Применение компьютерных технологий для определения эффективности инвестиционного проекта
Международный
институт рынка
Факультет
экономики и менеджмента
Кафедра
экономики
КУРСОВАЯ
РАБОТА
По
дисциплине: Экономическая оценка инвестиций
Тема:
Применение компьютерных технологий для определения эффективности
инвестиционного проекта
Выполнено студентом:
Группы Ф-52 Лыгиной А.Г.
Проверила: Язева Д.Е.
Самара
2012г.
Содержание
Введение
. Программный комплекс
"Альт-Инвест". Программный комплекс Project
Expert. Информационное
обеспечение расчетов эффективности инвестиционного проекта
. Практическая часть (на примере
предприятий общественного питания)
.1 Инвестиционная характеристика
Самарской области
.2 Анализ отрасли общественного
питания Самарской области и ее инвестиционной привлекательности
. Практическая часть
Заключение
Библиографический список
Приложение
Введение
На уровне предприятий инвестиционная активность
идет более быстрыми темпами, чем на уровне регионов. Многие российские
предприятия и компании совершенствуют систему управления инвестициями. При этом
менеджеры и консультанты обычно опираются на традиции и собственный опыт.
Эмпирическое накопление знаний свидетельствует, что развитие происходит
малоэффективным путем проб и ошибок. Каждая отрасль независимо от других
проводит организованные инновации и накапливает знания об их эффективности.
Возникающие при этом ошибки столь велики, что могут вызвать многолетние кризисы
систем управления и способствовать разрушению крупных производственных
комплексов. Для российских предприятий опыт корпораций из развитых стран имеет
ограниченное применение. Это обусловлено радикальными различиями экономических
институтов в России и за рубежом.
Экономические преобразования в России могут дать
весомый эффект только при осуществлении политики интенсивного развития
производственного и научного потенциала каждого предприятия, отрасли, субъекта
Федерации на базе сочетания общегосударственных и региональных интересов,
создания действенного механизма финансового регулирования инвестиционной
деятельности предприятий различных форм собственности.
В таких условиях обобщение опыта развития систем
управления инвестициями отдельных регионов и его практическая интерпретация
весьма актуальны. Они позволяют сделать инвестиционный процесс развития
регионов и корпораций планомерным, последовательным и эффективным. В связи с
этим изучение данной темы приобретает особую актуальность.
Цель работы - анализ инвестиционной
привлекательности региона (на примере предприятий общественного питания
Самарской области).
Реализация намеченной цели потребовала
постановки и решения следующих задач, определивших логику и концепцию
исследования:
· рассмотреть информационное обеспечение расчетов
эффективности инвестиционного проекта;
· дать инвестиционную характеристику
Самарской области;
· провести анализ отрасли общественного питания
Самарской области и ее инвестиционной привлекательности.
1. Программный комплекс
"Альт-Инвест". Программный комплекс Project Expert. Информационное
обеспечение расчетов эффективности инвестиционного проекта
В основе программы Альт-Инвест лежат западные
методики финансового анализа, поэтому она достаточно понятна специалистам, а
использование в качестве базы MS Excel позволяет самостоятельно расширять и
дорабатывать базовые алгоритмы. Поскольку Альт-Инвест был первым решением в
среде Excel, программа достаточно популярна среди сотрудников банков, которые
создавали на ее базе собственные решения для анализа проектов.
С помощью программного продукта
"Альт-Инвест" разрабатываются финансовые разделы ТЭО и бизнес-планов,
сравниваются альтернативные варианты реализации инвестиционных проектов,
оптимизируются схемы финансирования и другие условия инвестиций.
"Альт-Инвест" используется для обоснования проектов модернизации,
технического перевооружения, выпуска новых видов продукции на промышленных предприятиях,
инвестиций в сфере строительства, внедрения новых технологий.
Текущая версия программы - Альт-Инвест 6.0.
Программный продукт Альт-Инвест предназначен для подготовки, анализа и
оптимизации инвестиционных проектов различных отраслей, масштабов и направленности.
С помощью Альт-Инвест возможно эффективно и
корректно решить такие задачи, как:
· Подготовка финансовых разделов ТЭО и
бизнес-планов.
· Моделирование и оптимизация схемы
осуществления проекта.
· Проведение экспертизы инвестиционных
проектов.
· Ранжирование инвестиционных
проектов.
· Программа применима для
моделирования и анализа инвестиционных проектов различных отраслей, а также
различной направленности (модернизация, строительство новых объектов, появление
нового вида услуг и т.д.).
Программа позволяет провести оценку проекта с
трех основных точек зрения:
· Эффективность инвестиций.
· Финансовая состоятельность.
· Риск осуществления проекта.
Исходная информация, необходимая для выполнения
расчетов:
· Доходы проекта (выручка от реализации).
· Текущие затраты.
· Инвестиционные затраты.
· Источники финансирования.
· Описание экономического окружения.
Расширенной версией программы Альт-Инвест
является Альт-Инвест Сумм, позволяющая работать с группами проектов, сравнивать
различные варианты реализации, оценивать проекты, реализующиеся на действующем
предприятии.
Методологические особенности:
. Соответствие методике ЮНИДО. Адаптированность
к российским экономическим условиям (в частности, налогообложение, учет,
отчетность, инфляция).
. Открытость и адаптируемость. Альт-Инвест - это
открытый программный продукт. Открытость программы означает, что пользователь
имеет возможность:
· выбирать и задавать необходимую структуру
описания исходных данных для расчетов;
· просмотреть алгоритм выполнения
расчетов;
· скорректировать заложенный алгоритм
расчетов, исходя из специфики конкретного проекта (предприятия);
· дополнить программу новыми
табличными формами и показателями.
Добавленные пользователем таблицы и показатели
становятся равноправными элементами модели, на них распространяются все
сервисные возможности программы
При необходимости может быть установлен режим
защиты расчетных формул от изменений.
. Широкие возможности по моделированию. При
подготовке модели к работе можно быстро настроить все основные параметры:
· используемые валюты (расчет может вестись в двух
валютах);
· временные параметры проекта (дата
начала, шаг расчета, длительность;
· перечень продуктов/услуг, статей
затрат, источников финансирования;
· налоговое и экономическое окружение.
4. Представление результатов расчетов. Программа
позволяет представить проект в международно-признанных форматах, предлагая
широкий выбор результатов анализа, охватывающих различные области оценки
инвестиций:
Построение прогнозной финансовой отчетности по
международным стандартам (баланс, отчет о прибылях и убытках, отчет о движении
денежных средств). При построении прогнозов учитываются рекомендации МСФО:
· Анализ эффективности инвестиций с позиций
различных участников проекта.
· Оценка финансовой состоятельности и
расчет финансовых показателей.
· Оценка бизнеса.
· Анализ бюджетной эффективности.
· Сопровождение.
Пользователи получают не только программный
продукт, но и целый комплекс сопутствующих услуг, помогающих в работе:
· программный продукт сопровождается методической
литературой по проведению оценки инвестиционных проектов, а также имеет
подробное руководство пользователя;
· пользователи программы получают
бесплатную консультационную поддержку специалистов компании;
· регулярные обновления с учетом
изменений в законодательстве.
Оставаясь корректной с точки зрения
международных стандартов, программа "Альт-Инвест" максимально
адаптирована к принятой в России системе бухгалтерского учета и формирования
финансовых результатов. Это существенно приближает методику расчета к реалиям
российской экономики.
Гибкость, открытость и исключительные
возможности для адаптации позволяют эксперту-аналитику создать на базе
программы "Альт-Инвест" уникальную модель конкретного инвестиционного
проекта и смоделировать его поведение в различных условиях, в соответствии с
различными сценариями.
Учет специфики переходной экономики - одна из
наиболее сильных сторон программы "Альт-Инвест". Пользователь имеет
возможность выполнять расчеты как в постоянных, так и в текущих ценах. Для
расчета в текущих ценах предусмотрен специальный блок, позволяющий эксперту
моделировать различные варианты развития инфляционных процессов. Расчеты могут
проводиться как в моновалютном, так и в двухвалютном режиме, позволяющем
учитывать изменение обменного курса твердой валюты на внутреннем рынке.
"Альт-Инвест" содержит блок анализа
чувствительности. Самостоятельно выбирая варьируемые показатели, аналитик может
оценить степень зависимости эффективности проекта от возможных изменений
рыночной конъюнктуры, роста цен на необходимое оборудование и т.д.
Руководителю, принимающему решение, такая информация поможет определить зоны
риска проекта и предусмотреть соответствующие действия.
"Альт-Инвест" учитывает
законодательные особенности осуществления лизинговых операций, позволяет
отражать как финансовый, так и оперативный лизинг.
Пользователь "Альт-Инвеста" может
произвести расчет эффективности проекта с точки зрения федеральных и
муниципальных государственных органов. Это особенно актуально для проектов,
претендующих на финансовую, организационную или стратегическую поддержку
государства.
В результате работы с программным продуктом
"Альт-Инвест" аналитик получает набор стандартных форм финансовой
отчетности, а также показателей и коэффициентов, исчерпывающим образом описывающих
проект и позволяющих выполнить его качественный анализ.
В частности, модель формирует такие финансовые
документы, как проектные Отчет о прибыли, Отчет о движении денежных средств,
Баланс. Дополнительно рассчитывается набор финансовых коэффициентов -
ликвидности, оборачиваемости, прибыльности продаж и т.д. Таблицы показателей
эффективности инвестиций включают простой и дисконтированный сроки окупаемости,
внутреннюю норму прибыли и чистую текущую стоимость, максимальную процентную
ставку по кредиту, которая может быть выплачена проектом.
Используя открытость модели, пользователь может
самостоятельно сформировать нестандартные таблицы, построить новые диаграммы,
рассчитать любые дополнительные показатели. Результаты расчетов могут быть
распечатаны как на русском, так и на английском языке.
"Альт-Инвест" представляет собой
комплект взаимосвязанных электронных таблиц в среде пакета Microsoft Excel.
Такой способ реализации позволяет эксперту изучить все расчетные формулы,
проследить логику формирования результатов из исходных данных, свободно
ориентироваться в методике и расчетных таблицах. Все это, безусловно,
способствует профессиональному росту пользователей.
Программный комплекс "Project Expert"
- это набор профессиональных инструментов для финансового управления бизнесом,
для планирования и анализаинвестиционных проектов, подготовки бизнес-планов и
оценки стоимости компании. Комплекс "Project Expert" позволяет
описать деятельность практически любого предприятия независимо от его размера и
отраслевой принадлежности.
С помощью этого программного комплекса можно:
· построить финансовую модель предприятия и
окружения, в котором оно работает;
· оценить и проанализировать
последствия и результаты планируемых решений, не производя реальных затрат;
· сравнить на основе сценарного
подхода решения между собой и выбрать для реализации наиболее эффективное
решение;
· рассчитать стоимость бизнеса и
доходы его участников;
· определить эффективность работы
подразделений, вклад каждого продукта или услуги и др.
В результате составляется стратегический план
развития компании. В ходе его реализации можно ввести фактические данные,
оперативно рассчитать расхождения от плана и оценить последствия этих
расхождений.
При этом используются данные бухгалтерской
отчетности, результаты представлены в соответствии с международными стандартами
бухгалтерского учета, при расчете применяется методика, рекомендованная
Международным банком развития.
В зависимости от целей и потребностей из
семейства "Project Expert" можно выбрать программный продукт с
подходящим набором функциональных свойств и по мере развития решаемых задач
наращивать мощь используемых финансовых инструментов.
2. Практическая часть (на примере
предприятий общественного питания)
.1 Инвестиционная характеристика
Самарской области
В Самарской области активно проводится политика
создания различных структур, ориентированных на поддержку и сопровождение
инвестиционной деятельности.
Министерство экономического развития, инвестиций
и торговли Самарской области осуществляет мониторинг инвестиционного климата и
конкурентных преимуществ Самарской области, информационное и организационное
обслуживание потенциальных инвесторов по вопросам организации бизнеса в
области.
К настоящему времени Самарская область имеет
развитую финансовую систему, завершается формирование регионального фондового
рынка, имеется сеть государственных и негосударственных учреждений поддержки
малого бизнеса, таких как фонд "Содействие" и Нижневолжский
Региональный Фонд ЕБРР поддержки малого бизнеса и предпринимательства. В
области успешно работает Торгово-промышленная палата Самарской области,
содействующая взаимным контактам самарских и зарубежных производителей.
Консалтинговые организации региона осуществляют
исследования в области инвестиционной деятельности, занимаются разработкой
инвестиционных проектов, проводят техническую, технологическую, правовую,
финансовую экспертизы, маркетинговые исследования.
Отличительной чертой инвестиционного процесса в
Самарской области в 2012 году явилась активизация предприятий области по
привлечению инвестиций из-за рубежа с использованием такого финансового
инструмента, как торговые кредиты. В результате использования данного
инструмента было привлечено более 60% всех иностранных инвестиций.
Показателен тот факт, что портфельные инвестиции
за 2012 год превышают общий объем портфельных инвестиций, осуществленных за
десятилетний период, начиная с 2002 года (всего - 10,2 млн. долларов США).
Таблица 1. Поступление иностранных инвестиций в
Самарскую область за 2012 год по видам экономической деятельности
За 2011 год произошли некоторые изменения и в
страновой структуре поступивших прямых инвестиций из-за рубежа.
По объему привлеченных иностранных инвестиций
Самарская область по итогам 2011 года занимает первое место в Приволжском
Федеральном округе и 5 место в Российской Федерации.
Рис. 1. Динамика иностранных инвестиций в
Самарской области и ряде регионов ПФО
Тенденции развития иностранных инвестиций. По
данным Консультативного совета по иностранным инвестициям при Правительстве
Российской Федерации, более 80% иностранных инвесторов, уже работающих в
России, заявляют о намерении осуществить дополнительные инвестиции в свои
проекты на территории Российской Федерации и, преимущественно, в регионах.
Рис. 2. География иностранных инвестиций в
Самарскую область за 2011 год
В ближайшей перспективе прогнозируется рост
проектов с иностранным участием в сфере страхования, информационных технологий,
консультационных и управленческих услуг.
Рис. 3. Динамика инвестиций в основной капитал
по двум вариантам развития, в % к 2005 году
Инерционный вариант развития предполагает
закрепление позитивной динамики капитальных вложений с сохранением существующих
тенденций в инвестиционной сфере и не предполагает реализации значительного
числа новых масштабных стратегических проектов. Улучшение инвестиционного
климата в регионе будет носить постепенный, эволюционный характер,
предусматривающий осуществление действующими организациями Самарской области
инвестиционных программ по модернизации и реконструкции действующих производств
и обновлению основных фондов.
Согласно данному варианту основные объемы
капитальных вложений будут осуществляться в индустриальном секторе экономики,
который в настоящее время оказывает определяющее воздействие на развитие
региона и составляет базу экономического роста области в целом -
машиностроении, топливной промышленности, химии и нефтехимии, цветной
металлургии.
Диверсификации экономики Самарской области будет
способствовать развитие новых производств, в частности, черной металлургии.
Инвестиционная деятельность в регионе будет
осуществляться, главным образом, за счет внутренних ресурсов организаций -
прибыли и амортизации.
Тем не менее, развитие финансового сектора
экономики, в том числе банковских и иных кредитных организаций, активизация
деятельности компаний по привлечению дополнительных средств посредством выпуска
облигационных займов, размещения кредитных нот и использования других
механизмов заимствований приведут к расширению кредитования инвестиционных
процессов в регионе. В развитии социально-значимых отраслей по-прежнему
определяющую роль будут играть бюджетные инвестиции (как из федерального, так и
областного бюджетов).
Инновационный вариант базируется на интенсивных
структурных сдвигах в пользу высокотехнологичного и инфраструктурного секторов
экономики и предполагает более значительные объемы капитальных вложений и более
высокие темпы роста по сравнению с вариантом инерционного развития.
Инновационный вариант ориентирован на реализацию
портфеля инвестиционных проектов общенационального и стратегического значения и
реализацию национальных проектов в сфере жилищного строительства,
здравоохранения, образования и сельского хозяйства и предусматривает активное
участие федерального и областного бюджетов в их финансировании.
Использование механизмов частно-государственного
партнерства приведет также к росту инвестиций из внебюджетных источников. В
связи с этим будет осуществляться переход к более прогрессивной модели
финансирования инвестиционного процесса, основанной на активном привлечении
кредитных ресурсов.
Инновационный вариант стратегии основан на
дирижистской модели кластерной экономической политики и ориентирован на
развитие наиболее перспективных секторов экономики Самарской области, способных
оказать мультипликативный эффект в смежных производствах. Для формирования
кластерного инвестиционного портфеля региона проведен анализ кластеров,
сложившихся в регионе, и определены привлекательность и конкурентные
преимущества отдельных секторов экономики в целях формирования новых кластеров.
Кластерные инвестиционные портфели основываются
на оценке темпов промышленного развития и необходимы для выбора приоритетных
инвестиционных проектов и программ и принятия решений о регулировании
инвестиционной деятельности в среднесрочной и долгосрочной перспективе.
Данная таблица 2: Секторальный (кластерный)
инвестиционный портфель Самарской области, будет представлена в приложении.
В настоящее время в секторах экономики Самарской
области, как и в России в целом, не выявлены кластеры-лидеры (по отношению к
крупным региональным или мировым рынкам), которые находились бы на начальных
фазах жизненного цикла (зарождение или рост). Большинство эффективных по
российским меркам секторов, претендующих на кластер, ориентировано на
внутренний рынок и находится между стадиями зрелости и стагнации. Исключение
составляют быстро развивающиеся рынки информационных технологий,
телекоммуникаций, логистики и инноваций, развитие которых будет иметь
мультипликативный эффект для экономики региона. Это является основанием считать
данные сектора экономики зарождающимися кластерами.
В соответствии с матрицами, характеризующими
жизненный цикл, инвестиционную привлекательность и конкурентоспособность
региональных секторов (кластеров) экономики, для каждого из них
предусматривается формирование индивидуальной инвестиционной политики.
Одним из механизмов достижения целей регионального
развития выступают бюджетные инвестиции, направляемые, в первую очередь, на
решение тех задач социального характера, которые не выполняются рынком в
требуемом объеме и качестве.
Их объем в 2012 году составил 9560 млн. рублей
или 14,2% в общем объеме капитальных вложений, осуществляемых за счет всех
источников финансирования. Из общего объема бюджетных инвестиционных ресурсов
15% составляют средства федерального бюджета, 77% - средства областного бюджета
и 8% - средства местных бюджетов.
Важной задачей инвестиционной политики является
привлечение средств федерального бюджета на территорию области.
В перспективе предполагается увеличение притока
инвестиций из федерального бюджета в регион. Этому будут способствовать:
· реализация национальных проектов в сфере
жилищного строительства, образования, здравоохранения и сельского хозяйства;
· деятельность Правительства области
по привлечению средств Инвестиционного фонда Российской Федерации для
реализации стратегических инфраструктурных инвестиционных проектов, обладающих
мультипликативным эффектом;
· активизация усилий по представлению
интересов Самарской области на федеральном уровне и включению в федеральные
целевые программы и федеральную адресную инвестиционную программу региональных
строек и объектов.
Основной частью инвестиций областного бюджета
(81%) являются капитальные вложения областной инвестиционной программы, объем
которой в 2012 году составил 6,0 млрд. руб., увеличившись за последние 5 лет в
1,7 раза.
В долгосрочной перспективе при сохранении сложившихся
пропорций по источникам финансирования бюджетные инвестиции будут расти темпом
в 107 % и достигнут к 2014 году 14,2 млрд. руб., к 2020 году - 48,4 млрд. руб.
Объем областной инвестиционной программы составит, соответственно, 8,8 и 31,8
млрд. руб.
Основными стратегическими направлениями
повышения эффективности капитальных вложений, осуществляемых за счет бюджетных
средств, как механизма реализации стратегии социально-экономического развития
Самарской области, будет внедрение программно-целевого метода, а также
бюджетирования, ориентированного на результат.
Внебюджетные инвестиционные ресурсы являются
основным источником воспроизводственных процессов в экономике Самарской
области.
Для Самарской области характерна преобладающая
(выше средней по Российской Федерации и Приволжскому федеральному округу) доля
внебюджетных средств в общем объеме инвестиций, несмотря на наличие в регионе
крупных организаций, находящихся в федеральной собственности. Это
свидетельствует о значительных инвестиционных возможностях частного сектора
экономики.
Рис. 4. Структура инвестиций в основной капитал
по источникам финансирования в 2012 году
В качестве важнейших источников внебюджетных
инвестиционных ресурсов, которые будут определять масштабы инвестиционной
деятельности в регионе, в рамках настоящей Стратегии рассматриваются:
. Собственные средства организаций. Собственные
средства организаций являются основным источником финансирования инвестиций в
основной капитал в Самарской области - за последние несколько лет их доля
колеблется в пределах от 58 до 69% от общего объема капитальных вложений.
Возможность привлечения и использования на цели
развития собственных средств организаций Самарской области будет зависеть от
системы налогообложения, экономического положения организаций, условий для
деловой активности в регионе, механизмов стимулирования в рамках
инвестиционного законодательства.
. Кредиты банков и заемные средства других
организаций. Структурные преобразования в экономике области предполагают
активное привлечение, концентрацию и перераспределение финансовых ресурсов.
Процесс трансформации сбережений в инвестиции, межотраслевой перелив капитала,
рост инвестиционной привлекательности и экономической безопасности региона в
значительной степени обеспечиваются рациональным использованием всех рычагов и
инструментов финансово-кредитного механизма. В последние годы наблюдается
тенденция возрастания роли кредитных ресурсов в финансировании инвестиционной
деятельности организаций Самарской области. Это является следствием снижения
кредитных рисков в экономике региона, обусловленного, в частности, стабильными
макроэкономическими условиями как в стране в целом, так и Самарской области,
устойчивым финансовым положением кредитуемых организаций региона. В 2012 году
за счет кредитов банков и заемных средств других организаций было
профинансировано 11,6% капитальных вложений крупных и средних организаций
региона, что на 3,8 процентных пункта превышает соответствующий показатель 2011
года.
Финансовые и страховые компании, банки и другие
кредитные организации являются одним из наиболее перспективных источников
внебюджетных инвестиций. Однако, региональный финансовый рынок пока не является
достаточно эффективным, о чем свидетельствует, с одной стороны, большая масса
финансовых ресурсов, сконцентрированных на рынке, и растущая неудовлетворенная
потребность экономики региона в инвестиционных ресурсах, с другой стороны.
. Средства естественных монополистов и крупных
российских финансово-промышленных групп. Важным аспектом развития инвестиционного
процесса в регионе является его достаточно большая зависимость от
инвестиционных решений финансово-промышленных групп (далее - ФПГ), принимаемых
в рамках корпоративной стратегии.
Наличие крупных ФПГ создает возможности для
области потенциально позитивного и негативного характера. ФПГ в состоянии
профинансировать крупные проекты на территории Самарской области. Но также
способны перебросить свои финансовые средства как через трансфертные цены, так
и простой централизацией прибыли в Москву или другие регионы.
Поэтому главной задачей Правительства Самарской
области по данному направлению является организация взаимодействия с ФПГ с
целью достижения сбалансированности государственных и частных интересов,
закрепления социальной ответственности ФПГ по созданию новых или сохранению
существующих рабочих мест и обязательств по проведению мероприятий,
направленных на оздоровление и развитие территории.
. Средства населения. Перспективным источником,
которому должно быть уделено большое внимание, являются средства населения. На
счетах в банках области сосредоточены значительные средства населения - на 1
января 2013 г. размер вкладов составил 65,8 млрд. рублей. Однако в настоящее
время этот источник слабо используется в инвестиционных целях.
. Выпуск в обращение ценных бумаг организаций.
Выпуск в обращение ценных бумаг организации - размещение облигационных займов,
векселей организаций или выпуск акций - является одним из перспективных
источников привлечения инвестиционных ресурсов.
Для реализации этого механизма необходимы
определенные условия - развитие рыночной инфраструктуры, наличие надежных
участников рынка, обеспечивающих хранение и обращение ценных бумаг.
Основным направлением работы здесь является
создание условий для развития фондового рынка Самарской области как одного из
мощнейших инвестиционных механизмов и в качестве первого шага к этому -
достижение реальной открытости и прозрачности компаний для партнеров и
инвесторов.
Правительство Самарской области планирует
применение следующих механизмов инвестиционной политики, воздействующих на
приток внебюджетных инвестиционных ресурсов.
Рис. 5. Механизмы привлечения инвестиционных
ресурсов
Стратегической целью развития инвестиционной
сферы Самарской области является сохранение и укрепление позитивного имиджа
Самарской области, обеспечивающего успешное привлечение инвестиций в основной
капитал в целях устойчивого социально-экономического развития и повышения
конкурентоспособности региона.
Укрепление позиций Самарской области на рынке
инвестиционных ресурсов будет зависеть от мер, предпринимаемых Правительством
Самарской области по улучшению инвестиционного климата региона.
Текущее состояние инвестиционного климата в
Самарской области характеризуется:
· устойчивой позитивной динамикой инвестиций в
основной капитал на протяжении 2008-2012 гг.;
· высокими объемами поступления
иностранных инвестиций в экономику региона;
· реализацией значительного числа
крупных инвестиционных проектов, в том числе с участием иностранного капитала,
оказывающих существенное влияние на экономическое и социальное развитие
Самарской области;
· высокими значениями рейтингов
инвестиционной привлекательности Самарской области среди субъектов Российской
Федерации - 7 место по инвестиционному потенциалу и 20 инвестиционному риску
(по оценке рейтингового агентства "Эксперт РА" за 2011-2012 годы);
· наличием у Самарской области
международных кредитных рейтингов прединвестиционного уровня - "BB-"
(прогноз "позитивный") по шкале "Standard & Poor’s" и
"Bа 2" (прогноз "стабильный") по шкале "Moody’s"
(по состоянию на 27.05.2012);
· наличием прогрессивного
инвестиционного законодательства с широким спектром форм государственной
поддержки.
.2 Анализ отрасли общественного
питания Самарской области и ее инвестиционной привлекательности
Сектор общественного питания
необходимо рассматривать, в первую очередь, как сферу услуг, где больше
половины ценности предлагаемого продукта, должны обеспечивать сервисные
элементы обслуживания. Традиционно считается, что в ресторане стоимость
продуктов питания составляет 20-30% от суммы, указанной в счете, а оставшаяся
часть приходится на закупку продуктов, приготовление блюд, сервировку стола и
дополнительные расходы (парковка, гардероб, туалет и интерьер ресторана и т.
п.). Этот факт очень важно учитывать при выводе на рынок нового заведения.
В период с 2009 по 2011 гг. на рынке
общественного питания Самарской области лидировали сети "Макдоналдс",
"Ростик Групп" и Группа Компаний А. Новикова. Помимо наращивания
годового оборота, в развитии крупнейших сетей большое значение имеет
территориальное расширение и увеличение количества точек. Так, по итогам 2011
г. наибольшей сетью обладала компания "Маркон" ("Стардог!s) - в
этот период количество точек приблизилось к уровню 200 ед., а в начале 2012 г.
он был преодолен.
Таблица 3. Рост сетей -
крупнейших операторов рынка общественного питания Самарской области в
натуральном и процентном выражении к 2010 г.
|
Сеть
|
Рост
сети по кол-ву точек, 2011 г.
|
Рост
сети в %
|
Рост
сети по кол-ву точек, 2012 г.
|
Рост
сети в %
|
|
"Крошка-Картошка"
|
47
|
31,7
|
4
|
2,6
|
|
"Шоколадница"
|
43
|
113,1
|
8
|
21,1
|
|
"Кофе
Хаус"
|
36
|
42,8
|
10
|
11,6
|
|
"Теремок-русские
блины"
|
35
|
56,5
|
10
|
15,9
|
|
Sbarro
|
32
|
54,2
|
7
|
11,7
|
|
"Планета
суши"
|
20
|
62,5
|
3
|
9,1
|
|
McDonald's
|
18
|
12,6
|
1
|
0,7
|
|
"Чайная
ложка" (Петербург)
|
14
|
46,6
|
4
|
12,9
|
|
"Баскин-Роббинс"
|
14
|
11,6
|
0
|
0
|
|
"Елки-Палки"
|
10
|
25,6
|
4
|
9,8
|
|
IL
Патио
|
8
|
16
|
1
|
1,9
|
|
"Ростик'с-KFC"
|
8
|
8,9
|
6
|
5,9
|
|
"Стардог!s"
|
5
|
2,6
|
6
|
3,1
|
Одним из существенных факторов,
влияющих на уровень концентрации в индустрии общественного питания города и на
поведение предприятий индустрии, является наличие и высота барьеров входа.
Под барьерами входа в индустрию
общественного питания мегаполиса понимают факторы и обстоятельства правового,
организационного, технологического, экономического, финансового характера,
препятствующие новым предприятиям вступить в индустрию и на равных
конкурировать с уже действующими на нем субъектами.
Основным барьером выхода из
индустрии общественного питания является низкая ликвидность активов
предприятия. Можно, однако, сказать, что барьеры выхода из индустрии
общественного питания представляют дополнительное препятствие для входа новых
предприятий в индустрию, т.е. по существу разновидность барьеров входа.
Барьеры входа могут быть
обусловлены особенностями индустрии общественного питания мегаполиса
(технология ресторанного производства, стартовые и текущие затраты, объем
спроса, зрелость и развитость индустрии, тип конкуренции) либо поведением
предприятий - ресторанов, уже действующих в индустрии (включая антиконкурентные
действия и соглашения). Большое значение имеют также барьеры входа, связанные с
действием таких факторов, как сужение географических границ индустрии
общественного питания мегаполиса вследствие роста транспортных издержек,
возрастание международной конкуренции в условиях ограниченного спроса.
С точки зрения последствий для
развития индустрии общественного питания мегаполиса наиболее негативны
административные барьеры. Они основаны на различных действиях органов
государственной власти всех уровней по регулированию экономики, включая
налоговую, тарифно-таможенную политику, лицензирование отдельных видов
деятельности, государственную помощь субъектам индустрии общественного питания
мегаполиса, распределение бюджетных средств на закупки для государственных
нужд. Также автором выделен ряд поведенческих барьеров.
Особенностью российской
экономики является отсутствие полноценных информационной, финансовой и правовой
инфраструктур индустрии общественного питания, создающих в развитых странах
необходимую среду для эффективной конкуренции. Наличие этих институтов способно
значительно повысить инвестиционную привлекательность и потенциал индустрии
общественного питания мегаполиса.
Рис. 6. Инфраструктура
индустрии общественного питания города, влияющая на величину ее потенциала
Наибольшую долю рынка общественного питания
области занимает г. Самара. На нее приходится около 20% оборота всех
предприятий общественного питания Самарской области. В 2011 г. объем самарского
рынка увеличился более чем на 20,5% и достиг 79,9 млн. руб. В 2012 г. объем
рынка общественного питания Самары превысил 93 млн. руб.
Таблица 4. Сравнительная характеристика
сегментов рынка общественного питания Самары в 2011 г., представлена в
приложении.
Рис. 7. Оборот рынка общественного питания г.
Самара (млн. руб.) в 2011-2012 гг.
По итогам 2012 г. объем рынка общественного
питания увеличился в фактических ценах на 19,6%. Без инфляционной составляющей
это превышает показатель предыдущего года на 7,6%.
Годовой оборот рынка общественного питания
Самарской области в 2011 г. составил 397,5 млн. руб., что на 27,2% больше, чем
в 2010 г. В 2009-2010 гг. рост составил около 11%, в то время как в 2008 г.
показатель роста был заметно ниже и находился на уровне 6%.
Предприятие общественного
питания - предприятие, предназначенное для производства кулинарной продукции,
мучных кондитерских и булочных изделий, их реализации и (или) организации
потребления. Следуя данному определению, в Самарской области всего
насчитывается около 10 000 предприятий общепита.
Рис. 8. Динамика рынка общественного питания г.
Самара (количество точек) в 2009-2011 гг.
В целом, важными событиями 2011 г. на рынке
общественного питания стали приход иностранных инвестиций и международных
брендов, задающих новые стандарты в производственных технологиях и обслуживании
потребителей. Так, например, выход Starbucks
(на июль 2012 г. сеть насчитывала 6 кофеен), Costa
Cofee (открыто 3 кофейни
и будет ребрендировано 7 в Самарской области и 13 в России), бельгийская сеть
кофеен LPQ, сеть
быстрого обслуживания Quick.
Активно развивались сегменты демократичных
мясных и рыбных концепций, новые формы обслуживания потребителей в виде предложений
утренних завтраков, бизнес-ланчей, детского меню, обслуживание клиентов в
корпоративном сегменте, все это придало особый динамизм отрасли в последнее
время.
Рис. 9. Динамика рынка общественного питания г.
Самары в 2009-2011 гг., рост в %
В 2012 г. рестораторы заработали более 500 млн.
руб., что превысило показатель предыдущего года на 36,6%. Если выделить
инфляционную составляющую в этом объеме, то темпы прироста будут порядка 22,9%.
Вместе с тем, среднедушевые затраты на
ресторанные услуги в России значительно ниже аналогичных показателей не только
развитых, но и развивающихся стран. К примеру, в 2012 г. среднедушевые затраты
на питание вне дома составили менее 4 тыс. руб. на одного человека в год. Это
значительно меньше, чем в США (38 тыс. руб. на 2011 г.), Франции (25 тыс. руб.
на 2011 г.) и Германии (12 тыс. руб. на 2011 г.) Подобное отставание
показателей России свидетельствует о высоком потенциале ресторанного рынка и
его недостаточной насыщенности.
Заполненность рынка общепита оценивается
экспертами в 30-40%, что объясняет рост и в то же время усиление конкуренции.
Среди новых участников все чаще встречаются профессионалы ресторанного бизнеса,
что приводит не только к росту, но и к обострению конкуренции на рынке. Тем не
менее, следует отметить, что только для 40-45% владельцев ресторанов, баров,
кафе этот бизнес является приоритетным. Таким образом, за счет расширения сети
предприятий общественного питания растет и концентрация на данном рынке.
Таким образом, основной вклад в развитие рынка
Самарской области вносят предприятия демократичного сегмента: кофейни,
демократичные рестораны, пбо, в то время как рестораны высокой кухни
стагнируют. Так, в 2012 г. объем сегмента премиальных ресторанов на рынке
увеличился на 7,0%, что обусловлено исключительно инфляцией. В сопоставимых же
ценах объем сегмента уменьшился почти на 4%.
Таблица 5. Концентрация рынка (2009-2011 гг.)
(по сегментам, %)
|
Категории
|
2009
|
2010
|
2011
|
|
Предприятия
быстрого обслуживания
|
81
|
83
|
84
|
|
Кофейни
|
46
|
49
|
53
|
|
Предприятия
быстрого питания
|
13
|
15
|
17
|
|
Предприятия
питания среднего класса
|
12
|
16
|
20
|
Предпосылкой такой ситуации является то, что на
протяжении первой половины 1990-х гг. безусловными лидерами рынка были киоски и
палатки, а также дорогие рестораны. И это соответствовало структуре
платежеспособности общества, представленной как малообеспеченными
потребителями, так и зарождающимся средним классом. последовавший
продолжительный экономический рост в стране, повысил благосостояние и жизненный
уровень среднего класса, который начал активно потреблять товары и услуги в
определенных сегментах. В ближнесрочной же перспективе ситуация не изменится -
доля демократичных заведений в структуре рынка общественного питания будет
только увеличиваться.
Определим сегменты общественного питания
Самарской области, имеющие потенциал развития: фаст-фуд, кофейни, кондитерские,
пивные, спорт-бары, кейтеринг, т.е. в основном рестораны среднего ценового
сегмента и предприятия с низким средним чеком и ценами.
Тенденцией последних 2-3 лет стало создание
ресторанных мультикомплексов. Для России эта идея нова, но для зарубежных стран
она привычна. Такое решение, в первую очередь, связано со стремлением компаний
снизить стоимость аренды, однако такие заведения позволяют снизить и расходы на
маркетинг и рекламу, и дают возможность проверить в работе новую концепцию,
предлагая ее в числе других, уже популярных концепций. Практика
свидетельствует, что по сравнению с размещением точек общественного питания в
ресторанном дворике торгового центра, открытие мультикомплекса позволяет
сократить инвестиционные и операционные затраты примерно на 20%. Потенциал
Самары специалисты оценивают примерно в 3-5 комплексов, поэтому вероятность
развития компаний по такому сценарию также существует наравне с выходом в
спальные районы. Особенно актуальным подобное решение является в условиях
снижающейся инвестиционной и покупательской способности на рынке общественного
питания, а также инфраструктурного обеспечения комплексного развития нескольких
форматов ресторанной индустрии.
Поскольку специфика предприятий общественного
питания состоит в производстве, реализации, организации потребления продукции
собственного производства и покупных товаров, организации досуга населения с
помощью оказания услуг, то важнейшими критериями экономической эффективности
предприятия общественного питания, по нашему мнению, являются: эффективность
использования ресурсов, результативность деятельности предприятия, конкурентное
положение предприятия; критериями социальной эффективности - качество
производственной деятельности, качество сервиса, качество обслуживания.
Рис. 10. Критерии эффективности предприятий
общественного питания
Важнейшим вопросом в повышении качества решений
в отношении развития предприятий индустрии общественного питания является
разработка алгоритма формирования сбалансированной системы ключевых показателей
эффективности. Прежде всего, необходимо обозначить цели
производственно-хозяйственной деятельности предприятия индустрии общественного
питания на уровне его руководства, на уровне филиалов предприятия, а также на
уровне отдельных подразделений предприятия. Соответственно этим целям
обозначаются, исходя из компетенции руководства и ресурсного потенциала
подразделений и филиалов, ключевые показатели эффективности.
Показатели эффективности сгруппированы в блоки,
позволяющие оценивать экономические и социальные аспекты деятельности
предприятия индустрии общественного питания.
На базе рассмотрения каждого блока, как относительно
обособленной системы, предложим совокупность аналитических показателей и
методику их преобразования в синтетические показатели, позволяющие выявить
причинно-следственные связи и степень влияния на эффективность предприятия
общественного питания. Данная система показателей обеспечивает диагностику
текущего состояния предприятия индустрии общественного питания, что служит
основой для принятия управленческих решений, направленных на повышение
эффективности.
Таблица 6. Методика оценки эффективности предприятия
общественного питания
|
Наименование
блока
|
Показатели
эффективности хозяйствующего субъекта
|
|
Экономическая
эффективность предприятия
|
|
1.
Эффективность использования ресурсов (Эр)
|
1.1
Коэффициент изменения уровня издержек (I(И)) 1.2
Коэффициент изменения фондоотдачи (I(Ф)) 1.3
Коэффициент изменения оборачиваемости оборотных средств (I(ОС))
|
|
2.
Результативность деятельности предприятия общественного питания (Эрп)
|
2.1
Коэффициент роста розничного оборота предприятия (I(ООП)) 2.2
Коэффициент рентабельности оборота (I(R)) 2.3
Коэффициент рентабельности валового дохода (I(RВД))
|
|
3.
Конкурентное положение предприятия (Экп)
|
3.1
Коэффициент соотношения уровня рентабельности оборота к среднему по
территории (КR) 3.2 Индекс уровня цен (КЦ) 3.3
Доля рынка (КДР)
|
|
Социальная
эффективность предприятия
|
|
1.
Качество производственной деятельности (Экпд)
|
1.1
Коэффициент удовлетворенности качеством продукции (I(КП)) 1.2
Коэффициент удовлетворенности широтой ассортимента продукции (I(ША)) 1.3
Коэффициент удовлетворенности обновляемостью ассортимента продукции (I(ОА))
|
|
2.
Качество сервиса (Экс)
|
2.1
Коэффициент удовлетворенности качеством сервиса (I(КС)) 2.2
Коэффициент удовлетворенности номенклатурой услуг (I(НУ)) 2.3
Коэффициент удовлетворенности временем обслуживания (I(ВО))
|
|
3.
Качество обслуживания (Эко)
|
3.1
Коэффициент удовлетворенности атмосферой предприятия (I(АТМ)) 3.2
Коэффициент удовлетворенности режимом работы предприятия (I(РР)) 3.3
Коэффициент удовлетворенности уровнем рекламно-информационной работы (I(РИ))
|
Для расчета комплексных коэффициентов
экономической и социальной эффективности предприятия общественного питания
рекомендуется поэтапный расчет коэффициентов по каждому блоку в отдельности.
Исходя из предлагаемой комплексной оценки
эффективности предприятия общественного питания, выделим следующие уровни
эффективности предприятия:
а) абсолютно эффективное предприятие - это
теоретическая модель предприятия, которая на рынке использует максимально
продуктивно свой совокупный потенциал, приспосабливая его к окружающей среде,
что подтверждается значением интегральных показателей экономической и
социальной эффективности в рамках 1-0,99;
б) высоко эффективное предприятие индустрии
общественного питания - это хозяйствующий субъект, который наиболее полно
реализует свою рыночную политику, занимает на данном рынке лидирующее
положение, получает наибольшее признание потребителей, способен развиваться в
долгосрочном периоде. Его интегральные показатели экономической и социальной
эффективности 0,98-0,85;
в) эффективное предприятие индустрии
общественного питания - это хозяйствующий субъект, занимающий на данном рынке
достаточно устойчивое положение, способный противостоять конкурентным силам в
сфере реализации своих интересов и быть востребованным в течение среднесрочного
периода (до 5 лет). Его интегральные показатели экономической и социальной
эффективности 0,84-0,70;
г) низкоэффективное предприятие индустрии
общественного питания - это хозяйствующий субъект, который не способен активно
противостоять конкурентам, не вносит существенные изменения в свою
деятельность, низко рентабельное. Угроза вытеснения его с рынка охватывает
период от 1 до 3 лет. Его интегральные показатели экономической и социальной
эффективности ниже 0,70-0,55;
д) неэффективное предприятие индустрии общественного
питания - не соответствует требованиям рынка, имеет низкую эффективность
хозяйственной деятельности, не имеет возможности развиваться, находится в зоне
существенного хозяйственного и коммерческого риска. Интегральная оценка
конкурентоспособности ниже 0,55.
Преимущество представленной методики: получение
частных и интегральных показателей по каждому блоку дает возможность выявить
резервы или достижения в сфере важнейших направлений деятельности предприятия
общественного питания, а на этой основе подтвердить, скорректировать или
коренным образом изменить управление по каждому направлению деятельности.
Данная методика позволяет быстро и объективно получить картину эффективности
предприятия общественного питания, базируется на доступной информации и адекватна
уровню подготовки и квалификации менеджеров.
Из функционирующих в индустрии общественного
питания г. Самары предприятий общедоступной сети по состоянию на 01.11.2012 г.
выбрано 210 предприятий. При этом в их число были включены предприятия,
охватывающие своей деятельностью значительную территорию города, представляющие
репрезентативную выборку. Полученные результаты подтверждают универсальность
методики и возможность ее использования при разработке стратегии обеспечения
инфраструктурного развития общественного питания и предприятия индустрии.
Анализируя итоговые данные, можно отметить, что
наиболее высокие коэффициенты как социальной, так и экономической эффективности
наблюдаются у таких типов предприятий, как ресторан, бар, кафе-закусочные в
центральной зоне города. Эффективные предприятия сосредоточены в средней зоне
города. Наименьшей эффективностью обладают столовые, закусочные в периферийной
зоне столицы.
Таблица 7.Оценка эффективности предприятий
общественного питания г. Самары, представлена в приложении.
Рынок ресторанной недвижимости Самары находится
в сравнительно спокойном состоянии - нет ажиотажного спроса, как и выгодного
предложения, хотя ситуация постоянно меняется - сам ресторанный бизнес сильно
зависит от краткосрочных колебаний конъюнктуры и весьма изменчив. При этом
рынок ресторанов не заполнен приблизительно на 20%, массированного роста
предложения ресторанных площадей не случится - большинство игроков рынка в этом
не заинтересовано. Еще одна причина тому - имеющийся, несмотря на недостаточное
количество ресторанов, дефицит помещений, отвечающих предъявляемым к ним
требованиям. Рынок ресторанов в основном сложился, и резких изменений на нем в
ближайшее время не предвидится. Конкуренция за качественные помещения в
Центральном деловом районе будет расти, в окраинных районах - снижаться
благодаря новому предложению площадей.
Выделим основные принципы
управления инвестиционной привлекательностью индустрии общественного питания
Самарской области. Первый - принцип создания потенциала для роста инвестиционной
привлекательности предприятий индустрии общественного питания мегаполиса;
второй - принцип разработки стратегии роста конкурентоспособности индустрии;
третий - принцип формирования инфраструктурной поддержки процесса развития
индустрии; четвертый - принцип своевременного и достаточного ресурсного
обеспечения индустрии общественного питания.
На основе выделенных принципов
разработаем модель рационального использования потенциала индустрии
общественного питания Самарской области, в основе которой лежат:
1) спецификация целей использования ресурсов;
) оценка состояния дел на предприятии индустрии
общественного питания и описание выявленных процессов;
) формирование программы перспективного развития
индустрии общественного питания;
4) оценка имущества по рыночной
стоимости.
В рамках разрабатываемой модели
рационального использования потенциала инфраструктуры индустрии общественного
питания особенную актуальность представляет перепроектирование внутренней
структуры управления процессом развития исследуемой сферы. Данная модель
представлена на рис. 11.
Рис. 11. Модель рационального
использования потенциала инфраструктуры индустрии общественного питания
Необходима принципиальная структура системы
управления рисками в ресторанах, базирующаяся на трех основных элементах:
· создание критериев управления рисками;
· идентификация (распознавание) рисков
ресторанного бизнеса, их оценка и измерение;
· мероприятия по оптимизации рисков.
В целом для ресторанного бизнеса с учетом
перспектив развития его инфраструктурного обеспечения можно выделить следующий
алгоритм построения системы управления рисками.
) создание в центральном офисе предприятия
общественного питания подразделения, курирующего вопросы управления рисками;
) заказчики процесса управления рисками;
) формирование организационной структуры;
) разработка политики в области управления
рисками;
) создание карты рисков ресторана;
) обеспечение финансирования рисков, разработка
механизма хеджирования рисков;
) разработка стратегии по управлению рисками;
) создание механизмов для оперативного
управления рисками;
) построение системы мониторинга процесса
управления рисками.
По прогнозам, к 2014 г. объем рынка
общественного питания превысит 110 млн. рублей, что подтверждает высокий
потенциал развития индустрии общественного питания Самарской области. В целом
рынок общественного питания в среднесрочной перспективе ждет замедление в
развитии. Это обусловлено тем, что потребительские предпочтения посетителей
элитных ресторанов постепенно смещаются в пользу более демократичных по цене
заведений. инвестиционный отрасль алгоритм excel
Таким образом, отрасль общественного питания в
Самарской области обладает значительной инвестиционной привлекательностью в
связи с недостаточным уровнем ее развития.
3. Практическая часть
-й год - 95 000 тыс. руб.;
-й год - 135 000 тыс. руб.;
-й год - 185 000 тыс. руб.;
-й год - 240 000 тыс. руб.
По оценкам экспертов, безрисковая коммерческая
норма требуемой доходности составляет 10%, премия за риск неполучения дохода не
по вине инвестора составит 5 процентных пункта. Требуется:
а) обосновать ставку дисконтирования для оценки
проекта;
б) оценить проект по показателям чистого
дисконтированного дохода (NPV) и индексу рентабельности.
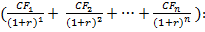
NPV = 
r = 
+
r = 10 + 5 =
15%= 
тыс.руб.
= (
I
PI=
а) т.к. коммерческая норма требуемой
доходности составляет 10%, премия за риск неполучения дохода не по вине
инвестора составит 5 процентных пункта, следовательно суммируются данные ставки
и
r = 10 + 5 =
15%
б) По результатам расчетов, NPV проекта
составляет

тыс.руб. NPV>0,
проект принимается.
Задача 2. Инвестиционный
проект генерирует следующий поток денежных средств:
тыс. руб., 4780 тыс. руб., 5160 тыс.
руб., 2300 тыс. руб., 5900 тыс. руб., 63454 тыс. руб. Оцените проект по
показателям простого и дисконтированного сроков окупаемости, если цена
инвестируемого капитала - 11%.
|
Показатели
|
Значение
показателя
|
|
0
|
1
|
2
|
3
|
4
|
5
|
|
Чистый
доход
|
-8700
|
4780
|
5160
|
2300
|
5900
|
63454
|
|
Сальдо
чистого дохода
|
-8700
|
-3920
|
1240
|
3540
|
9440
|
72894
|
|
Дисконтируемый
множитель
|
1,00
|
0,9
|
0,81
|
0,73
|
0,65
|
0,59
|
|
Дисконтируемый
чистый доход
|
-8700
|
4302
|
4179,6
|
1679
|
3835
|
37437,8
|
|
Сальдо
дисконтированного дохода
|
-8700
|
-4398
|
-218
|
1460,6
|
5295,6
|
42733,4
|
X = 
PP =
1+0,75=1,75 года
R= 11%
X = 
DPP = 2+0,1=
2,1года
Простой срок окупаемости равен 1,75
года, а показатель дисконтированного сроков окупаемости равен 2,1года.
Задача 3. Предприятие
реализует проект технического перевооружения производства. Для его
осуществления необходимы капитальные вложения в размере 3635 тыс. руб.. Проект
приносит доход, начиная с первого года осуществления, в следующих суммах: 980
тыс. руб., 1450 тыс. руб., 1780 тыс. руб., 3450 тыс. руб., 4250 тыс. руб.
Стоимость инвестируемого капитала - 12%. Требуется:
рассчитать динамические показатели
оценки экономической эффективности проекта: чистый дисконтируемый доход, индекс
рентабельности инвестиций и внутреннюю норму доходности.
NPV = 
NPV = 
тыс.руб.
PI = 
I
PI = 


= 
тыс.руб.
IRR = 0,5 - 
NPV=
тыс.руб. >0, проект принимаем
PI=2,17
IRR=4,45%
Заключение
Таким образом, в основе программы Альт-Инвест
лежат западные методики финансового анализа, поэтому она достаточно понятна
специалистам, а использование в качестве базы MS Excel позволяет самостоятельно
расширять и дорабатывать базовые алгоритмы. Поскольку Альт-Инвест был первым решением
в среде Excel, программа достаточно популярна среди сотрудников банков, которые
создавали на ее базе собственные решения для анализа проектов.
С помощью программного продукта
"Альт-Инвест" разрабатываются финансовые разделы ТЭО и бизнес-планов,
сравниваются альтернативные варианты реализации инвестиционных проектов,
оптимизируются схемы финансирования и другие условия инвестиций.
"Альт-Инвест" используется для обоснования проектов модернизации,
технического перевооружения, выпуска новых видов продукции на промышленных
предприятиях, инвестиций в сфере строительства, внедрения новых технологий.
Отличительной чертой инвестиционного процесса в
Самарской области в 2012 году явилась активизация предприятий области по
привлечению инвестиций из-за рубежа с использованием такого финансового
инструмента, как торговые кредиты. В результате использования данного
инструмента было привлечено более 60% всех иностранных инвестиций.
Выделим основные принципы
управления инвестиционной привлекательностью индустрии общественного питания
Самарской области. Первый - принцип создания потенциала для роста
инвестиционной привлекательности предприятий индустрии общественного питания
мегаполиса; второй - принцип разработки стратегии роста конкурентоспособности
индустрии; третий - принцип формирования инфраструктурной поддержки процесса
развития индустрии; четвертый - принцип своевременного и достаточного
ресурсного обеспечения индустрии общественного питания.
По прогнозам, к 2014 г. объем рынка
общественного питания превысит 110 млн. рублей, что подтверждает высокий
потенциал развития индустрии общественного питания Самарской области. В целом
рынок общественного питания в среднесрочной перспективе ждет замедление в
развитии. Это обусловлено тем, что потребительские предпочтения посетителей
элитных ресторанов постепенно смещаются в пользу более демократичных по цене
заведений.
Таким образом, отрасль общественного питания в
Самарской области обладает значительной инвестиционной привлекательностью в
связи с недостаточным уровнем ее развития.
Библиографический список
1. Беренс В., Хавраиек П.
Руководство по оценке эффективности инвестиций. - М.: Интерэксперт, 2011.
2. Бирман Г., Шмидт С.
Экономический анализ инвестиционных проектов. - М.: Банки и биржи, ЮНИТИ, 2012.
. Бланк И.А. Основы
инвестиционного менеджмента. - К.: Эльга - Н, 2011.
. Ковалев В.В. Экономическая
оценка инвестиций. - М.: Финансы и статистика, 2012.
. Шарп У., Александер Г.,
Бэйли Дж. Инвестиции. - М.: ИНФРА-М, 2009.
6. Абрамова Е. Структурная модель
общественного питания и анализ современных трендов его развития в Самаре //
Экономические науки. - 2012. - №3.
7. Авдеев А.
Теоретико-методологические основы индустрии общественного питания в сфере
потребительского рынка и услуг города // Экономические науки. - 2012. - №5.
. Баранов О. Особенности
структуры рынка общественного питания и анализ современных трендов его развития
в Самарском регионе // Экономические науки. - 2013. - №1.
. Валеева И. Инвестиционная
привлекательность города для развития ресторанной индустрии // ЭКО. - 2012. -
№4.
. Гриднева Е. Современные
подходы к формированию концепций ресторанов и фуд-кортов: развитие ресторанного
бизнеса в регионах // Маркетинговые исследования. - 2012. - №12.
. Думнова Р. Инвестиционная
привлекательность регионального рынка общественного питания // Общественное
питание: состояние и перспективы развития". - 2012. - №9.
. Парамонов А. Структура
рынка общественного питания г. Самары: анализ, тенденции, прогнозы //
Общественное питание: состояние и перспективы развития". - 2012. - №11.
. Официальный сайт
Министерства экономического развития, инвестиций и торговли Самарской области
// http://www.economy.samregion.ru/ programm/
strategy_programm/social_no_ekonomicheskoe_razvi/
. Официальный сайт
Территориального органа Федеральной службы государственной статистики по
Самарской области // http://www.samarastat.ru/default.aspx
Приложение
Таблица 2. Секторальный (кластерный)
инвестиционный портфель Самарской области
|
Долгосрочная
инвестиционная привлекательность
|
Высокая
|
"Звезды"
- перспективные секторы (кластеры) в условиях роста и прибыли; первоочередные
адресаты для инвестиций -
СТРОИТЕЛЬСТВО И ПРОИЗВОДСТВО СТРОИТЕЛЬНЫХ МАТЕРИАЛОВ (СТРОИТЕЛЬНЫЙ СЕКТОР) -
ХИМИЧЕСКОЕ ПРОИЗВОДСТВО - ТЕЛЕКОММУНИКАЦИИ -ПРОИЗВОДСТВО ПИЩЕВЫХ ПРОДУКТОВ
Инвестиционная стратегия: - рациональное размещение доступных ресурсов для
модернизации производственных мощностей;
-
выработка стимулирующих мер, способствующих притоку внебюджетных инвестиций;
- использование индивидуального инвестиционного подхода для каждого
отдельного ключевого сектора или производства.
|
"Знаки
вопроса" - секторы (кластеры), требующие крупных инвестиций, чтобы стать
конкурентоспособными -
АВИАЦИОННО-КОСМИЧЕСКИЙ - МЕТАЛЛУРГИЧЕСКИЙ - ТРАНСПОРТНО-ЛОГИСТИЧЕСКИЙ -
ИННОВАЦИОННО-ВНЕДРЕНЧЕСКИЙ - РЕКРЕАЦИОННО-ТУРИСТИЧЕСКИЙ Инвестиционная стратегия: - комплексная
государственная поддержка; - применение программно-целевого подхода; -
тщательная оценка рисков.
|
|
Между
низкой и средней
|
"Дойные
коровы" - секторы (кластеры), достигшие высокой степени зрелости,
генерирующие значительные ресурсы для экономического развития и национального
инвестирования (в основном через экспорт).
-
АВТОМОБИЛЬНЫЙ - НЕФТЕХИМИЧЕСКИЙ - ТОПЛИВНО-ЭНЕРГЕТИЧЕСКИЙ Инвестиционная стратегия: - выработка
стимулирующих мер, способствующих притоку внебюджетных инвестиций; -
государственная поддержка сопутствующих отраслей (поставщиков и
потребителей).
|
"Трудные
дети" - секторы (кластеры) с низкими конкурентными преимуществами в
глобальном масштабе (зрелый бизнес) - СЕЛЬСКОЕ
ХОЗЯЙСТВО - ЖИЛИЩНО-КОММУНАЛЬНОЕ ХОЗЯЙСТВО
Инвестиционная
стратегия: -
комплексная государственная поддержка, в т.ч. государственное субсидирование,
пакетный принцип государственных преференций; - применение
программно-целевого подхода и государственно-частного партнерства; - снижение
зависимости от импорта.
|
|
Высокое
|
Между
низким и средним
|
|
Относительное
конкурентное преимущество инвестиционных проектов
|
Таблица 4. Сравнительная характеристика
сегментов рынка общественного питания Самары в 2011 г.
|
Сегмент
|
Примерное
количество точек
|
Годовой
оборот сегмента, млн. долл. США
|
Насыщенность
сегмента, количество заведений на 100 тыс. человек
|
Эффективность
|
Темпы
роста в 2010 г., %
|
|
|
|
|
Объем
вложений, тыс. долл.
|
Окупаемость,
лет
|
|
|
Классические
рестораны
|
2
550
|
150-200
|
2,45
|
100-1000
|
1,5-2
|
10,12
|
|
Фаст-фуд,
из них:
|
Около
9 000
|
350
- 480
|
8,6
|
|
|
|
|
-стационарные
точки
|
5
000
|
180-210
|
4,8
|
30-500
|
1,5-3
|
20
|
|
-мобильные
точки
|
4
000
|
90-120
|
3,8
|
1
400-10 000
|
0,3-0,6
|
|
|
Кофейни
|
100-120
|
11
|
0,7
|
20-60
|
02.апр
|
-
|
|
Бары/пабы/трактиры
|
1
000
|
50-70
|
0,96
|
180-500
|
0,5-1,5
|
-
|
|
Кейтеринг
|
500
|
50
|
0,05
|
10-100
|
1,5-2
|
15
|
|
Рынок
в целом
|
Более
10 000
|
560-630
|
|
|
|
20
|
Таблица 7. Оценка эффективности предприятий
общественного питания г. Самары
|
Тип
предприятия общественного питания
|
Количество
предприятий
|
Коэффициент
эффективности
|
|
|
Кээп
|
Ксэп
|
Кээп
|
Ксэп
|
Кээп
|
Ксэп
|
Кээп
|
Ксэп
|
|
|
0,99-0,85
|
0,84-0,70
|
0,70-0,55
|
Ниже
0,55
|
|
Рестораны
|
32
|
11
|
5
|
21
|
27
|
-
|
-
|
-
|
-
|
|
Бары
|
29
|
3
|
2
|
17
|
14
|
9
|
10
|
-
|
3
|
|
Кафе
|
62
|
5
|
4
|
39
|
22
|
17
|
26
|
1
|
10
|
|
Закусочные
|
29
|
-
|
-
|
10
|
3
|
16
|
6
|
3
|
20
|
|
Предприятие
быстрого обслуживания
|
26
|
-
|
-
|
16
|
6
|
10
|
12
|
-
|
8
|
|
Евростоловые
|
32
|
-
|
-
|
8
|
2
|
18
|
13
|
6
|
17
|
|
Итого
|
210
|
19
|
11
|
111
|
74
|
70
|
69
|
10
|
58
|