Количественная оценка риска (вероятности) банкротства предприятия
Министерство
транспорта Российской Федерации
Федеральное
агентство железнодорожного транспорта
Федеральное
государственное бюджетное образовательное учреждение
высшего
профессионального образования
Дальневосточный
государственный университет путей сообщения
Кафедра
«Финансы и бухгалтерский учёт»
РАСЧЁТНО-ГРАФИЧЕСКАЯ
РАБОТА
по
дисциплине «Риски и неопределённость в бизнесе»
на
тему: «Количественная оценка риска (вероятности) банкротства предприятия»
Выполнил: студент 320группы
Смотрова Д.А.
Проверила: Стецюк Н.М.
Хабаровск
СОДЕРЖАНИЕ
Введение
. Теоретическая часть. Сущность
банкротства и становление института банкротства в пост-советский период истории
России
. Практическая часть
Заключение
Список использованной литературы
Введение
Вопрос о банкротстве предприятия - один из самых
актуальных вопросов для экономики любой страны. Именно то, как в стране
выстроена процедура банкротства, определяет базовые « правила игры » и для
промышленных гигантов, и для мелких магазинчиков. Для того, чтобы избежать
появления риска на предприятии необходимо производить оценку вероятности
возникновения риска (банкротства).
Цель: изучить возможность наступления риска
(банкротства) на данном предприятии. (ООО МОСТООТРЯД)
Исходя из цели данной работы, можно сформулировать
следующие задачи:
) ознакомиться с понятием и сущностью
банкротства;
) изучить историю института банкротства в России
в постсоветский период;
) оценить вероятность наступления риска
(банкротства) на данном предприятии.
Объект исследования: риск в бизнесе
Предмет исследования: риск (вероятность)
банкротства на предприятии
В данной курсовой работе использовались труды
таких отечественных авторов как: М.В. Телюкина, А.Д. Радыгин, Р. Бурганов.
В работе приведено 5 источников литературы.
1. Теоретическая часть. Сущность банкротства и
становление института банкротства в пост-советский период истории России
«Слово «банкротство» происходит от латинских
слов «скамья» (лат. bancus) и «сломанный» (лат. ruptus) . «Банком»
первоначально именовалась устанавливаемая в людных местах (таких как рынки и
ярмарки) скамья, на которой менялы и ростовщики проводили свои сделки и
оформляли документы. После того, как владелец «банка» разорялся, он ломал свою
скамью».
Новейшее законодательство о банкротстве
рассматривает понятие "банкротства" и "несостоятельность"
как синонимы. Между тем изначально понятия "банкротство" и
"несостоятельность" означали разные явления. В российском
дореволюционном законодательстве, равно как и в законодательстве стран с
развитыми правопорядками банкротство являлось частным случаем
несостоятельности, о банкротстве должника говорили, когда причиной
несостоятельности являлось совершенное определенными лицами преступление. В
какой-то степени можно было говорить о том, что термин "банкротство"
отражал уголовно-правовую сторону несостоятельности. [1]
За историю своего развития банкротство
(несостоятельность) получала различные определения.
В советский период государства несостоятельность
определялась следующим образом:
Несостоятельность - такое положение имущества
определенного лица, при котором это лицо не в состоянии удовлетворить законные
требования кредиторов. Несостоятельность - установленная судом неспособность
должника к полной оплате денежных требований кредитора.[2]
До начала 90-х гг. в России существовало
огромное количество убыточных предприятий, отсутствовала конкурентоспособная
продукция, возникали злоупотребления со стороны руководителей предприятий,
связанные в том числе и с неосуществлением оплаты по договору.
Начиная с 1992 года политика правительства
России была направлена на переход к рыночным отношениям. Этот период
характеризуется сменой собственника большинства бывших государственных
предприятий в ходе их приватизации. Рыночная экономика предполагает становление
и развитие предприятий различных организационно-правовых форм, основанных на
разных видах собственности, появление новых собственников, как отдельных
граждан, так предприятий. Большинство предприятий в условиях рыночной экономики
действуют на принципах состязательности. Обычно конкуренция поддерживается на
государственном уровне, поскольку этот способ экономической организации
позволяет использовать ресурсы национальной экономики оптимальным образом.
Менее эффективные предприятия не выдерживают конкуренции и уходят с рынка. Как
показывает практика, банкротство - неизбежное явление рыночной экономики,
являющееся инструментом оздоровления экономики, способом согласования интересов
всех участников товарообмена.
Институт банкротства в России на протяжении
1990-х годов использовался либо как способ перераспределения (захвата,
удержания, приватизации) собственности, либо как высокоселективный способ
политического и экономического давления на предприятия со стороны государства.
Наблюдалась парадоксальная ситуация: те предприятия, которые имеют достаточный
запас прочности, вовлекаются в процедуры банкротства (так как существует
благоприятная возможность для захвата контроля над ними со стороны
конкурентов), а предприятия, что называется, «безнадежные» этой процедуры
избегают (так как не находится желающих захватить эти предприятия, а шансы
получить долги в ходе процедуры банкротства невелики).
Если институт банкротства в 1992-1998 гг. имел
скорее имитационный характер, то второй закон (1998) еще более исказил
ситуацию, превратив институт банкротства из способа обеспечения финансовой
дисциплины в инструмент перераспределения собственности и вывода активов. Это
прямо касалось и ситуации с налоговыми платежами.[3]
По оценкам ФСФО, каждое пятое банкротство имело
признаки преступных преднамеренных действий (в частности, банкротство для
списания долгов). Необходимо признать, что и государство, в свою очередь,
иногда использует угрозу банкротства как инструмент давления на предприятие с
тем, чтобы принудить его погасить долги по налогам или в иных, в том числе
внеэкономических, целях.
В итоге, хотя российский закон «О
несостоятельности (банкротстве)», действовавший в 1998-2002 гг., был не вполне
прогрессивен.
С сентября 1993 г. в России действовало
Федеральное управление по делам о несостоятельности (банкротстве) (ФУДН) при
Госкомимуществе РФ, в марте 1997 г. была создана Федеральная служба России по
делам о несостоятельности и финансовому оздоровлению (ФСДН), а в июне 1999 г.
она преобразована в Федеральную службу России по финансовому оздоровлению и
банкротству (ФСФО). С марта 2004 г. функции ФСФО распределены среди нескольких
государственных органов (в зависимости от конкретной ситуации, собственников
предприятия и различных кредиторов, включая государство).
Со всей очевидностью необходимо было, с одной
стороны, обеспечить защиту прав кредиторов в процессе банкротства предприятия,
но, с другой стороны, оградить предприятие должника от упрощенных схем
недобросовестного перехвата контроля над ним (частью его активов) посредством
процедур банкротства. В течение всего периода действия второго (ныне
недействующего) закона о несостоятельности предпринимались попытки
скорректировать его положения. При обсуждении проекта нового (третьего) закона
о несостоятельности все стороны признали важность решения следующих проблем
регулирования несостоятельности:
нарушение прав предприятия-должника и его
собственников, отсутствие возможности для последних провести оздоровление
предприятия под контролем кредиторов;
недостаточная защищенность прав обеспеченных
кредиторов;
крайне ограниченные права государства как
кредитора по обязательным платежам, уточнение процедур участия государства как
кредитора в процедурах банкротства;
конфликт интересов уполномоченных
государственных органов, правомерность и последствия предлагаемых расширенных
полномочий;
распространенность практики использования
процедур банкротства для захвата (перехвата) управления предприятием, для
вывода наиболее привлекательных активов в интересах отдельных кредиторов;
неразвитость механизмов ответственности
арбитражных управляющих;
уточнение статуса саморегулируемых организаций
арбитражных управляющих, условий членства, гарантийных фондов;
отсутствие разумных особых механизмов
банкротства предприятий оборонно-промышленного комплекса и естественных
монополий;
вопрос о полном отстранении арбитражного суда
(который не несет ответственности) от каких-либо решений о выборе и
квалификации арбитражного управляющего и решений (одобрения решений) в
отношении активов предприятия;
вопрос об исключении процедур «внешнего
управления» и «финансового оздоровления» в принципе.
Однако представления о возможных способах
решения вышеперечисленных проблем оказались во многих случаях прямо
проивоположными. Говорить о сколько-нибудь единой позиции государственных
органов по трансформации регулирования несостоятельности не приходилось.
Отметим, что позиция некоторых ведомств претерпевала в течение прошедших лет
кардинальные изменения.
Острота дискуссии вокруг нового - уже третьего -
закона о банкротстве была связана, прежде всего, с недостатками данного закона
(как и любого иного) в общем институциональном контексте проблем коррупции,
передела собственности, произвола и некомпетентности со стороны различных
государственных структур.
Итак, в соответствии с ФЗ №127-ФЗ «О
несостоятельности (банкротстве)» от 26 октября 2002 года: «несостоятельность
(банкротство) - это признанная арбитражным судом или объявленная должником
неспособность должника в полном объеме удовлетворить требования кредиторов по
денежным обязательствам и (или) исполнить обязанность по уплате обязательных
платежей».
Новый федеральный закон содержит следующие
принципиальные новации:
усиление защиты прав и законных интересов
кредиторов;
расширение круга прав добросовестных
собственников (учредителей, участников) предприятия-должника, а также усиление
защиты их интересов в процедурах банкротства;
защита добросовестных участников процедур
банкротства от недобросовестных действий иных лиц;
изменение статуса арбитражного управляющего;
изменение статуса государственных органов, участвующих
в процедуре банкротства;
введение новой процедуры банкротства,
применяемой к должнику в целях восстановления платежеспособности и погашения
долга (финансовое оздоровление).
В настоящее время задача механизма банкротства
заключается в сохранении предприятия и собственности его владельца путем
изменения системы управления предприятием, предоставления отсрочки и рассрочки
платежа. Государство и общество заинтересованы не в ликвидации
предприятия-должника, а в восстановлении его платежеспособности посредством
специальных процедур, предусмотренных законодательством о несостоятельности
(банкротстве).[4]
. Практическая часть
Исходные данные для оценки риска банкротства ООО
МОСТООТРЯД 43 ЗА 2010-2011 год по данным бухгалтерского баланса.
|
АКТИВ
|
2010г.
|
2011г.
|
На
конец отчетного года
|
На
начало отчетного года
|
На
конец отчетного года
|
|
1.Внеоборотные
активы
|
|
Основные
средства
|
115615
|
115452
|
115452
|
125437
|
|
Незавершенное
строительство
|
16213
|
20843
|
20843
|
3221
|
|
Долгосрочные
финансовые вложения
|
0
|
771
|
771
|
771
|
|
Отложенные
налоговые активы
|
685
|
172
|
172
|
117
|
|
Итого
по разделу 1
|
132513
|
137238
|
137238
|
129545
|
|
2.Оборотные
активы
|
|
Запасы
|
58671
|
36799
|
36799
|
51592
|
|
Налог
на добавленную стоимость по приобретенным ценностям
|
747
|
738
|
738
|
739
|
|
Дебиторская
задолженность (платежи по которой ожидаются в течение 12 месяцев после
отчетной даты)
|
53155
|
53359
|
53359
|
56328
|
|
Краткосрочные
финансовые вложения
|
1295
|
-
|
-
|
-
|
|
Денежные
средства
|
7587
|
274
|
274
|
1013
|
|
Итого
по разделу 2
|
121457
|
91170
|
91170
|
109672
|
|
БАЛАНС
|
253971
|
228408
|
228408
|
239217
|
|
ПАССИВ
|
|
3.Капитал
и резервы
|
|
Уставный
капитал
|
168
|
168
|
168
|
|
Добавочный
капитал
|
77271
|
17278
|
17278
|
17278
|
|
Резервный
капитал
|
42
|
42
|
42
|
42
|
|
Нераспределенная
прибыль
|
38464
|
98255
|
98255
|
92755
|
|
Итого
по разделу 3
|
115945
|
115743
|
115743
|
110242
|
|
4.Долгосрочные
обязательства
|
|
Займы
и кредиты
|
77475
|
50789
|
50789
|
48058
|
|
|
Отложенные
налоговые обязательства
|
3797
|
3138
|
3138
|
3125
|
|
|
Итого
по разделу 4
|
81272
|
53927
|
53927
|
51183
|
|
|
5.Краткосрочные
обязательства
|
|
Займы
и кредиты
|
0
|
11033
|
11033
|
14263
|
|
Кредиторская
задолженность
|
56401
|
46213
|
46213
|
62036
|
|
Задолженность
перед участниками (учредителями) по выплате доходов
|
352
|
1493
|
1493
|
1492
|
|
Итого
по разделу 5
|
56753
|
58738
|
58738
|
77791
|
|
БАЛАНС
|
253971
|
228408
|
228408
|
239217
|
|
|
|
|
|
|
|
|
Исходные данные для оценки риска банкротства ООО
МОСТООТРЯД 43 ЗА 2010-2011 год по данным отчета о прибыли и убытках (за
отчетный период).
|
Показатель
|
2010
год
|
2011
год
|
|
За
отчетный период
|
За
аналогичный период пред. года
|
За
отчетный период
|
|
Доходы
и расходы по обычным видам деятельности Выручка от продажи товаров,
продукции, работ, услуг
|
18284
|
399632
|
194089
|
118284
|
|
Себестоимость
проданных товаров
|
(105999)
|
(333506)
|
(153372)
|
(105999)
|
|
Валовая
прибыль
|
12285
|
66126
|
40717
|
12285
|
|
Управленческие
расходы
|
(26565)
|
(41250)
|
(23796)
|
(26565)
|
|
Прибыль
(убыток) от продаж
|
(14280)
|
24876
|
16921
|
(14280)
|
|
Прочие
доходы и расходы Проценты к получению
|
13
|
37
|
5
|
13
|
|
Проценты
к уплате
|
(10907)
|
(11300)
|
(10324)
|
(10907)
|
|
Прочие
доходы
|
55506
|
12254
|
9133
|
55506
|
|
Прочие
расходы
|
(23345)
|
(15353)
|
(11316)
|
(23345)
|
|
Прибыль
(убыток) до налогообложения
|
6987
|
10514
|
4419
|
6987
|
|
Отложенные
налоговые активы
|
(123)
|
65
|
18
|
(123)
|
|
Отложенные
налоговые обязательства
|
270
|
(313)
|
(60)
|
270
|
|
Текущий
налог на прибыль
|
(2687)
|
(2708)
|
(1178)
|
(2687)
|
|
Дополнительные
показатели
|
(1285)
|
(1788)
|
(3019)
|
(1285)
|
(1285)
|
(1788)
|
(3019)
|
(1285)
|
|
Чистая
прибыль (убыток) отчетного периода
|
3162
|
5770
|
180
|
3162
|
|
Постоянные
налоговые обязательства (активы)
|
1143
|
433
|
336
|
1143
|
. Четырёхфакторная модель прогноза риска
(вероятности) банкротства компании, акции которой не котируются на бирже
(модель R -счёта)
Эмпирическая шкала вероятности риска банкротства
по методу ИГЭА
|
Значение
R-счёта
|
Вероятность
банкротства, %
|
|
Менее
0
|
Максимальная
90-100%
|
|
От
0 до 0,18
|
Высокая
60-80%
|
|
От
0,18 до 0,32
|
Средняя
35-50%
|
|
От
0,32 до 0,42
|
Низкая
15-20%
|
|
Более
0,42
|
Минимальная
до 10%
|
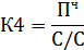
Рассчитаем четырёхфакторную модель прогноза
риска (вероятности) банкротства компании за 2010 г.
СОС = 91170 - 58738=32432
К1=
К2=
К3=
К4=
=8,38*0,14+2,72+0,54*0,49+0,63*0,03=4,18
Затем рассчитаем четырёхфакторную
модель прогноза риска (вероятности) банкротства компании за 2011г.
СОС = 109672-77791=31881
К1=
К2=
К3=
К4=
=8,38*0,13+0,16+0,54*0,83+0,63*0,001=1,7
На основе эмпирической шкалы
вероятность банкротства компании в соответствии со значение модели R-счёта
следует, что за 2010 и 2011 года вероятность банкротства компании минимальная.
.Система критериев для оценки
платежеспособности организации. Данная система позволяет по итогам деятельности
организации определить наличие или отсутствие признаков платежеспособности на
отчётную дату, установить является ли структура бухгалтерского баланса
удовлетворительной или нет, существует ли вероятность восстановить или утратить
платежеспособность.
Произведём расчёт за 
.
Коэффициент текущей ликвидности
равен 0,63, следовательно, у организации недостаточно средств для погашения
краткосрочных обязательств и данная организация неспособна погасить
первоочередные платежи (до 12 мес.).
Коэффициент обеспеченности
собственными оборотными средствами равен 0,36, что показывает состояние
нормальной финансовой устойчивости организации.
В связи с тем, что коэффициент
текущей ликвидности не соответствует рекомендуемым нормам, а коэффициент
обеспеченности собственными оборотными средствами не соответствует, то
бухгалтерский баланс организации является неудовлетворительным, а сама
организация неплатежеспособной. Поэтому, в данном случае проводим
диагностическое исследование на вероятность восстановления платежеспособности
по формуле:
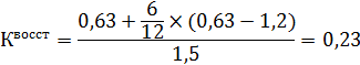
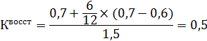
Рассчитаем показатели за 
.
Коэффициент текущей ликвидности не
соответствует рекомендуемым нормам, поэтому рассчитываем вероятность
восстановления платежеспособности:
Коэффициент восстановления
платежеспособности равен 0,5, что свидетельствует о том, что восстановления
платежеспособности в течение 6 мес. маловероятно.
.Рейтинговое число
Сайфуллина-Кадыкова позволяет сформировать представление о финансовом состоянии
организации и вероятности наступления банкротства.


=0,928
Финансовое состояние организации на
2010г оценивается как неудовлетворительное, т.к. R<1
Рассчитаем вероятность наступления
банкротства организации за 2011г.

=0,864
Финансовое состояние организации на
2011г также оценивается как неудовлетворительное и организация стремится к
состоянию несостоятельности (банкротству).
банкротство
платежеспособность риск
Заключение
Наступление риска (банкротства) на предприятии
является неотъемлемой частью бизнеса. Риск (банкротство) может возникнуть в
любой момент, поэтому предприниматель должен всегда знать о финансовом
состоянии своей организации, рассчитывать вероятность наступления банкротства.
В данной расчетно-графической работе были
рассмотрено понятие и сущность банкротства, изучена история развития
банкротства в России до в постсоветский период. В практической части были
произведены расчеты, и было выявлено, что по четырёхфакторной модели прогноза
риска, вероятность банкротства компании минимальная. Бухгалтерский баланс
организации признаётся неудовлетворительным, а сама организация
неплатежеспособной, следовательно, восстановление платежеспособности
предприятия в течение 6 мес. маловероятно. Финансовое состояние организации
неудовлетворительное и сама организация стремится к состоянию несостоятельности
(банкротству).
Список используемой литературы
. Бурганов Р. Теория
несостоятельности (банкротства): термины, трактовка, сущность // Пробл. теории
и практики управл. - 2009. - N 12. - С.112-118.
. Телюкина М.В. Конкурсное право. Теория
и практика несостоятельнос-ти. М., 2006. С. 8..
. Радыгин, А.Д. Институт
банкротства: становление, проблемы, направления реформирования [Текст] / А.Д.
Радыгин - М.: Высшее образование, 2011, с 658.
. Радыгин, А.Д. Институт банкротства
в Росси: особенности эволюции, проблемы и перспективы [Текст] / А.Д. Радыгин -
М.: ИЭПП, 2012, с 68-70.
. Сориков И.Н. Сущность и процедура
банкротства [Электронный ресурс] / И.Н. Сориков, режим доступа
http://bibliofond.ru/view.aspx?id=488887