приоритете рентабельности в условиях, в том числе, обособленности национального российского кинорынка, социологи и эстеты указывают на позитивный эффект от применения театральных приёмов и принципов, профессионалы и прочие неравнодушные зрители критикуют поверхностность.

Сценарист Михаил Угаров обращает внимание на то, что сегодня высокой скоростью и, соответственно, низким качеством характеризуется работа всех основных звеньев производственного процесса - в большинстве своём сценарист быстрее и проще пишет, режиссёр так же снимает, актёр так же играет. И режиссёр, и актёры уже знают, как всё должно быть, они знают "формат", "они сами держат эту работу не за творчество". В идеале, считает Угаров, такого не должно быть, сериальные актёры должны играть лучше, чем в кино./5/

Отвечая на вопрос, почему российские сериалы плохого качества, снявший сериал "Ликвидация" режиссёр Сергей Урсуляк выделил несколько причин/12/:

1.   Слишком много режиссёров, качество их работы очень низкое.

2.      Режиссёр не смотрит свой продукт сам и не рекомендует делать это близким. Он снимает для некоего виртуального провинциального зрителя, который, по мнению режиссёра, будет рад сериалу только за то, что он (сериал) есть.

.        "Отсутствие стыда" - у режиссёров нет цели роста, но есть завышенная самооценка.

.        Нет профессиональных, творческих критериев качества телесериала.

.        Зритель всё равно смотрит - и пока он будет смотреть, ему будут показывать./12/

Если упрощённость можно толковать как отсутствие содержательной глубины, то поверхностность - это наличие неточностей, искажённая гиперболизация и шаблонизация действительности. За подобные недостатки порции критики получили, в частности, два известных российских сериала 2000-х годов - "Ликвидация" (эфир на телеканале "Россия") и, в значительно большей степени, "Школа" (эфир на "Первом канале").

На наш взгляд, одной из главных проблем развития сериального рынка, является система показа сериалов в России. Как видно из программы передач любого канала, большинство сериалов демонстрируются в режиме "по будням" в определенное время. Такой показ называется горизонтальным. Сейчас же за рубежом активно внедряется система вертикального показа, когда сериал выходит строго раз в неделю по одной серии. Такой способ демонстрации позволяет производителям получать больше времени на создание одной серии, что в результате положительно сказывается на качестве сценария, режиссуры, актерской игры и многих других аспектов, к тому же появляется возможность отслеживать зрительскую реакцию и успевать совершенствовать сериал в течение сезона. В 2010 году Константин Эрнст в качестве эксперимента в традиционный для сериалов тайм-слот "понедельник-четверг, 21:30" предложил зрителям 4 сериала, каждый из которых шел в свой день недели: "Побег", "Гаражи", "Голоса", "Банды". Однако, доля сериалов оказалась ниже среднесуточной доли канала, а зрители переключились на каналы-конкуренты, транслировавшие в традиционном режиме свою сериальную продукцию. Эксперимент был признан неудачным. Мы абсолютно согласны с К. Эрнстом в том, что благоприятный исход от внедрения такой схемы может быть лишь в том случае, если схему одновременно начнут использовать сразу несколько центральных каналов, иначе у зрителя будет риск вернуться на привычную, архаичную форму телесмотрения. В настоящее время эксперимент в области вертикального сериального программирования ведет канал СТС, транслируя по пятницам молодежный мистический сериал "Ангел или демон". Канал и в будущем планирует показывать высокобюджетные сериалы в жанрах мистики и фантастики в таком режиме, так как как показывают их исследования аудитории, зритель канала воспринимает объединенные общим сюжетом 2 серии как единый фильм и в таком случае готов целую неделю ждать продолжения. Традиционный же режим показа канал оставит для ситкомов и драмеди.

Подведем итоги. Упоминавшаяся нами в предыдущем параграфе тенденция к быстрому производству сериалов в противовес качеству по-прежнему присутствует среди многих производителей сериалов, однако, многие каналы, в частности упомянутые нами СТС и Первый, внедряют новые системы программирования сериалов, позволяющие производителям сериалов более тщательно относиться к своему делу, чтобы сделать в итоге максимально конкурентоспособный продукт.

Глава 3. Прогнозирование объема сериальной продукции

.1 Прогнозирование объема сериальной продукции в телевизионном эфире методом экстраполяции временного ряда

Для того, чтобы спрогнозировать методом экстраполяции, сколько составит объем сериальной продукции российского производства в телевизионном эфире в ближайшие несколько лет на основании данных за последние пять лет, которые мы представляли в предыдущей главе, нам следует выполнить следующие действия:

. Построение графика, отражающего тенденцию изменения объема сериальной продукции в телеэфире во времени по исходным данным. Во-первых, напомним исходные данные: в 2008 году в телевизионном эфире вышло в совокупности 6704 часа премьерных телесериалов, в 2009 году - 6515, в 2010 - 6667, в 2011 - 6069, а в 2012 году 5512 часов телевизионных сериалов. Для построения графика необходимо каждому году присвоить порядковый номер: 2008 - 1, 2009 - 2, 2010 - 3, 2011 - 4, 2012 - 5(рис. 3.1.)

Рисунок 3.1 Общий объем сериалов в телеэфире в 2008-2012 гг.


Анализ графика позволяет прийти к выводу, что общие условия, определяющие тенденцию изменения объема сериалов в прошлом, не претерпевают существенных изменений в будущем.

Вид кривой свидетельствует о линейной зависимости переменных - тенденция изменения объема сериалов характеризуется аналитическим уравнением прямой. Таким образом, выполняются оба условия для возможности применения метода экстраполяции динамического (временного) ряда при выполнении прогноза о количестве премьерных сериалов в России на 2013 год.

. Расчет параметров уравнения прямой.

Кривая объема продаж по годам близка к линейной зависимости, которая выражается уравнением прямой по формуле:

у=а+bх, (1)

где у- количество часов сериальной продукции (объем сериалов);

х - порядковый номер года;

а - параметр, характеризующий влияние основных факторов на выход сериалов (рейтинг, бюджет сериала и др.);

b - параметр, характеризующий влияние вспомогательных факторов на выход сериалов (моды, сезонности и др.).

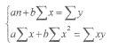
Для нахождения параметров уравнения прямой необходимо составить

и решить систему уравнений по формуле:

 (2)

Для решения системы уравнений необходимо провести дополнительные расчеты(таблица 3.1).

Таблица 3.1 Таблица для расчета параметров уравнения прямой

Порядковый номер года, х

Количество часов премьерной сериальной продукции, у (ч)

ху

х 2

1

2

3

4

1

6704

6704

1

2

6515

13030

4

3

6667

20001

9

4

6069

24276

16

5

5512

27560

25

Итого: 15

31467

91571

55


5a + 15b = 31467

15a + 55b = 91571

15a + 45b = 94401

15a + 55b = 91571

10b = -2830

b = -283

5a + 15*(-283) = 31467

5a = 31467 + 4245

5a = 35712

a = 7142,4

a = 7142,4; b = -283

у = 7142,4 - 283х

у(2013) = 7142,4 - 283*6 = 5444,4

у(2014) = 5161,4

у(2015) = 4878,4

у(2016) = 4595,4

у(2018) = 4029,4

у(2019) = 3746,4

у(2020) = 3463,4

Как видно из наших расчетов, мы видим отрицательную динамику количества часов сериальной продукции собственного производства в телевизионном эфире.

Подведем итоги. С помощью метода экстраполяции нам удалось спрогнозировать количество часов сериалов на 2013-2020 годы. Мы отчетливо наблюдаем тенденцию уменьшения часов сериалов, однако, на наш взгляд, это вполне позитивная тенденция, ведь на смену долгоиграющим "мыльным операм" для аудитории "Женщины старше 55 лет" приходят более качественные с точки зрения производства и уровня драматургии проекты, на создание которых нужно гораздо больше времени, зато и финансовая отдача от них может быть сильнее, поскольку предназначены они для аудитории "14-45", наиболее покупательной и перспективной части телевизионной аудитории.

3.2 Прогнозирование объема сериалов методом наименьших квадратов

Для расчета прогнозируемого объема сериалов в ближайшие несколько лет методом наименьших квадратов нам следует выполнить следующие действия:

Расчет параметров уравнения прямой.

Для удобства выполнения расчетов составим и заполним табл. 3.2.

Таблица 3.2 Таблица для расчета параметров уравнения прямой

Годы

Условные обозначения периодов, х

Х 2

Объем сериалов (ч), у

ух

1

2

3

4

5

2008

-2

4

6704

-13408

2009

-1

1

6515

-6515

2010

0

0

6667

0

2011

1

1

6069

6069

2012

2

4

5512

11024

Итого

0

10

31467

-2830

- Столбец 4 содержит исходные данные: в 2008 году на российские телеэкраны вышло 6704 часа сериальной продукции собственного производства, в 2009 году - 6515, в 2010 - 6667, в 2011 - 6069, а в 2012 году 5512 часов сериалов.

Столбец 2 - условные обозначения периодов, х.

Число уровней (значений) ряда динамики с 2008 до 2012 гг. содержит 5 уровней. При нечетном количестве, уровень, находящийся в середине ряда (2010 год), принимается за условное начало отсчета времени (этому периоду или моменту времени придается нулевое значение). Даты времени, стоящего выше этого уровня, обозначаются натуральными числами со знаком минус, например, 2009 году соответствует условное обозначение "-1", 2008 году- "-2"; а ниже - натуральными числами со знаком плюс, например, 2011 году соответствует условное обозначение "1", 2012 году "+2".

Заполнение столбца 3 осуществляется последовательным возведением в квадрат значений условных обозначений периодов х. В 2-ом примере для 2009 года: х = (-1) = 1. Требуется вычислить строку "Итого": 10.

Столбец 1 содержит года, за которые идет учет уровня объема сериалов.

Заполнение столбца 5 осуществляется последовательным переумножением значений столбцов "Объем сериалов" (ч), У и "Условные обозначения периодов", Х (столбцы 4 и 2 соответственно). Допустим, для 2012 года:

у * Х = 1243*2 = 11024.

Требуется вычислить строку "Итого": -2830.

Решая систему, для О-го варианта задания получаем следующие значения параметров уравнения прямой:

a = 31467/5= 6293,4

b = -2830/10 = -283

Зная значение параметров, получаем уравнение тренда -уравнение прямой ряда динамики, характеризующего динамику изменения общего объема сериалов с 2008 года по 2012 год:

^у= 6293,4-283х (3)

Используя уравнение прямой (формула 3), выполним прогноз объема сериалов в 2013-2015 годах.

Прогноз: объем сериалов в 2013 году по методу наименьших квадратов составит:

^y3 = 6293,4 -283*3 = 5444.4

^y4= 5161,4 - в 2014 году

^y5=4878,4 - в 2015 году

Полученные в результате прогноза данные оказались абсолютно идентичны тем данным, которые мы получили, пользуясь методом экстраполяции. А значит, мы уже смело можем говорить о том, что именно так скорее всего будет уменьшаться количество демонстрируемых в телевизионном эфире премьерных часов уже существующих и запускающихся сериалов. Как мы уже писали, эта тенденция грозит сокращением количества, поскольку мы говорим о телевидении, зрителями которого являются группы разного возраста и разного материального обеспечения, то в глубокой перспективе важно производство сериалов нового уровня, постепенно внедряемых на экран. Пока таких сериалов немного, но они уже вытесняют стандартное "мыло". Смеем предположить на основе собранных материалов, что количество сериалов будет расти за счет появления новых профессионалов на рынке сериалов, но поскольку математических данных для проведения такого анализа у нас нет, ограничимся проведенным исследованием и его результатами.

Заключение

Чтобы жанр не стоял на месте и развивался, руководители российских каналов не забывают о расширение драматургических и технических границ, стараясь максимально правильно преподнести зрителю их продукцию.

В результате изучения данных о развитии рынка производства сериалов собственного производства в Российской Федерации мы на основе исследованного объема информации спрогнозировали объем отечественной премьерной сериальной продукции в телевизионном эфире российских каналов. Метод экстраполяции временных рядов и метод наименьших квадратов показали практически идентичные друг другу результаты: в 2013 году выйдет 5444,4 часа российской сериальной продукции, в 2014 - 5161,4; а в 2015 году 4878,4 часа премьерных отечественных сериалов.

И хотя проделанный нами прогноз показал уменьшение объема сериалов в часах премьерных серий сериалов, мы в этом видим переход российского телевидения к необычным и эффектным драматическим сериалам нового уровня для показа в вертикальном режиме. Уверены, что за такими сериалами и есть будущее не только российского, но и мирового телевидения.

Список использованных источников

1.     Веснин В.Р. Основы менеджмента. Учебник - М.: Триада 2000. - 114 с.

2.      Владимирова Л.П. Прогнозирование и планирование в условиях рынка. Учебное пособие. - М.: Эксмо, 2001. - 256 с.

.        Градов А.П. Экономическая стратегия фирмы. Учебник - С-Пб.: Специальная литература, 2000. - 421 с.

.        Литвак Б.Г. Управленческие решения. Учебное пособие - М.: ЭКМОС, 2001. - 198 с.

.        Писарева О.М. Базовые методы прогнозирования: Учебное пособие. - М.: Эксмо, 2005. - 416 с.

.        Роднянский А.Е. Выходит продюсер. - М.: Манн, Иванов и Фербер, 2013. - 288 с.

.        Румянцева З.П. Менеджмент организаций. Учебное пособие. - М.: Инфра-М, 2001. - 286 с.

.        Черныш Е.А., Молчанова Н.П ., Новикова А.А., Салтыкова Т.А. Прогнозирование и планирование. - М.: Приор, 2000. - 208 с.

.        TimeOut.ru›journal/feature/32187/

.        memoid.ru›node/Osobennosti…teleserialov

.        kommersant.ru›doc/858267

.        Broadcasting.ru›newstext.php

.        russianews.ru›newspaper/17001/17054

.        expert.ru›Журнал Эксперт›2012›…/rejtingi-vmesto-smyisl

.        dv-reclama.ru›Аналитика›detail.php

16.    mediabusiness.com.ua›content/view/13853/126/lang

17.    tv.itop.net›node/5794

18.    hitvid.ru›rossiyskie-serialy.html

Похожие работы на - Анализ и прогнозирование конъюнктуры рынка телевизионных сериалов

 

Не нашли материал для своей работы?
Поможем написать уникальную работу
Без плагиата!
Без нейросетей!