Факторы, влияющие на уровень рентабельности фирмы

  • Вид работы:
    Курсовая работа (т)
  • Предмет:
    Эктеория
  • Язык:
    Русский
    ,
    Формат файла:
    MS Word
    29,35 Кб
  • Опубликовано:
    2014-09-20
Вы можете узнать стоимость помощи в написании студенческой работы.
Помощь в написании работы, которую точно примут!

Факторы, влияющие на уровень рентабельности фирмы

Введение

рентабельность экономический поглощение

В условиях рыночной экономики целью любого коммерческого предприятия является получение прибыли.

Прибыль является одним из финансовых результатов деятельности предприятия и свидетельствует о его успешности, прибыль получается в случае, если доходы превышают расходы. В обратном случае предприятие получает убыток. Рост прибыли определяет рост потенциальных возможностей предприятия, повышает степень его деловой активности. По прибыли определяется доля доходов учредителей и собсвенников, размеры дивидендов и других доходов. Прибыль используется также для расчета рентабельности собственных и заемных средств, основных средств, всего авансированного капитала и каждой акции. Однако прибыль является не только основной целью деятельности любой коммерческой организации, но и важнейшей экономической категорией.

Обобщающим показателем экономической эффективности производства является показатель рентабельности. Рентабельность означает доходность, прибыльность предприятия. Она рассчитывается путём сопоставления валового дохода или прибыли с затратами или используемыми ресурсами [4, с. 123].

На основе анализа средних уровней рентабельности можно определить, какие виды продукции и какие хозяйственные подразделения обеспечивают большую доходность. Это становится особенно важным в современных, рыночных условиях, где финансовая устойчивость предприятия зависит от специализации и концентрации производства.

Актуальность темы курсовой работы подтверждает характеристика прибыли, как основного показателя деятельности организации. Для увеличения эффективности функционирования, конкурентоспособности и общего престижа любого предприятия, в том числе и коммерческого, необходим анализ источников формирования, направлений использования прибыли, расчет показателей рентабельности.

Следует отметить, что вопрос анализа прибыли и рентабельности, а также пути их увеличения интересует не только руководителей данной организации, но и другие субъекты хозяйственной деятельности, такие, как: государство, в частности бюджет, различные инвестиционные структуры, банки.

В современных условиях нестабильности рынка руководителям предприятий необходимо определять не только различные пути повышения эффективности использования внутренних ресурсов, а так же своевременно реагировать на изменения внешних факторов: финансово-кредитная система, налоговая политика, механизм ценообразования, коньюктура рынка, поставщики и покупатели.

Объект: ООО Селена Сервис г. Брянска.

Предмет: рентабельность экономической деятельности фирмы.

Цель: изучение теоретических основ показателей рентабельности предприятия, выявление путей повышения рентабельности и изучение факторов, влияющих на уровень рентабельности.

Задачи:

изложить теоретические основы рентабельности и ее роль в оценке эффективности фирмы;

выявить возможные пути повышения рентабельности фирмы;

провести анализ рентабельности ООО Селена Сервис г. Брянск.

Теоретической основой послужили труды авторов: Агарков А.П., Бабук И.М., Баскакова О.В., Елисеева Т.П. и т.д.

 


1. Теоретические основы рентабельности и ее роль в оценке эффективности фирмы

 

.1 Рентабельность как показатель экономической эффективности деятельности фирмы

 

Показатели эффективности дают ориентировочную оценку выгодности экспортных и импортных операций. Прежде всего рассмотрим, что представляет собой рентабельность.

Одно из его определений звучит так: рентабельность (от нем. rentabel - доходный, прибыльный), показатель экономической эффективности производства на предприятиях. Комплексно отражает использование материальных, трудовых и денежных ресурсов. Рентабельным считается предприятие, которое приносит прибыль. Можно привести еще одно понятие рентабельности: рентабельность - показатель, представляющий собой отношение прибыли к сумме затрат на производство, денежным вложениям в организацию коммерческих операций или сумме имущества фирмы используемого для организации своей деятельности [6, с. 185].

Разделяют рентабельность как общую - процентное отношение балансовой (общей) прибыли к среднегодовой суммарной стоимости производственных основных фондов и нормируемых оборотных средств; и рентабельность расчетную - отношение расчетной прибыли к среднегодовой стоимости тех производственных фондов, с которых взимается плата за фонды. Применяется также показатель уровня рентабельности к текущим затратам - отношение прибыли к себестоимости товарной или реализованной продукции. Каждое предприятие самостоятельно осуществляет свою производственную и хозяйственную деятельность на принципах самоокупаемости и прибыльности. Предприятие имеет определенные расходы по изготовлению продукции и ее реализации. Эти расходы представляют издержки производства данного предприятия (себестоимость), или индивидуальные издержки. Однако издержки отдельного продукта по предприятиям могут отклоняться от средних издержек по отрасли, которые принимаются за общественно необходимые затраты или стоимость, денежное выражение которых составляет цену продукта. Наличие индивидуальных издержек, порождает обособление другой части стоимости продукции - прибыль, а следовательно, и относительного ее измерения - рентабельности. Однако абсолютная величина прибыли не дает представления об уровне и изменении эффективности производства или торговли.

Сумма прибыли может увеличиваться, а эффективность производства может оставаться на прежнем уровне или даже снизиться. Это происходит в том случае, если прирост прибыли получен за счет экстенсивных (количественных) факторов производства - увеличения численности работников, роста парка оборудования и т.д. Если же при росте численности работников их производительность осталась прежней или снизилась, то эффективность производства соответственно не изменяется или даже снижается [7, с. 123].

Основными отличительными признаками рентабельности в системе торговых и производственных отношений являются следующие:

) отношение прибыли к издержкам производства, характеризующие уровень прибыльности текущих затрат (на приобретение сырья, материалов, топлива, на амортизацию средств труда, расходы по управлению и обслуживанию производства и заработной плате работников);

) отношение прибыли к среднегодовой стоимости производственных фондов, характеризующие относительный размер возрастания авансированных затрат и дающее оценку экономической эффективности производственных фондов. Реальный смысл имеют признаки рентабельности, которые характеризуют эффективность затрат по прибыли, полученной после реализации. Распределительная функция рентабельности конкретно проявляется в том, что ее величина является одним из основных критериев для распределения части прибавочного продукта - прибыли

В широком смысле слова понятие рентабельности означает прибыльность, доходность. Предприятие считается рентабельным, если доходы от реализации продукции (работ, услуг) покрывают издержки производства (обращения) и, кроме того, образуют сумму прибыли, достаточную для нормального функционирования предприятия. Экономическая сущность рентабельности может быть раскрыта только через характеристику системы показателей.

Общий их смысл - определение суммы прибыли с одного рубля вложенного капитала. Анализ рентабельности позволяет оценить способность предприятия приносить доход на вложенный в него (предприятие) капитал [4, с. 123].

Характеристика рентабельности предприятия базируется на расчете четырех основных показателей - рентабельности всего капитала, собственного капитала, основной деятельности и рентабельности продаж. Рентабельность всего капитала (совокупных активов) показывает, имеет ли компания базу для обеспечения высокой доходности собственного капитала. Данный показатель отражает эффективность использования всего имущества предприятия. Снижение рентабельности всего капитала свидетельствует о падающем спросе на продукцию фирмы и перенакоплении активов.

,

где  чистая прибыль,  валюта баланса на конец и на начало года. Этот показатель отражает прибыльность активов, и обусловлен как ценообразовательной политикой предприятия, так и уровнем затрат на производство реализованной продукции.

Существует два основных способа повышения рентабельности активов:

-ый - при низкой прибыльности продукции необходимо стремиться к ускорению оборачиваемости активов и его элементов;

-ой - низкая деловая активность предприятия может быть компенсирована только снижением затрат на производство продукции или рост цен на продукцию, т.е. повышением рентабельности продукции. Рентабельность собственного капитала характеризует эффективность использования собственного капитала. Этот коэффициент является одним из самых важных показателей, используемых в бизнесе, он измеряет общую величину доходов акционеров. Высокое значение данного коэффициента говорит об успехе компании, что ведет к высокому рыночному курсу ее акций и относительной легкости привлечения новых капиталов для ее развития [14, с. 185].

Однако надо иметь в виду, что высокий коэффициент рентабельности собственного капитала может быть связан как с высокой инфляцией, так и с высоким риском компании. Поэтому его интерпретация не должна быть упрощенной и одномерной. Рентабельность собственного капитала показывает, сколько чистой прибыли приходится на рубль собственных средств.

,

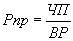
где  величина собственных средств на начало и на конец года. Рентабельность основной деятельности рассчитывается как отношение прибыли от реализации к сумме затрат на производство и реализацию продукции.

,

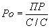
где  прибыль от реализации,  себестоимость реализованной продукции. Она показывает, сколько предприятие имеет прибыли с каждого рубля, затраченного на производство и реализацию продукции. Этот показатель может рассчитываться как в целом по предприятию, так и по его отдельным подразделениям или видам продукции. Повышение рентабельности продукции обеспечивается преимущественно снижением себестоимости единицы продукции. Чем лучше используются основные производственные фонды, тем выше рентабельности производства. При улучшении использования материальных оборотных средств снижается их величина, приходящаяся на 1 руб. реализованной продукции. Следовательно, факторы ускорения оборачиваемости материальных оборотных средств являются одновременно факторами роста рентабельности производства. Этот показатель свидетельствует об эффективности не только хозяйственной деятельности предприятия, но и процессов ценообразования. Его целесообразно рассчитывать как по общему объему реализованной продукции, так и по отдельным ее видам. Рентабельность продаж рассчитывается как отношение чистой прибыли к сумме полученной выручки.

,

где  выручка от реализации продукции,  чистая прибыль предприятия. Этот показатель характеризует эффективность предпринимательской деятельности (сколько прибыли имеет предприятие с рубля выручки).

Рентабельность продаж может рассчитываться как в целом по предприятию, так и по отдельным видам продукции. Если рентабельность продаж постепенно снижается, то причина либо в выросших издержках, либо в повысившихся ставках налога. Следовательно, мы должны обратиться к изучению этих факторов, чтобы найти корень проблемы. Снижение объема продаж может свидетельствовать, прежде всего, о падении конкурентоспособности продукции, так как позволяет предположить сокращение спроса на продукцию [9, с. 93].

Необходимо понимать, что прибыль и рентабельность - это разные понятия. Полученная прибыль для одного предприятия может считаться громадной, а для другого - незначительной. Существуют критерии рентабельности, которые определяют прибыль с учетом величины предприятия.

Таким образом, рассчитывается рентабельность. Это отношение доходов к капиталу, который инвестирован в предприятие. Одним из показателей рентабельности можно считать отношение прибыли (чистой, как в балансе) до уплаты налогов (процентов) к общей сумме долгосрочных финансов. Второй показатель рассчитывается как отношение такой же прибыли после уплаты налогов (процентов) к имеющемуся в наличии акционерному капиталу. Указанные коэффициенты достаточно успешно используются при сравнении двух однородных компаний и их показателей со средними цифрами по данной отрасли. Для корректного сравнения нужно брать показатели рентабельности обязательно не менее чем за три последних года. И сравнивать необходимо несколько показателей одновременно.

1.2 Факторы, влияющие на уровень рентабельности

 

Любое коммерческое предприятие предполагает в качестве основной цели извлечение прибыли. Необходимый уровень прибыли и рентабельности позволяет решать целый комплекс задач, обусловливающих стабильность и эффективность их бизнеса. Однако возможность достижения прибыли проблема сложная, поскольку зависит от влияния множества факторов.

В течение производственного цикла на уровень рентабельности влияет ряд факторов, которые можно разделить на внешние – связаны с воздействием на деятельность предприятия рынка, государства, географического положения и внутренние: производственные и внепроизводственные. Выявление в процессе анализа внутренних и внешних факторов, влияющих на рентабельность, дает возможность «очистить» показатели эффективности от внешнего воздействия [4, с. 123].

Рассмотрим сначала факторы, непосредственно связанные с деятельностью предприятия, которые оно может изменять и регулировать в зависимости от поставленных перед предприятие целей и задач, т.е. внутренние факторы. Которые можно разделить на производственные, непосредственно связанные с основной деятельностью предприятия, и внепроизводственные факторы, которые непосредственно не связаны с производством продукции и с основной деятельностью предприятия.

Внепроизводственные факторы включают в себя снабженческо-сбытовую деятельность, т.е. своевременность и полноту выполнения поставщиками и покупателями обязательств перед предприятием, их удаленность от предприятия, стоимость транспортировки до места назначения и т.д. Природоохранные мероприятия, которые необходимы для предприятий ряда отраслей, например, химической, машиностроительной и т.д. отраслей, и влекут за собой значительные издержки [14, с. 123].

Штрафы и санкции за несвоевременность или не точность выполнения каких-либо обязательств фирмы, например, штрафы в налоговые органы за несвоевременность расчетов с бюджетом. На финансовые результаты деятельности фирмы, а следовательно и на рентабельность косвенно влияют и социальные условия труда и быта работников. Финансовая деятельность предприятия, т.е. управление собственным и заемным капиталом на предприятие, деятельность на рынке ценных бумаг, участие в других предприятиях и т.д.

Производственные факторы, из курса экономической теории известно, что процесс производства состоит из трех элементов: средства труда, предметы труда и трудовые ресурсы. В связи с этим, выделяют такие производственные факторы, как наличие и использование средств труда, предметов труда и трудовых ресурсов. Названные факторы являются основными факторами роста прибыли и рентабельности предприятия, именно с повышением эффективности их использования связываются процессы интенсификации производства.

Влияние производственных факторов на результат деятельности можно оценить с двух позиций: как экстенсивное и как интенсивное. Экстенсивные факторы связаны с изменением количественных параметров элементов процесса производства, к ним относятся:

изменение объема и времени работы средств труда, т.е., например, покупка дополнительных станков, машин и т.д., строительство новых цехов и помещений или увеличение времени работы оборудования для увеличения объема производимой продукции;

изменение количества предметов труда, непроизводительное использование средств труда, т.е. увеличение запасов, большой удельный вес брака и отходов в объеме выпускаемой продукции.

Количественное изменение производственных факторов всегда должно быть оправдано изменением объема выпускаемой продукции, т.е. предприятие должно следить за тем чтобы не снижались тепы прироста прибыли относительно темпов прироста затрат.

Интенсивные производственные факторы связаны с повышением качества использования производственных факторов, к ним относятся:

повышение качественных характеристик и производительности оборудования, т.е. своевременная замена оборудования на более современное с большей производительностью;

использование прогрессивных материалов, совершенствование технологии обработки, ускорение оборачиваемости материалов;

повышение квалификации рабочих, снижение трудоемкости продукции, совершенствование организации труда.

Кроме внутренних факторов на рентабельность предприятия оказывают косвенное воздействие и внешние факторы, которые не зависят от деятельности предприятия, но зачастую достаточно сильно влияют на результат его деятельности [20, с. 223].

Конкуренция и спрос на продукцию предприятия, т.е. наличие на рынке платежеспособного спроса на продукцию фирмы, присутствие на рынке фирм - конкурентов, производящих аналогичный по потребительским свойствам товар.

Источниками для расчета коэффициентов рентабельности служат данные бухгалтерской и финансовой отчетности, внутренних регистров бухгалтерского учета на предприятии. К сожалению публикуемая бухгалтерская и финансовая отчетность не позволяет точно оценить рентабельность предприятия, т.к. на основе ее нельзя определить структуру выпускаемой (реализуемой) продукции, ее себестоимость и цену реализации, структуру заемных средств и расходы, связанные с возвратом заемных средств по каждому кредиту и займу, состав и структуру основных фондов, величину их износа. В качестве основных направлений повышения уровня рентабельности предприятий можно выделить такие как:

- проведение серьезных маркетинговых исследований рынка, прогноз конъюнктуры рынка, определение своей ниши на рынке и потребителей своей продукции и услуг;

увеличение выручки предприятия, которая оказывает огромное влияние на прибыль.

Данное влияние количественно доказывается с помощью эффекта операционного рычага, который свидетельствует о наличии такой взаимосвязи между объемом реализации продукции и прибылью, при которой любое изменение выручки от реализации продукции приводит к более значительному изменению прибыли [3, с. 173].

Повышению рентабельности предприятия способствует внедрение прогрессивных технологий в области организации производства и обслуживания потребителей товаров и услуг; совершенствование организации производства и качества обслуживания; повышение технической оснащенности предприятий и производительности труда; внедрение прогрессивных информационных технологий; стимулирование сбыта продукции и услуг; совершенствование системы организации и оплаты труда работников, повышение мотивации труда и ряд других.

Реализация всех направлений будет реально способствовать повышению рентабельности в данных предприятиях.

 


2. Совершенствование рентабельности фирмы

 

.1 Возможные пути повышения рентабельности фирмы


Показатель рентабельности для любого вида производства является обобщающим и показывающим его экономическую эффективность. Ведь достаточный уровень рентабельности говорит об уровне доходности предприятия, его прибыльности. В связи с этим, повышение рентабельности предприятия является ключевым направлением деятельности по оптимизации расходов и повышению доходов. Как рассчитывается рентабельность?

Расчет рентабельности осуществляется путём сопоставления объема валового дохода или прибыли предприятия с понесенными затратами на производство или объемом используемых ресурсов. Проведя анализ среднего уровня рентабельности можно установить, какая продукция и какие подразделения предприятия дают необходимый уровень доходности, а какие убыточны. Данная информация в условиях конкурентной рыночной экономики является очень важной, ведь финансовые показатели напрямую зависят от концентрации и специализации производства [8, с. 254].

Повышение рентабельности предприятия в ситуации повышения конкуренции является первостепенной задачей. Как известно, главным источником свободных денежных средств предприятия является выручка от реализации изготавливаемой продукции. В связи с этим, ключевым направлением деятельности субъекта является повышение рентабельности производства, путем снижения затрат и соблюдения режима экономии, а также эффективного применения ресурсов, которыми располагает предприятие. Ведь эти затраты определяют уровень доходов и структуру себестоимости. Объем затрат на сырье занимает значительную долю, в связи с чем, повышение рентабельности предприятия и снижение стоимости производимой продукции заметно повлияет на увеличение прибыли. Благодаря этому есть возможность получить увеличение прибыли, что скажется на показателе безубыточной работы организации. Кроме уменьшения расходов на производство товаров, повышение рентабельности продаж также существенно влияет на увеличение количества реализуемой продукции. Для увеличения продаж, кроме маркетинговых мероприятий, должна производиться такая продукция, которая соответствует требованиям потребителей, и будет пользоваться стабильным спросом.

Современная потребительская стратегия фирмы предусматривает деятельность как по привлечению новых клиентов, так и по сохранению уже имеющихся клиентов. Обычно компании больше внимания уделяют привлечению новых клиентов, так как непрерывное увеличение числа потребителей является абсолютным законом для каждого предпринимателя. Однако фирме очень важно иметь также постоянных посетителей. По результатам зарубежных исследований, приобретение нового клиента стоит в несколько раз дороже, чем сохранение уже имеющегося. Зачастую, даже более низкие цены конкурентов не могут изменить решение постоянного клиента воспользоваться предложением «своей» фирмы, о качестве услуг которой у него сложилось высокое мнение. Более того, довольный потребитель способствует привлечению новых клиентов: родственников, друзей [10, с. 543].

На каждом предприятии на постоянной основе должны быть ответственные подразделения, которые осуществляют анализом себестоимости произведенной продукции, а также осуществляться полномасштабная программа ее снижения. Она должна иметь комплексный характер, учитывать все возможные факторы, которые влияют на формирование затрат производства и реализации. Позитивное влияние на повышение рентабельности предприятия оказывают мероприятия, направленные на оптимизацию использованного рабочего времени. К ним относится: - поддержание оптимального числа рабочего персонала; - снижение затрат на подразделения, которые являются сопутствующими и не участвуют в производстве; - постоянная работа над повышением уровня квалификации работников, посредством чего, будет улучшаться производительность труда, опережая среднюю заработную плату; - использование прогрессивных систем оплаты, повышение заинтересованности рабочих в улучшении производительности; - автоматизация процессов производства, которая снижает затраты на фонд оплаты труда; - повышение мотивации труда [2, с. 341].

Также имеет существенное значение сокращение размера накладных затрат на эксплуатацию и менеджмент производственного процесса. Этому содействует рост объемов производства продукции за счет осуществления реконструкции, технического обновления предприятия, снижения размера административно-управленческого аппарата и вспомогательных служб, а также за счет совершенствования процесса управления производством.

Она должна получить конкурентное преимущество, то есть наделить свой товар свойством, которое делает его более привлекательным для потребителей, чем схожий товар конкурента. Конкурентное преимущество на рынке достигается двумя основными способами: снижением цен или дифференциацией производства.

Рост требований к качеству услуги, дифференциация спроса ставят перед предприятиями сложную проблему - найти оптимальное соотношение между низкой ценой и разнообразием предлагаемых услуг. В одном случае успеха можно достигнуть путем снижения издержек, а соответственно и цен. Производство и реализация товара должны обходится предприятию дешевле, чем его конкурентам. В другом случае предприятие может предложить услуги, способные лучше удовлетворить запросы потребителей, но требующие более высоких затрат.

Целью планирования прибыли является обеспечение роста ее размера и повышения рентабельности на основе увеличения оборота и улучшения его структуры, наиболее эффективного использования материальных, трудовых и финансовых результатов при обязательном сокращении потерь времени населения. Экономической основой составления плана прибыли является:

запланированный объем и структура оборота;

задание на плановый период по приросту сети;

изменения в организационной структуре, ставках, тарифах, уровнях торговых надбавок и наценок и других условий расчета.

При планировании прибыли можно использовать:

прогноз рентабельности;

анализ ликвидности баланса;

оценку перекрытия ликвидности;

регрессное определение минимального оборота.

При прогнозировании прибыли от реализации продукции (работ, услуг) используются среднегодовые темпы изменения рентабельности за 3 - 5 лет, предшествующих планируемому периоду. При изменении условий формирования доходов и затрат предприятия это темпы корректируются. Сумму прибыли можно определять как произведение прибыли от реализации текущего года на спрогнозированный темп ее изменения в плановом году, или как произведение запланированного товарооборота на проектируемую рентабельность деленное на 100 [14, с. 129].

Оценивая возможный уровень рентабельности можно соизмерить величину прибыли с расходами и объемом товарооборота. Для этого определяют точку преломления прибыли и убытков или порог рентабельности. Эта точка характеризует такой объем оборота, когда нет убытков, но нет и прибыли. Определение критической точки может осуществляться расчетным или графическим способами.

Одним из вариантов анализа лимита рентабельности является оценка перекрытия ликвидности. В этом случае издержки предприятия подразделяются на денежные расходы и те, которые с ними не связаны, например, амортизация. Точка пересечения кривой части стоимости, соответствующая денежным расходам с кривой оборота показывает величину минимального оборота, необходимого для сокращения ликвидности.

 

.2 Слияние и поглощение как способ повышения рентабельности фирмы

 

Конкурентные преимущества реализуются не только в снижении издержек и дифференциации производства, но и в дальнейшем усилении своих позиций на рынке. В недалеком прошлом производители стремились иметь в своем владении и контролировать значительную долю ресурсов, которые им были необходимы. В современных условиях не все ресурсы могут эффективно использоваться в рамках отдельного предприятия. Поэтому получила широкое развитие межфирменная кооперация, основанная на связях между экономически и территориально обособленными предприятиями по поводу взаимных поставок специализированной продукции в рамках общей производственной программы [16, с. 52].

Межфирменную кооперацию следует рассматривать как форму организации производства, при которой несколько фирм участвуют в изготовлении определенного товара. Она охватывает практически все стороны хозяйственной деятельности, в том числе и торговые отношения. Кооперация как бы раздвигает границы собственности, увеличивая возможности концентрации производства.

Во-первых, межфирменные отношения в сфере производства дополняются связями в сфере обращения (через цены, раздел рынков сбыта и др.).

Во-вторых, процесс концентрации в рамках отдельной фирмы не может быть бесконечным. Наступает момент, когда истощаются все возможности дальнейшего сокращения затрат при увеличении объема производства. Масштабы производства могут привести как к экономии, так и к убыткам. Для концентрации производства существует технический предел, который выражается по отношению к конкретному рынку в рациональном сочетании факторов производства на оптимальном по величине предприятии. Нарушение этого предела ведет к нарастанию таких явлений, как непроизводительное расходование ресурсов, несогласованность действий между отдельными звеньями, бюрократизм в управлении, и как следствие - к снижению рентабельности.

Расширение производства за счет капитализации прибыли достигается созданием объединений, холдинговых компаний через слияния и поглощения. В результате слияний происходит повышение эффективности производства, поскольку они сопровождаются ликвидацией параллельных административных, научно-исследовательских и организационных структур. Выгоды от слияния для предприятия проявляются в следующем:

уменьшается внутриотраслевая конкуренция, и усиливаются позиции предприятия на конкретном рынке;

достигается снижение издержек за счет объединения обслуживающих производство подразделений с одинаковыми функциями;

увеличивается рыночная стоимость объединяющихся компаний;

углубляется диверсификация производства, происходит усиление экономической власти за счет привлечения новых финансовых механизмов, получения доступа к источникам информации и др.

Различие между слиянием и поглощением условно и касается исключительно финансовой стороны сделки. При слиянии объединение предприятий происходит на добровольной основе по обоюдному согласию.

Слияние двух равных компаний - наиболее привлекательная схема интеграции. Обычно такое объединение называют дружественным слиянием. Термин «поглощение» чаще всего применяется к объединению разнородных предприятий или компаний, географически удаленных друг от друга и действующих на разных рынках Поглощения осуществляются на принудительной основе, когда одна компания борется за получение контроля над другой против ее желания. Такое слияние называется враждебным поглощением [8, с. 63].

Слияние - довольно сложный, длительный и дорогостоящий процесс. Они требуют значительных финансовых затрат: на оплату услуг консультантов и оборудование офиса новейшей техникой, внедрение нового менеджмента или товара. Как показывает практика, более половины слияний неэффективны.

Причины такого положения заключаются в следующем:

поглощающая компания неправильно оценила привлекательность нового рынка или конкурентную позицию на данный момент;

обе компании недооценили объем необходимых инвестиций;

слияние осуществлено непрофессионально.

Используются различные типы слияний. Наибольший экономический эффект обеспечивают горизонтальные и вертикальные слияния. Под горизонтальным слиянием понимают объединение в одну компанию конкурентов, производящих однородную иди схожую продукцию т находящихся на одной ступени производства горизонтальная интеграция осуществляется с целью дальнейшей диверсификации производства и усиления конкурентных позиций на рынке, для увеличения прибыли и повышения рентабельности предприятия. Речь идет о слиянии технологически не связанных производств, о поглощении предприятия турфирмой, клиенты которой регулярно покупают продукцию данного предприятия.

Горизонтальные объединения дополняются вертикальными слияниями, когда происходит объединение в одну компанию предприятий, связанных между собой отношениями купли - продажи и осуществляющих разные стадии производства. Вертикальная интеграция для индустрии туризма является очень эффективной формой слияния, когда в рамках одного объединения осуществляются все этапы реализации туристского продукта.

Вертикальная интеграция может осуществляться как сверху вниз, так и снизу вверх. В первом случае компания поглощает предприятие, которое находится ближе к потребителю [11, с. 123].

Возможна конгломеративная интеграция, когда объединяются предприятия, технологически не связанные друг с другом и действующие на разных рынках.

При осуществлении межфирменной интеграции возможны две крайности. Во-первых, полное отсутствие вертикальной интеграции.

Во-вторых, стремление к созданию огромных компаний, в состав которых входили бы по вертикали агентства. Предприятие рискует выйти за пределы своей компетенции. Как показывает мировой опыт, подобный путь развития компании не приносит желаемых результатов. Конгломераты не устойчивы, легко распадаются в условиях спада и ухудшения экономической конъюнктуры. Цель создания гигантских конгломератов - финансовая: стремление повысить прибыль на внешние капиталы, избежать значительных потерь от колебания конъюнктуры.

 


3. Анализ рентабельности ООО Селена Сервис г. Брянск

 

.1 Экономическая характеристика ООО Селена Сервис

 

ООО Селена Сервис согласно действующему законодательству признается обществом с ограниченной ответственностью, которое действует на основании устава и законодательства РФ. По форме ООО Селена Сервис является хозяйственным субъектом. Срок деятельности Организации - не ограничен во времени. Форма собственности Общества - частная.

ООО Селена Сервис как юридическое лицо считается созданным с момента его государственной регистрации в соответствии с установленным порядком государственной регистрации юридических лиц.

Предприятие в своей деятельности руководствуется Гражданским кодексом Российской Федерации, законом РФ «О потребительской кооперации (потребительских обществах, их союзах) в Российской Федерации», а также настоящим Уставом. Предприятие создано на неопределенный срок.

Организация имеет самостоятельный баланс, расчетный и иные счета в учреждениях банков, фирменное наименование, печать с наименованием и фирменным знаком.

Полное наименование организации: Общество с ограниченной ответственностью Селена Сервис

Сокращенное наименование: ООО Селена Сервис.

Основная цель деятельности ООО Селена Сервис» как коммерческой организации состоит в обеспечении рентабельной работы и получении прибыли в сфере услуг по ремонту и обслуживанию бытовой аппаратуры.

Общество может осуществлять и другие виды деятельности, в порядке и на условиях, определяемых действующим законодательством, с получением соответствующих разрешений и лицензий.

Организация самостоятельно планирует свою хозяйственную деятельность. Общество реализует свою продукцию, услуги, работы, по ценам и тарифам, устанавливаемым самостоятельно или на договорной основе.

Предприятие через расчетный, или иные счета в банках, производит кассовые и кредитно-расчетные операции в рублях (иностранной валюте) по наличному и безналичному расчету, и иными платежными средствами.

Общество может строить, приобретать, отчуждать, брать и сдавать в аренду, во временное пользование здания, сооружения, оборудование, земельные участки, приобретать у граждан и юридических лиц сырье, материалы, иную продукцию и товары, не запрещенные к обороту законодательством Российской Федерации законом «Об обществах с ограниченной ответственностью».

Для достижения своих целей Общество:

а) изучает конъюнктуру рынка товаров и услуг, в связи с чем производит исследовательские работы;

б) осуществляет маркетинговую деятельность;

в) на договорных условиях получает кредиты;

Прибыль, полученная предприятием в результате его деятельности и оставшаяся после налогообложения, используется для формирования необходимых фондов.

Чистая прибыль, остающаяся в распоряжении предприятия, выплачивается в качестве дивидендов в порядке и размерах, определенных последними.

 

.2 Анализ рентабельности ООО Селена Сервис

Организация считается рентабельной, если доходы от продажи товаров покрывают издержки обращения и, кроме того, образуют сумму прибыли, достаточную для нормального функционирования организации.

Показатели рентабельности характеризуют эффективность работы организации в целом, доходность различных направлений деятельности (производственной, предпринимательской, инвестиционной), окупаемость затрат и т.д. Их используют для оценки динамики развития, в сравнительном анализе с показателями других организаций.

Рентабельность является одним из важнейших оценочных показателей финансово-хозяйственной деятельности организаций и отражает то, насколько эффективно организация использует свои средства в целях получения прибыли.

В настоящее время нет единого мнения в вопросах определения рентабельности, ее анализа и планирования. Отсутствует единая терминология, а методики расчета одних и тех же показателей различны. Отсюда возникают расхождения в определении экономической сущности того или иного показателя, что может привести к ошибочным выводам в аналитической работе.

Сравнение уровней показателей рентабельности является важным средством в оценке результатов деятельности организации и ее перспектив, хотя на практике более существенным может оказаться субъективное мнение компетентного аналитика, профессиональный опыт которого позволяет определить собственные стандарты тех или иных показателей рентабельности (таблица 1).

Таблица 1. Оценка рентабельности ООО Селена Сервис

Наименование

формула

2013 год%

2014 год%

Отклонение (+;-)

Рентабельность продаж

Рпр=Пр/ВР*100% Рпр - прибыль ВР - выручка

6,9

5,8

-1,1

Рентабельность продукции

10,4

8,6

-1,8

Общая рентабельность активов

РА0= Пр / Аср*100% Рпр - прибыль Аср - активы (среднее)

23,2

15,6

-7,6

Чистая рентабельность активов

РАч=ЧП/ Аср*100% ЧП - чистая прибыль Аср - активы (среднее)

19,7

11,9

-7,8

Рентабельность собственного капитала

Рск=ЧП/СК*100% ЧП - чистая прибыль СК - собственный капитал

36,8

21,8

-15

Прибыль от продаж

Ппр=ВР - З ВР - выручка З - затраты

34978

30492

-4486

Чистая прибыль на 1 руб. оборота

Чп=ЧП/ВР*100%

4,7

3,6

-1,1


Для анализа финансовых результатов деятельности составим таблицу №2

Таблица 2. Анализ финансовых результатов ООО Селена Сервис

Наименование показателя

За 2013 год

За 2014 год

Отклонение

Удельный вес

Отклоне-ние +/ - ;%




+/-тыс. руб.

%

2013

2014


Выручка

104796

95090

-9706

-9,3

100

100

-

Себестоимость продаж

69818

64598

-5220

-7,5

66,6

67,9

+1,3

Коммерческие расходы

27747

24952

-2795

-10

26,5

26,2

-0,3

Прибыль (убыток) от продаж

7231

5540

-1691

-23,4

6,9

-1,1

Проценты к уплате

472

137

-335

-71

0,5

0,1

-0,4

Прочие доходы

1019

1293

+274

+26,9

1

1,4

+0,4

Прочие расходы

2029

2183

+154

+7,6

1,9

2,3

+0,4

Прибыль (убыток) до налогообложения

5749

4513

-1236

-21,5

5,5

4,7

-0,8

Налог на прибыль

860

1059

+199

+23,1

0,8

1,1

+0,3

Прочее

0

18

+18

+18

0

0,02

+0,02

Чистая прибыль (убыток)

4889

3436

-1453

-29,7

4,7

3,6

-1,1




Анализ финансовых результатов работы предприятия за 2013, 2014 год показа, что выручка снизилась на 9,3%, себестоимость уменьшилась на 7,5%.Удельный вес затрат в стоимости реализованной продукции увеличился с 66,6% до 67,9%.Как следствие, удельный вес прибыли в реализованной продукции сократился на 1,1% по сравнению с 2013 годом.

Балансовая прибыль также уменьшилась на 21,5% по сравнению с предыдущим годом. Это произошло вследствие роста прочих расходов на 7,6% и прочих доходов на 26,9%.

В связи с увеличением налога на прибыль, чистая прибыль, остающаяся в распоряжении предприятия сократилась на 29,7% по сравнению с предыдущим годом и составила 3436 тыс. рублей против 4889 тыс. рублей в 2013 году. Понижение рентабельности предприятия вызвано балансовой и чистой прибыли из-за увеличения прочих расходов и недостаточностью прибыли от реализации прдукции, в связи с увеличением доли затрат в стоимости реализованной продукции.

Из произведенных расчетов мы видим, что рентабельность продаж снизилась до 5,8% в 2014 году, против 6,9% - в предшествующем, т.е. прибыль с каждого рубля реализованной продукции снизилась на 1,1 копейку. Рентабельность основной деятельности уменьшилась на конец 2014 года на 1,8% по сравнению с 2011 годом, т.е. прибыль, получаемая с каждого рубля затраченного на производство и реализацию продукции, уменьшилась на 1,8 копейки. Понижение рентабельности продаж и основной деятельности говорит о том, что руководство предприятия следует пересмотреть в сторону уменьшения расходов связанных, с производством м реализацией продукции, отнесенные на себестоимость.

Рентабельность всего капитала предприятия за 2014 год уменьшилась на 7,8% по сравнению с прошлым годом и составила 11,9%, т.е. прибыль с каждого рубля, вложенного в имущество в 2013 году, уменьшилась на 7,8 копеек.

Рентабельность собственного капитала также понизилась. Прибыль, приходящаяся на один рубль собственного капитала, вложенного в производство, уменьшилась на 15 копеек и составила 21,8 копейки в 2014 году, против 36,8 копеек в 2013 году.

Чистая прибыль на 1 рубль оборота в 2013 году составляла 4,7 копеек, в 2014 году 3,6 копейки.

Показатель рентабельности продаж получил широкое применение в рыночной экономике. Он характеризует эффективность предпринимательской деятельности: сколько прибыли имеет организация с одного рубля продаж. Рентабельность продаж определяется как отношение прибыли от продаж или чистой прибыли к сумме полученной выручки, т.е.:

p= Pn/N или Rp= Pч/N (1)

где Rp - рентабельность продаж;

Рп - прибыль от продаж;

Рч - чистая прибыль;- выручка от продажи.

Как в прошлом, так и в отчетном годах в организации наблюдается рентабельность продаж по прибыли от продаж соответственно 6,9% и 5,8%. Снижение рост рентабельности продаж происходит вследствие уменьшения размеров прибыли от продаж в отчетном году на 1691 тыс. руб., или на 23,4%.

В практике экономического анализа часто используется показатель рентабельности продаж, рассчитанный по чистой прибыли, поэтому рассмотрим влияние факторов именно на этот показатель.

Rp (прош.) =4889:104796=0,0467

Rp (скор.) =3636:104796=0,0328

Rp (отч.) = 3436:95090=0,0361

Влияние ∆N = Rp (скор.) - Rp (прош.) = 0,0328 - 0,0467 = -0,0139

Влияние ∆N = Rp (отч.) - Rp(скор.) = 0,0361 - 0,0328 = 0,0033

Совокупное влияние факторов: - 0,0106.

Расчет рентабельности продаж приведен в таблице 3.

Таблица 3. Расчет рентабельности продаж ООО Селена Сервис

Показатели

Условные обозначения

Прошлый год

Отчетный год

Отклонения

В процентах к прошлому году, %

1. Чистая прибыль, тыс. руб.

Рч

4889

3436

-1453

70,3

2. Прибыль от продаж, тыс. руб.

К

7231

5540

-1691

76,6

3. Выручка от продажи, тыс. руб.

N

104796

95090

-9706

90,7

4. Рентабельность продаж (по чистой прибыли), единиц

PJN

0,0467

0,0361

-0,0106

77,3

5. Рентабельность продаж (по прибыли от продаж), единиц

Pn/N

0,0690

0,0583

-0,0107

84,5


Таким образом, видно, что на рентабельность продаж (по чистой прибыли) наибольшее отрицательное влияние (0,0139 единиц) оказало снижение чистой прибыли на 1453 тыс. руб., а уменьшение выручки от продажи на 9706 тыс. руб. повысило рентабельность продаж на 0,0033 единиц.

Рентабельность продаж также можно представить в виде следующей модели:

Pp = (N-S-KP-УР)/N*100%=P/N*100% (2)

где Rp - рентабельность продаж;- выручка от продажи;- себестоимость проданных товаров;

КР - коммерческие расходы;

УР - управленческие расходы.

Из этой факторной модели следует, что на рентабельность продаж влияют выручка от продажи, себестоимость проданных товаров, коммерческие расходы и управленческие расходы.

Заключение

Целью курсовой работы было изучение теоретических основ показателей рентабельности предприятия, выявление путей повышения рентабельности и изучение факторов, влияющих на уровень рентабельности.

Предметом данной курсовой работы была рентабельность финансово-экономической деятельности. В курсовой работе были рассмотрены и изучены следующие задачи:

- изложить теоретические основы рентабельности и ее роль в оценке эффективности фирмы;

выявить возможные пути повышения рентабельности фирмы;

провести анализ рентабельности ООО Селена Сервис г. Брянск.

В процессе написания работы были использованы: специальная научная и учебная литература, публикации в периодической печати, бухгалтерская отчетность анализируемого предприятия ООО Селена Сервис.

В работе приведены расчеты и анализ основных показателей рентабельности.

В работе раскрыты основные показатели рентабельности предприятия, рассмотрены основные методики их анализа.

В процессе исследования было выявлено, что рентабельность - это показатель, представляющий собой отношение прибыли к сумме затрат на производство, денежным вложениям в организацию коммерческих операций или сумме имущества фирмы используемого для организации своей деятельности.

Факторные модели рентабельности раскрывают важнейшие причинно-следственные связи между показателями финансового состояния предприятия и финансовыми результатами. Поэтому они являются незаменимым инструментом оценки сложившейся ситуации. Методология факторного анализа показателей рентабельности предусматривает разложение исходных формул расчета показателя по всем качественным и количественным характеристикам.

На основании данных по рассчитанным показателям рентабельности исследуемого предприятия были сделаны выводы о том, что исследуемом году показатели рентабельности незначительно снизились. Основными резервами роста рентабельности продаж исследуемой организации являются: снижение себестоимости, коммерческих расходов, издержкоемкости; рост выручки от продажи, валовой прибыли (дохода); ускорение оборачиваемости имущества и капитала.

В ходе анализа было выявлено, что на рентабельность продаж (по чистой прибыли) наибольшее отрицательное влияние (0,0139 единиц) оказало снижение чистой прибыли на 1453 тыс. руб., а уменьшение выручки от продажи на 9706 тыс. руб. повысило рентабельность продаж на 0,0033 единиц.

Уровень эффективности использования имущества в отчетном году сократился на 0,0481 единицы, что вызвало снижение рентабельности продаж на 1,34%.

В организации имеет место ускорение оборачиваемости товарных запасов. Ускорение оборачиваемости товарных запасов привело к снижению рентабельности продаж на 0,34%, а снижение доли оборотных средств в имуществе, увеличение товарных запасов в оборотных активах понизило рентабельность продаж на 0,05.

На анализируемом предприятии темп роста производительности труда (120,98%) ниже темпа роста средней заработной платы на одного работника (123,6%), т.е. соотношение этих показателей составило (0,979%). Рентабельность всего капитала предприятия за 2014 год уменьшилась на 7,8% по сравнению с прошлым годом и составила 11,9%, т.е. прибыль с каждого рубля, вложенного в имущество в 2013 году, уменьшилась на 7,8 копеек.

Рентабельность собственного капитала также понизилась. Прибыль, приходящаяся на один рубль собственного капитала, вложенного в производство, уменьшилась на 15 копеек и составила 21,8 копейки в 2014 году, против 36,8 копеек в 2013 году.

Подводя итоги исследования рентабельности продаж, можно отметить следующее. Рентабельность продаж, рассчитанная по чистой прибыли, снизилась в отчетном году на 0,0106 единицы, или на 22,7% за счет сокращения чистой прибыли и уменьшении выручки от продажи.

Определили пороговую выручку и запас прочности, который составил 18%.Если в силу изменения рыночной ситуации выручка фирмы сократится менее чем на 18%, то фирма будет получать прибыль, если более 18% - окажется в убытке.

Руководству предприятия следует принять меры по недопущению дальнейшего ухудшения финансового состояния и выработать мероприятия по более рациональному управлению капиталом предприятия с целью повышения эффективности финансово-экономической деятельности.

Список литературы

1. Агарков, А.П. Экономика и управление на предприятии / А.П. Агарков [и др.]. - М.: Дашков и Ко, 2013. - 400 с.

2.      Бабук, И.М. Экономика промышленного предприятия / И.М. Бабук, Т.А. Сахнович. - М.: ИНФРА-М, 2013. - 439 с.

.        Баскакова, О.В. Экономика предприятия (организации) / О.В. Баскакова, Л.Ф. Сейко. - М: Дашков и К, 2013. - 372 с.

.        Горфинкель, В.Я. Экономика предприятия / В.Я. Горфинкель. - М.: ЮНИТИ-ДАНА, 2013. - 663 с.

.        Елисеева, Т.П. Экономика и анализ деятельности предприятий / Т.П. Елисеева, М.Д. Молев, Н.Г. Трегулова. - Ростов-на-Дону: Феникс, 2011. - 480 с.

.        Иванов, И.Н. Экономика промышленного предприятия: учебник / И.Н. Иванов. - Москва: Инфра-М, 2011. - 393 с.

.        Клочкова, Е.Н. Экономика предприятия / Е.Н. Клочкова, В.И. Кузнецов, Т.Е. Платонова. - М.: Юрайт, 2014. - 448 с.

.        Чалдаева, Л.А. Экономика предприятия: учебник / Л.А. Чалдаева. - Москва: Юрайт, 2011. - 347 с.

.        Шепеленко, Г.И. Экономика, организация и планирование производства на предприятии: учебное пособие / Г.И. Шепеленко. - Ростов-на-Дону: МарТ, 2010. - 608 с.

.        Уткин Э.А. Управление фирмой. - М.: «Акалис», 2011.

.        Экономика и финансы предприятия / под ред. Т.С. Новашиной. - М.: Синергия, 2014. - 344 с.

.        Экономика, организация и управление на предприятии: учебное пособие / [А.В. Тычинский и др.]. - Ростов-на-Дону: Феникс, 2010. - 475 с.

.        Экономика, организация и управление на предприятии / под ред. М.Я. Боровской. - Спб: Феникс, 2010. - 480 с.

.        Экономика предприятий (организаций): учебник / А.И. Нечитайло, А.Е. Карлик. - Москва: Проспект: Кнорус, 2010. - 304 с.

.        Экономика предприятия: учебник / [В.М. Семенов и др.]. - Санкт-Петербург: Питер, 2010. - 416 с.

.        Экономика предприятия: учебный комплекс / Л.А. Лобан, В.Т. Пыко. - Минск: Современная школа, 2010 - 429 с.

.        Экономика предприятия (организации): учебник / [Н.Б. Акуленко и др.]. - Москва: Инфра-М, 2011. - 638 с.

.        Экономика предприятия: учебник / [А.П. Аксенов и др.]. - Москва: КноРус, 2011. - 346 с.

.        Экономика фирмы: учебник / [А.С. Арзямов и др.]. - Москва: Инфра-М: Национальный фонд подготовки кадров, 2010. - 526, [1] с.

.        Экономика фирмы: учебник для вузов / [В.Я. Горфинкель и др.]. - Москва: ИД Юрайт, 2011. - 678 с.

Похожие работы на - Факторы, влияющие на уровень рентабельности фирмы

 

Не нашли материал для своей работы?
Поможем написать уникальную работу
Без плагиата!
Без нейросетей!