Технико-экономическое обоснование организации автоматизированного производства
Содержание
Введение
Глава 1. Бережливое производство
.1 Понятие и сущность бережливого
производства
.2 Инструменты бережливого
производства
.3 Бережливое производство для
России
Глава 2. Технико-экономическое
обоснование организации
автоматизированного производства
.1 Постановка задачи
.2 Определение величины капитальных
вложений
.3 Расчет технологической
себестоимости изделия (жгут)
по базовому и проектному вариантам
.4 Расчет величины годового
экономического эффекта и общих
показателей экономической эффективности
от внедрения мероприятия
.5 Расчет количества высвобождаемых
рабочих и
роста производительности труда
Заключение
Список использованной литературы
Введение
бережливый
автоматизированный производство
В условиях рыночной экономики для предприятий особую
актуальность приобретают вопросы организации производства, направленной на
повышение конкурентоспособности выпускаемой продукции, максимально эффективного
использования находящихся в распоряжении предприятия ресурсов.
Одной из систем управления, способной вывести
предприятие на новый уровень организации производства, является система,
получившая название "Бережливое производство".
Бережливое производство - логистическая
концепция менеджмента, сфокусированная на оптимизации бизнес-процессов с
максимальной ориентацией на рынок и с учётом мотивации каждого работника.
Бережливое производство составляет основу новой философии менеджмента, является
одной из форм нелинейного менеджмента.
Целью настоящей курсовой работы является
изучение теоретических аспектов, описывающих цели. задачи и принципы
организации бережливого производства на предприятии.
Достижение поставленной цели возможно при
решение следующих задач:
изучение понятия и сущности бережливого
производства;
проведение расчетов, позволяющих определить
целесообразность перехода на новые формы организации труда посредством замены
ручного труда на машинный.
Объектом исследования в настоящей работе
является организация труда на предприятиях, а предметом исследования - система
"Бережливое производство".
Глава 1. Бережливое производство
.1 Понятие и сущность бережливого производства
Бережли́вое
произво́дство
(lean production, lean manufacturing - англ. lean - «тощий, стройный, без
жира»; в России используется перевод «бережливое», также встречаются варианты
«стройное», «щадящее», «рачительное», помимо этого встречается вариант с
транслитерацией - «лин») - концепция менеджмента, созданная на Toyota и
основанная на неуклонном стремлении к устранению всех видов потерь. Бережливое
производство предполагает вовлечение в процесс оптимизации бизнеса каждого
сотрудника и максимальную ориентацию на потребителя.
Целями такого производства являются:
минимизация трудозатрат,
минимизация сроков создания новой продукции,
гарантия поставки продукции заказчику,
Концепция бережливого производства предполагает
разработку миссии, формирование целей и задач.
У каждого предприятия они свои. Отсюда вытекают
задачи[1]:
формирование принципов выявления узких мест;
планирование и управление пилотными проектами в
рамках всей производственной системы предприятия;
разработка стандарта предприятия по организации
и функционированию бережливого производства;
формирование оценки показателей эффективности
пилотных проектов и методов стимулирования их участников;
организация тиражирования лучших практик
подразделений предприятия для общего пользования в рамках корпорации.
Максимальное качество при минимальной стоимости.
Бережливое производство опирается на систему
организации производства, разработанную японским автомобильным гигантом -
компанией Toyota (Тойота) - Производственную систему Тойоты. Все методы и
инструменты бережливого производства, естественно, совпадают с наработками
Toyota. Компанию Toyota и, соответственно, её производственную систему по праву
считают первоисточником и эталоном бережливого производства.
В целом использование принципов бережливого
производства может дать значительные эффекты. Преимущество его в том, что
система на 80 % состоит из организационных мер и, только 20 % составляют
инвестиции в технологию
Проф. О.С. Виханский утверждает, что применение
инструментов и методов бережливого производства позволяет добиться
значительного повышения эффективности деятельности предприятия,
производительности труда, улучшения качества выпускаемой продукции и роста
конкурентоспособности без значительных капитальных вложений.
Бережливое производство - это интерпретация идей
Производственной системы Toyota американскими учеными. "Отец"
Производственной системы Тойоты и бережливого производства - Тайити Оно начал
первые опыты оптимизации производства ещё в 1950-х годах.
В те послевоенные времена Япония лежала в руинах
и стране нужны были новые автомобили. Но проблема была в том, что спрос был не
настолько велик, чтобы оправдать закупку мощной производственной линии, на
манер Ford. Нужно было много разных видов автомобилей (легковые, мало- и
среднетоннажные грузовики и пр.), но спрос на конкретный вид машины был
невелик. Японцам пришлось учиться эффективно работать, создавая множество
разных моделей в условиях невысокого спроса на каждую модель. Такую задачу до
них не решал никто, так как эффективность понималась исключительно в терминах
массового производства. Собственно, отсюда и родился термин lean, который за
кружкой пива придумал Джон Крафчик, один из американских консультантов.
Отправная точка бережливого производства -
ценность для потребителя. С точки зрения конечного потребителя, продукт
(услуга) приобретает действительную ценность только в то время, когда
происходит непосредственная обработка, изготовление тех элементов. Cердцем бережливого
производства является процесс устранения потерь, которые по-японски называются
странным для российского слуха словом «му́да».
Му́да
- это одно из японских слов, которое означает потери, отходы, то есть любую
деятельность, которая потребляет ресурсы, но не создает ценности.
Например, потребителю совершенно не нужно чтобы
готовый продукт или его детали лежали на складе. Тем не менее, в традиционной
системе управления складские издержки, а также все расходы, связанные с
переделками, браком, и другие косвенные издержки перекладываются на
потребителя.
В соответствии с концепцией бережливого
производства всю деятельность предприятия можно классифицировать так: операции
и процессы, добавляющие ценность для потребителя, и операции и процессы, не
добавляющие ценности для потребителя. Следовательно, всё, что не добавляет
ценности для потребителя, с точки зрения бережливого производства,
классифицируется как потери, и должно быть устранено.
Тайити Оно (1912-1990), отец производственной
системы компании Toyota, а следовательно и бережливого производства, будучи
самым ярым борцом с потерями, которого только знал белый свет, выделил семь
видов потерь:
- потери из-за перепроизводства;
- потери времени из-за ожидания;
- потери при ненужной транспортировке;
- потери из-за лишних этапов
обработки;
- потери из-за лишних запасов;
- потери из-за ненужных перемещений;
- потери из-за выпуска дефектной
продукции.
Джеффри Лайкер, который наряду с Джимом Вумеком
и Дэниелом Джонсом активно исследовал производственный опыт Toyota, указал в
книге «Дао Toyota» восьмой вид потерь: нереализованный творческий потенциал
сотрудников. Потери времени, идей, навыков, возможностей усовершенствования и
приобретения опыта из-за невнимательного отношения к сотрудникам, которых вам
некогда выслушать.
Также принято выделять ещё два источника потерь
- му́ри
и му́ра,
которые означают соответственно «перегрузку» и «неравномерность»:
Му́ра
- неравномерность выполнения работы, например колеблющийся график работ,
вызванный не колебаниями спроса конечного потребителя, а скорее особенностями
производственной системы, или неравномерный темп работы по выполнению операции,
заставляющий операторов сначала спешить, а затем ждать. Во многих случаях
менеджеры способны устранить неравномерность за счёт выравнивания планирования
и внимательного отношения к темпу работы. Му́ри
- перегрузка оборудования или операторов, возникающая при работе с большей
скоростью или темпом и с большими усилиями в течение долгого периода времени -
по сравнению с расчетной нагрузкой (проект, трудовые нормы).
Джим Вумек и Дэниел Джонс в книге «Бережливое
производство: Как избавиться от потерь и добиться процветания вашей компании»
излагают суть бережливого производства в виде пяти принципов:
- Определить ценность конкретного
продукта.
- Определить поток создания ценности
для этого продукта.
- Обеспечить непрерывное течение
потока создания ценности продукта.
- Позволить потребителю вытягивать
продукт.
- Стремиться к совершенству.
Другие принципы:
- Превосходное качество (сдача с
первого предъявления, система ноль дефектов, обнаружение и решение проблем у
истоков их возникновения);
- Гибкость;
- Установление долговременных
отношений с заказчиком (путем деления рисков, затрат и информации).
.2 Инструменты бережливого производства
Отцом бережливого производства считается Тайити
Оно, начавший работу в Toyota Motor Corporation в 1943 году, интегрируя лучший
мировой опыт. В середине 1950-х годов он начал выстраивать особую систему
организации производства, названную Производственная система Toyota или Toyota
Production System (TPS). Система Toyota стала известна в западной интерпретации
как Lean production, Lean manufacturing, Lean. Значительный вклад в развитие
теории бережливого производства внёс соратник и помощник Тайити Оно - Сигео
Синго, создавший в числе прочего метод SMED. Идеи бережливого производства были
высказаны ещё Генри Фордом, но они не были восприняты бизнесом, поскольку
значительно опережали время. Крупнейшие мировые компании успешно используют
опыт Toyota: Alcoa, Boeing, United Technologies (США), Porsche (Германия),
Инструм-рэнд (Россия) и многие другие. Первым распространителем философии
Кайдзен во всем мире стал Масааки Имаи. Его первая книга «Kaizen: The Key to
Japan’s Competitive Success» издана в 1986 году и переведена на 20 языков.
Сначала концепцию бережливого производства
применяли в отраслях с дискретным производством, прежде всего в
автомобилестроении. Затем концепция была адаптирована к условиям непрерывного
производства, а потом в торговле, сфере услуг, коммунальном хозяйстве,
здравоохранении, вооружённых силах и государственном секторе.
Постепенно бережливое производство вышло за
рамки предприятия. Теперь при помощи бережливого производства оптимизируют
сферу услуг и процесс общения потребителя и поставщика, процесс доставки и
обслуживания продукции. Способствует распространению идей Лин регулярные
международные и региональные конференции, многие из которых проводятся по
инициативе Lean Enterprise Institute (США) и Lean Enterprise Academy (Англия).
Во многих странах распространению бережливого производства оказывается
государственная поддержка. В период высочайшей конкуренции и обостряющегося
кризиса, у предприятий всего мира нет другого пути, чем, используя лучшие
мировые технологии менеджмента, создавать продукты и услуги, максимально
удовлетворяющие клиентов по качеству и цене.
Тайити Оно писал, что производственная система
компании Toyota стоит на двух «китах»: системе дзидока и «точно вовремя».
Дзидока означает «вытягивание» то есть идею, что последующая производственная
стадия запрашивает нужные изделия с предыдущей, а пока этого нет, ничего не
производится. Впоследствии в рамках концепции бережливого производства было
выделено множество элементов, каждый из которых представляет собой определённый
метод, а некоторые (например кайдзен) сами претендуют на статус концепция:
Система TPM (Total Productive Maintenance) -
Всеобщий уход за оборудованием.
Система 5S (сортируйте, соблюдайте порядок,
содержите в чистоте, стандартизируйте, совершенствуйте).
Быстрая переналадка SMED (Single-Minute Exchange
of Dies (буквально «быстрая смена пресс-форм» - переналадка/переоснастка
оборудования менее чем за 10 минут). Переналадка в одно касание (One-touch
setup) - вариант SMED, но время переналадки уже измеряется единицами минут, то есть
не больше 9).
Кайдзен (kaizen) - непрерывное
совершенствование.
Гемба кайдзен - непрерывное совершенствование на
месте создания дополнительной стоимости.
Вытягивающее производство, канбан - продукция
«вытягивается» со стороны заказчика, а не «толкается» производителем.
Информирование предыдущей производственной стадии о том, что нужно начинать
работу;
Точно вовремя- система синхронизации передачи
продукта с одной производственной стадии на другую посредством карточек канбан.
Комплектующие должны передаваться на следующую стадию только тогда, когда это
нужно, и ни минутой раньше.
«Пока - ёкэ» («защита от ошибок», «защита от
дурака») - метод предотвращения ошибок - специальное устройство или метод,
благодаря которому дефекты просто не могут появиться.
Алгоритм внедрения (по Джиму Вумеку)
Найти проводника перемен (нужен лидер, способный
взять на себя ответственность);
Получить необходимые знания по системе Лин
(знания должны быть получены из надежного источника);
Найти или создать кризис (хорошим мотивом внедрения
Лин служит кризис в организации);
Составить карту всего потока создания ценности
для каждого семейства продуктов;
Как можно быстрей начинать работу по основным
направлениям (информация о результатах должна быть доступна персоналу
организации);
Стремиться немедленно получить результат;
Осуществлять непрерывные улучшения по системе
Кайдзен (переходить от процессов создания ценностей в цехах к административным
процессам).
Установлено семь видов основных ошибок при
внедрении бережливого производства:
Непонимание роли руководства при внедрении
системы Лин
Построение «Системы», не обладающей необходимой
гибкостью
Начало внедрения не с «основ»
Изменяются рабочие места, но не меняются
привычки
Все измерять (собирать данные), но ни на что не
реагировать
«Паралитический анализ» (бесконечный анализ
ситуации, вместо непрерывных улучшений)
Обходиться без поддержкикультура. Бережливое
производство невозможно без бережливой культуры. Главное в Lean культуре -
человеческий фактор, коллективная работа. Существенную поддержку этому
оказывает эмоциональный интеллект (EQ) работников. Lean культуре соответствует
и определённая корпоративная культура. Примером формирования новой культуры
может служить памятка для рабочих ОАО КУМЗ.
Одной из крупнейших площадок по обмену передовым
опытом бережливого производства являются Российские Лин Форумы, которые
проводит Центр Оргпром. (Специалисты компании Оргпром употребляют термин
«лин».)
По данным исследования Института комплексных
стратегических исследований (ИКСИ) о распространении бережливого производства в
России в марте-апреле 2011 года из 735 опрошенных российских промышленных
предприятий 32 % использовали японский опыт. В марте-апреле 2013 года был
проведён повторный опрос, результаты которого были озвучены в докладе Веры
Кононовой «Применение Lean Manufacturing на промышленных предприятиях России в
2011-2013 гг.» на III Российском Лин-форуме «Бережливая Россия». Предприятия,
которые первыми начали применять методы бережливого производства: Горьковский
автомобильный завод (Группа «ГАЗ»), РУСАЛ, ЕвразХолдинг, Еврохим, ВСМПО-АВИСМА,
ОАО «КУМЗ», Северсталь-Авто, КАМАЗ[10], НефАЗ, Сбербанк России ОАО и др.
Настоящим прорывом стала целевая программа внедрения Лин, принятая
правительством Татарстана.
Примеры использованиякарта. Развёртывание
концепции бережливого производства в России представлено на Lean-карте - первой
в мире карте бережливого производства.[12] На Lean-карте, созданной ИКСИ и
Блогом о бережливом производстве и lean-технологиях, отмечены предприятия,
которые по имеющейся информации, применяют инструменты бережливого
производства, а также lean-люди - то есть люди имеющие известность,
значительный опыт в бережливом производстве и проявляющие активность в деле
распространения lean идей. Карта постоянно пополняется, в том числе благодаря
заявкам и информации пользователей. По заявке можно отметить на карте любую
организацию, использующую методы lean, и любого человека, имеющего какое-либо
отношение к бережливому производству.
Бережливое производство в медицине. По
экспертным оценкам, приблизительно 50 % времени у медицинского персонала не
используется прямо на пациента. Предстоит переход на персонализированную
медицину, при которой пациент получает помощь «в нужный момент и в нужном
месте». Медицинские учреждения должны располагаться так, что пациенту не надо
будет тратить время на многочисленные переезды и ожидания в других местах.
Сейчас это приводит к значительным финансовым тратам у пациентов и снижению
эффективности лечения. В 2006 году по инициативе Lean Enterprise Academy
(Великобритания) состоялась первая в ЕС конференция по проблеме внедрения Лин в
сфере здравоохранения.почта. В почтовом ведомстве Дании, в рамках Бережливого
производства, проведена масштабная стандартизация всех предлагаемых услуг для
повышения производительности труда, ускорения почтовых пересылок. Для
идентификации и контроля почтовых услуг введены «карты поточного создания их
ценности». Разработана и внедрена эффективная система мотивации почтовых
служащих.
Бережливая логистика (Лин логистика). Синтез
логистики и Лин концепции позволил создать вытягивающую систему, объединяющую
все фирмы и предприятия, задействованные в потоке создания ценности, в которой
происходит частичное пополнение запасов небольшими партиями.[14] Лин логистика
использует принцип Совокупная Логистическая Стоимость (Total Logistics Cost,
TLC).
Бережливый офис. Методы бережливого производства
все шире используются не только в производстве, но и в офисах (бережливый
офис), а также в местных и центральных органах государственного управления.
Бережливый дом. Использование лин технологии в
быту позволяет сделать быт экологически чистым, свести энергозатраты до
минимального уровня. Пассивный дом является характерным примером бережливого
быта.Пассивный дом, а точнее энергоэффективный дом - это дом, в котором расходы
на отопление около 10 % от обычного энергопотребления, что практически делает
его энергонезависимым. Теплопотери Пассивного дома составляют менее 15 кВт.
час/ кв.м в год (для сравнения, в доме старой застройки 300 кВт.час/ кв.м в
год), а потребность в незначительном отоплении дома возникает только при
отрицательных температурах наружного воздуха. Пассивный дом при морозе минус 20
остывает на 1 градус в сутки.
Бережливое строительство представляет собой
управленческую стратегию Lean в строительной области, направленную на повышение
эффективности всех этапов строительства.
Бережливая разработка программного обеспечения -
адаптация принципов для разработки программного обеспечения.
Одним из главных каналов распространения
прогрессивных идей бережливого производства являются специализированные курсы и
программы по бережливому производству и производственных системах в вузах.
Первой (открыта в 2005 году) и, к сожалению, пока единственной в России
специализированной программой по подготовке специалистов в области
производственных систем и бережливого производства является курс
"MBA-Производственные системы" в МГУ (на факультете Высшая школа
бизнеса).
Для популяризации идей бережливого производства
в России очень важно привлекать внимание талантливой и инициативной молодёжи к
данной технологии - студентов и молодых специалистов. Для этих целей ИКСИ
совместно с Ассоциацией Деминга провели Первый в России конкурс дипломных и
курсовых работ по бережливому производству .
.3 Бережливое производство для России
С 8 по 11 июня 2013 в Санкт-Петербурге прошла
очередная VIII сессия Российской Лин Школы «Бережливое производство для России»
с участием ведущих мировых Лин-экспертов из США, Франции, Турции и России.
Как объявил в своем приветствии собравшимся
председатель оргкомитета, директор Института производства роста «Оргпром»
Алексей Баранов, во всех восьми мероприятиях Школы - мастер-классах,
конференции и Лин-поединке - приняли участие 254 руководителя и ведущих
специалиста отечественных компаний. Среди них "Сатурн-Газовые
турбины", «Газпромнефть», «Пермский Моторный Завод», "ЦСКБ-Прогресс",
«ММП имени В.В. Чернышева», Концерн Энергомера, Калужский Водоканал,
«Детальстройконструкция», «ТехноНиколь», "Русские краски»,
«Татэнергосбыт», "Севкабель", "Завод им. Серго" и многие
другие.
Всего же начиная с 2006 года, в Российской Лин
Школе обучились 3290 курсантов. Большинство из них, как отметил А.Баранов -
настоящие энтузиасты кайдзен - возглавляют «бережливые» программы на
предприятиях России, Беларуси, Украины, Казахстана.
Отраслевой состав участников, по словам
ведущего, в основном не изменился с прошлого года: в Санкт-Петербург съехались
представители предприятий авто- и авиастроения, приборостроения, металлургии,
энергетики, ТЭК, легкой промышленности, стройиндустрии, банка и сферы услуг.
Среди новичков - предприятия ЖКХ, ювелирной промышленности, а также дилерские
центры и организации госсектора.
Официальным партнером мероприятия выступила
Октябрьская железная дорога - филиал ОАО «РЖД». На открытии конференции
начальник ОЖД Виктор Степов отметил: «Всем нам предстоит осуществлять миссию,
которую поставил перед нами Президент России о бережливой экономике и повышении
производительности труда. В наших подразделениях система бережливого
производства - основное из стратегических направлений, и весь аппарат
управления компании сейчас работает на реализацию этой стратегии. Мы начали
Лин-проект для того, чтобы, как говорят на языке железнодорожников, «не отстать
от этого поезда», ведь, по мнению руководства нашей страны и опыту многих
компаний, экономика может быть эффективной, а цены конкурентоспособными только
при применении методов бережливого производства. С сентября прошлого года мы
совместно с американским консультантом Майклом Вейдером запустили проект, при
этом были вскрыты огромные резервы эффективности и экономии, и что вдохновило
работников для реализации дальнейших улучшений. Сейчас мы переносим
«бережливую» программу и на весь перевозочный процесс и на все вспомогательные
процессы, связанные с ремонтом тяги, инфраструктуру. Уже удалось вскрыть
достаточно серьёзные источники потерь и найти много процессов, которые не несут
ценности потребителю, в подразделениях ОЖД в Санкт-Петербурге, Москве,
Мурманске, по всей территории Северо-Запада, Центрального района. Инструменты
бережливого производства просты и эффективны, глядя на первые успехи, можно
прогнозировать, что они принесут нам запланированный результат».
По оценке президента «Lean Plus» (США), автора
книги «Инструменты бережливого производства» и ведущего тренера «Центра
Оргпром» (Россия) Майкла Вейдера, при применении методов Лин обычно
себестоимость продукции и услуг снижается на предприятиях на 35-40%, в
крупнейших компаниях, таких как Российские железные дороги, она может снизиться
на 10-15%. «Некоторые депо могут достигнуть уровня в 20%, но типичный результат
- от 10 до 15-ти, - заявил г-н Вейдер. - Учитывая, что бюджет РЖД составляет
миллиарды рублей, экономия в интересах потребителей может достичь огромных
значений».
Одним из самых интересных докладчиков и ведущих
мастер-классов Школы был признан Шукрю Тетик - генеральный директор крупнейшего
поставщика деталей из листового металла в турецком автопроме концерна G
oskunoz, производящего автокомпоненты для Toyota, Honda, Mercedes, Opel, Isuzu,
Renault, Ford и Fiat. Ежегодно это предприятие с годовым оборотом 120 млн евро
и численностью в 1900 сотрудников обрабатывает около 100 000 т листового
металла.
Имея 30-летний опыт работы в автопроме, в 2004
г. Шукрю Тетик возглавил разворачивание Лин-системы в своей компании, и сегодня
его предприятие считается одним из самых успешных в Турции в области
бережливого производства.
«Любые знания по Лин - отличный инструмент и
преимущество для лидера, - считает он. - Те, кто начинает «бережливые»
преобразования одними из первых в отрасли, задают темп развитию рынка и
оказываются в более выигрышном положении. Принятие решения начать
преобразования по бережливому производству - это не такое, казалось бы, сложное
дело. Но если не брать во внимание важнейшую роль человеческого фактора, успеха
в Лин-программе не видать. Наш 6-летний опыт преобразований показал, что
главное в бережливом производстве - это лидер. Если есть лидер, и у него есть
свой стимул, приверженность, последовательность, вокруг него формируется
команда».
Другие составляющие успеха Лин-программы по
мнению г-на Тетика, - безопасность, моральный климат, качество, и стоимость.
«Если сотрудник чувствует себя в безопасности и всем доволен, то он
обеспечивает ту часть формулы, которая рождает качество и стоимость. Причем,
сотрудники любого уровня смотрят, что делает руководство, и следуют не нашим
словам, а нашим действиям. Как лидеры мы должны быть отличным примером, чтобы
снизу вверх к вам возвращались любовь и уважение. От всего сердца рад за
Россию, где компании и правительство проводят линию, нацеленную на
преобразование методом бережливого производства. По своему опыту могу сказать:
Лин - это единственный и самый лучший способ преобразовать в лучшую сторону
этот мир, и не только в области экономики».
Также на конференции прозвучали доклады о ходе
Лин-преобразований и мотивации персонала руководителей компаний "Русские
краски", «ПК НЭВЗ» ( Трансмашхолдинг), «Соллерс - Елабуга», «Сибур -
Русские шины», «Петро» (JT International), УК "МаВР". Традицонная
часть конференции закончилась Лин-поединком на тему «Вовлечь в Лин невозможно
сокращать», где в ожесточенной порой дискуссии руководители Лин-проектов
предприятий защищали «силовые» и либеральные методы вовлечения персонала в
«бережливые» программы.
Большинство обучающих программ по традиции
проходили в гемба, на производственной площадке, с обязательной отработкой
практических навыков. На мастер-классах участники обучались разрабатывать и
реализовывать программу эффективности с учетом специфики компании,
стандартизировать процессы и организовывать рабочие места по системе 5С; решать
актуальные проблемы бизнеса в ходе штурм-прорыва, а также делать офис
«бережливым» и повышать качество управленческих решений.
Партнерами Школы выступили компания «Спецтек» и
издательство «Альпина Паблишерз», которое по традиции предоставило книги по
бережливому производству в подарок каждому участнику. Медиа-поддержку
мероприятию оказывают журналы «Генеральный директор», «Эксперт Северо-запад»,
«Управление качеством», «Автобизнес», «Металлоснабжение и сбыт», «Rational
Enterprise Management», «Умное производство», «Автоматизация в промышленности»,
«Аэропорты. Профессиональные технологии», «Авиаглобус», газета «Промышленный
еженедельник», порталы - Mashportal.ru, I-Mash, EnergoLand, «Бизнес Образование
России», Russian Automotive Market Research, «Вестник Лин».
На Российской Лин Школе было впервые объявлено
об учреждении общественного движения «Лин-форум. Профессионалы бережливого
производства». Инициаторами его создания выступили представители Института
производства роста Оргпром, АвтоВАЗа, издательский дом Панорама, ряд других
компаний. На Школе к ним присоединились еще десятки Лин-энтузиастов от
предприятий России.
На семинаре «Инновации прежде инвестиций:
Бережливое проектирование», организованном газетой «Ведомости», глава компании
Lean Plus (США) Майкл Вейдер изложил принципы экономичного производства на
примере японской фирмы Toyota. Он уточнил, что корпорация фактически
использовала как опыт компании Ford, так и советские принципы научной
организации труда, однако опередила всех в оптимизации производственных процессов.
М. Вейдер рассказал АСН-инфо, что он сам
применял lean-технологии (англ. lean - бережливый) в военном авиастроении, а в
1995 г. учредил консалтинговую компанию Lean Plus. В 2004 г. по приглашению
екатеринбургского предпринимателя Алексея Баранова он стал соучредителем
«Центра Оргпром».
В настоящее время lean-технологии внедряются
этой компанией по контрактам, подписанном с рядом ведущих российских
корпораций, в частности ОАО «РЖД», «Газпромнефть» и «Русал». Впрочем, по мнению
М.Вейдера, использование японских технологий промышленного менеджмента в России
наиболее оправдано не в крупных, а в средних компаниях - в частности, в
строительной отрасли, причем как в проектировании, так и в строительстве. По
его словам, lean-технологии успешно применялись в ГК «Савва» и ОАО «Эталон»
(Москва).
Научная организация труда по-японски
предусматривает достижение экономии в первую очередь не в самих
производственных процессах, а в промежуточных фазах. Как отмечает М.Вейдер,
потери рабочего времени в реализации инвестпроектов происходит в связи с
бюрократическими согласованиями, перерывами на совещания, нерациональным
размещением производственных мощностей и людских ресурсов на территории
предприятия. 6-летняя практика «Центра Оргпром» показывает, что минимизация
этих затрат позволяет увеличить производительность труда без дополнительных
капиталовложений.
Еще один принцип lean-технологий, применимый
именно к строительной отрасли, состоит в ориентации в первую очередь на
интересы заказчика. Для этого необходимо переосмысление проекта с построением
иерархии приоритетов, исходящих из поставленной задачи, а в центр внимания
должна быть поставлена группа работников, выполняющих самую важную операцию.
Как считает директор межрегионального
представительства «Центр Оргпром» по ЦФО и СЗФО Олег Мусин, в России не
преодолен стереотип массового производства. Кроме того, дистанция между
топ-менеджментом и работником не позволяет создать ощущения «общего дела»,
необходимого для реализации проекта в опережающие сроки и с налучшим качеством.
По его словам, при организации тренингов по технологии «штурм-прорыв» (rip-off)
происходит трансформация менталитета менеджмента и наемных работников, и при
этом не только совершенствуется организация труда, но и выявляются неформальные
лидеры.
Применение lean-технологий в дорожной отрасли в
РФ при содействии «Центра Оргпром», в частности, позволило повысить
производительность труда при укладке асфальта в 2 раза.
Спрос на lean-технологии возрастает в связи с
установкой руководства РФ на сбережение энергоресурсов и улучшение условий
труда. О.Мусин намерен открыть в Санкт-Петербурге Альтернативную школу
бережливого менеджмента (он предлагает сотрудничество Высшей школе менеджмента
СПбГУ), а также учредить общественное движение «Бережливая Россия».
Глава 2. Технико-экономическое обоснование
организации автоматизированного производства
2.1 Постановка задачи
В условиях производства раскрой, зачистка и
вязка проводов для изготовления жгутов для блоков управления производится
вручную. Предложено для нарезки и зачистки проводов использовать автомат НТ =
113, а для укладки и вязки жгута - спецшаблон.
В связи с внедрением данного мероприятия
требуется определить:
) условно-годовую экономию;
) экономию с момента внедрения мероприятия до
конца года;
) годовой экономический эффект;
) чистый дисконтированный доход;
) индекс доходности;
) срок окупаемости;
) условное высвобождение численности рабочих.
Данные для расчета приведены в таблицах 1,2.
Таблица 1 - Исходные данные
|
№
п/п
|
Наименование
показателей
|
Единицы
измерения
|
До
внедрения мероприятия
|
После
внедрения
|
|
1
|
Программа
выпуска блоков с момента внедрения мероприятия до конца планового года
|
шт.
|
-
|
80
|
|
2
|
Потребность
в жгутах на один блок
|
шт.
|
490
|
490
|
|
3
|
Разряд
работы
|
|
4
|
5
|
|
4
|
Премии
и доплаты
|
%
|
40
|
40
|
|
5
|
Тарифная
ставка по разряду
|
4разряд
|
руб./н/час
|
53
|
53
|
|
|
5
разряд
|
|
56
|
56
|
|
6
|
Дополнительная
заработная плата производственных рабочих
|
%
|
8,0
|
8,0
|
|
7
|
Отчисления
на социальные нужды
|
%
|
34
|
34
|
|
8
|
Количество
рабочих смен
|
см
|
2
|
2
|
|
9
|
Продолжительность
смены
|
час
|
8,0
|
8,0
|
Число
дней в году:
|
|
|
|
|
11
|
календарных
|
дни
|
365
|
365
|
|
нерабочих
|
дни
|
112
|
112
|
|
12
|
Плановые
потери времени:
|
|
|
|
|
-
на ремонт оборудования
|
%
|
4,0
|
4,0
|
|
-
на рабочего
|
%
|
9,0
|
9,0
|
|
13
|
Суммарная
мощность электродвигателей единицы оборудования
|
кВт
|
-
|
5
|
|
14
|
Коэффициент
использования электродвигателей - по мощности - по времени
|
|
-
-
|
0,82
0,7
|
|
15
|
Средний
тариф за один кВт/час электроэнергии
|
руб.
|
-
|
1,5
|
|
16
|
Годовая
норма амортизационных отчислений
|
%
|
-
|
15
|
|
17
|
Годовая
норма затрат на содержание и текущий ремонт оборудования
|
%
|
-
|
5,0
|
|
18
|
Количество
блоков, изготавливаемых в год при помощи одного спецшаблона
|
шт.
|
-
|
10
|
|
19
|
КПД
электродвигателей
|
|
-
|
0,85
|
|
20
|
Годовая
программа выпуска блоков,
|
шт
|
105
|
130
|
|
21
|
Трудоемкость
выполнения технологических операций по нарезке и зачистке проводов для одного
жгута в нормо-час
|
н/час
|
0,76
|
0,25
|
|
22
|
Трудоемкость
выполнения технологических операций по раскладке и вязке жгута в нормо/час
|
н/час
|
0,38
|
0,2
|
|
23
|
Цена
единицы оборудования (автомат НТ-113)
|
Тыс.руб
|
|
450
|
|
24
|
Стоимость
спецшаблона
|
Тыс.руб.
|
|
25,4
|
.2 Определение величины капитальных вложений
Расчетное количество оборудования (автомат
НТ-113)

где
Ан - годовая программа выпуска
жгутов, шт.;
tшт - трудоемкость
выполнения технологических операций по нарезке и зачистке проводов для одного
жгута, нормо/час.;
Фэ- годовой эффективный фонд времени
работы оборудования, час.
Определение годового эффективного
фонда времени работы оборудования
где
Фн - годовой номинальный фонд
времени работы оборудования, час.;
Кn -
коэффициент, учитывающий плановые потери времени на ремонт оборудования, %.
Принятое количество оборудования
(Ппр)
Расчетное количество оборудования
округляется до ближайшего целого числа (всегда в большую сторону).
Коэффициент загрузки оборудования

Капитальные вложения в
технологическое оборудование
Коб = Ппр* Цоб* Кзаг,
Цоб - цена единицы оборудования,
тыс. руб.
Расчетное количество дорогостоящей
спецоснастки (приспособлений)
, где
Аб - годовая программа выпуска
блоков, шт.;
n -
количество блоков, изготавливаемых в год при помощи одного спецшаблона, шт.
Округляется до ближайшего целого
числа (в большую сторону) - Нпр.
Если стоимость оснастки и
приспособлений менее 20 000 руб. и сроком службы до 12 месяцев, затраты на их
изготовление или приобретение включают в текущие затраты ( без учета
коэффициента загрузки).
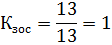
Коэффициент загрузки оснастки
(приспособления)

Затраты на оснастку
(приспособления), тыс. руб.
Кос = Нпр* Цос* Кзос, где
Цос - цена единицы оснастки
(приспособления), тыс. руб.
Общие капитальные вложения, тыс.
руб.
Кобщ = Коб+ Кос
Удельные капитальные вложения, тыс.
руб.
.3 Расчет технологической
себестоимости изделия (жгут) по базовому и проектному вариантам
Основная заработная плата
производственных рабочих
, где
tштi -
трудоемкость выполнения единицы продукции на i-ой
операции, нормо/час;
Сi - часовая
тарифная ставка, соответствующая разряду работы на i-ой
операции, руб.;
Кn - коэффициент,
учитывающий премии и доплаты, %;
m -
количество операций по изготовлению одного изделия.
Дополнительная заработная плата
производственных рабочих, тыс. руб.
, где
Кдоп - коэффициент дополнительной
заработной платы производственных рабочих.
Отчисления на социальные нужды (в
Пенсионный фонд, фонд обязательного медицинского страхований, фонд социального
страхования)
, где
Ксоц - коэффициент отчислений на
социальные нужды, %.
Затраты на электроэнергию для
технологических целей
, где
Nу -
суммарная установленная мощность электродвигателей оборудования, кВт;
Км - коэффициент, учитывающий
использование электроэнергии по мощности;
КВ - коэффициент, учитывающий
использования электроэнергии по времени.
- коэффициент полезного действия
оборудования;
Ц эл - тариф за 1 кВт*час
электроэнергии, руб.
Амортизация основных фондов
(оборудования), руб.
, где
На - годовая норма амортизации для
оборудования, %.
Затраты на содержание и текущий
ремонт оборудования, руб.
, где
Нр - годовая норма отчислений на
содержание и текущий ремонт оборудования, %.
На основании выполненных расчетов
составляем калькуляцию технологической себестоимости по сравниваемым вариантам.
Таблица 3 - Калькуляция
технологической себестоимости изделия (жгут)
|
№
|
Статьи
затрат
|
Затраты,
руб.
|
Отклонение
от базового варианта +/-
|
|
|
базовый
вариант
|
проектный
вариант
|
|
|
1
|
Основная
заработная плата производственных рабочих
|
4352052,6
|
2247336
|
-2104716,6
|
|
2
|
Дополнительная
заработная плата производственных рабочих
|
348164,2
|
179786,9
|
-168377,3
|
|
3
|
Отчисления
на социальные нужды
|
1598073,7
|
825221,8
|
-772851,9
|
|
4
|
Затраты
на электроэнергию для технологических целей
|
-
|
19681,4
|
+19681,4
|
|
5
|
Амортизация
основных фондов
|
-
|
326300
|
+326,3
|
|
6
|
Затраты
на содержание и текущий ремонт оборудования
|
-
|
108800
|
+108,8
|
|
7
|
Итого
технологическая себестоимость годовой программы
|
6298290,5
|
3707123,1
|
-2591164,4
|
|
8
|
Количество
изготавливаемых жгутов
|
63700
|
+12250
|
|
9
|
Себестоимость
единицы изделия
|
122,4
|
58,2
|
-64,2
|
Таким образом, себестоимость единицы продукции
при внедрении предложенного варианта приобретения оборудования будет снижена по
сравнению с действующим вариантом организации труда на 64,2 руб., или на
110,3%, что свидетельствует об эффективности проекта.
.4. Расчет величины годового экономического
эффекта и общих показателей экономической эффективности от внедрения
мероприятия
Сумма приведенных затрат на единицу изделия
(жгут) по базовому и проектному вариантам
, где
С - себестоимость единицы продукции
(работ), тыс. руб;
Ен - нормативный коэффициент
сравнительной экономической эффективности капитальных вложений (Ен = 0,33);
Куд - удельные капитальные вложения,
руб.
Годовой экономический эффект от
внедрения новой техники и совершенствования технологического процесса, тыс.
руб.
Э = [(С1+ Ен*К1) - (С2+ Ен*К2)]*Ан,
где
С1,С2 - себестоимость единицы
продукции по базовому и проектному вариантам соответственно, тыс. руб;
Куд1,Куд2 - удельные капитальные
вложения по базовому и проектному вариантам, тыс. руб.
Условно-годовая экономия с учетом
времени внедрения мероприятия
Э = (С1-С2)*Анв , тыс. руб, где
Анв - программа выпуска жгутов с
момента внедрения мероприятия до конца планового года, шт. Ожидаемая прибыль
(условно-годовая экономия) от снижения себестоимости изготовления изделия, тыс.
руб.
Налог на прибыль, тыс. руб.
, где
Кнал - коэффициент налогообложения
прибыли (Кнал = 24%).
Чистая ожидаемая прибыль
Прчист = Прож - Нприб
Срок окупаемости капитальных
вложений, лет
, где
К общ1, общ2 - капитальные вложения
по вариантам, тыс. руб.
Расчетный срок окупаемости
инвестиций принимается за горизонт расчета. Если расчетный срок окупаемости
получился более 4-х лет, принимаем его равным 4 годам.
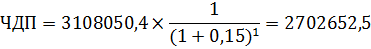
Чистый дисконтированный поток
реальных денег
, где
Ест - процентная ставка на капитал
(например, при Ест=10% Ест = 0,1).
Т- горизонт расчета, лет.
t - год
приведения затрат и результатов.
Принимаем в данном расчете Ест= 15%.
Интегральный экономический эффект
(чистый дисконтированный доход)
Эинт = ЧДД= ЧДП - Кобщ
Если ЧДД<0 - проект не
эффективный. Если ЧДД>0 - проект эффективный, в этом случае рассчитывается
индекс доходности, показывающий, какая прибыль будет получена с каждого рубля,
вложенного в проект.
.5 Расчет количества высвобождаемых
рабочих и роста производительности труда
Высвобождение численности рабочих в
связи со снижением трудоемкости
, где
tшт1,tшт2 -
суммарная трудоемкость на изготовление единицы продукции до и после внедрения
мероприятия, нормо/час;
К вн - коэффициент выполнения нормы,
принимаем равным 1.
Фэфр- годовой эффективный фонд
времени работы одного рабочего, час.
Годовой эффективный фонд времени
работы одного рабочего, час
Фном - годовой номинальный фонд
времени работы одного рабочего, час.;
Кпр - коэффициент, учитывающий
плановые потери времени рабочего, %.
Рост производительности труда
.
Вывод о целесообразности внедрения
рассматриваемого мероприятия в производство.
Произведенные расчеты показали, что
предлагаемое мероприятие следует внедрять в производство.
Заключение
Слово «инновация» в различных
сочетаниях (к примеру, инновационные технологии, инновационные разработки,
инновационное развитие) приобрело необычайную популярность во многих странах, в
том числе и в России. Причем термин одинаково активно применяется во всех
отраслях науки и техники, это такой процесс (или результат процесса), в котором
используются частично или полностью охраноспособные результаты интеллектуальной
деятельности и обеспечивается выпуск патентоспособной продукции, товаров или
услуг, по своему качеству соответствующих мировому уровню.
Одной из систем управления,
способной вывести предприятие на новый уровень организации производства,
является система, получившая название "Бережливое производство".
Бережливое производство -
логистическая концепция менеджмента, сфокусированная на оптимизации
бизнес-процессов с максимальной ориентацией на рынок и с учётом мотивации
каждого работника. Бережливое производство составляет основу новой философии
менеджмента, является одной из форм нелинейного менеджмента.
В целом использование принципов
бережливого производства может дать значительные эффекты. Проф. О. С. Виханский
утверждает, что применение инструментов и методов бережливого производства
позволяет добиться значительного повышения эффективности деятельности
предприятия, производительности труда, улучшения качества выпускаемой продукции
и роста конкурентоспособности без значительных капитальных вложений
Список использованной литературы
1. Бычин В. Б. Организация и
нормирование труда: учебник для вузов / В. Б. Бычин, С. В. Малинин, Е. В.
Шубенкова, Ю. Г. Одегов - 3-е изд., перераб. и доп. - М.: Экзамен, 2012.
. Генкин Б. М. Экономика и
социология труда: учебник / Б. М. Генкин. -5-е изд., доп. - М.: НОРМА, 2011. -
402 с.
. Егоршин А.П., Зайцев А.К. Организация
труда персонала: Учебник. - М: ИНФРА-М, 2010. - 320 с.
. Жукова Н. Совершенствование
процесса определения штатной численности работников бюджетных организаций //
«Кадровик. Трудовое право для кадровика», № 9, 2012.
. Колосова М. Методы оптимизации
численности персонала: четыре подхода // «Управление персоналом», № 16, 2012.
. Королева А. Моделирование
организационной структуры управления хлебопекарного предприятия с
использованием SADT-методологии // «Управление персоналом», № 23, 2012.
. Либерман И.А. Методы внутреннего
контроля численности административно-управленческих работников предприятий и
организаций // «Финансовые и бухгалтерские консультации», № 8, 2012.
. Молчанов А. Коэффициентно-долевой
метод распределения коллективного заработка // «Кадровая служба и управление
персоналом предприятия» , № 2, 3, 2013.
. Организация, нормирование и оплата
труда: учебное пособие / под ред. А. С. Головачева. - 3-e изд., испр. - М.:
Новое знание, 2011. - 602 с.
. Организация труда персонала:
методические указания / сост. Л. А. Симачкова. - Ульяновск: УлГТУ, 2012. - 47
с.
. Остапенко Ю.М. Экономика труда.
Учебник. - М.: ИНФРА-М, 2011. - 447с.
. Пашуто, В. П. Организация,
нормирование и оплата труда на предприятии: учебно-практическое пособие / В. П.
Пашуто. - 3-е изд. -М.: Кнорус, 2012. - 317 с.
. Попазова О.А. Экономика труда -
СПб: «Вектор», 2012. - 192 с.
. Саакян, А. К. Экономика и
социология труда: учебное пособие / А. К. Саакян. - СПб. : Питер, 2011. - 128
с.
. Свистунов В. Организация личной
работы руководителей и специалистов // «Кадровик. Кадровый менеджмент», № 6,
июнь 2013.
. Спивак, В. А. Управление
персоналом для менеджеров: учебное пособие /В. А. Спивак. - М.: Эксмо, 2012. -
624 с.
18.
Управление персоналом: Учебник для аспирантов - <http://www>. 11.1031
\Управление персоналом/ index.html
19. Управление персоналом
организации. Практикум: учебное пособие / под ред. А. Я. Кибанова. - 2-е изд.,
пераб. и доп. - М.: ИНФРА-М, 2011. - 365с.
. Чашина О. Научная организация
труда в системе управления персоналом компании // «Управление персоналом», №
12, июнь 2011.