Основной признак предприятия это наличие в его собственности,
в его хозяйственном ведении или оперативном управлении обособленного имущества
- материально-технической базы (МТБ).
МТБ обеспечивает предприятию возможность функционирования,
самостоятельность, надежность. Без МТБ не могут существовать ни малые, ни
крупные, ни средние предприятия любой формы собственности.
МТБ включает в себя: основные фонды, оборотные средства,
нематериальные активы, арендованные основные фонды, инвестиции.
Эффективное использование этих ценностей прямо влияет на
конечные результаты хозяйственной деятельности предприятий.
Полное и рациональное использование основных фондов
предприятия способствует улучшению всех его технико-экономических показателей:
росту производительности труда, повышению фондоотдачи, увеличению выпуска
продукции, снижению ее себестоимости, экономии капитальных вложений.
По характеру участия в процессе воспроизводства ОФ
подразделяют на две группы:
. Производственные ОФ, которые участвуют в процессе
производства, и в свою очередь, делятся на две части: активные -
непосредственно участвуют в производственном процессе (станки, оборудование и
т.д.); пассивные - создают условия для нормального протекания производственного
процесса (здания, сооружения).
. Непроизводственные ОФ, которые не участвуют в
процессе производства и предназначены для непосредственного потребления
(медицинские учреждения, дома культуры, жилье).
Не учитываются в составе основных фондов и не являются
объектами для начисления амортизации:
б) средства труда стоимостью до 100 мин. размеров оплаты
труда.
Соотношение отдельных групп основных фондов по стоимости
характеризуют их структуру. Структура определяется путем расчета удельного веса
отдельных групп основных фондов в общей совокупности и выражается в процентах.
|
1. Принадлежность:
- собственные; - арендованные.
|
|
2. Роль в
производственном процессе по группам
|
|
Активная часть
а) Машины и оборудование: - силовые машины и оборудование; - рабочие машины и
оборудование; - измерительные и регулирующие приборы и устройства; - лабораторное
оборудование; - вычислительная техника; - прочие машины и оборудование. б)
Транспортные средства. в) Инструмент. г) Инвентарь и принадлежности. д)
Прочие основные фонды.
|
Пассивная часть
а) Земля. б) Здания. в) Сооружения (мосты, дороги). г) Передаточные
устройства (водопроводы, газопроводы и т.д.).
|
|
3.
Использование: - в эксплуатации; - в запасе (резерве); - законсервировано.
|
1.2 Износ и амортизация основных фондов
Износ
основных фондов. Износ ОФ - потеря стоимости, которая происходит в
результате их участия в производственном процессе.
Различают 2 вида износа:
Физический износ ОФ - физическая
утрата первоначальной потребительской стоимости, вследствие чего они постепенно
приходят в негодность. Коэффициент физического износа (Кизн. ф)
определяется по формуле:
Кизн. ф = Зизн/Зперв,
(2.1)
где Зизн - стоимость износа ОФ; Зперв -
первоначальная стоимость ОФ.
Моральный износ ОФ - экономическая утрата
ценности ОФ.
Моральный износ 1-го рода происходит в результате
производства фондов такой же производительности, но с меньшими затратами.
Он определяется по формуле:
Им1 = Зп - Звост
(в
абсолютном выражении, руб.), (2.2)
где Звост - восстановительная стоимость ОФ или
(в относительном выражении). (2.3)
Моральный износ 2-го рода происходит в результате создания более
производительных фондов по прежней цене. Он определяется по формуле П.Г.
Бунича:
Им2 = Фп - [Фп/ (tс × Пс) - Фпн/ (tн × Пн)] × tо × Пс, (2.4)
где Фп - первоначальная стоимость старой машины (руб.);
tс - нормативный срок службы старой машины (в годах);
Пс - производительность старой машины в год (в стоимостных или
натуральных единицах);
Фпн - стоимость машины современного образца (руб.);
tн - нормативный срок службы новой машины (в годах);
Пн - производительность машины современного образца в год (в
натуральных или стоимостных единицах);
tо - остающийся срок службы старой машины (в годах)
Амортизация
основных фондов
Амортизация - перенесение по частям стоимости ОФ на
производимый продукт или услугу.
Норма амортизации - установленный размер
амортизационных отчислений на полное восстановление ОФ. Она определяется по
формуле
(2.5)
где Зб - балансовая стоимость ОФ; Зл -
ликвидационная стоимость ОФ;
Тсл. н. - нормативный срок службы ОФ.
Годовая сумма амортизационных отчислений определяется по формуле:
(2.6)
Методы амортизации
В мировой практике используются различные подходы к начислению
износа (сумм амортизационных списаний, начислений) и определению остаточной
балансовой стоимости. Классифицируем их по нескольким признакам.
По степени равномерности списания стоимости оборудования различают
равномерную (линейную) и неравномерную (нелинейную) амортизацию.
Последняя может быть реализована различными способами. Например, суммы списания
могут изменяться согласно некоторому принципу или по специальному графику и
т.д.
Можно также разделить методы списания на нормальные, ускоренные
и замедленные. Простейший, но не единственный способ ускоренного
списания износа - сокращение срока амортизации.
Важным с экономической точки зрения при определении
амортизационных сумм является учет принципа неравноценности денег во времени.
Некоторые методы исходят из этого принципа, другие не учитывают его. Проще
говоря, существуют методы, предусматривающие начисление процентов на
амортизационные суммы и не предусматривающие его.
Естественно, что разные методы определения сумм амортизации
приводят к различным результатам. Отсюда очевидна некоторая условность
получаемых результатов. Вместе с тем возможность выбора метода, если таковая
имеется, создает определенную гибкость, позволяет учитывать особенности
производственных условий. Знакомство с разными моделями износа оборудования,
даже если они еще и не применяются в отечественной практике, представляется
полезным как в теоретическом, так и в практическом отношении. Рано или поздно
российская практика придет к ним.
Каждый из методов начисления амортизации можно формализовать с
учетом его особенностей и представить в виде соответствующей модели. При записи
таких моделей воспользуемся следующими основными символами:
Р -
первоначальная стоимость инвестиций в оборудование,
L - ликвидационная
стоимость - остаточная стоимость в конце срока эксплуатации оборудования,
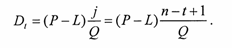
n - срок амортизации в годах;
Dt - сумма амортизации в году t,
Bt - балансовая (остаточная,
неамортизированная) стоимость оборудования в конце года t.
Запишем два простых соотношения, определяющих динамику балансовой
стоимости:
(2.8)
(2.9)
Соответственно Dt = Bt-1 - Bt,
причем D1 = Р - В1
Ниже эти соотношения конкретизируются с учетом особенностей
рассматриваемых методов начисления амортизации и возможности их применения.
В отечественной практике в основном применяется линейный метод
определения сумм амортизации. Однако он далеко не всегда отвечает условиям
производства, сложившейся экономической обстановке и т.д. Иначе говоря, его
нельзя рассматривать как некий обязательный стандарт, пригодный во всех случаях
жизни. Пожалуй, единственное его достоинство - это простота. Кратко остановимся
на нем. Кстати, это необходимо и для того, чтобы иметь базу сравнения
результатов, полученных разными методами начисления износа. По определению
D= (P-L) /n = const (2.10)
Остаточная стоимость в конце года после очередного списания износа
Bt=P- (t/n) × (P-L); t=1,2,…,n (2.11)
Как видно из формулы (2.10), накопленная сумма амортизации Dt линейно увеличивается, в свою очередь,
балансовая стоимость адекватно уменьшается во времени (рис 2.1).
основной фонд износ амортизация
Очевидно, что при заданных параметрах Р и L ежегодная сумма
амортизации зависит от общего срока амортизации, причем эта зависимость
нелинейная (рис 2.1). Увеличение срока в наибольшей мере сказывается на
размерах амортизации в начале шкалы сроков.
Развитием рассмотренного метода являются два способа
начисления амортизации: пропорционально отработанному времени и пропорционально
объемам производства. Износ в расчете на единицу отработанного времени
составит:
D= (P-L) /V (2.12)
где V - общая ожидаемая продолжительность работы оборудования.
Соответственно
(2.13)
(2.14)
Рис 2.1
Что касается второго из упомянутых методов, то он может
применяться в случаях, когда речь идет об однородной продукции, и,
следовательно, можно считать, что при наличии ограничений на общий объем работы
износ пропорционален объему выпуска. Например, износ транспортных средств
принимается пропорциональным протяженности их пробега при известном общем
ресурсе, и т.д. Таким образом, здесь можно использовать формулы (2.12) - (2.14),
в которых под V понимается общий ожидаемый объем
продукции, а под vj. - продукция в году j.
Оба метода являются линейными относительно принятых в них баз для
начисления амортизации.
Ускоренная амортизация в рамках линейного метода достигается путем
повышения нормы амортизации, что адекватно сокращению срока работы
оборудования.
К нелинейным относится ряд методов начисления амортизации, что
обеспечивает большую гибкость в отношении учета конкретных условий
производственной деятельности. Эти методы можно разделить на две подгруппы: без
учета начисления процентов на суммы амортизации и с их учетом, иначе говоря, с
учетом фактора времени и без него.
К первой подгруппе отнесем следующие методы:
а) с постоянной долей списания остаточной балансовой стоимости,
б) метод сумм порядковых чисел,
в) табличный метод.
Ко второй относятся методы:
г) накопленного резерва,
д) аннуитетов.
Обсудим их в той последовательности, в которой они были
перечислены.
а)
Постоянная доля списания балансовой стоимости
Согласно этому методу (далее для краткости назовем его
методом постоянных долей) на каждом шаге во времени списывается постоянная доля
балансовой стоимости оборудования, т.е.
Bt= Bt-1 (1-r) (2.15)t=
P (1-r) t (2.16)
где r - доля сокращения балансовой стоимости за каждый амортизационный
период.
Амортизационные суммы рассчитываются следующим образом:
Dt = Bt-1×r (2.17)
Задача, следовательно, сводится к определению доли r, если она первоначально
не задана, а установлен размер ликвидационной стоимости L. Для ее решения рассуждаем
так.
Балансовая стоимость за весь период эксплуатации оборудования
сокращается с величины Р до L.
Отсюда справедливо соотношение:
L = P (1-r) n (2.18)
Если величина ликвидационной стоимости известна, то находим:
(2.19)
Очевидно, что в случае, когда L = 0 (полный износ), данный метод расчета r применить нельзя.
Если r задано, а L заранее не определено, то расчетная сумма остаточной стоимости на
конец последнего года находится как разность:
L = Bn - Dn (2.20)
Иногда метод постоянной доли комбинируется с линейным методом: в
первые годы применяется постоянная доля списания, затем суммы амортизации
определяются линейным методом. Этим достигается ускоренное списание в начале
срока эксплуатации оборудования. Так, если за первые т лет предусматривается
списать М°/о первоначальной балансовой стоимости оборудования, то в эти годы
списывается по 100r %. Причем
(2.21)
В оставшиеся (п - т) лет суммы амортизации составят:
(2.22)
б)
Метод сумм порядковых чисел
Этот метод (далее для краткости назовем его методом сумм),
так же как и предыдущий, нацелен на ускорение процесса амортизации. Доли
списания стоимости оборудования здесь уменьшаются с каждым шагом во времени.
Соответственно сокращаются абсолютные суммы износа. Для определения долей
списания поступают следующим образом. Последовательным годам службы
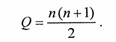
оборудования приписывают порядковые номера: t = 1,2,., л. Сумма этих
номеров, обозначим ее Q, принимается за основу для расчета долей списания.
Такой прием применяется в финансовых расчетах в тех случаях,
когда желательно сокращать величину списания долга с каждым шагом во времени.
Частным случаем, метода сумм является "правило 78". Название этого
метода связано с тем, что сумма порядковых номеров месяцев за год равна 78
Известно, что
(2.23)
Доли списания амортизируемой стоимости оборудования (т.е.
первоначальной балансовой стоимости за вычетом ликвидационной стоимости)
последовательно определяются как j/Q, где j - номер года
начисления износа в обратном порядке, т.е. с конца срока. Например, при
пятилетнем сроке j = 5, 4, 3, 2, 1. В общем виде можно
записать:
Таким образом, для первого года доля списания амортизируемой
стоимости равна n/Q, для
второго - (п - l) /Q и т.д.
Для последнего года эта доля составляет \/Q. По определению, можно записать:
(2.24)
Балансовая стоимость на конец года t (после очередного списания) последовательно определяется как
Возможен и другой способ определения этой величины:
После некоторых преобразований последнего выражения получим
(2.25)
в)
Табличный метод
В ряде стран государственные органы регламентируют ускоренное
списание износа. Причем предлагаемая методика часто не связана с сокращением
общего срока амортизации. Она заключается в разработке специальных таблиц долей
списания первоначальной балансовой стоимости. Приведем соответствующие данные
для США. Например, при пятнадцатилетнем сроке амортизации предусматривались
следующие доли списания от первоначальной амортизируемой стоимости: для первых
пяти лет 12, 10, 9, 8, 7%, далее четыре года по 6% и затем шесть лет по 5%.
Размер ликвидационной стоимости во внимание не принимается.
г)
Метод накопленного резерва
Представим себе ситуацию, когда амортизационные суммы
аккумулируются в особом резерве (фонде) для дальнейшего целевого использования
- приобретения нового оборудования взамен изношенного. (В действительности эти
деньги обычно "работают" в качестве текущих активов фирмы.) Причем,
как и в любом другом случае накопления средств, на вложенные в этот резерв
деньги начисляются проценты. Далее предположим, что в конце срока амортизации
сумма накопленного резерва должна быть равна стоимости выбывшего оборудования с
учетом ликвидационной стоимости.
Пусть взносы, необходимые для создания резерва, постоянные.
Тогда поток платежей представляет собой постоянную финансовую ренту
постнумерандо, наращенная сумма которой равна необходимому резерву.
Перепишем формулу наращенной суммы постоянной ренты
постнумерандо
откуда сумма разового взноса в резерв
где s n; I - коэффициент наращения постоянной
финансовой ренты.
Процесс увеличения резерва с учетом последовательных взносов в
конце года и наращения процентов определяется как
где t - интервал от начала списания до момента
оценки.
Из последнего выражения становится понятным, что сумма резерва
ускоренно возрастает с каждым шагом во времени.
Соответственно должны расти и амортизационные списания.
Таким образом, за первый год износ составит величину D), за второй - D (1+i) и т.д. Износ за год t определяется как
Указанные суммы списываются в конце каждого года с остаточной
стоимости. Таким образом, балансовую стоимость на конец первого года после
списания износа находим как
Очевидно, что процесс амортизации по этому методу оказывается
замедленным. Медианный
срок приближенно можно найти из равенства
Отметим, что величина разового взноса в резерв меньше суммы
амортизации по линейному методу.
1.3
Оценка, кругооборот основных фондов. Показатели использования основных фондов
Оценка
ОФ.
Оценка по первоначальной стоимости основных фондов (ОФперв)
определяется на момент ввода объекта в эксплуатацию:
ОФперв = Ц + Зд + Зу + Зпрч,
где Ц - цена основных фондов с учетом упаковки;
Зд - затраты на доставку;
Зу - затраты на установку;
Зпрч - прочие затраты.
Восстановительная стоимость характеризует стоимость
воспроизводства основных фондов в современных условиях, то есть с учетом
достигнутого уровня развития производства, достижений НТП и роста
производительности труда, а также роста цен.
Балансовая стоимость основных фондов (ОФбал)
- это
стоимость, по которой учитываются основные фонды на предприятии. Она совпадает
либо с первоначальной (ОФперв), либо с восстановительной стоимостью
(ОФвост):
где ОФвост n - стоимость основных фондов, приобретенных до переоценки;
ОФперв к - стоимость основных фондов,
приобретенных после переоценки.
Оценка по остаточной стоимости (ОФост) характеризует
стоимость, еще не перенесенную на готовую продукцию:
ОФост = ОФбал - И,
где И - стоимость износа.
Под рыночной стоимостью объекта, входящего в состав основных
фондов, понимается наиболее вероятная цена, которая, в принципе, может иметь
место по договоренности продавцов и покупателей в случае продажи этого объекта
на свободном конкурентном рынке. При этом предполагается, что продавцы и
покупатели действуют разумно, не нарушая закона, объекты сделки не нуждаются в
срочной продаже или покупке, а оплата сделок производится в денежной форме и не
сопровождается дополнительными условиями.
Ликвидационная стоимость (ОФликв) - это стоимость возможной реализации
выбывающих основных средств.
Амортизируемая стоимость (ОФам) - это стоимость основных фондов, которую
необходимо перенести на готовую продукцию:
.
В экономических расчетах используется понятие среднегодовой
стоимости основных фондов (ОФср. г):

,
где ОФн - стоимость основных фондов на начало года;
ОФк - стоимость основных фондов на конец года;
ОФi - стоимость основных фондов на начало i-го месяца.
Кругооборот
ОФ.
Существуют две формы воспроизводства основных фондов -
простое и расширенное. При простом воспроизводстве предусматривается замена
устаревшей техники и капитальный ремонт оборудования, в то время как
расширенное воспроизводство - это, прежде всего новое строительство, а также
реконструкция и модернизация действующих предприятий. Восстановление объектов
основных средств может осуществляться посредством ремонта, модернизации и
реконструкции.
Показатели
использования основных фондов.
Стоимостные показатели - это обобщающие
показатели, отражающие результаты функционирования всей совокупности средств
труда как по отрасли в целом, так и в ряде отдельных подотраслей и предприятий
связи.
Показатель фондоотдачи ОФ определяет уровень использования ОФ
Кфо = Q/Ф = Дод (V) /Ф
Где Q - объем продукции в денежных выражениях
V - выручка от реализации продукции
Фг - среднегодовая стоимость ОФ
Фондоёмкость ОФ - показатель, обратный фондоотдачи
Кфе = Фг. / Дод (V) /
Фондовооружённость, характеризует вооруженность труда
основными фондами и отражает степень технической оснащенности производственных
процессов.
V = Фг. / Р
Р - численная работа основной деятельности.
Показатели движения ОПФ
Коэффициент обновления ОФ:
Кобн = Фввед/Фк. г ×100%
Фввед - стоимость ОФ введенных в эксплуатирование в данный
период
Этот показатель характеризует степень технического прогресса
ОФ за определенный период. Коэффициент выбытия:
Квыб = Фвыб. / Фн. г. ×100%
Фвыб - стоимость выбывших ОФ
Кприр = Фввед × Фвыб/Фг.
Степень чистого прироста ОФ
Коэффициент годности ОФ:
Кг = Ф-Физы/Фг.
Характеризует стоимость ОФ, не перенесенную на продукцию.
Натуральные показатели использования ОПФ коэффициент:
экстенсивного использования (по времени работы)
Кэ = Тф/Тр
Тф - время фактической работы оборудования
Тр - время работы по расписанию интенсивного использования
(т.е. по мощности или пропускной способности оборудования)
Ки = Qф/Qв
Qф - фактически выполненный объем работы
Qв - возможный объем работы интегральные показатели,
характеризующие общее использование ОФ
Кобщ = Кэ×Ки
Глава
2. Практическая часть
2.1
Примеры расчета износа основных фондов
. Определение физического износа (на 1 января
2008г.):
Предприятие приобрело в феврале 2006г. оборудование для
открытия нового производства стоимостью 600 000 руб. Затраты на транспортировку
составили 67 000 руб. Оборудование введено в эксплуатацию с 1 марта 2006г. Срок
полезного использования составляет 12 лет, амортизация начисляется линейным
способом.
Для определения физического износа используем формулу:
Кизн. ф = Зизн/Зперв,
(2.1)
Зперв = 600000р. + 67000р. = 667000р.
Норма амортизации определяется по формуле:
(2.5)
На = 667000 ÷ (667000× (12×12)) ×100% = 0,69%
Амес = 667000р. × 0,69% = 4602,30р.
Зизн = 4602,30р. × 22мес. = 101250,60р.
Кизн = 101250,60р. ÷ 667000р. = 15,18%
. Определение морального износа 2-ой формы при следующих
данных:
Первоначальная стоимость старой машины - 20 млн. руб.
Производительность старой машины - 10 тыс. шт. в год. Нормативный срок службы
старой машины - 10 лет. Стоимость машины современного образца - 8 млн. руб. Ее
производительность - 30 тыс. шт. в год. Остающийся срок службы старой машины -
2 года. Нормативный срок службы новой машины - 5 лет.
Моральный износ 2-го рода определяется по формуле П.Г. Бунича:
Им2 = Фп - [Фп/ (tс × Пс) - Фпн/ (tн × Пн)] × tо × Пс, (2.4)
Им2 = 20 000 000р. - ( (20 000 000р. ÷ (10лет × 10 000шт/год) - 8 000 000р. ÷ (5лет × 30 000шт/год)) × 2 года × 10 000шт/год = 17 060 000р.
000 000р. ÷ 17 060
000р. = 85,3%
2.2
Примеры расчета амортизации основных фондов. Сравнение различных методов
В этой части практической главы рассмотрим расчет амортизации
различными способами на основании данных предприятия ЗАО "Зион".
В декабре 2006 года ЗАО "Зион" начало подготовку к
открытию нового производства бытовой техники.
Для этого было закуплено оборудование стоимостью 100 млн.
руб. Оборудование было введено в эксплуатацию с 1 января 2007 года.
Нормативный срок службы составляет 5 лет. Предполагается что
объем производства в одну смену постоянен, а количество смен в год: в первый
год составляет 200, в следующие 3 - 400 смен, а в последний год - 300 (всего
1700 смен). Ликвидационная стоимость составляет на 1 января 2008 года 4 млн.
руб.
1. Линейный метод
Для расчета амортизации линейным способом применим формулу
2.6 стр.7
Но сначала определим норму амортизации по формуле 2.5 стр.7
На = 100 000 000 ÷ (100 000 000 ×5) × 100% = 20%
Амортизация за год = 100 000 000 × 20% = 20 млн. руб.
Метод определение суммы амортизации пропорционально объемам
производства.
В этом случае применим формулу:
D= (P-L) /V (2.12)
При применении линейного метода ежегодные суммы амортизации в
расчете на год составят:
D= (100 - 4): 5 = 19, 20
В свою очередь, в расчете на 100 смен получим:
Расчет амортизационных начислений приведен в следующей таблице.
|
Года
|
Метод объемов
производства
|
|
Смены
|
Сумма
амортизации в год
|
Стоимость
оборудования на конец года млн. р.
|
|
-
|
-
|
100,000
|
|
1
|
2
|
11,294
|
88,706
|
|
2
|
4
|
22,588
|
66,118
|
|
3
|
22,588
|
43,530
|
|
4
|
4
|
22,588
|
20,942
|
|
5
|
3
|
16,942
|
4,000
|
|
Итого:
|
17
|
96,000
|
-
|
,647 × 2смены =
11,294 млн. руб.
100 млн. руб. - 11,294 млн. руб. = 88,706 млн. руб.
И т.д.
2. Нелинейные методы
а) Метод постоянной доли списания балансовой стоимости.
Для расчета амортизации данным способом необходимо найти долю
сокращения балансовой стоимости за каждый амортизационный период. Она
определяется по формуле 2.21 стр.12
Таким образом, каждый раз списывается 47,47% от остаточной
стоимости оборудования.
|
Года
|
Постоянные доли
|
|
Сумма
амортизации в год
|
Стоимость
оборудования на конец года млн. р.
|
|
-
|
100
|
|
1
|
47,47
|
52,53
|
|
2
|
24,94
|
27,59
|
|
3
|
13,10
|
14,49
|
|
4
|
6,88
|
7,61
|
|
5
|
3,61
|
4,00
|
|
Итого:
|
96,00
|
-
|
млн. руб. - 47.47% = 52.53 млн. руб.
.53 млн. руб. × 47.47% = 24.94%
.53 млн. руб. - 24.94% = 27.59 млн. руб.
.59 млн. руб. × 47.47% = 13.10%
.59 млн. руб. - 13.10% = 14.49 млн. руб.
И т.д.
б) Метод сумм порядковых чисел.
Для расчета амортизации этим способом необходимо найти Q по формуле 2.23 стр.13
Последовательно начисляем износ в размере 5/15, 4/15 и т.д. от
амортизируемой стоимости.
|
Года
|
Метод сумм
|
|
Сумма
амортизации в год
|
Стоимость
оборудования на конец года млн. р.
|
|
-
|
100,00
|
|
1
|
32,00
|
68,00
|
|
2
|
25,60
|
42,40
|
19, 20
|
23, 20
|
|
4
|
12,80
|
10,40
|
|
5
|
6,40
|
4,00
|
|
Итого:
|
96,00
|
-
|
Остаточная стоимость = 100 - 4 = 96 млн. руб.
млн. руб. × 5/15 = 32 млн. руб.
млн. руб. × 4/15 = 25.60 млн. руб.
млн. руб. × 3/15 = 19.20 млн. руб.
млн. руб. × 2/15 = 12.80 млн. руб.
млн. руб. × 1/15 = 6.40 млн. руб.
Найдем балансовую стоимость на конец третьего года без
построения таблицы. Для этого используем формулу (2.25). Получим
Сравнение различных методов
Рис.2.2 Скорость амортизации основных фондов.
Различные методы начисления износа в разной степени ускоряют
амортизацию. В связи с этим возникает проблема сравнения результатов. На рис.2.2
показана сравнительная динамика балансовой стоимости оборудования (кривая, а
- характеризует метод постоянных долей, б - метод сумм, в -
линейный метод). Как видим, второй из сравниваемых методов ближе к равномерному
списанию, чем первый.
В качестве аналитического измерителя степени равномерности
списания можно предложить срок, в течение которого амортизируется половина
стоимости оборудования. Назовем такой срок медианным (рис.2.2) Медианный
срок можно подсчитать относительно первоначальной балансовой стоимости
оборудования или относительно его амортизируемой стоимости. Впрочем, различие
будет небольшим. Чем меньше эта величина, тем скорее протекает процесс
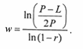
амортизации. Обозначим медианный срок через w. В некоторых случаях для его расчета удается найти простое
аналитическое выражение. Например, для линейной модели получим:
(2.26)
а без учета ликвидационной стоимости w =n/2.
Для метода долей величину w находим из равенства
(2.27)
В силу чего
(2.28)
Для метода сумм величину w проще
найти интерполяцией данных, характеризующих изменение балансовой стоимости.
в) Метод постоянных долей.
Необходимо найти медианный срок по формуле 2.28 стр.25
Для метода сумм применим интерполяцию. Находим размеры балансовой
стоимости на конец первого и второго года: В1= 68,0 (что >50%
стоимости) и В2= 42,4 (что < 50 %). Таким образом, 50%
первоначальной стоимости приходится на второй год. С помощью линейной
интерполяции находим
При равномерном начислении амортизации
w = 0,5 × 5 × (100 ÷ 96) = 2,6.
Приближенно (без учета ликвидационной стоимости)
w = п ÷ 2 = 2,5 года.
Таким образом, самое быстрое списание при одинаковом общем сроке
амортизации достигается с помощью метода постоянных долей.
Описанные способы различаются скоростью амортизации фондов (см.
рис.2.2). Поскольку амортизационные отчисления являются элементом
себестоимости, увеличение их размера приводит к уменьшению прибыли предприятия,
а, следовательно, и налогооблагаемой базы для уплаты налога на прибыль. При
этом, будучи условным начислением, в составе себестоимости, т.е. не создавая
для предприятия собственно денежного расхода, амортизационные отчисления
увеличивают для предприятия денежный приток средств.
Таким образом, более ускоренные способы позволяют на начальном
этапе “списать” в себестоимость большую часть стоимости имущества, тем самым,
уменьшив налогооблагаемую прибыль. Зато в поздние сроки использования
имущества, наоборот, за счет снижения амортизационных отчислений увеличивается
налогооблагаемая прибыль. Тем самым за счет ускорения амортизации
налогооблагаемая база по прибыли смещается во времени к более поздним периодам.
С учетом фактора стоимости денег во времени это означает снижение текущей
стоимости расходов компании по уплате налога на прибыль.
Источниками инвестиционных средств, генерируемыми собственной
хозяйственной деятельностью предприятия, являются как амортизация, так и чистая
прибыль (прибыль после налогообложения). Поскольку способ амортизационных
отчислений изменяет пропорции этих двух составляющих во времени, экономически
правильным было бы оценивать “выгоду" предприятия как суммарную величину
амортизации и чистой прибыли на протяжении некоторого периода времени, равного
сроку использования фондов. При этом оценка этой “выгоды" должна
проводится во времени с некоторым дисконтом, зависящим от удаленности срока
получения дохода от текущего момента.
Заключение
В данной работе были рассмотрены вопросы, касающиеся
определения износа и начисления амортизации. В первой главе, было дано
определение амортизации, раскрыта ее экономическая сущность, описаны ее
разнообразные разновидности. Во второй главе приведены примеры расчета
амортизации различными методами и расчет износа ОФ.
И в заключении можно обратить внимание на пути улучшения
использования ОФ на предприятии:
. Освобождение предприятия от излишнего оборудования
или сдачи его в аренду;
2. Своевременное и качественное проведение
планово-предупридительных и капитальных ремонтов;
3. Приобретение высококачественных ОФ;
4. Повышение уровня квалификации обслуживающего
персонала;
. Своевременное обновление ОФ (особенно из активной
части) с целью недопущения чрезмерного износа;
. Улучшение качества и подготовки сырья и материалов к
процессу производства;
. Внедрение новой техники и прогрессивных технологий.
Список
литературы
1. "Экономика
предприятия". Учебное пособие. Н.Ф. Мормуль, Москва 2003г.
2. Краткий
экономический словарь под ред.А.Н. Азрилияна, Москва 2002г.
. Зайцев
Н.Л. "Экономика промышленного предприятия", Москва 2004г.