Физический и моральный износ основных фондов

  • Вид работы:
    Курсовая работа (т)
  • Предмет:
    Эктеория
  • Язык:
    Русский
    ,
    Формат файла:
    MS Word
    161,05 Кб
  • Опубликовано:
    2014-09-04
Вы можете узнать стоимость помощи в написании студенческой работы.
Помощь в написании работы, которую точно примут!

Физический и моральный износ основных фондов

МИНИСТЕРСТВО ОБРАЗОВАНИЯ И НАУКИ РФ

Государственное образовательное учреждение

высшего профессионального образования

«НАЦИОНАЛЬНЫЙ ИССЛЕДОВАТЕЛЬСКИЙ

ТОМСКИЙ ПОЛИТЕХНИЧЕСКИЙ УНИВЕРСИТЕТ»

Институт природных ресурсов

Специальность Землеустройство и кадастры

Кафедра Экономики природных ресурсов




Физический и моральный износ основных фондов

Курсовая работа



Студент, группа 2У10 А.И.Глумова

Руководитель В.В.Коновалов






Томск - 2014

Содержание

Введение

. Физический и моральный износ, сущность, стоимостное выражение

.1 Формы морального износа

.2 Факторы, влияющие на физический и моральный износ

.3 Ущерб от физического и морального износа

.4 Коэффициенты, характеризующие степень износа

. Обоснование экономической эффективности проведения ГРП

.1 Анализ влияния на технико-экономические показатели

.2 Расчет показателей экономической эффективности мероприятия

.3 Анализ чувствительности проекта к возможным изменениям

Заключение

Список литературы

Приложение

Введение

При написании данной курсовой работы главной задачей было подробное ознакомление с темой «Физический и моральный износ основных фондов» и детальное рассмотрение различных ее аспектов.

Данная тема представляет собой значительный интерес, так как она непосредственно связана с экономической деятельностью предприятий.

Предметом исследований являются основные фонды предприятия как средства, подвергающиеся физическому и моральному износу при осуществлении предприятием своих прямых обязанностей. Любое предприятие, которое начинает свою деятельность, располагает определенной денежной суммой, наиболее значимой частью, которой являются основные фонды.

Объект - физический и моральный износ. Эти формы износа основных фондов предприятий являются наиболее важными, так как они имеют место на каждом предприятии.

Проблема хозяйствования предприятий заключается в эффективном использовании их фондов. На результатах работы отражается использование основных средств, а именно их улучшение. В какой-то момент времени основные средства предприятия претерпевают физический и моральный износ. Эти факторы предприятие в силах предотвратить.

Таким образом, актуальность темы моей работы заключается в том, что состояние основных средств и рациональное их использование - главное условие эффективной деятельности предприятия.

Целью работы является рассмотрение физического и морального износа основных фондов предприятия.

Задачи:

ознакомиться с основными понятиями физического и морального износа;

изучить сущность, стоимостное выражение и их форму;

определить ущерб;

рассмотреть коэффициенты, характеризующие степень износа;

проанализировать влияние на технико - экономические показатели проведение ГРП;

рассчитать показатели экономической эффективности мероприятия;

определить чувствительность проекта к возможным изменениям.

Курсовая работа состоит из двух глав. Первая глава является теоретической. В ней рассмотрены понятия физического и морального износа основных фондов предприятия, их сущность и стоимостное выражение. Формы, факторы, ущерб и коэффициенты износов.

Вторая глава данной работы представляет собой практическую часть. Здесь осуществляется анализ влияния на технико - экономические показатели проведение ГРП, рассчитываются показатели экономической эффективности мероприятия и определяется чувствительность проекта к возможным изменениям.

1. Физический и моральный износ основных фондов

Основные средства, использующиеся в процессе производства, со временем утрачивают свои первоначальные качества по мере их эксплуатации и естественного снашивания, а также подлежат замене (возмещению) вследствие их физического или морального износа. Потеря средствами труда своих первоначальных характеристик является физическим износом. При этом происходит утрата основными фондами <#"825685.files/image001.gif">,(1.1)

Где К1- коэффициент морального износа первого рода, Ф - стоимость основных фондов.

Также данный ущерб можно рассчитать по следующим формулам:

,(1.2)

(1.3)

 (1.4)

 (1.5)

Т-срок службы, На - норма амортизационных отчислений, А - амортизационные отчисления.[4]

Определение величины ущерба от морального старения может быть рассчитано по следующей формуле:

,(1.6)

С - себестоимость единицы продукции, V - годовой выпуск продукции, Т - период времени с момента создания нового оборудования до замены им старого.[2]

.4 Коэффициенты, характеризующие степень износа

Для характеристики степени физического износа основных фондов используется ряд показателей.

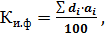
Коэффициент физического износа основных фондов (Ки.ф.):

 (1.7)

где И - сумма износа основных фондов (начисленная амортизация) за весь период их эксплуатации;

Пс- первоначальная (балансовая) или восстановительная стоимость основных фондов.[4]

Коэффициент физического износа основных фондов может быть определен по отдельным инвентарным объектам и на основе данных о фактическом сроке их службы.

Для объектов, фактический срок службы которых ниже нормативного, расчет ведется по формуле

 (1.8)

где Тф и Тн - фактический и нормативный сроки службы данного инвентарного объекта.

Для объектов, у которых фактический срок службы равен нормативному или превысил его, коэффициент физического износа рассчитывается по следующей формуле:

 (1.9)

где Т в - возможный остаточный срок службы данного инвентарного объекта сверх фактически достигнутого в данный момент срока службы. Чаще всего он определяется экспертным путем.[4]

Коэффициент физического износа зданий и сооружений может быть рассчитан по формуле

 (1.10)

где - удельный вес i-го конструктивного элемента в стоимости здания, %;

 - процент износа i-го конструктивного элемента здания.[4]

Коэффициент годности основных фондов укрупненно характеризует их физическое состояние на определенную дату и исчисляется по формуле

 (1.11)

Коэффициент годности основных фондов может быть определен и на основе коэффициента физического износа:

 (1.12)

Все эти формулы предполагают равномерное физическое изнашивание основных фондов, что далеко не всегда совпадает с реальной действительностью, и в этом заключается их основной недостаток.[3]

Моральный или экономический износ основных производственных фондов выражается в уменьшении их стоимости до окончания их срока службы. Различают два рода морального износа основных производственных фондов, и прежде всего их активной части.

Моральный износ первого рода состоит в уменьшении стоимости действующих фондов вследствие сокращения затрат на воспроизводство аналогичных. Таким образом, моральный износ первого рода представляет собой разницу между балансовой  и восстановительной  стоимостью основных фондов:

. (1.13)

Сущность морального износа второго рода состоит в уменьшении стоимости основных фондов (машин, оборудования) в результате появления более современных, производительных и экономичных их видов. Использование морально устаревшей техники становится неэффективным, следовательно, она должна быть до наступления срока ее физического износа заменена новой или подвергнута модернизации.

Величина морального износа второго рода рассчитывается по уравнению:

 (1.14)

где , - соответственно первоначальная и восстановительная стоимости основных фондов.

 (1.15)

где  - производительность (или производственная мощность) современной и устаревшей машин.

Следует отметить, что в условиях конкурентной борьбы ускорились темпы морального старения машин и оборудования. Отсюда необходимость их постоянной замены.

Возмещение износа основных фондов осуществляется на основе амортизации. Амортизация - это процесс постепенного перенесения стоимости основных фондов на производимую продукцию посредством амортизационных отчислений в целях накопления средств для полного восстановления фондов.[5]

Предприятие может одновременно применять несколько способов начисления амортизации применительно к различным группам объектов основных средств, например, по рабочим машинам - линейный способ, по вычислительной технике - способ уменьшаемого остатка и т.п. При этом принятый способ начисления амортизации нельзя менять в течение всего срока полезного использования объекта основных средств (машины, компьютеры и др.). Выбранные способы амортизации входят в учетную политику предприятия.[1]

. Обоснование экономической эффективности проведения ГРП

.1 Анализ влияния мероприятия на технико-экономические показатели

В процессе разработки нефтяных и газовых месторождений широко применяются методы повышения проницаемости пласта и призабойной зоны.

По мере разработки залежи приток нефти и газа в скважину постепенно уменьшается. Причина этого заключается в «засорении» призабойной зоны - заполнении пор твердыми и разбухшими частицами породы, тяжелыми смолистыми остатками нефти, солями, выпадающими из пластовой воды, отложениями парафина, гидратами (в газовых пластах) и т.д.

Для увеличения проницаемости пласта и призабойной зоны применяют механические, химические и физические методы.

Гидравлический разрыв пласта (ГРП) относятся к механическим методам.

Гидроразрыв пласта производится путем закачки в него под давлением до 60 МПа нефти, пресной или минерализованной воды, нефтепродуктов (мазута, керосина, дизельного топлива) и других жидкостей. В результате этого в породах образуются новые или расширяются уже существующие трещины. Чтобы предотвратить их последующее закрытие, в жидкость добавляют песок, стеклянные и пластмассовые шарики, скорлупу грецкого ореха.

Применение гидроразрыва дает наибольший эффект при низкой проницаемости пласта и призабойной зоны, и позволяет увеличить дебит нефтяных скважин в 2...3 раза.

Проведение ГРП приведёт к увеличению добычи нефти, которое можно определить по формуле:

DQ(q) = Dq ∙ T ∙ Кэ ∙ N,(2.1)

где Dq - прирост среднесуточного дебита, т/сут.;

Т - время работы скважины в течение года, сут.;- количество скважин с ГРП, ед.

Кэ - коэффициент эксплуатации скважин, ед.

DQ(q) = 9,4*365*0,93*24 =76579,92 (т/сут.)

Увеличение добычи нефти приведёт к росту производительности труда, которая определяется по следующей формуле:

  (2.2)

где DПТ - повышение производительности труда, руб./чел;

DQ - прирост добычи, т;

Цн - цена одной тонны нефти, руб.;

ЧППП - среднесписочная численность ППП, чел;

DПТ = ( 76579,92*2207 )/4033 = 41907,23 (руб./чел.)

Увеличение добычи нефти также приведёт к увеличению фондоотдачи:

 (2.3)

где DФотд - прирост фондоотдачи;

Фопф - среднегодовая стоимость основных производственных фондов, руб.

DФотд = ( 76579,92*2207 )/5429,30*10^6 =0,03 (руб./руб.)

Снижение себестоимости добычи нефти происходит за счёт изменения условно-постоянных затрат на единицу продукции и определиться по формуле:

  (2.4)

где DС - снижение себестоимости добычи нефти;

Зпос - условно постоянные затраты на добычу нефти, тыс. руб.;

Зпост=1979,1*8228400*0,48=7816716691 руб.- добыча нефти до мероприятия, тыс. т.

DС = 7816716691*(( 1/8228400 )-( 1/( 8228400+76579,92 ))) =8,76 (руб./т)

Увеличение объёма добычи нефти ведёт к увеличению абсолютной величины прибыли от реализации:

DПрп = DQр ∙ (Цн - (С - DС)), (2.5)

где DПрп - дополнительная прибыль от реализации нефти, руб.;

DQр - дополнительно реализованная нефть, т;

С - себестоимость добычи нефти до проведения мероприятия, руб./т;

DС - снижение себестоимости нефти, руб./т.

DПрп = 76579,92*( 2207-( 1979,10-8,76 )) = 18123,38 (тыс.руб./т)

Так как увеличивается прибыль от реализации продукции, то соответственно увеличивается и чистая прибыль предприятия:

 DПч = DПрп - Нпр, (2.6)

где Нпр - величина налога на прибыль, руб.

DПч = 17519,64 - 17519,64*0,24 = 13773,78 (тыс.руб./год)

Таким образом, дополнительная чистая прибыль предприятия за счёт снижения постоянных затрат без учёта затрат на мероприятие на 1 тонну нефти составила 13773,78 (тыс.руб./год)

.2 Расчет показателей экономической эффективности мероприятия

Данное мероприятие связано с дополнительной добычей нефти (DQ1).

Объём дополнительно добытой нефти - 76579,92 (т/сут.)

Капитальные затраты на проведение ГРП отсутствуют.

Поскольку прирост добычи нефти в следующие после проведения ГРП годы падает, то дополнительная добыча нефти составит:

DQ2 = 76579,92*0,12 =24505,57 (т/сут.)

DQ3 = 24505,57 *0,12=7841,78 (т/сут.)

Прирост выручки от реализации за t-й год определяется по формуле:

DВt = DQt ∙ Цн,(2.7)

где DQ - объём дополнительной добычи нефти в t-м году, тонн;

Цн - цена 1 тонны нефти, руб.

DВ1 = 76579,92*2207/1000 = 169011,88 (тыс.руб.)

DВ2 = 24505,57 *2207/1000 = 54083,80 (тыс.руб.)

DВ3 = 7841,78 *2207/1000 = 17306,82 (тыс.руб.)

Текущие затраты (на дополнительную добычу за t-й год) определяются как сумма затрат на мероприятие и условно-переменных затрат по формуле:

ΔЗt = ΔЗдоп t + Змер,(2.8)

где ΔЗдоп - условно-переменные затраты на дополнительную добычу нефти в t-м году, руб.;

Змер - затраты на проведение мероприятия, руб.

DЗдоп t = DQt ∙ С ∙ Ду/пер / 100,(2.9)

где С - себестоимость добычи нефти, руб./тонну;

Ду/пер - удельный вес условно-переменных затрат, %.

DЗдоп 1 = (76579,92*1979,10*52/100)/1000 =78810,85 (тыс.руб.)

DЗдоп 2 = (24505,57 *1979,10*52/100)/1000 =25219,47 (тыс.руб.)

DЗдоп 3 = (7841,78 *1979,10*52/100)/1000 =8070,23 (тыс.руб.)

Затраты на проведение мероприятия определим по формуле:

Змер = СГРП ∙ Nскв,(2.10)

где СГРП - стоимость одного ГРП, руб.;скв - количество скважин с ГРП, ед.

Змер = 1124,1* 24 = 26978,40 (тыс.руб.)

Тогда общие затраты, связанные с дополнительной добычей нефти за t-й год составят:

DЗ1 = DЗдоп 1 + Змер = 78810,85+26978,40=105789,25 (тыс.руб.)

DЗ2 = DЗдоп 2 = 25219,47 (тыс.руб.)

DЗ3 = DЗдоп 3 = 8070,23 (тыс.руб.)

Для расчёта налога на прибыль, рассчитаем налогооблагаемую прибыль за t-й год по формуле:

DПн/обл t = DВt - DЗt,(2.11)

где DВt - прирост выручки от реализации в t-м году, руб.;

DЗt - текущие затраты в t-м году, руб.

DПн/обл 1 = 169011,88-105789,25 = 63222,63 (тыс.руб.)

DПн/обл 2 = 54083,80 -25219,47 = 28864,33 (тыс.руб.)

DПн/обл 3 = 17306,82 -8070,23 = 9236,59 (тыс.руб.)

Определяем величину налога на прибыль за t-й год:

ΔНпр t = DПн/обл t ∙ Nпр / 100,(2.12)

где Nпр - ставка налога на прибыль, % (принять равной 24%).

DНпр 1 = 63222,63*0,24 = 15173,43 (тыс.руб.)

DНпр 2 = 28864,33 *0,24 = 6927,44 (тыс.руб.)

DНпр 3 = 9236,59 *0,24 = 2216,78 (тыс.руб.)

Прирост годовых денежных потоков (DДПt) рассчитывается по формуле:

DДПt = DВt - DЗt - Нt = DПн/обл t - Нt.(2.13)

DДП1 = 169011,88-105789,25-15173,43 = 48049,20 (тыс.руб.)

DДП2 = 54083,80 -25219,47 -6927,44 = 21936,89 (тыс.руб.)

DДП3 = 17306,82 -8070,23-2216,78 = 7019,81 (тыс.руб.)

Поток денежной наличности определяется как разница между приростом годовых денежных потоков и капитальными вложениями:

ПДНt = DДПt - КВt.(2.14)

ПДН1 = DДП1 = 48049,20 (тыс.руб.)

ПДН2 = DДП2 = 21936,89 (тыс.руб.)

ПДН3 = DДП3 = 7019,81 (тыс.руб.)

Накопленный поток денежной наличности определим по формуле:

НПДНt = å ПДНt,(2.15)

НПДН1 = ПДН1 =48049,20 (тыс.руб.)

НПДН1-2 = ПДН1 + ПДН2 = 69986,10(тыс.руб.)

НПДН1-3 = ПДН1 + ПДН2 + ПДН3 = 77055,90 (тыс.руб.)

Дисконтированный поток денежной наличности - по формуле:

ДПДНt = ПДНt / (1 + i)t,(2.16)

где i - ставка дисконта, доли единицы.

ДПДН1 = 48049,20 /(( 1+0,12 )^1 ) = 42901,08 (тыс.руб.)

ДПДН2 = 21936,89 /(( 1+0,12 )^2 ) = 17487,96 (тыс.руб.)

ДПДН3 = 7019,81 /(( 1+0,12 )^3 ) = 4996,56 (тыс.руб.)

Чистая текущая стоимость - по формуле:

ЧТСt = å ДПДНt,(2.17)

ЧТС1 = ДПДН1 = 42901,08 (тыс.руб.)

ЧТС2 = ДПДН1 + ДПДН2 = 60389,03 (тыс.руб.)

ЧТС3 = ДПДН1 + ДПДН2 + ДПДН3 = 65385,59 (тыс.руб.)

Результаты расчётов показателей экономической эффективности внедрения инновационного мероприятия (применения ГРП) представить в виде таблицы.

Таблица1 - Показатели экономической эффективности мероприятия

Показатели

1-й год

2-й год

3-й год

Капитальные вложения, тыс. руб.

0

0

0

Прирост добычи нефти, тыс. тонн

76579,92

24505,57

7841,78

Прирост выручки от реализации, тыс. руб.

169011,88

54083,80

17306,82

Текущие затраты, тыс. руб.

105789,25

25219,47

8070,23

Прирост прибыли, тыс. руб.

63222,63

28864,33

9236,59

Прирост суммы налоговых выплат, тыс. руб.

15173,43

6927,44

2216,78

Денежный поток, тыс. руб.

48049,20

21936,89

7019,81

Поток денежной наличности, тыс. руб.

48049,20

21936,89

7019,81

Накопленный поток денежной наличности, тыс. руб.

48049,20

69986,10

77055,90

Дисконтированный поток денежной наличности, тыс. руб.

42901,08

17487,96

4996,56

Чистая текущая стоимость, тыс. руб.

42901,08

60389,03

65385,59


.3 Анализ чувствительности проекта к возможным изменениям

На последнем этапе экономического обоснования предлагаемого мероприятия проводится анализ чувствительности проекта к риску. Для этого выбирается интервал наиболее вероятного диапазона вариации факторов, например:

цена на нефть (-10%; +10%);

текущие затраты (-10%; +10%);

налоги (-10%; +10%).

Для каждого фактора определяется чистая текущая стоимость: ЧТС(Ц); ЧТС(З); ЧТС(Н).

износ фонд риск

Таблица 2 - Расчёт экономических показателей при изменении цены на нефть

Показатели

1-й год

2-й год

3-й год


-10%

+10%

-10%

+10%

-10%

+10%

Капитальные вложения, тыс. руб.

0

0

0

0

0

0

Прирост добычи нефти, тыс. тонн

76579,92

76579,92

24505,57

9189,59

7841,78

7841,78

Прирост выручки от реализации, тыс. руб.

152110,7

185913,07

48675,42

22309,57

15576,14

2677,15

Текущие затраты, тыс. руб.

105789,25

105789,25

25219,47

9457,30

8070,23

1134,88

Прирост прибыли, тыс. руб.

46321,45

80123,83

23455,95

12852,27

7505,91

1542,27

Прирост суммы налоговых выплат, тыс. руб.

11117,15

19229,72

5629,43

3084,54

1801,42

370,15

Денежный поток, тыс. руб.

35204,30

60894,11

17826,52

9767,72

5704,4

1172,13

Поток денежной наличности, тыс. руб.

35204,30

60894,11

17826,52

9767,72

802,19

1172,13

Накопленный поток денежной наличности, тыс. руб.

35204,30

60894,11

53030,82

70661,83

58735,31

71833,96

Дисконтированный поток денежной наличности, тыс. руб.

31432,41

31432,41

7786,77

14211,20

834,30

4060,34

Чистая текущая стоимость, тыс. руб.

31432,41

54369,74

45643,61

62156,51

49703,95


Таблица 3 - Расчёт экономических показателей при изменении текущих затрат

Показатели

1-й год

2-й год

3-й год


-10%

+10%

-10%

+10%

-10%

+10%

Капитальные вложения, тыс. руб.

0

0

0

0

0

0

Прирост добычи нефти, тыс. тонн

76579,92

76579,92

24505,57

24505,57

7841,78

7841,78

Прирост выручки от реализации, тыс. руб.

169011,88

169011,88

54083,80

54083,80

17306,82

17306,82

Текущие затраты, тыс. руб.

116368,18

95210,32

8511,57

10403,03

1021,39

1248,37

Прирост прибыли, тыс. руб.

52643,70

73801,56

45572,23

43680,77

16285,43

16058,45

Прирост суммы  налоговых выплат, тыс. руб.

12634,49

17712,38

10937,34

10483,39

3908,50

3854,03

Денежный поток, тыс. руб.

40009,22

56089,19

34634,89

33197,38

12376,92

12204,42

Поток денежной наличности, тыс. руб.

40009,22

56089,19

34634,89

33197,38

12376,92

12204,42

Накопленный поток денежной наличности, тыс. руб.

40009,22

56089,19

74644,11

89286,58

87021,04

101491

Дисконтированный поток денежной наличности, тыс. руб.

35722,51

50079,64

27610,73

26464,75

8809,65

8686,86

Чистая текущая стоимость, тыс. руб.

35722,51

50079,64

63333,24

76544,39

72142,89

85231,25


Таблица 4 - Расчёт экономических показателей при изменении налоговых выплат

Показатели

1-й год

2-й год

3-й год


-10%

+10%

-10%

+10%

-10%

+10%

Капитальные вложения, тыс. руб.

0

0

0

0

0

0

Прирост добычи нефти, тыс. тонн

76579,92

76579,92

24505,58

24505,58

7841,78

7841,78

Прирост выручки от реализации, тыс. руб.

169011,88

169011,88

54083,80

54083,80

17306,82

17306,82

Текущие затраты, тыс. руб.

105789,25

105789,25

25219,47

25219,47

8070,23

8070,23

Прирост прибыли, тыс. руб.

63222,63

63222,63

28864,33

28864,33

9236,59

9236,59

Прирост суммы налоговых выплат, тыс. руб.

13656,09

16690,77

2338,01

2857,57

280,57

342,91

Денежный поток, тыс. руб.

49566,55

46531,87

26526,32

26006,76

8956,02

8893,68

Поток денежной наличности, тыс. руб.

49566,55

46531,87

26526,32

26006,76

8956,02

8893,68

Накопленный поток денежной наличности, тыс. руб.

49566,55

46531,87

76092,87

72538,63

85048,89

81432,31

Дисконтированный поток денежной наличности, тыс. руб.

44255,85

41546,31

21146,62

20732,43

6374,72

6330,34

Чистая текущая стоимость, тыс. руб.

44255,85

41546,31

65402,47

62278,74

71777,18

68609,08


Полученная зависимость чистой текущей стоимости от факторов изображается графически. Значения ЧТС на каждой прямой, соответствующие крайним точкам диапазона, соединяются между собой, образуя лучевую («паукообразную») диаграмму. Если значения ЧТС при заданных изменениях параметров находятся в положительной области, проект не имеет риска.

Угол наклона графика является мерой зависимости между показателями. Коэффициент k, устанавливающий пропорциональность роста ЧТС при росте фактора F (цены, затрат или налогов), будет определяться как:

  (2.18)

Сравнением величин, рассчитанных для разных графиков, можно выявить самое слабое звено проекта, отклонение которого от проектируемого значения сильнее всего скажется на финансово-экономических показателях.ц=2,67; kз=6,97; kн=-0,32

Таким образом, мы видим, что проект подвержен риску и самым слабым звеном является изменение текущих затрат.


Заключение

В ходе выполнения данной курсовой работы были выполнены цели и задачи, поставленные в начале. А именно:

Мы подробно ознакомились с темой работы «Физический и моральный износ основных фондов» и рассмотрели различные ее составляющие;

Изучили основные понятия данной тематики

Рассмотрели сущность, стоимостное выражение и их форму;

Был определен ущерб наносимый предприятию физическим и моральным износом;

Рассмотрены коэффициенты, характеризующие степень износа;

Проанализировано влияние на технико - экономические показатели проведение ГРП;

Рассчитаны показатели экономической эффективности мероприятия;

Определена чувствительность проекта к возможным изменениям.

Курсовая работа включила в себя две главы. Первая глава - теоретическая. В ней были рассмотрены понятия физического и морального износа основных фондов предприятия, их сущность и стоимостное выражение. А также формы, факторы, ущерб и коэффициенты износов.

Во второй главе данной работы заключающую в себе практическую часть, был осуществлен анализ влияния на технико - экономические показатели проведение ГРП, рассчитаны показатели экономической эффективности мероприятия и определены чувствительность проекта к возможным изменениям, что наглядно отражено на графике, приведенном выше.

Таким образом, при осуществлении любой деятельности предприятием его основные фонды подвергаются физическому и моральному износу. При этом самый большой ущерб претерпевает экономика предприятия. Выходом из данной проблемы служит более полное, интенсивное использование машин и оборудования.

Список использованных источников

 Хунгуреева И.П., Шабыкова Н.Э., Унгаева И.Ю. Экономика предприятия: Учебное пособие. - Улан-Удэ, Изд-во ВСГТУ, 2004. - 240 с.

Экономика организации и управление предприятием - Учебное пособие.- 2-е изд., доп.- М.: ИНФРА- М, 2010.

Грибов В.Д. Экономика предприятия: учебник + практикум. - 3-е изд., перераб. и доп. - М.: Финансы и статистика, 2006. - 336 с.

ФИЭМ Библиотека факультета [Электронный ресурс].- Режим доступа: fmi.asf.ru, свободный.

Большой энциклопедический словарь [Электронный ресурс].- Режим доступа: dic.academic.ru, свободный.

Приложение



Похожие работы на - Физический и моральный износ основных фондов

 

Не нашли материал для своей работы?
Поможем написать уникальную работу
Без плагиата!
Без нейросетей!