Разработка годового бизнес-плана организации связи

  • Вид работы:
    Курсовая работа (т)
  • Предмет:
    Эктеория
  • Язык:
    Русский
    ,
    Формат файла:
    MS Word
    289,58 Кб
  • Опубликовано:
    2015-06-23
Вы можете узнать стоимость помощи в написании студенческой работы.
Помощь в написании работы, которую точно примут!

Разработка годового бизнес-плана организации связи

ФЕДЕРАЛЬНОЕ АГЕНТСТВО СВЯЗИ

ФЕДЕРАЛЬНОЕ ГОСУДАРСТВЕННОЕ ОБРАЗОВАТЕЛЬНОЕ БЮДЖЕТНОЕ

УЧРЕЖДЕНИЕ ВЫСШЕГО ПРОФЕССИОНАЛЬНОГО ОБРАЗОВАНИЯ

Московский технический университет связи и информатики

Кафедра экономики связи





Курсовой проект

по дисциплине «Экономика связи»

на тему: «Разработка годового бизнес-плана организации связи»











Москва, 2013

Введение

Целью курсовой работы является углубление теоретических знаний по дисциплине «Экономика связи» и приобретение навыков по расчёту, обоснованию и анализу основных экономических показателей бизнес-плана организации связи.

В рыночных условиях очень важно своевременно принимать соответствующие меры реагирования. Неоценимую помощь здесь оказывает планирование, позволяющее проанализировать весь комплекс будущих операций бизнеса. Именно на основе планирования появляется возможность минимизировать внутренние и часть внешних рисков компании, сохранить гибкость управления производством.

В общем случае под планированием понимается процесс разработки, реализации и контроля выполнения планов на конкретный временной интервал, основанный на использовании объективной информации и направленный на достижение поставленных целей. Разработка и реализация планов является важнейшей функцией управления любым хозяйствующим субъектом, которая позволяет определить оптимальные темпы развития производства с учетом потребностей рынка, соизмерить имеющиеся ресурсы с предстоящими расходами, оценить эффективность бизнеса и положение компании в соответствующем рыночном сегменте.

Наиболее распространенной формой планирования является бизнес-план, представляющий собой расчетно-аналитический документ, описывающий все основные аспекты производственно-коммерческой деятельности компании в области производства, маркетинга, финансирования и др. на среднесрочную (3-5 лет) перспективу.

В практике планирования используется большое число видов бизнес-планов (бизнес-план коммерческой идеи (инвестиционного проекта), бизнес план организации, бизнес-план как заявка на кредит).

Следует иметь в виду, что бизнес-план - это не регламентированный документ. Состав его разделов и показателей может варьироваться. В то же время зарубежная и отечественная практика выработала типовую структуру бизнес-плана, включающую следующие разделы: титульная страница; оглавление; резюме; описание продуктов (услуг); анализ состояния отраслевого рынка; оценка и выбор конкурентной стратегии; производственный план; план маркетинга; финансовый план; план исследований и разработок; приложения.

Все основные разделы бизнес-плана взаимосвязаны и взаимозависимы друг от друга.

Исходящий платный обмен. объем исходящих внутризоновых телефонных соединений в текущем году, тыс. мин. 209700, темп роста в плановом году, % 101,9.

Количество абонентов местной телефонной связи на начало года, единиц.

Количество абонентов на начало текущего года 338800.

Количество абонентов на начало планового года 349009.

Прирост абонентов по кварталам, единиц.

Таблица 1 - Средние доходные таксы

Квартал

Вариант


0

Текущий год


1

2500

2

3450

3

1500

4

2759

Плановый год


1

2780

2

3654

3

1670

4

2900


Средняя доходная такса 1 мин. внутризоновых телефонных соединений в текущем году, руб. 7,44.

Темп снижения в плановом году, % 1,5.

Распределение абонентов местной телефонной связи по категориям потребителей (действующие и вновь подключенные), %.

Текущий: 1)население 88% 2) организации 12%.

Плановый: 1) население 89% 2) организации 11%.

Таблица 2 - Тарифы за услуги местной телефонной связи

Средняя абонентская плата для организаций


(руб. в мес.) в текущем году

620

в плановом году

660

Средняя абонентская плата в разрезе тарифных


планов для населения, руб. в месяц в:


текущем году


повременный тариф

240

комбинированный тариф

325

безлимитный тариф

450



плановом году


повременный тариф

270

комбинированный тариф

350

безлимитный тариф

460

Тариф за предоставление доступа к местной


телефонной связи, тыс. руб.:


население

7,8

организации

14


Таблица 3 - Распределение абонентов категории "население" по тарифным планам в текущем и плановом годах, %

Тарифный план в


текущем году


повременный

48

комбинированный

32

безлимитный

20

плановом году


повременный

50

комбинированный

30

безлимитный

20


Таблица 4 - Среднегодовая численность работников

Среднегодовая численность работников, шт. ед. в текущем году

5360

Темп изменения в плановом году, %

96


Таблица 5 - Среднемесячная заработная плата работников

Среднемесячная заработная плата работников, руб. в текущем году

35000,0

Темп роста в плановом году, %

104,0


Таблица 6 - Наличие основных производственных фондов на начало текущего года, тыс. руб.

Наличие ОПФ на начало текущего года

2 347 000


Таблица 7 - Поступление и выбытие основных производственных фондов в текущем и плановом годах, тыс. руб.

Ввод ОПФ по кварталам:


текущего года


1

50 000

2

34 500

3

60 790

4

96 570

планового года


1

57 650

2

12 350

3

50 900

4

64 500

Выбытие ОПФ по кварталам:


текущего года


1

5 430

2

3 450

3

6 700

4

8 900

планового года


1

5 400

2

1 430

3

4 500

4

5 600


Таблица 8 - Прибыль от внереализационной и операционной деятельности, тыс. руб.

Прибыль от внереализационной и операционной деятельности в


текущем году

-330

плановом году

245


Таблица 9 - Экономические нормативы к разработке плана для всех вариантов

Показатель

Единица измерения

Величина показателя

Удельный вес доходов от услуг внутризоновой и местной телефонной связи в общей сумме доходов от услуг связи в: текущем году

%

76,3

плановом году

%

70,9

Удельный вес доходов по агентским договорам и от неосновной деятельности в выручке от продажи товаров, работ и услуг в: текущем году

%

5,8

плановом году

%

6,0

Страховые взносы (в % к ФОТ)

%

30,2

Средняя норма амортизации в: текущем году

%

7,5

плановом году

%

7,4

Материальные затраты в текущем году

руб. на 100 руб. доходов

5,65

Планируемый рост цен на материалы

отн. показатель

1,15

Индекс экономии материальных затрат в плановом году

отн. показатель

0,97

Прочие затраты в текущем году

руб. на 100 руб. доходов

23,80

Планируемый рост цен по прочим расходам

отн. показатель

1,05

Индекс экономии прочих затрат в плановом году

отн. показатель

0,96

Доля прибыли, имеющей льготы, в текущем и плановом годах

%

3

Ставка налога на прибыль

%

20


Таблица 10 - Задаваемые значения ключевых показателей эффективности для всех вариантов

Среднегодовой доход от одного абонента (ARPU), руб.

4 500

Рентабельность, %

20


1. Планирование объёма услуг в натуральном выражении, доходов от услуг связи и выручки от продажи работ, товаров и услуг оператора электросвязи

Количество внутризоновых телефонных соединений на плановый год определяется на основе их величины в текущем году (qзон.тек) и их планируемого роста (Iзон.пл):зон.пл=qзон.тек* Iзон.пл =209700*1,019 = 213684.3 тыс. мин.

Объем услуг по предоставлению доступа к сети местной телефонной связи (Nдост)определяется приростом абонентских устройств (линий), предоставленных в постоянное пользование в соответствующем году (текущем или плановом):

дост = ∑ΔN1,…,4 = ,

дост. тек = 2500 + 3450 + 1500 + 2759 = 10209 ед.дост. пл. = 2780 + 3654 + 1670 + 2900 = 11004 ед.

где ΔN1,…,4 - прирост абонентских устройств по кварталам соответствующего года.

Объем услуг по предоставлению в постоянное пользование абонентских линий для передачи местных телефонных соединений, измеряется в среднегодовом исчислении. Это обусловлено тем, что не все линии находятся в эксплуатации с начала рассматриваемого периода. Те технические устройства, которые предоставлены абонентам в текущем году, будут обслуживаться весь плановый год, а те, которые вводятся в действие в плановом году, будут функционировать начиная с момента их в ввода в эксплуатацию (по кварталам).

Объём услуг по предоставлению в постоянное пользование абонентских линий в текущем и плановом годах равен:

,

где N1.1- обслуживаемые абонентские линии на начало года; - среднегодовой прирост (ввод) абонентских линий в соответствующем (текущем или плановом) году.

Величина среднегодового прироста рассчитывается исходя из сроков предоставления абонентам доступа к сети по кварталам и общего прироста абонентских линий в соответствующем квартале по формуле:

,

где 3,5; 2,5; 1,5 и 0,5 - коэффициенты, характеризующие среднее время нахождения технических устройств в эксплуатации в кварталах, а -число абонентских линий, подключенных к сети в соответствующем квартале.

=  ед.

= 338800 + = 344051.125 ед.

= ед.

= 349009 +354714 ед.

Доходы от внутризоновых телефонных соединений за текущий и плановый год:

,

 = 209700*7.44 = 1 560 168 тыс.руб.

=213684.3* = 1 566 305.9тыс.руб

где qзон - объём внутризоновых телефонных соединений, тыс. мин.; - средняя доходная такса 1 минуты внутризоновых телефонных соединений, руб.

Доходы от услуг предоставления доступа к сети местной телефонной связи планируются по категориям абонентов «население» и «организации» в соответствии с их структурой, определенной исходными данными, и рассчитываются как произведение прироста абонентских устройств, установленных у абонентов i-ой категории и соответствующего тарифа за предоставление доступа к сети (), то есть:

.

=10209*0.88 = 8983.92 ед.

1225.08 ед.

8983.92 *7.8 + 1225.08*14=87225.7тыс.руб

= 11004*0.89 = 9793.56 ед.

1210.44 ед.

9793.56 *7.8 + 1210.44 *14 = 93335.9 тыс.руб

Доходы от предоставления абонентам в постоянное пользование абонентской линии определяются с учётом среднегодового количества абонентских устройств, находящихся в пользовании у каждой категории, и среднемесячной абонентской платы для населения и организаций:

Д усл.аб = (нас*аб.нас +орг*аб.орг)*12,

где  - среднегодовое количество абонентов категорий «население» и «организации»; - среднемесячная абонентская плата для населения; - среднемесячная абонентская плата для организаций.

Поскольку операторы электросвязи устанавливают для населения минимум 3 тарифных плана, то средняя абонентская плата по данной категории рассчитывается как средневзвешенная величина средней абонентской платы, соответствующей каждому j-ому тарифному плану , и удельного веса абонентов, использующих j-й тарифный план (dабj):

.

= 240*0.48+325*0.32+450*0.20=309.2 руб

нас.тек = 344051.125*0.88 =302764.99 ед.

орг.тек = 344051.125*0.12 = 41286.14 ед.

Д усл.аб.тек = (302764.99 *309.2 + 41286.14 *620)*12= 1430548101руб. = 1430548 тыс. руб.

= 270*0.50+350*0.30+460*0.20= 332 руб.

нас.пл. = 354714*0.89 =315695.46 ед.

орг.пл. = 354714*0.11 = 39018.54 ед.

Д усл.аб.пл = (315695.46 *332 + 39018.54*660)*12= 1566757549руб. =1566758 тыс. руб.

Доходы от услуг связи определяются суммированием всех полученных значений доходов по каждому виду услуг, оказываемых оператором потребителям.

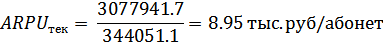
Дусл. связи тек.= 1560168 + 87225.7 + 1430548 = 3077941.7 тыс. руб.

Дусл. связи пл.= 1566305.9 + 93335.9 + 1566758 = 3226399.8 тыс. руб.

Общая сумма доходов рассчитывается с учётом удельного веса запланированных доходов от внутризоновых телефонных соединений и доходов от услуг местной телефонной связи в общей величине доходов от услуг связи (dусл):

Дусл= (Дусл.зон+ Дусл.дост + Дусл.аб) / dусл.

Дусл.тек==4033999.6тыс.руб

Дусл.пл=тыс. руб

Выручка от продажи товаров, работ и услуг включает, помимо доходов от услуг связи, доходы, получаемые по агентским договорам по межоператорскому взаимодействию (Дагент) и доходы от неосновной деятельности (Днеосн), то есть:

Впрод= Дусл+ Дагент+ Днеосн

В курсовой работе удельный вес доходов по агентским договорам и от неосновной деятельности определяются на основе заданных процентов(от общей выручки в соответствии с исходными данными.)

Впрод.тек=4033999.6+0.058*Впрод.тек

0.942*Впрод.тек= 4033999.6

Впрод.тек=  = 4282377.5 тыс. руб

Впрод.пл=+0.06*Впрод.тек

Впрод.тек=  = 4841100тыс. руб

Таблица 11 - Выручка от продажи товаров, работ, услуг, тыс. руб.

Показатели

Текущий год

Плановый год

Доходы от внутризоновых телефонных соединений

1560168

1566305.9

Доходы от предоставления доступа к сети

87225.7

93335.9

Доходы от предоставления в пользование абонентской линии

1430548

1461654

Доходы от услуг связи, всего

3077941.7

3226399.8

Общая сумма доходов

4033999.6

Выручка от продажи товаров, работ и услуг

4282377.5

4841100


2. Планирование расходов по обычным видам деятельности

В расходы по обычным видам деятельности, связанные с производством и реализацией услуг, включаются следующие статьи:

расходы на оплату труда;

страховые взносы;

амортизация основных средств;

материальные расходы;

прочие расходы.

В расходы на оплату труда включаются все выплаты работникам в натуральной и денежной форме, получаемые ими в процессе трудовой деятельности. В курсовой работе производится расчёт общей величины расходов по данной статье исходя из среднемесячной заработной платы одного работника () и среднегодовой численности персонала () по формуле:

Зпл = **12.

При планировании расходов на оплату труда учитывается рост среднегодовой заработной платы одного работника в плановом периоде.

Страховые взносы (Свзн) непосредственно зависят от расходов на оплату труда и рассчитываются по единой для всех организаций норме страховых взносов. Расчёты средств на оплату труда сводятся в таблицу 2.

Расчеты:

Зпл. тек = 35000*5360*12 =2251200 тыс. руб.

Зпл. пл= 36400*5145.6*12 = 2 247 598 тыс.руб

Свзн. тек. = 2251200*0.302 = 679862.4 тыс.руб

Свзн. тек. = 2 247 598 *0.302 = 678774.6 тыс.руб

Таблица 12 - Расчет расходов на оплату труда и страховых взносов

Показатели

Текущий год

Планируемый год

Изменение, %

Среднемесячная заработная плата, руб.

35000

36400

104

Среднегодовая численность работников, штатных единиц

5360

5145.6

96

Расходы на оплату труда, тыс.руб.

2251200

2 247 598

99,84

Страховые взносы, тыс. руб.

679862.4

678 774.6

99,84


Амортизационные отчисления в курсовой работе рассчитываются как произведение среднегодовой стоимости основных производственных фондов (ОПФ) на среднюю норму амортизации:

А = * а / 100.

Показатель среднегодовой стоимости ОПФ определяется по формуле:

,

где Фн.гиФк.г- стоимость производственных фондов на начало и конец года; Ф1.4, Ф1.7, Ф1.10- стоимость ОПФ на первое число месяца, следующего за каждым кварталом (соответственно, на начало апреля, июля и октября). Их величина устанавливается с учётом ввода и выбытия фондов в конкретном временном интервале.

Для определения среднегодовой стоимости ОПФ предварительно необходимо во вспомогательной таблице 3 на основании данных о вводе и выбытии фондов определить наличие основных фондов на начало каждого квартала. Наличие ОПФ на начало каждого квартала текущего года определяется суммированием стоимости фондов на начало текущего года(а затем последовательно каждого предыдущего квартала) и стоимости фондов, поступающих за данный квартал, и вычитания из полученной суммы стоимости выбывающих за каждый квартал фондов. При этом стоимость вводимых в действие и выбывающих основных фондов в данном квартале учитывается в составе (наличии) фондов на начало следующего за ним квартала.

Стоимость ОПФ на конец текущего года соответствует стоимости основных производственных фондов на начало планового года, т.е.:

Фн.г. пл = Фн.г.тек + Фвв (1,…,4) - Фвыб (1,…,4)

Расчеты:

 = Фн.г. пл = +50 000 +34 500 + 60 790 + 96 570 - 5 430 - 3 450 - 6 700 - 8 900 = 2564380тыс. руб.

 тыс.руб

= + 57 650 +12 350 + 50 900 + 64 500 - 5 400 - 1 430 - 4 500 - 5 600 = 2732850 тыс. руб.

 тыс.руб

Амортизационные отчисления:

Атек =

Апл = * 0.074= 195484.8тыс. руб.

Материальные затраты, включающие затраты на материалы, топливо, запчасти, электроэнергию со стороны для производственных нужд, определяются укрупнённым методом на 100 руб. доходов от услуг связи, принимаемых в качестве укрупнённого измерителя, без деления их на отдельные составляющие. Общая сумма материальных затрат в текущем году определяется как произведение затрат на единицу укрупненного измерителя (мтек) и величины укрупнённого измерителя (Дусл.тек/100):

Мтек = мтек * Дусл.тек/100.

В плановом году данная статья расходов определяется аналогично. При этом величина затрат на единицу укрупненного измерителя в плановом году устанавливается с учетом их ожидаемой величины в текущем году (мтек) и намеченного их изменения в результате планируемого роста цен на материалы (Iц.мат), а также мероприятий по экономии материальных затрат(Iэкон.мат), которые задаются исходными данными к курсовой работе:

Мпл = мтек * Iц.мат * Iэкон.мат .

Комплексная статья «Прочие затраты» включает многие виды расходов, но в курсовой работе она, как и материальные затраты, рассчитывается без деления на отдельные составляющие. Прочие расходы определяются по укрупнённому измерителю 100 рублей доходов аналогично рассмотренной выше методике.

Расчеты:

 на 100 руб. доходов

Расчет прочих затрат

 на 100 руб. дохода

На основе суммирования всех статей затрат определяются общие расходы по обычным видам деятельности:

Зоб = Зпл + Свзн + А + М + Зпроч.

Затем рассчитывается себестоимость 100 руб. выручки от продаж (Впрод) по формуле:

С = (Зоб /Впрод)100.

Результаты расчётов расходов по обычным видам деятельности и себестоимости 100 руб. выручки сводятся в таблицу 13.

Расчет общих затрат

2251200 + 679862.4

 2 247 598 + 678 774.6 + 195484.8+  + 4099134.6 тыс. руб

Расчет себестоимости


Таблица 13 - Расчёт затрат по обычным видам деятельности и себестоимости

Показатели

Ед. измерения

Текущий год

Плановый год

Расходы на оплату труда

тыс. руб.

2 251 200

2 247 598

Страховые взносы

тыс. руб.

679862.4

678774.6

Амортизационные отчисления

тыс. руб.

195484.8

Материальные расходы

тыс. руб.

Прочие расходы

тыс. руб.

Итого расходов

тыс. руб.

4099134.6

Выручка от продаж

тыс. руб.

4841100

Себестоимость

руб. на 100 руб. выручки


3. План прибыли и рентабельности

Прибыль является важнейшим показателем результатов производственной деятельности предприятия. В курсовой работе рассчитывается несколько показателей прибыли. Главная из них - прибыль от продаж (Ппрод), определяется как разность между выручкой от продажи товаров, работ, услуг и расходами по обычным видам деятельности:

Ппрод= Впрод- Зоб.

Поскольку кроме основного вида деятельности по оказанию услуг связи операторы осуществляют другие виды работ коммерческого характера, их общая налогооблагаемая прибыль (Пнал), включает также прибыль (убыток) от прочей деятельности. Кроме того налогооблагаемая прибыль исключает прибыль, не облагаемую налогами (Пнеобл.):


После определения налогооблагаемой прибыли рассчитывается величина чистой прибыли:


Где Ннал-действующая ставка налога на прибыль.

Чистая прибыль предприятия может остаться нераспределенной или может быть распределена в соответствии с нормативными документами и целью предпринимательской деятельности следующим образом:

в резервный фонд;

на дивиденды акционерам;

на инвестирование проектов.

Студентам предлагается самостоятельно осуществить распределение прибыли в зависимости от конечных результатов деятельности организации связи.

Обобщающим показателем экономической эффективности производства является рентабельность. Для оценки экономической эффективности результатов деятельности организаций связи используются несколько показателей рентабельности. В курсовой работе рассчитывается два показателя:

рентабельность продаж:

Рпрод= (Ппрод/ Впрод)*100;

рентабельность затрат по чистой прибыли:

Рчист = (Пчист/ Зоб)*100 .

Результаты расчётов показателей прибыли, её распределения и показатели рентабельности приводятся в таблицу

Расчет прибыли от продаж

48411004099134.6

Расчет необлагаемой прибыли

Расчет налогооблагаемой прибыли

Расчет чистой прибыли

Расчет рентабельности продаж

Расчет рентабельности затрат по чистой прибыли


Таблица 14 - Расчёт показателей прибыли и рентабельности

Показатели

Ед. изм.

Текущий год

Плановый год

Выручка от продаж

тыс. руб.

4282377.5

4841100

Расходы по обычным видам деятельности

тыс. руб.

4099134.6

Прибыль от продаж

тыс. руб.

Прочая прибыль

тыс. руб.

-520

+360

Прибыль, необлагаемая налогом

тыс. руб.

Прибыль, подлежащая налогообложению

тыс. руб.

Прибыль чистая

тыс. руб.

Рентабельность продаж

%

6.12%

15.33%

Рентабельность затрат по чистой прибыли

%

5.24%

14.60%


4. Экономическая эффективность бизнес-плана

В курсовой работе оценка экономической эффективности разработанного бизнес-плана по сравнению с ожидаемым выполнением за текущий год проводится по системе показателей, представленных в таблице 7. Сравнение осуществляется как по абсолютным значениям показателей, так и по их динамике за сравниваемые годы. При этом следует иметь в виду, что изменение показателей рентабельности в плановом году по сравнению с текущим годом характеризуется их разностью и выражается в процентных пунктах (п.п.).

Для оценки эффективности использования трудовых ресурсов применяется показатель (индекс) роста производительности труда, который определяется отношением уровней производительности труда планового и текущего годов, выраженным в процентах:


Важными характеристиками эффективности повышения производительности труда являются прирост доходов от услуг связи (в абсолютном и относительном выражении), полученные за счёт роста производительности труда, и условная экономия штата в результате роста производительности труда. Первый показатель в абсолютном выражении может быть рассчитан по формуле:

.

Обобщающий показатель эффективности использования основных производственных фондов строится на основе соизмерения выраженного в денежной форме конечного полезного эффекта деятельности и всей совокупности участвующих в создании этого эффекта средств труда. Этот показатель называется коэффициентом использования ОПФ или фондоотдачей (Ки) и определяется по формуле:

Ки = Впрод / .

услуга абонент доход прибыль

Основные фонды являются только частью производственного потенциала оператора, который реализуется лишь в процессе взаимодействия с трудовыми ресурсами. Поэтому показатель фондоотдачи рассматривается во взаимосвязи с показателем фондовооружённости труда (Вф), которая характеризует тот объём производственных фондов в стоимостном выражении, который приходится на одного работника. Этот показатель рассчитывается путём деления среднегодовой стоимости ОПФ на среднегодовую численность персонала:

Вф= .

В курсовой работе рассчитывается показатель «Средний доход от одного абонента (ARPU)», для его определения используются показатели доходов от внутризоновых телефонных соединений (Дусл.зон), сумма доходов от услуг местной телефонной связи (Дмест) и среднегодовое количество абонентов ():

.

Расчеты:

Расчет производительности труда:

Птр. тек. =

Птр. пл. =

Расчет прироста доходов от услуг связи, за счет увеличения пр. труда:

 тыс.руб.

Расчет фондоотдачи и фондовооруженности:


Таблица 15 - Сравнение основных показателей деятельности оператора за текущий и плановый годы

Наименование показателей

Единицы измерения

Текущий год

Плановый год




в абсолютном выражении

изменение в % (п.п.) к текущему году

Выручка от реализации

тыс. руб.

4282377.5

4841100

113.0

Затраты на производство

тыс. руб.

4020264.8

4099134.6

102.0

Себестоимость

руб. на 100 руб. выручки

93.84

89.5

Среднемесячная зарплата одного работника

руб.

35000

36400

104.0

Производительность труда

тыс. руб./ чел.

117.7

Прибыль от продаж

тыс. руб.

283.1

Прибыль, подлежащая налогообложению.

тыс. руб.

283.8

Прибыль чистая

тыс. руб.

283.8

Рентабельность продаж

%

6.12

15.33

9.21

Рентабельность затрат по чистой прибыли

%

5.24

14.60

9.34

Фондоотдача

отн. пок.

1.76

1.83

104.0

Фондовооружённость

тыс. руб./чел.

112.9

ARPU

тыс.руб./аб.

8.95

9.10

101.7


Далее необходимо проанализировать основные соотношения между планируемыми показателями:

темп роста производительности труда должен опережать темп роста средней заработной платы:

;

.7>102.0

темп роста производительности труда должен быть больше или равен темпу роста выручки от продаж:

;

.7>113.0

отношение планируемых индексов выручки и среднегодовой численности работников основной деятельности должно быть равно планируемому индексу производительности труда:

=/;

произведение планируемых индексов фондовооруженности и фондоотдачи должно быть равно индексу производительности труда на плановый год:

.

=(1.04*1.129)*100117.4%

Необходимо также провести сравнение ключевых показателей эффективности (КПЭ):сравнить расчётные и заданные значения среднего дохода от одного абонента и рентабельности продаж, выявить полученные отклонения и на их основе сделать вывод о том, как соотносятся задаваемые и плановые КПЭ.

Таблица 16 - Сравнение расчётных и задаваемых ключевых показателей эффективности

Наименование показателей

Расчётное (плановое) значение

Заданное значение

Отклонение, %, п.п.





Рентабельность продаж, %

15,33

20,00

-4,67

ARPU, руб. на абонента

9100

4500

49


Выводы

В рассчитанной курсовой работе получены такие показатели бизнес-плана как производительность труда, затраты на производство, доходы от услуг связи, рентабельность, фондовооруженность, фондоотдача и д.р.

Данное предприятие ведет экономически эффективную деятельность, о чем свидетельствуют следующие показатели:

Показатель темпа роста производительности труда в плановом году опережает темп роста средней заработной платы и составляет 117,7%

В плановом году прибыль от продаж составит
тыс. руб., что на 283,1% больше, чем прибыль в текущем году.

Размер чистой прибыли предприятия в плановом году превысит размер чистой прибыли в текущем в 2,8 раза и составит  млн. руб.

Однако, один из ключевых показателей эффективности, а именно рентабельность продаж находиться на уровне ниже задаваемого на 5 п.п. и составляет 15,33%, что свидетельствует о необходимость пересмотра бюджета данной организации в затратной части.

Возможной мерой для сокращения расходов по обычным видам деятельности является:

Сокращение комплексной статьи «Прочие затраты», т.к. её удельный вес в плановом году составит 18,9% от всех затрат.

Второй возможностью повышения рентабельности продаж является интенсификация производства.

Показатель ARPU в плановом году не опуститься ниже контрольного значения, а даже превысит его на 49%.

Список используемой литературы

1. Голубицкая Е.А. Экономика связи: Учебник для вузов - М.: ИРИАС, 2006. - 488 с.

. Статистика связи: Учебник для вузов / Т.А. Кузовкова, А.М. Пронин, Т.Ю. Салютина и др. под ред. Т.А. Кузовковой. - М.: Радио и связь, 2003. - 624 с.

. Голубицкая Е.А. Методические указания по дисциплине «Экономика связи» для студентов-заочников (специальность 080502)/ МТУСИ, М., 2008. - 32 с.

Похожие работы на - Разработка годового бизнес-плана организации связи

 

Не нашли материал для своей работы?
Поможем написать уникальную работу
Без плагиата!
Без нейросетей!