Качество и конкурентоспособность продукции
Министерство
образования Республики Беларусь
Частное
учреждение образования
Минский
колледж предпринимательства
Цикловая
комиссия
«Бухгалтерского
учета и финансово-экономических дисциплин»
КУРСОВАЯ
РАБОТА
на
тему «Качество и конкурентоспособность продукции»
по
дисциплине «Экономика организации»
Выполнил учащийся
специальности «Программное обеспечение
информационный технологий»
3 курса, гр. П-31
М.С. Кукса
Руководитель Е.В
Ремарчук
Минск
2013
СОДЕРЖАНИЕ
1.
Качество и конкурентоспособность продукции как экономические категории
.1
Понятие качества продукции. Система показателей качества продукции
.2
Стандартизация и сертификация продукции
.3
Сущность и назначение конкурентоспособности продукции
.
Методы определения качества и конкурентоспособности продукции
.1
Методы оценки уровня качества выпускаемой продукции
.2
Методы оценки конкурентоспособности продукции
.3
Значение и задачи анализа качества и конкурентоспособности продукции в
современных условиях хозяйствования
Практическая
часть
Заключение
ВВЕДЕНИЕ
В странах с развитой рыночной экономикой
конкурентная борьба обусловила разработку программ повышения качества. В
научных исследованиях и в практике возникла необходимость выработки объективных
показателей для оценки способностей фирм производить продукцию с необходимыми
качественными характеристиками, подтверждаемыми сертификатом соответствия на
продукцию. Многие фирмы-производители имеют системы качества, соответствующие
международным стандартам. Успешная реализация качественного продукта
потребителю является главным источником существования любого предприятия.
Целью данной работы является рассмотреть
теоретические аспекты сущности качества и конкурентоспособности продукции,
выявить их взаимосвязь и значение в современных условиях хозяйствования.
Для достижения цели необходимо решить следующие
задачи:
дать определение понятию качества продукции и
рассмотреть систему ее показателей;
выявить сущность и назначение
конкурентоспособности продукции;
изучить нормы и стандарты, установленные государством;
рассмотреть методы оценки уровня качества
выпускаемой продукции и конкурентоспособности;
определить, какое значение имеет анализ качества
и конкурентоспособности продукции в современных условиях хозяйствования.
Тема качества и конкурентоспособности на
современном этапе является актуальной, т. к. для любого предприятия, как
частного, так и государственного, важное значение имеет прибыль от реализации
выпускаемой продукции, а так же спрос на нее. Поэтому подробное изучение таких
понятий как конкурентоспособность и качество продукции, а также методы их
оценок, помогут предприятиям сделать анализ выпускаемой продукции, определить
отклонения в качестве, оценить положение данной продукции на рынке, по
отношению к конкурентной продукции.
1. КАЧЕСТВО И КОНКУРЕНТОСПОСОБНОСТЬ ПРОДУКЦИИ
КАК ЭКОНОМИЧЕСКИЕ КАТЕГОРИИ
.1 Понятие качества продукции. Система
показателей качества продукции
Качество - совокупность свойств и характеристик
продукции или услуги, которые придают им способность удовлетворять обусловленные
или предполагаемые потребности. Международные стандарты последних лет
определяют качество продукции как степень, с которой совокупность свойств и
характеристик выполняет требования потребителей к качеству продукции.
Для оценки качества продукции используются
показатели качества. Показатель качества продукции численно характеризует
степень проявления определенного свойства, входящего в состав качества. Его
наименование определяет характеризуемое свойство (например, точность измерения,
диапазон частот, прочность, долговечность и т.п.). Численные значения могут
выражаться как в размерных единицах (длина, скорость, масса, время и др.), так
и безразмерных (коэффициент полезного действия, коэффициент готовности,
ремонтопригодность изделия, вероятностные показатели и др.).
В литературе понятие качества трактуется
по-разному. Однако основное различие в понимании качества определяется
различиями в условиях командно-административной и рыночной экономик. В условиях
первой, качество трактуется с позиции производителя, а в рыночной - с позиции
потребителя.
Чтобы более точно дать оценку качеству продукции
рассмотрим классификацию ее показателей.
Классификация показателей качества продукции
№ п/п Признак классификации Группы показателей
качества продукции1По характеризуемым свойствам согласно их назначению
Показатели назначения. Показатели экономного использования ресурсов
(ресурсосбережения). Показатели надежности. Эргономические показатели.
Показатели технологичности. Показатели транспортабельности. Показатели стандартизации
и унификации. Патентно-правовые показатели. Экологические показатели.
Показатели безопасности. Экономические показатели. По способу выражения
Показатели, выраженные в натуральных обобщенных единицах. По количеству
характеризуемых свойств. Единичные показатели. Комплексные показатели
(групповые, обобщенные, интегральные. По применению для оценки Абсолютные,
относительные и базовые знания показателей. По стадии определения значений
показателей .Прогнозируемые, проектные, производственные, эксплуатационные
показатели. По размерности отражаемых свойств Функциональные, долевые,
банальные, приведенные показатели. По значимости при оценке качества Основные и
дополнительные показатели. По характеру установления показателя
Регламентированное, номинальное, предельное, оптимальное значения показателей.
Первый признак классификации характеризует
свойства продукции, входящие в состав ее качества, и служит для обоснования и
выбора номенклатуры показателей качества, соответствующей потребностям
населения, национальной безопасности страны и экспорта. Группы показателей
качества по этому признаку классификации применяются для включения в
технические нормативные правовые акты, в технические задания на разработку
продукции, в планы научно-исследовательских и опытно-конструкторских работ, при
контроле качества и испытаниях продукции, ее сертификации, для оценки качества
продукции на всех стадиях ее жизненного цикла.
Второй признак классификации служит для
технико-экономического анализа качества продукции, при котором важно знать
полезный эффект каждого свойства, выраженный как в натуральных (кг, м, вольт,
ампер, байт и др.), так и в обобщенных (трудоемкость, материалоемкость,
стоимость и т. п.) единицах.
Третий признак классификации предназначен для
использования в различных методах оценки качества и характеризует охват свойств
продукции. Так, единичные показатели используются в дифференциальном методе и
каждый из них характеризует одно из свойств продукции, а комплексные - в
комплексном методе и характеризуют одновременно совокупность свойств
(определенную их группу, всю их совокупность или интегральный полезный эффект)
в сопоставлении с требуемыми для этого затратами.
Четвертый признак классификации показателей
качества служит для выбора базовых образцов продукции, для оформления карт
технического уровня качества продукции, в которых сравниваются значения
показателей качества оцениваемой и базовой продукции.
Пятый признак классификации служит для учета
особенностей оценки качества продукции на различных стадиях ее жизненного цикла.
Шестой признак классификации характеризует
размерность отражаемых свойств в соответствии с их природой и в зависимости от
применяемого метода определения показателя.
Седьмой признак классификации отражает
значимость при оценке качества продукции каждого показателя или их
совокупности. При этом основные показатели используются в первоочередном
порядке при выборе определенного варианта продукции из нескольких сравниваемых,
а дополнительные - при уточнении принимаемого решения.
Восьмой признак ориентирован на характер и метод
установления показателей качества. При этом выделяют следующие значения
показателей:
регламентированное - значение, установленное
техническими нормативными правовыми актами;
номинальное - регламентированное значение, от
которого отсчитывается допустимое отклонение (отклонение фактического значения
от нормативного, находящееся в пределах, установленных техническими
нормативными правовыми актами);
предельное - наибольшее или наименьшее
регламентированное значение показателя качества продукции;
оптимальное - значение, при котором достигается
либо наибольший эффект от эксплуатации или потребления продукции при заданных
затратах на ее создание и эксплуатацию или потребление, либо заданный эффект
при наименьших затратах, либо наибольшее отношение эффекта к затратам.
Таким образом, приведенная в таблице и кратко
прокомментированная классификация показателей качества продукции дает
достаточно полное представление о составе и содержании рассмотренных
показателей по восьми признакам классификации.
Данная градация помогает производителю наладить
такую систему производства продукции, которая обеспечивала бы высокое качество
выпускаемой продукции по всем показателям. Образно говоря, показатели качества
продукции являются отправной точкой для определения уровня, на котором
находиться выпускаемая продукция, а само качество - одним из самых важных
критериев способствующих реализации продукции покупателям.
.2 Стандартизация и сертификация продукции
Важное место в системе управления качеством
занимают стандартизации и сертификация продукции, являющиеся составными
элементами государственной системы управления качеством, которая включает:
законы и нормативные акты, регламентирующие
права и обязанности производителей и потребителей продукции;
государственную систему стандартизации
требований к качеству продукции и контроля за соблюдением стандартов и
состоянием измерительной техники;
государственную статистическую отчетность по
техническому уровню разработок и качеству выпускаемой продукции.
Стандартизация - деятельность по установлению
технических требований в целях их всеобщего и многократного применения в
отношении постоянно повторяющихся задач, направленная на достижение оптимальной
степени упорядочения в области разработки, производства, эксплуатации (использования),
хранения, перевозки, реализации и утилизации продукции или оказания услуг.
Целями стандартизации продукции являются:
) безопасность продукции для жизни и здоровья
человека, имущества и окружающей среды;
) техническая и информационная совместимость и
взаимозаменяемость изделий;
) качество в соответствии с уровнем развития
науки, техники и технологии;
) единство измерений;
) экономия ресурсов;
) безопасность хозяйственных объектов с учетом
риска возникновения природных и технологических катастроф;
) обороноспособность и мобилизационная
готовность страны.
Сертификация продукции - это деятельность
специально уполномоченных государственных органов и заинтересованных субъектов
хозяйствования, направленная на подтверждение соответствия продукции, работ,
услуг требованиям, установленным законодательными актами и стандартами в
отношении данной продукции, работ, услуг.
В настоящее время Республике Беларусь действует
система стандартизации, которая соответствует принятым в 2004 г. Законам «О
техническом нормировании» и «Об оценке соответствия требованиям технических
нормативных правовых актов в области технического нормирования и
стандартизации». В этих законах закреплен новый подход к установлению и
применению обязательных и добровольных требований к продукции (услугам),
введению технических регламентов и проведению оценки соответствия согласно
принятой международной практике.
Разработка для различных групп продукции
технических регламентов, базирующихся на международных и европейских
стандартах, направлена на обеспечение оптимального уровня безопасности по
средствам применения их на всем пути движения продукции от изготовителя к
потребителю, предотвращение появления опасной и фальсифицированной продукции, а
также минимизации технических барьеров для изготовителей.
Основными целями сертификации являются
обеспечение безопасности продукции для жизни, здоровья и имущества населения, а
также охраны окружающей среды; подтверждение соответствия показателей качества
продукции, заявленной изготовителем или продавцом, требованиям действующих
законодательных актов и стандартов; создание условий для участия изготовителей
и продавцов продукции в международной торговле и повышения
конкурентоспособности продукции; защита рынка Республики Беларусь от
некачественной и небезопасной импортной продукции
Сертификация продукции проходит по следующим
основным этапам:
подача заявки на сертификацию;
рассмотрение и принятие решения по заявке;
отбор, идентификация образцов и их испытания;
проверка производства (если предусмотрена схемой
сертификации);
анализ полученных результатов, принятие решения
о возможности выдачи сертификата;
выдача сертификата соответствия;
инспекционный контроль за сертифицированной
продукцией в соответствии со схемой сертификации.
При сертификации по отдельным схемам некоторые
этапы могут не предусматриваться.
Для проведения сертификации заявитель направляет
заявку в соответствующий орган сертификации. При наличии нескольких органов по
сертификации данной продукции заявитель вправе направить заявку в любой из них.
Орган сертификации рассматривает заявку и (не
позднее 15 дней) сообщает заявителю решение. В решении содержаться все основные
условия сертификации, в частности: схема сертификации, перечень необходимых
документов, перечень аккредитованных испытательных лабораторий, перечень
органов, которые могут провести сертификацию производства или системы качества.
Отбор образцов для испытаний осуществляется, как
правило, испытательными лабораториями. Испытания проводят на образцах,
конструкция, состав и технология изготовления которых должны быть такими же,
как у продукции, поставляемой потребителю (заказчику).
Осуществляемая на данном этапе идентификация
должна подтвердить подлинность продукции, в частности соответствие
наименованию, номеру партии, указанному на маркировке.
В зависимости от схемы сертификации могут
проводиться анализ состояния производства, сертификация производства и системы
качества.
Орган сертификации после анализа протоколов
испытаний, проверки производства осуществляет оценку соответствия продукции
установленным требованиям. В случае положительных результатов орган
сертификации оформляет сертификат и регистрирует его. Сертификат действителен
только при наличии регистрационного номера. При обязательной сертификации
сертификат выдается, если продукция соответствует всем требованиям всех
нормативных документов, установленных для данной продукции. Обязательной
составной частью сертификата соответствия является сертификат пожарной
безопасности.
При отрицательных результатах обязательной
сертификации выпускаемой продукции орган сертификации должен уведомить об этом
соответствующий территориальный орган государственного контроля и надзора по
месту расположения изготовителя для принятия необходимых мер по предупреждению
реализации данной продукции или выполнения работ (оказания услуг).
Срок действия сертификата соответствия
устанавливает орган сертификации, но не более чем на три года. Действие
сертификата на партию продукции, имеющей срок годности, должно распространяться
на срок не более срока годности продукции.
Для серийно выпускаемой продукции реализуемой
изготовителем в течение срока действия сертификата, последний действителен при
его поставке, продаже в течение срока службы.
Инспекционный контроль за сертифицированной
продукцией проводится в течение всего срока действия сертификата не реже одного
раза в год в форме периодических и внеплановых проверок, включающих испытания
образцов продукции, анализ состояния производства и пр. Цель инспекционного
контроля - подтверждение соответствия реализуемой продукции установленным
требованиям.
Результаты инспекционного контроля оформляют
актом. По результатам контроля орган сертификации может приостановить или
отменить действие сертификата и в случае несоответствия продукции требованиям
нормативных документов. Инспекционный контроль осуществляют, как правило, орган
сертификации, проводившие сертификацию данной продукции.
Стандартизация и сертификация продукции
устанавливает определенный уровень качества реализуемой продукции, который
позволяет ей попадать на рынки сбыта и участвовать в конкурентной борьбе, а
также давать определенные гарантии покупателям на ее использование.
1.3 Сущность и назначение конкурентоспособности
продукции
В условиях высокой насыщенности товарных рынков,
превышения на них предложения над спросом, каждый товар (и стоящие за ним
товаропроизводитель и продавец) вынужден вести жестокую борьбу за предпочтения
потребителя. Множество товаров одновременно предлагают одинаковые или различные
способы удовлетворения одной и той же потребности покупателей на равных или
незначительно отличающихся ценовых условиях. В этой ситуации предпочтения
потребителя отдается товару, который в маркетинге определяется как
конкурентоспособный.
Конкурентоспособность товара - это степень
реального удовлетворения им конкретной потребности по сравнению с аналогичными
товарами, представленными на данном рынке. Конкурентоспособность товара
является относительной величиной и выражает различие сравниваемых
товаров-конкурентов по степени соответствия их характеристик требованиям
конкретного потребителя на данном рынке.
Понимание того, что скрывается за словом
«конкурентоспособность» еще не устоялось. Распространенным является подход к
конкурентоспособности как комплексу потребительских свойств товара
безотносительно к его стоимости. При этом предполагается, что низкая
конкурентоспособность ведет к снижению цен на товары и, наоборот, повышение
конкурентоспособности обуславливает рост цен. В данном случае
конкурентоспособность отожествляется с качеством продукции, хотя качество лишь
один из факторов конкурентоспособности.
Если подойти к определению конкурентоспособности
товаров через их цены, которая исходит из представления о цене как
универсальной характеристике товара, где отражаются все ее потребительские и
меновые свойства. Различие таких свойств у конкурирующих изделий должно
проявляться в различии цен, которая, как считают, и есть конкурентоспособность
этих товаров по отношению друг к другу.
Чтобы выявить сущность категории
«конкурентоспособность» продукции прежде всего необходимо учитывать, что она в
условиях рыночной экономики, должна рассматриваться с точки зрения
потребителей.
При выборе товара потребитель ориентируется
только на те его особенности, которые представляют для него существенный
интерес. Во-первых, это параметры, в которых отражается качество и полезность
товара с учетом социальных, функциональных, эстетических, экологических и
других потребительских свойств. Во-вторых, стремясь к приобретению товара, в
наибольшей степени соответствующего потребностям, связанными с его покупкой и с
издержками по эксплуатации товара в период срока его службы.
Наибольшее признание среди товаров,
предназначенных для удовлетворения определенных общественных потребностей,
получает тот, который более полно ей соответствует по сравнению с
товарами-конкурентами. Это и выделяет его из общей товарной массы, обеспечивает
успех в конкурентной борьбе, другими словами, позволяет говорить, что товар был
конкурентоспособен.
Таким образом, затраты потребителя на
удовлетворение его потребности посредством данного товара состоят из двух
статей:
расходов на покупку (продажная цена);
расходов, связанных с затратами на эксплуатацию
изделия в период срока его службы (ремонт, уход, технологическое обслуживание,
покупка запасных частей, энергопотребление и др.) В целом же общая сумма этих
расходов выступает для потребителя в качестве цены удовлетворения потребности
(цены потребления).
Уровень цены потребления представляется для
покупателя составным элементом конкурентоспособности товара и зависит, прежде
всего, от потребительских свойств конкретного изделия.
Затраты на удовлетворение потребности
определяются условиями приобретения и потребления, которые связаны с
социально-экономическим положением потребителей, наличием услуг, их стоимостью,
удаленностью предприятий сервиса, а также зависят от факторов
общеэкономического характера. Часто расходы, возникающие в процессе
потребления, по многим видам изделий существенно превышают продажную цену.
Таким образом, конкурентоспособность можно
определить как комплексную характеристику товара, определяющую его предпочтение
на рынке по сравнению с аналогичными изделиями-конкурентами как по степени
соответствия конкретной общественной потребности, так и по затратам на его
удовлетворение, которое обеспечивает возможность реализации этого товара в
определенный момент времени на конкретном рынке. Отсюда следует, что
конкурентоспособность обуславливается качественными и стоимостными
особенностями товара, которые учитываются покупателем согласно их
непосредственной значимости для удовлетворения потребностей. При этом среди
товаров аналогичного назначения большей конкурентоспособностью (КТ) на рынке
обладает тот, который благодаря своим свойствам обеспечивает наибольший
полезный эффект (ЭФпол) и минимальную цену потребления (Цпотр). В самом общем
виде конкурентоспособность товара выражается следующим отношением:
КТ = ЭФпол/Цпотр
Это и есть условие конкурентоспособности товара
в самом общем виде.
Всегда следует помнить, что попытка торговли
неконкурентоспособными товарами теряет всякий смысл, так как приносит одни
убытки - как финансовые, так и моральные.
Конкурентоспособность продукции тесно привязана
к конкретному рынку (внутреннему, региональному, общенациональному,
международному и т.д.) и требованиям строго определенных групп потребителей.
Так, чрезмерная погоня за «излишним» качеством может сделать товар недосягаемым
для тех групп потребителей, для которых он предназначен и, следовательно, не
обеспечит ему «необходимый» уровень конкурентоспособности. В ряде случаев для успешной
реализации товар может не иметь самый высокий технический уровень. С другой
стороны, на практике нередки случаи, когда изделие, отвечающее с технической
точки зрения мировым стандартам, не находит активного сбыта на конкретном
рынке, т.е. не имеет должной конкурентоспособности.
Помимо требований к товару, выдвигаемых каждым
отдельным потребителем, существуют и требования, общие для всех товаров к их
выполнению. Это нормативные параметры, которые устанавливаются: действующими
международными и региональными стандартами; действующими законодательствами,
нормативными техническим регламентами страны-экспортера и страны-импортера,
устанавливающими требования к ввозимой в страну продукцию фирм-изготовителей
данной продукции; патентной документацией. Если хотя бы одно из этих требований
не будет выполнено, то товар не может быть выведен на рынок.
Конкурентоспособный товар, как правило, может
производить только конкурентоспособное предприятие, а для такого предприятия
нужны определенные условия, характеризуемые как конкурентоспособность страны.
Эта неразрывная цепочка взаимозависимостей давно замечена и внимательно
изучается в маркетинге.
Таким образом, конкурентоспособность с точки
зрения потребителя - это более высокое по сравнению с аналогами-заменителями соотношение
современных качественных характеристик товара и затрат на его приобретение и
потребление при их соответствии требованиям определенного сегмента. Сточки
зрения производителя конкурентоспособность продукции - это достижение
безусловной рентабельности в своей деятельности и создание положительного
имиджа у своих потребителей.
2. МЕТОДЫ ОПРЕДЕЛЕНИЯ КАЧЕСТВА И
КОНКУРЕНТОСПОСОБНОСТИ ПРОДУКЦИИ
.1 Методы оценки уровня качества выпускаемой
продукции
Под методом оценки качества продукции понимается
совокупность логических и математических операций по использованию отдельных
показателей качества продукции или их сочетания для определенного качества
изделия в целом на основе их сравнения с аналогичными вариантами изделий для
принятия решения о выборе предпочтительного (лучшего) по качеству для
потребителя варианта.
Выделяют следующие методы оценки уровня качества
продукции: дифференциальный, комплексный, смешанный и статистический.
Дифференциальный метод - метод оценки качества
продукции, основанный на использовании единичных показателей ее качества.
Оценка уровня качества дифференциальным методом заключается в сопоставлении
единичных показателей качества оцениваемого изделия с соответствующими
показателями базового образца или базовыми показателями, выбранными из других
источников. При таком сопоставлении можно установить: достигнут ли уровень
качества базового образца в целом, по каким показателям он достигнут, какие
показатели имеют наибольшие отклонения от соответствующих базовых.
Дифференциальный метод может быть применен в тех
случаях, когда все оцениваемые показатели качества товара будут больше (меньше)
или равны базовым показателям.
Оценка уровня качества этим методом сводится к
определению относительных показателей.
Рассчитывают относительные показатели по
формулам:
= Pi/Piб; qi = Piб/Pi; qi = (Pi-Piпр)/(Piб-
Piпрб),
где qi - относительный показатель i-го
свойства;- фактический показатель i-го свойства;б - базовый показатель i-го
свойства;пр и Piпрб - предельные значения фактического и базового показателей
Из приведенных формул выбирают ту, при которой
увеличение относительного показателя соответствует повышению качества
оцениваемого изделия.
Если окажется, что все относительные показатели
будут больше или равны единице, то уровень качества оцениваемого изделия выше
или равен базовому уровню. Если все относительные показатели будут меньше
единицы, то уровень качества оцениваемого изделия будет ниже базового уровня.
Если часть относительных показателей будет больше единицы, а часть - меньше
единицы, то следует применить другие методы оценки, так как в этом случае
дифференциальным методом установить уровень качества в целом нельзя.
Дифференциальный метод оценки уровня
потребительских показателей качества применяется на этапах планирования,
проектирования, обращения и эксплуатации товаров. Его достоинством является то,
что исключается необходимость определения коэффициента весомости оцениваемого
показателя качества, а недостатками - сравнительная форма фиксации значения
оценки ("лучше" - "хуже") и возможность суждения о качестве
товара в целом лишь в тех случаях, когда значения всех единичных показателей
качества оцениваемого товара выше или низке соответствующих базовых значений
показателей.
Комплексный метод оценки уровня качества
продукции заключается в том, что уровень качества продукции выражается одним
обобщенным показателем. Для оценки качества технически сложной продукции
необходимо учитывать большое количество единичных показателей. В этих случаях
целесообразно уровень качества продукции оценить одним числом, которое можно
получить разными способами в форме обобщенного показателя. Этот показатель
служит измерителем уровня качества изделия при сопоставлении его с
соответствующим базовым показателем. Обобщенный показатель может быть выражен:
главный показатель, отражающий основное
назначение товара;
интегральный показатель;
средне взвешенный показатель.
Главный показатель наиболее полно отражает
возможности товара выполнять свои основные функции в соответствии с
назначением. Для этого устанавливают функциональную зависимость главного
показателя от исходных единичных показателей, которая должна отражать сущность
потребления товара. Главным показателем может быть выбрано, например, время
сохранности продуктов в холодильнике.
Интегральные показатели качества для комплексной
оценки применяют в тех случаях, когда известен полезный суммарный эффект от
использования продукции и суммарные затраты на его создание, обращение и
потребление. При расчетах полезного эффекта могут быть использованы такие
показатели, как срок службы изделий, производительность изделий за определенный
период времени и т.п.При сроке службы до 1 года интегральный показатель J.
Для товаров длительного пользования, срок службы
которых больше года, затраты пересчитываются с учетом поправочного
коэффициента, зависящего от срока службы изделия.
Средне взвешенные показатели при комплексной
оценке применяют в тех случаях, когда затруднено определение главного
показателя его функциональной зависимости от исходных показателей качества.
Можно использовать различные средне взвешенные показатели, в том числе средне
взвешенные относительные показатели, численные значения которых находят
усреднением совокупности единичных относительных показателей с коэффициентами
весомостей.
Средний взвешенный арифметический показатель (К)
Методом среднего взвешенного арифметического
можно пользоваться при наличии небольших отклонений единичных показателей от
соответствующих базовых показателей.
Этим методом комплексный показатель определяется
в тех случаях, когда увеличение единичных показателей соответствует улучшению
качества, а оптимальному варианту продукции соответствует максимальное значение
среднего взвешенного показателя.
Специфической разновидностью комплексного метода
является экспресс-метод, который применяется экспертами для определения
комплексного показателя без предварительного определения единичных показателей
и коэффициентов их весомости, под названием метода целостной оценки.
Комплекс вопросов порядка и организации
экспертной оценки качества продукции тесно связан с установлением коэффициентов
весомости экспертами. В практике оценки качества продукции часто встречаются
случаи, когда одновременно необходимо знать комплексный показатель качества
продукции, анализировать единичные показатели, выявлять возможности их
улучшения. В этих случаях применяется смешанный метод оценки, под которым
понимается оценка качества продукции, основанная на одновременном использовании
единичных и комплексных показателей ее качества.
Оценка уровня качества смешанным методом производится
следующим образом. Часть единичных показателей, которые являются
второстепенными для оценки качества, выделяется в отдельную группу или
несколько родственных групп и для каждой группы определяется комплексный
показатель. Отдельные, наиболее существенные показатели в эти группы не
включаются и применяются в дальнейшей оценке как единичные. На основе
полученной совокупности групповых и единичных показателей уровень качества
затем оценивают дифференциальным методом, то есть рассчитывают соответствующие
относительные показатели единичных и групповых свойств. Данный метод позволяет
установить, по какой группе свойств и насколько качество оцениваемого изделия
отличается от качества базового образца.
Под статистическим методом понимается метод
оценки качества продукции, основанный на использовании правил математической
статистики для определения значений показателей качества.
Среди статистических методов наиболее
характерными являются:
точечное и инвентарное оценивание параметров
распределения показателей качества;
проверка гипотез;
дисперсионный анализ;
корреляционный анализ;
регрессионный анализ;
анализ временных рядов, последовательностей
процессов и др.
Необходимость применения методов математической
статистики при оценке показателей качества обусловлена тем, что в большинстве
случаев эти значения являются случайными величинами вследствие воздействия
многочисленных случайных факторов в процессе производства и эксплуатации
продукции.
.2 Методы оценки конкурентоспособности продукции
Оценка конкурентоспособной продукции отражает
соответствующие функциональные задачи: изучение конъюнктуры (спрос,
предложение, цены, емкость рынка, каналы сбыта), определение набора
потребительских и экономических показателей конкурентоспособности (натуральные,
стоимостные, относительные), выбор базы для сравнения конкурентов (анализ
показателей конкурентоспособности, выбор объекта в качестве базы для сравнения,
расчет интегрального показателя конкурентоспособности).
Оценка конкурентоспособности товара производится
путем сопоставления параметров анализируемого товара с параметрами базы
сравнения, поскольку, как было сказано выше, конкурентоспособность понятие
относительное. За базу сравнения может быть принята потребность покупателей или
образец. Образцом, как правило, является аналогичный товар, который имеет
максимальный объем продаж и наилучшую перспективу сбыта. В случае, когда за
базу сравнения принимают потребность, расчет единичного показателя
конкурентоспособности производится по формуле:
Где:- единичный параметрический показатель
конкурентоспособности по i-му параметру;
Пi - величина i-го параметра для анализируемой
продукции;
Пin - величина i-го параметра, при котором
потребность удовлетворяется полностью;- количество анализируемых параметров.
В случае принятия за базу сравнения образца, в
знаменателе дроби проставляется величина i-го параметра для товара, принятого
за образец.
В случае, когда параметры товара не имеют
физической меры, для оценки их характеристик применяют методы балльных оценок.
Описанный выше метод (дифференциальный)
позволяет только констатировать факт необходимости повышения или снижения
параметров товара для повышения конкурентоспособности, но не отражает влияние
каждого параметра при выборе товара потребителем.
На применении групповых, обобщенных и
интегральных показателях основывается комплексный метод. При этом расчет
группового показателя по техническим параметрам производится по формуле:
Где:- групповой показатель конкурентоспособности
по техническим параметрам;- единичный показатель конкурентоспособности по i-му
техническому параметру;- весомость i-го параметра в общем наборе технических
параметров, характеризующих потребность;- число параметров, участвующих в
оценке.
Расчет группового показателя по экономическим
параметрам производится по формуле:
Где З, З0 - полные затраты потребителя
соответственно по оцениваемой продукции и образцу.
Полные затраты потребителя включают единовременные
затраты на приобретение товара (Зе) и средние суммарные затраты на эксплуатацию
товара:
Где:
Т - срок службы;- год по порядку.
Смешанный метод позволяет выразить способность
товара конкурировать в определенных условиях рынка через комплексный
количественный показатель - коэффициент конкурентоспособности:
Где:= 1…n - число параметров продукции,
участвующих в оценке;= 1…n - виды продукции;- коэффициент важности (значимости)
по сравнению с остальными существенными параметрами продукции;-
конкурентоспособное значение i-го параметра для j-ой продукции;- желаемое
значение i-го параметра, которое позволяет полностью удовлетворить потребность
показателя;
ẞi = +1, если увеличение значения
параметра Pij способствует росту конкурентоспособности продукции (например,
надежности, производительности изделия и так далее);
ẞi = -1, если увеличение значения
параметра Pij приводит к снижению конкурентоспособности продукции (например,
вес, габарит, цена и другое).
Таким образом, при помощи цифр можно дать
характеристику конкурентоспособности одного товара по отношению к другим.
Сопоставление товаров ведется при помощи таблицы сравнения параметров. По
результатам сравнения одним из трех описанных методов можно дать одно из
следующих заключений:
товар конкурентоспособен на данном рынке в
сравниваемом классе изделий;
товар обладает низкой конкурентоспособностью на
данном рынке в сравниваемом классе изделий;
товар полностью неконкурентоспособен на данном
рынке в сравниваемом классе изделий .
Вывод о конкурентоспособности дополняется
заключениями о преимуществе и недостатке оцениваемого товара по сравнению с
аналогичными, а также предложениями мер, необходимых для принятия с целью
улучшения положения товара на рынке.
По результатам оценки конкурентоспособности
товара можно принять следующие решения:
изменить состав и структуру применяемых
материалов, комплектующих изделий или конструкции товара;
изменить порядок проектирования товара;
изменить технологию изготовления товара, методы
испытания, систему контроля качества изготовления, хранение, упаковку,
транспортировку, монтаж;
изменить цены на товар, цены на услуги, на
обслуживание и ремонту, цены на запасные части;
изменить порядок реализации товара на рынке;
изменить структуру и размер инвестиций в
разработку, производство и сбыт товаров;
изменить структуру и объемы поставок при
производстве товара, цены на комплектующие изделия и состав выбранных
поставщиков;
изменить систему стимулирования поставщиков;
изменить структуру импорта и видов импортируемых
товаров.
Основой оценка конкурентоспособности является
сравнение характеристик анализируемых товаров с конкретной потребностью и
выявлении их соответствия друг другу. Для объективной оценки необходимо
использовать те же критерии, которыми оперирует потребитель, выбирая товар на
рынке. Следовательно, необходимо решить задачу определения номенклатуры
параметров, подлежащих анализу и значимых с точки зрения потребителей.
.3 Значение и задачи анализа качества и
конкурентоспособности продукции в современных условиях хозяйствования
Современная рыночная экономика предъявляет
принципиально новые требования к качеству выпускаемой продукции. Это связано с
тем, что сейчас выживаемость любой фирмы, ее устойчивое положение на рынке
товаров и услуг определяются уровнем конкурентоспособности.
В свою очередь, конкурентоспособность связана с
действием нескольких десятков факторов, среди которых можно выделить два
основных - уровень цены и качество продукции. При этом качество продукции
постепенно выходит на первое место. Производительность труда, экономия всех
видов ресурсов уступают место качеству продукции.
Экономическая практика уже давно показала, что
потребители на рынке не выступают единым целым - они по-разному реагируют даже
на один и тот же товар с одними и теми же свойствами и это свойство необходимо
учитывать в теоретических разработках, посвященных конкурентоспособности.
Именно это обстоятельство учитывается маркетологами при сегментировании рынка и
позиционировании товара. Значит, для того, чтобы определить
конкурентоспособность товара, мало просто сравнить его свойства со свойствами
конкурентов, необходимо также изучить поведение потребителей и их реакцию на
товар.
Новейший подход к стратегии предпринимательства
заключается в понимании того, что качество является самым эффективным средством
удовлетворения требований потребителей и одновременно с этим - снижения
издержек производства.
Одна из главных задач анализа качества продукции
является изучение динамики обобщающих, индивидуальных и косвенных показателей
подробно выполнение плана по их уровню, причины их изменений и оценка
выполнения плана по уровню качества продукции.
Качество товара, его эксплуатационная
безопасность и надежность, дизайн, уровень послепродажного обслуживания
являются для современного покупателя основными критериями при совершении
покупки, и, следовательно, определяют успех или неуспех фирмы на рынке.
От того, насколько успешно решается проблема
качества продукции, зависит многое в экономической и социальной жизни страны.
Объективный фактор, объясняющий многие глубинные причины наших экономических и
социальных трудностей, снижающихся темпов экономического развития за последние
десятилетия, с одной стороны, и причины повышения эффективности производства и
уровня жизни в развитых странах Запада, с другой это качество создаваемой и
выпускаемой продукции.
К задачам анализа качества также можно отнести:
выявление возможности повышения качества;
определение с помощью показателей качества
свойства продукции, которые не позволяют ей достичь того или иного уровня
продаж;
нахождение отклонений от норм и стандартов,
установленных государством (если таковые имеются);
осуществление анализа конкурентной продукции,
которая занимает лидирующие позиции на рынке, и определение показателей, по
которым выпускаемая нами продукция отстает.
Проблема повышения качества - одна из главных
задач развития экономики нашей страны. В последние годы во всех передовых в
техническом отношении странах отмечается растущий интерес к повышению качества
продукции.
Улучшение качества готовой продукции, в свою
очередь, требует повышения качества сырья, материалов, комплектующих изделий,
внедрения новых прогрессивных технологий и методов организации производства и
труда. Поэтому задача повышения качества продукции приобретает комплексный
характер и затрагивает все отрасли.
Опыт показывает, что внедрение международных
стандартов ограничивается не только высокими требованиями к организации
материально-технического снабжения, финансирования, программного обеспечения,
но и препятствиями социально-психологического характера, вызванными стереотипами
старого мышления. Предприятия, внедряющие стандарты, сталкиваются с
непониманием необходимости осуществления этой работы в существующих условиях.
Условия, принципы и требования, закрепленные в уже переработанных стандартах,
на практике выполняются не в полном объеме, что противоречит системному подходу
в решении задач качества. Причины невыполнения состоят в нестабильности
производственных, сбытовых, экономических процессов, происходящих на
предприятии. Большую трудность представляет организация маркетинговой
деятельности и осуществление прогноза необходимого уровня качества изделия.
Повышение качества продукции имеет большое
значение для предприятия-производителя, потребителя и национальной экономики в
целом. Выпуск качественных изделий способствует увеличению объема реализации и
рентабельности, росту престижа предприятия. Национальная экономика от
высококачественной продукции имеет ряд преимуществ: увеличение экспортного
потенциала и доходной части платежного баланса страны, повышению жизненного уровня
населения и авторитета государства в мировом сообществе. Ухудшение качества
продукции приводит к появлению обратных тенденций: уменьшению объема продаж,
прибыли и рентабельности, снижению экспорта, национального богатства и
благосостоянию народа.
Поэтому необходимо постоянно, целенаправленно и
кропотливо работать над повышением уровня качества продукции в сравнении с
аналогами конкурентов.
Обязательным условием выпуска продукции высокого
качества является совершенствование производственно-технической базы
предприятия, повышения технического уровня производства.
ПРАКТИЧЕСКАЯ ЧАСТЬ
Трудовые ресурсы организации
Понятие и показатели производительности труда
Производительность труда - это эффективность
использования трудовых ресурсов предприятия. В настоящее время различают
несколько показателей эффективности затрат труда.
Измерить производительность труда можно исходя
из количества продукции, произведенной в единицу времени (выработка), или
количества времени, затраченного на производство единицы продукции
(трудоемкость).
Для этого используются 2 показателя:
выработка
трудоемкость.
Выработка - это показатель количества продукции,
произведенного в единицу рабочего времени или приходящегося на одного
среднесписочного работника. Представлена показателя годовой, дневной и часовой
выработки.
Трудоемкость представляет собой показатель
индивидуальной производительности труда, который характеризует затраты рабочего
времени на производство единицы продукции.
Расчет показателей использования трудовых
ресурсов
Основными показателями эффективности
использования трудовых ресурсов являются следующие показатели:
Среднегодовая выработка в стоимостном выражении,
которая рассчитывается по формуле:
где ВП - объём выпущенной продукции в стоимостном
выражении, млн. руб.;
Чппп - численность промышленно-производственного
персонала, чел.
Среднедневная выработка, которая определяется по
формуле:
где
- число рабочих дней, дни.
Среднечасовая выработка, рассчитываемая по
формуле:
где ВП - объём выпущенной продукции в
стоимостном выражении, тыс. руб.;
-
продолжительность рабочей смены, часы.
Полученные данные свести в таблицу 1.1.
Таблица 1.1 - Показатели использования
производительности труда
|
Показатели
|
Значение
|
|
Среднегодовая
выработка,
|
62
|
|
Среднедневная
выработка,
|
0.17
|
|
Среднечасовая
выработка,
|
0.02
|
Основные средства организации
Понятие и состав основных средств
Основные средства представляют собой средства
производства, которые многократно участвуют в процессе производства, постепенно
переносят свою стоимость на готовую продукцию и при этом не меняют своей
материально-вещественной формы.
здания - производственные и непроизводственные
корпуса, жилые здания, качество
конкурентоспособность продукция
сооружения - гидротехнические сооружения, мосты,
подвесные дороги,
передаточные устройства - с их помощью
передается энергия различных видов, жидкие и газообразные вещества (кабельные линии,
газопроводы, электросети, трубопроводы),
машины и оборудование:
транспортные средства - железнодорожный
подвижной состав, морской и речной флот, производственный и коммунальный
транспорт,
инструмент - бурильные и отбойные молотки,
электродрели,
производственный инвентарь и принадлежности -
контейнеры, инвентарь гостиниц, верстаки, рабочие столы,
хозяйственный инвентарь и принадлежности -
шкафы, несгораемые ящики, ковры,
рабочий и продуктивный скот - лошади и другой
скот кроме оленей и волов,
многолетние насаждения - вишня, слива,
виноградники,
прочие основные фонды - животные цирков,
зоопарков, библиотечные фонды, музейные ценности.
Расчёт показателей использования основных
средств
При начислении амортизации, расчете показателей
эффективности использования основных средств, расчете показателей движения
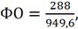
основных фондов используется среднегодовая стоимость основных средств.
Для расчёта среднегодовой стоимости основных
средств необходимо заполнить таблицу 2.1.
Таблица 2.1 - Среднегодовая стоимость основных
средств в миллионах рублей
|
Стоимость
основных средств на начало периода
|
Стоимость
вводимых основных средств
|
Стоимость
выбывших основных средств
|
Стоимость
основных средств на конец периода
|
Среднегодовая
стоимость основных средств
|
|
940
|
15
|
5
|
950
|
949.6
|
Среднегодовую стоимость основных средств
рассчитать по формуле:
где
-
стоимость основных фондов на начало года, млн. руб.;
- стоимость
вводимых основных средств, млн. руб.;
- стоимость
выбывших основных фондов, млн. руб.;
-число полных
месяцев до конца года с момента ввода основных фондов;
- число полных
месяцев до конца года, когда основные средства не работают.
Основными показателями эффективности
использования основных средств являются следующие показатели:
. Фондоотдача
где ВП - объём выпущенной продукции, млн. руб.
. Фондоёмкость
. Фондовооруженность
где Ч- численность работников, чел.
К показателям движения основных средств относят:
. Коэффициент ввода
где
-
стоимость основных фондов на конец года.
. Коэффициент выбытия
где
-
стоимость основных средств на начало года.
. Коэффициент прироста
Полученные данные свести в таблицу 2.2
Таблица 2.2 - Показатели использования основных
средств
|
Показатели
|
Значение
|
|
Фондоотдача
|
0.3
|
|
Фондоёмкость
|
3.3
|
|
Фондовооружённость
|
9.5
|
|
Коэффициент
ввода
|
0.01
|
|
Коэффициент
выбытия
|
0.005
|
|
Коэффициент
прироста
|
0.001
|
Расчёт амортизационных отчислений
Амортизация - перенос части стоимости основных
средств на готовую продукцию, возмещение износа основных средств путем
включения их стоимости в затраты на выпуск продукции.
Денежным выражением размера амортизации являются
амортизационные отчисления, которые включаются в себестоимость продукции.
Каждое предприятие ежегодно отчисляет в
амортизационный фонд определенный процент от среднегодовой стоимости основных
средств, который называется нормой амортизации.
Расчет амортизационных отчислений линейным
методом.
Линейный способ - заключается в равномерном
начислении амортизации на протяжении срока полезного использования основных
средств. При этом способе годовая сумма амортизационных отчислений определяется
путем умножения амортизируемой стоимости на годовую норму амортизации
. Норма амортизации рассчитывается по формуле:
где СПИ - срок полезного использования, лет.
Срок полезного использования (СПИ) - период
времени, на протяжении которого предприятие предполагает использовать объект
основных средств.
Амортизационные отчисления рассчитываются по
формуле:
где
-
среднегодовая стоимость основных средств, млн. руб.
Полученные в результате расчетов данные свести в
таблицу 2.3.
Таблица 2.3 - Ежегодные амортизационные
отчисления линейным методом
|
Амортизационная
стоимость основных средств, млн.руб.
|
Норма
амортизации, %.
|
Сумма
амортизационных отчислений, млн. руб.
|
|
949.6
|
7
|
0.6647
|
Оборотные средства предприятия
Понятие и состав оборотных средств
Оборотные средства - это часть средств
производства, экономическое назначение которых заключается в обеспечении
непрерывности производственного процесса и хозяйственной деятельности
предприятия.
Оборотные средства включают оборотные
производственные фонды и средства обращения.
Оборотные производственные фонды - это та часть
средств производства, которая целиком потребляется в каждом его цикле, меняет
свою натурально-вещественную форму, полностью переносит свою стоимость на
готовый продукт и целиком возмещается после каждого производственного цикла. Их
вещественным содержанием являются предметы труда - сырье, материалы, запчасти,
инструмент, топливо и т.д.
Сумма денежных средств, вложенных в оборотные
производственные фонды и фонды обращения, называются оборотными средствами или
оборотным капиталом.
Расчёт показателей использования оборотных
средств
Основными показателями эффективности
использования оборотных средств являются следующие показатели:
Коэффициент оборачиваемости рассчитать по
формуле:
где ВП - выпуск продукции, млн. руб.;
Со- средний остаток оборотных средств, руб.
Длительность одного оборота рассчитать по
формуле:

Материалоемкость продукции рассчитывается по
формуле:
где МЗ - материальные затраты, руб.;
ВП - объём выпущенной продукции в стоимостном
выражении, млн. руб.
Полученные данные свести в таблицу 3.1.
Таблица 3.1 - Показатели использования оборотных
средств
|
Показатели
|
Значение
|
|
Коэффициент
оборачиваемости, об.
|
1.2
|
|
Длительность
одного оборота, дни
|
300
|
|
Материалоёмкость,
руб./руб.
|
0.4
|
Себестоимость продукции
Себестоимость как экономическая категория, её
виды
Себестоимость продукции представляет выраженные
в денежной форме текущие затраты предприятий на производство и реализацию
продукции (работ, услуг).
Себестоимость продукции является не только
важнейшей экономической категорией, но и качественным показателем, так как она
характеризует уровень использования всех ресурсов (переменного и постоянного
капитала), находящихся в распоряжении предприятия.
Различают следующие виды себестоимости:
Цеховая себестоимость.
Производственная себестоимость.
Полная себестоимость.
Цеховая себестоимость представляет собой затраты
цеха, связанные с производством продукции.
Производственная себестоимость помимо затрат
цехов включает общепроизводственные и общехозяйственные расходы.
Полная себестоимость отражает все затраты на
производство и реализацию продукции, слагается из производственной
себестоимости и внепроизводственных расходов (расходы на тару и упаковку,
транспортировку продукции, прочие расходы).
Различают индивидуальную и среднеотраслевую
себестоимость.
Индивидуальная себестоимость обуславливается
конкретными условиями, в которых действует то или другое предприятие.
Среднеотраслевая себестоимость определяется как
средневзвешенная величина и характеризует средние затраты на единицу продукции
по отрасли, поэтому она находится ближе к общественно необходимым затратам
труда.
На практике в целях анализа, учета и
планирования всего многообразия затрат, входящих в себестоимость продукции,
применяются две взаимодополняющие классификации:
. Поэлементная. 2. Калькуляционная.
Расчёт себестоимости продукции по элементам
Классификация затрат по экономическим элементам
служит для определения заданий по снижению себестоимости продукции, расчета
потребностей в оборотных средствах, расчета сметы затрат, а также для
экономического обоснования инвестиций.
Группировка затрат по экономическим элементам
определяет абсолютные суммы затрат на производственную деятельность
предприятия, но она не дает возможность определить себестоимость единицы
продукции конкретного вида.
Расчёт себестоимости продукции необходимо
оформить в виде таблицы 4.1.
Таблица 4.1 - Себестоимость продукции в
миллионах рублей.
|
Наименование
экономических элементов
|
Показатель
|
|
Материальные
затраты, млн.руб.
|
102
|
|
Расходы
на оплату труда, млн.руб.
|
257.6
|
|
Отчисления
в ФСЗН, млн. руб.
|
87.6
|
|
Отчисления
в БГС, млн.руб.
|
1.5
|
|
Амортизация
основных фондов и нематериальных активов, млн. руб.
|
0.664
|
|
Прочее
затраты, млн. руб
|
357
|
|
Итого
|
806.4
|
. Рассчитать отчисления в фонд социальной
защиты населения по формуле:
где ФЗП - фонд заработной платы работников, млн.
руб.;
- ставка
отчислений в фонд социальной защиты населения, %.
Рассчитать отчисления в белгосстрах по формуле:
где Сбгс - ставка отчислений в белгосстрах, %.
Рассчитать структуру себестоимости в процентах.
Таблиц 4.2 - Структура себестоимости в
процентах.
|
Наименование
экономических элементов
|
%
|
|
Материальные
затраты, млн. руб.
|
12.6
|
|
Расходы
на оплату труда, млн. руб.
|
31.9
|
|
Отчисления
в ФСЗН, млн. руб.
|
10.9
|
|
Отчисления
В БГС, млн. руб.
|
0.2
|
|
Амортизация
основных фондов и нематериальных активов, млн. руб.
|
0.1
|
|
Прочие
затраты, млн. руб.
|
44.3
|
|
Итого
|
100
|
Для анализа необходимо построить круговую
диаграмму структуры себестоимости.
Пример построения диаграммы
Рисунок 4.1 -
Структура себестоимости
Расчет себестоимости продукции методом
калькуляции
Для внутрипроизводственного планирования и
выявления резервов снижения себестоимости продукции необходимо знать не только
общую сумму затрат каждого предприятия по тому или иному экономическому
элементу, но и величину расходов в зависимости от места их возникновения. Такую
возможность дает классификация затрат по калькуляционным статьям.
Для исчисления себестоимости отдельных видов
продукции затраты предприятия группируются по статьям калькуляции.
Выделяют 12 статей калькуляции. Итог 11 статей
образует производственную себестоимость продукции, итог всех 12 статей - полную
себестоимость продукции.
Расчёт себестоимости продукции необходимо
оформить в виде таблицы 4.3.
Таблица 4.3 - Себестоимость продукции в тысячах
рублей.
|
Наименование
статей калькуляции
|
Показатели,
тыс. руб.
|
|
Затраты
на сырье и материалы
|
36
|
|
Возвратные
отходы
|
6
|
|
Затраты
на топливо и электроэнергию
|
19
|
|
Основная
заработная плата
|
216.2
|
|
Дополнительная
заработная плата
|
32.4
|
|
Отчисления
в ФСЗН
|
84.5
|
|
Отчисления
в БГС
|
1.5
|
|
Общепроизводственные
расходы
|
220.5
|
|
Общехозяйственные
расходы
|
123
|
|
Производственная
себестоимость
|
604.1
|
|
Коммерческие
расходы
|
6
|
|
Полная
себестоимость
|
733.1
|
Определить размер дополнительной заработной
платы:
З/Пдоп =216.2×0.15
(4.3)
где З/Посн - основная заработная плата
производственных рабочих, млн. руб.
Сдопз/п - процент дополнительной заработной
платы.
Рассчитать отчисления в фонд социальной защиты
населения по формуле:
где ФЗП - фонд заработной платы работников, млн.
руб.;
- ставка
отчислений в фонд социальной защиты населения, %.
Рассчитать отчисления в белгосстрах по формуле:
где Сбгс - ставка отчислений в белгосстрах, %.
Определить размер общепроизводственных расходов:
ОПР =216.2×1.02
(4.6)
где Сопр - процент распределения общепроизводственных
расходов.
Производственная себестоимость определяется как
сумма 9 статей калькуляции за вычетом возвратных отходов.
Формирование отпускной цены в организации
Понятие и значение цены
Цена - это стоимость товара, выраженная
количеством денег, которое приходится платить при покупке товара.
Цена представляет собой денежное выражение
стоимости товара. Она выступает важнейшим экономическим рычагом, с помощью
которого государство может воздействовать на развитие экономики в целом,
отдельного производства и его структуры, конкуренции товаропроизводителей и
конкурентоспособность товара, научно-технический прогресс.
Расчет отпускной цены методом прямого счета
Метод прямого счета служит непосредственно для
определения отпускной цены
Исходя из полной себестоимости продукции
необходимо определить предполагаемую прибыль.
П = 759.5×0.4
(5.1)
где Нр - норма рентабельности
Исходя из полученной прибыли и полной
себестоимости определите отпускную цену.
ОЦ = 759.5 +303.8 (5.2)
Определите налог на добавленную стоимость
НДС =1063.3×20÷100
(5.3
Определите отпускную цену с НДС:
ОЦндс = 212.7+1063.3 (5.4)
Данные полученных расчетов оформите в таблице
5.1
Таблица 5.1 - Отпускная цена.
|
Наименование
показателей.
|
|
|
Норматив
рентабельности, %
|
40
|
|
Себестоимость
продукции, млн. руб.
|
759.5
|
|
Размер
полученной прибыли, млн. руб.
|
303.8
|
|
Налог
на добавленную стоимость, млн. руб.
|
212.7
|
|
Отпускная
цена, млн. руб.
|
1063.3
|
|
Отпускная
цена с НДС, млн. руб
|
1276
|
Прибыль организации
Понятие и виды прибыли
Общая величина всех прибылей от всех видов
деятельности представляет собой суммарную (валовую) прибыль предприятия.
Основными составными элементами суммарной прибыли являются:
прибыль (убыток) от реализации продукции,
выполнения работ, оказания услуг;
прибыль (убыток) от реализации основных фондов,
а также иного имущества предприятия;
финансовые результаты от внереализационных
операций.
Расчет прибыли предприятия. Определение чистой
прибыли
. совокупная суммарная прибыль рассчитывается по
формуле:
где
-
прибыль от реализации продукции, млн.руб.;
- прибыль от
прочей реализации, млн. руб.;
- прибыль от
внереализационных операций, млн. руб.
Прибыль от реализации продукции рассчитать по
формуле:
где ВР - выручка от реализованной продукции,
млн. руб.;
- себестоимость
реализованной продукции, млн. руб.;
НДС - налог на добавленную стоимость.
Налог на добавленную стоимость рассчитывается по
формуле:
где
- ставка НДС (20%)
Для расчета налогов, уплачиваемых из прибыли,
определяется налогооблагаемая прибыль.
Налогооблагаемая прибыль рассчитывается
следующим образом:
Пн/о = 303.8+287
где
-
размер льготируемой прибыли
Налог на прибыль рассчитать по формуле:
где
-
ставка налога на прибыль (18%).
Чистая прибыль организации рассчитать по
формуле:
ЧП = 590.8− 106.3
Полученные в результате расчетов данные свести в
таблицу 6.1.
Таблица 6.1 - Прибыль предприятия в миллионах
рублей.
|
Показатели
|
Млн.
руб.
|
|
НДС
|
212.7
|
|
Прибыль
от реализации продукции
|
303.8
|
|
Налогооблагаемая
прибыль
|
590.8
|
|
Налог
на прибыль
|
106.3
|
|
Чистая
прибыль
|
484.5
|
Показатели рентабельности
Основными показателями рентабельности являются:
. Общая рентабельность производства
рассчитывается по формуле:
где Пб - балансовая прибыль предприятия,
млн.руб.;
Фср- среднегодовая стоимость основных фондов,
млн. руб.;
ОС - стоимость нормируемой части оборотных
средств, млн. руб.
2. Рентабельность
продукции рассчитать по формуле:
где
-
прибыль от реализации продукции, млн. руб.;
с/с - себестоимость реализованной продукции,
млн. руб.
3. Рентабельность
продаж рассчитать по формуле:
где ВР - выручка от реализации продукции, млн.
руб.
Полученные данные свести в таблицу 7.1.
Таблица 7.1 - Показатели рентабельности в
процентах.
|
Показатели
|
Значение
|
|
Общая
рентабельность производства
|
49.7
|
|
Рентабельность
продукции
|
40
|
|
Рентабельность
продаж
|
23.8
|
Технико-экономические показатели работы
организации
После проведения всех расчетов оформите сводную
таблицу основных показателей производственной деятельности организации.
Таблица 8.1 - Технико-экономические показатели
работы организации
|
Показатели
|
Значение
|
|
Объём
выпущенной продукции, млн. руб.
|
288
|
|
Фондоотдача,
руб./руб.
|
0.3
|
|
Фондоёмкость,
руб./руб.
|
3.3
|
|
Фондовооружённость,
|
9.5
|
|
Длительность
одного оборота, дни
|
300
|
|
Среднегодовая
выработка,
|
2.9
|
|
Полная
себестоимость продукции, млн. руб.
|
759.5
|
|
Выручка
от реализации продукции, млн. руб.
|
1276
|
|
Чистая
прибыль предприятия, млн. руб.
|
484.5
|
|
Общая
рентабельность производства, %
|
49.7
|
|
Рентабельность
продукции, %
|
40
|
|
Рентабельность
продаж, %
|
23.8
|
ЗАКЛЮЧЕНИЕ
Значение планирования для предприятия очень
велико: с помощью детально разработанных планов, основанных на реальных фактах
хозяйственной деятельности предприятия, анализа деятельности в предыдущих
годах, руководитель сможет эффективно управлять хозяйственной деятельностью
предприятия и влиять на результаты по итогам финансового года. Планирование на
предприятии позволяет в полной мере учитывать влияние изменений внешней среды,
разрабатывать программы противодействия негативным факторам и программы
использования благоприятных возможностей для предприятия, а также программы
альтернативных стратегий в случае наступления или ненаступления определенных
рисков. Все это делается для минимизации негативных факторов и максимального
использования благоприятных обстоятельств.
Поэтому можно сказать, что планирование на
предприятии сегодня никак не потеряло своего значения, а видоизменило его. В
условиях активной конкуренции и сложной внешней среды эффективное управление
компанией возможно только благодаря использованию планов хозяйственной
деятельности на основе системы планирования на предприятии. Планы ориентируют
работу всех подразделений и отделов предприятия на совместную целенаправленную
работу для достижения поставленной перед предприятием цели.
Планирование на предприятии также позволяет,
учитывая деятельность конкурентов, разрабатывать эффективные приемы противодействия,
для того, чтобы добиться новых конкурентных преимуществ. При правильном
использовании современных и актуальных методов планирования любая компания
может упрочить свое положение на рынке.
Планирование бизнеса - это определение целей и
путей их достижения, посредством каких-либо намеченных и разработанных программ
действий, которые в процессе реализации могут корректироваться в соответствии с
изменившимися обстоятельствами. В ходе планирования составляется программный
документ, программа осуществления бизнес-операций, действий фирмы, содержащая
сведения о фирме, товаре, его производстве, рынках сбыта, маркетинге,
организации операций и их эффективности.