Методичні та практичні аспекти проведення діагностики на підприємствах

  • Вид работы:
    Курсовая работа (т)
  • Предмет:
    Эктеория
  • Язык:
    Украинский
    ,
    Формат файла:
    MS Word
    326,15 Кб
  • Опубликовано:
    2015-04-16
Вы можете узнать стоимость помощи в написании студенческой работы.
Помощь в написании работы, которую точно примут!

Методичні та практичні аспекти проведення діагностики на підприємствах

Зміст

Вступ

Розділ 1. Діагностика діяльності підприємств

.1 Поняття та види діагностики

.2 Розвиток системи менеджменту підприємства: діагностичний

підхід

Розділ 2. Методи та моделі діагностики

2.1 Методичні підходи щодо діагностики конкурентноспроможності

.2 Діагностика кризового стану підприємства

Розділ 3. Теоретичні та практичні аспекти здійснення економічної діагностики підприємства

3.1 Теоретичні підходи у визначенні сутності та різновидів економічної діагностики підприємства

3.2 Економічна діагностика як дослідницький процес

Висновки

Список використаних джерел

Вступ

Діагностика діяльності підприємства застосовується з метою виявлення проблем та шансів середовища функціонування, розроблення відповідних реагувальних заходів та прийняття управлінських рішень. Як свідчить дослідження практики функціонування вітчизняних підприємств, діагностика на них здійснюється переважно елементно, непослідовно, непродумано, хаотично тощо. Ключовою проблемою неефективної діагностики на вітчизняних підприємствах є відсутність системності у цій сфері, що не дозволяє охопити всі сфери діяльності підприємства.

Питання діагностики діяльності підприємств, зокрема, на сучасному етапі розвитку економічної науки висвітлено в працях таких вчених: Асаул А.М. [2], Василенко В.А. [6], Воронкова А.Е. [7], Гетьмана О.О., Дмитренко А.І., Жолонського Є. [9], Загорної Т.О. [10], Князь І.П., Кольцової І.В., Коротаєвої Ю.В. та інших. Однак, у проаналізованих працях не враховано взаємозв'язки між різними напрямами діагностики діяльності підприємства, не відображено типові структурні елементи системи діагностики на будь-якому рівні управління підприємством та не поєднано всі вищенаведені напрацювання у струнку систему.

Метою роботи є аналіз методичних та практичних аспектів проведення діагностичних досліджень на вітчизняних підприємствах.

Об’єктом роботи - методичні та практичні аспекти проведення діагностики на підприємствах.

Суб’єкт роботи - методи та моделі діагностики.

Проведений аналіз наукових робіт дозволяє розглядати систему діагностики діяльності підприємства як сукупність технології, методів, методик, засобів, бізнес-індикаторів, критеріїв, суб'єктів, об'єктів і ресурсів, які у взаємодії забезпечують виконання діагностичних функцій. Залежно від цільового спрямування систем діагностики на підприємстві може існувати безліч, але їхня структура буде типовою.

Ключовими елементами системи діагностики діяльності підприємства є суб'єкти та об'єкти діагностики. Суб'єктами діагностики є: власники, керівники, тематичні фахівці підприємства, інвестори, кредитори підприємства, споживачі, постачальники, контрагенти, державні органи влади тощо. Об'єктами діагностики є: окремі сфери, напрями діяльності, підрозділи, працівники, елементи внутрішнього та зовнішнього середовищ, підприємство в цілому.

На підставі проведених досліджень, можна визначити поняття системи діагностики, як обґрунтовану послідовність реалізації діагностичних процедур, яка в кінцевому результаті спрямована на підвищення ефективності функціонування підприємства.

При цьому завдання діагностичного дослідження в управлінні мають охоплювати:

оцінку особливостей взаємодії і взаємозалежності між елементами внутрішнього середовища підприємства, а також особливості впливу елементів зовнішнього середовища на діяльність підприємства;

виявлення можливості виділення системи «підприємство» із середовища функціонування, а також можливість членування системи «підприємство» на окремі підсистеми відповідно до завдань управління;

вивчення структури системи «підприємство», враховуючи ієрархічність елементів та використовуючи як дескриптивний, так і конструктивний підходи;

оцінку стану системи «підприємство» на основі спеціально створеної інформації;

забезпечення інформаційної підтримки функції контролю за процесами самоорганізації, функціонування і розвитку системи «підприємство».

Виходячи із завдань діагностичного дослідження в рамках процесу управління, формується предметна область економічної діагностики - визначення стану господарюючого суб'єкта на певний момент часу. А при формуванні інструментарію діагностичного дослідження економічного суб'єкта необхідно враховувати особливості функціонування підприємства як системи, визначивши сукупність його складові діяльності.

Слід зазначити, що діагностика, як і будь який процес на підприємстві, потребує ресурсного забезпечення. Це насамперед технічне забезпечення; програмне забезпечення; інформаційне забезпечення; кадрове забезпечення; матеріальне забезпечення тощо.

Таким чином можна зробити висновок, що системний підхід до діагностики діяльності підприємства спрямований на реалізацію комплексних, послідовних, продуманих, змістовних дій з оцінювання різних сфер його функціонування на засадах обґрунтованого інструментарію, у логічному порядку. Такий підхід дозволяє підвищити якість й ефективність діагностичних процедур, забезпечити високий рівень повноти, достовірності та адекватності отриманих результатів

Розділ 1. Діагностика діяльності підприємств

.1 Поняття та види діагностики

Діагностика діяльності підприємства, з економічного погляду, - це періодичне дослідження відповідного стану підприємства, яке має на меті уточнення тенденцій розвитку всіх видів його діяльності в траєкторії життєвого циклу та ухвалення економічно та соціально обґрунтованих коригувальних рішень.

З організаційного погляду, діагностика - це система методів, приймів і методик проведення досліджень для визначення цілей функціонування суб'єкта господарювання, способів її досягнення, виявлення проблем і вибору варіантів їхнього розв'язання. [3]

Є ще таке поняття, як експрес-діагностика діяльності підприємства, коли вивчаються організаційна і функціональна структура, а також проводиться фінансово-економічний і логістичний аналіз.

Таблиця. 1.1. Складові експрес-діагностики підприємства

ЕКСПРЕС-ДІАГНОСТИКА ДІЯЛЬНОСТІ ПІДПРИЄМСТВА

Організаційна діагностика

Функціональна діагностика

Фінансово-економічний аналіз

Логістичний аналіз

Організаційна структура; штатний розклад; посадові інструкції; організаційна документація

Збут; виробництво; постачання

Аналіз динаміки фінансово економічних показників за попередні роки

Аналіз поточних процесів: інформаційних, постачальницьких, виробничих, збутових


Організаційна складова охоплює вивчення організаційної структури підприємства, його штатного розкладу, посадових інструкцій та організаційної документації. Функціональна діагностика включає вивчення постачальницько-збутової та виробничої діяльності підприємства. Логістичний аналіз має на меті дослідження ефективності інформаційних, постачальницьких, виробничих і збутових потокових процесів.

За фінансово-економічного аналізу досліджується динаміка фінансово-економічних показників за попередні роки. Економічна і фінансова діагностика дає можливість оцінювати ефективність використання виробничих ресурсів підприємства і визначити ступінь забезпеченості його необхідними коштами для здійснення нормальної господарської діяльності та проведення грошових розрахунків.

Економічна діагностика діяльності підприємства спрямована насамперед на вивчення внутрішнього середовища його функціонування. Внутрішнє середовище включає низку параметрів (ресурсів): технічних, технологічних, кадрових, просторових, організаційної структури, фінансових ресурсів і стратегічного потенціалу. Аналіз внутрішнього середовища має на меті оцінку слабких і сильних сторін підприємства. Внутрішнє середовище справляє постійний та безпосередній вплив на функціонування господарської системи, має декілька зрізів, стан яких у сукупності визначає потенціал підприємства, тобто його здатність виконувати поставлені перед ним завдання [17].

Фундаментальна діагностика кризового стану підприємства здійснюється за допомогою оцінки фінансового стану на основі комплексного аналізу з метою поглиблення результатів оцінки кризових параметрів фінансового розвитку суб'єкта господарювання, отриманих у процесі експрес-діагностики банкрутства. В процесі проведення фундаментальної діагностики визначаються основні фактори, що зумовлюють кризовий розвиток:

незалежні від діяльності суб'єкта господарювання зовнішні фактори;

залежні від діяльності - внутрішні фактори [20].

І зовнішні, і внутрішні фактори в процесі дослідження поділяють на підгрупи.

Так, із зовнішніх факторів розглядаються суто ринкові (рівень попиту, пропозиції, стабільність валютного ринку тощо), фактори, що формують загрозу банкрутства суб'єкта (інфляція, рівень безробіття, стабільність законодавчої та податкової бази), і фактори, які структура визначає самостійно з урахуванням специфіки своєї діяльності.

Внутрішні фактори пов'язані з операційною, інвестиційною та фінансовою діяльністю і визначають використання основних коштів, структуру поточних витрат, тривалість будівельно-монтажних робіт, структуру та ліквідність активів, дебіторську заборгованість, рівень фінансових ризиків тощо.

Антикризове управління є частиною загальної стратегії суб'єкта господарювання, воно передбачає розробку системи попередньої діагностики загрози банкрутства, які формують механізм фінансового оздоровлення суб'єкта господарювання і забезпечують його вихід із кризового стану. Однією зі складових політики антикризового управління є методичне забезпечення діагностики кризового стану та загрози банкрутства, яке включає різні підходи та інструменти проведення діагностики [6].

Важливою передумовою застосування правильних антикризових заходів є ідентифікація глибини фінансової кризи. Розрізняють три фази кризи:

фазу, яка безпосередньо не загрожує функціонуванню підприємства (за умови переведення його в режим антикризового управління);

фазу, яка загрожує подальшому існуванню підприємства і потребує негайного проведення фінансової санації;

кризовий стан, який не сумісний з існуванням підприємства і призводить до його ліквідації [18].

Ідентифікація фази фінансової кризи є необхідною умовою подолання економічної кризи. Одним із засобів подолання кризи та банкрутства підприємства є фінансова санація. Термін санація походить від лат. вапаге - оздоровлення, видужання. Це максимум заходів, спрямованих на запобігання банкрутству промислових, торгових, банківських монополій. Санація здійснюється:

шляхом об'єднання підприємства, яке перебуває на межі банкрутства, з потужнішою компанією;

за допомогою випуску нових акцій або облігацій для мобілізації грошового капіталу;

шляхом збільшення банківських кредитів і надання урядових субсидій;

через перетворення короткострокової заборгованості на довгострокову;

за допомогою повної або часткової купівлі державою акцій підприємства, що перебуває на межі банкрутства.

Санація - це сукупність усіх заходів, які спроможні привести підприємство до фінансового оздоровлення; система фінансово-економічних, виробничо-технічних, організаційно-правових та соціальних заходів, спрямованих на досягнення чи відновлення платоспроможності підприємства-боржника в довгостроковому періоді [1].

Метою фінансової санації є покриття поточних збитків та усунення причин їхнього виникнення, поновлення або збереження ліквідності та платоспроможності підприємств, скорочення всіх видів заборгованості, поліпшення структури оборотного капіталу та формування фондів фінансових ресурсів, необхідних для проведення санаційних заходів виробничо-технічного характеру [7].

Однак перелік санаційних заходів ще не означає оздоровлення та повного виходу підприємства з фінансової кризи. Взагалі наслідки кризи найчастіше пов'язані з двома факторами: її причинами і можливістю управління процесами кризового розвитку.

визначення масштабів кризового стану, виявлення яких пов'язане з аналізом відхилень від нормального розвитку фінансової діяльності;

дослідження основних факторів, що зумовлюють кризовий розвиток;

здійснення постійного моніторингу фінансової діяльності суб'єкта господарювання з метою виявлення різних ознак кризових явищ;

формування системи цілей виходу суб'єкта господарювання з кризового стану, що відповідають його масштабам;

вибір і використання діючих моделей, здатних поновити платоспроможність та відновити фінансову рівновагу - цьому напряму антикризової політики приділяється першочергова увага;

вибір ефективних форм санації та їх обґрунтування;

контроль за результатами розроблених заходів, спрямованих на виведення суб'єкта господарювання з кризи [12].

У фазі кризи необхідно прагнути до стабілізації їхнього фінансово-економічного стану, тому першорядного значення набуває підтримка платоспроможності підприємства та забезпечення стабільного становища. Виявлення несприятливих тенденцій розвитку підприємства з метою своєчасної санації та запобігання банкрутству, а також його передбачення, є найважливішим завданням [20].

Для виходу з кризового стану на цих підприємствах можуть бути запропоновані найрізноманітніші методи аналізу, прогнозування та моделювання, нині їх налічується близько 300. Моделювання є найуніверсальнішим методом будь-якого дослідницького процесу. Моделювання процесу санації підприємства передбачає можливості впливу всіх чинників - зовнішніх та внутрішніх за прогнозування економічної ситуації на конкретному підприємстві з урахуванням його галузевої специфіки. Велике значення при цьому надається стратегічному управлінню, органічною частиною якого є складання прогнозів.

Дослідження стану внутрішнього середовища підприємства - необхідний етап процесу прогнозування, оскільки дає можливість визначити наявність кризової ситуації, але слід зазначити, що на господарську діяльність підприємства можуть впливати численні та різноманітні чинники. Проведений кількісний і якісний економічний аналіз підприємства дає змогу отримати достатню картину, на базі якої ухвалюються подальші рішення [17].

Проблема кризи та банкрутства підприємств має не тільки локальний, а й загальнодержавний характер, тому що в банкрутстві не зацікавлений жоден суб'єкт. У світовій практиці проводяться дослідження на прикладі підприємств із розвинутою ринковою економікою. Економічна теорія запропонувала низку моделей прогнозування фінансово-економічного стану та банкрутства підприємства, серед яких найвідоміші моделі:

Альтмана (США);

Охе - Вербаєра (Бельгія);

Кізі - Мак Гуїннеса (Велика Британія);

Охе - Джуса - Де Воса (Бельгія).

Для фінансово-економічної діагностики діяльності підприємств у світовій практиці використовують різні методи, серед яких, на думку фахівців, доцільно застосовувати найпростіший експрес-аналіз ризику банкрутства підприємства (про що йшлося вище).

Найчастіше для прогнозування ймовірності банкрутства використовують аналітичну модель Альтмана, розроблену в 60-ті роки відомим західним економістом Б. Альтманом, - алгоритм інтегральної оцінки загрози банкрутства суб'єкта господарювання, що ґрунтується;

на комплексному обліку найважливіших показників, що діагностують кризовий стан;

аналізі поточної та прогнозуванні майбутньої платоспроможності;

застосуванні двох показників: коефіцієнтів поточної ліквідності та забезпеченості власними коштами, які розраховуються за даними квартальних і річних балансів [10].

Учені країв СНД проводять власні розробки з пошуку адекватного інструментарію, який би давав змогу попереджати кризові стани у фінансовому становищі підприємства. Деякі моделі були запропоновані й в Україні, але їхній критичний аналіз засвідчив, що вони орієнтовані лише на те, щоб мати на меті розробку комплексу рішень з попередження неплатоспроможності та фінансової неспроможності підприємства. Однак, як показує досвід, вітчизняні підприємства потребують розробки алгоритмів програмування, які б із заданим ступенем точності передбачали майбутню ситуацію на підприємстві та давали змогу керівництву формувати комплекс рішень, оформлених у конкретній процедурі санації [1].

Водночас безпосереднє використання світових моделей у повсякденній практиці українських підприємств без пристосування їх до специфіки конкретних галузей національної економіки, може призвести до значних помилок. Так, спроба використати модель Альтмана у вітчизняній практиці натрапила на певні труднощі. Моделі, які використовують західні економісти, не відповідають економічним умовам України.

До таких умов фахівці відносять:

інформаційну закритість підприємств;

особливості оподаткування, які примушують підприємців спотворювати справжні результати своєї діяльності;

інші умови фондомісткості та енергоємності виробництва;

інший рівень продуктивності праці тощо. Перераховані особливості українського простору не дають можливості повною мірою використовувати моделі американського дослідника Е. Альтмана, оскільки перенесення американської практики в умови ринку України не забезпечує всебічної оцінки фінансового стану підприємства та призводить до значних відхилень прогнозу від реальності [8].

Напрацьований у 90-ті роки український та російський досвід фінансово-економічної діагностики підприємств насамперед виходив із нестабільності оцінки варіації таких показників, як суми прибутку, що залишається в розпорядженні підприємства (чистого прибутку), виручки від реалізації, витрат на виробництво та реалізацію продукції, величини оборотного капіталу підприємства [1].

На практиці ознаки спаду часто виявити набагато легше, ніж причини, що лежать у його основі. Набір цих ознак може бути унікальним для кожної компанії, проте можна виокремити найбільш характерні та поширені:

падіння прибутковості, яке відображається в зниженні прибутку до оподаткування, або як процента від продажу, або зниженні RОІ (прибутку на капіталовкладення);

падіння питомого обсягу продажу порівняно з тим, що в галузі; цей показник може вимірюватися в продажу на одного працівника, продажу на квадратний метр площі фабрики, на одиницю виробничих потужностей;

зростання рівня фінансової залежності у зв'язку із заборгованістю, яка постійно зростає;

проблеми ліквідності в поточних і термінових показниках, а також проблеми із запасами, дебіторами і кредиторами;

зменшення частки ринку, що свідчить про те, що компанія на цьому ринку неконкурентоспроможна [7].

Наявність різноманітних методик діагностики кризових явищ суб'єктів господарювання зумовлює потребу та доцільність їх системної класифікації, яка надасть можливість об'єднати різні методи в окремі групи, визначити спільні проблеми та недоліки, притаманні окремим авторським розробкам.

Багато сучасних українських підприємств перебувають у кризовому стані, який вимагає впровадження антикризових заходів, а наука і практика антикризового управління нині перебувають у стадії початкового розвитку. Антикризове управління як новий тип менеджменту базується на передбаченні появи кризових ситуацій, пом'якшенні протікання і наслідків криз у господарській діяльності підприємств [15].

Проте успіхи та невдачі українських, а також пострадянських підприємств слід розглядати як результат взаємодії низки чинників:

зовнішніх (попит на ринку послуг, рівень доходів населення, стан науки, техніки тощо);

внутрішніх (стратегія підприємства, принципи його діяльності, ресурси, їхнє використання, маркетинг та ін.).

Здатність підприємства пристосуватися до змін технологічних, економічних і соціальних чинників - гарантія не тільки його виживання, а й успішної діяльності.

Вивчення теоретико-методологічних засад антикризового управління свідчить, що у практиці діагностики кризового стану вітчизняних підприємств практично немає моделей прогнозування, які враховують національну специфіку [18].

Отже, для ефективного впливу на процеси фінансово-економічної діяльності підприємств необхідно в господарський алгоритм їхньої діяльності ввести сучасні механізми, які включають систему показників, що найбільш повно та адекватно відображають фінансове становище суб'єкта господарювання. Для розвитку вітчизняних підприємств у сучасних умовах дуже важливим є знання про кризу, її характер, можливі вияви в життєдіяльності окремого підприємства. Це вимагає знань про процеси антикризового управління. Поглиблення знань про технології підвищує ефективність управління, що сприяє стабільнішому розвитку вітчизняних підприємств.

Таким чином, для підприємств, незалежно від їхньої форми власності, формування системи антикризового управління має першочергове значення, адже вона визначає життєздатність, стійкість. та рівновагу підприємства, формує фінансову стабільність, спрямовану на досягнення економічних результатів.

1.2 Розвиток системи менеджменту підприємства: діагностичний підхід

На сучасному етапі функціонування вітчизняних підприємств відбувається у надзвичайно складних умовах економічної та соціально-політичної нестабільності в державі, загострення конкурентної боротьби на внутрішніх і зовнішніх ринках,високого рівня невизначеності та малопрогнозованості змін зовнішнього середовища. Щодо внутрішнього середовища суб’єктів господарювання, то в сучасних умовах саме ресурсне забезпечення діяльності вітчизняних підприємств визначає стабільність їхнього функціонування та подальшого розвитку. На сьогодні очевидним є той факт, що значна частина підприємницьких структур функціонує в умовах ресурсних обмежень: доступ до сировинних ресурсів вкрай ускладнюється з огляду на ціновий фактор, фінансові ресурси поступово вичерпуються в умовах їх незбалансованого використання, технологічно-майнова база не відповідає сучасним вимогам та характеризується моральною і фізичною застарілістю тощо [16].

За таких обставин власники та керівники підприємницьких структур повинні переглянути їхні системи менеджменту з метою якісного удосконалення та розвитку управлінських функцій, інструментів, процесів. Адже, сьогодні перед менеджерами вітчизняних підприємств постають різнопланові завдання, що стосуються виходу з кризового стану та відновлення діяльності, підвищення рівня конкурентоспроможності та завоювання нових ринків збуту, формування інвестиційної привабливості та забезпечення прогресивного розвитку тощо. Вирішення цих завдань відбувається на основі ретельно продуманого та обґрунтованого формування й ухвалення оптимальних управлінських рішень у різноманітних сферах функціонування підприємства. Для розроблення якісних управлінських рішень керівники усіх рівнів управління повинні володіти повною, реалістичною та адекватною інформацією, що одержується у процесі цільового здійснення різноманітних діагностичних процедур.

Діагностика є невід’ємною складовою системи менеджменту підприємства, що спрямована на формування обґрунтованої та достовірної інформаційної бази про минулий, поточний та майбутній стан підприємства з метою формування заходів превентивного, санаційного та реактивного спрямування. На вітчизняних підприємствах діагностика не є нововведеням та використовується керівниками і фахівцями у певних цілях, але, при цьому, як правило, спостерігаються істотні проблеми та недоліки у цій сфері [3].

Насамперед, варто зазначити про те, що діагностика на вітчизняних підприємствах зазвичай здійснюється частково або елементно, тобто, передбачає дослідження та оцінювання лише певних показників, підрозділів, видів діяльності, сфер функціонування. В сучасних реаліях вирішення таких завдань є недостатнім для забезпечення ефективного функціонування підприємства. Керівники повинні ставити перед собою та досягати комплексних діагностичних цілей, що пов’язані із визначенням загрози банкрутства, рівня конкурентоспроможності, інвестиційної привабливості, перспектив розвитку тощо. Нераціональним також видається переважання фінансових індикаторів у діагностичних системах підприємств, адже в умовах сьогодення виникає необхідність у дослідженні різних сфер внутрішнього та зовнішнього середовища з метою прийняття різноаспектних управлінських рішень.

Слід також наголосити, що в сучасному нестабільному та гіпердинамічному середовищі функціонування діагностика діяльності підприємства повинна здійснюватись на перманентній основі з метою оперативного відстежування будь-яких потенційних змін, а не лише в кризових умовах або під час перебування підприємства у несприятливому стані, про останнє доволі часто свідчить практика функціонування вітчизняних підприємств. Адже діагностика спрямована не лише на виявлення існуючих проблем, але й потенційних загроз з метою розроблення дієвих превентивних заходів уникнення кризових явищ у діяльності підприємства.

Підсумовуючи усе вищевикладене, слід зазначити, що незважаючи на усвідомлення керівниками важливості діагностики у системах менеджменту їхніх підприємств, жодних активних дій щодо розвитку та удосконалення діагностичних систем і їх ресурсного забезпечення фактично не проводиться. Мова йде про те, що на вітчизняних підприємствах, як правило, застосовуються елементарні аналітичні та документальні методи діагностики, не повною мірою використовується наявне програмне і технічне забезпечення у цілях діагностики, не організовуються навчання працівників для підвищення кваліфікації у сфері діагностики, відсутнє належне документальне забезпечення, не застосовуються сучасні діагностичні методики тощо.

Перманентне удосконалення та розвиток діагностичних систем загалом чи їх окремих елементів сприятиме підвищенню ефективності результатів діагностики та формуванню більш обґрунтованих, дієвих та адекватних сучасним умовам функціонування управлінських рішень.

Крім вищезазначеного, слід констатувати, що в сучасних вкрай невизначених умовах діяльності, що характеризуються неповнотою, неоднозначністю, неточністю та низьким рівнем вірогідності інформації, особливе зацікавлення викликає діагностика антисипативного характеру, що передбачає ідентифікацію можливостей та загроз умов функціонування на основі комплексного дослідження слабких сигналів у середовищі функціонування. Слабкі сигнали середовища функціонування - це початкові ознаки майбутніх змін, які на ймовірнісних засадах повідомляють лише про джерела та можливість виникнення потенційних явищ. Насправді, менеджери, фахівці, спеціалісти підприємств доволі часто у процесі своєї роботи зустрічаються із неповними, інформаційно незавершеними, недостатньо точними та достовірними даними, які дуже складно сприймаються, ідентифікуються та піддаються подальшому обробленню.

Поряд з цим, деякі слабкі сигнали є реальними ранніми провісниками про потенційне виникнення змін у середовищі функціонування підприємства, що матимуть вагомий вплив на його діяльність. Тому, виникає необхідність у якісному розпізнаванні таких слабких сигналів та відборі найбільш пріоритетних сигналів з метою визначення на цій основі потенційних явищ позитивного чи негативного характеру. З огляду на ймовірнісний, змістово-незавершений характер слабких сигналів діагностика слабких сигналів середовища функціонування набуває імовірнісного характеру і передбачає цільове ідентифікування слабких сигналів у внутрішньому та зовнішньому середовищі, їх ймовірнісне оброблення та рейтингове впорядкування, відбір найбільш вагомих слабких сигналів, інтерпретування їхнього подальшого розвитку до певних станів, можливостей або загроз умов діяльності та оцінювання впливу останніх на результативність діяльності підприємства. Більшість організацій успішно долають проблеми становлення та виживання бізнесу. Але за умов гострої конкурентної боротьби (у тому числі і з провідними закордонними компаніями) конкурентоздатність стає мірою ефективності бізнесу. При цьому зростає інтерес до професійного менеджменту саме як до одного з істотних факторів підвищення конкурентоспроможності.

Сучасна система менеджменту - це спосіб результативного і ефективного керівництва колективними діями, пов'язана з постійним удосконаленням діяльності організації в цілому. Головна задача сучасної системи менеджменту - генерування енергії всього колективу і кожного співробітника та надання їй визначеного напрямку. Таким чином, актуальним стає питання якості менеджменту будь-якої організації [6].

До числа найважливіших характеристик якості системи менеджменту організації, поряд із досягненням необхідної якості його продукції (послуг), варто віднести: забезпечення конкурентоздатності, стійкість розвитку підприємства в економічній та соціальній сферах, економію ресурсів, ефективне підприємництво, охорону навколишнього середовища та ін.

Кожна організація формує власну ідеологію якості менеджменту, визначає критерії ефективності своєї діяльності, напрямки свого розвитку. Для українських підприємств на сучасному етапі можна визначити важливий напрямок поліпшення якості менеджменту, пов'язаний з якістю відносин власності у бізнесі.

Бізнес за однією з класифікацій прийнято поділяти на "готівковий", тобто такий, що приносить результат за рахунок грошового потоку, та капіталізований бізнес, що забезпечує прибутки за рахунок збільшення вартості компанії. У випадку "готівкового" бізнесу власник одержує свої гроші тільки на постійному готівковому прибутку. У випадку капіталізованого бізнесу власник може рік, два, три не одержувати ніякого готівкового прибутку, доводячи підприємство до визначеного росту, а потім заробити на продажі частини своїх акцій, чи пакету акцій стратегічному інвесторові. Для власника вартість бізнесу відіграє велику роль у тому випадку, якщо його бізнес капіталізований, а не "готівковий" [7].

Тривалий час критерієм ефективності менеджменту був прибуток підприємства, заснований на "готівковому" бізнесі, але часи змінюються. Багаторічний західний і вже напрацьований вітчизняний досвід довели, що компанії, зосереджені на прибутку за даний рік чи на забезпеченні рентабельності, страждають на "короткозорість". Якщо критерієм ефективності управлінської діяльності є прибуток підприємства - це впливає на політику прийняття рішень, а, оскільки, рішення в менеджменті знаходять висвітлення в грошовому потоці, то всі управлінські рішення впливають на зміни припливів і відтоків коштів підприємства.

Вкладення коштів у компанію виявиться максимально вигідним лише в тому випадку, коли менеджери будуть об'єктивно оцінювати вартість довіреного їм бізнесу та робити все, щоб ця вартість постійно зростала. Тому, саме вартість підприємства, може служити критерієм поліпшення якості системи менеджменту цього підприємства.

Для того, щоб вартість підприємства була інструментом реального підйому ефективності бізнесу, потрібно навчитися нею управляти: виявити фактори створення вартості даного конкретного підприємства, розробити реальний план управління, що дає баланс довгострокових і короткострокових цілей та пріоритетів, запровадити вартісні елементи управління на всіх рівнях компанії.

Управління припускає регулярне здійснення цілеспрямованих впливів, що забезпечують досягнення максимальних результатів за мінімальних витрат ресурсів. Основним критерієм результативності управління є рівень ефективності роботи підприємства. У ньому відображаються результати функціонування як об'єкта (підприємства), так і суб'єкта управління (системи), економічності процесу управління. Тому ефективність усе більше стає мірилом як виробництва, так і методів управління ним. Результат роботи підприємства невіддільний від діяльності й організації керівної системи, що впливає на ефективне функціонування підприємства [10].

Економічна ефективність системи управління підприємством характеризується результатами його основної діяльності й визначається їх зіставленням з витратами на здійснення управлінських функцій. Забезпечуючи поліпшення управлінської діяльності при скороченні витрат на неї, можна досягти економічної ефективності системи менеджменту підприємством. Результативність діяльності підприємства виражається одним з узагальнюючих показників - прибутком чи собівартістю продукції.

Витрати на управління підприємством включають:

витрати на оплату праці співробітників управління;

витрати на амортизацію управлінської техніки;

витрати на придбання малоцінного управлінського інвентарю, допоміжних матеріалів та енергії;

витрати на відрядження управлінського персоналу;

інші витрати (пов'язані з реєстрацією, передачею і обробкою інформації, непередбачувані й т. ін.) [12].

Таким чином, в результаті діагностики слабких сигналів потенційних явищ формується обґрунтована кількісно-якісна інформаційна база для розроблення та прийняття управлінських рішень випереджувального спрямування на визначені можливості й загрози умов функціонування. Слід також зауважити, що на сучасному етапі у керівників вітчизняних підприємств немає чіткого усвідомлення актуальності та важливості здійснення діагностики слабких сигналів середовища функціонування їхніх підприємств, рівень кваліфікації та досвіду фахівців у цій сфері є недостатнім, що значною мірою перешкоджає ефективному впровадженню і здійсненню цього виду діагностики та якісному розвитку систем менеджменту на підприємствах.

Розділ 2. Методи та моделі діагностики


Конкурентна ринкова ситуація через динамічний розвиток змушує підприємства систематично відслідковувати зміни, аналізувати їхню природу й динаміку. Тільки в такий спосіб підприємство може правильно оцінити можливості конкурентів і власні можливості, розробити оптимальну, з погляду прибутковості, маркетингову стратегію, спрямовану на створення й підтримку власних конкурентних переваг [5].

Для виявлення, вивчення характеру, ознак, встановлення причин відхилень у положенні конкурентного середовища професор Г.Л. Багієв пропонує використати прийом діагностики, що є засобом, методом та інструментарієм всебічного дослідження маркетингових, і зокрема, конкурентних відносин через конкурентну сегментацію.

Як сфера наукових досліджень, діагностика включає теорію й методи організації процесів діагнозу, а також принципи побудови аналізу, класифікацію можливих відхилень основних характеристик конкурентного середовища. Виділяють три основних форми організації процесу встановлення діагнозу - аналітичну, експертну й діагностику з використанням моделі, тобто імітацію. Охарактеризуємо зазначені підходи до діагностики конкурентного середовища докладніше.

Аналітична діагностика - це процес установлення діагнозу безконтактними й контактними методами за допомогою маркетингової, статистичної інформації, використання результатів маркетингового дослідження, методів конкурентного аналізу стратегічних груп, аналізу конкурентних карт ринку.

Експертна діагностика ґрунтується на інформації, отриманій за допомогою проведення експертних і соціоекономічних опитувань.

За імітаційною (модельною) діагностикою можна одержати інформацію про об'єкт шляхом імітаційного моделювання. Використання цього методу ускладнюється наявністю інформаційного вакууму з багатьох напрямів маркетингової й виробничо-фінансової діяльності основних суб'єктів ринку.

Результатом проведення діагностики повинно бути визначення поточного й перспективного плану розвитку конкуренції на аналізованому ринку. Виходячи з результатів діагностики, визначаються пріоритетні маркетингові заходи для посилення конкурентного потенціалу підприємства. Конкурентна діагностика як процес визначення сильних і слабких сторін основних учасників ринку дає можливість привести у відповідність власні стратегічні можливості підприємства з детермінантами безпосереднього оточення в конкурентному середовищі [1].

Г.Л. Багієв розглядає конкурентну діагностику як найбільш складну, але необхідну частину аналізу ринку. При цьому основними показниками аналізу конкуренції, на його думку, є обсяги реалізації продукції підприємствами конкурентами на конкретному ринку, використовувані маркетингові стратегії й можливості фінансової підтримки, специфіка розширення меж товарних груп, зростання ринку існуючого продукту на основі використання підприємствами поліпшуючих інновацій [16].

Процедура оцінювання конкурентоспроможності, як правило, виражене чітко визначеною послідовністю кроків.

Як бачимо, Н.М. Євдокимова представила достатньо ґрунтовний, але не повний перелік кроків, які відповідають будь-якій діагностиці. Ми пропонуємо до зазначених етапів щодо діагностики конкурентоспроможності галузі та підприємства в обов'язковому порядку додавати висновки про рівень конкурентоспроможності самої галузі та підприємства на ринку.

Вітчизняна та іноземна практика діагностування конкурентоспроможності дає підстави виділити такі методи оцінки конкурентоспроможності галузі, підприємства, продукції.

Таблиця 2.1. Порядок проведення діагностики конкурентоспроможності

Об'єкт діагностики

Етапи діагностування

Галузь

1) визначення профілю галузі та її загальна характеристика 2) оцінка рушійних сил розвитку галузі 3) діагностування основних сил конкуренції 4) оцінка конкурентних позицій підприємств-суперників 5) аналіз найближчих конкурентів 6) визначення провідних (ключових) чинників успіху в галузі, їх оцінка 7) оцінка перспектив розвитку галузі

Підприємство

1) визначення ринкової ситуації та меж ринку 2) формування переліку конкурентів. Визначення стратегічної групи 3) діагностика цілей та намірів найближчих конкурентів 4) оцінка місткості ринку і розрахунок ринкових часток 5) аналіз і ранжування ключових факторів успіху в галузі 6) оцінка інтенсивності галузі 7) порівняльний аналіз прийомів та методів реалізації товарної політики 8) порівняння цінової політики 9) аналіз організації збуту продукції та засобів стимулювання продажів 10) оцінка фінансової стабільності

Продукція

1) маркетингові дослідження ринку 2) формування вимог до продукції 3) визначення мети оцінювання 4) визначення параметрів продукції, що підлягають оцінюванню 5) аналіз нормативних параметрів продукції 6) формування групи аналогів 7) вибір базових зразків 8) оцінка конкурентоспроможності за окремими групами параметрів, обчислення одиничних та групових показників: а) аналіз якості продукції, її споживчих характеристик б) аналіз затрат споживача на задоволення потреби у продукції в) аналіз організаційно-комерційних показників 9) обчислення інтегрального показника конкурентоспроможності продукції 10) підготовка висновків про рівень конкурентоспроможності продукту


Таблиця 2.2. Методи оцінки конкурентоспроможності галузі, підприємства, продукції

Об'єкт дослідження

Методи

Галузь

- методика М. Портера - методика A.A. Томпсона та Дж. Стрікленда - карта стратегічних груп - індекс концентрації - індекс Херфіндаля-Хіршмана - індекс Холла-Тайдмана - індекс Розенблюта - коефіцієнт відносної концентрації - чотирьохчастковий показник концентрації

Підприємство

- SWOT-аналіз - GAP-аналіз - LOTS-аналіз - PIMS-аналіз - STEP-аналіз - SPACE-аналіз - Shell / DPM - Модель аналізу Мак-Кінсі - Методика Ансоффа щодо КСФ - Теорія конкурентних переваг М. Портера

Підприємство

- Метод експертного оцінювання - Фінансово-економічний метод - Зважених рейтингових оцінок - Аналіз конкурентоспроможності фірм Ж.-Ж. Ламбена - Метод вивчення профілю об'єкта - Матриця конкурентного профілю - Модель БКГ - Бенчмаркінг

Продукція

- Диференційований - Комплексний - Змішаний - Метод групових експертиз - Опитування споживачів


Застосування поданих методів можливе як строго індивідуально, так і в системі підходів, залежно від розміру підприємства, рівня його спеціалізації, форми власності, стадії життєвого циклу самого підприємства чи його продукції [14].

Для ґрунтовного аналізу та оцінки конкурентоспроможності М. Портером було розроблено модель п'яти сил конкуренції, зміст якої уточнено В.Василенком.

Як слушно підмітив Т.О. Примак, вплив конкуренції в кожній галузі різний, але сам по собі характер конкуренції подібний, що дозволяє використовувати наведену на рис. 1 схему для визначення її походження і міри взаємодії і взаємозалежності конкурентних сил [8].

Модель п'яти сил конкуренції Портера, є могутнім інструментом при систематичній діагностиці основних конкурентних сил, що впливають на ринок, і визначені ступеня впливу кожної з них.

Рис. 2.1. Модель п'яти сил конкуренції за М. Портером

Цінність моделі п'яти сил конкуренції полягає в тому, що вона допомагає визначити структуру цих сил. Колективні дії цих сил визначають характер конкурентної боротьби на даному ринку. Як правило, чим сильніші сили конкуренції, тим нижча колективна рентабельність фірм, що беруть участь у змаганні. Найбільш гостра конкуренція виникає в тому випадку, коли ці п'ять сил створюють жорсткі умови на ринку, забезпечуючи на перспективу субпаритетну прибутковість або однакову збитковість для більшості фірм [14].

Для проведення аналізу загальної ситуації та конкуренції в галузі використовують методику, запропоновану А.А. Томпсоном та А. Дж. Стріклендом, яка дозволяє адекватно оцінити ситуацію в галузі, визначити характер та рівень конкурентної боротьби. Результати аналізу дозволяють розробити стратегію, відповідну до загальної ситуації в галузі та прийняти рішення щодо доцільності інвестиції на розширення діяльності підприємства в даній галузі. Аналіз має проводитися в певній послідовності [21].

На першому етапі встановлюють основні економічні показники, які характеризують галузь.

На другому етапі визначають конкурентні сили, що діють у галузі, та який їх вплив на ситуацію в галузі.

На третьому етапі необхідно виявити ті чинники, які викликають зміни в структурі конкурентних сил у галузі.

На четвертому етапі визначаються компанії, які мають найсильніші та найслабкіші конкурентні позиції.

На п'ятому етапі доцільно спрогнозувати найбільш ймовірні кроки стратегічних конкурентів.

На шостому етапі можна встановити ключові фактори успіху в конкурентній боротьбі.

На заключному етапі приймають остаточне рішення щодо привабливості галузі та забезпечення високого рівня прибутковості.

На мою думку, представлений підхід дозволяє не лише проаналізувати й дати оцінку конкуренції в конкретній галузі, розробити ефективні стратегії поведінки підприємств на ринку. Він дає підстави на основі прийнятої базової стратегії розвитку формувати портфелі стратегій, які можуть надалі використовуватися в міру швидкоплинності ринкового середовища. Однак, це стане можливим лише тоді, коли діагностика конкурентних позицій підприємства виступає складовою комплексної економічної діагностики, яка здійснюється на підприємстві [5].

При аналізі конкурентоспроможності слід проаналізувати можливості формування стратегічних груп конкурентів, тобто підприємств, які посідають близькі позиції на ринку та конкурують між собою на основі одних і тих самих конкурентних переваг і однаковими методами.

До умов приналежності підприємств до однієї стратегічної групи слід віднести:

·        близька структура асортименту продукції;

·        використання однієї системи розподілу;

·        пропонування покупцям аналогічних послуг і технічної допомоги експлуатації;

·        спрямованість на одних і тих самих замовників;

·        задоволення попиту покупців, що потребують однакових особливостей у виробах;

·        використання одних і тих самих прийомів реклами у засобах масової інформації;

·        робота в одному інтервалі параметрів "ціна - якість", тощо.

Чим ближчими є параметри у підприємств-конкурентів, частіше зустрічаються ті самі конкурентні переваги, тим ретельніше слід вивчати їхню діяльність, оскільки саме вони є основними конкурентами, що входять до однієї стратегічної групи [14].

Різні галузі можуть мати різну кількість стратегічних груп. Важливо чітко визначити необхідні параметри для характеристики стратегічних груп галузі, які б відбивали специфічні характеристики підприємств певної галузі.

Такими характеристиками можуть бути фактори конкурентоспроможною згідно з якими треба аналізувати галузі та формувати стратегічні групи.

Аналіз стратегічних груп виконується за допомогою так званих "карт стратегічних груп галузі" в такій послідовності [10]:

. Обирають найсуттєвіші характеристики продуктів або підприємств галузі (згідно з метою аналізу). Виокремлюють два з них.

. Складають матрицю-карту з цими двома характеристиками. Важливо, щоб вони не корелювали одна з одною.

. Розраховують обрані характеристики за продуктом або підприємством, після чого продукти або підприємства розміщують на "карті".

. Об'єкти, що опинились близько один до одного, об'єднують в одну стратегічну групу.

. Навколо кожної стратегічної групи малюють коло. Доцільно, щоб загальний обсяг продажу підприємств стратегічної групи в галузі був пропорційний до радіуса кола.

Кожне підприємство самостійно приймає рішення про кількість параметрів, за якими треба порівнювати окремі підприємства. Основними конкурентами є підприємства, що входять до складу однієї стратегічної групи, але" якщо стратегічні групи на карті близькі одна до одної, водночас спостерігається конкуренція і між підприємствами різних стратегічних груп.

Оцінка основних сил конкуренції здійснюється шляхом розрахунку показників концентрації ринку. Доцільно використовувати такі показники концентрації підприємств-виробників на ринку [16]:

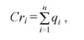
) Індекс концентрації:


де д, - частка продажу і-того підприємства, %.


де ці - частка продажу кожного з т підприємств галузі.

Значення НЕП: 2000-10000 - ринок висококонцентрований. 1000-2000 - помірноконцентрований. менше 1000 - низькоконцентрований

) Коефіцієнт відносної концентрації:


де (З - частка найбільших підприємств у загальній кількості учасників ринку, %;

а - частка продажу цих самих підприємств у загальному обсягу продажу, %.

Значення К : К - 1 - ринок неконцентрований. К < 1- ринок висококонцентрований.

) Індекс Холла-Тайдмана:


де к - ранг підприємства на ринку (найбільше значення має ранг 1); ці - частка продажу цих самих підприємств у загальному обсягу. Значення НТ: НТ =1 - ринок висококонцентрований, монопольний.

НТ=1/т - ринок неконцентрований.

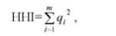
) Чотирьохчастковий показник концентрації:


де ОРі - максимальний обсяг реалізації серед підприємств галузі.

ОР2 - другий за розміром.

ОР3 - третій за розміром.

ОР4 - четвертий за розміром.

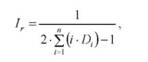
ОР - загальний обсяг реалізації продукції певної галузі. Значення СК4 : СК4 = 70 - 100 - ринок висококонцентрований. СК4 = 45 - 70 - помірноконцентрований концентрований. СК4 =менше 45 - низько концентрований [5, 370]. 6) Індекс Розенблюта:


де Dj - частка продажу і-того підприємства, %.

Значення Ir: Ir =1 - ринок висококонцентрований, монопольний. 7r=1/m - ринок неконцентрований [1].

Здійснено аналіз найбільш відомих і застосовуваних у практиці діяльності підприємств методів проведення дослідження конкурентного положення підприємства.

Наведеним у табл. методам властиві певні недоліки й переваги, які спричинюють можливість і доцільність їхнього застосування вітчизняними підприємствами. Найчастіше трапляються недоліки методів оцінки конкурентних позицій підприємства на цільовому ринку (складність визначення частки підприємств на ринку. труднощі збору даних, необхідних для проведення аналізу, потреба висококваліфікованих фахівців зі спеціальною підготовкою для реалізації дослідницької роботи).

З огляду на наведені показники, слід застосовувати такі методи оцінки конкурентних позицій підприємства на цільовому ринку: модель БКГ, модель М. Портера, метод LOTS, ситуаційний аналіз, метод експертних оцінок, фінансово-економічний метод, метод картування стратегічних груп. Очевидно, що найбільш повну інформацію щодо конкурентних позицій підприємства на цільовому ринку можна одержати, використовуючи одночасно кілька методів оцінки. Методи, що дозволяють оцінити конкурентну позицію підприємства через ефективність менеджменту, показують за рахунок яких управлінських факторів завойована та або інша конкурентна перевага. Фінансово-економічні методи результують діяльність підприємства на цільовому ринку в цілому.

Узагальнюючи дані таблиці, можна зробити такі висновки [18]:

·        кожний метод допускає спеціальний набір факторів та аналізованих змінних;

·        методика проведення досліджень різна, частіше від інших використовується складання матриць, порівняльних таблиць, проведення експертних оцінок;

·        у багатьох методах автори, залишають право вибору досліджуваних змінник на розсуд дослідника, що дає можливість ураховувати галузеві, технічні й інші специфічні особливості;

·        кожний з перерахованих методів має свої переваги й недоліки, отже, дослідникові необхідно порівнювати вигоди, які він може одержати, використовуючи той інший метод дослідження з тими небезпечними моментами, які можуть вплинути на його результат.

Конкурентоспроможність товару має відносний характер. Це означає, що вона визначається порівнянням товару підприємства з товаром-аналогом (конкурентом) стосовно конкурентного ринку (групи споживачів) у конкретний проміжок часу [20].

Найпростіший спосіб визначення конкурентоспроможності товару визначається за формулою:


де Е - корисний ефект від споживання товару.

В - витрати на купівлю та використання товару.

Це означає, що у процесі добору з метою купівлі певного товару покупцем купується, той товар, в якого відношення корисного ефекту до витрат на купівлю та використання є найбільшим порівняно з іншими аналогічними товарами. Це співвідношення і є умовою конкурентоспроможності продукції.

Кожний продукт або послуга цінні настільки, наскільки вони можуть задовольняти потреби споживача, тому в усіх показниках, що характеризують той чи інший продукт або послугу, будуть використовуватися об'єктивні та суб'єктивні, кількісні та якісні параметри й показники, які більшою чи меншою мірою відбивають рівень задоволення потреб. Чим вищий цей рівень, тим більш конкурентоспроможний продукт випускає підприємство.

Потрібно розрізняти параметри та показники конкурентоспроможності продукції.

Параметри конкурентоспроможності - це найчастіше кількісні характеристики властивостей товару, які враховують галузеві особливості оцінки його конкурентоспроможності. Розрізняють окремі групи параметрів конкурентоспроможності: технічні, економічні, нормативні (різних типів) [8].

Технічні параметри є характеристикою технічних і фізичних властивостей товару, що їх визначають особливості галузі та способи його використання, а також функції, які виконує товар у процесі його використання.

Економічні параметри визначають рівень витрат на виробництво та ціни споживання через витрати на купівлю, обслуговування, споживання, утилізацію товару.

Нормативні параметри визначають відповідність товару встановленим нормам, стандартам і вимогам, установленим законодавством та іншими нормативними документами.

Показники конкурентоспроможності - це сукупність системних критеріїв кількісної оцінки рівня конкурентоспроможності товару, які базуються на параметрах конкурентоспроможності.

Перелік показників конкурентоспроможності залежить від об'єкта досліджень, а також від обраної методики визначення конкурентоспроможності.

На практиці використовують такі кількісні показники оцінювання конкурентоспроможності продукції [14]:

·        одиничні, що відбивають процентне відношення значення будь-якого технічного чи економічного показника до значення такого самого показника продукта-аналога, який випускає конкурент;

·        групові, що об'єднують одиничні показники і характеризують рівень конкурентоспроможності за однією групою показників (економічних, технічних, нормативних);

·        інтегральний показник (К), який дає числову характеристику конкурентоспроможності товару і визначається на основі групових (економічних, технічних, нормативних) показників:


де ІнпЛтп, іеп - груповий показник за параметрами відповідно нормативними, технічними, економічними [19].

Якщо К - 1, то виріб, який аналізується, перевершує за конкурентоспроможністю зразок, якщо К < 1 - поступається, якщо К = 1, то перебуває на одному із зразком рівні.

Найпоширенішими, на думку О.Т. Примака є, такі методи оцінювання конкурентоспроможності товарів [3]:

) метод групових експертиз, тобто аналітична оцінка конкурентоспроможності товарів висококваліфікованими фахівцями. Цей метод є особливо результативним щодо високотехнічних товарів, товарів-новинок, а також товарів виробничо-технічного призначення;

) опитування споживачів під час виставок, ярмарок, презентацій, пілотного продажу тощо. Цей метод дає змогу визначити конкурентоспроможність споживчих товарів, широко відомих споживачам, накреслити напрямки їх удосконалення.

Результати оцінки конкурентоспроможності товарів за цими двома методами можна оформити у вигляді таблиць.

Таблиця 2.3. Зведені результати оцінки конкурентоспроможності продукції/товару


А, Б, В - товари-конкуренти.

Вагомість характеристик - коефіцієнти, які визначають пріоритетність (значення) тієї чи іншої характеристики. Сума коефіцієнтів має дорівнювати одиниці.

Значення характеристик - оцінки відповідних характеристик, що їх виставляють експерти чи споживачі (наприклад за п'ятибальною шкалою).

В.Ф. Оберемчук в своїх наукових дослідженнях приходить до ряду висновків [3]:

) Диференціальний метод заснований на використанні одиничних показників продукції. Цей метод дозволяє визначити, досягнутий чи ні рівень конкурентоспроможності, за якими показниками він не досягається, які з параметрів найбільше відрізняються від базових. Але вказаний метод лише констатує факт конкурентоспроможності продукції та наявності в ній недоліків у порівнянні з товаром-конкурентом. Він не враховує вплив вагомості кожного параметра на прихильність покупців при виборі товару.

) Тому широко використовуються комплексні та змішані методи оцінювання. Комплексний метод заснований на використанні групових та інтегральних показників. Розрахунок загального показника є вузловим при оцінюванні рівня конкурентоспроможності. Визначають його за співвідношенням інтегральних показників конкурентоспроможності оцінюваного виробу та базового зразка.

Змішаний метод являє собою поєднання диференційованого та комплексного методів. При змішаному методі оцінки конкурентоспроможності використовується частина параметрів, розрахованих диференційованим методом, та частина параметрів, розрахованих комплексним методом.

Даний метод визначення конкурентоспроможності товару не є досконалим, оскільки він не враховує важливість споживчих властивостей товару для покупця. До таких факторів на думку В.Д. Нємцова можна віднести [21]:

) ступінь новизни товару;

) символічні фактори, які розглядаються в розрізі суспільних норм (товар надає певного статусу його власникові);

) додаткові фактори, які безпосередньо не відносяться до продукту (пропозиція послуг, гарантія, встановлення виробу та його монтаж, можливість ремонту тощо).

Отже, конкуренція направлена на отримання прибутку не лише за рахунок вдосконалення споживчих якостей продукції, а й шляхом надання більш якісних послуг.

Підвищити рівень конкурентоспроможності можливо, якщо націлити підприємство на:

·        незмінне скорочення всіх видів витрат на виробництво продукції;

·        підвищення якісних і споживчих характеристик при зниженні цін на товари, котрі випускаються;

·        використання нової техніки;

·        використання нової технології;

·        розробку нового дизайну товарів;

·        впровадження нововведень в системі розподілу та збуту.

Аналіз конкурентоспроможності товару є недостатнім для формування висновку про конкурентоспроможність підприємства в цілому, хоча в більшості випадків використовується саме такий підхід. На сьогоднішньому етапі розвитку ринкових відносин необхідне більш глобальне бачення проблеми конкурентоспроможності підприємства для адекватного висновку про його рівень.

Отже,для діагностування конкурентоспроможності підприємств доцільним є застосування часткового або повного комплексного підходу. Частковий - передбачає здійснення окрім діагностики конкурентоспроможності галузі, підприємства, продукції, ще також діагностику потенціалу та управлінську діагностику.

.2. Методи та моделі діагностики кризового стану підприємства

Не всі підприємства змогли пристосуватися до нових умов, багато давно стали банкрутами і ліквідовані. Звичайно - це невід’ємний результат зміни напрямку руху економіки, який обумовив появу нового для вітчизняної фінансової практики поняття - банкрутство підприємства, тобто неспроможність чи нездатність суб’єкта, який хазяйнує, задовольнити вимоги кредиторів з оплати товарів, робіт і послуг, а також нездатність забезпечити обов’язкові платежі в бюджет і позабюджетні фонди у зв’язку з перевищенням зобов’язань боржника над його майном. Діагностика кризового стану підприємства розглядається як один з напрямів економічної діагностики та тісно пов’язана з діагностикою загрози банкрутства.

Застосувавши сучасні моделі і методи діагностики кризи на підприємствах України, виявили їхні переваги і недоліки щодо визначення спроможності їх адаптації до сучасних економічних умов господарювання.

Відомо багато підходів до прогнозування фінансової неспроможності суб’єктів господарювання.

Будь-яка методика оцінювання кредитоспроможності є, по суті, методикою прогнозування банкрутства. У зарубіжній практиці поширення набули дві моделі - Альтмана та Спрінгейта, названі на честь їх авторів.

Модель Альтмана була розроблена в 1968 р., автор обстежував 66 підприємств, половина з яких збанкрутувала в період між 1946 і 1965 роками, а друга половина працювала успішно, і досліджував 22 аналітичних коефіцієнти, які могли бути корисні для прогнозування можливого банкрутства [2].

Так, Альтман з цих показників фінансового стану відібрав п’ять найзначущіших і побудував багатофакторне регресійне рівняння. Отже, індекс Альтмана є функцією від деяких показників, що характеризують економічний потенціал підприємства і результати його роботи за минулий період.

У цій моделі є значний недолік - це те, що вона була створена на основі дослідження підприємств США і Західної Європи [1-3], що робить неможливим її застосування для вітчизняних підприємств без належної адаптації під час розрахунку коефіцієнтів.

Ще одним моментом є, те що модель Альтмана можна застосовувати лише щодо підприємств, що котирують свої акції на фондових біржах, оскільки для таких компаній можна отримати ринкову оцінку вартості власного капіталу. Двофакторна модель Альтмана, яка адаптована під вітчизняні підприємства, і п’ятифакторна дають різні результати під час розрахунків.

Це пов’язано з тим, що під час оцінки використовувалася обмежена кількість факторів, але разом з цим найточнішим вважатимемо результат аналізу за двофакторною моделлю, тому що вона адаптована під вітчизняну економіку. Критерій Конана і Голдера [1-3] показав високу ймовірність настання банкрутства на досліджуваних підприємствах, перевагами якого є можливість прогнозування банкрутства від 10 до 100%, виявлення стратегічних проблем, визначення конкурентної переваги і можливість порівняння з конкурентами.

На кінець досліджуваних періодів імовірність настання банкрутства становила 80%, однак, і цю оцінку не можна вважати однозначно дійсною, тому що сам критерій Конана і Гольдера у своєму розрахунку не використовує багатьох факторів [1-3].

Також модель Фулмера застосовна лише для малих підприємств, оскільки побудована за вибіркою малих компаній та не містить показників ринкової капіталізації, що також ускладнює аналіз.

Треба відзначити, що ці моделі не раціонально використовувати для оцінювання стану досліджуваних підприємств, бо вони визначають лише сам факт банкрутства, а не вірогідність його настання.

На основі моделі прогнозу випадків невиконання клієнтом умов кредитного договору розроблений Чессером (1974 р.) [2] показник імовірності невиконання умов кредитних угод.

Треба відзначити, що в “невиконання умов” він включає непогашення позики та будь-які інші відхилення, які роблять її менш вигідною для кредитора, ніж було передбачено спочатку [2].

Модель оцінювання рейтингу позичальника Чессера можна використати для оцінювання надійності кредитів, але у разі використання математичних методів під час управління позиками банку, необхідно пам’ятати, що надання комерційних кредитів - це не моментне явище.

Це складний процес, в якому важливі два аспекти: це людські стосунки між сторонами та технічні аспекти. Модель не враховує значення міжособистісних відносин, а в практиці кредитного аналізу і кредитування цей фактор необхідно враховувати. Рейтингова оцінка підприємства-позичальника розраховують на основі набутих значень фінансових коефіцієнтів і є заключним узагальнюючим висновком аналізу кредитоспроможності клієнта.

Розглядаючи модель за Сайфуліним, можна теж побачити деякі недоліки, бо методика побудована на використанні тільки бухгалтерської звітності. Виділимо недоліки:

. Ця методика не стимулює розвиток масштабів відтворення, оновлення і модернізацію виробництва, що пов’язані зі збільшенням вартості основних фондів. Чим вища вартість основних фондів, тим менший чисельник коефіцієнта K0 і, відповідно нижчий загальний результат рейтингової оцінки.

. Не врахована якість виторгу під час розрахунку коефіцієнта K2.

. Не врахований тиск податкової складової на розміри чистого прибутку під час розрахунку коефіцієнта K3.

. Не врахована якість власного капіталу, динаміка котирувань, вартість акціонерного капіталу через фондові біржі й незалежні рейтингові агентства під час розрахунку K4.

Розглянувши недоліки, можна відзначити, що модель не придатна для конкретних підприємств.

На заході практикують кількісні індикатори банкрутства - багатофакторні моделі економістів - Ліса, Таффлера, Тісшоу, розроблені для підприємств Великобританії і США.

Однак, потрібно відзначити, що за наявності всіх переваг цих моделей, які розроблені для прогнозування банкрутства, побудовані на основі вивчення поведінки компаній в умовах західного розвитку, що не відповідає умовам розвитку економіки України.

Побудова багатофакторних моделей для української економіки досі залишається проблемною, по-перше, через нестабільність і недосконалість нормативно-законодавчої бази банкрутства українських підприємств; по-друге, через відсутність урахування багатьох факторів, що впливають на фінансову стійкість підприємств; по-третє, через необ’єктивні дані стосовно статистики банкрутств.

Крім того, ці моделі будують на основі дискримінантного методу за статистичними даними підприємств конкретної країни, тоді як використання моделей обмежене межами цієї країни.

Також, вагоме значення мають якість фінансово-звітної документації та ступінь інформативності статистичних даних і коефіцієнтів, на які спираються моделі. ці моделі можна буде використати як підхід до побудови системи оцінювання ймовірності банкрутства, але необхідно враховувати діагностика банкрутства - це не тільки аналіз, який є лише її початковим етапом, але й розробка заходів впливу, тому можна вважати діагностику як етап антикризового менеджменту та передумова для його успішності. На основі зроблених висновків щодо значення діагностики банкрутства можемо подати наступне визначення даного поняття, яке найбільшою мірою відповідає реаліям його природи: діагностика банкрутства - це етап антикризового управління та передумова його успішності, який є логічним продовженням економічного аналізу підприємства, передбачає глибоке дослідження об’єкта з подальшою розробкою заходів впливу.

«Діагностика банкрутства - це передумова успішності антикризового управління», досить важливим є те, наскільки ефективно та грамотно вона буде здійснена, що, в свою чергу, залежить від визначення змісту та етапності її проведення.

На сьогодні в наукових та методичних виданнях розглядається багато різних підходів до кількості та послідовності етапів проведення діагностики банкрутства підприємства, а також до конкретизації їх змісту. Так, наприклад, Федорович Р., Загородна О., Серединська В. рекомендують проводити діагностику банкрутства у розрізі семи етапів: аналіз фінансових результатів діяльності підприємства; аналіз активів підприємства; аналіз джерел активів підприємства; аналіз вартості капіталу; аналіз фінансової стійкості, платоспроможності та ділової активності підприємства; аналіз грошових потоків підприємства; аналіз потенційного банкрутства суб'єктів господарювання [12]. особливості національної економіки.

Отже, система діагностики кризового стану та ймовірності банкрутства підприємства включає ряд етапів, які логічно продовжують один одного та дозволяють зробити висновок про існування загроз в діяльності підприємства та визначити ймовірність його банкрутства. Врахувавши недоліки досліджених нами методик, пропонуємо застосовувати підприємствам в системі антикризового управління таку послідовність діагностики банкрутства підприємства :

перший етап − аналіз ранніх ознак кризового стану підприємства;

другий етап − економічна оцінка та аналіз бухгалтерського балансу підприємства;

третій етап − аналіз фінансового стану підприємства за групами коефіцієнтів, які характеризують

майновий стан, ліквідність та платоспроможність, фінансову стійкість, ділову активність та рентабельність діяльності;

четвертий етап − діагностика на основі бальних методів (рейтингової оцінки);

п’ятий етап − дискримінантний аналіз (моделі Е.Альтмана, Спрінгейта, Р.Ліса, Конана і Гольдера,

Розділ 3. Теоретичні та практичні аспекти здійснення економічної діагностики підприємства

3.1. Теоретичні підходи у визначенні сутності та різновидів економічної діагностики підприємства


Трансформаційні процеси в національній економіці, що спричинили кардинальні зміни умов господарювання на всіх її рівнях, значно розширили поле та наповнили новим змістом економічну діяльність. Докорінно змінюється цільова орієнтація, предмет і метод діагностики та економічного аналізу діяльності всіх структурних ланок національної економіки країни. Практична необхідність вивчення кон'юнктури ринку, факторів зовнішнього і внутрішнього економічного середовища підприємств та їх адаптивності, оцінки потенційної прибутковості і ступеня підприємницького ризику суттєво впливають на методику і організацію аналітичних досліджень [10].

Використовувана в сучасних умовах традиційна модель комплексного аналізу та діагностики підприємницького аналізу потребує реконструкції у відповідності з його новою функціональною роллю. Мова йде не про зниження функціональної ролі діагностики та економічного аналізу як самостійної функції управління, а лише про зміну їх цільової орієнтації в рамках оптимальної організаційної моделі стратегічного управління, що потребує вивчення зарубіжного і вітчизняного досвіду у цій сфері.

Серед якісно оновлених напрямків і функцій управлінської діяльності є концепція економіко-аналітичної діагностики, яка знайшла широке застосування в країнах з розвиненими ринковими відносинами і має значні перспективи розвитку в Україні.

Незважаючи на тривалу еволюцію економічної діагностики як науки, на сучасному етапі досі залишаються не вирішеними питання формування понятійного апарату; удосконалення, адаптації та розробки принципів і методів економічної діагностики, систематизації, узагальнення підходів до розкриття її змісту; уточнення комплексу процедур діагностики; регулювання, формування інформаційного потоку та бази даних в процесі дослідження; розробки системи оціночних показників-індикаторів економічної діагностики. На ці принципово важливі питання потрібні науково обґрунтовані і логічно взаємопов'язані відповіді.

Відобразимо процес діагностування схематично (рис. 3.1).

Рис. 3.1. Схема здійснення процесу діагностування

Центральне місце в процесі діагностування відведено аналізу, оцінці, діагнозу та прогнозуванню майбутнього стану об'єкта.

Важливим питанням діагностування складних проблем є усвідомлення і встановлення симптомів чи ускладнень наявних можливостей. Відповідно, для виявлення причин виникнення проблем встановлюється загальний її вигляд, методи дослідження, критерії класифікації і способи викладення результатів. Таким чином, економічна діагностика найчастіше являє собою кількісну чи якісну оцінку стану об'єкта дослідження або його складових елементів з метою виявлення внутрішніх резервів, що можуть бути спрямовані на подальший розвиток об'єкта [14].

Важливість здійснення діагностики як методу дослідження визначається її необхідністю у розробці та реалізації стратегії розвитку підприємства та реалізації ефективного менеджменту. Будучи складовою управлінського процесу, економічна діагностика необхідна для оцінки привабливості підприємства з точки зору зовнішнього інвестора, визначення його позиції в національних та інших рейтингах; діагностика дозволяє виявити резерви і можливості, сильні та слабкі сторони підприємства, визначити напрямки адаптації внутрішніх можливостей організації до змін умов зовнішнього середовища.

Необхідність діагностики визначається зміною парадигми управління в трансформаційних умовах, а власне переходом від виробничої до маркетингової орієнтації, від оперативного до стратегічного управління і зміною логіки планування. В сучасних умовах, коли підприємство обмежене у можливостях розширення ресурсного потенціалу, аналіз внутрішніх можливостей і ресурсів повинен стати відправною точкою розробки стратегії підприємства і планування його діяльності. Така логіка планування і аналізу "від ресурсів до стратегії" найбільш адекватна умовам діяльності вітчизняних суб'єктів господарювання.

Отже, предметом економічної діагностики є господарська діяльність підприємств, кінцеві результати господарювання, які складаються під впливом об'єктивних і суб'єктивних факторів, що перебувають в єдності і взаємозв'язку.

Ці фактори групуються на:

·        екстенсивні (за рахунок зміни обсягу капіталовкладень, вартості основних засобів, матеріальних цінностей, чисельності працюючих),

·        інтенсивні (за рахунок кращого використання задіяних у процесі виробництва основних засобів, матеріальних цінностей, робочої сили).

Суб'єктами аналізу і діагностики діяльності є підприємства, їхні власники, засновники, органи державного керування, фінансово-кредитні установи, податкові органи, органи страхування, окремі фахівці, експерти, засоби масової інформації, інформаційно-аналітичні і рейтингові агентства [17].

До об'єктів аналізу і діагностики діяльності підприємства відносять кадровий, технічний, виробничий і фінансовий потенціал; різні види діяльності підприємства, їхнє технічне, матеріальне, фінансове забезпечення і стан тощо.

3.2 Економічна діагностика як дослідницький процес

В економічній діагностиці, яка виступає дослідницьким процесом важливу роль відіграють наступні вимоги до процесу дослідження:

. Він повинен бути автентичним, тобто заснованим на першоджерелах, на достовірній інформації.

. Об'єктивність процесу. Перед тим, як почати процес діагностування, його учасникам необхідно виробити процедуру оцінки і скласти програму дослідження об'єкта.

. Точність - ціль, завдання і відповідність вимогам пропонованим до процесу діагностування тісно пов'язані з процесами планування, організації і контролю [19].

В основі економічної діагностики діяльності підприємства як суб'єкта господарювання повинні бути покладені наступні загально методологічні принципи (засади):

·        системний підхід, відповідно до якого підприємство розглядається як складна кібернетична система, що складається із ряду підсистем і знаходиться у постійному взаємозв'язку із зовнішнім середовищем;

·        сполучення статичних, динамічних і порівняльних оцінок, що передбачає необхідність діагностичної оцінки як на даний момент часу, так і характеристики динаміки в часі та порівняння із нормативними, галузевими, чи показниками конкурентів;

·        поєднання кількісних та якісних оцінок, суть якого полягає в сполученні кількісних та якісних методів аналізу. Кількісні методи реалізуються за допомогою застосування розрахунково-обчислювальних процедур і встановлення числових критеріїв. Якісні методи є завершальною стадією діагностики і, використовуючи кількісні методи за допомогою шкал або матриць, одержують словесну характеристику стану підприємства;

·        врахування галузевої і регіональної специфіки підприємств;

·        від попередньої до остаточної оцінки. Суть його полягає в сполученні методу експрес-діагностики з остаточною фундаментальною діагностикою, що особливо актуально у діагностиці фінансового стану підприємства;

·        формалізації оцінок, що передбачає алгоритмізацію процесу діагностики внутрішнього стану організації, чітку визначеність оцінок, послідовність їх проведення.

У відповідності із зазначеними засадами діагностика діяльності підприємства здійснюється на всіх рівнях прийняття управлінських рішень і розробки стратегій: корпоративному, конкурентному, функціональному та оперативному [16].

Однак, побутують й інші думки. Так, одеські вчені-економісти у своїй статті "Концепція економічної діагностики розвитку підприємства" принципи, на яких ґрунтується методика економічної діагностики, сформулювали так [18]:

. Використання інформації на будь-яких рівнях агрегування повинно ґрунтуватися на даних оперативного, бухгалтерського і статистичного обліку.

. Дотримання необхідної визначеності у пропорціональності структурних складових та їх сукупностей в ціні та вартості.

. Дотримання необхідного (нормативного) порядку руху опорного ряду показників, прийнятих як критерії оцінки ефективності результату діяльності.

. Базування операційного підходу на використанні динамічних характеристик аналізованих показників оцінки ефективності розвитку діяльності підприємства та регулювання прискорення її економічного зростання.

. Одержання однозначності висновків на основі порівняльності вихідної інформації про характер економічних процесів і динаміку аналізованих показників по окремих ознаках та по їх сукупностях.

Якщо їх розглядати у синтезі та взаємопроникненні, то такий підхід і надасть чітку відповідь, якими повинні бути такі принципи.

Однією із методологічних проблем в здійсненні діагностики є визначення кола показників. Проблема полягає в тому, що на ефективність діяльності організації впливає значна кількість факторів, врахування яких навіть із використанням ПЕОМ є трудомістким, а інколи і недоцільним процесом. Тому в кожний конкретний момент часу можна враховувати лише деякі найбільш важливі та суттєві. Треба відмітити, що набір факторів, які заслуговують уваги, постійно змінюється у міру впливу внутрішніх та зовнішніх обставин і виникнення нових, часто непередбачуваних ситуацій. Це зумовлює застосування ситуаційного підходу, який враховує конкретні особливості на фіксований момент часу та динаміку змін у певному інтервалі часу. Можна стверджувати, що конкретний перелік показників, ресурсів і сфер діяльності залежать від розуміння об'єкту діагностики його складових та умов функціонування підприємства у момент здійснення аналізу [10].

Однак, вважаємо за доцільне відзначити наступне. За умов створення на підприємствах постійно діючих експертних груп з діагностування стану підприємства, що мають на меті сприяти виявленню факторів впливу на майбутній його потенціал і розвиток, коло завдань діагностики не зводитиметься до лише найбільш важливих, а дозволить ефективно розв'язувати і поточні, і стратегічні завдання.

Будь-який економічний діагноз цікавить господарських партнерів - як споживачів продукції, так і постачальників; фінансово-кредитні установи, зокрема у процесі прийняття рішень щодо визначення умов надання кредитів; адміністрацію самого підприємства для розробки обґрунтованих поточних і перспективних планів; інвесторів і акціонерів при оцінці перспектив віддачі чи подальшого нарощення капіталу.

Тому на підприємстві має бути розроблений план проведення аналітичної роботи, визначені необхідні для проведення діагностики джерела економічної інформації задля повноти проведення досліджень, терміни їх проведення, форми узагальнення і оформлення результатів діагностики. В цьому випадку і виникає потреба у створенні експертних груп з діагностування стану підприємства.

Побутують різні підходи щодо встановлення кількості та змісту кроків у плануванні процесу діагностики підприємства.

Так, Т.Б. Бердникова вважає, що в плані діагностичного аналізу підприємства слід висвітлювати:

об'єкт аналізу (структура чи процес, технологія, операція, процедура);

суб'єкт аналізу (хто проводить, відповідальні особи і виконавці);

період, за який виконується діагностика;

мета і завдання діагностики;

форми, методи, техніка діагностики;

оформлення результатів діагностики (звіт, висновок, розрахунок економічної ефективності чи описова характеристика);

термін проведення аналітичних операцій;

кому доповідаються (куди направляються) результати діагностики і як вони повинні бути використані.

Структура програми діагностики діяльності підприємства може включати вступ, аналітичну частину і висновок. У вступі визначається мета, завдання, методи діагностики, описується специфіка об'єкта. Аналітична частина містить діагностику технічного, фінансового стану; ефективності виробничої, комерційної, інвестиційної діяльності, соціального розвитку колективу; стан і використання основних фондів, трудових ресурсів; витрат на виробництво і реалізацію продукції; інвестиційного, науково-технічного, трудового, виробничого потенціалу. Висновок містить основні висновки по фактичному стану об'єкта на визначену дату і конкретні пропозиції по поліпшенню даного стану. Програму слід розробляти за кожним об'єктом. Контроль за виконанням програми аналізу і діагностики діяльності підприємства слід покладати на його керівника [17].

Н.М. Євдокимова та А.В. Кирієнко підкреслюють: "економічне діагностування має чіткі ознаки дослідницького, творчого процесу. Разом із тим, дотримуватись певного загального порядку у його проведенні все ж важливо. Спочатку встановлюється комплекс екзогенних та ендогенних чинників, що визначають ситуацію з об'єктом дослідження. Далі формулюється система показників та параметрів для оцінки стану об'єкта, збирається й обробляється інформація, що має бути релевантною. Діагностична процедура ґрунтується на зіставленні стану об'єкта за встановленим колом характеристик із нормою, еталоном (аналогом). Кожне з відхилень ідентифікується за певною шкалою. Це стосується передусім стандартних ознак. Якщо для визначення стану об'єкта потрібна певна ідентифікація, сукупність ознак упорядковується, систематизується тощо. Оцінка стану об'єкта також може відбуватись через уявлення його як унікального поєднання ознак". Змістові аспекти діагностичних зіставлень унаочнює рис.

Підсумком діагностування є підготовка висновків про нинішній стан об'єкта і прогноз його зміни у майбутньому.

Рис. 3.2. Різновиди діагностичних зіставлень

Основними етапами здійснення економічної діагностики є:

. Підготовчий (ухвалення принципового рішення про проведення діагностики; встановлення цілей діагностики; необхідність ресурсного забезпечення проведення діагностики).

. Планування часу, ресурсів, бюджету.

. Формування робочої групи, яка складається з провідних спеціалістів підприємства для проведення діагностичного аналізу. У випадку залучення зовнішніх консультантів, вони включаються у склад робочої групи.

. Збір матеріалів для діагностичного аналізу (збір інформації, формування бази даних, обробка результатів).

. Проведення аналітичної обробки даних.

. Порівняння отриманих результатів з базовими за кожним параметром окремо і за загальним обсягом інформації діагностичного аналізу.

. Ухвалення рішення про необхідність і приорітетність можливих управлінських рішень по підприємству в цілому та за окремими напрямками діагностування.

. Реалізація управлінських рішень.

Кубра М. запропонував схему повного циклу здійснення управління (рис. 1.3), щоб встановити місце діагностики у загальному циклі управління і прийняття управлінських рішень.

Рис. 3.3. Схема повного циклу здійснення управління

Модель, аналогічну наведеній вище схемі, розробили і запропонували Р.К. Юкев'ярава, М.Я. Хабакуса, Я.А. Лейман

Завданнями діагностики діяльності підприємства перш за все є:

ідентифікація реального стану аналізованого об'єкта;

дослідження складу і властивостей об'єкта, його порівняння з відомими чи аналогами базовими характеристиками, нормативними величинами;

виявлення змін у стані об'єкта в просторово-тимчасовому розрізі;

встановлення основних факторів, що викликала зміни в стані об'єкта, і облік їхнього впливу;

прогнозування основних тенденцій [3].

Правильний вибір мети і постановка завдань діагностики фінансово-господарської діяльності підприємства мають велике значення. На основі поставлених цілей і з урахуванням наявних можливостей визначається дійсний стан підприємства, виробляються способи досягнення оптимальних рішень, підбираються методи управління, здійснюються різні зміни в організаційному, технологічному, комерційному й іншому видах діяльності підприємства. Система цілей і завдань аналізу фінансово-господарської діяльності підприємства конкретизується по змісту, часу реалізації та рівням.

Аналіз і діагностика діяльності підприємства включає ряд основних напрямків [14]:

виклад методик аналізу результатів виробничо-господарського, комерційного, соціального й іншого видів діяльності підприємства;

виявлення основних прийомів аналізу стану і використання матеріальних, трудових і фінансових ресурсів;

встановлення шляхів підвищення ефективності господарюючого суб'єкта на основі комплексного техніко-економічного аналізу;

оцінка фінансового стану і діагностика банкрутства, оцінка фінансового ризику;

оцінка економічних результатів роботи підприємства з позицій конкурентоздатності продукції (робіт, послуг), рівня рейтингу підприємства, ділової активності і ділової репутації;.

оцінка виробничих результатів роботи підприємства;

оцінка витрат на виробництво і реалізацію продукції (робіт, послуг), використання матеріальних ресурсів і стан їхніх запасів, стан і використання основних фондів;

оцінка екологічних наслідків діяльності підприємства;

оцінка використання трудових ресурсів і результатів соціального розвитку підприємства;

оцінка ефективності роботи підприємства, і основних факторів, які визначають її.

Здійснивши управлінський аналіз, діагностують ряд стратегічних проблем, які можуть або дискредитують стратегію. Стратегічні проблеми відрізняються від слабких сторін підприємства тим, що останні визначаються у процесі та на базі порівняння підприємства із конкурентами за основними сферами діяльності. А проблема виникає у випадку невідповідності господарських та фінансових цілей, які ставляться відносно сфер діяльності до фактичному стану, тобто існує або може бути протиріччя, яке потребує прийняття відповідних управлінських рішень. Проблема може бути спрямована як на подолання виявлених слабких сторін так і на розвиток можливостей підприємства [18].

Таким чином, діагностику можна охарактеризувати як самостійну систему, що інтегрує аналітичну, контрольну, стимулюючу, індикативну, прогнозну, управлінську функції на рівні підприємства.

Її аналітична функція не обмежується традиційною прогнозною та ретроспективною оцінкою умов, що склалися, а дозволяє організації регулювати внутрішні темпи росту для досягнення запланованої економічної ситуації та поставлених цілей. Реалізуючи аналітичну функцію як пріоритетну в рамках стратегічного управління, діагностика здійснює контрольну функцію як спосіб нагляду за процесом виконання управлінських рішень і виявлення відхилень від поставлених цілей. Економічна діагностика як функція управління передбачає оперативне втручання в економічну ситуацію у випадку відхилень від поставлених завдань з метою забезпечення оптимального розвитку підприємства як складної економічної системи на перспективу.

Стратегічна діагностика - це діагностика майбутнього стану об'єкта дослідження. Оперативна - це діагностика поточної ситуації, проводиться в процесі здійснення операційної, інвестиційної і фінансової діяльності підприємства, реалізації окремих господарських операцій із метою оперативного впливу на формування і використання рівня результативності. Як правило, така діагностика обмежується коротким періодом часу. Ретроспективна діагностика здійснюється за звітний період (квартал, рік). Вона дає змогу повніше проаналізувати результати формування і використання рівня результативності порівняно з попереднім і поточним її аналізом, оскільки ґрунтується на завершених результатах фінансового обліку і звітності, доповнених даними управлінського обліку [21].

Періодична діагностика припускає постійне дослідження зміни техніко-економічного стану підприємства. Неперіодична (разова) діагностика базується на разових спеціальних дослідженнях зміни техніко-економічного стану підприємства. Моніторинг - це система постійного спостереження за процесами і тенденціями, які протікають в зовнішньому і внутрішньому середовищі підприємства із метою своєчасної оцінки виникаючих ситуацій. Е.М. Коротков вважає: "Моніторинг - систематичне відстеження процесів або тенденцій, постійне спостереження з метою своєчасної оцінки виникаючих ситуацій". Б.М. Литвак дотримується точки зору, що "моніторинг - спеціально організоване систематичне спостереження за станом яких - небудь об'єктів". М.М. Ланда: "Моніторинг - постійне спостереження за яким-небудь процесом з метою виявлення його відповідності бажаному результату або початковим припущенням; спостереження, оцінка і прогноз стану навколишнього середовища в зв'язку з господарською діяльністю людини".

Комплексна діагностика спрямована на розгляд всіх сторін діяльності підприємства, зокрема, при її проведенні аналізується стан виробництва, реалізації продукції, наявність, стан, динаміка руху і використання основних засобів, матеріальних ресурсів, працюючих у виробництві собівартості продукції, майновий стан підприємства, його фінансову стабільність, платоспроможність, рівень його ділової активності. Тематична - це діагностика, яка проводиться лише стосовно певної визначеної "теми", тобто вона може бути спрямована на діагностування певного структурного елемента, окремої ділянки, операції чи процесу [17]. Системна діагностика виходить з того, що будь-який техніко-економічний процес являє собою визначену систему, для якої характерні внутрішні закономірності, відмінні риси і властивості. Системний аналіз має двох різновидів - генетичний (вивчення системи в розвитку) і функціональний (вивчення реального функціонування системи).

Внутрішня діагностика виконується усередині підприємства силами своїх фахівців. Його суб'єктом є внутрішньозаводські структури. Зовнішня - виконується з залученням експертів, аудиторів, окремих висококласних фахівців із профілю роботи підприємства. її суб'єктами також можуть бути державні органи, наукові установи, органи суспільного контролю.

Динамічна діагностика базується на вивченні конкретних показників у динаміці. Вона заснована на розрахунку таких показників, як абсолютний приріст, темп росту, темп приросту, абсолютне значення одного відсотка приросту, на побудові рядів динаміки. Статична виходить з незмінності, статичності характеристик техніко-економічного стану підприємства.

Внутрішня діагностика служить для виявлення стану даного підприємства. Порівняльна потрібна для порівняння стану даного підприємства з іншими однотипними підприємствами.

Відтак знання сутності, видової характеристики, цілей і завдань економічної діагностики підприємства дає змогу чітко орієнтуватися в умовах обмеженого доступу до інформації для прийняття ефективних управлінських рішень.

Висновки

Отже, можна зробити висновок що, для ефективного впливу на процеси фінансово-економічної діяльності підприємств необхідно в господарський алгоритм їхньої діяльності ввести сучасні механізми, які включають систему показників, що найбільш повно та адекватно відображають фінансове становище суб'єкта господарювання. Для розвитку вітчизняних підприємств у сучасних умовах дуже важливим є знання про кризу, її характер, можливі вияви в життєдіяльності окремого підприємства. Це вимагає знань про процеси антикризового управління. Поглиблення знань про технології підвищує ефективність управління, що сприяє стабільнішому розвитку вітчизняних підприємств.

Таким чином, для підприємств, незалежно від їхньої форми власності, формування системи антикризового управління має першочергове значення, адже вона визначає життєздатність, стійкість. Таким чином, в результаті діагностики слабких сигналів потенційних явищ формується обґрунтована кількісно-якісна інформаційна база для розроблення та прийняття управлінських рішень випереджувального спрямування на визначені можливості й загрози умов функціонування. Слід також зауважити, що на сучасному етапі у керівників вітчизняних підприємств немає чіткого усвідомлення актуальності та важливості здійснення діагностики слабких сигналів середовища функціонування їхніх підприємств, рівень кваліфікації та досвіду фахівців у цій сфері є недостатнім, що значною мірою перешкоджає ефективному впровадженню і здійсненню цього виду діагностики та якісному розвитку систем менеджменту на підприємствах

Однією із методологічних проблем в здійсненні діагностики є визначення кола показників. Проблема полягає в тому, що на ефективність діяльності організації впливає значна кількість факторів, врахування яких навіть із використанням ПЕОМ є трудомістким, а інколи і недоцільним процесом. Тому в кожний конкретний момент часу можна враховувати лише деякі найбільш важливі та суттєві. Треба відмітити, що набір факторів, які заслуговують уваги, постійно змінюється у міру впливу внутрішніх та зовнішніх обставин і виникнення нових, часто непередбачуваних ситуацій. Це зумовлює застосування ситуаційного підходу, який враховує конкретні особливості на фіксований момент часу та динаміку змін у певному інтервалі часу. Можна стверджувати, що конкретний перелік показників, ресурсів і сфер діяльності залежать від розуміння об'єкту діагностики його складових та умов функціонування підприємства у момент здійснення аналізу

діагностика менеджмент конкурентоспроможність

Список використаних джерел

1.      Анчишкин А.И. Наука-техника-экономика. [Текст] / А.И. Анчишкин - 2-ое изд. - М.: Экономика, 1989. - 384 с.

.        Асаул А.Н., Князь И.П., Коратева Ю.В. Теория и практика принятия решений по выходу организаций из кризиса / Под ред. засл. строит. РФ, д. э. н., проф. А.Н. Асаула. - СПб: АНО «ИПЭВ», 2007. - 224 с.

.        Борисов А.Б. Большой экономический словарь / А.Б. Борисов. - М.: Книжный мир, 2000. - 895 с.

.        Брюховецька Н.Ю. Економічній механізм забезпечення ефективного функціонування підприємств : автореф. дис. на здобуття наук. ступеня докт. екон. наук : спец. 08.06.01. «Економіка підприємства і організація виробництва» / Н.Ю. Брюховецька. - Донецьк, 2003. - 29 с.

.        Булгакова Л.Н. Операционный леверидж. Золотое правило экономики. Теория и практика / Л.Н. Булгакова // Финансовый менеджмент. - 2001. - № 4 [Електронний ресурс]. - Режим доступа: http://www. finman.ru/articles.

.        Василенко В.А. Диагностика устойчивого развития предприятий: Монография. - К.: Центр учебной литературы, 2006. - 184 с.

.        Воронкова А.Е. Діагностика стану підприємства: теорія і практика: Монографія. - Х.: ІНЖЕК, 2006. - 448 с.

.        Гречан А.П., Радіонова Н.Й. Діагностика ефективності діяльності підприємств. [Електронний ресурс] - Режим доступу: http://www.nbuv.gov.ua/portal/soc_gum/vsunu/2011_10_1..

.        Жолонський Є. Фінансово-економічний аналіз бізнесу промислових компаній. - Х.: Фактор, 2007. - 320 с.

.        Загорна Т.О. Економічна діагностика: Навч. посібник. - К.: Центр учбової літератури, 2007. - 400 с. Инновационный менеджмент: справочное пособие / [ред. П.Н. Завлин, А. Казанцева, Л. Миндем]. - 2е изд., пер. - М.: ЦИСМ, 1998. - 568 с.

.        . Ковалев В.В. Анализ финансового состояния и прогнозирование банкротства / В.В. Ковалев. - СПб.: Изд-во С-Пб университета экономики и финансов, 1994. - 168с.

.        Костирко Л.А. Диагностика потенциала финансово-экономической устойчивости предприятия: монография [Текст] / Л.А. Костирко. - Луганск:Изд-во СНУ им. В. Даля, 2004. - 240 с.

.        Косянчук Т.Ф. Результативність діяльності підприємства та її діагностика. [Текст] / Т.Ф. Косянчук, Ю.Г. Галкіна. - Вісник Хмельницького національного університету, 2009. - № 3. - Т. 1. - С. 121-124.

.        . Костирко Л.А. Диагностика потенциала финансово-экономической устойчивости предприятия: монография [Текст] / Л.А. Костирко. - Луганск : Изд-во СНУ им. В. Даля, 2004. - 240 с.

.        Міценко Н.Г., Кулай С.М. Діагностика стану господарської діяльності підприємства. [Електронний ресурс] - Режим доступу: http://www.nbuv.gov.ua/portal/chem_biol/nvnltu/20_5/2..

.        Осипов Ю.М. Экономическая теория на пороге 21 века / Ю.М. Осипов. - М.: Наука, 1998. - 520 с.

.        Прохорова Ю.В. Анализ современных методов и моделей диагностики кризисных состояний предприятий машиностроения / Ю.В. Прохорова // Бизнес-Информ. -2008. - № 2. - С. 52-57.

.        Сайт Міністерства економічного розвитку і торгівлі України: [Електрон. ресурс]. - Режим доступу: http://me.kmu.gov.ua

.        Тридід О.М. Організаційно-економічний механізм стратегічного розвитку підприємства: Монографія. / О.М. Тридід. - Х.: Вид. ХДЕУ, 2002. - 364 с.

.        Турило А.М. Системний підхід до розробки теорії антикризового управління підприємством / А.М. Турило, С.В. Святенко // Науковий вісник Полтавського національного технічного університету ім. Ю. Кондратюка «Економіка і регіон» - Полтава, 2007. - №2 (13). - С. 55-68.

.        Фучеджи В.І. Характеристика методів та моделей діагностики кризового стану підприємства / В.І. Фучеджи // Менеджмент та підприємництво в Україні: етапи становлення і проблеми розвитку : [збірник наукових праць] / відп. ред. О.Є. Кузьмін.

Похожие работы на - Методичні та практичні аспекти проведення діагностики на підприємствах

 

Не нашли материал для своей работы?
Поможем написать уникальную работу
Без плагиата!
Без нейросетей!