Тенденции развития рынка труда в условиях становления рыночной экономики

  • Вид работы:
    Курсовая работа (т)
  • Предмет:
    Эктеория
  • Язык:
    Русский
    ,
    Формат файла:
    MS Word
    296,89 Кб
  • Опубликовано:
    2014-07-04
Вы можете узнать стоимость помощи в написании студенческой работы.
Помощь в написании работы, которую точно примут!

Тенденции развития рынка труда в условиях становления рыночной экономики

МИНИСТЕРСТВО ОБРАЗОВАНИЯ РЕСПУБЛИКИ БЕЛАРУСЬ

МИНИСТЕРСТВО ОБРАЗОВАНИЯ И НАУКИ

РОССИЙСКОЙ ФЕДЕРАЦИИ

ФЕДЕРАЛЬНОЕ АГЕНСТВО ПО ОБРАЗОВАНИЮ

ГОСУДАРСТВЕННОЕ УЧРЕЖДЕНИЕ

ВЫСШЕГО ПРОФЕССИОНАЛЬНОГО ОБРАЗОВАНИЯ

«БЕЛОРУССКО-РОССИЙСКИЙ УНИВЕРСИТЕТ»

Кафедра экономики



КУРСОВАЯ РАБОТА

по дисциплине «Макроэкономика»

на тему: «Тенденции развития рынка труда в условиях становления рыночной экономики»

Выполнил (а): студ. гр. ФК-121

А.С. Мышковская

Руководитель: доцент, канд. экон. наук

С.Н. Гнатюк





Могилёв 2013

Введение

Становление рыночной системы хозяйствования неизбежно связано с обострением проблем размещения и использования трудовых ресурсов, поэтому изучение рынка труда является одной из актуальнейших задач современной науки. Особенностью рынка труда является то, что рабочая сила здесь становится объектом купли-продажи.

Пока еще на отечественном рынке труда не работают многие рыночные регуляторы, которые действуют в развитых странах. Практика показывает, что без разработки мер государственного воздействия на рынок труда невозможно обеспечить повышение эффективности экономики. Во всех странах с развитой рыночной экономикой рынок рабочей силы является регулируемым. Государство не только определяет величину налогов на доход предприятий, минимальную заработную плату, но и порядок индексации зарплаты в соответствии с темпами инфляции. Регулирующая роль государства приобретает ещё большую значимость в период формирования полноценных рыночных механизмов, когда государство должно стать главным регулятором занятости в сфере трудовых отношений. Так же, в условиях, когда основные отрасли экономики испытывает большие трудности с обеспечением квалифицированной рабочей силой, наиболее полное использование имеющегося трудового потенциала - важнейшие условие повышения эффективности всего общественного производства

Выбранная мной тема курсовой работы весьма актуальна для любого гражданина страны, т.к. рынок труда является необходимым и неотъемлемым элементом экономики любого развитого государства.

Рынок труда - общественно-экономическая форма движения рабочей силы, при которой рабочая сила обращается как товар, т.е. продается и покупается в соответствии с законами рыночной экономики.

У. Петти, А. Смит, Д. Рикардо, К. Маркс, Дж. Б. Кларк, А. Маршалл, Дж.М. Кейнс, Г. Беккер внесли большой вклад в развитие рынка труда.

Целью данной курсовой работы является изучение рынка труда, его состояние и перспективы развития, особенности функционирования в Республике Беларусь.

В соответствии с поставленной целью можно определить следующие задачи:

* изучить теоретические основы рынка труда, сущность и его функции;

* раскрыть механизм и содержание процессов регулирования рынка труда в русле существующей научной традиции и логики научного знания, определить условия оптимальной реализации человеческого потенциала на белорусском рынке труда;

* исследовать современный рынок труда с учётом особенностей расширенного воспроизводства рабочей силы в Республике Беларусь и реализации технологий социальной поддержки населения;

* изучить основные направления реализации государственной политики на рынке труда;

Объектом исследования в данной работе выступают социальные механизмы регулирования современного регионального рынка труда. Предметом курсовой работы является тенденции развития рынка труда.

В работе использованы научные работы Вечканова Г.С., Лемешевского И.М., Базылева Н.И., Плотницкого М.И., информация Министерства труда и социальной защиты Республики Беларусь, Национального статистического комитета Республики Беларусь, применялись источники СМИ в глобальной сети Интернет.

1. Теоретические основы рынка труда

.1 Понятия рынка труда

Рынок труда - совокупность экономических отношений по поводу купли-продажи специфического товара - рабочей силы; рынок, на котором совершается обмен труда на заработную плату.

На рынке труда формируются спрос, предложение и цена на рабочую силу и, следовательно, на трудовые услуги.

Субъектами экономических отношений на рынке труда выступают, с одной стороны, предприниматели - крупные монополии, средние и мелкие бизнесмены, государство, а с другой - отдельные работники или их ассоциации (профсоюзы). Складывающиеся на рынке труда цены представляют собой ставки заработной платы, являющиеся денежной формой стоимости рабочей силы. Конъюнктура рынка труда характеризуется соотношением между свободными рабочими местами и незанятыми и ищущими работу трудоспособными гражданами. Вместе с другими видами рынка рынок труда образует экономическую систему рыночного механизма. Причем рынок труда занимает центральное положение в структуре рыночного хозяйства, выступает своего рода основой, на которой строится вся рыночная система, ибо без рынка труда практически немыслимо оптимальное функционирование и развитие рыночной экономики.

В макроэкономике различают национальный и мировой рынки труда. Первый действует в экономике страны в целом, второй - в мирохозяйственных масштабах и существует в форме международной трудовой миграции.

Рынок труда, являясь одним из ведущих компонентов общеэкономического рыночного механизма, выполняет специфическую функцию распределения и перераспределения трудовых ресурсов по сферам, отраслям, регионам, профессиям, специальностям, квалификации, согласно действия спроса и предложения. Рынок труда по многим принципам механизма своего функционирования представляет собой рынок особого рода, имеющий ряд существенных отличий от других товарных рынков. Регуляторами рынка труда являются факторы не только макро- и микроэкономики, но и социально-экономические и социально-психологические, не всегда имеющие отношение к заработной плате. Динамика рынка труда характеризуется многими особенностями, основными из которых являются следующие:

1.      В отличии от других факторов производства, производительность труда наемных работников может значительно изменяться в зависимости от того, насколько оптимально организован процесс труда, а также от уровня личной заинтересованности работников в работе.

2.      Работа, как правило, производится коллективами работников, которые независимо друг от друга определяют для них нормы выработки.

.        На рынке труда встречаются собственник условий производства (средств производства) и собственник рабочей силы, между которыми идет торг относительно купли не самого владельца рабочей силы, а конкретного вида труда (труда повара, слесаря, инженера и т.д.), а также условий и продолжительности использования работника.

.        Характерной чертой рынка труда является постоянное превышение предложения рабочей силы над спросом на нее.

.        На рынке труда происходит конкурентная борьба между работниками за свободные рабочие места. В этой борьбе побеждает тот, кто может обеспечить своим трудом собственнику капитала больше прибыли.

Динамика рынка труда зависит от соотношения двух его элементов:) от рыночного спроса на рабочую силу;

б) от рыночного предложения рабочей силы.

Первый элемент рынка труда представляет собой сумму объемов спроса на ресурсы труда всей экономики страны при любой цене на эти ресурсы.

Второй элемент рынка труда представляет собой сумму объемов предложения ресурсов труда всей численности работников в стране при каждой возможной цене на них. [1, с.101]

Основными функциями рынка труда выступают:

) ценообразующая - установление цены труда, согласование экономических интересов субъектов трудовых отношений, формирование национального уровня оплаты труда и денежных доходов домашних хозяйств;

) регулирующая - поддержка динамического равновесия между спросом и предложение рабочей силы, обеспечение региональных и отраслевых пропорций распределения труда как экономического ресурса с учетом общественных потребностей;

) распределительная - содействие формированию оптимальной профессиональной и квалификационной структуры рабочей силы, поддержание на соответствующем уровне резерва рабочей силы;

) стимулирующая - обеспечение и сохранение эффективной и рациональной занятости населения;

) информационная - предоставление информации о соотношении спроса и предложения рабочей силы, уровне оплаты труда и т.д.

В качестве основных компонентов современного рынка труда принято выделять:

а) субъекты и объекты рынка труда;

б) рыночный механизм формирования объема спроса и предложения рабочей силы, а также равновесной цены на труд как экономический ресурс;

в) законодательное обеспечение функционирования рынка труда (контрактное право, минимальный уровень оплаты труда, права безработного, право молодежи на первое рабочее место);

г) резервную армию труда;

д) рыночную инфраструктуру (служба занятости, служба миграции, пресса, страхование безработицы и т.д.)

Следует специально подчеркнуть, что рынок труда во многом имеет уникальный характер. Здесь имеют дело со специфическим товаром - услугой труда. Данный товар формирует свои потребительские свойства длительный период времени, неотделим от собственника - самого человека. При заключении сделки на рынке труда в расчет принимается не только денежное вознаграждение, но и характер тех социальных отношений, в которых придется трудиться. [ 2, с.512]

Рыночные отношения предполагают саморегулирование рынка труда. Элементами механизма саморегулирования являются спрос и предложение на рынке труда, конкуренция среди работников и работодателей, заработная плата. [3, с.149]

.2 Спрос на труд

Спрос на рынке труда, как и на любом другом рынке, является производным и зависит от спроса на ту продукцию, которая будет изготовлена с помощью этого ресурса. [4, с.245]

Субъектами спроса на рынке труда выступают бизнес и государство.

На рынке совершенной конкуренции количество нанимаемых предпринимателями работников определяется двумя показателями - размером заработной платы и ценностью предельного продукта труда. С увеличением количества нанимаемых работников происходит уменьшение величины предельного продукта. Привлечение дополнительной единицы труда прекратится тогда, когда предельный продукт труда в денежном выражении ( MRPL) сравняется с величиной заработной платы.

Объем спроса на труд находится в обратной зависимости от величины заработной платы. При росте ставки заработной платы, при прочих равных условиях, предприниматель в целях сохранения равновесия должен соответственно сократить применение труда, а при ее снижении величина спроса на труд возрастает.

Функциональная зависимость между величиной заработной платы и объемом спроса на труд выражается в кривой спроса на труд ( рис. 1.1.)

Рис. 1.1 Кривая спроса на труда

На оси абсцисс - величина требующегося труда (L), а на оси ординат - ставка заработной платы (w).

Каждая точка на кривой DL показывает, какой будет величина спроса на труд при определенном уровне заработной платы. Конфигурация кривой и ее отрицательный наклон показывают, что более низкой заработной плате соответствует большая величина спроса на труд и наоборот. [4, 247]

а) предпринимательская фирма стремится максимизировать объем прибыли;

б)поведение фирм описывается производственной функцией двухфакторного типа: Q= f (K; L);

в) предпринимательская фирма принимает решения, которые касаются рынка готовой продукции (продавец) и рынка экономических ресурсов (покупатель);

г) в краткосрочном периоде фирма принимает решения об объеме использования труда, выступающего переменным фактором производства.

Спрос на рабочую силу обнаруживается как готовность предпринимательской фирмы предоставить рабочие места на определенных условиях.

Ранее при изложении общетеоретических основ формирования рынка экономических ресурсов отмечалось, что спрос предпринимательской фирмы на ресурс отражает кривая денежного дохода от предельного продукта на ресурс (MRP). Данный денежный доход зависит от предельного продукта и цены на производимую продукцию.

Стремясь максимизировать прибыль, предпринимательские фирмы постоянно уточняют объем спроса на рабочую силу с учетом известного условия:

 = MPCL = WL

Таким образом , существует обратная зависимость между ценой на рабочую силу как экономический ресурс и объемом спроса. Чем выше зарплата, тем в меньших объемах можно ожидать закупку и использование рабочей силы.

Повышение зарплаты (WL) означает рост MPCL. Следовательно, при определении численности наемных работников придется ограничиваться предельным работником, у которого производительность труда позволяет получить доход не меньше предельных издержек на ресурс, которые сложились после повышения заработной платы. Иначе есть основание предположить, что число наемных работников будет сокращено. [2, c. 526]

Спрос на труд растет во время экономических подъемов и падает во время спадов. Быстро растущая национальная экономика, обеспеченная капиталами и природными ресурсами, создает много рабочих мест. В этом случае растет общий рыночный спрос на труд. В связи с применением новых технологий и появлением новых отраслей меняется структура спроса на труд, падает спрос на неквалифицированных рабочих, растет спрос на новые профессии, в новых отраслях. [5, с.79]

С позиции же макроэкономики спрос на рынке труда представляет собой совокупность спроса на ресурсы труда страны при любой цене на них.

Спрос на рынке труда зависит от:

·        деловой конъюнктуры и фазы экономического цикла;

·        технического уровня производства;

·        ситуации в инвестиционной сфере;

·        сложившегося уровня заработной платы;

·        налоговой политики. [6, с.149]

Неоклассическая школа исходит из того, что:

) рынок труда определяет производство;

) цены на рынке труда абсолютно гибкие;

) на всех рынках существует совершенная конкуренция.

Неоклассическая функция спроса на труд. Она основывается на предположении, что на всех рынках господствует совершенная конкуренция. В этом случае предприниматели получают максимум прибыли, если ценность предельного продукта труда равняется ставке номинальной (денежной) заработной платы


Левая часть уравнения (1.1) показывает, на сколько возрастет выручка фирмы при увеличении использования труда на единицу, а правая - на сколько при этом возрастут затраты фирмы на его оплату. До тех пор пока Pdy/dN > W увеличение занятости сопровождается ростом прибыли. Из равенства (1.1) следует, что прибыль достигает максимума, когда предельная производительность труда равна ставке реальной заработной платы (w). При снижении ставки реальной зарплаты для получения максимума прибыли потребуется использовать больше труда, и наоборот. Следовательно, спрос предпринимателей на труд представляется функцией

Пусть технология отображается производственной функцией


Тогда прибыль


Графически определение объема спроса на труд в неоклассической концепции представлено на рис. 1.2.

Рис. 1.2 Определение спроса на труд согласно неоклассической концепции

В верхней части изображен график производственной функции y = y(N). Тангенс угла наклона касательной к нему представляет предельную производительность труда при соответствующем числе занятых. На основе изменения величины tga по мере движения вдоль кривой y(N) в нижней части рис. 1.2 строится график предельной производительности труда. (Примет ли он вид прямой линии, выпуклой или вогнутой кривой - зависит от скорости изменения крутизны графика производственной функции.)

Чтобы определить объем спроса на труд, нужно на график предельной производительности труда наложить график ставки реальной заработной платы (w). Точка их пересечения укажет на количество труда, обеспечивающее максимум прибыли. Зная количество используемого труда, по графику производственной функции можно определить объем выпуска.

В коротком периоде спрос на труд изменяется только в результате изменения ставки реальной заработной платы: при ее снижении занятость растет, при ее повышении занятость уменьшается (рис. 1.2).

В длинном периоде количество используемого труда может измениться вследствие технического прогресса или увеличения объема применяемого капитала. В том и другом случаях график производственной функции сдвинется вверх, как это показано в верхней части рис. 1.3.


Рис. 1.3 Сдвиги кривой спроса на труд согласно неоклассической концепции

Соответственно, вверх сдвигается и график предельной производительности труда y(N). В этих случаях для прежнего объема производства потребуется меньше труда (N1), который будет оплачиваться по более высокой ставке реальной зарплаты (w2). Использование прежнего количества труда (N0) приведет к росту объема производства до y1 при меньшем повышении цены труда (с w0 до w1).

Увеличение занятости путем снижения ставки зарплаты ниже естественного уровня равносильно задержке технического прогресса. Так, если ставку реальной зарплаты установить на уровне w3, то для производства y0 единиц продукции потребуется N2 единиц труда при технологии y2(N), которая менее эффективна, чем технология y1(N).

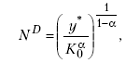
Кейнсианская функция спроса на труд. Если в неоклассической концепции объем выпуска определяется фирмами, стремящимися к максимизации прибыли, то в концепции Дж.М. Кейнса он задан величиной эффективного спроса. В результате при заданной технологии спрос на труд является функцией от величины эффективного спроса:


Если технология соответствует производственной функции , функция спроса на труд имеет вид


где K0 - используемый объем капитала, а y* - эффективный спрос на рынке благ.

Ценность предельного продукта труда согласно кейнсианской концепции определяет верхний предел ставки номинальной зарплаты:


Рис. 1.4 Определение спроса на труд согласно кейнсианской концепции

С помощью модели IS-LM определяется величина эффективного спроса. По графику производственной функции находим количество труда (N0), необходимое для производства благ в объеме y*. По графику ценности предельного продукта труда определяется цена спроса на труд (W0). Фактическая ставка номинальной заработной платы не обязательно будет равна цене спроса на труд. Если рабочие предлагают труд по цене ниже W0, то объем спроса на него все равно будет равен N0, так как фирмы не будут работать «на склад». Но занятость будет меньше N0, если рабочие потребуют цену выше W0. В этом случае эффективный спрос не будет удовлетворен и на рынке благ образуется дефицит.

Таким образом, графиком кейнсианской функции спроса на труд является не линия ac, а ломаная линия abN0: по мере роста ставки номинальной зарплаты от W0 до a спрос на труд будет сокращаться с N0 до нуля, но при ставке ниже W0 спрос на труд сохранится на уровне N0.

Уровень занятости в кейнсианской концепции может измениться только под воздействием факторов, смещающих линии IS и LM.

.3 Предложение труда. Равновесие

С позиции микроэкономики рыночное предложение труда можно рассмотреть как количество трудовых ресурсов, которые могут быть доставлены на рынок за установленную заработную плату. Общее предложение труда в экономике зависит от численности трудоспособного населения, уровней рождаемости и смертности, миграции населения, личных предпочтений индивидов трудоспособного возраста. Индивидуальное предложении труда определяет выбор, осуществляемый отдельным человеком, между досугом и работой с учетом двух ограничителей: количества часов в сутках и размера заработной платы.

Объем предложения труда зависит от величины заработной платы, получаемой за производительные услуги. Как правило, продавцы на рынке труда в условиях совершенной конкуренции стремятся увеличить предложение в условиях роста заработной платы. Поэтому кривая предложения труда имеет положительный наклон (рис. 1.5)

Рис. 1.5. Кривая предложения труда

Кривая предложения труда (SL) показывает, что при повышении заработной платы возрастает величина предложения труда, а при ее снижении объем предложения труда уменьшается. [4, c. 248]

Предложение труда зависит, прежде всего:

·   от реальной цены труда, т.е. от покупательной способности заработной платы (W: p);

·        от склонности работника к определенным профессиям и определенным условиям труда, способностей работника;

·        от численности населения страны и отдельных регионов;

·        от доли трудоспособного населения в общей численности населения;

·        от половой структуры населения;

·        от национальных традиций и др. [5, c. 79]

На макроуровне, так же, как и для случая спроса на труд, рассматривают неоклассическую и кейнсианскую функции предложения труда. В основе неоклассической функции предложения труда лежат решения индивидуумов относительно его предложения. Решения индивидуумов - это проблема максимизации полезности, которая состоит из двух благ: товаров, которые можно купить на заработанную плату, и свободного времени (рис. 1.6)

Рис. 1.6. «Эффект замены» и «эффект дохода»

Согласно выбору индивидуума, до точки С он увеличивает предложение труда при росте реальной заработной платы. Затем кривая предложения труда меняет свое направление: происходит уменьшение предложения труда при росте заработной платы.

После суммирования индивидуальных функций большинство экономистов пришли к выводу, что «эффект дохода» нейтрализуется трудоспособным население, которое при высокой ставке заработной платы увеличивает предложение труда. Функция предложения труда есть возрастающая функция от реальной заработной платы (рис. 1.7)

Рис. 1.7

Предложение труда в кейнсианской концепции находится в прямой зависимости от ставки номинальной заработной платы.

Наемные работники ориентируются на номинальную заработную плату по следующим причинам:

·   из-за боязни потерять работу;

·        из-за долгосрочного характера коллективных трудовых соглашений;

·        из-за наличия «денежных иллюзий», заставляющих их ориентироваться на номинальные, а не на реальные значения ценностных показателей. [8, с. 293]

Мнения неоклассиков и кейнсианцев совпадают в том, что по мере повышения ставки заработной платы до определенного уровня предложение труда растет. Расхождения их взглядов возникают при выведении функции предложения труда по трем вопросам:

·        на какую ставку зарплаты ориентируются домашние хозяйства при предложении труда - реальную или номинальную;

·        изменяется ли ставка номинальной зарплаты вверх и вниз или только вверх;

·        как влияет ставка процента на объем предложения труда.

При построении неоклассической функции потребления обнаруживается, что в данном случае предложение труда индивида находится в прямой зависимости от ставки реальной заработной платы: NS = NS(w). Индивид сопоставляет полезность свободного времени с полезностью набора благ, который при существующих ценах можно купить на заработную плату. Поэтому при повышении уровня цен объем предложения труда не изменится лишь тогда, когда ставка номинальной зарплаты увеличивается пропорционально уровню цен. Такое представление основывалось на том, что в XIX в. доходы от труда в соответствии с «железным законом заработной платы» обеспечивали лишь минимум средств существования рабочего и его семьи; в этих условиях при повышении уровня цен необходимо было в такой же мере повысить номинальную зарплату.

Ставка процента в неоклассической концепции определяет пропорцию распределения имеющихся у индивида благ между нынешним и будущим потреблением. Ее повышение сопровождается сокращением текущего и увеличением будущего потребления, а снижение ведет к противоположному результату. В кейнсианской концепции предложение труда зависит от ставки номинальной зарплаты. Причем до достижения полной занятости предложение труда совершенно эластично по отношению к ставке денежной зарплаты, так как безработные предлагают труд по установившейся цене.

Проиллюстрируем понятие полной и эффективной занятости с помощью рис. 1.8.

Рис. 1.8 Равновесие на рынке труда при полной занятости

При ставке реальной заработной платы w0 предложение труда полностью соответствует спросу на него. Но это не значит, что исчерпаны все имеющиеся в данный момент трудовые ресурсы. Если бы ставка зарплаты поднялась до w1, то предложение труда возросло бы до N1. Тем не менее в ситуации, представленной на рис. 1.8, нет безработицы: трудоспособные, им соответствует отрезок N0N1, не желают наниматься на работу при ставке w0.

Согласно неоклассической концепции равновесие на рынке труда устойчиво.

Если ставка реальной зарплаты окажется равной w1, то, во-первых, работу начнут искать трудоспособные, им соответствует отрезок N0N1; во-вторых, спрос на труд сократится до N2. В результате возникает безработица в размере (N1 - N2). Конкуренция за рабочие места заставит ищущих работу согласиться на более низкую оплату труда, и ставка номинальной зарплаты будет снижаться до тех пор, пока ставка реальной зарплаты не примет значение w0.

Согласно кейнсианской концепции рынок труда может стабилизироваться при наличии безработицы. На рис. 1.9 совмещены графики кейнсианских функций спроса на труд и его предложения.

Рис. 1.9 Равновесие на рынке труда при безработице

Спрос предпринимателей на труд в размере N0 определился в соответствии с величиной эффективного спроса, как это было показано на рис.1.4. Если предприниматели установят ставку номинальной зарплаты на максимально допустимом для них уровне W0, то предложение труда будет равно N2 и на рынке труда образуется избыток в размере (N2 - N0).

Несмотря на то что в рассматриваемой ситуации ищущие работу согласны на более низкую оплату труда, уменьшение ставки зарплаты ниже W0 не увеличит спрос на труд.

С позиций классической школы в данном случае цена труда завышена на величину (W0 - W1). Но даже при снижении ее до W1 сохранится безработица в размере (N1 - N0), которая не устраняется в ходе стихийного взаимодействия спроса и предложения на рынке труда. В данном случае рынок труда стабилизируется при неэффективном уровне занятости, так как предельная производительность труда превышает предельные издержки на него. Площадь заштрихованного треугольника на рис. 1.9 представляет чистый выигрыш от увеличения производства путем доведения занятости до N1. [3, с. 196-200]

.4 Заработная плата

В условиях современной рыночной экономики рынок труда входит в состав общего рынка факторов производства, на котором фигурируют различные системы денежного вознаграждения за пользование экономическими ресурсами. Формой этой оплаты на рынке труда, или ценой труда является «заработная плата».

Заработная плата - это доход в денежной форме, получаемый наемным работником за предоставление определенной трудовой услуги. Ее также можно определить как цену фактора производства «труд».

Заработная плата представляет собой основной вид доходов трудящегося населения. С позиции работника (домохозяйства) ее назначение заключается в обеспечении экономических условий существования человека, с позиции предприятия (фирмы) - в обеспечении мотивации персонала к труду. [11]

Существуют различные подходы к определению сущности заработной платы. Однако по принципиальным положениям их можно свести к двум основным: марксистской теории и методу, принятому в зарубежной экономической литературе.

В основе марксистского подхода лежит теория трудовой стоимости. В соответствии с ней рабочая сила признается товаром, а денежное выражение стоимости (цены) рабочей силы представляет собой заработную плату. Стоимость рабочей силы включает стоимость средств существования, необходимых для воспроизводства рабочей силы, то есть необходимых для удовлетворения потребностей работника и его семье. На стоимость и цену рабочей силы оказывают влияние исторические и национальные особенности, традиции, климатические условия и др.

Сегодня в экономической литературе преобладает подход, в соответствии с которым заработная плата определяется как цена труда, личный трудовой доход работника, получаемый в зависимости от качества и количества труда.

Основными функциями заработной платы являются:

·    воспроизводственная, в соответствии с которой заработная плата служит средством восстановления израсходованных в процессе труда умственных и физических способностей человека, воспроизводства рабочей силы;

·        стимулирующая - обеспечивает эффективный, производительный труд;

·        компенсирующая - возмещающая тяжесть, вредность, непривлекательность труда.

·        Некоторые экономисты выделяют и другие функции - учетную, главного источника повышения благосостояния, средства гармонизации интересов.[10, с.314]

Заработная плата представляет собой денежную компенсацию работнику за совершенный труд. Для расчета этой компенсации используются разные методы. В одних случаях в качестве единицы учета затрат используется время, отработанное на производстве, выраженное в часах; в других такой учетной единицей выступает произведенный за установленное рабочее время продукт, в соответствии с чем выделяются две формы заработной платы - повременная и сдельная.

Повременная заработная плата - это такая форма оплаты труда, при которой величина заработка работника зависит от фактически отработанного времени. В пределах повременной формы заработной платы различают почасовую, дневную, недельную и месячную заработную плату. По итогам деятельности за год может быть рассчитана среднемесячная заработная плата. Она берется как средневзвешенная величина за календарный год, исключая отпускной период. Этот расчет производится для определения размера отпускных, оплаты больничных листов, определения динамики уровня жизни и тарифных ставок.

Своеобразной модификацией повременной формы заработной платы выступает система окладов. Она применяется для оплаты труда государственных служащих, военнослужащих, административно-управленческого аппарата, руководителей и главных специалистов производства, а также устанавливается за отработанное время.[9, с.264]

Повременная заработная плата имеет две разновидности: простая повременная, когда выплачивается оклад или тарифная ставка; повременно-премиальная, когда кроме оклада или тарифной ставки, выплачиваемых в зависимости от отработанного времени, выплачивается премия за достигнутые производственные результаты.[10, с. 314]

Сдельная заработная плата - это форма оплаты труда, при которой величина заработка устанавливается в зависимости от количества изготовленных изделий или выполненных операций. В соответствии с этим сдельная заработная плата иначе называется поштучной заработной платой. [9, c.265] Разновидностями сдельной оплаты труда является: прямая сдельная, когда каждое изделие или операция оплачивается по одной и той же расценке; сдельно-премиальная, предполагающая кроме основной оплаты возможность получения премии; сдельно-прогрессивная, при которой перевыполнение нормы стимулируется установлением более высокой расценки; сдельно-регрессивная, когда изделия, произведенные сверх нормы, оплачиваются по более низкой расценке; аккордная, предполагающая оплату за весь выполненный объем работ.

Сказанное не исключает применение сдельной платы труда в тех случаях, когда она обладает простотой и достоверностью. Но более предпочтительной является повременная система оплаты труда, основанная на использовании тарифной ставки, тарифно-квалифицированного справочника и тарифного коэффициента.[10, c.315]

Размер заработной платы зависит от качества труда, квалификации и профессиональной подготовки, влияющих на размер предельного продукта труда. Например, наиболее высокие заработки в странах с развитой рыночной экономикой наблюдаются у таких специалистов, как юристы, врачи, преподаватели: их труд требует больших затрат на обучение, которые становятся возможными лишь при условии их последующей компенсации из заработной платы. Размер ставок заработной платы для профессий, не требующих специальной подготовки, как правило, ниже, а эластичность предложения трудовых услуг - выше, поскольку контингент продавцов не ограничен необходимостью получения специальной подготовки. В результате для рынка труда характерно наличие неконкурирующих друг с другом групп работников, что иллюстрирует рис. 1.10

Рис.1.10 Не конкурирующие группы на рынке труда

На графике представлены ситуации для двух - на самом деле их гораздо больше - не конкурирующих между собой групп работников. Одна группа представлена квалифицированными работниками (например, юристами), а другая - неквалифицированными (например, дворниками). Кривая предложения первой группы (SK) расположена значительно выше кривой предложения второй группы (SH) и отличается меньшей эластичностью. Поэтому равновесная ставка заработной платы юристов (WK) выше равновесной ставки заработной платы дворников (wH). [4, c. 253]

2. Особенности функционирования рынка труда в Республике Беларусь

.1 Состояние и тенденции развития рынка труда в Республике Беларусь

Рынок труда является одним из основных индикаторов состояния экономики, поэтому изучение процессов, происходящих на рынке труда, оценка закономерностей, тенденций его развития позволяют определять необходимые для общества социально-экономические преобразования.

На динамику рынка труда влияние оказывает целый ряд факторов, формирующих спрос и предложение на рынке труда. Главным фактором, определяющим предложение на рынке труда, является численность трудовых ресурсов, в состав которых включаются трудоспособные в трудоспособном возрасте, а также занятые в экономике лица младше и старше трудоспособного возраста. [12, с. 82]

Ситуация на рынке труда в 2010 г. оставалась стабильной и управляемой. Численность занятых в экономике в январе-декабре 2010г. по сравнению с аналогичным периодом 2009г. увеличилась на 9,5 тыс. чел. (0,2%) и составила 4653,4 тыс. чел. при прогнозе 4740 тыс., что обусловлено недостаточно активным процессом создания новых рабочих мест, дисбалансом спроса и предложения рабочей силы.

Ускорение темпов роста объемов производства вызвало заметное повышение эффективности использования рабочей силы на производстве (рис.2.1 ) .Численность работавших в режиме вынужденной неполной занятости сократилась в 2010 г. по сравнению с аналогичным периодом 2009 г. на 56,7% и составила 154,5 тыс. чел. Соответственно уменьшилась на 69,0% численность работников, работавших неполное рабочее время по инициативе нанимателя, и численность работников, которым были предоставлены отпуска по инициативе нанимателя, - 65,6%. [13, c.25]

Рис. 2.1 Динамика численности работавших в режиме вынужденной неполной занятости (без субъектов малого предпринимательства негосударственной формы собственности)

В результате реализации активных мер на рынке труда и содействии в трудоустройстве, численность регистрируемых безработных сократилась с начала 2010 г. с 40,3 тыс. до 33,1 тыс. чел., или на 17,9%, что составляет 0,7% от экономически активного населения при прогнозе на конец 2010 г. 1,2 - 1,5%. Заявленная организациями потребность в работниках увеличилась с 34,5 тыс. чел. на начало 2010 г. до 48,8 тыс. чел. на конец года, или на 41,4%.

Таблица 2.1 - Численность экономически активного населения (в среднем за год)

Год

2009

2010

Экономически активное население: всего мужчины женщины

 4686,1 2222,5 2463,6

 4705,1 2250,7 2454,4

Из общей численности экономически активного населения занятые - всего мужчины женщины

 4643,9 2204,1 2439,8

 4665,9 2232,3 2433,6

В процентах от экономически активного населения

Экономически активное населения: всего мужчины женщины

 100 47,4 52,6

Из общей численности экономически активного населения занятые - всего мужчины женщины

 99,1 47,0 52,1

 99,2 47,4 51,8


Видно, что практически все активное население занято в экономике. Уровень занятости на протяжении 2009-2010гг. составляет 99,1-99,2%, что является положительным моментом в развитии рынка труда в республике.

Таблица 2.2 - Распределение численности занятого населения по формам собственности (в процентах к итогу)

Год

2009

2010

Всего занятого в экономике

100

100

В том числе по формам собственности:

Государственная

47,3

44,2

Частная

51,1

54,0

Иностранная

1,6

1,8


За последние года увеличился удельных вес занятых на предприятиях частной формы собственности с 51,1% до 54,0%.

Также увеличивается доля занятых на иностранных предприятиях - с 1,6% в 2009 г. до 1,8 % в 2010г.

Такая тенденция обусловлена проводимой в государстве инвестиционной политикой, приватизацией, разгосударствлением и развитием малого и среднего предпринимательства.

Таблица 2.3 - Численность безработных, зарегистрированных в органах по труду, занятости и социальной защите (на конец года)

Год

2009

2010

Численность безработных, тыс. человек

40,3

33,1

Мужчин

17,3

15,7

Женщин

23,0

17,4

Уровень зарегистрированной безработицы (в процентах от экономически активного населения)

0,9

0,7


Уровень безработицы удерживается в социально допустимых пределах - на конец 2010 г. он составлял 0,7 процент к численности экономически активного населения, как это было указано ранее.

Всего по Беларуси за 2010 г. номинальная начисленная среднемесячная заработная плата составила 1217313 рублей.

По сравнению с 2010 годом в 2011 году падает численность экономически активного населения. Самый высокий процент был в 2010 году в марте (100,6%), а самый низкий (98,2%) - в ноябре 2011 года.

В 2011 г. в экономике республики было занято 4 649,6 тыс. человек, что на 0,3% меньше, чем в 2010 г. В общей численности населения, занятого в экономике, 3 455,9 тыс. человек, или 74,3% составляли работники организаций (кроме субъектов малого предпринимательства негосударственной формы собственности). Кроме того, на условиях совместительства и по гражданско-правовым договорам для работы в этих организациях привлекалось 148,4 тыс. человек. Организациями (кроме субъектов малого предпринимательства негосударственной формы собственности) в 2011 г. было принято на работу 719,6 тыс. человек, в том числе на дополнительно введенные рабочие места - 47,2 тыс., уволено по различным причинам 765 тыс. человек. Соотношение принятых и уволенных работников по республике составило 94,1% (в январе-сентябре текущего года - 93,6%). Из общей численности уволенных 7,7% было уволено за прогул и другие нарушения трудовой дисциплины, 0,8% - в связи с сокращением численности или штата работников, ликвидацией организаций. [15]

В 2011 г. улучшились показатели использования рабочего времени. Численность работников, переведенных на работу с неполной рабочей неделей (днем), составила 36,7 тыс.чел., или 50,7% к уровню января-декабря 2010 г. Численность работников, которым были предоставлены отпуска по инициативе нанимателя, достигла 46,4 тыс.чел., или 64,6% по сравнению с уровнем 2010 г. (рис. 2.2) [16, c.61]

Рис. 2.2 Динамика численности работавших в режиме вынужденной неполной занятости (без субъектов малого предпринимательства негосударственной формы собственности)

На конец декабря 2011 г. численность безработных граждан, зарегистрированных в органах по труду, занятости и социальной зашиты, уменьшилась по сравнению с аналогичным периодом 2010 г. на 14,8% и составила 28,2 тыс.чел.

В результате принятых мер снизился коэффициент напряженности на рынке труда, который составил 0,5 безработного на одно свободное рабочее место. Вследствие неравномерного экономического развития и низкой территориальной мобильности рабочей силы сохранилась существенная региональная дифференциация на рынке труда. Самый высокий ее уровень (1,1) отмечен в гомельской области, самый низкий - в г. Минске (0,2).

Количество вакансий по сравнению с началом 2011 г. увеличилось на 5,9% и составило на конец 2011 г. 51,7 тыс. (рис. 2.3). Причем в г. Минске вакансий в 6 раз больше, чем безработных. Рынок труда по-прежнему ориентирован на рабочие профессии, удельный вес которых составляет 77,6 % от общего количества вакансий, заявленных нанимателями. Для ряда организаций характерны превышение фактической численности работников над размерами экономически обоснованной, низкий уровень оплаты труда, высокая текучесть кадров. Растет спрос на квалифицированные кадры в здравоохранении, строительстве, на транспорте. [16, c.62]

Рис.2.3 Динамика численности безработных и числа вакансий в 2010-2011 гг.

Позитивная динамика изменения спроса на рынке труда способствовала снижению средней продолжительности безработицы до 3,7 месяца. Наиболее конкурентоспособные безработные из числа уволенных со срочной воинской службы, прошедшие профессиональное обучение по направлению органов по труду, занятости и социальной защите, уволенные по собственному желанию.

Уровень безработицы стабилизировался и на конец 2011 г. составил 0,6% к численности экономически активного населения (при прогнозе 1,2 - 1,5%). Значительно уменьшилась дифференциация регионов по уровню безработицы. По состоянию на 1 декабря 2011 г. из 118 районов и 12 городов в 116 регионах уровень безработицы составил 1 % и ниже, в 14 - от 1,1 до 1,2 % (рис. 2.4). [16, c.63]

Рис. 2.4 Динамика уровня зарегистрированной безработицы в региональном аспекте

В результате осложнившейся в 2011 г. ситуации на валютно-финансовом рынке произошло снижение уровня жизни населения. Реальные располагаемые денежные доходы в январе-декабре 2011 г. по сравнению с уровнем аналогичного периода 2010 г. увеличились лишь на 0,1% при прогнозе на год 8-9,5%.

Номинальная начисленная заработная плата работников в январе-декабре 2011 г. составила 1925,3 тыс.руб., увеличившись к соответствующему периоду предыдущего года на 55,2%, в бюджетных организациях ее размер был равен 1594,5 тыс. руб. (прирост - 62,1%).

Темпы роста реальной заработной платы работников в Республике Беларусь в январе-декабре 2011 г. в сравнении с уровнем соответствующего периода 2010 г. составили 101,3%, в бюджетных организациях - 105,8%.

Дифференциация в оплате труда работников по видам экономической деятельности в 2011 г. составила 3,1 раза.

По некоторым видам экономической деятельности уровень номинальной заработной платы в 2011 г. значительно превышал среднереспубликанский:

Финансовая деятельность - на 73%, горнодобывающая промышленность - на 50%, производство нефтепродуктов - почти на 112% (рис.2.5).

Рис.2.5 Номинальная начисленная среднемесячная заработная плата работников по видам экономической деятельности в январе-декабре 2011 г.

Ситуация на рынке труда в 2012 г. характеризовалась сокращением численности занятых в экономике и масштабов официально зарегистрированной безработицы, увеличением потребности нанимателей в работниках, заявленной в органы по труду, занятости и социальной защиты.

Численность занятых по сравнению с уровнем 2011 г. уменьшилась на 1,8 % и составила 4571,1 тыс. при прогнозе 4553 тыс. чел. Аналогичная тенденция отмечалась в региональном разрезе.

На динамику этого показателя оказало влияние сокращение численности населения в трудоспособном возрасте и оптимизация кадрового персонала организаций в ходе реструктуризации производства, создания и модернизации рабочих мест. [17, c. 56]

Рис. 2.6 Распределение численности занятого населения по видам экономической деятельности (в процентах к итогу)

По данным рисунка 2.6 видно, что по итогам 2012 г. чуть больше четверти всего работающего населения занято в промышленности (25,6%), в торговле - 13,9%, в сельском хозяйстве - 10%.

Коэффициент напряженности на рынке труда республики в течении года снизился с 0,5 до 0,4 безработного на одну вакансию. На одного зарегистрированного безработного приходилось 2,5 вакансии, а в г. Минске - более 10 вакансий. [17, c.58]

Рис. 2.8 Динамика численности официально зарегистрированных безработных и числа вакансий

Кроме того, в сфере использования трудовых ресурсов отмечается превышение увольнений работников над их приемом. Так, организациями (исключая малые микроорганизации без ведомственной подчиненности) в январе-декабре 2012 г. было принято на работу 821,2 тыс. чел., в том числе на дополнительно введенные места - 47,7 тыс., уволено по различным причинам 856,3 тыс. чел. Соотношение принятых и уволенных работников в анализируемом периоде составило 95,9 % против 93,4 % в предыдущем году. Наибольшее превышение числа увольнений над приемом и сокращение работников отмечаются в строительстве, промышленности, на транспорте и в связи (рис. 2.7). [17, c.56]

Рис. 2.7 Численность принятых и уволенных работников организаций по отдельным видам экономической деятельности в январе-декабре 2012 г.

Снижение эффективности использования рабочей силы проявляется в накапливании вынужденной неполной занятости на производстве, выступающей в качестве одной из форм скрытой безработицы. В январе-декабре 2012 г. в целом по экономике около 2,5 % среднесписочной численности работников (85,5 тыс. чел.) трудились в сокращенном режиме или были не востребованы производством. При этом численность переведенных на работу с неполной рабочей неделей (днем) по инициативе уменьшилась до 24,8 тыс., а численность работников, которым были предоставлены отпуска, увеличилась до 60,7 тыс. чел.

Общее количество неотработанного времени по причине вынужденной неполной занятости в январе-декабре 2012 г. составило 695,2 тыс. чел.-дней, что равнозначно ежедневному невыходу на работу 3 тыс. чел. Наибольший уровень скрытой безработицы наблюдался в организациях обрабатывающей промышленности - 1,8 тыс.чел. и строительства - 0,8 тыс.чел.

Уровень безработицы к концу года стабилизировался на отметке 0,5 % численности экономически активного населения. По регионам безработица варьировала от 0,2 % в г. Минске до 0,9 % в Брестской области.

Число свободных рабочих мест, заявленных в органы по труду, занятости и социальной защиты, увеличилось на 20,0 % и составило на конец 2012 г. 62,0 тыс. (рис. 2.8).

Номинальная начисленная среднемесячная заработная плата по республике в 2012 г. составила 3740,1 тыс. руб., для работников бюджетной сферы - 2976,8 тыс. руб. Рост реальной заработной платы составил 121,9%, что значительно превысило прогноз на 2012 г. (104,0-104,2%), а также прогнозный показатель Программы социально-экономического развития Республики Беларусь на 2011-2015 гг. (113,0-113,2% в 2012 г.) (рис.2.9).

Особое влияние в 2012 г. уделялось обеспечению роста заработной платы работников бюджетной сферы, приближению ее уровня к среднему по республике, и в результате она составила почти 80% ее среднереспубликанского уровня. Трижды повышалась тарифная ставка первого разряда (с 1 января, 1 мая, и 1 сентября). По отношению к декабрю 2011г. она выросла в 1,5 раза. [17, c.60]

Рис. 2.9 Номинальная начисленная среднемесячная и реальная заработная плата работников в Республике Беларусь помесячно нарастающим итогам в 2012 г.

Анализ статистических данных, характеризующих развитие производительности труда в Республике Беларусь за 2005-2012 гг. показал, что по отношению к 2005 г. производительность труда в сопоставимых ценах возросла в 2010 г. на 34,3 %, в 2011 г. - на 42,0 % и в 2012 г. на 46,8 %. Валовой внутренний продукт в сопоставимых ценах при этом увеличился соответственно на 42,2, 50,0 и 52,3 %, а реальная заработная плата - на 61,8, 64,9 % и в 2,0 раза (рис.2.10). Наиболее высокие темпы роста реальной заработной платы по итогам 2012 г. наблюдаются у работников, относящихся к сфере услуг: гостиницы и рестораны, транспорт и связь, и сфере производства: сельское хозяйство, охота и рыболовство и промышленность. В то же время в структуре валового внутреннего продукта около 50% занимают такие виды экономической деятельности, как промышленность и торговля.

занятость кейнсианский безработица заработный

Рис.2.10 Динамика развития ВВП и производительности труда в сопоставимых ценах, реальной заработной платы в Республике Беларусь за 2010-2012 гг. (в % к 2005 г.)

Опережающие темпы роста валового внутреннего продукта по сравнению с тепами роста производительности труда свидетельствуют о том, что прирост ВВП обеспечен не только за счет интенсивного фактора - производительности труда, - но и за счет повышающихся темпов роста численности занятых в экономике страны. [23]

С 1996 года по 2010-й темпы роста заработной платы в три раза превышали темпы роста производительности труда. Исключением был 2003 год и стал 2011-й (темп роста производительности труда составил 106,2%, реальной зарплаты - 101,3%). За январь-декабрь 2012 года - соответственно 101,5 и 104,2%.

В 2013 году темпы роста производительности труда по ВВП должны составить 109,3%. По прогнозу министерства экономики, темпы роста реальной заработной платы в 2013 году должны быть 107,1%. [24]

В январе-августе 2013 г. в экономике республики было занято 4 529,7 тыс. человек, что на 1,1% меньше, чем в январе-августе 2012 г. В организациях (без микроорганизаций и малых организаций без ведомственной подчиненности) численность работников составила 3 314,7 тыс. человек (73,2% общей численности населения, занятого в экономике) и по сравнению с январем-августом 2012 г. уменьшилась на 1,9%. [19]

Организациями в августе 2013 г. было принято на работу 101,1 тыс. человек (3,1% среднемесячной численности), в том числе на дополнительно введенные рабочие места - 4,8 тыс. человек, или 4,7% от общей численности принятых. Уволено по различным причинам 114,1 тыс. человек (3,5%среднемесячной численности), из них 5,1% было уволено за прогул и другие нарушения трудовой дисциплины, 1,7% - в связи с сокращением численности или штата работников, ликвидацией организаций. [19]

В январе - сентябре 2013 г. в органы по труду, занятости и социальной защиты обратилось за содействием в трудоустройстве 202 тыс. человек (89,3 процента от уровня 2012 года), из которых 120,5 тыс. человек зарегистрированы в качестве безработных (88,7 процента от уровня 2012 года). С учетом 41,1 тыс. граждан, состоящих на учете на 1 января 2013 г., всего нуждалось в трудоустройстве 243,1 тыс. человек, из них 145,4 тыс. безработных. Уровень зарегистрированной безработицы на конец сентября 2013 г. составил 0,5% от экономически активного населения (на конец сентября 2012 г. - 0,6%) (рис. 2.11) [20]

Рис. 2.11 Регистрация безработных в 2012-2013 гг.

Коэффициент замещения работников (отношение числа принятых к числу уволенных) в сентябре 2013 г. составил 1,068 (в сентябре 2012 г. - 1,086). Численность принятых работников организаций республики превысила численность уволенных на 5,4 тыс. человек (в сентябре 2012 г. - на 6,7 тыс. человек) (рис.2.12).

Рис. 2.12 Численность принятых и уволенных работников в организациях Республики Беларусь в 2013 году (тысяч человек)

В январе-августе 2013 г. 57,5 тыс. работников организаций (1,7% среднемесячной численности) работали в режиме вынужденной неполной занятости (в январе-августе 2012 г. - 72,4 тыс. человек, или 2,1%). В январе-августе 2013 г. по сравнению с январем-августом 2012 г. численность работников, переведенных на работу с неполной рабочей неделей (днем) по инициативе нанимателя, уменьшилась в 1,9 раза и составила 12,8 тыс. человек. Численность работников, которым были предоставлены отпуска по инициативе нанимателя, уменьшилась на 7,7% и составила 44,7 тыс. человек. Отпуска без сохранения заработной платы по инициативе нанимателя в августе 2013 г. были предоставлены 1,5 тыс. человек, или 12,9% от общей численности работников, имевших вынужденные отпуска (рис. 2.13).

Общее количество неотработанного времени по причине вынужденной неполной занятости в январе-августе 2013 г. составило 472,1 тыс. человеко-дней (в январе-августе 2012 г. - 556,3 тыс. человеко-дней), что равнозначно ежедневному невыходу на работу 2,8 тыс. человек (в январе-августе 2012 г. -3,3 тыс. человек). Из общего числа неотработанных человеко-дней на предприятия обрабатывающей промышленности приходилось 80,1%, на строительные организации - 10,3%. Условно рассчитанная численность ежедневно неработающих составила в обрабатывающей промышленности 2,3 тыс. человек, в строительстве - 0,3 тыс. человек. [19]

Рис. 2.13 Динамика численности работавших в режиме вынужденной неполной занятости (без микроорганизаций и малых организаций без ведомственной подчиненности)

Спрос на рабочую силу, по сравнению с аналогичным периодом прошлого года, снизился. (рис.2.14).

Спрос на работников на 1 июля 2013 г. в основном формировался в таких видах экономической деятельности, как обрабатывающая промышленность (заявлено 18,1 тыс. вакансий, или 23,6 процента от общего их числа), строительство (14,7 тыс. вакансий, или 19,2 процента), сельское хозяйство, охота и лесное хозяйство (9 тыс. вакансий, или 11,8 процента), торговля, ремонт автомобилей, бытовых изделий и предметов личного пользования (7,9 тыс. вакансий, или 10,3 процента), транспорт и связь (5,8 тыс. вакансий, или 7,6 процента), здравоохранение и предоставление социальных услуг (5,7 тыс. вакансий, или 7,4 процента). [26]

На 01.10.2013 в органы по труду, занятости и социальной защите поступили сведения о наличии 67,2 тыс. вакансий, что составило 95,2 процента к уровню 2012 года. При этом рынок труда ориентирован на рабочие профессии, которые составили 80,4 процента от общего количества, заявленных нанимателями вакансий (80,5 процента в 2012 году). В городе Минске на 1 безработного приходится 13 вакансий. [20]

Рис. 2.14 Спрос и предложение на рынке труда 2003-2012 гг. (на конец года)

Рынок труда Беларуси сталкивается с растущим дефицитом рабочей силы, ситуация может усугубиться в связи оттоком специалистов в Россию. Такой вывод содержится в исследовании о ситуации на рынке труда Беларуси, которое подготовили эксперты Исследовательского центра ИПМ, Белорусского экономического исследовательско-образовательного центра и Немецкой экономической группы в Беларуси.

Авторы исследования напоминают, что, реагируя на трудовую миграцию, белорусские власти ранее ужесточили правила увольнения работников (в частности в деревообрабатывающей отрасли). Кроме этого, чтобы снизить вероятность оттока кадров, административным образом были увеличены зарплаты работникам. [21]

Номинальная начисленная среднемесячная заработная плата работников в республике в январе-сентябре 2013 г. составила - 5000,2 тыс. руб., в том числе в сентябре - 5374,8 тыс. руб. В сентябре 2013 г. её уровень у работников промышленности составил 5936,4 тыс. руб., строительства - 7325,4 тыс. руб., транспорта - 6160,6 тыс. руб., связи - 5716,9 тыс. руб., сельского хозяйства, охоты и предоставления услуг в этих областях - 4066,4 тыс. руб. [24]

В бюджетной сфере среднемесячная заработная плата за январь-сентябрь 2013 г. составила 3675,5 тыс. руб., в том числе в сентябре - 3950,3 тыс. руб. (рис. 2.15) [22]

Рис. 2.15 Уровень номинальной начисленной среднемесячной заработной платы работников бюджетных организаций в 2012-2013 годах.

Дифференциация в оплате труда работников по видам экономической деятельности за январь-сентябрь 2013 года составила 4,1 раза, что выше соотношения по соответствующим видам деятельности в январе-сентябре 2012 года на 5,1 процента.

Однако такая политика привела к снижению конкурентоспособности белорусских предприятий.

Основными проблемами рынка труда являются низкая эффективность использования рабочей силы, дисбаланс спроса и предложения рабочей силы, значительные масштабы неформальной занятости и нерегистрируемой безработицы. [13, c.25] Не утратила актуальность проблема женской и молодежной безработицы. Сложности с трудоустройством молодых людей прежде всего связаны с отсутствием у них опыта практической работы, а в ряде случаев и квалификации.

К ключевым направлениям в обеспечении эффективной занятости населения, формировании ее рациональной структуры следует отнести дальнейшие совершенствование системы подготовки кадров. Нужны дополнительные меры по усилению координации объемов и структуры подготовки кадров в профессиональных учебных заведениях с реальными потребностями производства, расширению связей образовательных учреждений с предприятиями в целях их обеспечения рабочей силой необходимой квалификации. Кроме того, следует проводить информационно-пропагандистские кампании по повышению престижа рабочих профессий и профессионального мастерства с использованием средств массовой информации. С этой целью представляется целесообразным обновление профессионально-квалификационной структуры подготовки кадров в ПТУ, создание и развитие профессиональных лицеев и профессионально-технических колледжей.

Требуется активизировать работу профессиональной ориентации молодежи, обеспечению условий для получения в установленном порядке профессиональной подготовки каждым молодым человеком до момента его выхода на рынок труда.

Особое внимание должно быть уделено восстановлению и развитию систем внутрипроизводственного обучения, переподготовки и повышения квалификации работников, в первую очередь находящихся под угрозой увольнения в связи с реструктуризацией предприятий.

Одновременно следует повышать эффективность системы социальной поддержки граждан, временно потерявших работу, а также не способных на равных условиях конкурировать на рынке труда.

На решение всех этих проблем нацелены мероприятия Государственной программы содействия занятости Республики Беларусь.

3. Основные направления реализации государственной политики на рынке труда

Государственное воздействие на занятость и безработицу является неотъемлемой частью общей системы экономической и социальной политики любого цивилизованного государства.

Достижение высокого уровня занятости - одна из основных целей макроэкономической политики государства. Экономическая система, создающая дополнительное количество рабочих мест, ставит задачу увеличить количество общественного продукта и тем самым в большей степени удовлетворить материальные потребности населения. При неполном использовании имеющихся ресурсов рабочей силы система работает, не достигая границы своих производственных возможностей.

Безработица как экономическая категория является отражением сложности процесса согласования предложения рабочей силы со спросом на неё. Этот процесс, если его рассматривать в масштабах страны, напрямую зависит от того, насколько обширна территория и как различаются в ней природно-климатические условия, какова структура экономики и какое место занимает в этой структуре промышленность, какими отраслями и темпами предприятий она преимущественно представлена. Среди других факторов в той или иной степени всегда фигурируют национальные традиции, но главную роль играет политическое устройство общества. Именно от последнего зависит, в какой степени при согласовании предложения и спроса учитывается специфика наёмного труда. [27]

Рынок труда как объект управления включает три элемента: предложение, спрос и цену рабочей силы. Между данными элементами существует взаимосвязь. Регулируя, например, предложение, государство тем самым воздействует на цену и спрос. В результате регулирования динамики спроса, предложения и цены рабочей силы происходит снижение, рост или стабилизация уровня занятости.

Для согласования всех пропорций и сегментов рынка рабочей силы, необходима комплексная система регулирования занятости. Она должна обеспечивать регулирование мезо- и микропропорций, а также выполнять маркетинговые функции. К ним относятся: стратегическое (индикативное) планирование, информационные маркетинговые исследования спроса на рабочую силу и ее предложения, реклама, стимулирование трудоустройства и т.д.

В рамках системы регулирования рынка труда существует несколько видов регулирования:

защитное, предназначенное для ограничения действий, которые ведут к незащищенности различных групп трудящихся;

поощрительное, направленное на создание условий, в которых могут осуществляться и развиваться определенные формы деятельности;

ограничительное, осуществляемое для исключения действий отдельных лиц или групп лиц таким образом, чтобы они не могли получить преимущества перед другими;

директивное регулирование, предполагающее воздействие правительства на рынок труда с учетом интересов населения;

регулирование посредством экономических финансовых мер (налогов и субсидий), способствующих росту предложений на рынке труда или содействующих повышению занятости. [33]

Также в нашей стране на государственном уровне разработано и принято множество различного рода Положений, Законов, Постановлений и других нормативных актов, относящихся к вопросам регулирования занятости населения.

Согласно закону Республики Беларусь от 15 июня 2006 г. № 125-З "О занятости населения Республики Беларусь" государственная политика в области содействия занятости населения направлена на:

* обеспечение равных возможностей всем гражданам независимо от пола, расы, национальности, языка, религиозных или политических убеждений, участия или неучастия в профессиональных союзах (далее - профсоюзы) или иных общественных объединениях, имущественного или служебного положения, недостатков физического или психического характера, если они не препятствуют выполнению соответствующих трудовых обязанностей, в реализации права на труд, означающего право на выбор профессии, рода занятий и работы в соответствии с призванием, способностями, образованием, профессиональной подготовкой и с учетом общественных потребностей, а также на здоровые и безопасные условия труда;

*ориентацию системы образования для подготовки кадров в соответствии с потребностями рынка труда;

*обеспечение обязательного государственного социального страхования от безработицы, предоставление социальных гарантий и компенсаций безработным;

*содействие полной, продуктивной и свободно избранной занятости всеми соответствующими мерами (служба занятости, профессиональная подготовка, переподготовка и повышение квалификации);

*сокращение безработицы, предупреждение массовой безработицы;

*поощрение нанимателей, осуществляющих профессиональное обучение работников, находящихся под угрозой высвобождения, впервые ищущих работу и не имеющих профессии (специальности), а также нанимателей, сохраняющих действующие и создающих новые рабочие места, в том числе для граждан, особо нуждающихся в социальной защите и не способных на равных условиях конкурировать на рынке труда;

*координацию деятельности в области занятости населения с деятельностью по другим направлениям экономической и социальной политики;

*участие профсоюзов и иных представительных органов, работников, уполномоченных в соответствии с законодательством представлять их интересы, а также государственных органов и нанимателей в разработке и реализации государственной политики в области содействия занятости населения;

*международное сотрудничество в решении проблем занятости населения.

Государство гарантирует безработным:

*бесплатную профессиональную ориентацию, психологическую поддержку, профессиональную подготовку, переподготовку и повышение квалификации с учетом общественных потребностей и в соответствии с имеющимися склонностями, способностями, навыками и особенностями их психофизического развития;

*выплату пособия по безработице, стипендии в период обучения по направлению органов государственной службы занятости населения, оказание материальной помощи безработным и членам их семей, находящимся на их иждивении;

*компенсацию в соответствии с законодательством материальных затрат в связи с направлением органами государственной службы занятости населения на работу (обучение) в другую местность;

*бесплатный медицинский осмотр при приеме на работу и направлении на обучение;

*возможность участия в оплачиваемых общественных работах;

* содействие в организации предпринимательской деятельности. [28, гл.3, ст.10]

На сегодняшний день Правительство Беларуси рассматривает вопрос о введении налога с безработных граждан, которое не принимают участия в пополнении доходной части бюджета, однако пользуются всеми социальными благами, финансируемыми из бюджета.

Проектом предусмотрено установление ежегодного платежа с таких граждан в размере 2,6 миллиона белорусских рублей. [29]

В рамках реализации мероприятий Государственной программы содействия занятости населения Республики Беларусь на 2010 год, разработанной в соответствии со статьей 12 Закона Республики Беларусь от 15 июня 2006 года "О занятости населения Республики Беларусь", достигнуто относительное равновесие - уровень безработицы находится в социально допустимых пределах, растет средняя заработная плата, сокращается доля малообеспеченных граждан в стране.

В результате принятых мер по улучшению деловой среды и условий развития частного сектора возросли число вакансий (на 1 января 2011 г. их число составило 48,8 тыс., что на 41,4 процента больше по сравнению с 2009 годом) и соответственно объемы трудоустройства на созданные рабочие места (в 2010 году трудоустроено 181,8 тыс. человек, или на 8,2 процента больше, чем в 2009 году). При этом в г. Минске вакансий в 4,9 раза больше, чем безработных, в Минской области - в 1,3 раза, в Брестской и Могилевской областях - в 1,2 раза.

В 2010 году в комитет по труду, занятости и социальной защите Минского горисполкома, управления (отделы) по труду, занятости и социальной защите городских, районных исполкомов (далее - органы по труду, занятости и социальной защите) по вопросу об оказании содействия в трудоустройстве обратились 328,7 тыс. человек, из них в качестве безработных зарегистрированы 205,8 тыс. человек.

Уровень безработицы на 1 января 2011 г. составил 0,7 процента от численности экономически активного населения (на 1 января 2010 г. - 0,9 процента).

Анализ состояния рынка труда 118 районов и 12 городов республики на 1 января 2011 г. показал, что в 115 регионах уровень безработицы составил 1 процент и ниже, в 15 регионах - от 1,1 до 1,5 процента.

По данным Национального статистического комитета, численность занятых в экономике в 2010 году составила 4653,4 тыс. человек при прогнозе 4740 тыс. человек, численность занятых в экономике малых городов - 836,4 тыс. человек при прогнозе 820,9 тыс. человек.      Остается актуальной проблема женской и молодежной безработицы, несмотря на ее снижение (женская - с 23 тыс. человек на 1 января 2010 г. до 17,4 тыс. человек на 1 января 2011 г. и молодежная соответственно с 16,6 тыс. человек до 12,6 тыс. человек).

В целом ситуация на рынке труда остается стабильной, однако сохраняется дисбаланс между спросом и предложением рабочей силы. Рынок труда по-прежнему ориентирован на рабочие профессии, которые составили около 78 процентов от общего количества вакансий.

Национальный рынок труда в 2011 году характеризовался:

сокращением численности безработных граждан, так, на 31 декабря 2011 г. на учете состояло 28,2 тыс. безработных, или 85,2 процента к уровню 2010 года;

увеличением потребности работодателей в работниках, заявленной в органы по труду, занятости и социальной защите (в сравнении с аналогичным периодом 2010 года число вакансий увеличилось на 5,9 процента и составило 51,7 тыс. единиц), причем в г. Минске вакансий в 6 раз больше, чем безработных;

снижением напряженности на рынке труда (с 0,7 безработного на одну заявленную в органы по труду, занятости и социальной защите вакансию на начало года до 0,5 на 31 декабря 2011 г.).

В указанный период в органы по труду, занятости и социальной защите по вопросу об оказании содействия в трудоустройстве обратилось 365,8 тыс. человек, из них зарегистрировано в качестве безработных 221,5 тыс. человек (соответственно 94 и 90 процентов к аналогичному периоду 2010 года).

По данным Национального статистического комитета, численность занятых в экономике в 2011 г. составила 4649 тыс. человек при прогнозе, на конец 2011 года 4670 - 4720 тыс. человек.

В целом ситуация на рынке труда остается стабильной, контролируемой и управляемой.

Вместе с тем сохраняется структурный и территориальный дисбаланс между спросом и предложением рабочей силы, при этом рынок труда ориентирован на рабочие профессии, которые составляли 77,6 процента от общего количества вакансий.

В результате принимаемых Правительством Республики Беларусь мер ситуация на рынке труда остается стабильной и за 12 месяцев 2012 года характеризовалась:

увеличением спроса на рабочую силу (на 1 января 2013 г. нанимателями заявлены сведения о наличии 67,5 тыс. вакантных рабочих мест, или 121,4 процента к уровню 2011 года);

уменьшением количества обращений в органы по труду, занятости и социальной защите и соответственно регистрации безработных в целом по республике (обратилось 274,5 тыс. человек, или 93,5 процента к соответствующему периоду 2011 года, зарегистрировано в качестве безработных 168,1 тыс. человек, или 96,4 процента);

уменьшением количества состоящих на учете безработных (на 1 января 2013 г. − 26 тыс. человек, или 87,5 процента к соответствующему периоду 2011 года).

Обеспечивается выполнение показателя прогноза социально-экономического развития Республики Беларусь на 2012 год − уровень регистрируемой безработицы в 2012 г. составил 0,6 процента к численности экономически активного населения при прогнозе на конец 2012 года до 1,5 процента.

Численность занятых по сравнению с уровнем 2011 г. уменьшилась на 1,8% и составила 4571,1 тыс. при прогнозе 4553 тыс. чел.

Напряженность на рынке труда республики снизилась с 0,5 безработного на вакансию на начало года до 0,4 безработного на вакансию на конец 2012 г.

Структура спроса на рабочую силу существенно не изменилась. Рынок труда ориентирован на рабочие профессии, которые составляют 78,8 процента от общего количества заявленных нанимателями вакансий, из них около 10 процентов вакансий - неквалифицированный труд. [39]

В рамках реализации мероприятий Государственной программы содействия занятости населения Республики Беларусь на 2013 год, утвержденной постановлением Совета Министров Республики Беларусь от 27 декабря 2012 г. № 1211, в январе-июне 2013 г.:

на созданные рабочие места и имевшиеся вакансии трудоустроено на постоянную работу 96,7 тыс. человек, из них 63,5 тыс. безработных;

организовано обучение 4,7 тыс. граждан;

на новое место жительства и работы переселено 178 семей безработных;

в оплачиваемых общественных работах приняли участие 28,9 тыс. человек, в том числе 18 тыс. безработных;

оказано содействие в организации самозанятости путем предоставления финансовой поддержки 1532 безработным (62 процента);

оказано содействие в трудоустройстве на субсидированные временные рабочие места 586 безработным из числа выпускников учреждений высшего, среднего специального и профессионально-технического образования, а также прошедших обучение по направлениям органов по труду, занятости и социальной защите;

организована адаптация к трудовой деятельности 285 инвалидов;

обеспечена временная трудовая занятость в свободное от учебы время 17,5 тыс. человек из числа учащейся молодежи. [30]

Основной целью Государственной программы является повышение эффективности использования трудовых ресурсов и конкурентоспособности рабочей силы на рынке труда.

В рамках реализации Государственной программы предполагается решение следующих задач:

*стимулирование экономической активности населения;

*содействие нанимателям в структурной перестройке производств;

*совершенствование подготовки кадров с учетом потребности рынка труда, повышение конкурентоспособности рабочей силы;

*интеграция в трудовую сферу целевых групп населения, нуждающихся в социальной поддержке;

*информационное, методическое и иное обеспечение по вопросам занятости населения.

Результатом, характеризующим достижение цели Государственной программы, является обеспечение уровня регистрируемой безработицы в пределах до 1,5 процента. [31]

В Государственной программе содействия занятости населения Республики Беларусь на 2013 год отмечается, что рынок труда ориентирован на рабочие профессии. Они составляют 78,8% от общего количества заявленных нанимателями вакансий, из них около 10% вакансий - неквалифицированный труд.

В настоящее время спрос на работников формируется в таких видах экономической деятельности, как обрабатывающая промышленность, строительство, сельское хозяйство, охота и лесное хозяйство, торговля, ремонт автомобилей, бытовых изделий и предметов личного пользования, транспорт и связь, здравоохранение и предоставление социальных услуг.

Для повышения качества трудовых ресурсов, снижения дисбаланса между спросом и предложением рабочей силы, повышения конкурентоспособности рабочей силы осуществляется профессиональное обучение безработных по профессиям строительного профиля, сферы услуг, торговли, промышленности, востребованных на рынках труда регионов области. С этой точки зрения наибольший интерес вызывает модульная система обучения, предложенная Международной организацией труда и получившая широкое распространение в странах Западной Европы. В основе системы лежит учебная программа (модуль), включающая строго установленный объем знаний и практических навыков, которые необходимо усвоить для качественного выполнения производственных функций, обусловленных соответствующими квалификационными стандартами или требованиями рабочего места.

К преимуществам модульной системы обучения относятся:

* достаточно быстрая реакция на структурные сдвиги в экономике, удовлетворение потребности в работниках новых профессий, обеспечение подготовки специалистов необходимого уровня квалификации;

* возможность обучения лиц, различных по уровню знаний и подготовке;

* возможность самостоятельного индивидуального обучения;

* ориентация на конечный результат.

Применение модульной системы обучения в Беларуси позволит, особенно в перспективе, при ускорении технологических и структурных изменений в экономике более гибко реагировать на потребности предприятий в квалифицированных кадрах, предотвратить рост безработицы.

Кроме этого, в области реализуются меры по опережающему обучению граждан, находящихся под риском увольнения которые заключаются в компенсации затрат нанимателям на профессиональное обучение работников, подлежащих увольнению в связи ликвидацией организации, прекращением деятельности индивидуального предпринимателя, сокращением численности или штата работников.

Особое внимание уделяется профессиональной ориентации молодежи, прежде всего в школьной среде, направленной на повышение престижа рабочих профессий.

Решениями местных исполнительных и распорядительных органов ежегодно бронируются рабочие места на предприятиях и в организациях области для трудоустройства граждан, относящихся к социально незащищенной категории.

В значительной мере смягчению напряженности на рынке рабочей силы способствует организация оплачиваемых общественных работ, дающих возможность неработающим гражданам не только получать доходы, сохранять трудовую мотивацию и активную жизненную позицию, но и оказывать действенную помощь в решении социально значимых проблем при минимальных финансовых затратах.

Особое место в системе регулирования рынка труда занимает служба занятости - специальное учреждение, осуществляющее посреднические функции на рынке рабочей силы под руководством министерства труда и социальной защиты. Основные направления деятельности бирж труда: регистрация безработных и вакантных мест, трудоустройство безработных и других лиц, желающих получить работу, изучение конъюнктуры рынка труда, выплата пособий безработным.

Опыт развитых стран свидетельствует, что эффективность службы занятости в значительной мере зависит от заблаговременного получения сведений о свободных местах, масштабах высвобождения рабочей силы, половозрастных и других необходимых характеристиках безработных, важных для их трудоустройства.

В соответствии с Законом "О занятости населения Республики Беларусь" предприятия и предприниматели обязаны "ежемесячно представлять Государственной службе занятости сведения о наличии свободных рабочих мест с указанием условий труда и его оплаты". Вместе с тем работодатели не несут по существу никакой ответственности за сокрытие и несвоевременное представление сведений о вакансиях. Установление персональной ответственности руководителей позволит повысить шансы безработных на трудоустройство, проводить переподготовку в соответствии с потребностями экономики, своевременно обеспечивать предприятия рабочей силой нужной квалификации. В получении объективной информации о масштабах безработицы важная роль принадлежит социологическим исследованиям. [37]

Приоритетной задачей социальной политики в Республике Беларусь на современном этапе является обеспечение достойного уровня заработной платы. Ее реализация обуславливает необходимость разработки новых, гибких систем оплаты труда, максимально учитывающих результативность вклада каждого работника, финансовые возможности предприятий, особенности отраслей экономики.

Регулирование оплаты труда государством осуществляется как прямым, так и косвенным путем. Прямое регулирование - это непосредственное установление определенных количественных параметров (ставки налогообложения, размеры минимальной заработной платы, тарификационные разряды и коэффициенты для работников бюджетной сферы). Косвенное регулирование осуществляется путем рекомендаций о применении тарифных ставок в производственных отраслях, по организации прогрессивных форм и систем оплаты труда, предоставлением информации об уровне заработной платы в отраслях экономики и др.

Существуют следующие основные направления государственного регулирования оплаты труда:

формирование минимального потребительского бюджета;

формирование прожиточного минимума;

установление размера минимальной заработной платы;

разработка Единой тарифной сетки и рекомендаций по ее применению;

заключение тарифных соглашений.

Важным элементом системы регулирования является формирование минимального потребительского бюджета. В соответствии с Законом Республики Беларусь «О формировании и использовании минимального потребительского бюджета» МПБ характеризуется как расходы на приобретение набора потребительских товаров и услуг для удовлетворения основных физиологических и социально-культурных потребностей человека. МПБ разрабатываются для различных социально-демографических групп в среднем на душу населения и на одного члена семьи разного состава. [35]

В 1999 году был принят Закон «О прожиточном минимуме в Республике Беларусь». Прожиточный минимум характеризуется как минимально необходимый набор товаров и услуг. Бюджет прожиточного минимума (БПМ) устанавливается в текущих ценах и также, как и МПБ, утверждается Постановлением Совета Министров. БПМ по своей величине меньше МПБ и составляет примерно 60% от него. [35]

На основе стоимостной величины МПБ и БПМ устанавливается размер минимальной заработной платы (МЗП). [36]

Функциями государственного регулирования заработной платы являются также разработка и внедрение Единой тарифной сетки (ЕТС), обеспечивающей достижение социальной справедливости в оплате труда путем дифференциации ставок и окладов в зависимости от сложности труда и квалификации работников.

Еще одним направлением государственного регулирования оплаты труда является заключение Генерального тарифного соглашения между правительством и республиканской организацией профсоюзов, в котором правительство берет на себя обязательства по обеспечению гарантий в области оплаты труда.

Для регулирования организации оплаты труда на отраслевом уровне между руководителями отрасли и профсоюзом работников отрасли заключаются отраслевые тарифные соглашения. В них должны найти отражение такие вопросы, как система тарифных ставок и окладов, система льгот и социальных гарантий, меры, обеспечивающие необходимые темпы роста производительности труда.

Дополнительным направлением государственного регулирования оплаты труда является налоговое регулирование, которое реализуется через Закон «О подоходном налоге с физических лиц». Подоходный налог является инструментом перераспределения доходов граждан.[35]

Наиболее серьезной проблемой, касающейся оплаты труда в Республике Беларусь на данный момент, является существующая тарифная система оплаты труда. Она включает тарифные ставки и Единую тарифную сетку. Главный недостаток тарифных ставок - это их низкий уровень. Дешевизна рабочей силы имеет свои негативные последствия - это сдерживание внедрения новой техники и технологии (т.к. при высокой цене рабочей силы работодатель стремится заместить ее автоматизированным трудом), потери от текучести кадров, низкая производительность труда. Сдерживающим фактором роста тарифного заработка является и второй важный элемент тарифной системы - единая тарифная сетка (ETC). Она изначально не может выполнять своей функции, т.к. объединить в одну систему количественной оценки совершенно разные по качеству, содержанию, сфере деятельности, сложности и социальной значимости виды труда практически невозможно без нанесения серьезного ущерба тарифной системе в целом.

Таким образом, система оплаты труда в Республике Беларусь, основанная на тарифных ставках и ЕТС, нуждается в реформировании. В 2010 г. уже предпринят ряд мер по либерализации оплаты труда и совершенствованию его стимулирования. В частности, постановлением Министерства труда и социальной зашиты, Министерства финансов, Министерства экономики Республики Беларусь от 4 марта 2010 г. № 34/21/47 "О внесении изменении и дополнений в Инструкцию о порядке повышения тарифной ставки первого разряда коммерческими организациями" организациям с долей собственности государства менее 50% предоставляется возможность производить повышение тарифной ставки первого разряда без учета норм указанной Инструкции. Данное решение позволило коммерческим организациям более широко внедрять новые, гибкие системы и формы оплаты и стимулирования труда. В соответствии с постановлением Совета Министров Республики Беларусь от 18 марта 2010 г. N2 385, внедряются схемы материального вознаграждения руководителей государственных организаций и организаций с долей собственности государства в их имуществе на основе выплаты годовых бонусов в размере не менее 12 должностных окладов за выполнение организацией доведенных в установленном порядке показателей прогноза социально-экономического развития.

Период 2010-2015 гг. белорусская экономика будет ориентироваться на модернизацию, переход на более высокий технологический уклад развития производства. Как известно, в условиях структурных изменений экономики и ее инновационного развития приоритеты в политике занятости смещаются в сторону повышения эффективности использования трудовых ресурсов, улучшения качества труда. Таким образом, речь идет об обеспечении не только полной, но и экономически эффективной занятости с высокой производительностью труда, достойной оплатой и условиями труда.

Несмотря на проводимую в Республике Беларусь активную политику в области занятости и трудоустройства граждан, регулирования оплаты труда, белорусский рынок труда имеет ряд проблем, решение которых - задача государства. Опыт высокоразвитых стран показывает, что эффективное функционирование рынка труда предполагает наличие устойчивых рыночных институтов и множества зрелых элементов рыночной инфраструктуры. Это возможно путем формирования законодательной и нормативной баз рыночных преобразований, закрепляющих нормы взаимодействия государства, бизнес-сообщества, гражданского общества, создания новой культуры деловых отношений, реализации контрактного права, укрепления доверия между хозяйственными субъектами, реформирования трудовых отношений, введения новой системы социальной защиты населения и осуществления других новаций на рынке труда и в экономике в целом. [34]

Для достижения эффективной занятости в стране требуется определенное время и дополнительные финансовые средства, но только лишь финансовых средств недостаточно. Необходимо выработать концепцию и программу государственного регулирования занятости населения, в которых бы нашли отражение пути и способы стимулирования занятости в приоритетных отраслях экономики, повышение конкурентоспособности рабочей силы, поддержки малого предпринимательства, содействия занятости граждан, не конкурентоспособных на рынке труда.

Для регулирования занятости и смягчения социальных конфликтов правительством разрабатываются специальные программы, которые предусматривают увеличение рабочих мест. Кроме того, организуются оплачиваемые общественные работы, переподготовка и обучение безработных новым профессиям, создаются благоприятные условия, стимулирующие миграцию работоспособного населения в те регионы страны, которые испытают дефицит рабочей силы, создаются определенные мероприятия для обеспечения эффективной занятости.

В настоящее время предприятия выплачивают часть своих доходов для формирования фонда занятости. Предполагается, что эти отчисления будут расходоваться преимущественно на пособия по безработице работникам бюджетных, учреждений, на переобучение кадров и содержание служб занятости. Например, в Швеции, где безработица заметно меньше, чем в других государствах с развитой рыночной экономикой, существует определенный механизм. Там представляется система экономических льгот предприятиям, которые сами создают у себя дополнительные рабочие места и трудоустраивают высвободившихся работников, переобучая их. В награду такие предприятия могут освобождаться от части налогов, получать льготные кредиты под прирост рабочих мест и т. д. [40]

В заключение хотелось бы добавить, что важнейшим аспектом государственного регулирования рынка труда является забота государства о достижении в стране наиболее полной и эффективной занятости как важной социальной гарантии для экономически активного населения, механизм формирования которого будет постоянно совершенствоваться применительно к новым условиям развития рыночной экономики, формирования эффективной социальной политики. [41]

Заключение

Таким образом, рынок труда - важнейшее звено национальной и мировой рыночной цивилизации, на нем формируются трудовые ресурсы, осуществляющие повседневную эволюцию общества. Труд - важнейший фактор производства и основной источник доходов экономически активной части населения. Углубление экономического кризиса, сокращение объемов капиталовложений отрицательно отразилось на занятости населения и значительно увеличило число безработных и работающих в режиме вынужденной неполной занятости в Республике Беларусь. Скрытая безработица и неполная занятость превратились в одну из основополагающих проблем в современном обществе.

В настоящее время одной из главных задач государственного регулирования является преобразование скрытой безработицы в полную эффективную занятость.

Немаловажной задачей остается решение проблем подготовки и переподготовки кадров. Согласование потребности производства в работниках с возможностью профессиональной подготовки в рамках системы профессионального образования; налаживание отношений предприятий с высшими учебными (средними специальными) заведениями по вопросу востребованных рынком специалистов; привлечение работодателей к участию в финансировании подготовки нужных им высококвалифицированных специалистов - все эти меры во многом будут способствовать наиболее полному удовлетворению требований работодателей в части объема получаемых знаний, умений, навыков молодых специалистов и позволять стабилизировать ситуацию на рынке труда.

Особую актуальность приобретают вопросы совершенствования государственной статистики в области занятости населения и регулирования рынка труда. В работе статистических органов в области занятости населения не уделено внимание вопросам эффективности использования рабочей силы на предприятиях и в организациях различных форм собственности, движения рабочих мест, подготовки и переподготовки кадров на региональном уровне и т.д. Подобные статистические исследования помогут выявить, как развитие новых форм собственности будет влиять на изменение отраслевой структуры занятости, на многообразие различных видов деятельности населения.

Поддержание высокого уровня занятости в государственном секторе означает, что правительство, а не рынок, устанавливает критерии эффективности работы экономики. Это касается и установления заработной платы. В Республике Беларусь наблюдается постоянный рост реальной заработной платы, однако анализ показывает, что это далеко не всегда связано с ростом производительности труда. Более того, наблюдается разрыв между ростом реальной заработной платы и увеличением производительности труда. Для того чтобы не допустить ускорения инфляции под влиянием разрыва между ростом зарплаты и производительности труда правительство выбрало стратегию сглаживания дифференциации в оплате труда, в том числе за счет установления верхних границ роста заработной платы и сохранения тарифной сетки.

Несмотря на указанные особенности, вряд ли можно говорить, что рынок труда Беларуси представляет собой негибкий и абсолютно неэффективный механизм - ведь рост реальной заработной платы и поддержание формально высокого уровня занятости все же были достигнуты. Государственное участие в рынке труда позволяет сохранять определенный институциональный баланс, хотя и с минимальными элементами саморегуляции.

Такова сегодня обстановка на рынке труда в Беларуси. И чтобы нормализовать ее, в стране уже предпринимаются необходимые меры, включающие помощь предприятиям в создании новых рабочих мест, организацию переобучения безработных. Что же касается роста трудовых ресурсов, то ожидать его раньше, чем нормализуется демографическая ситуация, по крайней мере неразумно.

Подводя итог, следует сказать, что государство должно уделять особое внимание проблемам рынка труда. Ориентация государственной политики в области регулирования занятости и заработной платы, отслеживание процессов в сфере труда, прогноз их развития должны быть направлены прежде всего на предупреждение возникновения кризисных ситуаций и смягчение напряженности на рынке труда.

Список использованных источников

1.      Вечканов, Г. C. Макроэкономика / Г.С. Вечканов, Г.Р. Вечканова - СПб.: Питер, 2005. - 240 с.

.        Лемешевский, И.М. Микроэкономика: (экономическая теория в трех частях, часть 2) : учебное пособие для студентов экономических специальностей вузов / И. М. Лемешевский - Минск : ФУАинформ, 2003. - 718 с.

.        Галаева, Е.В., Макроэкономика. Учебное пособие. / Е.В. Галаева, А.А. Корсакова, Е.А. Марыганова, Е.В. Назарова, Т.В. Юрьева - М: Московский международный институт эконометрики, информатики, финансов и права, 2003. - 267 с.

.        Чепурин, М.Н. Курс экономической теории: учебник - 5-е дополненное и переработанное издание / М.Н. Чепурин, проф. Е.А. Киселева - Киров: «АСА», 2002г. - 832с.

.        Плотницкий, М.И. Микро- и макроэкономика / М.И. Плотницкий, Л.В. Воробьева, Н.Н. Сухарева и др. - МН.: Книжный Дом; Мисанта, 2004. - 224с.

.        Галаева, Е.В. Макроэкономика. Учебное пособие. Московский международный институт эконометрики, информатики, финансов и права / Е.В. Галаева, А.А. Корсакова, Е.А. Марыганова, Е.В. Назарова, Т.В. Юрьева - М., 2003. - 267 с.

.        Тарасевич, Л.С. Макроэкономика. / Л.С. Тарасевич, П.И. Гребенников, А.И. Леусский - 6-е изд., испр. и доп. - М.: Высшее образование, 2006. - 654 с.

.        Вечканов, Г.С. Экономическая теория / Г.С. Вечканов - 2-ое изд. - СПб.; Питер, 2009. - 448с.

.        Базылев, Н.И., Экономическая теория: учебник для студентов экономических специальностей высших учебных заведений / Н.И. Базылев, М.Н. Базылева - Минск.: Книжный дом, 2004.-608 с.

.        Плотницкий, М.И. Микроэкономика: учебное пособие для экон. спец. вузов / М.И. Плотницкий - 3-е изд., стереотип. - Минск : Новое знание, 2005. 427 с.

11.    Онлайн учебник по экономике (Электронный ресурс).- Режим доступа: <http://www.study-economics.ru/sushhnost-zarabotnoj-platy/> - Дата доступа: 23.10.2013

.        Шевченко, С.В. Рынок труда в РБ: Динамика развития и основные тенденции / С.В. Шевченко // Проблемы управления - 2010. - №3. - с. 82

.        Привалова, Н.Н. Демографическая ситуация и рынок труда / Н.Н. Привалова, М.П. Пилуй // Экономический бюллетень НИЭИ Министерства экономики Республики Беларусь - 2011. - №2.

.        Официальный сайт Национального статистического комитета Республики Беларусь/ (Электронный ресурс).- Режим доступа: www.belstat.gov.by <http://www.belstat.gov.by> - Дата доступа: 13.11.2013

.        Рынок труда в Республике Беларусь за январь - ноябрь 2011 г. (Электронный ресурс).- Режим доступа: <http://www.rabota-minsk.by/node/2702> - Дата доступа: 13.11.2013

.        Привалова, Н.Н. Демографическая ситуация и рынок труда / Н.Н. Привалова, Л.С. Станишевская // Экономический бюллетень НИЭИ Министерства экономики Республики Беларусь - 2012. - №2

.        Привалова, Н.Н. Демографическая ситуация и рынок труда / Н.Н. Привалова, М.П. Пилуй, Л.С. Станишевская // Экономический бюллетень НИЭИ Министерства экономики Республики Беларусь - 2013. - № 2

Похожие работы на - Тенденции развития рынка труда в условиях становления рыночной экономики

 

Не нашли материал для своей работы?
Поможем написать уникальную работу
Без плагиата!
Без нейросетей!