Малый бизнес в России: сущность, роль в экономике страны, преимущества и недостатки.

  • Вид работы:
    Реферат
  • Предмет:
    Эктеория
  • Язык:
    Русский
    ,
    Формат файла:
    MS Word
    203,18 Кб
  • Опубликовано:
    2014-08-16
Вы можете узнать стоимость помощи в написании студенческой работы.
Помощь в написании работы, которую точно примут!

Малый бизнес в России: сущность, роль в экономике страны, преимущества и недостатки.

 

 

 

 

 

 

 

 

 

 

 

 

 

Малый бизнес в России: сущность, роль в экономике страны, преимущества и недостатки


 

Введение


Малое предпринимательство - один из основных стабилизирующих элементов экономического развития, синоним гибкости и приспособления к окружающей обстановке, преодоления кризисных ситуаций.

П. Хоукен, американский предприниматель и публицист.[1]

 

Актуальной проблемой в наше время является развитие малого бизнеса. Бизнес - это деятельность, направленная на получение прибыли; любой вид деятельности, приносящий доход или иные личные выгоды. В частности малый бизнес - бизнес, опирающийся на предпринимательскую деятельность небольших фирм, малых предприятий, формально не входящих в объединения.

Необходимо отметить, что малый бизнес в России уже имеет довольно широкую правовую основу, но она недостаточна. Проблема состоит в том, что она однобока и принятые правовые аспекты не реализуются, что делает абсурдным принятие каких-либо новых нормативно-правовых актов.

Что же касается сферы деятельности, то малый бизнес имеет свою нишу в экономике, которая обеспечивает наиболее эффективную отдачу от работы, как с целыми предприятиями-гигантами, так и с отдельным человеком. Данная позиция обусловлена особенностями и функциями малого предприятия.

Особенности малых фирм, в первую очередь, определяются их размером. Отсюда вытекает и особая роль руководителя, и небольшой рынок сбыта, и исключительная гибкость в предоставлении товаров и услуг и высокая доля оборотного капитала и многие другие черты, присущие только субъектам малого бизнеса.

В России использование экономического потенциала малого предпринимательства и его ориентация на обеспечение устойчивого развития страны и ее регионов пока не являются реальным приоритетом государственной политики, что обусловлено несовершенством системы государственной поддержки.

Малый бизнес в России сталкивается с большими трудностями, среди которых можно выделить общую экономическую нестабильность, несовершенство законодательства и налоговой системы, финансовые проблемы, отсутствие необходимых знаний, навыков и опыта. Поддержка малого предпринимательства должна стать одним из приоритетов экономической политики государства. Усиливающаяся экономическая и социальная значимость малого предпринимательства должна подкрепляться мерами государственной поддержки, прежде всего на региональном и муниципальном уровнях. Все это и обусловило актуальность выбранной темы.

Цель работы: проанализировать состояние малых предприятий России, выявить проблемы развития и пути их решения.

Объектом исследования является малое предпринимательство.

В соответствии с целью и объектом работы решались следующие задачи:

определить сущность и роль малого бизнеса.

рассмотреть развитие малого предпринимательства в России.

проанализировать современное состояние и проблемы.

оценить государственное регулирование малого бизнеса.

выявить перспективы.

Значимость изучения проблематики малого предпринимательства усиливается тем, что именно малому бизнесу, пожалуй, менее всего повезло в отношении государственной и иной поддержки. Недооценка малого предпринимательства, игнорирование его экономических и социальных возможностей могут быть квалифицированы как крупный, стратегический просчет, чреватый многочисленными народнохозяйственными негативами, усугублением кризиса российской экономики в целом.

Без поддержки государства и без собственного внутригруппового взаимодействия малый бизнес не всегда способен успешно противостоять в конкурентной борьбе крупному капиталу, отстаивать свои экономические, политические и социальные интересы.

Сложившееся положение открывает безграничные возможности для коррупции, наиболее массовой жертвой, которой на местном уровне является представитель малого бизнеса.

Государство не желает видеть в секторе малого предпринимательства равноправного субъекта экономических отношений, наиболее активного и подвижного участника процесса рыночных преобразований, который при минимальных собственных ресурсах обеспечивает высокую оборачиваемость капиталовложений. Мелкий собственник не имеет каких-либо существенных преимуществ в кредитно-финансовой и в налоговой системах, в таможенной защите, испытывает значительные препятствия в развитии бизнеса, действует в необычайно сложных для выживания условиях. Для представителя малого предпринимательства становится невыгодной какая - либо предпринимательская деятельность в сфере производства, и в большей мере он стремится утвердиться в торговле и посредничестве, а ведь именно перелив капитала из сферы обращения в сферу производства так необходим сейчас для российской экономики.

. Сущность малого предпринимательства

С переходом экономики РФ на рыночные отношения, началом развития малого бизнеса стали входить такие понятия, как «малый бизнес», «малые предприятия», «предприниматели малого бизнеса», «предпринимательство и малый бизнес» и др. «Бизнес - это деятельность, осуществляемая частными лицами или организациями для извлечения природных благ, производства или оказания услуг в обмен на другие товары, услуги или деньги, ведущая к взаимной выгоде заинтересованных лиц или организаций». Сущность малого бизнеса трактуется таким образом: «Малое предприятие - небольшое предприятие любой формы собственности, характеризуемое, прежде всего, ограниченным числом работников и занимающее крайне небольшую долю в общем по стране, региону, объеме деятельности, являющейся профильной для предприятия». В большинстве определений подчеркивается, что бизнес - деятельность частных лиц и организаций, то есть бизнес основан на частной, негосударственной форме собственности. При этом все же не следует отрицать наличие государственного малого бизнеса. [2]

Основной причиной роста малого бизнеса в развитых странах является структурная перестройка и неудовлетворенный спрос на рабочую силу в ряде отраслей. Наиболее квалифицированная часть безработных, не найдя работу, создает свои собственные мини-предприятия, которые обеспечивают им занятость и приемлемый доход. В 90 гг. в эти процессы начали активно включаться женщины и молодежь, для которых создание собственного бизнеса являлось единственной альтернативой безработице.

Большую роль в росте числа малых предприятий играет стремление молодых преуспевающих менеджеров среднего звена попробовать реализовать полученные в рамках большой компании навыки и попробовать себя в качестве предпринимателя. Ряд квалифицированных работников создают небольшие предприятия, стремясь застраховаться на случай снижения заработной платы или увольнения.

Еще одна причина роста числа малых предприятий - это неудовлетворенный спрос на товары в ряде отраслей.

В самом общем виде под малым бизнесом понимается предпринимательская деятельность, осуществляемая субъектами рыночной экономики при определенных, установленных законом, государственными органами и другими представительными организациями критериях (показателях), конституирующих сущность данного понятия.

К малому предприятию относится коммерческая организация в любой сфере деятельности, которая по своим критериям, установленным государством, относится к малому бизнесу. Предприниматели без образования юридического лица также относятся к малому бизнесу. Экономика любого государства не может нормально развиваться без оптимального сочетания крупного, среднего и малого бизнеса. Это доказывает вся история экономического развития ведущих стран мира. Роль и значение малого предпринимательства необходимо рассматривать с нескольких позиций, экономической, научно-технической, социальной, политической. С экономической стороны роль и значение малого бизнеса можно определить при помощи следующих показателей:

• доли валового внутреннего продукта (ВВП), создаваемого в малом бизнесе;

• доли национального дохода, создаваемого в малом бизнесе;

• доли мелких предприятий в общем количестве коммерческих предприятий;

• доли трудоспособного населения, занятого в малом бизнесе;

• доли малого бизнеса в экспорте продукции;

• доли налогов, поступающих от малого бизнеса, в их общей величине;

• доли основного капитала, функционирующего в малом бизнесе;

• доли отдельных видов продукции или услуг, производимых малым бизнесом, в общем их объеме и др.

С увеличением значений этих показателей, естественно, возрастает роль малого бизнеса в экономике страны. Доля малых предприятий В ВВП США составляет 52%, странах ЕС- 67%, Японии-55%. Необходимо отметить, что в бывшем СССР не уделялось должного внимания развитию малого бизнеса, а приоритет отдавался крупным и средним предприятиям, что привело в конечном итоге к монополизации промышленного производства. С переходом на рыночные отношения это стало существенным тормозом для развития национальной экономики.[2]

2. Роль малого предпринимательства в экономике

Этот сектор экономики создает необходимую атмосферу конкуренции, способен быстро реагировать на любые изменения рыночной конъюнктуры, заполнять образующиеся ниши в потребительской сфере, создает дополнительные рабочие места, является основным источником формирования среднего класса, то есть расширяет социальную базу проводимых реформ.

Во-первых, он обеспечивает необходимую мобильность в условиях рынка, создает глубокую специализацию и кооперацию, без которых немыслима его высокая эффективность. Во-вторых, он способен не только быстро заполнять ниши, образующиеся в потребительской сфере, но и сравнительно быстро окупаться. В-третьих, - создавать атмосферу конкуренции. В-четвертых (и это, пожалуй, самое главное), он создает ту среду и дух предпринимательства, без которых рыночная экономика невозможна.

Важность малых предприятий еще и в том, что ведя ожесточенную конкурентную борьбу за выживание, они вынуждены постоянно развиваться и адаптироваться к текущим условиям рынка, ведь чтобы существовать, надо получать средства к существованию, а значит быть лучше других, чтобы прибыль доставалась именно им.

Необходимо дать свободу для развития предприятий малого бизнеса. Они могут дать России необходимую насыщенность рынка, тенденцию к устойчивости цен, среду конкуренции, которой так не хватает крупным монополистам-гигантам, из-за чего страдало качество, а процесс внедрения новых технологий всегда был заторможен.

Наконец, развитие малого предпринимательства необходимо только потому, что они дают жизнь старым крупномасштабным предприятиям и в союзе с ними получают значительную выгоду, как для себя, так и для рыночной экономики в целом.[3]

3. Анализ развития малого бизнеса в современных условиях


Бизнес представляет собой систему неких подсистем, представленных малыми, средними и крупными предприятиями. Малые предприятия самые мобильные и восприимчивые к внешним изменениям. Вместе с тем из-за восприимчивости к внешним изменениям малые предприятия зачастую становятся неустойчивыми. После вступления в силу с 2013г. Изменений в налоговый кодекс РФ и Федеральный закон от 06.12.2011 №402-Ф3» О бухгалтерском учете» нагрузка на малые предприятия вновь возросла. Получается парадокс: малые предприятия легко реагируют на изменение рынка и способны быстро удовлетворять быстро меняющийся на рынке спрос, но под воздействием меняющихся политический и прочих внешних изменений являются легкоразрушающейся системой. Таким образом, основная цель самоорганизующейся системы - это постоянное преодоление разрушительного разнообразия окружающего мира.

Тем не менее, крупные организации активно развиваются в России. Дело в том, что когда рассматривается эффективно действующая система, в первую очередь приходится задуматься о том, сможет ли она выжить, т.е. противостоять разрушительному воздействию внешней среды. Первое, что обычно предпринимается - это создание пассивной защиты, т.е. создание различного рода барьеров для конкурентов - ресурсных, финансовых, информационных и технологических. Крупным компаниям гораздо легче создавать барьеры. Однако, как показывает многовековой исторический опыт, одной пассивной защиты для противостояния агрессивной среде недостаточно. Необходимая активная защита, т.е. защита посредством искусного противодействия, которое разрешается необходимым разнообразием управляющей системы и ее сложностью. Требование разнообразия вытекает из закона необходимого разнообразия, сформулированного У.Р. Эшби: «Только разнообразие может уничтожить разнообразие». У малого бизнеса уникальное положение относительно крупных брендов: они могут построит лучшие взаимоотношения с клиентами, что приводит к росту продаж.

Закон необходимого разнообразия и сложности систем, оказывающий влияние на содержание экономического анализа, имеет принципиальное значение для разработки оптимальной структуры бизнеса. Укрупнение бизнеса приводит к монополии экономики со всеми негативными последствиями. Поддержание необходимой конкуренции должно осуществляться за счет обеспечения необходимого разнообразия на более низких уровнях бизнеса. Развитие системы должно происходить за счет перехода с макро- на микроуровень. Крупные предприятия, государственные структуры должны обеспечивать условия работы малых предприятий, тем самым приводя в движение основные работающие механизмы системы. В США вклад малого бизнеса в ВВП составляет 50-52%, в России же этот показатель составляет только 12%. [1]

В 2012 году наметилась тенденция - малых предприятий закрывалось почти столько же, сколько открывалось на тысячу уже существующих. Усилия Правительства не помогли оправиться от последствий кризиса 2008 года, после которого число вновь открываемых малых предприятий сократилось и начало расти число закрытий.

Львиную долю всех предприятий сферы малого бизнеса составляют предприятия торговли и ремонта - 28,02 %. На втором месте, с большим отрывом от остальных отраслей, идут предприятия сферы услуг и операций с недвижимостью, занимающие 20,6 % всех предприятий малого бизнеса России в 2012 году. Предприятия сферы строительства, сельского хозяйства в структуре российского малого бизнеса занимают высокие позиции, но с каждым годом теряют свою долю. Данная структура свидетельствует о недостаточном уровне развития малого бизнеса в производственной отрасли, особенно в наукоемких и инновационных сферах. [4]

4. Состояние и проблемы малого бизнеса в России и его перспективы. Малый бизнес в РБ


В России нынешние возможности малого бизнеса пока ещё используются не на полную мощность. По статистическим данным, имеет место порядковое различие в численности малых предприятий между развитыми странами мира и Россией.

Малое предпринимательство в Российской Федерации испытывает серьезные трудности, для преодоления которых необходима последовательная работа, прежде всего, по дальнейшему совершенствованию законодательства, финансовой поддержки малого бизнеса, повышению эффективности региональных программ развития малого и среднего предпринимательства, по регулированию экономики, устранению административных барьеров и преодолению коррупции.

В возникшей ситуации в первую очередь необходимо выработать долгосрочную стратегию развития малого бизнеса в России, которая позволит разрешить проблемы, связанные с процессом формирования новой социально-экономической системы страны. [5]

Развитие малого бизнеса на Западе идет более быстрыми темпами, поскольку национальные власти придают большое значение малым предприятиям и оказывают им поддержку на федеральном уровне, так как это влияет на социальный климат в стране.

Вместе с тем у малых предприятий наряду с сильными сторонами есть и слабые, которые являются одним из препятствий развитию данного сегмента в России (рис.1).

Рис.1. Анализ сегмента малых предприятий [6]

Выделим факторы, препятствующие развитию малого бизнеса в России.

Во-первых, направленность государственной поддержки преимущественно на крупный бизнес. Развитие сетевой торговли с регистрацией в офшорных зонах, собственниками которых являются государственные служащие. Законодательная дискриминация мелкой розницы в пользу крупных розничных сетей подтверждает указанный фактор.

В городах растет количество крупных сетевых магазинов, малый бизнес поставлен в условия жесткой конкуренции.

Во-вторых, коррупция на всех уровнях. Системная коррупция угрожает национальной безопасности России. Бегство капиталов (в 2010г. более 38 млрд. долл.), отсутствие инвестиций, в первую очередь в несырьевой сектор, стимулируют превращение России в сырьевой придаток не только Запада, но уже и Китая. Борьба с коррупцией - одна из основных задач правительства на ближайшие годы, на что указал В.В. Путин: «Есть исторический соблазн победить коррупцию путем репрессий - борьба с коррупцией, безусловно, предполагает применение репрессивных мер. Тем не менее, проблема здесь принципиально глубже». Чтобы решить проблему взяточничества, необходимо сделать борьбу с этим явлением общенациональным делом.

В-третьих, эмиграция. Каждый год Россию покидают от 100тыс. до 150тыс. чел. С 2001 по 2011г. Россию покинуло около 30тыс. финансистов, предпринимателей и бизнесменов. Многие из них объясняют свой отъезд невозможностью легально вести дела, а сотрудничать с коррумпированными чиновниками или рисковать своей свободой многие не хотят. Бизнесмены также говорят об ухудшении экономической ситуации - экономический рост в России в последнее время снизился с 8 до 3% в год.

В-четвертых, высокие процентные ставки на финансирование бизнеса, трудности с получением банковских кредитов, отсутствие лояльных программ start-up для предпринимателей, только начинающих свою деятельность, недостаточность начального капитала и собственных оборотных средств.[1]

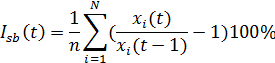
Для сравнения степени развития малого бизнеса за 10 лет в России (в частности, докризисного, кризисного и посткризисного этапов) использовалась методика на основе расчета индекса развития малого предпринимательства . Расчет его производится для «методической поддержки обеспечения принятия управленческих решений в малом бизнесе, в том числе в отдельных его секторах».

Результаты расчета индекса развития малого предпринимательства в России приведены в табл. 1.

 

Таблица 1

Показатели развития малого бизнеса в России 2001-2012гг.

Показатель

2001

2002

2003

2005

2006

2007

2008

2009

2010

2011

2012

Число малых предприятий, тыс.

843

882

893

953

979

1033

1137

1348

1602

1266

1644

1836

Инвестиции в основной капитал, млн. руб.

44

51

67

99

121

171

259

472

346

775

432

139

Среднесписочная численность работников, тыс. чел.

6484

7220

7459

7815

8045

8583

9239

10437

10248

13732

10422

6312

Оборот малых предприятий, млн. руб.

853

1161

1686

2230

9613

12099

15469

18728

16873

26350

22613

16800

Индекс развития малого предпринимательства

-

8

9

15

7

14

17

28

-2

-10

-24


Индекс развития малого предпринимательства рассчитывается по формуле:


где N-количество показателей в группе;

-номер показателя в группе;

-значение показателя в момент времени t.

Представленные значения индекса позволяют выделить в развитии малого бизнеса России несколько этапов:

активация(2002-2004гг.);

спад(2005г.);

активация(2006-2008гг.);

пик(20008г.);

кризис(2009г.);

активация(2010г.);

спад(2011-2012гг.).

Если говорить о прогнозе, наблюдается общая тенденция спада развития малого предпринимательства. Значительное падение индекса наблюдается в 2008-2009гг. (посткризисный период).

На этапе выхода экономики из кризиса наибольшее влияние на положительную динамику индекса развития малого предпринимательства оказал оборот малых предприятий. Это говорит о том, что малые предприятия оказывают положительное влияние на экономический рост. [1]

Прогнозирование экономической ситуации, как на уровне отдельного предприятия, так и в целом на региональном и национальном уровне является важнейшей задачей в системе управления. Прогноз развития национальной экономики, ежегодно публикуемый Минэкономразвития России, является не только базовым документом, отражающим перспективы развития российской экономики, но и документом, позволяющим внешним пользователям определить основные тренды в социально-экономической политике государства. legascom.ru

В сентябре 2012 года был опубликован Минэкономразвитием РФ Прогноз социально-экономического развития страны на 2013 год и планируемый период 2014 - 2015 гг.

В документе отражены мероприятия по развитию отечественной экономики. В сфере малого предпринимательства можно отметить следующие:

содействие развитию лизинга оборудования малых организаций (гранты на уплату первого взноса, лизинг оборудования, поддержка мобильных платформ);

поддержка малых компаний в сфере инноваций (субсидии инновационным компаниям, инновационные гранты, программы обучения, поддержка компаний, выходящим на биржу);

создание частной инфраструктуры поддержки предпринимательства: гарантийные фонды, микрофинансовые центры, фонды прямых инвестиций;

грантовая поддержка начинающих предпринимателей в увеличенном объеме (уволенные в запас, безработные, поддержка социального предпринимательства);

создание различных структур: промышленных парков, бизнес-инкубаторов, центров коллективного доступа к оборудованию, центров предпринимательства, технопарков, центров прототипирования, центров кластерного развития, центров дизайна.

поддержка экспорта товаров, производимых малыми компаниями (гранты начинающим экспортерам, создание центров поддержки экспорта).

В целом все перечисленные механизмы поддержки малых и средних предприятий давно известны и повторяются. Многие показали свою эффективность. Например, бизнес-инкубаторы оказывают значительную поддержку малого предпринимательства на начальных стадиях, для получения этой поддержки достаточно иметь бизнес идеи, воплощенные в бизнес-плане.

Минэкономразвития планирует в 2012 - 2015 гг. реализовать ряд мероприятий для совершенствования законодательных норм в сфере малого и среднего предпринимательства, а именно: доступность аренды государственного имущества, продажа государственных помещений, упрощенный и дешевый доступ к коммунальной инфраструктуре, упрощение требований по ведению бухгалтерского учета, уменьшение административных барьеров, доступность банковского кредитования, совершенствование трудового законодательства. [7]

Также хотелось бы рассмотреть развитие малого предпринимательства в Республике Башкортостан.

Основным направлением структурной перестройки экономики и проведение эффективной социально-экономической политики в Республике Башкортостан является обеспечение устойчивого развития сферы малого предпринимательства.

За последние годы число субъектов малого предпринимательства в РБ увеличилось почти в 1,7 раза и на конец 2009г. Составило 31 172, оборот организаций вырос до 402 983 млн. руб.(табл.2).

 

Таблица 2

Показатели развития малого предпринимательства в РБ


2005

2006

2007

2008

2009

Число предприятий (на конец года), ед.

19340

20458

23292

25648

31172

Среднесписочная численность работников предприятий, чел.

229736

32618

325802

299090

284513

Оборот организаций, млн. руб.

184190

263047

300122

470527

402983

Рентабельность продукции, %

2,0

2,0

2,9

2,2

2,9


Статистические данные свидетельствуют о том, что в динамике по обороту малых предприятий и количеству субъектов в регионе наблюдается рост показателей. Однако по числу малых предприятий на 100 тыс. человек республика занимает 53 место в России, а по темпу роста оборота - 57 место.

В настоящее время каждый третий представитель экономически активного населения региона занят предпринимательской деятельностью. При этом с 2007г. Доля доходов от предпринимательской деятельности в среднедушевых доходах сократилась с 18,7 до 14,2%. Это свидетельствует о том, что предпринимательство для населения не является привлекательной сферой деятельности и не выполняет своей главной функции - повышение уровня жизни через рост доходов.

«Российский банк развития» выделил на поддержку малого и среднего бизнеса более 18,9 млрд. руб., в республике банками-контрагентами размещена сумма в 917,9 млн. руб., что составляет 4,8%.

В результате в рейтинге Минэкономразвития России по уровню развития предпринимательства республика занимает 31 место (2,7 балла из 10 возможных), по эффективности региональных программ - 42 из 49.

По данным Минэкономразвития РБ, коэффициент корреляции между долей малых предприятий в валовом региональном продукте и долей налоговых поступлений по специальным налоговым режимам в бюджеты всех уровней составляет незначительную величину - 0,013. Таким образом, анализ подтвердил фактическое отсутствие статистически значимой связи между объектами поддержки и результатами деятельности малых предприятий.

С целью создания условий для устойчивого развития сферы малого предпринимательства в республике целесообразно разработать и осуществить комплекс дополнительных мер по формированию благоприятных правовых и социально-экономических условий для реализации целостной системы государственной и общественной поддержки, в том числе необходимы: совершенствование региональной правовой базы развития малого бизнеса; формирование атмосферы общественного признания малого предпринимательства; организация обучения и дальнейшей поддержки предпринимателей, способных осуществлять инновационную деятельность в различных сферах экономики и реализующих эти возможности в практической деятельности; эффективное управление муниципальной и региональной собственностью, грамотное проведение приватизации; разработка системы взаимосвязанных комплексных региональных программ по поддержке малого предпринимательства; стимулирование привлечения инвестиций в сферу малого бизнеса; формирование конкурентной среды, способствующей развитию экономической состязательности, в которой конкурентные преимущества обеспечиваются за счет непрерывного обновления технологий и техники, инновационного менеджмента и маркетинга. Это окажет положительное влияние на развитие предпринимательства в республике, что обеспечит стабилизацию экономических процессов, активизацию научно-технической деятельности малых предприятий, обусловит улучшение инвестиционной ситуации в регион, позитивные структурные изменения в малом бизнесе, укрепление социальной базы экономических преобразований.[8]

5. Формирование механизма стратегического управления малым предпринимательством

малый бизнес управление

В соответствии с вышесказанным механизм эффективного стратегического управления МП состоит из следующих последовательных и взаимосвязанных процессов:

стратегический анализ внешней и внутренней среды;

выбор базовой(типовой) стратегии развития МП;

синхронизация со стратегиями более высокого уровня;

формулировка приоритетных отраслей специализации МП;

разработка программ в виде совокупности межведомственных мероприятий и системы критериев и показателей развития МП;

разработка механизма контроля реализации мероприятий на всех уровнях;

перестройка сложившейся системы управления.[9]

Стратегия развития любого предприятия вне зависимости от отраслевой принадлежности производна от целей и мотивации его собственников и руководителей. Некоторые исследователи теории принятия решений отмечают, что специфика отношения к развитию бизнеса малых компаний связана с концентрацией собственности и функций управления у ограниченного круга заинтересованных сторон. В современных условиях внешней среды, характеризующихся высокой турбулентностью и гетерогенностью, вызванными глобализацией и революцией в сфере высоких технологий, достижение индивидуально-детерминированных целей управленцев-собственников малых предприятий невозможно без учета проблемы финансирования. Отсутствие в России гибких механизмов государственно-частного партнерства, инвестиционных фондов, ориентированных на работу с предприятиями реального сектора экономики, дороговизна банковских кредитов и привлечения средств с рынка ценных бумаг оставляют единственным источником развития собственные средства малых предприятий.

Практика использования общих моделей и инструментов стратегического менеджмента без уточнения особенностей малого бизнеса представляется не совсем верной как минимум по причине разных финансовых возможностей. В то же время является сильной позиция исследователей, выделивших в качестве одной из причин большого числа банкротств малых структур «недостаток стратегического планирования» и указывающих на высокую роль стратегического управления в достижении успешности.[10]

 

Библиографический список


1. Любушкин Н.П. Анализ развития малого бизнеса в современных условиях[Текст]/Н.П. Любушкин, Е.С. Ионова//Экономический анализ: теория и практика. - 2013. - №32(335).

. Сергеев И.В., Веретенникова И.И. Экономика организаций (предприятий): учеб./под ред. И.В. Сергеева. - 3-е изд., перераб. и доп. - М.: ТК Велби, Изд-во Проспект, 2005

3. «Роль малого предпринимательства в экономике». Электронный ресурс: www.bizsmall.ru <http://www.bizsmall.ru>

. Фадеева Е.А. Анализ современного состояния малых предприятий в России [Текст] / Е.А. Фадеева, А.А. Маргарян // Молодой ученый. - 2014. - №4.

. Перечнева И., Анализ инвестиционной активности бизнеса // Эксперт-Урал. - 2012. - № 48.

. Вдовин А.Н. Состояние малых и средних предприятий России[Текст]/А.Н. Вдовин// Экономический анализ: теория и практика. - 2011. - №42(249)

. «Поддержка малого предпринимательства: прогноз на 2013-2015гг». Электронный ресурс: www.legascom.ru/business-news <http://www.legascom.ru/business-news>

. Каримова А. Развитие малого предпринимательства в Республике Башкортостан[Текст]/А. Акрамова//Экономика и управление. - 2012. - №2

. Медков А.Д. Формирование механизма стратегического управления малым предпринимательством[Текст]/А.Д. Медков//Российское предпринимательство. - 2014. - №13(259)

. Мурая Е.Н. Анализ внешней среды в рамках стратегического управления малым предприятием[Текст]/Е.Н. Мурая, А.А. Прокофьев//Экономический анализ: теория и практика. - 2010. - №24(189)

Похожие работы на - Малый бизнес в России: сущность, роль в экономике страны, преимущества и недостатки.

 

Не нашли материал для своей работы?
Поможем написать уникальную работу
Без плагиата!
Без нейросетей!