Разработка мероприятий инновационной стратегии ООО 'Завод металлоконструкций 'VEKA'

  • Вид работы:
    Курсовая работа (т)
  • Предмет:
    Эктеория
  • Язык:
    Русский
    ,
    Формат файла:
    MS Word
    81,55 Кб
  • Опубликовано:
    2014-12-02
Вы можете узнать стоимость помощи в написании студенческой работы.
Помощь в написании работы, которую точно примут!

Разработка мероприятий инновационной стратегии ООО 'Завод металлоконструкций 'VEKA'

Оглавление

Введение

Глава 1. Теоретические основы исследования инновационной деятельности

1.1 Инновационная деятельность и инновационный потенциал как основа для разработки инновационной стратегии

1.2 Общая характеристика инновационной стратегии предприятия

Глава 2. Характеристика и разработка инновационной деятельности ООО «Завод металлоконструкций «VEKA»

2.1 Общая характеристика ООО «ЗМК «VEKA»

2.2 Организационно-экономические показатели ООО «Завод металлоконструкций «VEKA»

Глава 3. Исследование инновационных возможностей предприятия

3.1 Оценка финансово-экономических показателей

Введение

В современном мире инновационная составляющая развития предприятий является основным источником роста. Мировая практика показывает, что устойчивое развитие производства и поддержание его конкурентоспособности в долгосрочной перспективе зависит от инноваций. Питер Друкер утверждает, что «единственная вещь, имеющая значение - это инновации». Инновационность становится неотъемлемой чертой современного предприятия. В связи с этим возрастает важность и роль управления инновационной деятельностью, инновационным развитием российских предприятий и разработка инновационной стратегии.

Все современные экономические теории указывают на то, что инновации являются источником развития лишь при условии активного и эффективного их использования, а также создания благоприятной среды (атмосферы) для их инициирования (рождения). В этой связи необходимо говорить только о потенциальной способности новых идей, продуктов и технологий создавать новые ценности, что проявляется в конкретных стратегических бизнес-процессах лишь под воздействием заинтересованности собственников и грамотного управления людьми.

Подавляющее большинство исследований по проблемам инновационной деятельности ориентируется на производственную концепцию инновационного развития, в которой акцент делают прежде всего на продуктовые и технологические инновации. Тем не менее, при условиях нестабильной, быстро изменяемой среды, обострение конкуренции на отечественном рынке и через то поиска новых резервов в предпринимательской деятельности, ключевыми факторами успеха становятся не только производственные нововведения, а и организационно-управленческие инновации. Ведь в современных условиях еще недостаточно эффективно разработать стратегию инновационного развития. Не менее важным являются вопросы адаптации инновации к нуждам целевого рынка, коммерциализации инновации, доставки инновации потребителю своевременно в надлежащее место с минимальными расходами финансовых ресурсов и времени.

Рост роли отдельных субъектов хозяйственной деятельности, важность их ориентации именно на инновационный тип развития актуализирует проблему формирования их инновационной стратегии. Эффективное решение этой проблемы предусматривает использование существующих и перспективных рыночных возможностей, принятие стратегических и тактических решений относительно инновационного развития предприятия с целью достижения им стойких конкурентных преимуществ, максимизации показателей прибыльности, высокой благосклонности потребителей на рынке и т.п.. Решение этой проблемы даст возможность трансформировать стихийный, неуправляемый рыночными регуляторами или административно, интуитивный подход в научно обоснованный поиск путей формирования инновационного потенциала предприятий, обеспечив переход инновационной стратегии развития.

Несмотря на рост количества исследований и публикаций, посвященных, с одной стороны, вопросам инновационного менеджмента, а с другой - проблемам разработки инновационной стратегии предприятий в условиях рыночной экономики, ощущается отсутствие общего подхода к теоретическому решению названных проблем.

Цель работы заключается в разработке мероприятий инновационной стратегии ООО «Завод металлоконструкций «VEKA».

Для достижения цели выпускной квалификационной работы были определены следующие задачи:

1.   Изучить теоретические основы инновационной стратегии.

2.      Определить методы развития инновационного потенциала предприятия.

.        Разработать мероприятия инновационной стратегии ООО «Завод металлоконструкций «VEKA».

.        Обосновать экономическую целесообразность разработанных мероприятий.

Объект исследования является ООО «Завод металлоконструкций «VEKA», компания, осуществляющая развитие собственного инновационного потенциала.

Предметом исследования является разработка инновационной деятельности ООО «Завод металлоконструкций «VEKA».

Глава 1. Теоретические основы исследования инновационной деятельности

 

.1 Инновационная деятельность и инновационный потенциал как основа для разработки инновационной стратегии


В литературе приводится множество различных определений понятия «инновационная деятельность».

В концепции инновационной политики Российской Федерации инновационная деятельность рассматривается как процесс, направленный на реализацию результатов законченных научных исследований и разработок либо иных научно-технических достижений в новый или усовершенствованный продукт, реализуемый на рынке, в новый или усовершенствованный технологический процесс, используемый в практической деятельности, а также связанные с этим дополнительные научные исследования и разработки.

Балабанов И.Т. отмечает, что инновационная деятельность включает весь без исключения инновационный процесс, начиная появлением идеи и заканчивая диффузией продукта. На основании этого им уточняется приведенное выше определение. Под инновационной деятельностью понимается процесс, направленный на разработку инноваций, реализацию результатов законченных научных исследований и разработок либо иных научно-технических достижений в новый или усовершенствованный продукт, реализуемый на рынке, в новый или усовершенствованный технологический процесс, используемый в практической деятельности, а также связанные с этим дополнительные научные исследования и разработки».

В трактовке приложения к проекту «Основы политики Российской Федерации в области развития национальной инновационной системы на период до 2010 года и дальнейшую перспективу» инновационная деятельность представляет собой деятельность по воспроизводству поисковых, фундаментальных и прикладных исследований, проектных и опытно-конструкторских работ, маркетинговых действий в целях вовлечения их результатов в гражданско-правовой оборот для реализации в виде инновационного продукта. Такое определение сводит инновационную деятельность к воспроизводству исследований и разработок, а также маркетинговых действий, что является только частью инновационной деятельности.

Более корректным, является определение инновационной деятельности, приведенное в кратком терминологическом словаре ЦИСН - вид деятельности, связанный с трансформацией идей (обычно результатов научных исследований и разработок либо иных научно-технических достижений) в новый или усовершенствованный продукт, внедренный на рынке, в новый или усовершенствованный технологический процесс, использованный в практической деятельности, либо в новый подход к социальным услугам.

В работе уточняется определение ЦИСН и инновационная деятельность рассматривается как совокупность научной, технологической, организационной, финансовой и коммерческой деятельности, направленной на создание и внедрение на рынке нового или усовершенствованного продукта, создание нового или усовершенствованного технологического процесса, использованного в практической деятельности, либо новой или усовершенствованной организационно-экономической формы, обеспечивающей необходимую экономическую и (или) общественную выгоду.

Интересен подход к определению инновационной деятельности на основе социально-психологической концепции. Так, Оголева Л.Н. рассматривает инновационную деятельность как процесс творчества и создания новшества, реализуемый как максима инновационной альтернативы, инновационной потребности и предпринимательских усилий.

В официальной статистике под инновационной деятельностью подразумевается совокупность всех мероприятий по созданию, приобретению, освоению и распространению новых и усовершенствованных видов продукции, услуг, технологий, сырья и материалов, методов организации производства и управления.

Рассмотренные определения не имеют серьезных принципиальных различий, для всех определений характерно рассмотрение инновационной деятельности как определенной последовательности действий, в процессе которой реализуется система мероприятий, направленных на создание новых и усовершенствованных продуктов и процессов, имеющих коммерческую ценность. инновационный стратегия потенциал

Инновационная деятельность как бизнес-процесс состоит из следующих основных стадий:

-    поиск инновационных идей;

-       отбор наиболее перспективных идей;

-       оценка жизнеспособности отобранных идей;

-       разработка детального бизнес-плана инновационного проекта;

-       оценка бизнес-плана;

-       экспериментальное производство инновационного продукта;

-       корректировка схемы производства;

-       продвижение инновационного продукта;

-       массовое производство инновационного продукта.

Инновационная деятельность носит альтернативный, многовариантный характер. Она может осуществляться не только на любой из перечисленных выше стадий (исследования - разработки - производство - распространение (использование на практике)), но и вне их, в процессе приобретения патентов, лицензий, раскрытия ноу-хау, полезных идей и т.д.

К инновационной деятельности относятся:

-    выполнение научно-исследовательских, опытно-конструкторских или технологических работ по созданию инновационного продукта;

-       комплексное научно-технологическое, индикативное планирование и целевое программирование, организация и нормативно-правовое обеспечение работ по созданию инновационного продукта;

-       технологическое переоснащение и подготовка производства для выпуска инновационного продукта (услуги), технологии;

-       проведение испытаний и освоение потребителем инновационного продукта;

-       управление процессами коммерциализации технологий;

-       деятельность по продвижению инновационного продукта, включая правовую защиту результатов интеллектуальной деятельности, использованных в продукте;

-       создание и развитие инновационной инфраструктуры;

-       передача либо приобретение прав на объекты интеллектуальной собственности, включая их вовлечение в гражданско-правовой оборот,

-       экспертиза, консультационные, информационные, юридические и иные услуги (включая организацию финансирования инновационной деятельности) по созданию и реализации нового и усовершенствованного инновационного продукта.

Инновационная деятельность базируется на системном подходе. Системный подход к рассмотрению инновационной деятельности раскрывается через реализацию следующих принципов:

-    системный подход к управлению инновационной деятельностью предполагает рассмотрение перемещения результатов научного труда в рамках полного цикла «наука-производство», т.е. от возникновения научных идей до их применения на практике;

-       при проведении научных исследований должна обеспечиваться взаимосвязь всей совокупности работ и мероприятий во всем единстве экономических, информационных, социально-психологических и организационных связей;

-       процесс достижения цели инновационной деятельности следует рассматривать как упорядоченную совокупность характеристик промежуточных состояний исследования и прогнозирования путей его дальнейшего развития;

-       все уровни управления инновационной деятельностью должны быть строго ориентированы на достижение единой цели, должно обеспечиваться единство управления и взаимосвязь всех его функций;

-       обеспечение инновационной деятельности должно соответствовать формируемым целям.

Модель потенциала любого предприятия определяется:

-    имеющимися объемами и качеством ресурсов (численностью занятых, основными производственными и непроизводственными фондами, оборотными фондами или материальными запасами, финансами и невещественными ресурсами - патентами, лицензиями, информацией, технологией);

-       способностью персонала (специалистов, рабочих, вспомогательного персонала) к созданию определенной продукции, другими словами - его образовательным, квалификационным, психофизиологическим и мотивацонным потенциалом;

-       способностью менеджмента оптимально использовать имеющиеся ресурсы предприятия (подготовкой, талантом и профессиональной адаптацией менеджеров, умением создавать и обновлять организационные структуры предприятия);

-       инновационной способностью (то есть способностью предприятия к обновлению производства, изменения технологии, других инноваций);

-       информационными характеристиками (то есть способностью накапливать, обрабатывать и систематизировать информацию для ее использования);

-       финансовыми характеристиками (кредитоспособностью предприятия, внутренней и внешней задолженностью и тому подобное)

Общий потенциал предприятия может быть структурированный с производственно-технологического потенциала, научно-технического потенциала, финансово-экономического потенциала, кадрового потенциала и собственно инновационного потенциала, который составляет будто ядро всего потенциала, органически входя в каждую его часть.

Под инновационным потенциалом понимается способность предприятия создавать новую стоимость путем привлечения всех его имеющихся материальных и невещественных активов с целью его инновационного развития. В рыночных условиях инновационный потенциал формируют все ресурсы, которые обеспечивают достижение конкурентных преимуществ предприятия путем разработки и ввода инноваций. Наряду с производственным, финансовым, маркетинговым, трудовым, управленческим и коммуникационным потенциалами инновационный потенциал играет существенную роль в экономическом росте субъектов хозяйственной деятельности.

Инновационный потенциал формируется из двух основных материальных и невещественных составляющих: инновационный потенциал материальных ресурсов; интеллектуальный потенциал. Каждый из элементов инновационного потенциала имеет специфические использования целых и развития, подлежит влиянию различных факторов и в зависимости от уровня развития может быть засчитанный к сильным или слабым сторонам предприятия.

К основным средствам инновационной деятельности можно отнести необоротные материальные активы, в частности машины, оборудование, транспортные средства, инструменты и приборы, а также библиотечные фонды. Объект основных средств признается активом, если существует вероятность того, что предприятие получит в будущем экономические выгоды от его использования и стоимость его может быть достоверно определена.

Второй подход к оценке инновационного потенциала материальных ресурсов заключается в использовании коэффициенту, который определяет инновационность материальных ресурсов К (0 < К < 1). Обычно, коэффициент К зависит от отрасли деятельности предприятия и его инновационной активности, и оценивается экспертами.

Материальные ресурсы предприятия отображаются в балансе предприятия как активы. Традиционно считается, что именно основные средства и оборотные активы, а также способность предприятия эффективно их использовать определяют потенциал предприятия. В то же время в информационную эпоху учета в управленческом учете преимущественно материальных активов не € полностью адекватным действительности, поскольку не менее важным источником создания стоимости предприятия становятся невещественные и рыночные активы, трудовые ресурсы.

До недавнего времени понятие «интеллектуальный потенциал» использовалось в узком понимании на уровне показателей количества запатентованных предприятием результатов НИОКР и тому подобное. В то же время, в современных условиях нецелесообразно останавливаться лишь на таком сравнительно узкой трактовке интеллектуального потенциала, ведь внешняя среда стимулирует предприятие к поиску и развитию других не менее важных форм невещественных активов предприятия. Развивая достижение зарубежных и отечественных ученых и учитывая национальные нормативные акты, целесообразно употреблять термин «интеллектуальный потенциал» как составляющую инновационного потенциала, которая в результате его реализации в ходе экономического развития предприятия, трансформируется в интеллектуальный капитал. Учитывая неоднородность интеллектуального потенциала среди его ресурсов целесообразно различать невещественные активы, маркетинговые, управленческо-инфраструктурные и трудовые ресурсы. Основные составляющие элементы, которые формируют интеллектуальный потенциал, приведены в таблице 1.1.

Нематериальные активы согласно с действующим законодательством  - неовеществлённые активы, то есть немонетарные активы, которые не имеют материальной формы, могут быть идентифицированные (отделенные от предприятия) и содержаться предприятием с целью использования в течение периода более одного года (или одного операционного цикла, если он превышает один год) для производства, торговли, в административных целях или предоставленный в аренду другим лицам. Нематериальные активы могут быть приобретенные или полученные в результате разработки. Они отображаются в балансе, если существует вероятность получения будущих экономических выгод, связанных с их использованием, и их стоимость может быть достоверно определена.

Таблица 1.1

Основные составные инновационного потенциала предприятия

Потенциал материальных ресурсов

Интеллектуальный потенциал

Основных средств (техническая база инновационной деятельности)

· основное и вспомогательное научно-исследовательское оборудование; · компьютерный парк; · логистические ресурсы; · здания и сооружения; · передаточные устройства; · библиотечный фонд

Нематериальных активов

· патент  · авторское право,  · права на дизайн · производственные секреты (ноу-хау)  · товарные знаки, знаки обслуживания

Оборотных активов инновацион-ной деятельности

· запасы, товары · векселя получены · дебиторская задолженность  · текущие инвестиции  · денежные средства и их эквиваленты  · другие оборотные активы

Маркетинговых ресурсов

· маркетинговый опыт · реакция предприятия · клиентурная база · благосклонность потребителей  · портфель заказов · франшизные соглашения · лицензионные соглашения



Управлинско- инфраструктурных ресурсов

· организационная культура  · концепции управления · коммуникационные сети · информационные технологии, партнерские отношения с поставщиками и посредниками (цепь поставок)



Трудовых ресурсов

· образование  · уровень квалификации · профессиональные способности · профессиональные наывки · психометрические характеристики


Объектами невещественных активов инновационного потенциала предприятия считаются:

-    права на объекты собственности (право на изобретения, полезные модели, ноу-хау, защита от недобросовестной конкуренции и тому подобное);

-       права на знаки для товаров и услуг (товарные знаки, торговые марки, фирменные названия);

-       авторские и смежные с ними права (право на программы для ЭВМ, базы данных и тому подобное);

-       гудвил;

-       другие невещественные активы (право на осуществление деятельности, использование природными ресурсами, имуществом, использованный экономических и других привилегий и тому подобное).

Касаемо инновационной деятельности, объекты невещественных активов представляют интеллектуальную собственность предприятия, которая является узаконенным инструментом защиты невещественных активов. Так, новые решения, которые касаются производства товаров и их компонентов, могут быть запатентованными. Ценность патента заключается в том, что он закрепляет за своим владельцем монополию на запатентованное изобретение на определенный законодательством срок. Патент имеет особенную ценность, если он защищает сам продукт, поскольку в таком случае никто другой не имеет права на копирование этого продукта. Защите подлежат и авторские права на печатные символы, которые используются в издательском деле, создании музыкальных произведений и программного обеспечения. Такой рыночный актив, как оригинальное имя, защищается товарной маркой для товара или услуги. Торговые секреты защищаются договорами о неразглашениях, которые предусматривают обязательство посвященной в тайну стороны не раскрывать эту тайну никому, кроме указанных в договоре субъектов.

 

1.2 Общая характеристика инновационной стратегии предприятия


Инновационная стратегия как составная часть общей стратегии организации представляет собой целенаправленную деятельность по определению приоритетов перспективного развития организации и их достижению, в результате которой обеспечивается новое качество производства и управления. Она реализуется посредством прогрессивных нестандартных обоснованных управленческих решений, принимаемых с учетом специфики работы организации.

Содержание инновационной стратегии обуславливается ее характером, особенностями инновационной деятельности организации и взаимосвязями между основными элементами единой организационной стратегии. Как показывает практика «характер» инновационной стратегии, реализуемой организацией, определяется рядом особенностей.

Особенности планирования проявляются в процессе определения его реальных временных и количественных границ, принципов формирования и распределения всех видов ресурсов организации, возможностей применения различных приемов и методов управления нововведениями, известных из практики.

Суть особенностей финансового регулирования составляют: принципы, критерии и факторы оценки эффективности инновационных программ, разрабатываемых и реализуемых в соответствии с инновационной политикой организации, условия и конкретные формы распределения финансовых ресурсов между этапами инновационного процесса, отдельными исполнителями и т.п.

Выявление особенностей организации работ и стимулирования персонала необходимо для обеспечения поступательности и непрерывности инновационного процесса, для активизации индивидуальной и коллективной творческой инициативы работников независимо от уровня квалификации и должностных обязанностей.

Специфика инновационной стратегии организации зависит от профиля ее деятельности, уровня производственно-технического развития, направленности и объема, реализуемых в производственных и исследовательских подразделениях работ в рамках инновационного цикла по различным видам новшеств, сферы их применения.

Оценивая инновационную стратегию организации, следует учитывать высокую зависимость перспектив ее развития от результатов деятельности предыдущих периодов, накопленного потенциала.

Большое влияние на содержание и результаты инновационной стратегии оказывают интенсивность и качество взаимодействия между специализированными и профессиональными подразделениями.

Ответственность за инновационную стратегию, от которой зависит выживание организации, лежит на управляющих, а задача высшего руководства - выявить управленческий потенциал для конкретных условий функционирования организации, систематически просматривать свои «внутренние» запасы управленческих талантов, устанавливать масштабы и цели необходимой управленческой подготовки и выделять соответствующие ресурсы.

Но в любом случае приоритеты инновационной стратегии товаропроизводителя ограничиваются ее инновационным потенциалом в сфере производственной (основной) деятельности.

Основные виды инновационной стратегии

В зависимости от условий микро- и макросреды организация может выбрать один из основных видов инновационной стратегии:

-    адаптационный, оборонительный, пассивный

-       творческий, наступательный, активный.

При разработке перспективных планов развития предприятие анализирует и определяет в первую очередь свои стратегические ориентиры на рынке. Затем эти общие долгосрочные направления конкретизируются и реализуются в форме различных стратегических программ и планов-проектов. Интеграция стратегического управления и инновационного менеджмента позволит установить взаимосвязь и взаимодействие между технологическими и нетехнологическими направлениями хозяйствования предприятий и послужит методологической основой эффективного вовлечения новых технологий в хозяйственный оборот.

Комплексная система стратегий роста и развития крупной экономической организации, как правило, включает в себя три уровня принятия управленческих решений:

) общий, или корпоративный;

) конкурентный, или производственно-хозяйственный;

) операционный, или функциональный.

Общая, или корпоративная, стратегия определяет направление развития предприятия в целом. Производственно-хозяйственные стратегии описывают способ достижения конкурентных преимуществ по каждому основному направлению хозяйственной деятельности на уровне подразделений. Функциональные стратегии конкретизируют действия отделов и служб (производство, маркетинг, финансы, НИОКР, персонал) но достижение общей и конкурентных стратегий в оперативном режиме времени.

Разновидности общего корпоративного развития в системе стратегий сводятся к трем основным типам: рост, стабильность и сокращение. Стратегия роста направлена на развитие наиболее перспективных в долгосрочном аспекте сфер хозяйствования предприятия. Стратегия стабильности предполагает сосредоточение и поддержку существующих направлений бизнеса. Стратегия сокращения применяется в силу сложившихся внешних конъюнктурных или внутренних структурных причин, приведших предприятие к критической ситуации.

В существующей системе стратегий выведение на рынок новых продуктов и услуг на основе внедрения продуктовых и технологических инноваций относится к стратегиям роста. Это означает, что в корпоративном плане стратегии инноваций не придается приоритетного значения. Данную стратегию принято отождествлять с производственно-хозяйственным, а не корпоративным менеджментом. Такая система иерархии корпоративных направлений роста приводит в настоящее время к тому, что на большинстве предприятий на освоение инноваций выделяется недостаточно ресурсов, потому как данная стратегия продолжает считаться дополнительной и не относится к основным. Отсюда потенциал новых технологий используется неполноценно и увеличивает технологическое отставание предприятий.

Такой подход к декомпозиции стратегий характерен для индустриального и постиндустриального уклада экономики и не является приемлемым для современных рыночных условий, когда экономический рост предприятия определяется в основном используемыми базовыми технологиями. Трансформация экономической среды, как было уже доказано, обусловливает необходимость усиления роли стратегии инновационного развития в корпоративном плане. Решение этой задачи возможно. На основе включения в состав корпоративных стратегий такого отдельного направления развития, как инновационное.

Перемещение управления по освоению новых технологий с производственно-хозяйственного и функционального уровней на корпоративный приведет к повышению роли инновационной деятельности в общей системе управления предприятием. Включение стратегии инноваций в число корпоративных способствует тому, что технологическое развитие становится общей стратегической целью хозяйствующего субъекта в целом и перестает быть частной функциональной задачей отдельного производственно-хозяйственного подразделения или бизнес-единицы, входящих в состав данного предприятия.

Кроме того, корпоративные стратегии при таком варианте, можно согласовать с фазами жизненного цикла изделий: рождение, рост, зрелость, спад. Приведение корпоративных стратегий в соответствие между собой согласно концепции жизненного цикла и с учетом их последовательного роста и развития, в свою очередь, позволяет предприятиям постоянно формировать сбалансированный бизнес-портфель, под которым традиционно понимается равномерное размещение ресурсов между зарождающимися и зрелыми рынками с целью рассредоточения рисков, диверсификации бизнеса, смягчения зависимости от определенных групп потребителей, разнообразия технологической ориентации и получения равновесного распределения прибыли в краткосрочном и долгосрочном периодах.

Таковы должны быть современное место и роль инновационного управления в системе общекорпоративного менеджмента предприятия. Это позволяет не только повысить иерархический статус и стратегическое значение инновационного развития по отношению к другим направлениям роста, но и установить динамичное соответствие между инновационной и другой перспективной деятельностью предприятий.

С учетом полученных в ходе стратегического анализа результатов осуществляется планирование стратегии.

Связующим звеном между этапами планирования и реализации служит постановка задач. Она в процессе стратегического управления имеет двойное назначение. Так, при необходимости внесения в стратегическое поведение корректив, не требующих пересмотра миссии и проведения анализа внутренней среды, процесс управления целесообразно ограничить постановкой дополнительных, корректирующих задач.

Блок реализации в процессе стратегического управления является по своей сути подготовительным и способствующим эффективному достижению выбранных целей. А этап оценки и контроля замыкает процесс стратегического управления в непрерывный цикл.

Напомним, что целью данной работы является формирование методологии инновационного развития предприятий на принципах стратегического управления. Поэтому не будем подробно раскрывать сущность и значение каждого из представленных на схеме этапов и рассматривать модели и механизмы, используемые при этом. Данные проблемы являются темой отдельных исследований, которые широко представлены в литературе, в том числе и автором в. Считаем возможным исключить эти вопросы из числа рассматриваемых и перейти непосредственно к формированию механизма интеграции стратегического управления и инновационного менеджмента.

С тем чтобы инновационное развитие действительно стало общей корпоративной целью, необходимо в процесс формировать стратегического поведения включить основные этапы разработки и внедрения новых технологий. Для решения этой задачи условно объединим стратегическую и инновационную деятельность и представим ее в виде четырех ключевых блоков: анализ (оценка внешнего и внутреннего окружения, определение миссии, формулировка целей); планирование (планирование стратегии, постановка задач); реализация (разработка планов, проведение структурных изменений); контроль (формирование бюджетов, оперативное управление, оценка и контроль).

В каждом из этих блоков выделим этапы в процессе формирования общего корпоративного поведения предприятия на рынке, которые являются не только наиболее значимыми с позиции формирования политики инновационного развития, но и требуют дальнейшего совершенствования. Речь идет о том, чтобы включить в процесс разработки и реализации общего корпоративного поведения элементы инновационного процесса. Такая интеграция позволит ввести инновационные цели и задачи в формирование каждого стратегического плана.

Из представленной схемы видно, какие ключевые этапы формирования стратегического поведения требуют дополнения и усовершенствования, с тем чтобы предприятия при разработке каждой стратегии могли на корпоративном уровне анализировать и учитывать цели и задачи инновационного развития и своевременно осваивать новые технологии.

Выделенные этапы в процессе формирования стратегического поведения представляются наиболее значимыми с позиции инновационного развития. Так, оценка инновационного поведения предполагает определение внешних стратегических изменений, которые могут произойти у хозяйствующего субъекта в результате освоения технологических инноваций. Оценка инновационной активности, в свою очередь, направлена на то, чтобы при проведении анализа внутренней среды и формировании стратегических целей развития (например, наряду с проведением SWOT-анализа) предприятия рассматривали свой научно-исследовательский опыт и экономические возможности по внедрению новых технологий. Если у предприятий есть определенный положительный опыт реализации инновационный проектов, особенно в сфере создания принципиально новых продуктов, то такие хозяйствующие субъекты, как правило, выбирают стратегии исследовательского лидерства, радикального опережения, опережающей наукоемкое, стадийного преодоления. Если же у предприятий превалирует опыт внедрения улучшающих технологий, которые модифицируют варианты широко известных товаров, то в данном случае к наиболее вероятным стратегиям инновационного развития можно отнести такие, как: выжидание лидера, следования за рынком, технологического трансферта, продуктовой имитации, сохранения технологических позиций, параллельной разработки или лицензионная.

Оценку инновационной активности можно построить на анализе состояния деятельности предприятия непосредственно в сфере НИОКР и взаимосвязанных с ней структурных элементов. В зависимости от степени текущего технологического и производственно-хозяйственного развития выбирают либо стратегию лидера, либо стратегию последователя. С учетом намеченных целей далее можно рассчитать затраты на реализацию альтернативных вариантов продуктовых и технологических нововведений. При этом целесообразно представлять рассматриваемые стратегии инновационного развития в форме инновационных проектов и осуществлять отбор наиболее перспективных из них на основе внешних и внутренних параметров эффективности инвестиций в продуктовые и технологические инновации.

Завершающим этапом в процессе разработки стратегий инновационного развития может стать оценка инновационного потенциала предприятия, которая проводится с целью определения достаточности финансово-экономических ресурсов для обеспечения не только стратегической инновационной, но и одновременно - текущей производственной деятельности.

По результатам оценки инновационного потенциала затем формируются бюджеты, которые позволяют распределять финансово-экономические ресурсы на реализацию текущих производственных планов и утвержденных долгосрочных стратегий. Далее наступает фаза реализации планов с последующей их оценкой, контролем и, в случае достижения намеченных стратегических ориентиров, - разработка новых стратегий. На этом этапе стратегического управления важно проанализировать результаты инновационного процесса в целом, а именно эффективность разработанных и реализованных инновационных проектов.

В настоящее время в теории инновационного менеджмента методы управления базисными и улучшающими технологиями носят общий характер и раскрываются вне зависимости от типа внедряемого нововведения. Такой подход, имевший распространение в период индустриальной экономики, когда инновационная деятельность выступала одним из второстепенных факторов экономического роста и развития, начинает изживать себя при экономике высоких технологий.

На место эклектичному соединению всех типов инноваций приходит осознание необходимости систематизировать деятельность по внедрению новых и усовершенствованных технологий и поставить ее на научную основу. Это позволит также повысить устойчивость процессов освоения различных нововведений. Основанием для этого могут служить принципиальные отличия в управлении базисными и улучшающими инновациями (табл. 1.2).

Таблица 1.2

Принципиальные отличия в управлении процессами внедрения базисных и улучшающих инноваций.

Управление


базисные

улучшающие

Стратегическое - основные функциональные стратегии

Стратегии лидера (наступательные) - исследовательского лидерства - опережающей наукоемкости - стадийного преодоления - следования жизненному циклу

Стратегии последователя (защитные) - лицензионная - технологического трансфера - выжидание лидера - следования за рынком

Производственным процессом - основные функции

Менеджмент научно-исследовательских и поисковых работ - НИР и стратегический маркетинг

Инновационный менеджмент - маркетинг и ОКР

НИРОКР - основная форма защиты

Создание технологий на основе принципиально новых фундаментальных исследований. Проведение прикладных исследований - правовые и экономические методы

Совершенствование имеющихся производственных возможностей на основе уже известных научно-технических стандартов - экономические методы

Маркетингом - основные методы

Экспедиционный маркетинг на новых рынках, направленный на выявление скрытых (будущих) потребностей - взаимосогласованное принятие решений совместно с учеными, потребителями, поставщиками, экспертами

Традиционный маркетинг на уже известных рынках, направленный на удовлетворение явных (текущих) нужд - исследование рынка на основе анкет, опросов, работы с фокус-группами

Финансами - основные источники финансирования

Качественные методы опенки на уровне глобальной конкурентоспособности на основе ROS (рентабельность продаж) - бюджеты федерального уровня, стратегические партнеры, венчурный капитал, собственный капитал

Количественные методы оценки на уровне отечественной конкурентоспособности па основе ROI (прибыль на инвестированный капитал) - собственный капитал, банковский кредит, лизинг, франчайзинг, частные средства


Совокупность выделенных принципиальных отличий может служить основой для формирования инструментария хозяйственной практики по эффективному вовлечению новых технологий в хозяйственный оборот. Смысл здесь состоит в том, чтобы предприятия во главу корпоративных планов не просто ставили цель инновационного развития, а сразу расставляли приоритеты и учитывали тип и масштаб внедряемых технологий. Это связано прежде всего с проблемами инвестиционно-финансового, организационно-управленческого и производственно-экономического обеспечения намеченных планов.

Предприятию целесообразно обозначить свои интересы и с самого начала представлять, на какие именно технологии - новые или только улучшающие - оно направит свои усилия. Это позволит в дальнейшем избежать ситуаций, связанных с недостатком средств на завершение начатых проектов. Принцип систематизации методических подходов в зависимости от учета типа и масштаба инноваций также следует положить в основу механизма интеграции стратегического и инновационного менеджмента.

Теперь перейдем к формированию практических методов и рассмотрению того, каким образом строить стратегии инновационного развития и как осуществлять выбор между принципиально новыми технологиями или только улучшающими продуктами для вовлечения в хозяйственный оборот предприятия. Но прежде еще раз обобщим основные выводы первой главы.

В настоящее время в связи с усилением значимости инноваций как фактора экономического роста и развития возникает необходимость повышения роли и места инновационного менеджмента в управлении хозяйствующими субъектами и выведении процессов разработки и реализации продуктовых и технологических нововведений на корпоративный уровень принятия решений. Это позволяет учитывать технологические возможности экономического роста предприятий при разработке стратегического поведения на рынке, при этом инновационное развитие хозяйственной деятельности перестает быть частной функциональной задачей.

Для повышения эффективности вовлечения новых продуктов и улучшающих технологий в хозяйственный оборот и создания на этой основе долгосрочных преимуществ конкурентоспособности целесообразно сформировать и использовать на практике механизм интеграции стратегического управления и инновационного менеджмента. Такой подход позволяет применять принципы стратегического управления в процессе инновационного развития предприятия.

При проведении экономической оценки эффективности разработки и реализации новых технологий и улучшающих продуктов важно использовать принципы стратегического планирования. В их числе, к примеру, оценки: инновационного поведения, инновационной активности, инновационных стратегий, инновационных проектов, инновационного потенциала, а также анализ инновационного процесса. Такие методы основаны на методологии стратегического управления, направлены на выработку долгосрочных конкурентных преимуществ и способствуют недопущению противопоставления перспективных целей текущим задачам.

Процесс формирования стратегий инновационного развития целесообразно строить с изначальным учетом типа и масштаба генерируемых новых и/ми улучшающих технологий. Это ориентирует хозяйствующие субъекты на разработку инновационных стратегий лидера или последователя. Исходя из этого, предприятие будет анализировать экономические возможности реализации планируемых стратегий, а также строить соответствующую патентно-лицензионную, маркетинговую, производственную, сбытовую, финансовую, инвестиционную, кадровую и другие разновидности функциональной политики в инновационной и хозяйственной сфере деятельности.

Глава 2. Характеристика деятельности ООО «Завод металлоконструкций «VEKA»

 

.1 Общая характеристика ООО «ЗМК «VEKA»


Завод Металлопластиковых Конструкций «VEKA» 11 лет функционирует на рынке пластиковых светопрозрачных и алюминиевых конструкций. Основные направления деятельности - изготовление пластиковых окон, балконных дверей пластиковых, перегородок для офиса, прочих металлопластиковых оконных конструкций, алюминиевых и ПВХ лоджий, а так же сопутствующих комплектующих: подоконников, отливов, откосов, москитных сеток.

Завод основан в 2004г. Тогда у немецкой фирмы U-R-B-A-N GmbH & Co. Maschinenbau KG была закуплена производственная линия. В 2005 году завод получил аттестат квалифицированного производителя качественных окон VEKA. Изготовление окон было официально признано соответствующим технологическому кодексу VEKA Group.

В 2007 году на заводе было установлено итальянское оборудование и налажен выпуск алюминиевых оконных конструкций из профиля ALT100 концерна Alutech. В 2008 году официальные дилеры Denver и PrimeTec доставили и установили станки с ЧПУ, созданные компаниями ROTOX и U-R-B-A-N и работающие на программном обеспечении фирмы ALtec.

Изготовление металлопластиковых окон выполняется из пластикового профиля по лицензии компании VEKA. При создании продукции на заводе используется фурнитура австрийской компании MACO, компания получила диплом за активное продвижение продукции MACO.

Компания осуществляет производство с установкой стеклопакетов от ЗАО «Российская Стекольная Компания». Компанией используется высококачественное низкоэмиссионное стекло. Производство окон ПВХ ЗАО РСК полностью механизировано и проходит строгий контроль качества.

В работе каждого предприятия важным является анализ и учет основных технико-экономических показателей. Основные технико-экономические показатели работы предприятия приведены в таблице 2.1. Технико-экономические показатели предприятия .

Таблица 2.1.2

Технико-экономические показатели предприятия (2011-2013 гг.)

Наименование

Обозначения

Ед.измерения

Абсолютные значения




2011

2012

2013

Физический объем производства

Q


479413

481611

499423

Численность персонала

N

чел.

1509

1483

1416

Среднемесячная зарплата

ЗП

руб./мес.

17703

19384

22489

Производительность труда

ПТ

руб./чел.

823,7

901,6

944,0

Себестоимость (калькуляция) единицы продукции

С

руб.

10,445

11,357

11,700

Цена реализации единицы продукции

Ц

14,093

15,021

15,314

Точка безубыточности

Qк

тонна

344635

352610

363613

Порог рентабельности

QкЦк

тыс. руб.

4855,200

5188,647

5567,302

Операционный рычаг

ОР

-

3,557

3,621

3,678

Дифференциал

(Rk - d)

%

39,8

20,4

0,5

За анализируемый период наблюдается рост объема производства. На протяжении всего периода растет и производительность труда, и средняя заработная плата по предприятию. Однако помимо позитивных тенденций, анализ технико-экономических показателей выявил и негативные итоги работы трех лет предприятия (2011-2013 гг.) Это в первую очередь снижение на протяжении всех трех лет дифференциала - за три года он снизился с 39,8% до 0,5%. Причиной этому является понижательная тенденция экономической рентабельности. Кроме этого негативного итога работы за анализируемый период можно обнаружить снижение из года в год численности персонала, хотя и незначительное. Однако если эта тенденция сохранится, предприятие может ощутить потери персонала в снижении производительности труда, объема производства, размера выручки и в конечном итоге прибыли и рентабельности.

Обобщая вышесказанное, можно сделать вывод о том, что в целом на предприятии за анализируемый период наблюдается относительно стабильно удовлетворительное финансовое состояние.

 

2.2 Организационно-экономические показатели ООО «Завод металлоконструкций «VEKA»


Таблица 2.2.2

Затраты на производство продукции (работ, услуг) за 2011 - 2013 год, тыс. руб.

Показатели

2011 год

2012 год

2013 год

Объем производства

11764000

12051000

46050000

Себестоимость продукции

11361000

11835000

40548000

Затраты на 1000 руб.продукции

966000

982000

921000


Из таблицы видно, что затраты на производство продукции в 2012г связаны с низкими темпами роста объемов производства а так же обусловлено общими конъюнктурными изменениями: рост цен на энергоносители, темпами инфляции, ростом заработной платы и т.д.

Таблица 2.3.2

Материальные затраты за 2011-2013 год, тыс. руб.

Статьи затрат

Год


2011

2012

2013

1 Сырье и материалы

2230000

1349000

1498000

2.Покупные комплектующие изделия и полуфабрикаты

1614000

3158000

30753000

3 Работы и услуги производственного характера, выполненные другими организациями

441000

291000

112000

4 Топливо

39000

37000

5 Электроэнергия

568000

528000

634000

6 Теплоэнергия

94000

104000

188000

7 Прочие материальные затраты

12000

7000

-

Итого:

4998000

5474000

33217000


Таблица 2.4.2

Материальные затраты на 1 руб. товарной продукции.

2012 год

2013 год

Товарная продукция, тыс. руб.

Материальные затраты

Товарная продукция, тыс. руб.

Материальные затраты


тыс. руб.

На 1 руб. ТП


тыс. руб.

На 1 руб. ТП

12051000

5467000

0,453

46050000

33217000

0,721


Материальные затраты на 1 руб. товарной продукции за 2012 год по сравнению с 2013 годом увеличились на 607,61%. В абсолютном выражении материальные затраты за 2013 год по сравнению с 2012 годом увеличились на 27750 млн.руб..

Таким образом, темпы роста материальных затрат в абсолютном выражении увеличились больше, чем темпы роста объема производства продукции. Рентабельность производства за 2013г составила 8,6 % .что на 6,8 пункта выше чем в 2012 г. что явилось результатом проведения мероприятий по экономии топливно-энергетических ресурсов, по снижению материалоемкости за счет применения более прогрессивных технологий, снижения потерь от брака.

Затраты по работам и услугам производственного характера, выполненных другими организациями за 2013 год составили 112000 тыс.руб. (производился ремонт и обслуживание приборов, обслуживание охранно-пожарной сигнализации, производился текущий ремонт зданий).

Таблица 2.5.2

Расходы на оплату труда за 2011 - 2013 год, тыс. руб.

Показатели

2011 год

2013 год

Темп роста, %

Расходы на оплату труда

3285000

3781000

115,1


Расходы на оплату труда увеличились в связи с увеличением объема производства. Соответственно росту заработной платы пропорционально возросли отчисления на социальные нужды.

Амортизационные отчисления возросли за 2013 год по сравнению с 2012 годом на 42,2%, или на 174 млн. руб. Это связано с тем, что увеличилась остаточная стоимость основных фондов в результате переоценки основных фондов на 01.01.2013 года (15468 млн. руб.), приобретением основных средств за 2013 год на сумму 711 млн. руб., а выбытие основных средств за 2013 год составило 3991 млн. руб.

Таблица 2.6.2

Прочие затраты по предприятию, тыс. руб.

Показатели

2012 год

2013 год

Темпы роста, %

Прочие затраты

589000

1408000

239


Прочие затраты за 2013 год возросли в меньшей степени, чем объемы производства товарной продукции (239%) и затраты на производство продукции в целом (382,0%). Это говорит о том, что удельный вес прочих затрат в общем объеме затрат на производство продукции снизился.

Платежи по страхованию увеличились в связи с обязательным государственным страхованием.

Начисленные налоги и отчисления, включаемые в себестоимость продукции, работ, услуг увеличились на 12,3% в связи с увеличением фонда заработной платы.

Глава 3. Исследование инновационных возможностей предприятия

 

.1 Оценка Финансово-экономических показателей


В качестве инвестиционных затрат будем рассматривать затраты, связанные с концептуальной и физической разработкой сайта; а также затраты, связанные с его внедрением. С учетом рыночной цены услуг компаний - разработчиков площадок электронной коммерции данная сумма инвестиционных затрат составит 154 тыс. руб.

В качестве ежемесячных затрат на эксплуатацию информационного сайта будем рассматривать затраты, связанные с оплатой хостинга - 2007 руб., оплата функций администрирования сайта - 2400 руб., обновление дизайна - 8200 руб. и затраты, связанные с обеспечение информационной безопасности компании.

Затраты на организацию защиты конфиденциальной информации принимают пропорционально размеру потенциального ущерба или упущенной выгоды предприятия от ее использования. Данный вид затрат определяется по формуле:

И = kL,

где И - Затраты на организацию защиты конфиденциальной информации, руб.;- Размер потенциального ущерба или упущенной выгоды, руб.;- коэффициент, учитывающий допустимую величину затрат на организацию защиты конфиденциальной информации в долях от величины потенциального ущерба или упущенной выгоды (от 0,05 до 0,2) [11, с. 162]

По мнению экспертов, если затраты на организацию защиты от информационных угроз на предприятии составили менее 5% величины упущенной выгоды или прибыли за счет использования своей конфиденциальной информации, то оно рискует собственной экономической безопасностью.

Определим допустимые издержки на безопасность информационной системы принимая размер упущенной выгоды как 5% от величины прибыли 2013 года - 3822,8 тыс. руб.


Таким образом, суммарные годовые эксплуатационные затраты составляют 458,74 тыс. руб.

В качестве притока денежных средств рассмотрим долю увеличения выручки за счет привлечения новых потребителей услуг посредствам формирования и реализации информационного корпоративного сайта.

По данным специалистов для торговых компаний (осуществляющих не только розничную, но и оптовую торговлю) увеличение притока денежных средств может составлять до 22% [21, с. 267]

Поскольку доля оптовой торговли незначительна, то определим увеличение притока денежных средств на уровне 6 %:

В прогноз = 14439 *1,06 = 15305,3 тыс. руб.

Увеличение выручки от реализации составит 866,3 тыс. руб.

Для определения экономической целесообразности эксплуатации информационного сайта компании определим период окупаемости инвестиционных затрат, связанных с разработкой, с учетом эксплуатационных затрат. В этих целях используем метод дисконтирования.

Чистый дисконтированный доход представляет собой сумму дисконтированных ежегодных разностей между оттоками и притоками реальных (за вычетом налогов, выплат процентов за кредит и т. д.) денег за весь период жизни проекта. Моментом приведения будущих затрат и результатов к их текущей стоимости является предполагаемое начало осуществления проекта.

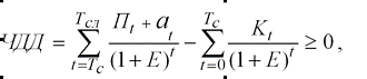
Чистый дисконтированный доход определяется как сумма текущих эффектов за весь расчетный период, приведенная к начальному шагу, или как превышение интегральных результатов над интегральными затратами и вычисляется по формуле:


где, Пt и аt - годовая чистая прибыль и амортизация в году t;

Кt - cумма инвестиций;

Е - норма дисконта;

Тс и Тсл - сроки строительства и эксплуатации (службы) объекта, лет.

Таблица 6 - Расчет прогноза окупаемости инвестиционных затрат

Показатель

2014г.

2015 год


 I полугодие

II полугодие

I полугодие

II полугодие

Инвестиции

24




Приток денежных средств, тыс. руб. (за счет эксплуатации сайта)

433,2

433,2

433,2

433,2

Эксплуатационные затраты, тыс. руб.

229,4

229,4

229,4

229,4

Прибыль, тыс. руб.

203,8

203,8

203,8

203,8

Налог на прибыль, тыс. руб.

40,76

40,76

40,76

40,76

cashflow от предпринимательской деятельности, тыс. руб.

163,04

163,04

163,04

163,04

Ставка дисконтирования, %

22

22

22

22

Коэффициент дисконтирования

1

0,82

0,76

0,64

ЧДД, тыс. руб.

163,04

133,69

123,91

104,35

ЧДД с учетом окупаемости инвестиций, тыс. руб.

139,04

133,69

123,91

104,35


Похожие работы на - Разработка мероприятий инновационной стратегии ООО 'Завод металлоконструкций 'VEKA'

 

Не нашли материал для своей работы?
Поможем написать уникальную работу
Без плагиата!
Без нейросетей!