Развитие инвестиционного процесса в российской экономике и оценка его результатов

  • Вид работы:
    Курсовая работа (т)
  • Предмет:
    Эктеория
  • Язык:
    Русский
    ,
    Формат файла:
    MS Word
    60,9 Кб
  • Опубликовано:
    2014-12-12
Вы можете узнать стоимость помощи в написании студенческой работы.
Помощь в написании работы, которую точно примут!

Развитие инвестиционного процесса в российской экономике и оценка его результатов

Оглавление

Введение

1. Понятие и сущность инвестиционного процесса, его роль в экономике страны

1.1 Инвестиции их виды и роль в экономике страны

1.2 Понятие и сущность инвестиционного процесса, его составляющие

2. Характеристика инвестиционного процесса в России на современном этапе

2.1 Инвестиционные притоки и оттоки в России

2.2 Отраслевая структура инвестиций РФ

2.3 Инвестиционная политика в России

2.4 Пути развития инвестиционного процесса РФ

Заключение

3. Практическая часть

Список использованной литературы

Приложение 1

Введение

О состоянии дел в экономике весьма уверенно можно судить по характеру процессов, происходящих в инвестиционной сфере. Она является индикатором, указывающим на общее положение внутри страны, размер национального дохода, привлекательность для других государств.

Проблема инвестиций в нашей стране актуальна, прежде всего, тем, что на инвестициях в России можно нажить огромное состояние, но в то же время боязнь потерять вложенные средства останавливает инвесторов. Российский рынок - один из самых привлекательных для иностранных инвесторов, однако он также и один из самых непредсказуемых, и иностранные инвесторы мечутся из стороны в сторону, пытаясь не упустить свой кусок российского рынка и, в то же время, не потерять свои деньги.

Государственная инвестиционная политика РФ сейчас направлена именно на то, чтобы обеспечить инвесторов всеми необходимыми условиями для работы на российском рынке, и потому в перспективе мы можем рассчитывать на изменение ситуации в российской экономике в лучшую сторону. Огромное значение для России имеют внутрироссийские инвестиций, ведь множество людей во время становления рыночной экономики “сколотили” себе огромные состояния, которые в данный момент лежат в европейских и американских банках, иными словами используются для инвестиций в зарубежных странах. Государство всеми силами пытается вернуть эти деньги из-за рубежа в российскую экономику, что даст ощутимый толчок развитию российского производства.

Характеризуя степень научной разработанности такой проблемы, как инвестиционный процесс в современной экономике, следует учесть, что данная тема уже анализировалась у различных авторов в различных изданиях: И.П.Николаевой, О.В. Хмыз, Ф.С. Тумусова, Г.П. Подшиваленко, М.В. Киселевой, А.Д. Духаева, В.Е. Барбаумова, В.А.Зверева, У. Баффета, Б.Вильямса и других. Тем не менее, при изучении литературы и источников отмечается недостаточное количество полных и явных исследований тематики.

Цель данной работы состоит в определении сущности, состоянии, нормативно-правового регулирования и влияния инвестиционного процесса на экономику государства.

Объект исследования - инвестиционный процесс в РФ.

Предметом исследования является раскрытие особенностей инвестиционного процесса в современной экономике.

В соответствии с поставленной целью, объектом и предметом исследования были поставлены следующие задачи:

1.      Раскрыть социально-экономическую сущность инвестиционного процесса и его влияния на экономику государства;

2.      Проанализировать состояние инвестиционного климата в РФ;

.        Охарактеризовать механизмы государственного управления и контроля инвестиционного процесса, а также выявить пути его совершенствования.

1. Понятие и сущность инвестиционного процесса, его роль в экономике страны

.1 Инвестиции их виды и роль в экономике страны

Инвестиции - это долгосрочные вложения капитала в различные инновационные проекты, новые или существующие предприятия, различных сфер деятельности и форм собственности, предпринимательские проекты или социально-экономические программы и так далее. Особенностью инвестиций является долгосрочность окупаемости проектов.

Относительно источника финансирования, инвестиции подразделяют на: государственные, иностранные, частные, интеллектуальные и производственные инвестиции.

Относительно значимости, для инвестиционного проекта, инвестиции подразделяют на: инвестиции начальные, инвестиции на расширение бизнеса, реинвестиции (направление финансовых ресурсов предприятия на расширение основных фондов компании), инвестиции на замену устаревших основных средств предприятия, инвестиции на диверсификацию (частичное изменение направления деятельности компании).

Инвестиции, позволяют получить возможность, предприятиям расширять и модернизировать производство, приобретать функционирующие предприятия или создавать новые компании, осуществлять диверсификацию производства, благодаря освоению новых сфер бизнеса. Инвестиции подразделяются на основные три группы:

·              Портфельные инвестиции - это вложение капитала в ряд проектов, к примеру, приобретение акций нескольких компаний различных сфер деятельности.

·              Реальные инвестиции - это вложение капитала в конкретный, долгосрочный проект, который чаще, связан с покупкой реальных активов компании.

·              Нематериальные инвестиции - это вложение капитала в интеллектуальную собственность, информационные технологии, ноу-хау и прочее.

Роль инвестиций в экономике государства огромна, они играют значительную роль в поддержании, функционировании и динамическом развитии экономики страны. Происходящие изменения, в количественном соотношении инвестиций, воздействуют на изменения: объема общественного производства, занятости населения, структурных экономических показателей и динамики развития различных отраслей народного хозяйства.

Инвестиции, обеспечивают накопление материальных и финансовых ресурсов предприятия, тем самым, увеличивая производственный потенциал компании. Инвестиции, в целом, влияют на текущие и будущие результаты экономическо-хозяйственной деятельности компаний. При всем при этом, инвестирование должно быть эффективным, с точки зрения экономической целесообразности, вложение средств, должно грамотно распределяться в целях приобретения новых инновационных технологий, влекущих за собой общее снижение затрат материальных и трудовых ресурсов. Нерациональное же использование инвестиций, может повлечь за собой: застой на предприятии, сокращение объемов производства, отставание по техническим и качественным параметрам от конкурентов и так далее.

Существует прямая зависимость от уровня инвестирования в экономики к динамике ее развития. От количества привлеченных средств изменяется общий уровень производства, количество рабочих мест и их качество, перспективы для всех без исключения отраслей. С приходом инвестиций каждая компания может эффективно аккумулировать собственные ресурсы, увеличивать потенциал. Естественно, в дополнительных средствах должна быть острая необходимость, должна быть обоснована целесообразность инвестирования (внедрение новых технологий, реконструкция, модернизация, реорганизация с выходом на большую доходность и т.п.).

Роль инвестиций не сводится только к получению доходов, потому что прибыльность их находится прямой зависимости от качества управления средствами, развития бизнеса и направления его деятельности. В зависимости от источника средств инвестиции могут быть государственными (выделенными из бюджета), частными (поступившие от отдельного инвестора или инвестиционного фонда), производственными, иностранными, интеллектуальными.

Наиболее важными для развития государства являются средства, поступившие из-за рубежа. Это позволяет быстрее реализовать проекты, на которые внутренних резервов бизнеса недостаточно. Роль инвестиций, привлеченных от иностранного капитала, настолько важна, что государство готово гарантировать определенные преференции. Тем более что с приходом иностранного капитала в страну приходит огромный опыт и внешние связи, дается толчок развитию инновационных направлений и технологий, активная модернизация действующих предприятий, эффективные системы контроля производства и качества управления.

По своей значимости и выполняемой роли инвестиции делятся на начальные (венчурные проекты, открытие новых предприятий), реинвестиции (повторное направление в бизнес полученных от него доходов), расширение бизнеса (в том числе освоение новых или смежных направлений), инвестиции на модернизацию и реорганизацию, диверсификация предприятий (частичное изменение направления бизнеса).

Эффективное использование инвестиций, хозяйствующими субъектами, для экономики государства, имеет принципиальное значение, особенно в отношении увеличения масштабов инвестирования. При достижении желаемого уровня эффективности, инвестирование, ведет к стабильному экономическому росту.

Для России актуален вопрос модернизации большинства производств, на которую у владельцев зачастую недостаточно собственных средств. Кроме того, многие компании не выдержали испытание кризисом и находятся в плачевном состоянии. Инвестиции позволяют им освоить новое направление, восстановиться, оптимизировать производство, дают новый толчок бизнесу.

При этом следует иметь в виду, что роль инвестиций высока только в инновационных направлениях, вкладывать средства в разваливающийся бизнес и поддерживать отсталое производство смысла не имеет. Нерациональное привлечение и использование средств инвесторов ведет к противоположному результату: падению производства, развалу основных средств (оборудования, зданий), падению конкурентоспособности и банкротству.

Рассчитать роль инвестиций в экономики страны в целом можно по достаточно простой формуле. Нужно сравнить объем валовых инвестиций (все количество средств, направленных на строительство, основные средства и рост товарного запаса за период) и чистые инвестиции (вложения за исключением амортизационных отчислений). Если объем валовых и чистых инвестиций примерно равен, значит, экономический рост отсутствует. Если показатель чистых вложений отрицательный, наблюдается экономический спад. И только при существенном положительном показателе чистых вложений экономика растет.

1.2 Понятие и сущность инвестиционного процесса, его составляющие


В современной литературе понятие «инвестиции» является одним из наиболее часто употребляемых, что отражает динамику всех процессов, связанных с перемещением финансовых ресурсов на внутренних и внешних рынках. Термин «инвестиции» может быть определен как вложения капитала в различной форме с целью последующего его увеличения. При этом прибыль от инвестиций должна компенсировать инвестору отказ от использования средств в текущем периоде, вознаграждать его за риск и возместить потери от инфляции.

Инвестиции как экономическая категория выполняют ряд важнейших функций, без которых немыслимо нормальное развитие экономики любого государства. Инвестиции, являясь важнейшей экономической категорией, играют значимую роль как на макро-, так и на микроуровне, в первую очередь для простого и расширенного воспроизводства, структурных преобразований, максимизации прибыли и на этой основе решения многих социальных проблем.

Совокупность политических, социально-экономических, финансовых, организационно-правовых и иных факторов, присущих той или иной стране, привлекающих или отталкивающих инвесторов, принято называть ее инвестиционным климатом. Наиболее часто понятие инвестиционного климата используется при рассмотрении иностранных инвестиций, хотя его можно также использовать при анализе национальных инвестиций.

Понятие инвестиционного климата напрямую связано с понятием инвестиционной политики. Можно сказать, что инвестиционный климат является результатом инвестиционной политики. Задачей инвестиционной политики является формирование благоприятной среду, способствующей повышению инвестиционной активности негосударственного сектора.

При осуществлении инвестиционной деятельности инвесторам для успешного инвестирования необходимо опираться на показатели, характеризующие инвестиционную привлекательность государств и регионов и состояние инвестиционного рынка.

Оценка инвестиционной привлекательности государства - сложный процесс, требующий учета большого количества факторов.

Важным показателем инвестиционной привлекательности страны является рейтинг, присваиваемый международными рейтинговыми агентствами.

Инвестиционный процесс можно определить как совокупное движение инвестиций различных форм и уровней. Осуществление инвестиционного процесса в экономике любого типа предполагает наличие ряда условий, основными из которых являются: достаточный для инвестиционной сферы ресурсный потенциал; наличие экономических субъектов, способных обеспечить инвестиционный процесс в необходимых масштабах; механизм трансформации инвестиционных ресурсов в объекты инвестиционной деятельности.

Инвестиционный процесс представляет собой совокупность действий по привлечению на определенное время накоплений населения и юридических лиц с целью их использования путем образования производственного основного и оборотного капиталов для получения предпринимательской прибыли. В этом процессе всегда участвуют две стороны: первичный инвестор и предприятие - соискатель средств для своего производственного развития.

Функции инвестиционного процесса:

1. Исследование внешней инвестиционной среды: изучение правовых условий инвестиционной деятельности; анализ текущей конъюнктуры инвестиционного рынка и факторов, ее определяющих; прогноз текущей конъюнктуры инвестиционного рынка по отдельным сегментам, связанным с деятельностью предприятия.

. Разработка стратегических направлений инвестиционной деятельности предприятия.

. Разработка стратегии формирования инвестиционных ресурсов предприятия: прогноз потребности в инвестиционных ресурсах и определение возможности их формирования за счет собственных источников.

. Оценка инвестиционной привлекательности отдельных инвестиционных проектов и отбор наиболее аффективных.

. Текущее планирование и оперативное управление реализацией отдельных инвестиционных проектов.

6. Организация мониторинга реализации инвестиционных проектов: формирование системы наблюдаемых показателей; определение периодичности сбора и анализа информации; выявление причин отклонения параметров реализации инвестиционных проектов от рассчитанных значений.

. Подготовка решений о выходе из инвестиционных проектов и реинвестировании капитала в случае снижения ожидаемой эффективности проектов, изменения финансового состояния предприятия; конъюнктуры инвестиционного рынка и по другим причинам.

Технология управления инвестиционным процессом включает: мониторинг инвестиционного климата региона и отдельных предприятий; оценку инвестиционного климата отраслей и предприятий; разработку стратегии инвестирования и инвестиционной деятельности предприятия; экономическое регулирование рынка инвестиций; оценку влияния инвестиций на финансовые потоки предприятия.

инвестиция капитал экономика

2. Характеристика инвестиционного процесса в России на современном этапе


2.1 Инвестиционные притоки и оттоки в России


По мнению большинства экспертов, мировая экономика постепенно начинает выходить из кризиса. При этом страны БРИК опережают в этом движении большинство развитых стран. А это значит, что растущие рынки вновь станут привлекательными для иностранных инвесторов. Но не все, а в большей мере те, которые смогут обеспечить максимально благоприятные и комфортные условия для работы иностранного капитала. The Wall Streer Journal и Heritage Foundation выпустили «Индекс экономической свободы» на 2011 год. Главное, что отражает отчет, - это планомерный подъем степени экономических свобод после мирового кризиса, а значит и определение наиболее благоприятных условий для ведения бизнеса.

В индексе перечислены 183 страны, распределенные по 179 местам, и более чем половина из них улучшили свои позиции. В их число Россия не попала. Повышение индекса на 0,2 (50,5 пункта в 2011 году, 50,3 пункта в 2010-м по 100-бальной шкале) не позволило российской экономике покинуть 143-е место в рейтинге. По мнению экспертов, основными причинами этого являются нестабильность экономической и политической ситуации, несовершенное и противоречивое законодательство, неясность в определении прав собственности, отсутствие реальных льгот и привилегий для иностранного капитала, нестабильность рубля как национальной валюты, непредсказуемость изменений в налоговой системе, а так же чрезмерная бюрократия, административные барьеры для бизнеса и коррупция.

Инвесторы, вне зависимости от характера и формы инвестиций ставят ключевой целью инвестирования − возврат собственных вложений, как в натуральном, так и в стоимостном выражении. Под натуральной формой в данном случае понимается возврат инвестиций в качестве реального объема продукта. Стоимостное выражение представляет собой различные формы кредитно-денежных форм и отношений.

Момент принятия решения об инвестициях всегда строится на мультизадачности не только возврата, но и сохранности ранее вложенных средств. На сегодняшний день, инвестиции в российские проекты, в том числе региональные, продолжают рассматриваться потенциальными зарубежными инвесторами в качестве венчурного бизнеса. Поэтому стремление к высокой доходности проектов сталкивается с вопросами высоких рисков, как и любой классический пример венчурного проекта.

У иностранных инвесторов существует убеждение, что инвестиции, осуществляемые совместно с государством - гарант не только возврата инвестиций, но и их мультиплицирования. Сложно не согласится, что подобные инвестиции обладают более высокой степенью защиты, так как в данном случае государство, главным образом, рискует собственным имиджем.

Однако в российской практике существуют исключения в отношении крупных нефтегазовых проектов, где первоначальная ставка на иностранного инвестора была кардинально изменена в пользу российского.

Несмотря на это, согласно статистическим, приток инвестиций в стране стабилен. По мнению аналитиков, данный стабильный приток обеспечен в стране региональным срезом инвестиций в основной капитал и характером инвестиций. Лидерами являются - Сахалинская область, Приморский край, Краснодарский край, Красноярский край, Республика Татарстан. Именно в перечисленных регионах заметно ощущается приток инвестиций, когда в других регионах страны - упадок, либо отсутствие инвестиций.

Инвестиции в лидеров - это государственные средства в социальное строительство. Именно государственные инвестиции в социальные и инфраструктурные проекты не дают возможности зафиксировать инвестиционный спад в целом по стране. Однако эффективность таких инвестиций является спорной. Безусловно, проекты социального характера - полезны, но вряд ли смогут создать дополнительный экономический эффект без инвестиций в промышленное производство.

Инвесторы хорошо понимают, что реализация новых проектов в России связана с прибыльностью и окупаемостью, которые в свою очередь неразрывно связаны с политическими рисками и доступностью капитала. Капитал в основном находится под контролем государственных ведомств: государственные банки, крупные государственные компании.

Проводимая денежная политика в стране лишает российскую экономику возможности для самостоятельного генерирования долгосрочных кредитов и сужает спектр направлений развития экономики до экспорта сырья и импорта инвестиций. А согласно прогнозам Минэкономразвития России, текущая ситуация с нарастающим ослаблением европейской экономики, замедлением роста в развивающихся странах может стать дополнительным фактором снижения и российской экономики.

Для многих не секрет, что даже слабая коррекция в нефтяных ценах способна изменить положительный курс доходной части бюджета в противоположную сторону. На фоне этого важной становится задача структурной реформации, ведь государственное регулирование взаимосвязано с рыночными механизмами, действующими в стране.

Привлечение иностранных инвесторов путем создания отдельной замкнутой зоны не может считаться эффективным методом рыночного механизма. Причина кроется в том, что создание особых условий для нескольких компаний и др. образований - распространенная практика в регионах, к примеру, создание ОЭЗ, но это не меняет ситуацию в целом в стране.

Одним и распространенных факторов высокой инвестиционной привлекательности принято рассматривать норму накопления. Невысокая норма накопления для страны может быть отражением неэффективной инвестиционной политики. Принято считать, что если она менее 20%, это значит, что в стране нет инвестиционного климата. В России она выше 20%, по данным Росстата на 2011 год. Однако, данный показатель основан не только на инвестициях бизнеса, домашних хозяйств, но и государства. Именно оно за счет собственных инвестиций создает иллюзорное ощущение активной инвестиционной деятельности в рамках национальных границ.

Стоит отметить, что накопления нужно перерабатывать, а не вывозить из страны.

На сегодняшний день частный сектор не может обеспечить модернизацию экономики инвестициями, происходит отток данного капитала из страны. Годовой отток капитала из России в 2011 г. оценивается в 80,5 млрд долл., приток прямых инвестиций в страну за тот же период составил 52 млрд долл., что соответствует показателю 2007 года. Рекорд по притоку ПИИ был достигнут в 2008 году, когда в российскую экономику из-за рубежа поступило 75 млрд долл. инвестиций.

По отраслям наибольшей активностью отличается топливно-энергетический комплекс, который в общем объеме занимает около трети.

По данным Минэкономразвития, рост инвестиций в предприятия ТЭК в 2011 году составил около 16%, тогда как аналогичные показатели для здравоохранения и агропромышленного комплекса составили 4% и 4,3% соответственно.

Как и в предыдущие годы, природа оттока капитала - наращивание резидентами страны своих зарубежных активов. При этом корпоративный сектор чаще предпочитает размещать средства в высоко ликвидных активах. А домохозяйства, ранее приобретавшие наличную валюту или открывавшие валютные счета, в 2011 году сменили свои предпочтения: теперь существенная часть оттока, приходящегося на них, идет в виде вложений средств в зарубежную недвижимость.

Однако важными в этом процессе являются не столько причины этого явления, сколько «последствия оттока капитала из страны.

. «Недоинвестирование» в экономику страны - реальные темпы роста инвестиций в 2010−2011 года были на уровне 6−8,3%, что в 1,5−2 раза ниже среднего в 2000−2008 гг. (в 2005−2007 гг. наблюдался чистый приток), они также до сих пор не восстановились после провала на 15,7% в 2009 году. Это ощутимо и негативно влияет на темпы роста экономики.

. Замещение акционерного капитала долгом. В частности, при чистом оттоке капитала из России в 2011 году в 80,5 млрд долл. к нам из-за рубежа «притекали» займы, которые за год увеличили внешний долг на 51,5 млрд долл. до 500 млрд долл. Это означает, что осложнения на финансовых рынках в мире будут создавать проблемы рефинансирования у нас, что увеличивает риски бизнеса и экономики, и может негативно сказаться на планах развития.

. «Недополучение» доходов. Например доходы от инвестиций в зарубежную недвижимость, обычно в страну не возвращаются, аналогично выглядит ситуация и со многими корпоративными инвестициями. Это ставит страну и курс рубля в слишком сильную зависимость от благоприятных экспортных цен».

Таким образом, на сегодняшний день лишь 1% населения России вовлечен в процесс полезного инвестирования. Согласно статистике аналитиков, лишь около четверти всех проектов в стране не привязаны к деятельности государства по стимулированию инвестиционного процесса. Роль государства в этой ситуации должна иметь четкий характер - выработка и проведение системной инвестиционной политики, в том числе региональной.

В тот момент, когда это станет частью реальной практики, а частный бизнес будет обеспечивать больший объем инвестиций в проектах, можно ожидать заметных изменений в картине инвестиционной активности национальной экономики.

Складывается ощущение, что иностранные инвесторы находятся в ожидании всех возможных льгот, налоговых послаблений и поэтому откладывают момент инвестирования в российскую экономику. Однако во многом причина в неразвитости спроса на многих рынках, особенно региональных. Поэтому инвесторы так тщательно обдумывают вопрос инвестиций в регионы, где наблюдается низкая покупательная способность, неспособная обеспечить ожидаемый возврат инвестиций.

Актуальным становится вопрос повышения благосостояния граждан. Ключевой видится выработанная инвестиционная политика, способная повлиять на структуру накопления и сбережений граждан, их инвестиционную активность. Если обеспечить это, возможно, инвесторы станут принимать решения об инвестициях не только на основе уровня и количества предоставляемых льгот, а на основе платежеспособного среднего класса и реального спроса. Важным становится создать у инвесторов не ощущение стабильности и высокой инвестиционной активности в стране, а повлиять на поведенческий характер иностранных инвесторов. Тогда инвестиционный климат обретет новый рыночный и эффективный вид в глазах мирового сообщества, а зарубежные инвесторы перестанут считать Россию страной, где риски реализуются сами собой, а возможности еще нужно суметь использовать.

Мировой финансово-экономический кризис сильно повлиял на зарубежную инвестиционную активность российских компаний. Однако его влияние на формирующиеся российские транснациональные корпорации (ТНК) исключительно негативным назвать нельзя. Представители различных отраслей, да и отдельные компании схожей специализации выходят из кризиса разными темпами. А сохранение неблагоприятной экономической динамики в Европейском союзе, одном из важнейших регионов с точки зрения привлечения российских капиталовложений, создает для ряда устойчивых российских ТНК дополнительные возможности для приобретений. Таким образом, в результате глобального кризиса российская зарубежная экспансия не прекратилась, хотя ее темп заметно снизился. При этом происходят ощутимые сдвиги в отраслевой и географической структуре российских прямых иностранных инвестиций (ПИИ).

Определенную стабилизацию российских ПИИ на предкризисных позициях демонстрирует статистика Центрального банка Российской Федерации. Сегодня это наиболее авторитетный источник информации по отечественным прямым капиталовложениям. По данным ЦБ, на начало 2012 года накопленные российские инвестиции составили почти 362 млрд долларов против 366 млрд годом ранее и 370 млрд в конце 2007 года. Однако следует напомнить, что в конце 2008 года объем российских прямых инвестиций за рубежом упал до 206 млрд долларов. Однако шок от мирового кризиса не следует переоценивать: лишь немногие российские ТНК были вынуждены распродать основную часть своих заграничных активов. В значительной мере падение показателей накопленных сумм было связано с временным резким падением курсов акций ранее купленных российским бизнесом зарубежных дочерних фирм.

Ежегодные новые капиталовложения за рубежом, регистрируемые банком, внушительны: 43,6 млрд долларов в 2009 году, 51,9 млрд - в 2010-м и рекордные за всю историю страны 67,2 млрд в 2011 году.

Российские компании, активно инвестировавшие за рубежом накануне кризиса, прочно закрепились в списках 100 крупнейших по величине зарубежных активов нефинансовых ТНК из развивающихся и постсоциалистических стран, которые ежегодно публикует ЮНКТАД в своих докладах о мировых инвестициях. Однако совокупные зарубежные активы, используемые в этих докладах, дают искаженное представление о прямых иностранных инвестициях, поскольку включают в себя также краткосрочные (оборотные) активы. Но пока общепризнанным в мире является именно такой подход как более простой для сбора информации по ТНК самых разных стран и отраслей. Правда, в случае многих российских металлургических компаний, напротив, приходится на основе географического распределения внеоборотных (долгосрочных) активов досчитывать показатель совокупных зарубежных активов, делая допущение об одинаковом соотношении долгосрочных и краткосрочных активов в России и за рубежом.

По итогам 2010 года в опубликованном минувшим летом перечне ЮНКТАД фигурируют 10 российских компаний. Большее представительство среди развивающихся стран было только у Гонконга (18 ТНК) и Тайваня (12). От Китая и Сингапура в этот список попали по девять компаний, от Индии и ЮАР - по восемь. Правда, ни одна из российских компаний не вошла в перечень 100 ведущих нефинансовых корпораций мира, все еще заметно уступая североамериканским, западноевропейским и японским ТНК. ЮНКТАД не включает в российскую десятку также «Газпром» и «Совкомфлот», подконтрольные государству.

По итогам 2011 года ситуация с зарубежными активами российских компаний, сложившаяся в год предыдущий, принципиально не изменилась. Крупнейшей российской ТНК уже многие годы остается «ЛУКойл», который характеризуется не только внушительными масштабами зарубежных активов, но и обширной географией заграничного присутствия. За пределами России компания добывает углеводороды в четырех странах, ведет геологоразведку или подготовку к добыче сырья в двенадцати, занимается нефтепереработкой в пяти странах (причем в Болгарии и на Украине к ней добавляется нефтехимия), а также реализует нефтепродукты через сети АЗС в 25 государствах.

Что касается металлургических компаний, то представители отечественной черной и цветной металлургии значительно сократили свои зарубежные активы в ходе глобального кризиса. Так, «Северсталь», одно время занимавшая третью позицию в списке ведущих российских нефинансовых ТНК, после распродажи большинства дочерних предприятий в Европе, а также некоторых в США и выделения в отдельную компанию золотодобывающего сегмента опустилась на седьмую строчку.

Еще одной новой тенденцией, стало укрепление за рубежом российских банков, главным образом Сбербанка. На протяжении 2000-х годов по масштабам зарубежного присутствия лишь российские нефинансовые ТНК могли быть сопоставимы со своими конкурентами из развитых и ведущих развивающихся стран. В то же время основные российские банки, хотя и осуществляли прямые иностранные инвестиции, чаще всего ограничивались рынком СНГ либо использовали, как в случае ВТБ, советский задел, в значительной мере эксплуатируя политические и культурно-исторические связи наших стран, а не опираясь на собственную конкурентоспособность.

Настоящий прорыв российских банковских ПИИ произошел, когда ведущий банк России вышел за пределы СНГ. В 2006-2009 годах в полном соответствии с классическими моделями поэтапной интернационализации бизнеса Сбербанк обзавелся дочерними банками в странах с низкими информационными, языковыми и другими неэкономическими барьерами - сначала в Казахстане, потом на Украине и наконец в Белоруссии.

После неудачной попытки участия в покупке в ФРГ автомобильного концерна Opel Сбербанк вернулся на традиционную траекторию развития, выйдя на рынки Центральной и Восточной Европы. В сентябре 2011 года он заключил сделку в Австрии (закрытую в феврале нынешнего года), которая позволила ему закрепиться на банковских рынках Чехии, Словакии, Венгрии, Словении, Хорватии, Боснии и Герцеговины и Сербии. Меньше чем через год Сбербанк вышел на рынок Турции.

В случае России во втором эшелоне ТНК нередко оказываются крупнейшие компании, которые лишь недавно начали интернационализацию своего бизнеса. Со временем они могут многократно увеличить внешние инвестиции, которые сегодня пока не превышают 100-500 млн долларов. Во второй эшелон входят также компании среднего размера, которые в силу отраслевой специфики и некоторых других факторов могут многие годы ограничиваться вложениям в зарубежные активы 30-50 млн долларов.

Небольшие ТНК интересны тем, что они применяют методы, нетипичные для ведущих российских инвесторов. Например, зарубежные прямые капиталовложения компании «Глория Джинс» достигли примерно 50 млн долларов, что ввело ее в клуб ста ведущих российских компаний-инвесторов. Причем в основном ПИИ компании связаны с реализацией проектов с нуля. В настоящее время «Глория Джинс» запустила около десятка швейных цехов на востоке Украины, руководствуясь классическим для западных ТНК мотивом экспорта капитала - снижением производственных, прежде всего трудовых, издержек.

Для большинства же ведущих российских ТНК важную роль играют совершенно другие мотивы для осуществления зарубежных инвестиций - от захвата рынков сбыта и доступа к технологиям до такого российского расчета, как повышение переговорной силы в отношениях с властью или «страхование» собственности.

Довольно распространена среди ТНК второго эшелона стратегия инвестиций brownfield. В отличие от инвестиций greenfield в данном случае инвестор приобретает существующее предприятие. Однако дальнейшие капиталовложения в его расширение и модернизацию многократно превосходят первоначальные инвестиции, что отличает их от классических слияний и поглощений.

Проекты инвестиций в существующие предприятия характерны и для крупнейших российских корпораций. Достаточно вспомнить инвестиции «ЛУКойла» в нефтепереработку на Украине, в Болгарии и Румынии. Однако такой тип ПИИ больше характерен для отраслей, выпускающих продукцию с высокой добавленной стоимостью, например для машиностроения и химической промышленности, а в географическом плане - для постсоциалистических стран, где приватизация нередко сопряжена с небольшими первоначальными платежами новых собственников. Именно в таких отраслях, причем преимущественно на постсоветском пространстве, доминируют российские ТНК второго эшелона, поскольку за пределами СНГ с их уровнем конкурентоспособности и недостаточным опытом зарубежной деятельности возможности для прямых инвестиций у них невелики. Иллюстрацией могут служить, в частности, производитель насосного оборудования группа ГМС и специализирующийся на выпуске полимерных труб «Полипластик».

В последнее время опять растут российские инвестиции в электроэнергетику. Группа Александра Бабакова и его партнеров по VS Energy активно включилась в очередной этап приватизации региональных электроэнергетических компаний на Украине. В апреле прошлого года в Грузии компания «Интер РАО ЕЭС» выкупила за 104 млн долларов Храми ГЭС-1 и ГЭС-2, находившиеся в управлении российского инвестора начиная с 2003 года. Параллельно эта компания вовлечена за рубежом в проекты в секторе возобновляемых источников энергии. Так, в июле 2011 года в Литве более чем за 25 млн долларов «Интер РАО ЕЭС» приобрела 51% акций ветрогенерирующей компании Vydmantal Wind Park.

Пока еще рано говорить, успешными ли окажутся названные приобретения. Однако российским инвесторам в случае долгосрочного участия придется осуществить значительные капвложения в развитие купленных фирм.

Отдельного упоминания заслуживают российские инвестиции в отраслях по оказанию нефинансовых услуг. В этой сфере требуются небольшие капиталовложения, поэтому здесь отмечается сравнительно высокая зарубежная активность российских компаний. В сфере информационных технологий - «Лаборатория Касперского», «Техносерв» и др., рекламы и СМИ - «Интерфакс», издательский дом «Аргументы и факты» и др.

Еще совсем не раскрыт потенциал интернационализации российских вузов, которые в настоящее время имеют почти 40 филиалов в странах СНГ.

Дальнейшее развитие российских ТНК второго эшелона будет определяться как внутренними процессами в России (прежде всего сдвигами в деловой среде, нацеленными на сокращение монополизации и коррупционного давления, особенно ощутимого для не слишком крупных фирм), так и внешними условиями интернационализации отечественной экономики. Пока сложившаяся в России политико-экономическая модель не способствует расцвету предпринимательской инициативы и активизации средних и малых фирм. Более того, российская политика поддержки зарубежной экспансии отечественных компаний имеет склонность к гигантомании. К тому же в последнее время среди крупнейших ТНК все более активно в деле слияний и поглощений за рубежом проявляют себя государственные компании. По причине участия государства в акционерном капитале они пользуются его поддержкой.

Между тем поддержка со стороны государства куда важнее для ТНК как раз второго эшелона. Из-за очень высоких политических рисков такие компании часто боятся работать в странах Азии, Африки и Латинской Америки, где у них есть объективные конкурентные преимущества. По-видимому, именно на этом направлении следовало бы сосредоточиться недавно созданному (после многих лет обсуждения) Агентству по страхованию экспортных кредитов и инвестиций при Внешэкономбанке.

Пока же основные усилия по поддержке компаний-инвесторов предпринимаются МИД России. Например, им оказывается дипломатическое содействие при инвестировании средств в машиностроение за рубежом и другие отрасли высоких технологий, где российские ТНК сталкиваются с серьезной конкурентной борьбой на рынках, уже поделенных ведущими западными корпорациями. Дипломатическое ведомство оказывает российскому бизнесу информационную и другую поддержку в тендерах на освоение месторождений полезных ископаемых, сооружение нефте- и газопроводов, объектов электроэнергетики.

Некоторые крупные ТНК поняли выгоды от координации своих усилий с действиями государства и регулярно информируют МИД о своих стратегических планах. Соглашения о сотрудничестве с МИД России заключили РСПП, Торгово-промышленная палата, «Деловая Россия», «ОПОРА России», Ассоциация российских банков, Союз нефтегазопромышленников России, Союз машиностроителей России, Московская международная бизнес-ассоциация, а также некоторые ведущие корпорации. В рамках президентской программы подготовки управленческих кадров начиная с 1997 года уже более 11 тыс. менеджеров прошли стажировку за рубежом.

Вместе с тем, как показало одно из наших исследований, многие фирмы по-прежнему действуют на свой страх и риск, часто слабо подготовившись к реализации зарубежного инвестиционного проекта, последующий провал которого может нанести существенный урон имиджу всей России как экспортера капитала. До сих пор компании очень мало обращаются за консультационными услугами в специализированные учреждения. Впрочем, профильные министерства и ведомства тоже не всегда могут оказать им грамотную информационную поддержку из-за того, что не сотрудничают полноценно с соответствующими научными и консалтинговыми организациями. При продвижении на внешние инвестиционные рынки негативно на наших компаниях отражается также их крайне низкая информационная прозрачность.

Экспансия отечественного капитала нуждается в квалифицированной поддержке, которая вовсе не сопряжена со значительными финансовыми расходами, что в наибольшей степени беспокоит противников государственной поддержки российского экспорта капитала, полагающих, что таким образом будет поощряться коррупция.

Использование различных мер поддержки прежде всего даст ощутимый эффект не столько даже для количественного наращивания присутствия отечественного бизнеса за рубежом, сколько для возрастания роли российских заграничных капиталовложений в трансформации отечественной экономики, ее перевода на инновационный путь развития. Не случайно многие авторитетные эксперты неоднократно высказывали мнение, что в условиях глобализации поддержание конкурентоспособности экономики страны немыслимо без наличия крупных национальных компаний - экспортеров капитала.

Таким образом, именно сейчас определяется дальнейшая траектория интернационализации российской экономики. Даже при отсутствии инновационных прорывов нефтегазовые и металлургические ТНК по-прежнему будут некоторое время наращивать свое присутствие в мире, а представители других отраслей - концентрировать свою зарубежную активность преимущественно в соседних странах.

2.2 Отраслевая структура инвестиций РФ


Рассмотрим структуру инвестиций в России.

. Бытовая структура инвестиций

Отражает соотношение финансовых (58%) и реальных (42%) инвестиций. Сама по себе бытовая структура не дает достаточных оснований для суждения о характере инвестиционного процесса и его влиянии на экономику страны.

Высокий удельный вес реальных инвестиций однозначно не свидетельствует о росте общественного богатства. Поэтому необходим анализ других структурных соотношений.

В РФ инвестиции сосредоточены в отраслях ТЭК, торговли и общепита. Если капитальные вложения по оценкам Департамента строительства МФ РФ недостаточны даже для простого воспроизводства, то инвестиции в торговлю и общепит вряд ли могут существенно помочь развитию экономики.

Существенной характеристикой инвестиционного процесса является структура капиталовложений по их финансовым источникам. Она, отражая роль отдельных институтов в формировании инвестиционных ресурсов, позволяет оценить финансовое положение хозяйствующих субъектов.

В рыночных системах хозяйствования основным источником финансирования инвестиционной деятельности являются собственные средства. Именно их использование обеспечивает воспроизводство основного капитала.

В составе собственных источников инвестиций выделяют:

средства на возмещение выбытия элементов основного капитала (амортизационные отчисления);

чистые накопления (нераспределенная прибыль)

Соотношение этих источников характеризует

.        Воспроизводственную структуру инвестиций: амортизация - простое воспроизводство; прибыль - расширенное.

В развитых странах наблюдается устойчивая тенденция к снижению роли чистых капиталовложений в воспроизводство основного капитала. Существуют и отраслевые различия в динамике процесса. В промышленности роль амортизационного фонда в обновлении капитала выше, чем в других отраслях экономики, т.к. здесь обновление идет более быстрыми темпами.

Усиление процессов выбытия преимущественно активной части основного капитала на базе достижений науки и техники позволяет предприятиям:

) Ускорить кругооборот орудий труда в целях быстрого накопления амортизации, обеспечить самофинансирование воспроизводства основного капитала;

) Снизить издержки производства и получить прибыль для ее частичной капитализации в следующем инвестиционном цикле.

. Технологическая структура инвестиций (касается только реальных) Предполагает выделение инвестиций, направленных на:

технологическое перевооружение (20%);

реконструкцию и расширение (50%); - новое строительство (30%)

. Структура инвестиций по форме собственности Отражает преобладание инвестиционного потока в частные, коллективные и смешанные предприятия над муниципальными.

В отечественной практике выделяют интенсивный и экстенсивный типы воспроизводства. В зарубежной: динамическую и стационарную модели воспроизводства.

Интенсивному типу преимущественно соответствует стационарная характеристика. Основные воспроизводственные пропорции в процессе кругооборота основного капитала относительно постоянны. Воспроизводственные пропорции - чистые накопления и амортизация.

Расширенное воспроизводство в этом случае осуществляется на основе интенсивного обновления основного капитала вначале путем параллельного развития процессов чистого накопления и замены физически и морально устаревших средств труда, а затем путем преобладания кардинального обновления старого производственного аппарата.

В идеале, стационарный тип в условиях равновесного спроса и предложения, с одной стороны обеспечивает простое воспроизводство неизменного физического объема капитала, обновляемого в соответствии с экономически целесообразными сроками службы средств труда. Кроме того, учитывается интенсивность НТП и темп смены поколений техники.

С другой стороны, одновременно обеспечивается и расширенное воспроизводство основного капитала по его производительным способностям и полезности создаваемых потребительских стоимостей, т.к. обновление капитала происходит с постоянно растущей технической основой и снижающимся соотношением V / C (V - переменные издержки, C - постоянные: зарплата и амортизация, например).

При стационарном типе воспроизводства основного капитала накопленный амортизационный фонд используется по прямому назначению, т.е. для простого воспроизводства основного капитала. Но при этом простое воспроизводство является простым лишь по стоимостной форме. Фактически же оно становится расширенным за счет увеличения производительной способности основного капитала на единицу его цены. Амортизация при этом используется как главный источник самофинансирования НТП.

В результате один и тот же объем реновационных средств становится достаточным как для финансирования возмещения выбытия производительной функции данного средства труда, так и для их приращения.

Такой тип воспроизводства основного капитала присущ США, где в течении последних 30 лет соотношение чистого накопления и возмещения выбытия равно приблизительно 50 / 50.

Экстенсивный тип воспроизводства характеризуется динамической моделью накопления капитала, главная особенность которой заключена в преобладании чистого накопления, т.е. расширение основного капитала не редко без существенного спада технического уровня производственного аппарата. Подобный тип характерен для ФРГ после ВОВ и сопровождался высокими темпами наращивания производственного потенциала. Среднегодовые темпы прироста основного капитала были в 3 - 4 раза выше аналогичного показателя в США, где он составлял 3,6%.

Стабилизация темпов роста основного капитала - одна из главных черт стационарной модели.

Стационарный тип воспроизводства основного капитала характеризуется более экономичным использованием капитальных вложений, нежели динамический. Это проявляется в относительно низкой норме, но более высокой эффективности накопления, в росте или стабилизации капиталоотдачи, в стабилизации или понижении соотношения капитала к производственной мощности, повышении нормы рентабельности и других макроэкономических показателей, характеризующих качество и эффективность процессов общественного воспроизводства.

2.3 Инвестиционная политика в России


Исследование вопросов инвестиционной политики, как на макро-, так и на микро-уровне является актуальным для России, которая находится на пути к развитой рыночной экономике.

Принципы государственного регулирования инвестиционной деятельности определены в ст. 11 Федерального закона от 25.02.99 № 39-ФЗ (ред. от 23.07.2010) "Об инвестиционной деятельности в Российской Федерации, осуществляемой в форме капитальных вложений". Главными из них являются 1) создание благоприятных условий для развития инвестиционной деятельности; 2) прямое участие государства в инвестиционной деятельности.

Инвестиционная политика государства - это сложный процесс, зависящий от множества факторов. Министерство экономического развития РФ определяет основные направления инвестиционно-структурной политики (Концепция долгосрочного социально-экономического развития Российской Федерации на период до 2020 года, утвержденной распоряжением Правительства РФ от 17.11.2008), и общие положения (санкции, условия льготного кредитования и т.п.). Субъектам федерации разрешается вносить собственные дополнения и уточнения с учетом транспортной доступности, наличия подготовительных объектов для инвестирования, наличия квалифицированных трудовых ресурсов, наличия преференций, наличия доступной информационной поддержки. Все это должно обеспечивать целевое использование инвестиционных ресурсов и контроль за достижением заданных результатов.

На формирование государственной политики России в инвестиционной сфере оказывает влияние ряд факторов:

Во-первых, это традиционно сложившаяся сильная роль государства в управлении экономикой. Именно от государства исходила инициатива радикальных экономических реформ.

Во-вторых, функционирование рыночной экономики, которая призвана обеспечить наибольшую отдачу от действий субъектов инвестиционной деятельности и от долгосрочных перспектив государственной политики.

В-третьих, это особенности переходного периода, такие как политическая, экономическая нестабильность, мировой финансовый кризис, отсутствие четкого и правильного развития реального сектора экономики.

В современных экономических условиях низкого уровня инвестиционных потоков и продолжающегося восстановления рынка инвестиций роль государства является определяющей.

Государство может влиять на инвестиционную активность при помощи амортизационной политики, научно-технической политики, политики в отношении иностранных инвестиций и др.

Государственные инвестиции, направленные на решение стратегических задач государственной политики, зачастую не носят коммерческого характера. Эффективность государственных инвестиций необходимо рассматривать в масштабе страны из-за их направленности на устойчивый экономический рост и социальный прогресс общества. России необходимо создавать механизм обеспечения эффективности использования государственных инвестиций. Основными направлениями создания такого механизма являются: усиление программно-целевой составляющей государственного регулирования; сотрудничество государства и бизнеса на основе совместного финансирования проектов; предоставление на долевой основе капитальных трансфертов.

России в настоящее время нужны прямые частные инвестиции, причем не просто капитал, а так называемые умные инвестиции, то есть вложения, сопровождающиеся передачей технологий, созданием новых, высокотехнологичных и хорошо оплачиваемых рабочих мест.

Иностранные инвестиции так же важны для российской экономики. Это вызвано практически полным отсутствием финансирования из средств государственного бюджета, отсутствием достаточных средств у предприятий, развитием общего экономического кризиса и спадом производства, большим износом установленного на предприятиях оборудования и другими причинами.

Создание благоприятного инвестиционного климата должно осуществляться:

1.      Путем усиления роли государства как гаранта прав субъектов инвестиционной деятельности. Это позволит участникам быть уверенным в том, что в кризисных ситуациях вложенный капитал не будет потерян;

2.      Создание равных конкурентных условий всем инвесторам, независимо от форм собственности, что может способствовать эффективному размещению капитала и устойчивому развитию;

.        Устранение противоречий в законодательстве;

.        Упрощение процедур согласования документации, при разработке инвестиционных программ, для ускоренного внедрения инвестиционных проектов;

.        Создание информационно-аналитических центров, осуществляющих рейтинговую оценку потенциальных инвесторов;

.        Становление современной инфраструктуры рынка инвестиций, что будет способствовать сбережению средств инвестиционного процесса при межотраслевом переливе капитала.

Следует отметить, что в настоящее время в Российской Федерации активно реализуется государственная политика, направленная на поддержку инвестиций.

Для улучшения инвестиционного климата в августе 2010 г. в России был учрежден пост инвестиционного омбудсмена. Это сделано для того, чтобы иностранные инвесторы могли напрямую обращаться к омбудсмену со своими нуждами, предложениями и идеями. В настоящее время продолжается последовательная работа по дебюрократизации экономики: упрощаются процедуры запуска инвестиционных проектов, убраны формальные проверки. В России планируется создать единую национальную систему аккредитации, которая упростит допуск новых товаров на рынки. Так же правительство завершает работу над пакетом законопроектов, направленных на создание налоговых стимулов для инвестиций в высокие технологи, в качестве социальных услуг.

Для сектора информационных технологий, резидентов технико-внедренческих зон и компаний, создаваемых при высших учебных заведениях, введены пониженные ставки страховых взносов.

Для снижения региональной и муниципальной бюрократии прорабатывается вопрос о целесообразности составления специального рейтинга инвестиционной привлекательности регионов. Качество работы с инвесторами будет одним из базовых критериев оценки эффективности деятельности региональных администраций, критерием состоятельности и кадровых перспектив самих руководителей, губернаторов.

Планируется, что регионы и муниципалитеты в ближайшем будущем будут публиковать информацию о перечне перспективных территорий, что позволит быстрее и с меньшими издержками выбирать площадку для реализации инвестиционных проектов.

Так же планируется упростить процедуру доступа предпринимателей к инфраструктуре естественных монополий.

Активное воздействие государства на процессы инвестирования являются необходимым условием обеспечения благоприятного инвестиционного климата и оживления инвестиционной деятельности, что позволяет обеспечить стабильное развитие социально-экономической системы в целом и интересах всего общества.

2.4 Пути развития инвестиционного процесса РФ


Проблема увеличения притока отечественных и зарубежных инвестиций в российскую экономику остается актуальной на протяжении постсоветских десятилетий. В условиях дефицита федерального бюджета последних лет государство в значительной мере сделало ставку на приток частных инвестиций. Мировой опыт показывает, что для частных инвесторов главным ориентиром в выборе места приложения капитала выступает состояние инвестиционного климата. В России, несмотря на происходящие позитивные изменения, он недостаточно благоприятен для бизнеса.

Ключевые задачи улучшения инвестиционного климата определены в Послании Президента России Федеральному Собранию на 2013 год. Продолжается совершенствование законодательства. В конце 2012 г. внесены изменения в Бюджетный кодекс РФ о формировании региональных инвестиционных фондов, принят в первом чтении и дорабатывается проект федерального закона «О государственном стратегическом планировании». Началась реализация первых утвержденных Правительством России «дорожных карт», содержащих системные меры в области строительства, энергетической инфраструктуры, поддержки несырьевого экспорта и таможенного администрирования.

Улучшение инвестиционного климата путем внедрения Стандарта АСИ

Инвестиционный климат в регионах по ряду объективных и субъективных причин различается значительно. Большую роль в его улучшении играют сами регионы, во многих из которых созданы действенные инструменты повышения инвестиционной привлекательности.

В ряде пилотных регионов (Республика Татарстан, Пермский край, Свердловская, Калужская, Липецкая, Ульяновская области) внедряется Стандарт деятельности органов исполнительной власти субъекта Российской Федерации по обеспечению благоприятного инвестиционного климата в регионе, разработанный Агентством стратегических инициатив по продвижению новых проектов (АСИ).

Он включает 15 базовых требований к региональным властям по улучшению их бизнес-среды, в том числе утверждение инвестиционной стратегии и меморандума; принятие законов о защите прав и механизмах поддержки инвесторов и оценке регулирующего воздействия; создание совета по улучшению инвестиционного климата и структур по привлечению инвестиций и профессиональной подготовке кадров и др.

Опыт пилотных регионов показывает, что они позитивно восприняли требования Стандарта и считают полезным расширить масштабы его внедрения на другие субъекты Федерации. Реализация Стандарта обеспечит создание своего рода инвестиционной карты России, позволяющей инвесторам выявить территории наиболее выгодного создания производств, а также формы и размеры возможной государственной поддержки.

Помимо совершенствования процедур привлечения инвестиций, необходимо использовать и другие пути улучшения инвестиционного климата. В регионах накоплен ряд сложных проблем и подход к их решению должен быть комплексным, что подчеркивалось на специальном заседании Государственного совета при Президенте России 27 декабря 2012 г. На первый план представители регионов справедливо выдвигают необходимость совершенствования финансово-бюджетной политики и системы межбюджетных отношений.

Пути изменения финансово-бюджетных отношений Центра и регионов для улучшения инвестиционного климата

Эксперты отмечают диспропорциональность российской системы публичных финансов, которая формируется из-за изъятия части экспортных доходов сырьевого сектора и их направления в резервные фонды [5]. С 2013 г. она еще более усиливается введением на федеральном уровне «бюджетного правила». Усилия федеральных властей сосредоточены на создании «подушки безопасности» в случае падения нефтяных цен: в бюджете 2013−2015 гг. предусмотрено более интенсивное накопление изымаемых средств в резервных фондах - «стабилизаторах». Резервный фонд возрастет с 3,2 трлн руб.(4,8% к ВВП) в 2013 г. до 4,7 трлн руб. в 2015 г. (5,7% к ВВП), Фонд национального благосостояния достигнет на конец 2015 г. (3,4% ВВП) [1]. Таким образом, все возрастающие ресурсы отвлекаются из экономики и социальной сферы.

Положительно оценивая формирование резервов бюджета, важно найти их оптимальную величину и гибко использовать «бюджетное правило» в годы более благоприятной конъюнктуры. Президентом России В.В. Путиным в ежегодном Послании на 2013 г. поставлена задача использования части средств Фонда национального благосостояния для вложений в российские ценные бумаги, связанные с реализацией инфраструктурных проектов.

Проводимая финансово-бюджетная политика усиливает и вертикальную несбалансированность бюджетной системы, так как в условиях федеративного государства продолжается концентрация ресурсов на федеральном уровне. Бюджеты многих регионов формируются с дефицитом (в 2011 г. их было 57 из 83 субъектов Федерации). Межбюджетные трансферты из федерального бюджета бюджетам субъектов Российской Федерации в 2013−2015 гг. сокращаются. Происходит также снижение их доходов вследствие принятия ряда федеральных законов (создание консолидированных групп налогоплательщиков, отмена льгот по налогу на имущество организаций естественных монополий, введение льготы на вновь вводимое движимое имущество).

В то же время на бюджеты регионов ложится все возрастающая нагрузка по финансированию социально-экономического развития. В 2013 г. регионы должны повысить заработную плату работников бюджетной сферы в соответствии с майскими (2012 г.) указами Президента России, но на их реализацию регионам из федерального бюджета выделено средств значительно ниже необходимых. Во многих регионах уже в настоящее время до 70% бюджетных расходов осуществляется на выплату заработной платы и обязательные социальные выплаты, а инвестиционные расходы, развитие социальной, транспортной инфраструктуры отодвигаются на второй план.

Следствием вертикальной несбалансированности бюджетной системы является рост задолженности региональных бюджетов. Существуют риски невыполнения указов Президента России и возрастания несбалансированности бюджетов субъектов Федерации.

Существующая система межбюджетных отношений не только не «настроена» на стимулирование инвестиционной активности регионов, но, напротив, нередко ее сдерживает. В Калужской области, активно привлекающей инвесторов, в 2006−2011 гг. из более 26 млрд руб. дополнительных налогов от деятельности созданных индустриальных парков, свыше 60% пополнили федеральный бюджет, также значительно (свыше 8 раз) выросли таможенные платежи в федеральный бюджет. При этом дотации региону из федерального бюджета за это же время сократились более чем в 4 раза [4].

В Ульяновской области для закрепления в регионе высокотехнологичных мировых компаний (Pilkington, Gildemeister, Schaeffler, FM Logistic и др.), правительство области предоставляет им льготы по налогам, отказавшись от поступлений в региональный бюджет на ближайший год. Налоговые платежи в федеральный бюджет в результате реализации проектов растут, но регион, привлекая инвесторов и увеличивая доходы федерального бюджета, не получает компенсацию своих затрат.

Для финансового стимулирования регионов к развитию их инвестиционной инфраструктуры и повышению бюджетной обеспеченности федеральному уровню необходимо предусмотреть стимулирующую дотацию субъектам, показавшим значительный рост налогового потенциала. В настоящее время на стимулирование инвестиционной активности регионов направляется менее 1,5% общего объема трансфертов, выделяемых регионам из федерального бюджета.

Важно также осуществлять налоговое стимулирование регионов и муниципалитетов по привлечению инвестиций. Основным путем такого стимулирования эксперты считают введение нового налога на недвижимость, при этом предлагается полностью оставлять в муниципалитетах налог на недвижимость с физических лиц и частично налог на недвижимость юридических лиц.

Таким образом, инвестиционный климат необходимо улучшать, используя организационные возможности самих регионов (внедрение стандарта АСИ), так и совершенствуя финансово-бюджетную политику и межбюджетные отношения в целях финансового оздоровления регионов, что является прерогативой Центра. Один из ключевых для регионов − вопрос увеличения доходной базы. Важно создание стимулов для наращивания экономического и налогового потенциалов субъектов Российской Федерации и муниципальных образований, а также принятие мер, снижающих уровень их дотационности. На этой основе возможно обеспечить необходимый приток частных инвестиций на модернизацию и инновационное развитие экономики.

Заключение

Инвестиции - это долгосрочные вложения капитала в различные инновационные проекты, новые или существующие предприятия, различных сфер деятельности и форм собственности, предпринимательские проекты или социально-экономические программы и так далее. Особенностью инвестиций является долгосрочность окупаемости проектов.

Роль инвестиций в экономике государства огромна, они играют значительную роль в поддержании, функционировании и динамическом развитии экономики страны. Происходящие изменения, в количественном соотношении инвестиций, воздействуют на изменения: объема общественного производства, занятости населения, структурных экономических показателей и динамики развития различных отраслей народного хозяйства.

Инвестиционный процесс можно определить как совокупное движение инвестиций различных форм и уровней. Осуществление инвестиционного процесса в экономике любого типа предполагает наличие ряда условий, основными из которых являются: достаточный для инвестиционной сферы ресурсный потенциал; наличие экономических субъектов, способных обеспечить инвестиционный процесс в необходимых масштабах; механизм трансформации инвестиционных ресурсов в объекты инвестиционной деятельности.

Исследование вопросов инвестиционной политики, как на макро-, так и на микро-уровне является актуальным для России, которая находится на пути к развитой рыночной экономике.

В современных экономических условиях низкого уровня инвестиционных потоков и продолжающегося восстановления рынка инвестиций роль государства является определяющей.

Государство может влиять на инвестиционную активность при помощи амортизационной политики, научно-технической политики, политики в отношении иностранных инвестиций и др.

Создание благоприятного инвестиционного климата должно осуществляться:

7.      Путем усиления роли государства как гаранта прав субъектов инвестиционной деятельности. Это позволит участникам быть уверенным в том, что в кризисных ситуациях вложенный капитал не будет потерян;

8.      Создание равных конкурентных условий всем инвесторам, независимо от форм собственности, что может способствовать эффективному размещению капитала и устойчивому развитию;

.        Устранение противоречий в законодательстве;

.        Упрощение процедур согласования документации, при разработке инвестиционных программ, для ускоренного внедрения инвестиционных проектов;

.        Создание информационно-аналитических центров, осуществляющих рейтинговую оценку потенциальных инвесторов;

.        Становление современной инфраструктуры рынка инвестиций, что будет способствовать сбережению средств инвестиционного процесса при межотраслевом переливе капитала.

Также инвестиционный климат необходимо улучшать, используя организационные возможности самих регионов (внедрение стандарта АСИ), так и совершенствуя финансово-бюджетную политику и межбюджетные отношения в целях финансового оздоровления регионов, что является прерогативой Центра.

3. Практическая часть

Предприятие планирует модернизацию оборудования цеха. Стоимость проекта 90 млн. руб. Проект рассчитан на 7 лет. Затраты на создание основных средств производятся во втором году. Новые основные средства вводятся в действие в начале третьего года реализации проекта. Средняя норма амортизационных отчислений - 8%.

Предприятие располагает основными фондами стоимостью 90 млн. руб., средняя норма амортизации 10%. Показатели деятельности предприятия за истекшие два года до начала проекта следующие:

выручка от реализации продукции - 100млн. руб.;

текущие расходы - 70 млн. руб.

прибыль 21 млн.руб.

чистая прибыль 16,8 млн.руб.

За 2 года -33,6млн.руб.

амортизация 9 млн.руб

За 2 года 18 млн.руб.

Всю оставшуюся прибыль, полученную за истекшие два года до начала проекта, планируется использовать на финансирование проекта. Финансирование проекта вышеупомянутыми средствами осуществляется в первый и второй год его реализации равными долями.

Выручка от реализации продукции по проекту составляет 120 млн. руб. Она начинает поступать на предприятие в третий год реализации проекта и растет в соответствии со следующим графиком (см. таблицу 1):

Таблица 1

Год реализации инвестиционного проекта

3

4

5

6

7

Выручка от реализации продукции, %

50

70

85

100

100

Выручка от реализации продукции, млн. руб

60

84

102

120

120


Текущие расходы по проекту составляют 90млн. руб. Предприятие начинает производить их в третий год реализации проекта. Текущие расходы растут в соответствии с ростом выручки (см. таблицу 1).

Все оттоки и притоки денежных средств в рамках данного задания для выполнения курсовой работы осуществляются в конце года.

Определим источники финансирования для проекта (Таблица 2)

Таблица 2 Источники финансирования

Номер шага

0

1

Длительность шага (годы, доли года)

 

 

Показатели

 

 

1. Собственный капитал (акционерный)

64,5


2. Субсидии и дотации*

 

 

3. Заемные денежные средства** (отдельно по каждому кредиту с указанием процентной ставки на каждый)

 

 

4. Часть чистой прибыли и амортизационных отчислений

25,8

25,8

5. Итого по всем источникам

90,3

25,8

6. Итого по всем источникам без стр.4

 64,5

0


Итак, проект планируется финансировать исключительно из собственных средств. Проанализируем денежные потоки от финансовой деятельности проекта (Таблица 3).

Таблица 3 Денежный поток от финансовой деятельности

Номер шага

0

1

2

3

4

5

6

Длительность шага (годы, доли года)








Показатели








1. Денежные притоки всего, в том числе:

25,8

25,8

60

84

102

120

120

1.1. Собственные средства

25,8

25,8

60

84

102

120

120

1.2. Привлеченные средства (по каждому кредиту отдельно)








2. Денежные оттоки всего, в том числе:








2.1. Погашение кредитов








2.2. Проценты по кредитам








2.3. Дивиденды (при необходимости)








3. Сальдо денежного потока от финансовой деятельности (стр.1 - стр.2)

45

65,8

60

84

102

120

120


Таким образом, оттоков от финансовой деятельности не ожидается, только притоки, следовательно, сальдо положительно.

Проанализируем денежные потоки в целях финансового планирования, установим, нуждается ли проект в дополнительном финансировании (Таблица 4)

Таблица 4 Денежные потоки для финансового планирования

Номер шага

1

2

3

4

5

6

7

Длительность шага (годы, доли года)




 

 


 

Показатели




 

 


 

1. Денежные притоки (сумма строк 1.1ё1.4)

25,8

25,8

69

93

111

129

129

1.1. Источники финансирования

25,8

25,8


 

 


 

1.2. Выручка от реализации продукции



60

84

102

120

120

1.3. Прочие и внереализационные доходы




 

 


 

2. Денежные оттоки (сумма строк 2.1ё2.8)

45

45

81

81

83,4

87

87

2.1. Общие капиталовложения

45

45


 

 


 

2.2. Издержки производства и сбыта продукции без амортизации (амортизация 10%-9 млн.руб)



81

81

81

81

81

2.3. Налоги и сборы



-

-

 2,4

6

6

2.4. Внереализационные расходы




 

 


 

2.5. Вложение средств в дополнительные фонды




 

 


 

2.6. Погашение кредитов




 

 


 

2.7. Проценты по кредитам




 

 


 

2.8. Дивиденды акционерам




 

 


 

3. Сальдо денежного потока

-19,2

-19,2

-21

3

18,6

33

33

4. Накопленное сальдо денежного потока(стр.3 нарастающим итогом)

-19,2

-38,4

-59,4

-56,4

-37,8

-4,8

28,2


Условием финансовой реализуемости инвестиционного проекта является неразрывность денежного потока или неотрицательность на каждом шаге m накопленного сальдо денежного потока. Если на некотором шаге накопленное сальдо денежного потока становится отрицательным, это означает, что проект в данном виде не может быть осуществлен независимо от значений интегральных показателей эффективности. В этом случае необходимо привлечение дополнительных собственных или заемных средств или изменение других параметров проекта.

Из таблицы 4 очевидно, что проекту требуется дополнительное финансирование. В связи с этим предлагается использовать собственные средства, вырученные от реализации продажи устаревшего оборудования. С учетом амортизации и рыночной цены стоимость данного оборудования составит 40,2млн.руб. Реализовать оборудование возможно в конце 2 -го года до внедрения новых основных средств. Второй источник - продажа собственных ценных бумаг на 19,2млн.руб. Средства от продажи акций будут внесены в первый год.

Рассмотрим сальдо денежных потоков с привлечением дополнительного источника финансирования (таблица 5)

Таблица 5 Денежные потоки для финансового планирования (вариант при объединенных денежных потоках)

Номер шага

0

1

2

3

4

5

6

Длительность шага (годы, доли года)




 

 


 

Показатели




 

 


 

1. Денежные притоки (сумма строк 1.1ё1.4)

45

66

60

 84

102

120

120

1.1. Источники финансирования

45

66


 

 


 

1.2. Выручка от реализации продукции



60

84

102

120

120

1.3. Прочие и внереализационные доходы




 

 


 

1.4. Ликвидационная стоимость основных фондов




 

 


 

2. Денежные оттоки (сумма строк 2.1ё2.8)

45

45

81

81

83,4

87

87

2.1. Общие капиталовложения

45

45


 

 


 

2.2. Издержки производства и сбыта продукции без амортизации



81

81

81

81

81

2.3. Налоги и сборы



-

-

 2,4

6

6

2.4. Внереализационные расходы




 

 


 

2.5. Вложение средств в дополнительные фонды




 

 


 

2.6. Погашение кредитов




 

 


 

2.7. Проценты по кредитам




 

 


 

2.8. Дивиденды акционерам




 

 


 

3. Сальдо денежного потока

0

21

-21

3

18,6

33

33

4. Накопленное сальдо денежного потока (стр.3 нарастающим итогом)

0

21

0

3

21,6

54,6

87,6


Таким образом, собственных источников финансирования оказалось достаточно. Проект не требует привлечения заемных средств.

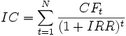
Выберем коэффициент дисконтирования.

Рассчитаем ставку дисконтирования. Ставка дисконтирования должна включать в себя минимально гарантированный уровень доходности, не зависящих от вида инвестиций, темпа инфляции и степени риска. Наиболее объективным на наш взгляд является метод определения ставки дисконтирования как средневзвешенной стоимости капитала.

Для определения стоимости собственного капитала применяется модель оценки долгосрочных активов (capitalassetspricingmodel - CAPM).

Ставка дисконтирования (ставка доходности) собственного капитала (Re) рассчитывается по формуле:

e = Rf + в(Rm - Rf),

где Rf - безрисковая ставка дохода;

в - коэффициент, определяющий изменение цены на акции компании по сравнению с изменением цен на акции по всем компаниям данного сегмента рынка;

(Rm - Rf) - премия за рыночный риск;m - среднерыночные ставки доходности на фондовом рынке.

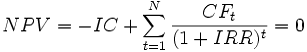
Если для финансирования проекта привлекается не только собственный, но и заемный капитал, то доходность такого проекта должна компенсировать не только риски, связанные с инвестированием собственных средств, но и затраты на привлечение заемного капитала. Учесть стоимость и собственных, и заемных средств позволяет показатель средневзвешенной стоимости капитала (WACС), который рассчитывается по формуле:

WACC= Re(E/V) + Rd(D/V)(1 - tc),

где Re - ставка доходости собственного (акционерного) капитала, рассчитанная, как правило, с использованием модели САРМ;- рыночная стоимость собственного капитала (акционерного капитала). Рассчитывается как произведение общего количества обыкновенных акций компании и цены одной акции;- рыночная стоимость заемного капитала. На практике часто определяется по бухгалтерской отчетности как сумма займов компании. Если эти данные получить невозможно, то используется доступная информация о соотношении собственного и заемного капиталов аналогичных компаний;= E + D - суммарная рыночная стоимость займов компании и ее акционерного капитала;d - ставка доходности заемного капитала компании (затраты на привлечение заемного капитала). В качестве таких затрат рассматриваются проценты по банковским кредитам и корпоративным облигациям компании. При этом стоимость заемного капитала корректируется с учетом ставки налога на прибыль. Смысл корректировки заключается в том, что проценты по обслуживанию кредитов и займов относятся на себестоимость продукции, уменьшая тем самым налоговую базу по налогу на прибыль5;c - ставка налога на прибыль.

Рассчитаем ставку дисконтирования для предприятия(Для расчетов используем отчетность ОАО «Акрон» - Приложение 1).f = 5,63%(еврооблигации Russia-30 $);

в =1 (по данным рейтингового агентства АК & М)

(Rm - Rf) = 5% (часто используется на практике)

Таким образом, доходность собственного капитала равна:e = 5,63% +1*5% = 10,63%.

Уставный капитал компании 202,64млн.руб. по состоянию на 2014 год

Е=64,5 млн.руб.

Краткосрочные обязательства компании - 22,9млн.руб

Долгосрочные обязательства - 38 млн.руб.=22,9+38=60,9 млн.руб

V=64,5+60,9=125,4млн.руб.

E/V = 51% - доля рыночной стоимости акционерного капитала (E) в суммарной стоимости капитала (V) компании.

За ставку дохода заемного капитала (Rd) примем среднюю процентную ставку по кредитам в 2014 году -12,3%(прогноз ЦБ РФ)/V = 49% - доля заемного капитала компании (D) в суммарной стоимости капитала (V ).c = 20% .

Таким образом, WACC = 0,1063 * 0,51 + 0,123 *0,49* (1 - 0,2) =10,24%.

Произведем расчет коэффициента дисконтирования по формуле 1/(1+i)n, где i - ставка дисконтрования, n - номер года (таблица 6 )

Таблица 6

Годы

0

1

2

3

4

5

6

Коэффициент дисконтирования

1

0,91

0,82

0,75

0,68

0,61

0,56


После расчета коэффициента дисконтирования можно оценить эффективность проекта. Для этого построим вспомогательную таблицу 7

Таблица 7 Денежные потоки для оценки эффективности участия предприятия в проекте (вариант при объединенных денежных потоках)

Номер шага

1

2

3

4

5

6

7

Длительность шага (годы, доли года)





 

 

 

Показатели





 

 

 

1. Денежные притоки (сумма стр.1.1ё 1.4)

45

66

60

 84

102

120

120

1.1. Источники финансирования (стр.6 табл. 11.13)

45

66


 

 


 

1.2. Выручка от реализации продукции



60

84

102

120

120

1.3. Прочие и внереализационные доходы




 

 


 

1.4. Ликвидационная стоимость




 

 


 

2. Денежные оттоки (сумма стр.2.1 ё 2.7)

45

45

81

81

83,4

87

87

2.1. Общие капиталовложения

45

45


 

 


 

2.2. Издержки производства и сбыта продукции без амортизации



81

81

81

81

81

2.3. Налоги и сборы



-

-

 2,4

6

6

2.4. Внереализационные расходы




 

 


 

2.5. Вложение средств в дополнительные фонды




 

 


 

2.6. Погашение кредитов




 

 


 

2.7. Проценты по кредитам




 

 


 

3. Сальдо денежного потока (стр.1 - стр.2)

0

21

-21

3

18,6

33

33

4. Поток для оценки эффективности участия в проекте (чистые денежные поступления) [стр.3 - собственные средства]

-45

-45

-21

3

18,6

33

33

5. То же нарастающим итогом

-45

-90

-111

-108

-89,4

-56,4

-23,4

6. Коэффициент дисконтирования

1

0,91

0,82

0,75

0,68

0,61

0,56

7. Чистая текущая стоимость (стр.4 х стр.6)

-45

-40,95

-17,22

2,25

12,65

20,13

18,48

8. Интегральный экономический эффект (чистая текущая стоимость нарастающим итогом)

-45

-85,95

-103,17

-100,92

-68,14

-49,66


Схема расчета срока окупаемости.

. Рассчитать дисконтированный денежный поток доходов по проекту, исходя из ставки дисконта и периода возникновения доходов.

. Рассчитать накопленный дисконтированный денежный поток как алгебраическую сумму затрат и потока доходов по проекту.

. Накопленный дисконтированный денежный поток рассчитывается до получения первой положительной величины.

. Определить срок окупаемости по формуле.=число лет, предшествующих году окупаемости+ невозмещенная стоимость на начало года окупаемости/приток наличности в течение года окупаемости.

Рассчитаем срок окупаемости проекта (таблица 8).

Таблица 8

Период

0

1

2

3

4

5

6

Денежный поток

-45

-45

-21

3

18,6

33

33

Накопленный денежный поток

-45

-90

-111

-108

-89,4

-56,4

-23,4


Таким образом, проект не окупается в планируемый срок.

Недостатки данного показателя заключаются в следующем:

Во-первых, в расчетах игнорируются доходы, получаемые после предлагаемого срока окупаемости проекта. Следовательно, при отборе альтернативных проектов можно допустить серьезные просчеты, если ограничиваться применением только данного показателя.

Во-вторых, использование этого показателя для анализа инвестиционного портфеля в целом требует дополнительных расчетов. Период окупаемости инвестиций по портфелю в целом не может быть рассчитан как простая средняя величина.

Оценим проект с помощью показателя коэффициента эффективности инвестиций (ARR).

Метод расчета коэффициента эффективности инвестиций имеет две характерные черты: во-первых, он не предполагает дисконтирования показателей дохода; во-вторых, доход характеризуется показателем чистой прибыли PN (прибыль за минусом отчислений в бюджет). Алгоритм расчета: коэффициент эффективности инвестиции, называемый также учетной нормой прибыли (ARR), рассчитывается делением среднегодовой прибыли PN на среднюю величину инвестиции (коэффициент берется в процентах). Средняя величина инвестиции находится делением исходной суммы капитальных вложений на два, если предполагается, что по истечении срока реализации анализируемого проекта все капитальные затраты будут списаны; если допускается наличие остаточной или ликвидационной стоимости (RV), то ее оценка должна быть учтена в расчетах. Иными словами, существуют различные алгоритмы исчисления показателя ARR, достаточно распространенным является следующий:

=((-21+3+18,6+33+33)/5-90)/(1/2(90+0))=-1,704

Значение показателя ниже нуля. Это свидетельствует о низкой эффективности проекта.

Метод, основанный на коэффициенте эффективности инвестиции, также имеет ряд существенных недостатков, обусловленных в основном тем, что он не учитывает временной компоненты денежных потоков.

Для более достоверной оценки эффективности проекта рассчитаем сложные показатели.

Чистая приведённая стоимость (чистая текущая стоимость, чистый дисконтированный доход, англ. Net present value, принятое в международной практике для анализа инвестиционных проектов сокращение - NPV или ЧДД) - это сумма дисконтированных значений потока платежей, приведённых к сегодняшнему дню.

Показатель NPV представляет собой разницу между всеми денежными притоками и оттоками, приведёнными к текущему моменту времени (моменту оценки инвестиционного проекта). Он показывает величину денежных средств, которую инвестор ожидает получить от проекта, после того, как денежные притоки окупят его первоначальные инвестиционные затраты и периодические денежные оттоки, связанные с осуществлением проекта. Поскольку денежные платежи оцениваются с учётом их временно́й стоимости и рисков, NPV можно интерпретировать как стоимость, добавляемую проектом. Её также можно интерпретировать как общую прибыль инвестора.

Допустим, делается прогноз, что инвестиция (IC) будет генерировать в течение n лет, годовые доходы в размере P1, P2, ..., Рn. Общая накопленная величина дисконтированных доходов (PV) и чистый приведенный эффект (NPV) соответственно рассчитываются по формулам:

,

.     (1)

Очевидно, что если:> 0, то проект следует принять;< 0, то проект следует отвергнуть;= 0, то проект ни прибыльный, ни убыточный.=-49,66 млн.руб. значит проект не рентабельный.

Достоинства метода:

1.    Чёткие критерии принятия решений.

2.      Показатель учитывает стоимость денег во времени (используется коэффициент дисконтирования в формулах).

.        Показатель учитывает риски проекта посредством различных ставок дисконтирования. Большая ставка дисконтирования соответствует большим рискам, меньшая - меньшим.

Недостатки метода:

1.      Во многих случаях корректный расчёт ставки дисконтирования является проблематичным, что особенно характерно для многопрофильных проектов, которые оцениваются с использованием NPV.

2.      Хотя все денежные потоки (коэффициент дисконтирования может включать в себя инфляцию, однако зачастую это всего лишь норма прибыли, которая закладывается в расчётный проект) являются прогнозными значениями, формула не учитывает вероятность исхода события.

Оценим проект с помощью индекса рентабельности инвестиций (PI)

Этот метод является по сути следствием предыдущего. Индекс рентабельности (PI) рассчитывается по формуле:


Очевидно, что если: PI > 1, то проект следует принять; PI < 1, то проект следует отвергнуть; PI = 1, то проект ни прибыльный, ни убыточный.

=I0+I1,

где I0 - инвестиции 1-го года 45 млн.руб.1-инвестиции второго года(с учетом дисконтирования)- 66*0,91=60,06 млн.руб.=-49,66/105,6=-0,47< 1, - проект следует отвергнуть

Рассчитаем внутреннюю норму доходности (IRR).

Внутренняя норма доходности - норма прибыли, порожденная инвестицией. Это та норма прибыли (барьерная ставка, ставка дисконтирования), при которой чистая текущая стоимость инвестиции равна нулю, или это та ставка дисконта, при которой дисконтированные доходы от проекта равны инвестиционным затратам. Внутренняя норма доходности определяет максимально приемлемую ставку дисконта, при которой можно инвестировать средства без каких-либо потерь для собственника.

Таким образом, для потока платежей CF, где  - платёж через лет () и начальной инвестиции в размере внутренняя норма доходности рассчитывается из уравнения:

=105,6 млн.руб.


Методом подбора данных с помощью функций Ecxel найдем значение IRR (Талица 9)

Таблица 9

годы

2

3

4

5

6

Сальдо денежного потока(СFt)

-21

3

18,6

33

33

IRR,%

-7,43

-7,43

-7,43

-7,43

-7,43

Коэффициент дисконтирования при ставке IRR

1,17

1,26

1,36

1,47

1,59

Приведенный денежный поток

-24,51

3,78

25,33

48,55

52,45

Денежный поток нарастающим итогом

-24,51

-20,72

4,61

53,15

105,6


Таким образом, IRR=-7,43%=10,24%

Так как IRR<E, проект не следует принимать.

Рассчитаем дисконтированный срок окупаемости проекта (аналогично сроку окупаемости проекта с использование дисконтирования - таблица 10).

Таблица 10

Период

0

1

2

3

4

5

6

Денежный поток

-45

-45

-21

3

18,6

33

33

Дисконтированный денежный поток

-45

15,47

-17,22

2,25

12,65

20,13

18,48

Накопленный дисконтированный денежный поток

-45

-85,95

-103,17

-100,92

-88,27

-68,14

-49,66

Таким образом, в период, на который рассчитан проект, он не окупиться.

Данный показатель определяет срок, в течение которого инвестиции будут «заморожены», т. к. реальный доход от инвестиционного проекта начнет поступать только по истечении периода окупаемости. При отборе вариантов предпочтение отдается проектам с наименьшим сроком окупаемости.

Итак, с учетом коэффициента дисконтирования рассматриваемый проект не окупается в течение запланированного срока.

Таким образом, с помощью показателей эффективности инвестиций установили, что данный проект не рентабельный и не должен быть принят.

Список использованной литературы

1.   Евсеенко, О.С. Инвестиции в вопросах и ответах: учебное пособие [Текст] / О.С. Евсеенко. - М.: Проспект, 2011. - 324 с.

2.      Лебедев В. Ударили по тормозам // Эксперт. - 2011. − № 37

.        Мальщукова О.М. Особенности инвестиционной политики на современном этапе, 2011

.        Мелкунов, Я.С. Экономическая оценка эффективности инвестиций и финансирования инвестиционных проектов [Текст] / Я.С. Мелкунов. - М.: Дим, 2009

.        Министерство экономического развития Российской Федерации

.        Надоршин Е.Р. Комментарий к событиям от 19.03.2012, аналитическая справка

7.   Официальный сайт Центрального банка РФ

.     Отчет о результате внедрения и реализации Стандарта деятельности органов исполнительной власти субъекта Российской Федерации по обеспечению благоприятного инвестиционного климата в регионе, в субъектах Российской Федерации, участвующих в пилотной апробации. - М.: Агентство стратегических инициатив, декабрь 2012 г

9.      Послание Президента Российской Федерации Федеральному Собранию Российской Федерации на 2013 год. - М., 2012

.        Роль инвестиций в экономике России, 2013

.        Структура инвестиций в России

.        Стенограмма заседания Государственного совета «О повышении инвестиционной привлекательности субъектов Российской Федерации и создании благоприятных условий для развития бизнеса» 27 декабря 2012 г.

.        Стратегия развития финансовой системы России: блок «Обеспечение инновационного потенциала экономики (управление стоимостью, государственные финансы)». Аналитический доклад. Коллектив авторов под руководством д.э.н., проф. Миркина Я.М. - М., 2011. - 45 с

.        Сильные и слабые стороны концепции Г. Форда, 2013

Приложение 1

Приложение № 1 к Приказу Министерства финансов Российской Федерации от 02.07.2010 № 66н

(в ред. Приказа Минфина РФ от 05.10.2011 № 124н)

Бухгалтерский баланс

на

31 декабря

20

12

г.

Коды

Форма по ОКУД

0710099

Дата (число, месяц, год)




Организация

ООО «Ют-групп»

по ОКПО


Идентификационный номер налогоплательщика

ИНН

5031071956

Вид экономической деятельности

строительство, производство общестроительных работ, производство общестроительных работ по возведению зданий

по ОКВЭД


Организационно-правовая форма/форма собственности





Общество с ограниченной отвественностью

по ОКОПФ/ОКФС



Единица измерения: тыс. руб.

по ОКЕИ

384 (385)


Местонахождение (адрес) 1422400, Московская область, Ногинск, Рабочая, 2

Наименование показателя

Код

На 31 декабря 2012 года

На 31 декабря 2011 года

На 31 декабря 2010 года

Актив

I. Внеоборотные активы

Нематериальные активы

1110

2 413

2 284

3 212

Основные средства

1150

11 426 003

8 222 085

6 995 214

Финансовые вложения

1170

74 276 571

57 458 302

49 578 458

Отложенные налоговые активы

1180

150 184

18 603

-

Прочие внеоборотные активы

1190

378 420

13 332

12 445

Итого по разделу I

1100

86 233 591

65 714 606

56 589 329

II. Оборотные активы

Запасы

1210

4 303 937

3 128 344

3 123 607

Налог на добавленную стоимость по приобретенным ценностям

1220

432 113

524 910

473 023

Дебиторская задолженность

1230

7 106 453

8 823 274

6 906 185

Финансовые вложения (за исключением денежных эквивалентов)

1240

809 972

11 605 312

3 710 223

Денежные средства и денежные эквиваленты

1250

3 509 370

657 923

1 345 036

Прочие оборотные активы

1260

38 755

35 554

96 134

Итого по разделу II

1200

16 200 600

24 775 317

15 654 208

Баланс

1600

102 434191

90 489 923

72 243 537

Пассив

III. Капитал и резервы

Уставный капитал (складочный капитал, уставный фонд, вклады  товарищей)

1310

202 670

238 438

238 438

Собственные акции, выкупленные у акционеров

1320

(64 559)

(-)

(731 595)

Переоценка внеоборотных активов

1340

1 011 114

1 028 966

1 035 272

Добавочный капитал (без переоценки)

1350

360

51

-

Резервный капитал

1360

30 401

35 766

35 766

Нераспределенная прибыль (непокрытый убыток)

1370

40 263 968

42 973 008

37 004 271

Итого по разделу III

1300

41 443 954

44 276 229

37 582 152

IV. Долгосрочные обязательства

Заемные средства

1410

31 807 125

29 679 818

19 769 095

Отложенные налоговые обязательства

1420

6 202 400

5 791 814

5 253 866

Итого по разделу IV

1400

38 009 525

35 471 632

25 022 961

V. Краткосрочные обязательства

Заемные средства

1510

20 294 899

9 402 806

8 467 207

Кредиторская задолженность

1520

2 375 857

1 239 557

1 170 709

Оценочные обязательства

1540

219 417

93 864

-

Прочие обязательства

1550

90 539

5 835

508

Итого по разделу V

1500

22 980 712

10 742 062

9 638 424

Баланс

1700

90 489 923

72 243 537


Похожие работы на - Развитие инвестиционного процесса в российской экономике и оценка его результатов

 

Не нашли материал для своей работы?
Поможем написать уникальную работу
Без плагиата!
Без нейросетей!